Abstract
With the overuse of fossil fuels, people are looking for alternatives. This is an area where biofuels have received a lot of attention. Studies have also shown that a large variety of liquid fuels of commercial interest can be obtained via lignin valorization. Lignin is rich in aromatic ring structures and can be used as a sustainable raw material to produce high-value energy. Therefore, progress in the preparation of liquid fuels from lignin by pyrolysis, hydro-processing, and oxidation is analyzed in this review. Nevertheless, due to the three-dimension network structure of lignin, there are many barriers that need to be surmounted before utilizing it, such as its complex connection with cellulose and hemicellulose, which makes its separation difficult. In this paper, different pretreatment methods are summarized for separating lignin from other two components. Finally, the challenges in future trends of lignin valorization are summarized and outlined. It is clear that the construction of efficient separation and catalytic systems will be the focus of future research in this field.
1. Introduction
With the rapid development of human society, the current demands for various resources is increasing, and so the search and development of available resources has gradually received great attention at home and abroad [1]. The 2024 edition of the report “Promoting Effective Energy Transition”, jointly released by the World Economic Forum and Accenture, shows that the global energy system will continue to transform towards more equitable, secure, and sustainable development. At the same time, the latest “2024 World Energy Statistical Yearbook”, released by the UK Energy Institute (EI) on 20 June 2024, shows that despite the efforts of various countries to promote energy transformation, fossil fuels still accounted for 81% of the global energy structure in 2023, and so the realization of the global energy transformation still has a long way to go. Among fossil energy sources, oil is both a fuel and a commodity, playing an important role in the global economy. According to data from OPEC, the widespread use of oil in the global economy may lead to further growth in global oil demand in the next 20 years. By 2045, the global oil demand may be 17% higher than in 2022. Among the sources of consumption, the demand for aviation fuel may increase by 60%. Therefore, there is an urgent need for a carbon-neutral alternative to fossil fuels to balance the energy system. At present, among various renewable resources (such as solar energy, wind energy, etc.), biomass is the only renewable organic carbon resource in nature with carbon neutrality and a short regeneration cycle with good application prospects in the production of high-value-added chemicals.
Lignocellulosic biomass is the most abundant of those available, with an annual output of about 170 billion metric tons [2]. Unlike corn and starch, lignocellulosic biomass is a non-edible resource for humans, and therefore it is also a very promising alternative to liquid fuels. Lignocellulosic biomass is mainly composed of cellulose, hemicellulose, and lignin [1]. Cellulose and hemicellulose are polymers of C5 and C6 sugars, which have already been studied for industrial applications in the production of biofuels and important chemicals. Compared with these, lignin is difficult to valorize because of its dense three-dimensional network structure. With the lowest oxygen content, lignin is gaining more and more attention for its high energy density, enabling it to serve as a promising alternative for liquid fuel production. Increasingly, as one of the most abundant natural biopolymers, lignin has a unique position among biomass resources that makes it a promising alternative for liquid fuel production. Lignin accounts for 15–25% of the dry weight of plants (varying across species). As a major component of agricultural and forestry waste, hundreds of millions of tons are produced per year from sustainable sources without the need to occupy land for food production. In addition, lignin has always been a by-product of the paper industry and biorefinery processes and is traditionally incinerated or used as a low-value fuel. Through efficient conversion technologies, it can be upgraded to a high-value-added energy source, reducing production costs. Some studies have shown that the effective use of lignin plays an important role in the biomass refinement process for the following reasons [1]. The conversion of lignin releases carbohydrates, making the products more susceptible to chemical and biological digestion. In obtaining one ton of pulp, approximately 7 tons of black liquor are produced; therefore, the utilization of lignin by-products will address the environmental impact issues associated with the papermaking process and other delignification processes.
Liquid fuels extracted from petroleum mainly include gasoline, diesel, aviation kerosene, and others. These fuels have the characteristics of high calorific value and easy storage and transportation, and they are widely used in automobiles, power generation, industry, and other fields. Nevertheless, in the past few decades, the unrestrained use of fossil energy has caused gradual depletion. The development of biomass-derived liquid fuels can effectively alleviate this problem. Moreover, lignin can be used to prepare bio-liquid fuels through different chemical conversion processes (catalytic pyrolysis, hydrogenolysis, oxidation, etc.). At the same time, performing depolymerization to produce aromatics to replace liquid fuels may be the most promising way of sustainably using lignin. However, there are hardly any reviews that only target the production of liquid fuels from lignin.
Therefore, this paper summarizes the latest progress in lignin separation, as well as lignin valorization, to prepare liquid fuels through different methods.
2. Lignin: Formation, Structure and Type
2.1. Formation
Lignin is an amorphous, heterogeneous, and intricate aromatic renewable resource with a three-dimensional structure. It is also the sole aromatic polymer directly derived from nature, with an empirical formula of C9H10O2(OCH3)n [3,4,5]. Lignin, along with cellulose and hemicellulose, is one of the main components of lignocellulosic biomass accounting, for 15–30% by dry weight and 40% by energy in most terrestrial plants, making it the most energy-dense portion of the content of the three components [6,7] (Figure 1). As we all know, the octane number is a good reflection of the explosion resistance of the fuel. Typically, fuels that contain aromatic hydrocarbons have the best resistance to explosion. Therefore, the rich aromatic structures in lignin make it a promising resource for liquid fuels. Active sites, such as methoxy and hydroxyl groups on the aromatic ring, can be directed for catalytic cleavage (e.g., selective breaking of the β-O-4 bond), generating monophenolic intermediates that can be further converted into cycloalkanes (components of aviation kerosene) through hydrodeoxygenation. The distinctive aromatic structure and the high carbon content of lignin have attracted significant attention [8]. Studies have shown that the heating value of lignocellulosic biomass varies linearly with the lignin content of the biomass [9]. Lignin is present in the cell walls of most vascular plants and its content varies between the different layers of cell wall, with the highest content located in the middle lamella [10].
Figure 1.
A schematic diagram of lignin distribution and its sub-units structure in the cell wall within the middle lamella (ML), primary wall (P), and secondary wall (S1, S2, S3) layers [10,11].
In the process of lignification, CO2 and H2O are initially converted into glucose through plant photosynthesis, which is followed by the subsequent formation of three acids (sinapic acid, ferulic acid, and p-coumaric acid) by various enzymes. Then, coniferyl alcohol (G), sinapyl alcohol (S), and p-coimaryl alcohol (H) are biosynthesized from three acids, leading to the formation of corresponding phenylpropyl units [12,13,14]. This is accompanied by free radical dehydrogenation coupling reactions and different forms of chemical bond formation, culminating in the formation of complicated lignin macromolecules [8]. It is widely accepted that the typical lignin structure is a crosslinked network of C9 phenylpropene units [15], and it has been found that lignin is formed later than cellulose and hemicellulose, filling the gap between these two [16]. Nevertheless, a significant difference is observed in the interunit linkages and monoligol proportions of lignin compared to cellulose and hemicellulose. The lignin present within the cell wall provides rigidity and protects polysaccharides from bacterial attack and chemical or enzymatic hydrolysis through binding to cellulose and hemicellulose by ether bonds, specifically its binding to hemicellulose by ester bonds. Lignin in the outmost layers, on the other hand, functions as a binding agent, holding the adjacent cells together and providing hydrophobicity with the enhancement of the strength and rigidity of the cell wall [10,17].
