Abstract
The burning chamber wall of the ramjet engine is facing an extremely thermal environment during normal conditions. Thermal protection measures must be taken on the wall surface of the combustion chamber. At the same time, the aircraft faces high-power electrical demand problems under high-speed cruising states. To address these issues, a second fluid-closed Brayton cycle system was introduced in this paper. Helium was utilized as the secondary fluid medium, while kerosene was used as the final heat sink. The ramjet engine chamber wall was cooled by the helium cycle system. At the same time, part of the heat absorbed by the helium cycle was transformed into electric power by a generator. This work proposes a new method of thermal management in a closed cycle. Unlike traditional methods, this proposal can regulate the mass flow rate of helium based on the requirement of heat load. A zero-dimensional numerical calculation method was established for thermodynamic analysis. The results show that as the equivalence ratio of 0.8~1.5 for the kerosene flow rate, the system can suffer the thermal load of 200~350 kJ/kg on the combustion chamber wall at the maximum kerosene allowable temperature. To ensure the normal operation of the circulating system, the mass flow ratio between the helium and the air changes from 0.02 to 0.045. Compared with the direct kerosene cooling method, the second fluid circulation method leads to the kerosene equivalent saving ratio by 2% to 14%; at the same time, such a system could generate 160~500 kJ/kg of electrical energy. This new thermal management method can achieve kerosene saving, electric power generating and suffering more thermal loads under the premise of satisfying normal work.
1. Introduction
Ramjet engine is one of the important power equipment of high-speed aircraft, and it has great application prospects in near space. When the ramjet is in normal operation conditions, the temperature of the combustion chamber is generally over 2000 K or even more than 3000 K [1,2,3]. The combustion chamber walls face a severe thermal environment, and thermal protection measures must be taken. There are two main categories of engine thermal protection technology: active cooling and passive cooling. The active cooling methods have obvious advantages in lower structural weight and lower cost [4,5]. Although there are obvious advantages of passive cooling, bottlenecks still exist, such as limited cooling sources and income cooling components heat transfer and low efficiency [5].
The ramjet engines’ active cooling methods include film cooling, radiant cooling, transpiration cooling, and regenerative cooling [6]. Air film cooling relies on the use of incoming air to cool high-temperature components, but the cooling effect is very poor when the total temperature of incoming air at high speed exceeds 900 K. This technology cannot be applied to the combustion chamber cooling of scramjet engines. As shown in Figure 1. The scramjet is a type of jet engine that uses compressed air in place of conventional turbines to create thrust. Therefore, the high-temperature supersonic income gas cannot be used as a combustion chamber cooling source when this type of engine is in operation. Radiation cooling uses material radiation for heat dissipation, but the heat dissipation power is relatively low, and it is not suitable for high hot load conditions. Transpiration cooling is complicated, and the structure’s reliability is poor. It is difficult to avoid fuel coking. In the regenerative cooling system, the fuel is used as the final heat sink. The fuel is injected into the combustion chamber after absorbing heat from the high-temperature surface of the chamber wall. This proposal could make engines work for a longer time [7]. Since the heat absorbed by fuel would finally return to the combustion chamber, it could not impact engine performance significantly. Therefore, regenerative cooling methods are considered as a candidate cooling method for ramjets [8,9].
Figure 1.
Schematic diagram of helium closed Brayton cycle for scramjet.
At present, many research institutions have carried out research on the cooling technology of ramjet engines. Ma, J.C. and Bao, W. [10,11] established a fast simulation model of an unsteady state for hydrocarbon fuel regenerative cooling technology from the perspective of control. The simulation verifies a one-dimensional coupling model that could satisfy the required precision of the control system, and the one-dimensional parameter distribution is obtained. Zhang, J. [12] established an ultra-high temperature heating simulation test system for the regenerative cooling structure of a ramjet engine and successfully completed the transient heat test of the regenerative cooling plate structure at 1500 °C, which proved the reliability of the test system. Qin, A. [13,14] employed a multi-objective genetic algorithm and penalty function method to optimize the regenerative cooling structure of the scramjet engine. The aircraft has a significant demand for electric energy when it is cruising at high speed. Meanwhile, the engine’s heat source can be utilized for electric energy generation. Li, X.C. [15,16,17] studied the active cooling system scheme of a scramjet engine based on thermal-electric transform. They also analyzed the heat utilization potential of scramjet walls. The three types of system schemes, direct thermal-electric conversion system, indirect thermoelectric conversion and combined thermal-electric conversion, were analyzed and compared. The application of direct thermoelectric conversion materials is limited by the need for stable temperature differences, and the thermoelectric conversion efficiency in high temperatures is not stable enough. It is found that the thermal cycle system scheme with helium as the expansion working medium shows more advantages in the cooling of long-period working engines in high-temperature ranges.
With the development and improvement of regenerative cooling technology, a new thermal protection scheme known as Second Fluid Cooling (SFC) has been proposed, which could offer better thermal protection and higher output power. This concept was first introduced by Robert, J.B. and Vladimir, V.B. in 2007 [18]. As illustrated in Figure 1, the cycle uses kerosene as a coolant and introduces the helium-closed cycle as the second fluid of heat transfer. The Helium flow completes thermal protection on the wall of the combustion chamber, drives the fuel pump and helium compressor in the way of the Brayton cycle and generates electricity. Compared with direct cooling, the introduction of the second fluid helium Brayton cycle, one superiority is to expand the flight Mach number of the ramjet engine, the other is to obtain a higher thermal protection margin [19]. Bao, W. [20] studied the influence of parameters such as heat transfer effectiveness, heat source temperature ratio and total pressure recovery coefficient on fuel-saving efficiency for this cycle mode. The results showed that the fuel-saving percentage of this cycle could reach more than 20% to achieve the same cooling effect.
Miao, H.Y. et al. [21,22] compared the performance of different closed Brayton cycles in the cooling system of a ramjet engine. They conducted a comparative analysis of the cycle performance of supercritical carbon dioxide and helium. It was found that a higher pressure ratio can reduce pressure loss. Both supercritical carbon dioxide and helium can save nearly 20% of fuel consumption. The fuel-saving ratio could be further improved by the carbon dioxide Brayton cycle with the addition of regenerative components. However, there are disadvantages that exist in the cycle system of ramjet with carbon dioxide as the medium. For instance, the chamber wall will suffer a higher temperature.
