Study of Combustion Process Parameters in a Diesel Engine Powered by Biodiesel from Waste of Animal Origin
Abstract
1. Introduction
2. Experimental Work
2.1. Description of the Engine and Test Stand
2.2. Fuels Tested
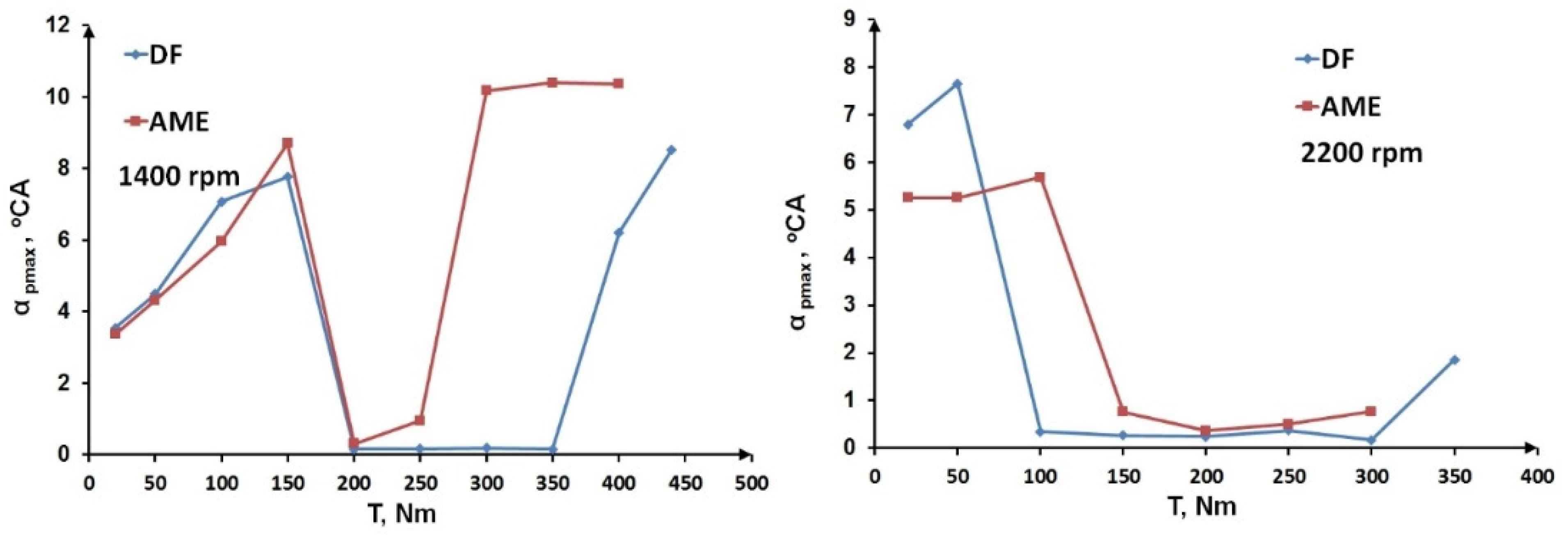
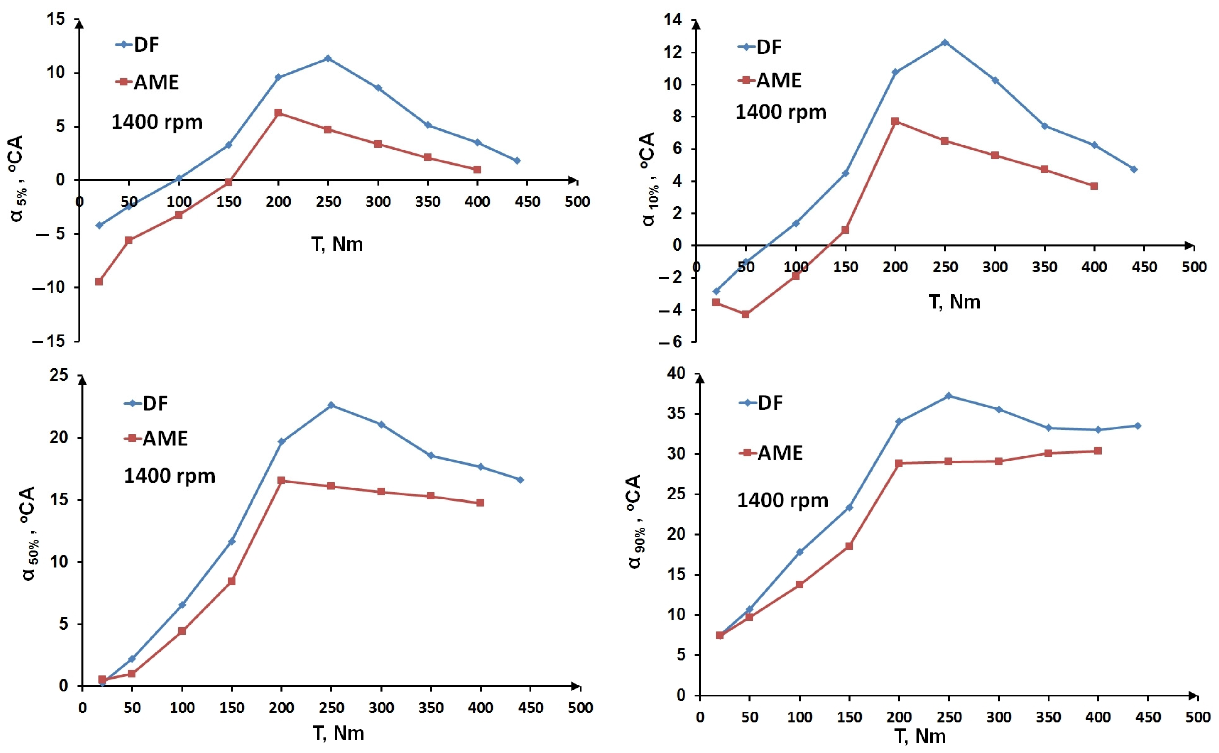
3. Test Results and Analysis
4. Conclusions
Author Contributions
Funding
Institutional Review Board Statement
Informed Consent Statement
Data Availability Statement
Conflicts of Interest
Nomenclature
| AME | animal methyl esters |
| BTE | brake thermal efficiency |
| BSFC | brake-specific fuel consumption |
| HVO | hydrotreated vegetable oil |
| RME | rapeseed Oil Methyl Esters |
| CA | crank angle, deg |
| DF | diesel fuel |
| dp/dα | degree of pressure build-up, MPa/CA |
| HR | amount of heat release, kJ/m3 |
| HRR | heat release rates, kJ/m3 CA |
| HRmax | maximum heat release, kJ/m3 |
| HRRmax | maximum heat release rates, kJ/m3 CA |
| p | cylinder pressure, MPa |
| pmax | maximum combustion pressure, MPa |
| T | torque, Nm |
| α5% | burnout angle of 5% fuel dose, CA |
| α10% | burnout angle of 10% fuel dose, CA |
| α50% | burnout angle of 50% fuel dose, CA |
| α90% | burnout angle of 90% fuel dose, CA |
| αpmax | angle of onset of maximum cylinder pressure, CA |
References
- Naik, S.N.; Goud, V.V.; Rout, P.K.; Dalai, A.K. Production of first and second generation biofuels: A comprehensive review. Renew. Sustain. Energy Rev. 2010, 14, 578–597. [Google Scholar] [CrossRef]
- Bhuiya, M.M.K.; Rasul, M.G.; Khan, M.M.K.; Ashwath, N.; Azad, A.K. Prospects of 2nd generation biodiesel as a sustainable fuel—Part: 1 selection of feedstocks, oil extraction techniques and conversion technologies. Renew. Sustain. Energy Rev. 2016, 55, 1109–1128. [Google Scholar] [CrossRef]
- Yaşar, F. Comparison of fuel properties of biodiesel fuels produced from different oils T to determine the most suitable feedstock type. Fuel 2020, 264, 116817. [Google Scholar] [CrossRef]
- Klimiuk, E.; Pawłowska, M.; Pokój, T. Biofuels. Technologies for Sustainable Development; Polish Scientific Publishers PWN: Warsaw, Poland, 2012. [Google Scholar]
- Tayari, S.; Abedi, R.; Rahi, A. Comparative assessment of engine performance and emissions fueled with three different biodiesel generations. Renew. Energy 2020, 147, 1058–1069. [Google Scholar] [CrossRef]
- Zhong, W.; Xuan, T.; He, Z.; Wang, Q.; Li, D.; Zhang, X.; Yin, H.Y. Experimental study of combustion and emission characteristics of diesel engine with diesel/second-generation biodiesel blending fuels. Energy Convers. Manag. 2016, 121, 241–250. [Google Scholar] [CrossRef]
- Singh, D.; Sharma, D.; Soni, S.L.; Sharma, S.; Kumari, D. Chemical compositions, properties, and standards for different generation biodiesels: A review. Fuel 2019, 253, 60–71. [Google Scholar] [CrossRef]
- Saravanan, A.; Murugan, M.; Sreenivasa, R.M.; Parida, S. Performance and emission characteristics of variable compression ratio CI engine fueled with dual biodiesel blends of Rapeseed and Mahua. Fuel 2020, 263, 116751. [Google Scholar] [CrossRef]