2.2. Structure: Building Blocks, Functional Groups and Interunit Linkages
2.2.1. Building Blocks and Functional Groups
Lignin is composed of three methoxylated phenylpropyl units—guaiacyl, syringyl, and p-hydroxypheyl—derived from coniferyl, sinapyl, and p-coimaryl alcohol monomers, respectively [18,19,20] (Figure 2). These monomers are distinguished by different degrees of methoxylation [19]. However, a study has identified a unique catechyl lignin (C-lignin) in the seed coat of terrestrial plants, which boasts a homogeneous and linear structure, rendering it an ideal lignin for the production of high-value products [21]. Numerous studies have shown that the content, monolignol unit proportion, and chemical structure of lignin vary significantly among the different species, age, organization, and growing environments of plants, as well as among the extraction methods (Table 1) [8,22]. The order of decreasing lignin content of different species is as follows: softwood > hardwood > grass. Lignin found in softwoods is primarily composed of guaiacyl units, whereas hardwood has almost equal amounts of guaiacyl and syringyl units, and grass lignin contains all three aromatic units [23,24,25]. In addition to the three primary monolignol precursors that form the lignin of plants, other subunits have been identified, including ferulic acid, ferulates, coniferaldehyde, sinapaldehyde, 5-hydroxyconiferyl alcohol, and so on [26,27]. In addition, the structure of lignin encompasses multiple functional groups such as aliphatic hydroxyl, phenolic hydroxyl, carbonyl, and methoxyl groups, among others [28]. These contribute to the distinctive physical and chemical properties of lignin as well as its various chemical reactions.
Figure 2.
Schematic representation diagram of structure, alcohol monomers, and functional groups of lignin in lignocellulosic biomass [1,29].
Table 1.
Abundance of the primary units and content of lignin in different types of plants [23].
2.2.2. Interunit Linkages
The various lignin chemical bonds mentioned above can be classified as C-O bonds and C-C bonds, with the former accounting for a greater proportion of the bonds [6,17,30]. Specifically, the phenolic hydroxyl groups of lignin monomers generate resonance-stabilized phenoxyl radicals during lignification, and there are unpaired electrons located on each aromatic unit and the corresponding aliphatic side chains, resulting, in a combinatorial fashion, in the formation of various chemical bonds and lignin polymers [8,31,32,33]. The carbon atoms in the aliphatic side chains are labeled as α, β, and γ, and those in the aromatic moieties are numbered 1–6 in order to identify the different linkage types between two monolignols [1]. As shown in Figure 3, common C-O linkages include β-O-4, α-O-4, and 4-O-5 bonds, whereas common C-C linkages include β-1, β-5, β-β, and 5-5 bonds [31].
Figure 3.
Major linkage types between the primary units of native lignin (a) [1] and post-processed technical lignin (b) [30].
As listed in Table 2, the β-O-4 linkage, predominant in native lignocellulosic biomass and accounting for 45–50% of linkages in softwood and 50–65% in hardwood, has a lower bond dissociation energy than others, and thus is amenable to acidolysis and alcoholysis, which play vital roles in lignin degradation and fractionation [11,24,34,35,36]. It should be noted that significant advancements have been made in the cleavage of abundant β-O-4 linkage with a near-theoretical result [20,37]. Nevertheless, most of the strategies are inherently limited owing to the presence of C-C bonds with higher BDE, which makes lignin more recalcitrant [11]. A number of studies have shown that the percentage of lignin C-C bonds is influenced by various factors, such as the proportion of S/G units, the monoligol concentration during lignification, and the electronic effect arising from ring substitution, etc. [38,39,40]. It has been found that the S/G proportion plays a more pivotal role in C-C bond formation due to the absence of an open ‘5’ position in S units, leading to the formation of more β-1 and β-β bonds [31]. Furthermore, some new types of C-C bonds are formed during the various lignin depolymerization processes and extraction methods, such as α-5, 5-CH2-5, and other bonds (Figure 3), prompting a thought-provoking challenge regarding the highly efficient cleavage of C-C bonds.
Table 2.
Common C-O and C-C linkage content in lignin and their BDE [11].
2.2.3. Types
Lignin typically exists in three primary forms: native lignin, technical lignin, and lignin compounds [41]. Native lignin is a lignin–carbohydrate complex present in lignocellulosic biomass with cellulose and hemicellulose closely linked by chemical bonds. Isolations of this type are very complicated and therefore more efficient pretreatment methods are often needed to retain the original structure of lignin, necessitating the development of a variety of extraction methods [1,42,43,44] (Figure 4). Technical lignin often refers to the type predominantly derived from the pulp and paper industry, such as Kraft lignin, soda lignin, lignosulfonates, hydrolysis lignin, and organosolv lignin [45,46]. Among these, Kraft lignin is the most abundant technical lignin with a significantly altered structure and an increased number of C-C bonds compared to native lignin, severely affecting its downstream application [37]. In an effort to understand the unique intricacies and variability of lignin, a number of simplified, low-molecular-weight lignin model compounds have been used, including β-O-4, C-C, β-5, α-O-4, and 4-O-5 linkage model compounds, among others [6]. These model compounds contain only one or two types of interunit linkage, which simplifies the analysis of reaction paths and catalytic performance, and the utilization of lignin model compounds has received significant attention from many researchers.
Figure 4.
Different methods for lignin isolation and their corresponding properties [44].
3. Lignin Isolation
The key step in the conversion of lignin into a high-value fossil fuel substitute is to efficiently extract lignin from biomass. Many researchers have discussed the importance of the pretreatment of bioresources before further utilization [47,48,49]. Recently, people have used physical, chemical, biological, and physicochemical processes to separate the three major components of biomass [50,51,52,53,54,55,56]. The former two ways are widely used in biofuel production to improve the quality of substrates. Physical pretreatment uses heating, pressurization, steam, hot water, ultrasound, etc., while chemical pretreatment uses oxidation, ozonation, acid–base pretreatment, etc. [57]. These methods are often used in combination to achieve better results. Biological pretreatment is mainly used to break down the protective layer of lignin. In biological pretreatment methods, microorganisms play an important role and also produce useful by-products [57]. In the following sections, we will discuss different lignin isolation methods.