The previous research lacks a study on the impact of thermal load on the thermodynamic parameters of the Brayton cycle. On the other hand, the previous researchers merely studied the mass flow control patterns of the helium closed cycle.
In order to further study the thermal parameter distribution, thermal protection performance and power generation effect of the second fluid Brayton cycle. A numerical model for the calculation and evaluation of the helium-closed Brayton cycle was established in this paper to evaluate the interaction law of wall thermal load, helium mass flow, helium compressor boost ratio, helium turbine expansion ratio, kerosene temperature, power generation rate and other factors.
2. Numerical Calculation
2.1. Physical Model
The second fluid cooling (SFC) cycle uses helium as the second fluid, and a closed Brayton cycle (CBC) is used for thermal protection of the engine combustion chamber. The fuel serves as the heat sink in the cooling process. The fundamental principle is illustrated in Figure 1.
The closed cycle of the second fluid includes four stages: compression, endothermic, expansion, and cooling. In this work, helium is used as the second fluid medium. First, helium is compressed by the compressor and then flows through the cooling pipe on the wall of the combustion chamber to cool the wall of the combustion chamber and absorb heat by itself. At this time, helium reaches a state of high temperature and pressure and then flows into the turbine for expansion. The turbine is coaxial and connected to the compressor, fuel pump and generator. Part of the output power of the turbine is used to pressurize the helium by the compressor, and part of the output power drives the fuel pump to complete the fuel suction. In addition, a certain amount of electric energy can be generated according to demand. The expanded helium then exchanges heat with the fuel in the heat exchanger, in which the helium is cooled to the initial state and completes the closed cycle. The pumped fuel reaches a high-temperature state after cooling the helium in the heat exchanger and is then injected into the combustion chamber for combustion.
The mass flow of the fuel and the second fluid in the closed cycle are adjusted according to different flight conditions. As shown in Figure 1, the adjustment of helium mass flow is controlled by valve 1 and valve 2. The helium entering the circulating pipeline through valve 1 is in its initial state, while the helium flowing into the tank through valve 2 is in a high-pressure, low-temperature state.
2.2. Numerical Modeling
The performance calculation model for each component of the loop is established by using the component method. The parameter distribution for each cycle point is shown in Figure 2. The thermodynamic cycle components include the second fluid storage tank, helium compressor, generator, helium turbine, fuel pump, heat exchanger, and the thermal protection wall of the combustion chamber. The helium storage pressure in the second fluid storage tank is 1.3 MPa, and the temperature is 300 K. Due to the different pressures required for helium to inflow and outflow of the closed-cycle system, it is necessary to set up two separate storage tanks. The physical parameters of helium used in the calculation process refer to data from the National Institute of Standards and Technology (NIST).
Figure 2.
The parameter distribution of thermodynamic cycle.
- (I)
- The first phase of the helium Brayton cycle is the compression stage. The power consumed by the compressor is converted into an enthalpy increase for the helium. The pressure of helium at the outlet of the compressor is determined by the compressor pressure ratio.
In the Equations (1)–(4), the represents the actual power consumption of the compressor. The and represent the mass flow rates of helium and incoming air respectively. The is the average specific heat capacity of helium in the compressor. The and are the temperature of helium from the outlet and inlet of the compressor respectively. represents the specific heat ratio. The is the adiabatic efficiency of the compressor. The and are the pressure of helium from the outlet and inlet of the compressor, respectively. The is the pressure ratio of the compressor. The is the mass ratio of helium to air. In order to ensure that the helium temperature and pressure could be circulated, the helium mass flow ratio would be adjusted correspondingly.
- (II)
- In the second phase, the heat is absorbed by the helium, which flows through the thermal protection channel of the combustion chamber.
In the Equations (5) and (6), the is the thermal load on the wall of the combustion chamber, representing the unit gas mass of helium. The is the average specific heat capacity of helium during the heat absorbing process. The and are the temperature and pressure of helium after absorbing heat from the wall of the combustion chamber. The total pressure recovery coefficient of the thermal protection channel of the combustion chamber wall is described by .
- (III)
- In the third phase, the enthalpy is released by helium expanding in the fuel pump turbine, compressor and generator.
In the Equations (7)–(9), the represents the turbine power. The and are the temperature and pressure of helium at the turbine outlet, respectively. The is the turbine pressure ratio. The is the turbine efficiency. The is the average specific heat capacity of helium during expansion.
- (IV)
- Finally, helium exchanges heat with kerosene in the heat exchanger, and its physical parameters are restored to the initial state after being cooled by the kerosene.
In the Equations (10)–(12), The and are the temperature of fuel at the outlet and inlet of the heat exchanger, respectively. The and are the temperature and pressure of helium at the outlet of the heat exchanger, respectively. The is the total pressure recovery coefficient of helium in the heat exchanger. The is the fuel equivalence ratio, and the is the chemically appropriate ratio of fuel to air. The is the average value of the specific heat capacity of fuel in the heat exchanger. The is the average value of the specific heat capacity of helium in the heat exchanger. The represents the mass flow of fuel. In order to ensure the can be restored to the initial temperature, the fuel equivalence ratio would be adjusted correspondingly.
Kerosene’s physical properties change processes involved two stages. During the first stage, kerosene is sucked and pressed by the fuel pump. In the second stage, after exchanging heat with helium in the heat exchanger, the kerosene was transformed into a high-temperature and high-pressure state. Finally, the kerosene was injected into the combustion chamber.
In the Equations (13) and (14), the represents the power consumption for the fuel pump. The , and are the pressures before fuel pressurization, after fuel pressurization, and after heat transfer, respectively. The is the fuel density. The is the fuel speed after pressurized. The is the pressure loss factor of fuel after flowing through the heat exchanger. The fuel is stored at room temperature. Since the specific heat of aviation kerosene (RP-3) is selected, aviation kerosene is pressurized to 5.0 MPa under all working conditions to make the best use of the kerosene heat sink. The heat capacity of the fuel is displayed as Table 1 shown. Under different working conditions, the pressure loss factors of kerosene flowing through the heat exchanger are approximately equal.
Table 1.
The heat capacity of RP-3 under different pressures in 700~1200 K temperature range (J/kg·K).