- Sakthivel, R.; Ramesh, K.; Purnachandran, R.; Shameer, P.M. A review on the properties, performance and emission aspects of the third generation biodiesels. Renew. Sustain. Energy Rev. 2018, 82, 2970–2992. [Google Scholar] [CrossRef]
- Saladini, F.; Patrizi, N.; Pulselli, F.M.; Marchettini, N.; Bastianoni, S. Guidelines for energy evaluation of first, second and third generation biofuels. Renew. Sustain. Energy Rev. 2016, 66, 221–227. [Google Scholar] [CrossRef]
- Buyukkaya, E. Effects of biodiesel on a DI diesel engine performance, emission and combustion characteristics. Fuel 2010, 89, 3099–3105. [Google Scholar] [CrossRef]
- Caresana, F.; Bietresato, M.; Renzi, M. Injection and Combustion Analysis of Pure Rapeseed Oil Methyl Ester (RME) in a Pump-Line-Nozzle Fuel Injection System. Energies 2021, 14, 7535. [Google Scholar] [CrossRef]
- Korakianitis, T.; Namasivayam, A.M.; Crookes, R.J. Diesel and rapeseed methyl ester (RME) pilot fuels for hydrogen and natural gas dual-fuel combustion in compression–ignition engines. Fuel 2011, 90, 2384–2395. [Google Scholar] [CrossRef]
- Özener, O.; Yuksek, L.; Ergenc, A.T.; Ozkan, M. Effects of soybean biodiesel on a DI diesel engine performance, emission and combustion characteristics. Fuel 2014, 115, 875–883. [Google Scholar] [CrossRef]
- Kassem, Y.; Çamur, H. Effects of storage under different conditions on the fuel properties of biodiesel admixtures derived from waste frying and canola oils. Biomass Convers. Biorefinery 2018, 8, 825–845. [Google Scholar] [CrossRef]
- Puhan, S.; Jegan, R.; Balasubbramanian, K.; Nagarajan, G. Effect of injection pressure on performance, emission and combustion characteristics of high linolenic linseed oil methyl ester ina DI diesel engine. Renew. Energy 2009, 34, 1227–1233. [Google Scholar] [CrossRef]
- Ranucci, C.R.; Alves, H.J.; Monteiro, M.R.; Kugelmeier, C.L.; Bariccatti, R.A.; de Oliveira, C.R.; da Silva, E.A. Potential alternative aviation fuel from jatropha (Jatropha curcas L.), babassu (Orbignya phalerata) and palm kernel (Elaeis guineensis) as blends with Jet-A1 kerosene. J. Clean. Prod. 2018, 185, 860–869. [Google Scholar] [CrossRef]
- Dyrektywa 2003/30/WE Parlamentu Europejskiego i Rady z dnia 8 maja 2003 r. w Sprawie Wspierania Użycia w Transporcie Biopaliw Lub Innych Paliw Odnawialnych. Available online: https://eur-lex.europa.eu/legal-content/PL/ALL/?uri=CELEX%3A32003L0030 (accessed on 13 July 2022). (In Polish).
- Dyrektywa Parlamentu Europejskiego i Rady 2009/28/WE z dnia 23 Kwietnia 2009 r. w Sprawie Promowania Stosowania Energii ze Źródeł Odnawialnych Zmieniająca i w Następstwie Uchylająca Dyrektywy 2001/77/WE Oraz 2003/30/WE. Available online: https://eur-lex.europa.eu/legal-content/PL/ALL/?uri=CELEX%3A32009L0028 (accessed on 13 July 2022). (In Polish).
- Boutesteijn, C.; Drabik, D.; Venus, T.J. The interaction between EU biofuel policy and first- and second-generation biodiesel production. Ind. Crops Prod. 2017, 106, 124–129. [Google Scholar] [CrossRef]
- Biernat, K. Perspektywy rozwoju technologii biopaliwowych w świecie do 2050 roku. Chemik 2012, 11, 1178–1189. (In Polish) [Google Scholar]
- Labeckas, G.; Slavinskas, S. Performance of direct-injection off-road diesel engine on rapeseed oil. Renew. Energy 2006, 31, 849–863. [Google Scholar] [CrossRef]