3.1. Acid Pretreatment
Through acid treatment, the extracted lignin develops characteristics suitable for further conversion to organic chemicals. It is free of contaminants and has a relatively low molecular weight [58]. Acid pretreatment is a common method for changing the structure of lignocellulose by breaking ether bonds with hydrogen protons. This method is mainly used to extract carbohydrate components and can remove acid-soluble lignin, leaving acid-insoluble lignin components [59]. Both organic acids and inorganic acids can be used for acid pretreatment [60]. Among common inorganic acids, diluted sulfuric acid can effectively break the bonds between lignin and carbohydrates. Therefore, it has become the first choice for pretreating various types of lignocellulose. Xue et al. [61] used ethylene glycol-based coupling dilute sulfuric acid to obtain a high lignin removal rate of 80.3% at 120 °C and 60 min, where the sulfuric acid concentration was 0.6 wt %. Harris, EE, and others [62] found that lignin can be dissolved in dilute acid solutions while trying to extract it, and precipitation occurred when the solution was heated for a long time, heated under pressure, or heated under an increased acid concentration. Extracting lignin-containing materials with 3% acidic sodium sulfite coupling to other salts or alkalis can effectively remove lignin. Filipa M. Casimiro [63] found that lignin could be obtained after the ultrafiltration and freeze-drying of the sulfite liquors. In their research, two spent sulfite liquors of different origins were studied. We freeze-fried (−80 °C and 0.05 bar) a hardwood sulfite liquor (HSL, total solids, 15.0% w/w liquor) and a softwood sulfite liquor (SSL, total solids, 11.3% w/w liquor), and the yields of lignin recovered from this isolation procedure were 39% for HSL and 53% for SSL under a pressure of 9 bar. However, inorganic acids also result in the conversion of degraded carbohydrates into 5-hydroxymethylfurfural (HMF) and furfural, which limits the subsequent utilization of biomass.
Organic acid pretreatment is also an efficient separation method. It has the advantages of minimal pollution and easy utilization [64]. Organic acid functional groups, with their unique structures, can reduce the generation of by-products when decomposing lignin cellulose biomass and protect the lignin structure from being destroyed. Xu et al. [65] reported that 0.25% acetic acid could efficiently fractionate the corn stover at 464.15 K. The advantage of acetic acid pretreatment is that it can dissolve more lignin and act as a solvent for lignin [66]. Compared with other acid pretreatment methods, p-toluenesulfonic acid, because of its benzene ring structure, can form a Π-Π stack with lignin to produce a weak interaction, thereby improving the efficiency of lignin removal. Chen et al. [67] reported a study on p-toluenesulfonic acid (PTSA) pretreatment, which showed excellent performance in the delignification reaction at 353.15 K for 20 min. The results showed that 90% of lignin and 85% of hemicellulose were removed from poplar wood, with minimal loss of glucan. This study showed that the presence of sulfonic acid groups on PTSA is the key to the cleavage of linkages between lignin and carbohydrates [68]. Zhai et al. [69] reported that 80 wt% 5-sulfosalicylic acid aqueous solution could dissolve about 69.97% of lignin within 60 min at 383.15 K and minimize the loss of glucan. These results suggest that organic acid pretreatment has a high development potential in biomass refinement.
Obviously, acid pretreatment is very advantageous for breaking bonds of lignocellulosic biomass and the subsequent utilization of cellulose. Nevertheless, this pretreatment method inevitably has some drawbacks, such as the production of waste water, which pollutes the environment, causes aquatic toxicity, and endangers human health [70]. In addition, some acids with high concentrations also have strict requirements for pretreatment equipment.
3.2. Alkaline Pretreatment
Lignin, extracted by the alkali method, is a kind of renewable natural polymer compound, with great value in development and utilization. Alkali pretreatment can change the chemical composition of biomass and make it pyrolyze at lower temperatures [71]. At present, the alkaline pretreatment of biomass is mainly used in bioenergy and biochemical production [72,73]. Therefore, this method is widely used to extract lignin from biomass residues, and the alkali used will break the chemical bonds of α-aryl ethers in lignin phenolic units and decompose the ester bonds existing between lignin and hemicellulose molecules in order to dissolve them [59,74]. The alkaline pretreatment process includes two processes: solvents swell into cells to dissolve lignin and hemicellulose, and then intermolecular de-esterification happens. Solvents used for alkaline pretreatment include sodium carbonate (Na2CO3) [75], sodium hydroxide (NaOH) [76], and potassium hydroxide (KOH). Among all these solvents, sodium hydroxide (NaOH) is considered the most effective alkali for biomass pretreatment because of its low price, high alkalinity, and relatively simple storage requirements. DY Song et al. [77] found that the sodium hydroxide pretreatment of larch can obtain NaOH-L (sodium hydroxide lignin) with high oxidation activity. Tao et al. [78] found that NaOH had a very significant effect on delignification under different reaction conditions. For Achnatherum splendens, the best pretreatment conditions were 15% NaOH loading (liquid–solid ratio of 10:1), 90 °C, and 90 min reaction time. About 39% of lignin was dissolved in these conditions. Cellulose content increased to 68.39%, while lignin and hemicellulose content decreased to 9.28% and 19.86%, respectively, which means that lignin can be effectively removed by NaOH pretreatment under mild conditions. Christos K. Nitsos et al. [79] extracted lignin from spruce and silver birch wood debris using alkaline (NaOH, 120 °C) and ethanolic organic solvent methods (reaction conditions: 60% ethanol, 1% sulfuric acid, 1 h). The lignin extracted using an organic solvent showed a high yield (spruce 62%, birch 69%), with almost no ash included, but only contained trace carbohydrates. Zheng et al. [80] demonstrated that wet (WS) NaOH pretreatment is a new method for the efficient conversion of corn stalks into bioenergy. Moreover, the combination of NaOH and other chemicals can also effectively improve the efficiency of pretreatment. Lou et al. [81,82] used NaOH/urea solution pretreatment to remove lignin and hemicellulose effectively. NaOH/urea pretreatment can open the fiber structure, reduce the cellulose crystallinity index, and partially or completely convert rigid cellulose I into a cellulose II structure, which is more easily digested by enzymes. Moreover, pretreatment is able to extract most lignin and xylan from lignocellulose to overcome its stubbornness and prevent lignin droplets from depositing on cellulose. Li et al. [83] proposed using sodium hydroxide-catalyzed organic solvent pretreatment to remove lignin and retain cellulose and hemicellulose in poplar at the same time. NaOH-enhanced organic solvent pretreatment showed excellent performance in converting poplar into energy and chemicals, and it constituted a new method for biomass purification.
Lignin extracted by the alkali method contains no sulfur element, and its natural structure is retained. Therefore, it can be used as a dispersant of phenols and synthesis of resins [84]. Moreover, soda lignin is a better prospective raw material than that produced from acid pretreatment [85].