In the iterative process, three constraint Equation (15) need to be maintained. The first equation represents the temperature of helium. The helium needs to return to its initial state after kerosene cooling. The second equation represents the pressure of helium. The helium must be restored to its initial state after passing through the heat exchanger. The third equation represents the power balance. These constraint equations are shown as follows. The thermodynamic cyclic equations are solved by the Newton iteration method.
where the and are the temperatures of helium after cooling and in the initial state, respectively. The represents the power consumption by the electric generator. The equations were considered convergent when the residual of the equations was less than 10−4.
According to the conservation of energy, there are three main directions for the heat flowing into the second fluid circulation from the thermal protection wall of the combustion chamber. In the first direction, the heat is consumed by the fuel pump and the compressor. In the second direction, the heat is converted into electrical energy through the generator. In the third direction, it is converted into internal energy after the heat exchange of kerosene, which flows through the heat exchanger. The shaft transmission efficiency of the mechanical rotor is high, and the friction loss is minimal. Therefore, the shaft transmission would not significantly impact the energy distribution. From this, it can be inferred that the higher the heat energy used to generate electrical energy, the lower the amount of heat required to be carried by the kerosene. This indicates that the second fluid cooling cycle measure enhances the thermal protection property on the combustion chamber wall. It is found that utilizing the same equivalent ratio of fuel energy is more efficient. If kerosene is used as direct thermal protection media on the combustion chamber wall, it means the thermal load of the combustion chamber wall is fully converted into the fuel’s internal energy. As shown in Equation (16), the fuel mass flow required to carry the thermal load q of the combustion chamber wall is defined as . The equivalent fuel saving rate brought by the second fluid cooling cycle can be expressed as Equation (16).
where is the relative change in fuel mass flow required to bear the same thermal load, which is used to characterize the degree of fuel saving achieved by the second fluid cooling cycle system.
3. Results and Analysis
In this cycle, the thermal load on the combustion chamber wall and the fuel flow primarily determine the thermodynamic cycle parameters. As the engine has a limitation of fuel mass supply, the fuel mass flow rate determines how much heat the second fluid cycle could absorb from the chamber wall. This work investigates the thermodynamic cycle parameters of the second fluid, considering different fuel flow rates within the thermal load range. This work also includes analyses of the flow rate of the second fluid, temperature changes and pressure changes.
RP-3 was selected as the coolant with a storage temperature of 300 K, storage pressure of 0.5 MPa and a maximum allowable fuel temperature of 1180 K. The cycle parameter distributions were calculated at different mass flow ratios under fuel equivalence ratios of 0.8, 1.0 and 1.2. The maximum operating temperature of helium is 2400 K, and the maximum operating pressure is approximately 40 MPa. The constant power consumed by the power generation device is assumed to be 50% of the helium compressor power.
3.1. Distribution of Thermodynamic Cycle Parameters
Using the condition of a fuel equivalence ratio of as an example, this study examines the changes in thermal parameters at each cycle node.
Figure 3 illustrates the relationship between helium flow rate and temperature after fuel heat transfer under various thermal load conditions. The dotted lines represent different thermal load contours, with the color of the dots transitioning from blue to red, indicating increasing heat. It is evident that at any helium flow rate, an increase in thermal load will eventually raise the fuel temperature as it acts as a heat sink. As the helium flow rate increases, the work consumed by the helium itself and the generator also increases. Consequently, the heat transferred to the fuel by the closed cycle decreases, leading to a downward trend in the fuel temperature after heat exchange. When the helium flow rates are high, the temperature rise after heat absorption is too low to drive the cycle. This results in the absence of a working point for the closed cycle system under low thermal load and high helium flow rate conditions.
Figure 3.
The variation of helium mass ratio and fuel temperature under different heat flow rates.
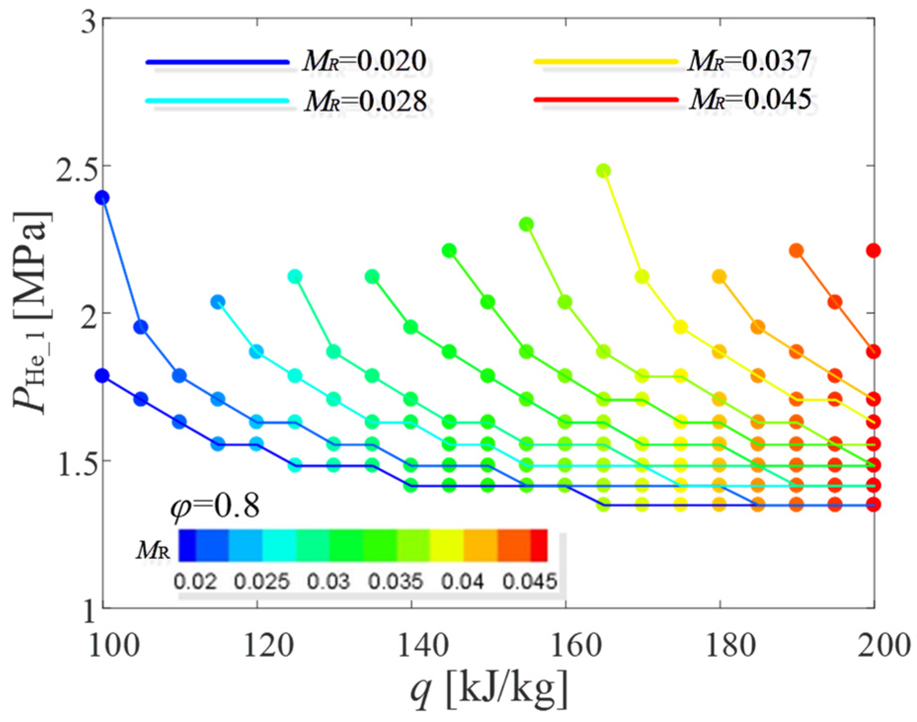
Figure 4 shows that along the constant thermal load line, a larger helium flow rate necessitates a higher pressure ratio to drive the helium cycle. Conversely, under a constant helium flow rate, a higher thermal load requires a lower pressure ratio to drive the closed cycle. This is because helium exhibits better expansion performance at higher temperatures. The range of pressure ratio of the helium compressor was varied from 1.4 to 2.5.
Figure 4.
The variation of compressor pressure ratio.