- Karabektas, M.; Ergen, G.; Hosoz, M. Effects of the blends containing low ratios of alternative fuels on the performance and emission characteristics of a diesel engine. Fuel 2013, 112, 537–541. [Google Scholar] [CrossRef]
- Sakthivel, G.; Sivaraja, C.M.; Ikua, B.W. Prediction OF CI engine performance, emission and combustion parameters using fish oil as a biodiesel by fuzzy-GA. Energy 2019, 166, 287–306. [Google Scholar] [CrossRef]
- Banković-Ilić, I.B.; Stojković, I.J.; Stamenković, O.S.; Veljkovic, V.B.; Hung, Y.-T. Waste animal fats as feedstocks for biodiesel production. Renew. Sustain. Energy Rev. 2014, 32, 238–254. [Google Scholar] [CrossRef]
- Adewale, P.; Dumont, M.-J.; Ngadi, M. Recent trends of biodiesel production from animal fat wastes and associated production techniques. Renew. Sustain. Energy Rev. 2015, 45, 574–588. [Google Scholar] [CrossRef]
- Zarska, M.; Bartoszek, K.; Dzida, M. High pressure physicochemical properties of biodiesel components derived from coconut oil or babassu oil. Fuel 2014, 125, 144–151. [Google Scholar] [CrossRef]
- Kumar, N.; Chauhan, S.R. Performance and emission characteristics of biodiesel from different origins. A review. Renew. Sustain. Energy Rev. 2013, 21, 633–658. [Google Scholar] [CrossRef]
- Estevez, R.; Aguado-Deblas, L.; López-Tenllado, F.J.; Luna, C.; Calero, J.; Romero, A.A.; Bautista, M.F.; Luna, D. Biodiesel Is Dead: Long Life to Advanced Biofuels—A Comprehensive Critical Review. Energies 2022, 15, 3173. [Google Scholar] [CrossRef]
- Ramos, M.; Dias, A.P.S.; Puna, J.F.; Gomes, J.; Bordado, J.C. Biodiesel production processes and sustainable raw materials. Energies 2019, 12, 4408. [Google Scholar] [CrossRef]
- Mani, M.; Nagarajan, G.; Sampath, S. Characterisation and effect of using waste plastic oil and diesel fuel blends in compression ignition engine. Energy 2011, 36, 212–219. [Google Scholar] [CrossRef]
- Chen, J.; Li, J.; Dong, W.; Zhang, X.; Tyagi, R.D.; Drogui, P.; Surampalli, R.Y. The potential of microalgae in biodiesel production. Renew. Sustain. Energy Rev. 2018, 90, 336–346. [Google Scholar] [CrossRef]
- Hariram, V.; Kumar, G.M. Combustion analysis of algal oil methyl ester in a direct injection compression ignition engine. J. Eng. Sci. Technol. 2013, 8, 77–92. [Google Scholar]
- Cunha, A.; Feddern, V.; De Prá, M.C.; Higarashi, M.M.; de Abreu, P.G.; Coldebella, A. Synthesis and characterization of ethylic biodiesel from animal fat wastes. Fuel 2013, 105, 228–234. [Google Scholar] [CrossRef]
- Alptekin, E.; Canakci, M.; Sanli, H. Biodiesel production from vegetable oil and waste animal fats in a pilot plant. Waste Manag. 2014, 34, 2146–2154. [Google Scholar] [CrossRef] [PubMed]
- Encinar, J.M.; Sánchez, N.; Martínez, G.; García, L. Study of biodiesel production from animal fats with high free fatty acid content. Bioresour. Technol. 2011, 102, 10907–10914. [Google Scholar] [CrossRef]
- Teixeira, M.A.; da Graça Carvalho, M. Regulatory mechanism for biomass renewable energy in Brazil, a case study of the Brazilian Babassu oil extraction industry. Energy 2007, 32, 999–1005. [Google Scholar] [CrossRef]