3.3. Organsolv Pretreatment
For lignocellulosic biomass, Organosolv pretreatment has a history of more than 100 years [86]. It has also been recently reported that lignin can be efficiently extracted with organic solvents at extremely high-purity (97%) [87]. Organosolv refers to the fractionation of biomass using organic solvents (e.g., alcohols, ketones, esters, ethers, etc.) with or without acidic catalysts (e.g., formic acid, acetic acid, hydrochloric acid, sulfuric acid, etc.) [86]. Organosolv treatment can obtain high-purity cellulose, with only slight decomposition, while most of the lignin and hemicellulose are dissolved in organic solvent. Pye et al. [88] found that Organosolv pretreatment can improve the yield and conversion of cellulose compared to acid pretreatment. Moreover, organic solvent can be easily recovered by distillation, making it reusable and economically beneficial [89]. When pretreated using organic solvents, the internal linkages of lignin and carbohydrates are broken, and most of the lignin and hemicellulose degrade into small molecular fragments. These are dissolved in the organic solvent, allowing the cellulose to be separated. Subsequently, the lignin and the hemicellulose-rich liquid is diluted, precipitated, filtered, and dried to recover lignin [86]. A variety of organic solvents have been studied to pretreat biomass to obtain lignin, especially some alcohols. According to the Hansen solubility theory, the solubility of lignin in alcohol can be evaluated [90]. Alcohols with lower boiling points, such as methanol and ethanol, are favored by researchers because of their low cost and easy recovery [91]. Mohanty Das [92] investigated the synergistic effects of ultrasound and Bambusa tulda Organosolv pretreatment using a novel integrated pretreatment method in response surface methodology optimization studies. The optimal conditions (180 °C, 55 min and 30 min sonication) obtained 65.81 ± 2.40% lignin yield and 95.37 ± 1.17% purity. Nwe Nwe Win [93] found that the highest content of lignin dissolved by ethanol was 64.6% when the straw was pretreated by hot pressing water at 190 °C for 60 min. MJ et al. [94] investigated the effect of the main process variables on experimental results, using olive tree trim biomass as a substrate. Organosolv pretreatment led to delignification, the hydrolysis of hemicellulose, and increased the enzymatic digestibility of olive tree trim biomass. It was found that solvent pretreatment severity and higher ethanol content increased delignification (up to 64% in 66% w/w ethanol aqueous solution at 210 °C for 60 min).
In addition, some alcohols with high boiling points (ethylene glycol and glycerol) are also widely used in organic solvent pretreatment to remove lignin. They have lower requirements for temperature and pressure. However, they increase the energy consumption of solvent recovery at the same time [86]. In Wei’s [95] study, five kinds of acid-catalyzed and alkali-catalyzed ethylene glycol organic solvent pretreatments were proposed, and they were used to compare the effects of sugar production from bagasse. The results showed that EG/H2O-HCl system had a higher removal efficiency of hemicellulose and lignin than EG/H2O pretreatment due to the synergistic effect of HCl and EG. EG/H2O-NaOH pretreatment was also beneficial for lignin removal, but it was weak to hemicellulose degradation. In Song’s [96] study, an efficient coupling surfactant with EG pretreatment and SCB enzymatic hydrolysis was proposed to reduce pretreatment energy consumption and enzyme load to increase fermentable sugar yield. Under optimized conditions, 5% Tween80-assisted EG pretreatment achieved 80.5% delignification while retaining cellulose (91.6%) and hemicellulose (81.6%) content. Tang et al. [97] pretreated rice straw with ethylene glycol (EG) and AlCl3. EG-AlCl3 pretreatment had excellent selectivity for component separation. At 150 °C and 0.055 mol/L AlCl3, the delignification reaction conversion was 88%, the hemicellulose removal rate was 90%, the cellulose recovery rate was 100%, and the cellulose content in the solid residue was 76% (w/w).
A large number of studies show that adding a small amount of acid organic solvent can effectively increase the efficiency of lignin removal and reduce the pretreatment temperature because acid catalysts will unstable acid chemical bonds (α-aryl ether and aryl glycerol-β-aryl ether bonds) and help to stabilize lignin fragments [86,98]. In the previous discussion, it was also mentioned that both inorganic and organic acids can be used as catalysts for organic solvent pretreatment [51,60]. Lv et al. [99] used HCl-catalyzed ethylene glycol (EG) pretreatment methods. The results showed that the combination of hydrochloric acid and ethylene glycol could simultaneously remove xylan (100.0%) and lignin (61.3%) from SCB, which provided a good pretreatment substrate for the subsequent enzymatic reaction. Xue et al. [61] used ethylene glycol, combined with dilute sulfuric acid, to promote the release of lignin from corn stalks. Under the conditions of 120 °C, 60 min, and 0.6 wt% sulfuric acid, an 80.3% lignin removal rate could be obtained. Zhang et al. [64] pretreated corn straw with PTSA coupled with ethylene glycol. Compared with PTSA aqueous solution pretreatment, the lignin removal rate increased from 43.43% to 85.37%. DeSanti et al. [100] developed a mild process of lignin-first acidolysis (140 °C, 40 min) using a mild dimethyl carbonate and ethylene glycol organic solvent process for the preferential lignin fractionation of softwood lignocellulose. Under optimal conditions (400 wt % EG and 2 wt % H2SO4, 140 °C, 40 min), delignification in pine reached 77%, and the cellulose structure was preserved relatively completely.
Organsolv pretreatment refers to the fractionation of biomass using organic solvents. Through Hansen’s solubility theory, organic solvents with good solubility to lignin can be found. During the treatment process, the chosen organic solvents are able to enter the pores of plant cell walls easily with the permeation effect of solvent, and after breaking the LCC linkages, lignin can be dissolved efficiently. Moreover, organic solvents can be easily recovered by distillation, making them reusable and economically beneficial.
3.4. Deep Eutectic Solvents Pretreatment
DES is a green solvent with low vapor pressure, high thermal stability, low toxicity, and biodegradability. These characteristics make it an ideal solvent for increasing the value of lignocellulosic biomass. DESs not only dissolve lignin lignocellulose biomass, but also further upgrade and utilize the extracted lignin [101]. Compared with ionic liquid, deep cosolvent has higher solubility and lower toxicity to lignin, not to mention its lower price and simpler storage [102,103]. Figure 5 shows the evolution of DESs as pretreatment solvents [104]. Compared to other solvents, deep eutectic solvents are widely used because of their superior ability to dissolve lignin from biomass [105]. Many studies have shown that lignin can be easily extracted or removed by using DESs. They contain two or three different compounds that act as hydrogen bond donors (HBDs) and hydrogen bond acceptors (HBAs), as shown in Figure 6 [105]. Hydrogen bonding is the major interaction between HBAs and HBDs; electrostatic and van der Waals forces may also play a role [106]. HBAs can be inorganic salts, such as the common choline chloride (ChCl) with high molecular weight, while HBDs are usually low-molecular-weight compounds, such as amine or carboxylic acid (Figure 6). For example, many biomass-derived carboxylic acids, such as formic acid (FA), lactic acid (LA), and oxalic acid (OA), can be used as hydrogen bond donors (HBDs) in DES synthesis [101]. The effects of DESs, composed of choline chloride and renewable carboxylic acids or renewable polyols, on corncob pretreatment have been systematically reported. Zhang et al. [107] chose three DESs (monocarboxylic acid/ChCl, dicarboxylic acid/ChCl, polyol/ChCl) to study the degree of the delignification and enzymatic hydrolysis of corncob.
Figure 5.
The evolution of DES as a pretreatment solvent [104].
Figure 6.
Representative HBDs and HBAs for DESs [101].