The initial pressure of helium is 1.0 MPa, increasing to about 2.0 MPa after compression. As shown in Figure 5. In fact, the specific heat capacity of helium changes little with pressure. Therefore, as long as the requirements for expansion and cyclic pressure loss are met, the initial pressure of helium could be adjusted over a larger range. During this adjustment, the pressure ratio changes slightly as long as the pressure does not exceed the upper limit after compression.
Figure 5.
The variation of the helium pressure after pressurization.
The higher the helium flow rate, the higher the turbine power required to drive the cycle. Consequently, the temperature after helium compression is positively correlated with the helium flow rate. As shown in Figure 6. In a high thermal load state, the required expansion ratio is lower, leading to a reduced overall pressure ratio requirement. This results in a smaller temperature rise after compression.
Figure 6.
The variation of the helium temperature after pressurization.
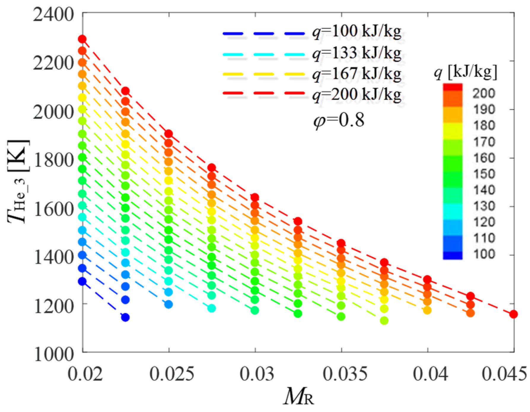
The temperature of helium reaches its highest point after compression and endothermic processes, which range from 1400 K to 2400 K. As shown in Figure 7, during the endothermic stage, the temperature range of helium rises from 800 K to 2000 K.
Figure 7.
The variation of the helium temperature after absorbing heat.
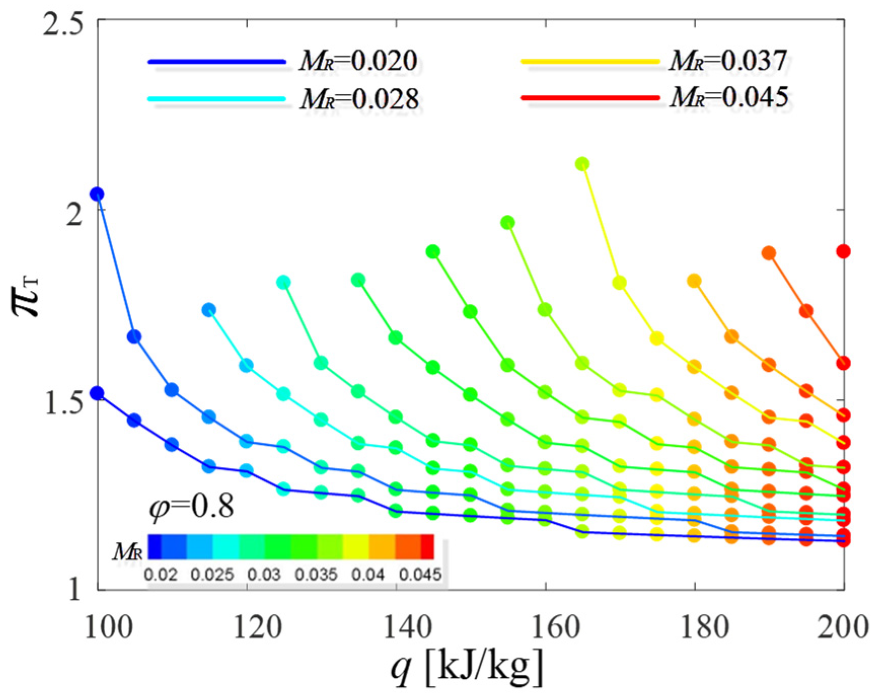
As depicted in Figure 8, the relationship between the turbine expansion ratio, thermal load and helium flow rate is consistent with the relationship between the compressor pressure ratio, thermal load, and helium flow rate. As shown in Figure 9, the pressure expansion ratio ranges from 1.2 to 2.1. As depicted in Figure 10, after helium expansion, both the temperature and pressure decrease. The temperature drops to the ranges between 1100 K and 2300 K.
Figure 8.
The variation of the helium temperature rises after absorbing heat.
Figure 9.
The variation of the turbine pressure ratio.
Figure 10.
The variation of helium temperature after expansion.
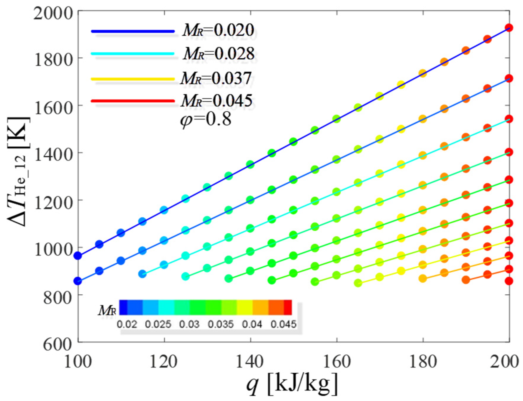
The expanded helium will undergo heat exchange with the low-temperature fuel. Figure 11 illustrates the temperature changes between the helium and the fuel during the heat exchange stage. The helium is cooled by 700 to 1900 K, while the fuel temperature increases by 400 to 900 K. It is shown that the increase in the helium mass flow has a relatively small impact on the temperature rise of the fuel after heat exchange. The cooling amplitude of the helium is approximately inversely proportional to the mass flow rate.
Figure 11.
Temperature variation of fuel and helium during heat exchange.