- Orliński, P.; Sikora, M.; Bednarski, M.; Gis, M. The Influence of Powering a Compression Ignition Engine with HVO Fuel on the Specific Emissions of Selected Toxic Exhaust Components. Appl. Sci. 2024, 14, 5893. [Google Scholar] [CrossRef]
- Gharehghani, A.; Mirsalim, M.; Hosseini, R. Effects of waste fish oil biodiesel on diesel engine combustion characteristics and emission. Renew. Energy 2017, 101, 930–936. [Google Scholar] [CrossRef]
- Badday, A.S.; Abdullah, A.Z.; Lee, K.-T. Optimization of biodiesel production process from Jatropha oil using supported heteropolyacid catalyst and assisted by ultrasonic energy. Renew. Energy 2013, 50, 427–432. [Google Scholar] [CrossRef]
- Varuvel, G.; Mrad, N.; Tazerout, M.; Aloui, F. Experimental analysis of biofuel as an alternative fuel for diesel engines. Appl. Energy 2012, 94, 224–231. [Google Scholar] [CrossRef]
- Alptekin, E.; Canakci, M.; Ozsezen, A.N.; Turkcan, A.; Sanli, H. Using waste animal fat based biodiesels–bioethanol–diesel fuel blends in a DI diesel engine. Fuel 2015, 157, 245–254. [Google Scholar] [CrossRef]
- Łabecki, L.; Cairns, A.; Xia, J.; Megaritis, A.; Zhao, H.; Ganippa, L. Combustion and emission of rapeseed oil blends in diesel engine. Appl. Energy 2012, 95, 139–146. [Google Scholar] [CrossRef]
- Sathish, T.; Agbulut, Ü.; Kumari, V.; Rathinasabapathi, G.; Karthikumar, K.; Jyothi, N.R.; Kandavalli, S.R.; Muni, T.V.; Saravanan, R. Energy recovery from waste animal fats and detailed testing on combustion, performance, and emission analysis of IC engine fueled with their blends enriched with metal oxide nanoparticles. Energy 2023, 284, 129287. [Google Scholar] [CrossRef]
- Gad, M.S.; Uysal, C.; El-Shafay, A.S.; Ağbulut, Ü. Exergetic and exergoeconomic assessments of a diesel engine fuelled with waste chicken fat biodiesel-diesel blends. Energy 2024, 293, 130676. [Google Scholar] [CrossRef]
- Heywood, J.B. Internal Combustion Engines Fundamentals; McGraw-Hill: New York, NY, USA, 1988. [Google Scholar]
- Ambrozik, A. Analiza Cykli Pracy Czterosuwowych Silników Spalinowych; Wydawnictwo Politechniki Świętokrzyskiej w Kielcach: Kielce, Poland, 2010. (In Polish) [Google Scholar]
- Kurczyński, D.; Łagowski, P. Performance indices of a common rail-system CI engine powered by diesel oil and biofuel blends. J. Energy Inst. 2019, 92, 1897–1913. [Google Scholar] [CrossRef]
- Orliński, P.; Laskowski, P.; Zimakowska-Laskowska, M.; Mazuruk, P. Assessment of the Impact of the Addition of Biomethanol to Diesel Fuel on the Coking Process of Diesel Engine Injectors. Energies 2022, 15, 688. [Google Scholar] [CrossRef]
- Kamela, W.; Wojs, M.K.; Orliński, P. Calculation Method for Assessing the Storage Capacity of Nitrogen Compounds in LNT Reactors. Energies 2022, 15, 7819. [Google Scholar] [CrossRef]
- Laskowska, M.; Laskowski, P.; Wojs, M.K.; Orliński, P. Prediction of Pollutant Emissions in Various Cases in Road Transport. Appl. Sci. 2022, 12, 11975. [Google Scholar] [CrossRef]
- AVL. AVL-Development, Testing & Simulation of Powertrain Systems. Available online: https://www.avl.com/?avlregion=GLOBAL&groupId=10138&lang=en_US (accessed on 13 July 2022).