It was found that the acid amount, acid strength, and the properties of hydrogen bond receptors are the main factors in enhancing delignification efficiency. They complete further observation using various characterization techniques: XRD, SEM and infrared spectrum results show that the structure of corncob is destroyed, indicating the removal of lignin and hemicellulose during pretreatment. In addition, when the optimum pretreatment temperature and time are 90 °C and 24 h, respectively, the delignification rate can reach 98.5%. Ma et al. [108] demonstrated that DES pretreatment significantly improved lignin extraction, cellulose retention, and hemicellulose removal by treating wheat straw with a choline chloride–lactic acid DES system. The study was carried out at 150 °C for 6 h, with satisfactory results. The method had cellulose retention ranging from 49.94% to 73.60%. The experiments showed that DES pretreatment can fractionate low-concentration biomass into high-quality cellulose and lignin, which have multiple uses. DES pretreatment with carboxylic acid can effectively remove lignin at 60–150 °C, but this requires a long pretreatment time. Several studies have examined the effect of microwave-assisted heating and DESs on the extraction of lignin from biomass feedstock. Liu et al. [109] used poplar as the raw material and ChCl:OA (1:1) as the solvent. They performed microwaving for 3 min, and 80% delignification efficiency was obtained. Chen and Wan [110] also pretreated three different raw materials (switchgrass, corn stover, and miscanthus) via microwave-assisted pretreatment in 2018. It only took a few minutes to obtain delignification efficiencies of 72, 79.6, and 65.2%, respectively. The possible mechanism of improving lignin extraction efficiency involves microwave pretreatment, increasing the ionic characteristics of DESs. The microwave pretreatment of DESs has the characteristics of high performance and low energy consumption compared with carboxylic acid-based pretreatment. In order to successfully increase the value of lignin as a biorefinery by-product, it is necessary to gain insight into the structural changes that occur during DES pretreatment. The typical extracted lignin purity of DESs is 75–98%. Lignin impurities mainly consist of DESs and polysaccharide residues. Lignin purity can be improved by more stringent processing conditions or recovery conditions [111]. Cronin et al. [112] showed that the DES composition has a great influence on the yield and purity of lignin extraction. For example, lactic acid/chlorine-based solvents can be used to gain high-purity lignin at a high yield from a hydrolysis/fermentation residue corn stover hydrolysate (CSH). In order to improve the purity of the extracted lignin, hydrolysis/fermentation residues can be used as raw materials, providing an economically feasible method for lignocellulose biorefinery.
Compared to organsolv pretreatment, deep eutectic solvents have higher solubility and lower toxicity to lignin. It has been shown that the presence of hydrogen bonds in DES molecules plays a significant role in extracting lignin, which facilitates the cleavage of the ether and/or ester linkages between lignin and hemicellulose, as well as the ether bond linkages among lignin subunits. Nevertheless, the undesirable condensation of lignin in the process is still a common drawback.
3.5. Ionic Liquid Pretreatment
Ionic liquids usually comprise organic cations (such as imidazole, pyridine, aliphatic ammonium, alkylated phosphonium, and sulfonate ions) and corresponding inorganic anions, and they can remain liquid at 100 °C [85,113,114]. Compared with volatile organic compounds, ILs are increasingly popular and considered environmentally friendly. Ionic liquids exhibit many attractive properties, such as extremely low vapor pressure [115], good recyclability, high solubility for a wide range of organic and inorganic materials [116], and excellent thermal stability [117,118]. ILs are also reported to have high solubility for lignocellulosic biomasses [119]. They can be adapted to process requirements by varying the anions and cations, resulting in variable properties [120]. ILs can selectively dissolve biomass components such as cellulose, hemicellulose, and lignin. The use of an antisolvent or acidification can remove dissolved lignin from the liquid stream for high-purity recovery [121]. Nawshad et al. [122] used ILs to dissolve and extract lignin from bamboo. These pretreatment solvents used for the bamboo biomass extraction of lignin achieve 53% lignin extraction efficiency. Zahoor Ullah et al. [123] used ultrasonic-assisted ionic liquids to convert rice husk waste. Two ionic liquids, monocationic and dicationic, were synthesized and compared in rice husk biomass processing. About 39% of lignin was successfully extracted. The HPLC results showed that the levulinic acid (LA) content of IL-treated samples was 41.78%. Currently, the cost of solvents and energy-intensive recovery are the main limiting factors hindering the commercial viability of IL. Fu et al. [124] demonstrated that aqueous ionic liquid pretreatment has the advantages of a smaller IL dosage, easier recycling, and low viscosity, and the lignin removal rate increases while the crystallinity of cellulose decreases. Pu et al. [125] examined the use of selected ionic liquids (ILs) as aprotic green solvents for lignin. Dissolution experiments were performed using lignin isolated from pine Kraft pulp. It was found that up to 20 wt % of lignin was soluble in [hmim] [CF3SO3], [mmim] [MeSO4], and [bmim] [MeSO4]. For ionic liquids containing [bmim](+), the order of lignin solubility for different anions was [MeSO4(−) > Cl- >>> [PF6](−), indicating that the solubility of lignin is mainly affected by anionic properties. Ionic liquids containing large, non-coordinating anions [PF4](−) and [PF6](−) are not suitable as solvents for lignin. When the pretreatment solvent contains a certain amount of lignin and 5–10 wt% water, EMIM-AC and EMIM-AC/ethanolamine have a great influence on the pretreatment process. EMIM-AC/ethanolamine (60/40 vol %) showed better effectiveness than EMIM-AC in biomass pretreatment at the same lignin content in the pretreatment solvent [126].
Besides many attractive properties, the use of ionic liquids for biomass pretreatment faces several challenges at present, including high cost, difficult downstream separation, and high liquid viscosity.
3.6. Other Traditional Methods
There are also more traditional methods of lignin extraction. The Kraft process is a common method of removing lignin in pulp and paper companies [127]. The main active agents of the Kraft process are sodium hydroxide and hydrogen sulfide anions, which are activated in the temperature range from 150 to 170 °C [128]. The Kraft process involves removing lignin from cellulose by breaking the α-O-4 and β-O-4 bonds, resulting in delignification rates in excess of 90%, producing bleachable-grade cellulose [129]. This also ensures the recovered Kraft lignin always contains a large number of phenolic hydroxyl groups [130]. Nevertheless, larger lignin molecules are decomposed in the pulping process, resulting in a decrease in molecular weight.
The lignosulfonic process is the main source of industrial lignin. The cation content of the pulping determines the pH at which the procedure is performed, which is always between 2 and 12. Sulfite pretreatment shows a strong ability to disrupt the complex structure of biomass materials by removing lignin and hemicellulose [131,132,133]. Most lignosulfonic acid pretreatment methods include two ways (sulfonation and hydrolysis) of accomplishing lignin removal. First, in an acidic environment, bisulfite ions act as nucleophilic agents and benzyl carboxylate ions produce an α-sulfonic acid structure. However, under neutral or alkaline conditions, sulfonation only occurs in the phenol structure, resulting in the formation of quinone. Subsequently, the surrounding sulfite ions cause the quinone to be attacked by nucleophiles, forming alpha-sulfonic acid. In addition, sulfonation can occur at junctions between every unit, which increases the amount of the β- and gamma-sulfonate groups united by lignin, further improving the solubility of lignin in water. The intermolecular ether bonds of lignin units (β-O-4′ and α-O-4′) are then decomposed. [85,134]. However, the popularity of the lignosulfonic process is declining due to certain disadvantages of the resulting pulp, including the significant destruction of hemicellulose, the high sulfur or other impurity contents of lignin, and the acidic or alkaline conditions involved in the sulfite process [85,135,136].