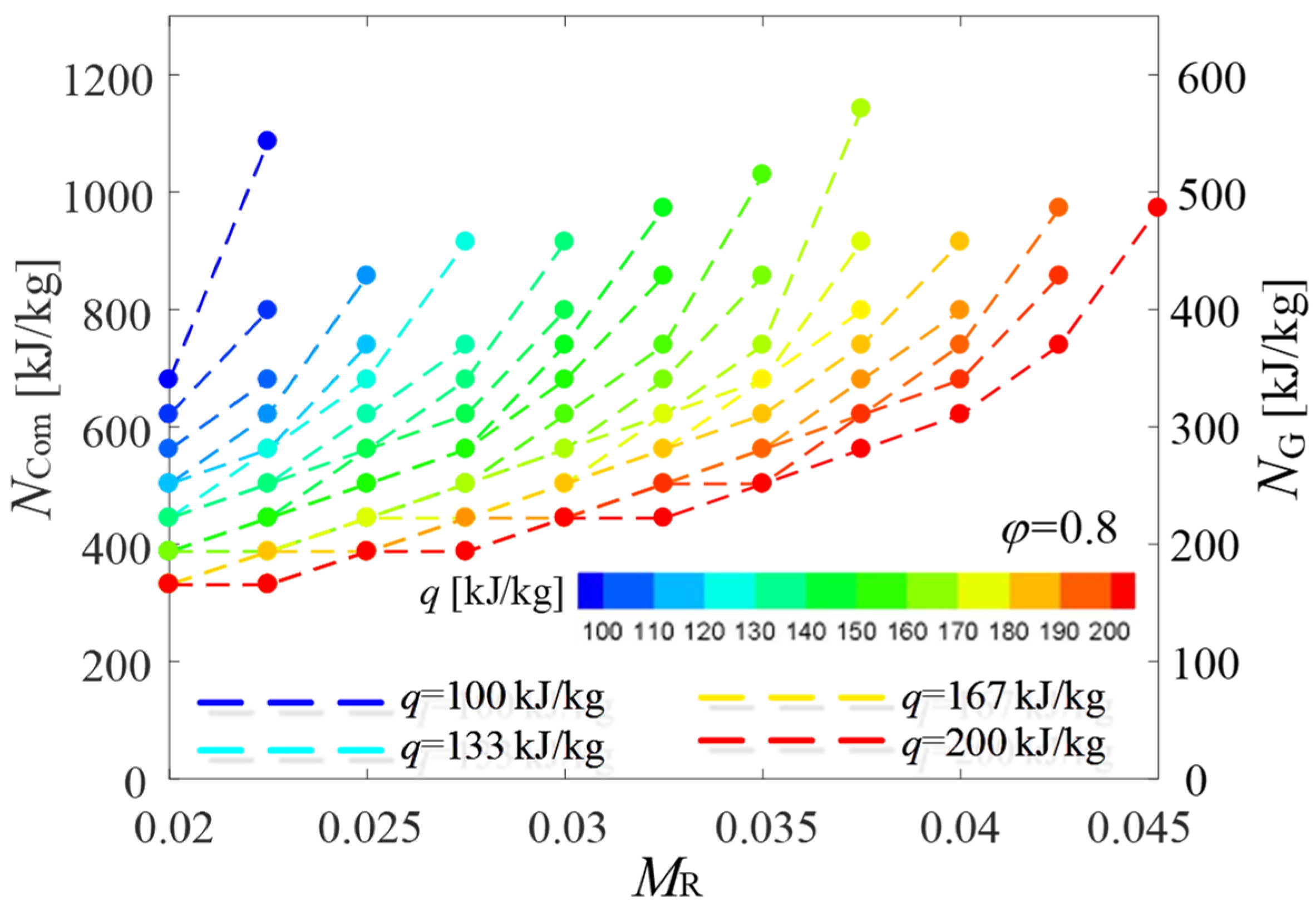
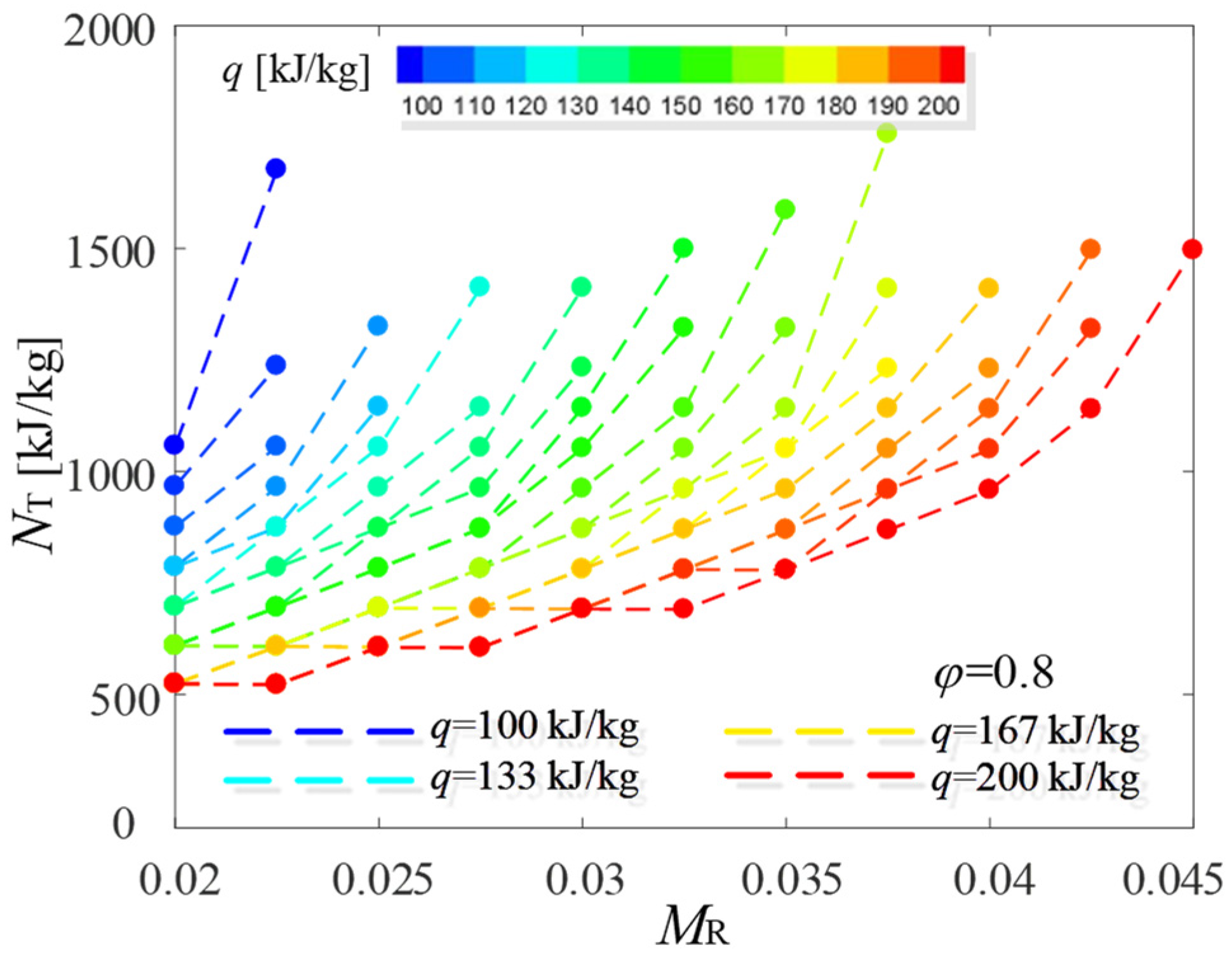
Figure 12 and Figure 13 show the trend of unit power of the helium compressor, generator, and helium turbine in the helium circulation loop. The trends of these two components of power change are similar. The power of both the compressor and turbine increases with the helium mass flow rate but is inversely proportional to the thermal load. The unit power of the compressor ranges from 320 to 1000 kJ/kg. The generator could output power between 160 and 500 kJ/kg, and the turbine’s power ranges from 500 to 1500 kJ/kg. Compared with the helium compressor, the fuel pump’s power consumption is minimal. The generator consumes half the power of the helium compressor.