- PN-EN 590+A1:2017-06; Paliwa do Pojazdów Samochodowych. Oleje Napędowe. Wymagania i Metody Badań. Polski Komitet Normalizacyjny: Warsaw, Poland, 2017. (In Polish)
- Milojević, S.; Glišović, J.; Savić, S.; Bošković, G.; Bukvić, M.; Stojanović, B. Particulate Matter Emission and Air Pollution Reduction by Applying Variable Systems in Tribologically Optimized Diesel Engines for Vehicles in Road Traffic. Atmosphere 2024, 15, 184. [Google Scholar] [CrossRef]
- Kurczyński, D.; Wcisło, G.; Łagowski, P. Experimental Study of Fuel Consumption and Exhaust Gas Composition of a Diesel Engine Powered by Biodiesel from Waste of Animal Origin. Energies 2021, 14, 3472. [Google Scholar] [CrossRef]
- Qi, D.; Bae, C.; Feng, Y.; Jia, C.; Bian, Y. Combustion and emission characteristics of a direct injection compression ignition engine using rapeseed oil based microemulsions. Fuel 2013, 107, 570–577. [Google Scholar] [CrossRef]
- Kuszewski, H. Experimental investigation of the autoignition properties of ethanol–biodiesel fuel blends. Fuel 2019, 235, 1301–1308. [Google Scholar] [CrossRef]
- PN-C-04375-3:2013-07; Badanie Paliw Stałych i Ciekłych. Oznaczanie Ciepła Spalania w Bombie Kalorymetrycznej i Obliczanie Wartości Opałowej. Część 3: Metoda z Zastosowaniem Kalorymetru z Płaszczem Adiabatycznym. Polski Komitet Normalizacyjny: Warsaw, Poland, 2013. (In Polish)
- PN-EN ISO 2719:2016-08; Oznaczanie Temperatury Zapłonu. Metoda Zamkniętego Tygla Pensky’ego-Martensa. Polski Komitet Normalizacyjny: Warsaw, Poland, 2018. (In Polish)
- PN-EN ISO 3104:2004; Oznaczanie Lepkości Kinematycznej i Obliczanie Lepkości Dynamicznej Paliw i Biopaliw. Polski Komitet Normalizacyjny: Warsaw, Poland, 2004. (In Polish)
- PN-EN ISO 12185:2002; Ropa Naftowa i Przetwory Naftowe. Oznaczanie Gęstości. Metoda Oscylacyjna z U-rurką. Polski Komitet Normalizacyjny: Warsaw, Poland, 2002. (In Polish)
- PN-EN ISO 5165:2003; Przetwory Naftowe. Oznaczanie Właściwości Zapłonowych Olejów Napędowych. Metoda Silnikowa Oznaczania Liczby Cetanowej. Polski Komitet Normalizacyjny: Warsaw, Poland, 2003. (In Polish)
- PN-EN ISO 12937:2005; Przetwory Naftowe. Oznaczanie Wody—Miareczkowanie Kulometryczne Metodą Karla Fischera. Polski Komitet Normalizacyjny: Warsaw, Poland, 2005. (In Polish)
- EN 116:2015; Diesel and Domestic Heating Fuels-Determination of Cold Filter Plugging Point-Stepwise Cooling Bath Method. Polski Komitet Normalizacyjny: Warsaw, Poland, 2015.