Efficiently extracting lignin from biomass is the key step in converting lignin into a high-value fossil fuel substitute. In Table 3, we summarize some of the representative methods mentioned above and show comparisons between different pretreatment methods. It is obvious that an in-depth understanding of the lignin pretreatment pathway and improvements in lignin extraction methods are the basis for the successful introduction of lignin-derived products into the market.
Table 3.
The delignification results of various lignin isolation methods.
4. Depolymerization and Valorization of Lignin
Lignin is rich in aromatic ring structures and can be used as a raw material that can be sustainably regenerated. If appropriate depolymerization methods are used, many aromatic compounds intermediates can be obtained from lignin, which can be further converted into bio-based liquid fuels. Studies have also shown that a large variety of liquid fuels of commercial interest can be obtained from biomass [137]. However, due to its complex structure, the use of lignin in the production of bio-liquid fuels is still in the exploratory stage. At present, many chemical techniques have been used in the study of lignin depolymerization. These mainly include pyrolysis, oxidation, catalytic hydrogenolysis, photocatalytic depolymerization, and electrochemical depolymerization. Among them, catalytic pyrolysis, catalytic oxidation, and catalytic hydrogenolysis are easy to implement because they are economical, practical, and widely used. These are the main methods of the depolymerization of lignin that have been studied so far [138]. Therefore, the following section shows the development of different depolymerization methods in the production of liquid fuels.
4.1. Pyrolysis
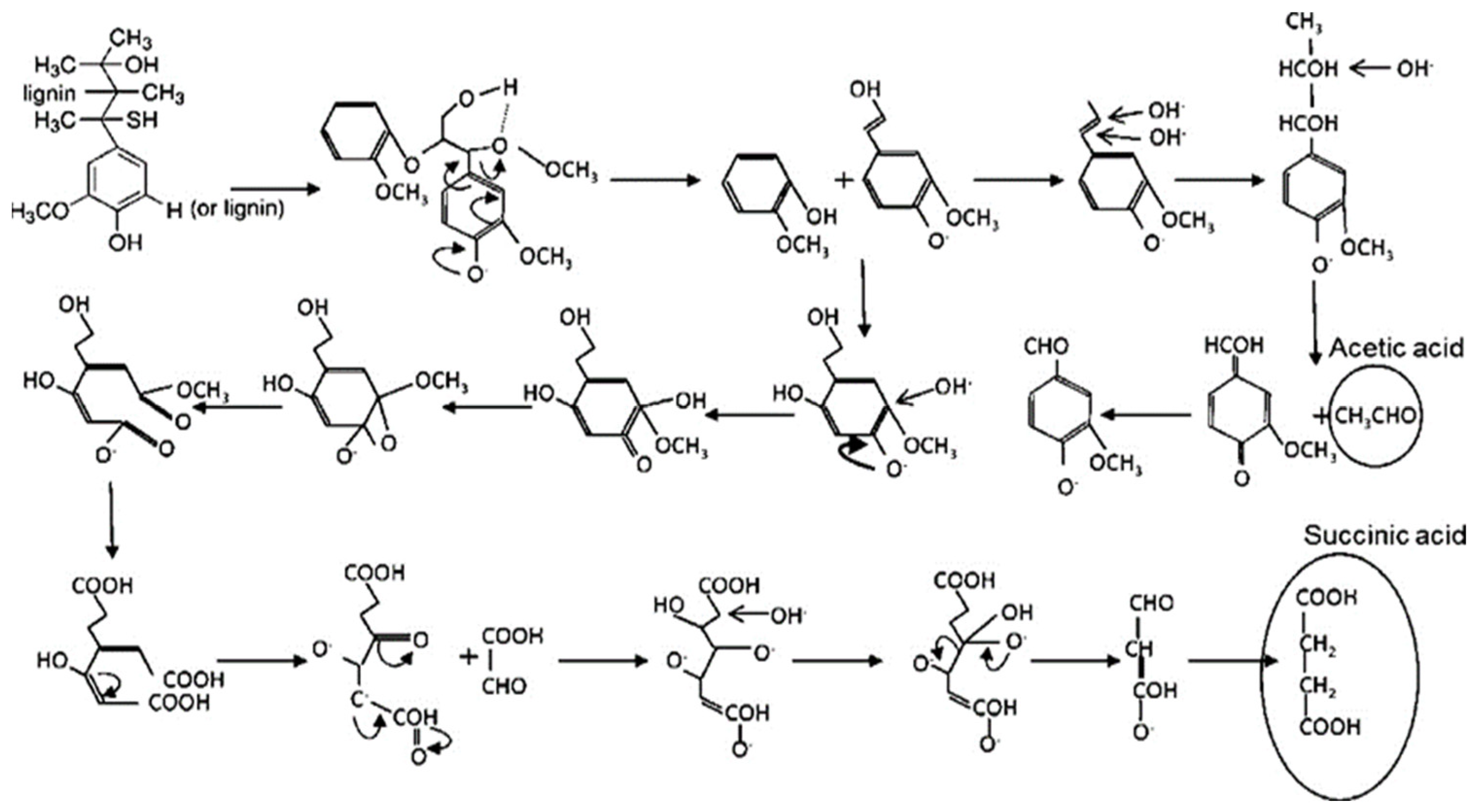
Pyrolysis is one of the important processes for biofuel production, whereby lignocellulosic biomass is pyrolyzed at 300–500 °C under anaerobic conditions. The main products are syngas (CO, CO2, CH4, and H2), bio-oil, and biochar. While the main product of fast pyrolysis is bio-oil, biochar is the main product of slow pyrolysis [139]. The yields of bio-oil and bio-char largely depend on the nature of the feedstock [140], the processing temperature, the heating rate [141], and other conditions. For example, herbaceous biomass contains more minerals than woody biomass, meaning that it is less productive [142]. Both biochar and bio-oil can be used in energy applications; for example, bio-oil can be blended with ethanol or gasoline [143], or subjected hydrocracking/hydrotreating, for conversion into fuel (ethanol and diesel) [144,145]. Figure 7 displays the complex reaction routes of lignin pyrolysis [146].
Figure 7.
Main lignin pyrolysis reaction routes (Lignin structure dependent pyrolysis reactions as predicted by literature and present NMR results, with emphasis on LignoBoost lignin pyrolysis. 1 hypothetical lignin source representing the most common bonds in LignoBoost and APBL; 2 relatively stable β-5 product in the primary decomposition step; 3 α-O cleavage product; 4 methyl guaiacols; 5 aldehydes; 6 styrenes and 6a (“reduced vinyl-”) ethyl-phenols; 7 stilbenes; 8 phenoxy radicals; 9 guaiacols; 10 catechols; 11, 13, 14, 17, 19 transient radicals; 12 aliphatics; 15 phenols; 16, 18 condensation products (e.g., 4-O-5 dimers); 20 cresols.) [146].