Figure 12.
The variation of the specific power of the helium compressor.
Figure 13.
The variation of the specific power of the turbine.
The introduction of the second fluid cooling cycle alters the direction of heat energy transfer.
The thermal energy used to drive the flow of helium is ultimately converted into its own internal energy. The heat energy used to drive the RP-3 pump is eventually converted into the internal energy of the fuel. Therefore, the heat energy absorbed by helium from the combustion chamber wall is distributed in three ways. Firstly, it is electrical energy generated by the generator; secondly, it is the internal energy of kerosene; and thirdly, it is friction loss from mechanical transmission, which is released to the surrounding environment as heat dissipation. One of the functions of the helium closed cycle is to convert part of the wall’s thermal load into other forms of energy rather than completely into the internal energy of kerosene. Thus, the energy would not be converted into kerosene internal energy, which could be approximately equivalent to the kerosene mass flow ratio saved by the closed cycle to achieve the same thermal protection effect. Figure 14 shows the equivalent fuel-saving ratio of the helium closed-cycle under different helium flow conditions. It can be observed that the higher the helium mass flow, the better the fuel-saving effect, whereas the greater the thermal load, the worse the fuel-saving effect. The reason is that, under conditions of higher helium flow rate and lower thermal load, the working power of the turbine and generator constitutes a larger proportion of the thermal load power.
Figure 14.
The equivalent fuel reduction of the closed Brayton cycle.
3.2. Effect of Fuel Flow on the Cycle
To maximize the output power of the thermodynamic cycle system, the maximum thermal load and highest helium mass ratio were selected to examine the parameter distribution of the system. As shown in Figure 15, the parameter distribution of the fuel equivalence ratio state cycle system under thermal load and helium mass ratio is illustrated. Initially, the helium temperature is and the pressure is . After compression, the pressure reaches and the temperature rises to , completing the first step of the thermal change. In the second step, helium fully exchanges heat with the high-temperature wall through the combustion chamber’s cooling tube bundle, cooling and protecting the chamber. After heat absorption, the helium temperature rises to and the pressure to . In the third step, helium expands in the turbine, driving the helium compressor, fuel pump, and generator. The temperature drops to and the pressure to . In the final step, the helium in the heat exchanger is cooled to by low-temperature kerosene, with the pressure reduced to after pressure loss, returning the state parameters to the initial state and completing the closed cycle. To fully utilize the kerosene heat sink, kerosene is pressurized to , with its specific heat capacity near maximum at this pressure. Before injection into the combustion chamber, the pressure drops to 4.5 MPa.
Figure 15.
The distribution of thermodynamic parameters with fuel mass equivalence ratio .
When the fuel equivalence ratio is increased to , the power consumption of pressurized fuel increases under the same thermal load and helium mass ratio, resulting in higher output power from the turbine. Consequently, the helium temperature and pressure before the turbine need to be further improved. This leads to an increase in the compressor pressure ratio ranges from 2.21 to 2.23, and the turbine expansion ratio ranges from 1.89 to 2.01. Since the heat absorbed by the circulation system from the combustion chamber wall remains constant, the increased fuel flow rate causes the temperature after the heat exchange between the fuel and helium to decrease from 1093 K to 947 K, as shown in Figure 16.
Figure 16.
The distribution of thermodynamic parameters with fuel mass equivalence ratio .
When the fuel equivalence ratio is further increased to , as shown in Figure 17, the temperature of the fuel after heat exchange drops to only 845 K, indicating that the heat sink is not fully utilized. The thermal load plays a decisive role in the cycle process. This implies that the thermal load capacity of the closed cycle system can be further increased under the condition of fuel equivalence ratio .
Figure 17.
The distribution of thermodynamic parameters with fuel mass equivalence ratio .
When the thermal load continues to increase to , at least of fuel is required to be used in the thermal protection cycle on the combustion chamber wall. Figure 18 shows the distribution of thermal cycle parameters under the condition that the helium mass ratio is Due to the increased thermal load; the helium temperature rises to 1620 K after heat absorption, but the pressure ratios of both the compressor and the turbine remain low. When the fuel temperature reaches 1099 K, which is close to the upper allowable limit, indicating maximum utilization of the fuel heat sink. Under this thermal load condition, the thermal protection effect of the closed cycle can support the aircraft in achieving higher flight speeds.
Figure 18.
The distribution of thermodynamic parameters with fuel mass equivalence ratio .
3.3. The Second Fluid Circulation Flow Control Law
The helium cycle has two main functions. First, it acts as an intermediate medium to transfer heat. The helium cycle moves the thermal load from the combustion chamber wall to the fuel, which serves as the final heat sink. Second, it converts part of the absorbed heat into electrical energy, addressing the high-power electrical energy demands of the aircraft. This process also reduces the heat transferred to the fuel, thereby expanding the upper limit of the heat flow of the combustion chamber under the same fuel flow conditions.