- PN-EN ISO 12156-1:2018-12; Oleje Napędowe-Ocena Smarności z Zastosowaniem Aparatu o Ruchu Posuwisto-Zwrotnym Wysokiej Częstotliwości (HFRR). Część 1: Metoda Badania. Polski Komitet Normalizacyjny: Warsaw, Poland, 2018. (In Polish)
- PN-EN 14103:2012; Produkty Przetwarzania Olejów i Tłuszczów. Estry Metylowe Kwasów Tłuszczowych (FAME). Oznaczanie Zawartości Estrów i Estru Metylowego Kwasu Linolenowego. Polski Komitet Normalizacyjny: Warsaw, Poland, 2012. (In Polish)
- Żółty, M.; Krasodomski, W. Stabilność oksydacyjna estrów metylowych kwasów tłuszczowych stanowiących samoistne paliwo lub biokomponent olejów napędowych. Nafta-Gaz 2017, 5, 399–405. (In Polish) [Google Scholar] [CrossRef]
- Wcisło, G. Analiza Wpływu Odmian Rzepaku na Właściwości Biopaliw RME i Parametry Pracy Silnika o Zapłonie Samoczynnym; Wydawnictwo FALL: Kraków, Poland, 2013. (In Polish) [Google Scholar]
- Milojević, S.; Savić, S.; Marić, D.; Stopka, O.; Krstić, B.; Stojanović, B. Correlation between Emission and Combustion Characteristics with the Compression Ratio and Fuel Injection Timing in Tribologically Optimized Diesel Engine. Teh. Vjesn. 2022, 29, 1210–1219. [Google Scholar] [CrossRef]
- Gajević, S.; Marković, A.; Milojević, S.; Ašonja, A.; Ivanović, L.; Stojanović, B. Multi-Objective Optimization of Tribological Characteristics for Aluminum Composite Using Taguchi Grey and TOPSIS Approaches. Lubricants 2024, 12, 171. [Google Scholar] [CrossRef]
- Lee, K.; Cho, H. Comparative Analysis of Performance and Emission Characteristics of Biodiesels from Animal Fats and Vegetable Oils as Fuel for Common Rail Engines. Energies 2024, 17, 1711. [Google Scholar] [CrossRef]
- Pramudito, Y.; Wirahadi, D.; Faturrahman, N.A.; Supriadi, F.; Bethari, S.A.; Rulianto, D.; Widodo, S.; Respatiningsih, C.Y.; Aisyah, L.; Wibowo, C.S.; et al. Comparison performance ci engine of using high-speed diesel fuel-biodiesel blend (b30) and (b40) on diesel engine dyno test. IOP Conf. Ser. Earth Environ. Sci. 2022, 1034, 012058. [Google Scholar] [CrossRef]
- Czarnocka, J.; Malinowski, A.; Sitnik, L. Assessment of physicochemical properties ternary biofuels to power diesel engines. Arch. Motoryz. 2011, 4, 39–44. (In Polish) [Google Scholar] [CrossRef]
- Dhande, D.Y.; Navale, S.J. The experimental investigations on the performance and emissions of compression ignition engine fuelled with lower blends of neem-based biodiesel Archives of Automotive Engineering. Arch. Motoryz. 2024, 103, 57. [Google Scholar] [CrossRef]














| Parameter | Value |
|---|---|
| Manufacturer | Perkins |
| Cylinder arrangement | Row |
| Number of cylinders | 4 |
| Displacement capacity | 4.4–10−3 m3 |
| Compression ratio | 18.2:1 |
| Type of power system | Direct |
| Injection pump model | Delphi DP310 rotary pump |
| Air supply system | Turbocharger |
| Camshaft placement | In the engine block |
| Camshaft drive | Sprockets |
| Number of valves per cylinder | 2 |
| Maximum engine power | 75 kW |
| Maximum torque | 416.0 Nm |
| Maximum n power speed | 2200 rpm |
| Maximum torque speed | 1400 rpm |
| Destination | Type/Manufacturer |
|---|---|
| Cylinder pressure | AVL GH13P/AG04 (AVL List GmbH, Graz, Austria) |
| Crankshaft rotation angle | AVL 365 C (AVL List GmbH, Graz, Austria) |
| Data processing | AVL IndiSmart 612 (AVL List GmbH, Graz, Austria) |
| Software | AVL IndiMobile 2012 (AVL List GmbH, Graz, Austria) |
| Load brake | AMX200/6000 (ODIUT Automex, Gdańsk, Poland) |
| Property | Method | Value | |
|---|---|---|---|
| AME | DF | ||
| Higher heating value, MJ/kg | PN-C-04375-3 [58] | 42.23 | 46.32 |