4.1.1. Thermal Pyrolysis
The products of thermal pyrolysis can be affected by the gases and solvents used during cracking. Dellinger et al. [147] compared the pyrolysis of lignin in the presence and absence of oxygen. The major pyrolysis products were eugenol (2,6-dimethoxyphenol), guaiacol(2-methoxyphenol), phenol, and catechol. Phenolic compounds were the most abundant amount the analyzed compound classes, accounting for more than 40% of the total number of compounds detected. Benzene, styrene, and p-xylene were formed in large quantities within the temperature range. Interestingly, six cyclic PAHs were formed during partial pyrolysis. Meanwhile, oxidative pyrolysis does not differ significantly from pyrolysis without oxygen: the major products remain the same (eugenol, guaiacol, and phenol), and the only significant difference is that product distribution peaks between 200 °C and 400 °C. Ye et al. [148] were able to produce value-added phenolics using a hydrothermal depolymerization with an ethanol–water system under mild conditions (523 K, 90 min, and 65 vol%). The optimal conditions of ethanol–water resulted in the highest yield of liquid product (∼70 wt%). These liquid products were then analyzed by gas chromatography–mass spectrometry (GC-MS) to confirm the presence of the predominant heterocyclic (2,3-dihydrobenzofuran) and phenolic species (e.g., ethyl-phenol, guaiacol, ethyl-guaiacol, and eugenol).
4.1.2. Catalytic Pyrolysis
The catalytic pyrolysis of lignin regulates the degree of pyrolysis and the distribution of products by adding efficient catalysts into the process of pyrolysis. Firstly, the addition of catalysts overcomes the difficulties of the complex composition, high oxygen content, low calorific value, and poor stability of bio-liquid fuel obtained by the direct pyrolysis of lignin, so that the pyrolysis products can also be used in real applications. Secondly, the catalyst reduces the activation energy of the reaction, improves the conversion rate, and selectively obtains a higher yield of the target product at the same time. At present, the catalysts commonly used in the catalytic pyrolysis of lignin include molecular sieve catalysts, metal oxide catalysts, and metal salt catalysts.
In the catalytic pyrolysis of lignin, the rational selection of catalysts is of great significance for the conversion of lignin into high-value-added chemicals and high-grade fuels. Although catalysts are of great help in upgrading lignin bio-oil, they still have the disadvantages of easy coking and deactivation, low selectivity, poor stability, among others. The catalytic effect of catalysts can be effectively improved by loading active components as well as using multi-catalyst and co-catalytic methods.
- 1.
- Molecular sieve catalyst
A molecular sieve is a synthetic silica–aluminate capable of screening molecules, with its acidic sites and pore size affecting the lignin pyrolysis product distribution [149,150]. The different Si/Al ratios of the molecular sieves determine the strength of their acidic sites, which can be used to catalyze the breaking of C-O and C-C bonds in lignin [151] and depolymerize lignin into small-molecule compounds. Molecular sieves have a uniform pore structure, which affords good selectivity in lignin pyrolysis. It is difficult for the small molecules generated by pyrolysis to re-polymerize into large molecules, which also inhibits the generation of coke to a certain extent. Common molecular sieves catalyzing lignin pyrolysis include ZSM-5, X-type zeolite, Y-type zeolite, SBA-15, and MCM-41. Kumar et al. [152] investigated the catalytic effect of Y-type zeolite, ZSM-5, and mercerized zeolite on the pyrolysis of alkali lignin at different temperatures, and the results showed that the pyrolysis catalysts were able to significantly increase the yields of aromatic and phenolic compounds. The distribution of aromatics changed dramatically with pore size and acidity. Aromatic monomers were the main compounds formed on ZSM-5 and mercerized zeolite, while the Y-type molecular sieve affords more accessibility to macromolecules due to its large pore size and high acidity, leading to the effective cleavage of the C-O and C-C bonds. This resulted in a large number of aromatic dimers, and the selectivity of the monocyclic aromatic products reached the highest level at 800 °C. Kim et al. [153] compared the conversion characteristics of lignin pyrolysis derived-phenol intermediates to aromatic hydrocarbons in the presence of three molecular sieve catalysts (Y, β, and ZSM-5). The result showed that the molecular diameter of naphthalene is similar to the pore size of β-type zeolites, leading to higher selectivity of PAH naphthalene for β-type zeolites. Moreover, due to the suitable pore size of Y-type molecular sieves and the fact they have the highest acidity/surface area, they are the most effective molecular sieves for producing monocyclic aromatic hydrocarbons. Paysepar et al. [154] used X-type zeolite for the heterogeneous catalytic pyrolysis of hydrolyzed lignin, and they found that X-type zeolite suppressed the yield of bio-oils and improved the selectivity of monomeric phenolic products at the same time. The regenerated X-type zeolite was obtained by calcining the discarded X-type zeolite for 4 h at 500 °C in a muffle furnace, and the XRD spectra of the regenerated and fresh catalysts were almost the same, which indicated that X-type zeolite had good stability. Currently, molecular sieve-based catalysts have a high deoxygenation capacity and high acidity. However, the yields of liquid products are still very low and many technical obstacles need to be overcome during the catalytic process, including catalyst deactivation and the issue of a short lifetime [155].
- 2.
- Metal oxide catalysts
Metal oxides have gained increasing attention due to their porous nature, high dispersibility, good adsorption, and resistance to carbon buildup [156]. Most of the metal oxides and their mixtures show excellent performance in the catalytic pyrolysis of lignin due to their acid–base nature. Metal oxides can be divided into main-group metal oxides and transition metal oxides according to their different metal elements. Meanwhile, calcite-type metal oxides with cubic structures also have good catalytic abilities. The different acidity and alkalinity of the main-group metal oxides have certain influences on the distribution of lignin pyrolysis products. As such, they can be divided into acidic and basic metal oxides according to their different acidity and alkalinity qualities. Zhang et al. [157] investigated the performance of acidic oxides like Al2O3 and SiO2 in lignin catalytic pyrolysis. They found that acidic oxides can effectively inhibit the generation of gaseous products while promoting the formation of carboxylic acids, aldehydes, ketones, phenols, and furans at the same time. Demiral et al. [158,159] applied activated Al in the pyrolysis of biomass samples, such as olive and hazelnut bagasse. It was found that the maximum bio-oil yield for the bio-oils was 37.07%. Unlike acidic centers, basic centers on alkaline metal oxides can effectively promote the breaking of carbon–hydrogen bonds, thus facilitating the dehydrogenation reaction. Ryu et al. [160] investigated the in situ catalytic pyrolysis of sulfated lignin when using MgO that had been loaded onto different carriers (C, Al2O3, and ZrO2). It turned out that MgO that had been loaded onto C had the highest aromatic yield. Moreover, the introduction of MgO improved the selectivity of monocyclic aromatic hydrocarbons and furans in bio-oils and inhibited phenolic product generation. In addition to typical acidic and basic metal oxides, transition metal oxides such as ZrO2, ZnO, CuO, TiO2, Fe2O3, CeO2, and MnO2, as well as binary transition metal oxides, have also been widely studied in the field of lignin catalytic pyrolysis [161]. Dong et al. [162] investigated the effect of TiO2 loaded with Fe, Cu, and Mo on product distribution in catalytic lignin pyrolysis. The results showed that the content of phenolic products in the bio-oil decreased while those of the aromatic ketones increased after loading the TiO2 with Fe and Cu. When using Mo-loaded TiO2 as the catalyst, the selectivity of phenol was greatly improved (89%) while the bio-oil yield decreased. This could be due to the introduction of Mo, which improved the catalytic activity of TiO2 for pyrolysis. Nair et al. [155] investigated the effects of two metal oxides (CeO2 and ZrO2) on the in situ catalytic pyrolysis of alkali lignin. It was found that both catalysts favored the generation of guaiacol. Unlike solid acid catalysts, metal oxides promote the formation of hydroxyl radicals through activation, and the generated radicals further participate in the radical reaction to generate guaiacol products. Meanwhile, both metal oxides can prevent coke formation and are not easy to deactivate, but the regeneration of the catalysts still needs to be investigated further.