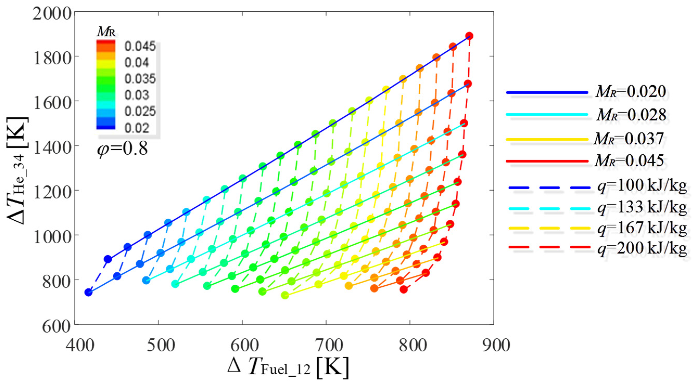
The change in helium flow rate affects both the temperature and electricity generation after fuel heat transfer. The helium cycle must complete the cycle balance and minimize the final fuel temperature within the helium’s temperature and pressure limits. Depending on different thermal load conditions, the helium flow rate needs to be properly regulated to meet the varying requirements of the circulatory system. In the following, the control law of closed-cycle helium flow is designed according to the thermal load on the combustion chamber wall. Figure 19 illustrates the relationship between the helium mass flow ratio and the fuel temperature after heat transfer under different thermal load conditions, with fuel equivalence ratios of 0.8, 1.0, and 1.2, respectively.
Figure 19.
The relation of helium mass flow ratio, wall heat flow rate and fuel temperature after heat exchange.
Figure 19 shows that under different fuel flow conditions, the larger the helium mass flow, the lower the temperature after fuel heat exchange. The circulatory system cannot operate under low thermal load and high helium flow conditions. The figure illustrates the variation of helium flow across five typical working lines. If the cooling cycle system is constrained by the upper limit of the maximum kerosene temperature at 1073 K, working line 1 is obtained. As the thermal load rises to 180 kJ/kg, the helium flow rate needs to gradually increase, and when the thermal load reaches 200 kJ/kg, the helium flow rate must increase to the mass ratio . To maintain low fuel consumption and achieve the lowest possible temperature of the fuel after heat exchange, working line 2 is followed. On this line, the helium mass flow gradually increases from 0.022 to 0.045 as the thermal load increases from 100 kJ/kg to 200 kJ/kg, and the kerosene temperature also increases nearly linearly from 725 K to 1073 K.
During the engine’s operation process, the fuel equivalence ratio consumed by the combustion chamber gradually increases. In the low-speed state, the ratio is 0.8, while in the high-speed state, it can reach 1.2 times the equivalent ratio of fuel. Throughout this process, the fuel temperature can be adjusted according to fuel consumption and helium flow control. Working lines 3 and 4 illustrate the kerosene temperature changes during the gradual increase of the equivalence ratio. If the helium flow rate needs to be minimized, working line 3 is followed, maintaining the helium mass flow ratio at 0.02, with a maximum kerosene temperature of 860 K. If the kerosene flow rate should gradually increase while keeping the temperature low, working line 4 is used. On this line, as the thermal load increases, both the fuel equivalence ratio and the helium mass ratio increase accordingly. The kerosene equivalence ratio rises from 0.8 to 1.2, and the helium mass flow ratio increases from 0.022 to 0.045. The highest temperature of kerosene is approximately 800 K.
If kerosene is required to always maintain the lowest temperature, the kerosene equivalence ratio is kept constant at 1.2, as shown in working line 5. This working line consumes more kerosene, maintaining a maximum temperature of 800 K. When the thermal load is less than 123 kJ/kg, the helium mass flow ratio rises slowly and then increases nearly linearly to 0.045 as the thermal load increases. After the kerosene equivalence ratio reaches 1.2, the maximum temperature of kerosene does not exceed 900 K, indicating that the cycle system can also withstand higher thermal loads.
In summary, according to the thermal load level, the closed cycle can work normally within the upper limit of fuel temperature by reasonably controlling the helium flow under different equivalent ratio conditions, and the helium flow operation line with different design requirements can be obtained. The control of a helium closed-cycle system is relatively complex, and due to the high-pressure state of helium, there is a risk of leakage. This is the limitation of this scheme.
4. Conclusions
This work proposes a new method of thermal management in a closed cycle. Unlike traditional methods, this proposal can regulate the mass flow rate of helium based on the requirement of heat load. Through numerical calculation and analysis of the second fluid Brayton cycle of the ramjet, the following conclusions are obtained.
- (1)
- The thermodynamic analysis model of the second fluid helium closed-cycle was established. The distribution of thermodynamic cycle parameters was explored. The interactions among the wall thermal load of the ramjet, kerosene equivalence ratio, helium cycle temperature, pressure, helium cycle mass flow, turbomachinery power and generator power were obtained.
- (2)
- Within the upper limit of the allowable temperature of kerosene, kerosene with an equivalence ratio of 0.8 can withstand a maximum wall thermal load of 200 kJ/kg, while kerosene with an equivalence ratio of 1.5 can withstand a maximum wall thermal load of 350 kJ/kg. Compared with the traditional direct cooling method, the introduction of the helium circulation system allows kerosene to suffer a higher thermal load.
- (3)
- The introduction of the second fluid circulation system, compared to direct fuel cooling, achieves the same thermal protection effect while saving 2% to 14% of fuel. This is because part of the thermal energy is converted into electrical energy. The circulation system also addresses the power demand for aircraft at high speeds, with power generation reaching 160–500 kJ/kg.
- (4)
- A new method of controlling the helium flow in the closed cycle is proposed according to the thermal load level of the combustion chamber wall. In the range of 0.02~0.045 helium to air mass flow ratio, the helium flow operation lines with different requirements could be designed under different fuel equivalence ratio conditions by adjusting the helium mass flow. Meanwhile, it could be ensured that the closed cycle system could work normally.
- (5)
- The limitations of the helium closed cooling cycle are: first, the control is complicated, and second, the potential risk of leakage.
This new thermal management method can achieve kerosene saving, electric power generating and suffering more thermal loads under the premise of satisfying normal work. The work presented in this paper can serve as a reference for the research and development of comprehensive thermal management and power generation utilization technologies for future scramjet engines. In the future, we will further carry out the integrated optimization design of cooling, heat exchange, and power generation functions.