| Lower heating value, MJ/kg | PN-C-04375-3 [58] | 38.67 | 43.34 |
| Flash point, °C | EN ISO 2719 A [59] | 116.2 | 58.5 |
| Viscosity at 40 °C, mm2/s | EN ISO 3104 [60] | 4.32 | 2.11 |
| Density at 15 °C, g/cm3 | PN-EN ISO 12185 [61] | 0.883 | 0.828 |
| Cetane number (CN) | EN ISO 5165 [62] | 55.4 | 51.7 |
| Water content, mg/kg | EN ISO 12937 [63] | 84 | 24 |
| Cold filter plugging point, °C | EN 116 [64] | 13 | −27 |
| Lubricity (WSD), μm | PN-EN ISO 12156 (1) [65] | 614 | 408 |
| HPLC total aromatics, % (m/m) | Infrared analysis (instrument TD PPA-PetroSpec by PAC) | - | 16.3 |
| HPLC PNA aromatics, % (m/m) | Infrared analysis (instrument TD PPA-PetroSpec by PAC) | - | 1.4 |
| FAME content, % (v/v) | (DF-Irox Diesel apparatus, PN-EN 14103 [66]) | 100 | 0.1 |
| T Load (Nm) | Load (%) | BMEP (MPa) | Fuel Mass Per Cycle (mg/cycle) | |||
|---|---|---|---|---|---|---|
| 1400 rpm | 2200 rpm | |||||
| DF | AME | DF | AME | |||
| 20 | 4.55 | 0.06 | 11 | 12 | 14 | 16 |
| 50 | 11.36 | 0.14 | 15 | 17 | 18 | 19 |
| 100 | 22.73 | 0.29 | 23 | 26 | 26 | 29 |
| 150 | 34.09 | 0.43 | 32 | 34 | 35 | 40 |
| 200 | 45.45 | 0.57 | 39 | 45 | 45 | 52 |
| 250 | 56.82 | 0.71 | 53 | 53 | 51 | 68 |
| 300 | 68.18 | 0.86 | 57 | 62 | 61 | 70 |
| 350 | 79.55 | 1.00 | 65 | 72 | 67 | - |
| 400 | 90.91 | 1.14 | 71 | 81 | - | - |
| 440 | 100 | 1.26 | 82 | - | - | - |
| T (Nm) | Quantities Measured Directly | |||||||||
|---|---|---|---|---|---|---|---|---|---|---|
| ΔT (Nm) | ΔP (kW) | ΔFC (kg/h) | Δpmax (MPa) | Δαpmax (CA) | Δdp/dα (MPa/CA) | Δα 5% (CA) | Δα 10% (CA) | Δα 50% (CA) | Δα 90% (CA) | |
| 20 | 0.0076 | 0.0011 | 0.0014 | 0.0566 | 0.0405 | 0.0140 | 0.0214 | 0.0085 | 0.0127 | 0.0562 |
| 50 | 0.0169 | 0.0024 | 0.0079 | 0.0644 | 0.0598 | 0.0162 | 0.0172 | 0.0133 | 0.0183 | 0.0622 |
| 100 | 0.0113 | 0.0017 | 0.0115 | 0.0699 | 0.0500 | 0.0200 | 0.0117 | 0.0144 | 0.0314 | 0.0620 |
| 150 | 0.0170 | 0.0023 | 0.0396 | 0.0581 | 0.0768 | 0.0185 | 0.0171 | 0.0164 | 0.0342 | 0.0709 |
| 200 | 0.0126 | 0.0021 | 0.0093 | 0.0082 | 0.0157 | 0.0158 | 0.0208 | 0.0182 | 0.0300 | 0.0849 |
| 250 | 0.0136 | 0.0025 | 0.0036 | 0.0081 | 0.0151 | 0.0141 | 0.0140 | 0.0130 | 0.0244 | 0.0706 |
| 300 | 0.0131 | 0.0031 | 0.0075 | 0.0091 | 0.0154 | 0.0148 | 0.0134 | 0.0130 | 0.0216 | 0.0579 |
| 350 | 0.0170 | 0.0057 | 0.0277 | 0.0117 | 0.0194 | 0.0206 | 0.0111 | 0.0167 | 0.0227 | 0.0648 |
| 400 | 0.0181 | 0.0055 | 0.0136 | 0.0383 | 0.0961 | 0.0174 | 0.0110 | 0.0140 | 0.0242 | 0.0754 |
| 440 | 0.0076 | 0.0011 | 0.0125 | 0.0782 | 0.0880 | 0.0195 | 0.0149 | 0.0174 | 0.0279 | 0.0835 |
| T (Nm) | Quantities Measured Directly | |||||||||
|---|---|---|---|---|---|---|---|---|---|---|
| ΔT (Nm) | ΔP (kW) | ΔFC (kg/h) | Δpmax (MPa) | Δαpmax (CA) | Δdp/dα (MPa/CA) | Δα 5% (CA) | Δα 10% (CA) | Δα 50% (CA) | Δα 90% (CA) | |
| 20 | 0.0528 | 0.0029 | 0.0014 | 0.0619 | 0.0620 | 0.0989 | 0.0586 | 0.0486 | 0.0236 | 0.0652 |
| 50 | 0.0111 | 0.0026 | 0.0023 | 0.0983 | 0.0768 | 0.0149 | 0.0698 | 0.0260 | 0.0385 | 0.0790 |
| 100 | 0.0122 | 0.0029 | 0.0030 | 0.0107 | 0.0295 | 0.0163 | 0.0804 | 0.0334 | 0.0463 | 0.0819 |
| 150 | 0.0095 | 0.0024 | 0.0118 | 0.0105 | 0.0188 | 0.0152 | 0.0101 | 0.0363 | 0.0439 | 0.0106 |
| 200 | 0.0116 | 0.0028 | 0.0117 | 0.0109 | 0.0203 | 0.0155 | 0.0391 | 0.0143 | 0.0360 | 0.0901 |
| 250 | 0.0131 | 0.0034 | 0.0050 | 0.0119 | 0.0292 | 0.0204 | 0.0300 | 0.0130 | 0.0317 | 0.0990 |
| 300 | 0.0135 | 0.0044 | 0.0360 | 0.0124 | 0.0201 | 0.0185 | 0.0185 | 0.0164 | 0.0308 | 0.0953 |
| 350 | 0.0124 | 0.0041 | 0.0254 | 0.0168 | 0.0148 | 0.0200 | 0.0148 | 0.0175 | 0.0297 | 0.0118 |