Author Contributions
Conceptualization, X.Q.; Methodology, J.L.; Validation, X.Q.; Formal analysis, J.L. and Y.X.; Investigation, J.L.; Resources, S.J.; Data curation, S.J.; Writing—original draft, S.H.; Writing—review & editing, S.H.; Project administration, S.Y. All authors have read and agreed to the published version of the manuscript.
Funding
The authors are thankful for the support from the National Natural Science Foundation of China (NSFC) (Grant No. 52207179).
Data Availability Statement
The original contributions presented in the study are included in the article, further inquiries can be directed to the corresponding author/s.
Conflicts of Interest
The authors declare that they have no known competing financial interests or personal relationships that could have appeared to influence the work reported in this paper.
Nomenclature
| SFC | Second Fluid Cooling |
| CBC | Closed Brayton Cycle |
| NIST | National Institute of Standards and Technology |
| Compressor pressure ratio | |
| Mass ratio of helium to air | |
| Average specific heat capacity | |
| Adiabatic efficiency | |
| Turbine pressure ratio |
References
- Edwards, T. Liquid fuels and propellants for aerospace propulsion: 1903–2003. J. Propuls. Power 2003, 19, 1089–1107. [Google Scholar] [CrossRef]
- Newman, R.W. Oxidation-resistant high-temperature materials. Johns Hopkins APL Tech. Dig. 1993, 14, 24–28. [Google Scholar]
- Sillence, M.A. Hydrocarbon Scramjet Engine Technology Flowpath Component Development; AIAA 2002-5158; The American Institute of Aeronautics and Astronautics: New York, NY, USA, 2002. [Google Scholar]
- Youn, B.; Mills, A.F. Cooling panel optimization for the active cooling system of a hypersonic aircraft. J. Thermophys. Heat Transf. 1995, 9, 136–143. [Google Scholar] [CrossRef]
- Feng, G.; Zhang, J.; Luan, G.; Qiu, H.; Bao, W. Research on diffusion characteristics of liquid jet effected by shock wave in supersonic high-enthalpy crossflow. Int. J. Heat Mass Transf. 2024, 222, 125181. [Google Scholar] [CrossRef]
- Zhang, S.; Qin, J.; Zhou, W.; Bao, W. Review on regenerative cooling technology of hypersonic propulsion. J. Propuls. Technol. 2018, 39, 2177–2190. [Google Scholar]
- Feng, G.; Zhang, J.; Chen, M.; Gao, J.; Bao, W. Mathematical representation of liquid jet diffusion characteristics effected with evaporation process in supersonic crossflow. Fuel 2023, 353, 129110. [Google Scholar] [CrossRef]
- Salakhutdinov, G.M. Development of methods of cooling liquid propellant rocket engines. In History of Rocketry and Astronautics; American Astronautical Society: Springfield, VA, USA, 1990; pp. 115–122. [Google Scholar]
- Gascoin, N.; Abraham, G.; Gillard, P. Thermal and hydraulic effects of coke deposit in hydrocarbon pyrolysis process. J. Thermophys. Heat Transf. 2012, 26, 57–65. [Google Scholar] [CrossRef]
- Ma, J. Research on Control Method for Regeneratively-Cooled Scramjet Engine with Hydrocarbon Fuel; Harbin Institute of Technology: Harbin, China, 2020. [Google Scholar]
- Bao, W.; Li, X.; Qin, J.; Zhou, W.; Yu, D. Efficient utilization of heat sink of hydrocarbon fuel for regeneratively cooled scramjet. Appl. Therm. Eng. 2012, 33–34, 208–218. [Google Scholar] [CrossRef]
- Zhang, J.; Wang, Q.; Zhang, J. Thermal-insulation performance test technology for regenerated cooling structure. J. Exp. Mech. 2017, 32, 827–832. [Google Scholar]
- Qin, A.; Zhang, D.; Wei, Y.; Zhou, Z.; Zhang, J. Multi-objective optimization on regenerative cooling structure of scramjet. J. Propuls. Technol. 2018, 39, 1331–1339. [Google Scholar]
- Qin, A.; Zhou, Z.; Zhang, D. Optimal design on cooling channel of scramjet combustor. Comput. Simul. 2017, 34, 49–53+136. [Google Scholar]
- Li, X.C. Research of the Scramjet Active Cooling System Scheme Based on Thermoelectric Conversion; National University of Defense Technology: Changsha, China, 2017. [Google Scholar]
- Li, X.C.; Wang, Z.W. Analysis of potential usage for heat of scramjet wall. J. Propuls. Technol. 2017, 38, 275–280. [Google Scholar]
- Li, X.C.; Wang, Z.W. Parametric of an integrated thermoelectric generation thermal management system for hypersonic vehicle. J. Natl. Univ. Def. Technol. 2016, 38, 43–47+86. [Google Scholar]
- Robert, J.B.; Balepin, V. Cooling System for High-Speed Vehicles and Method of Cooling High-Speed. Vehicles. Patent U.S. US20070006594, 11 January 2007. [Google Scholar]
- Balepin, V. High speed propulsion cycles. Adv. Propuls. Technol. High Speed Aircr. 2008, 2, 1–32. [Google Scholar]
- Bao, W.; Qin, J.; Zhou, W. One new type closed cooling cycle of scramjet engine. J. Eng. Thermophys. 2008, 12, 1985–1989. [Google Scholar]
- Miao, H.; Wang, Z.; Niu, Y. Key issues and cooling performance comparison of different closed Brayton cycle based cooling systems for scramjet. Appl. Therm. Eng. 2020, 179, 115751. [Google Scholar] [CrossRef]
- Miao, H.; Wang, Z.; Niu, Y. Performance analysis of cooling system based on improved supercritical CO2 Brayton cycle for scramjet. Appl. Therm. Eng. 2020, 167, 114774. [Google Scholar] [CrossRef]
Disclaimer/Publisher’s Note: The statements, opinions and data contained in all publications are solely those of the individual author(s) and contributor(s) and not of MDPI and/or the editor(s). MDPI and/or the editor(s) disclaim responsibility for any injury to people or property resulting from any ideas, methods, instructions or products referred to in the content. |
© 2024 by the authors. Licensee MDPI, Basel, Switzerland. This article is an open access article distributed under the terms and conditions of the Creative Commons Attribution (CC BY) license (https://creativecommons.org/licenses/by/4.0/).


