| T (Nm) | Quantities Measured Directly | |||||||||
|---|---|---|---|---|---|---|---|---|---|---|
| ΔT (Nm) | ΔP (kW) | ΔFC (kg/h) | Δpmax (MPa) | Δαpmax (CA) | Δdp/dα (MPa/CA) | Δα 5% (CA) | Δα 10% (CA) | Δα 50% (CA) | Δα 90% (CA) | |
| 20 | 0.0101 | 0.0015 | 0.0062 | 0.0461 | 0.0407 | 0.0133 | 0.0692 | 0.0112 | 0.0150 | 0.0346 |
| 50 | 0.0101 | 0.0016 | 0.0091 | 0.0716 | 0.0712 | 0.0960 | 0.0101 | 0.0122 | 0.0273 | 0.0462 |
| 100 | 0.0120 | 0.0019 | 0.0063 | 0.0850 | 0.0687 | 0.0202 | 0.0172 | 0.0148 | 0.0284 | 0.0519 |
| 150 | 0.0133 | 0.0022 | 0.0027 | 0.0746 | 0.0711 | 0.0271 | 0.0145 | 0.0125 | 0.0300 | 0.0606 |
| 200 | 0.0157 | 0.0042 | 0.0020 | 0.0085 | 0.0198 | 0.0187 | 0.0086 | 0.0093 | 0.0228 | 0.0591 |
| 250 | 0.0206 | 0.0053 | 0.0052 | 0.0123 | 0.0029 | 0.0256 | 0.0126 | 0.0109 | 0.0205 | 0.0577 |
| 300 | 0.0159 | 0.0065 | 0.0186 | 0.0434 | 0.0078 | 0.0158 | 0.0125 | 0.0123 | 0.0208 | 0.0548 |
| 350 | 0.0171 | 0.0054 | 0.0025 | 0.0590 | 0.0017 | 0.0977 | 0.0112 | 0.0163 | 0.0232 | 0.0698 |
| 400 | 0.0242 | 0.0091 | 0.0079 | 0.0664 | 0.0077 | 0.0217 | 0.0114 | 0.0139 | 0.0213 | 0.0806 |
| T (Nm) | Quantities Measured Directly | |||||||||
|---|---|---|---|---|---|---|---|---|---|---|
| ΔT (Nm) | ΔP (kW) | ΔFC (kg/h) | Δpmax (MPa) | Δαpmax (CA) | Δdp/dα (MPa/CA) | Δα 5% (CA) | Δα 10% (CA) | Δα 50% (CA) | Δα 90% (CA) | |
| 20 | 0.0097 | 0.0231 | 0.0318 | 0.0677 | 0.080 | 0.0614 | 0.0585 | 0.0220 | 0.0368 | 0.0673 |
| 50 | 0.0106 | 0.0253 | 0.0165 | 0.0769 | 0.084 | 0.0176 | 0.0681 | 0.0124 | 0.0330 | 0.0655 |
| 100 | 0.0115 | 0.0286 | 0.0363 | 0.0646 | 0.051 | 0.0249 | 0.0498 | 0.0210 | 0.0385 | 0.0631 |
| 150 | 0.0190 | 0.0459 | 0.0410 | 0.0160 | 0.039 | 0.0201 | 0.0579 | 0.0246 | 0.0424 | 0.0932 |
| 200 | 0.0119 | 0.0313 | 0.0343 | 0.0115 | 0.021 | 0.0169 | 0.0390 | 0.0147 | 0.0266 | 0.0819 |
| 250 | 0.0138 | 0.0351 | 0.0251 | 0.0130 | 0.027 | 0.0193 | 0.0867 | 0.0142 | 0.0289 | 0.0922 |
| 300 | 0.0154 | 0.0664 | 0.0684 | 0.0133 | 0.060 | 0.0185 | 0.0378 | 0.0163 | 0.0249 | 0.0963 |
Disclaimer/Publisher’s Note: The statements, opinions and data contained in all publications are solely those of the individual author(s) and contributor(s) and not of MDPI and/or the editor(s). MDPI and/or the editor(s) disclaim responsibility for any injury to people or property resulting from any ideas, methods, instructions or products referred to in the content. |
© 2024 by the authors. Licensee MDPI, Basel, Switzerland. This article is an open access article distributed under the terms and conditions of the Creative Commons Attribution (CC BY) license (https://creativecommons.org/licenses/by/4.0/).
Share and Cite
Łagowski, P.; Wcisło, G.; Kurczyński, D. Study of Combustion Process Parameters in a Diesel Engine Powered by Biodiesel from Waste of Animal Origin. Energies 2024, 17, 5857. https://doi.org/10.3390/en17235857
Łagowski P, Wcisło G, Kurczyński D. Study of Combustion Process Parameters in a Diesel Engine Powered by Biodiesel from Waste of Animal Origin. Energies. 2024; 17(23):5857. https://doi.org/10.3390/en17235857
Chicago/Turabian StyleŁagowski, Piotr, Grzegorz Wcisło, and Dariusz Kurczyński. 2024. "Study of Combustion Process Parameters in a Diesel Engine Powered by Biodiesel from Waste of Animal Origin" Energies 17, no. 23: 5857. https://doi.org/10.3390/en17235857
APA StyleŁagowski, P., Wcisło, G., & Kurczyński, D. (2024). Study of Combustion Process Parameters in a Diesel Engine Powered by Biodiesel from Waste of Animal Origin. Energies, 17(23), 5857. https://doi.org/10.3390/en17235857