Calcite has a cubic crystalline structure with the general formula ABO3, in which the A-site is generally an alkali metal, alkaline earth metal, or a rare earth metal ion with a large radius, and the B-site is a transition metal ion with a small radius. Because of the good thermal stability of the calixarene-type metal oxide catalysts, they can promote the breaking of certain types of chemical bonds in lignin. Meanwhile, they are non-toxic, harmless, and easy to recycle, thus showing good application prospects. The process of lignin pyrolysis, catalyzed by chalcogenide, is shown in Figure 8. On the one hand, adsorbed oxygen on the surface of chalcogenide can be released to participate in the reaction. The oxygen consumed during the reaction can be replenished by the oxygen in the air during the regeneration process; on the other hand, chalcocite can provide an active center for promotion the pyrolysis of lignin to generate aryl oxygenated compounds [163].
Figure 8.
The process of lignin pyrolysis catalyzed by chalcogenide [163].
Metal oxide catalysts have the advantages of higher liquid product yield and high thermal stability. However, their performance depends on the modulation of the catalyst acidity and alkalinity.
- 3.
- Metal salt catalysts
Metal salt catalysts have attracted much attention due to their high efficiency and low price. Many studies have shown that adding metal salt catalysts to the pyrolysis process can help enhance the target products’ selectivity [164]. Geng et al. [165] investigated the effect of Ni(HCOO)2 on the in situ catalyzed pyrolysis of alkali lignin. It was found that Ni(HCOO)2 increased the selectivity of alkylphenol products (13.25%) by acting in the following two ways: first, the hydrogen produced by the pyrolysis of formic salt is favorable for the removal of methoxy, which can promote the addition reaction of unsaturated groups, such as the aldehyde group, carbonyl group, and carboxyl group, and reduce the unsaturation degree of the pyrolysis product, which is conducive to the generation of phenol; secondly, the presence of Ni can help the conversion of phenol into alkylphenol. Peng et al. [166] investigated the performance of in situ catalyzed lignin pyrolysis of corn stover with K2CO3 and Na2CO3. The results showed that adding carbonates decreased bio-oil yield, while increasing the selectivity of methoxyphenols in bio-oil and promoting the generation of gas products. For instance, there was a significant increase in the selectivity of CO2 in gas products. Hu et al. [167] investigated the in situ catalyzed lignin pyrolysis of a cellulase corn stover using ZnCl2. The possible mechanism of action of ZnCl2 in lignin pyrolysis is shown in Figure 9. The acidic H [ZnCl2(OH)] generated by the reaction of H2O with ZnCl2 significantly promotes the pyrolysis of lignin to produce coke, CO2, and H2O, in which the yields of CO2 and H2O are 2 to 3 times higher than those in the noncatalytic case.
Figure 9.
Proposed effect mechanism of ZnCl2 on CECL pyrolysis [167].
Metal salt catalysts are efficient and inexpensive. However, they are thermally unstable and prone to deactivation.
All in all, the cost of pyrolysis is relatively low, and it is capable of producing high-value-added products such as bio-oil, but it also needs to solve the problems of the uneven distribution of its products and low economic value before it can be widely applied.
4.2. Hydro-Processing
Hydro-processing refers to the thermal reduction of feedstock using hydrogen. is one of the most effective strategies for breaking lignin into low-decomposition lignin, phenols, and other valuable chemical components and for upgrading small compounds into hydrocarbon fuels. Based on the type of reaction associated with hydro-processing, this section is divided into hydrogenolysis, HDO, and catalytic hydrogenation.
4.2.1. Hydrogenolysis
The hydrogenolysis of lignin is one of the most common and effective methods of lignin depolymerization, which refers to the process of breaking the α-O-4, β-O-4 bonds, and phenolic hydroxyl groups using a catalyst, with a hydrogen substituting the departing heteroatoms or groups to produce aromatic compounds. This process can be used to convert lignin into high-value-added chemicals and high-grade liquid fuels under relatively mild conditions. However, there are many factors affecting the effectiveness of lignin hydrogenolysis, such as the choice of catalyst, reaction solvent, reaction temperature and time, reaction atmosphere, and pressure. For example, the lignin structure obtained from different reaction solvents is highly variable [6,168,169,170]. Suitable catalytic systems can promote the depolymerization of lignin during hydrogenolysis and inhibit the occurrence of side reactions, thus improving the selectivity of the target products of hydrogenolysis. In recent years, many researchers have also precisely summarized the catalysts commonly used in the lignin degradation process [7]. The common catalytic systems for lignin hydrogenolysis are mainly divided into homogeneous acid–base catalysts and heterogeneous metal catalysts. Among them, the heterogeneous catalysts can be further divided into noble metal catalysts such as Ru, Pd, and Pt, and transition metal catalysts, for instance, Ni, Cu, Zn, and Co.
- Homogeneous catalyst-based hydrogenolysis
Homogeneous catalysts can be broadly divided into liquid acid catalysts and liquid base catalysts. The acid catalysts that are commonly used in catalytic depolymerization include formic acid, sulfuric acid, hydrochloric acid, and phosphoric acid, while the commonly used alkali catalysts include NaOH and KOH. In addition, soluble metal catalysts also belong to the category of homogeneous catalysts. Among the catalysts mentioned, formic acid is not only used as a solvent to a provide hydrogen source for lignin hydrogenolysis, stabilize aromatic groups, and inhibit polymerization reactions, but can also be used as a catalyst to lower the activation energy of bond breaking [171]. Formic acid has a good catalytic effect on organic-soluble lignin; according to a previous study, a 30% bio-oil yield was obtained at 300 °C under supercritical water conditions [171]. A 46% yield of liquid product and about 10% yield of monophenolic compounds were obtained at 260 °C using phosphoric acid as a catalyst with alkali lignin feedstock [172]. Researchers have also explored the hydrogenolysis performances of homogeneous alkali catalysts. The catalytic depolymerization of lignin using NaOH in supercritical aqueous solution provided a 21.5% monophenol yield for a 0.5 h reaction at 330 °C [173]. The use of strong bases not only serves to break the ether bonds, but also inhibits benzene ring hydrogenation, thus ensuring the integrity of the aromatic compound. Sergeev et al. [174] reported the use of the soluble nickel compound Ni(COD)2 for the catalytic hydrogenolysis of diaryl ethers. The catalyst has a wide degree of applicability to the substrate, and its activity in C-O bond breaking is in the order of Ar-O-Ar > Ar-OMe > ArCH2-OMe. The active sites of homogeneous catalysts are usually ions that are uniformly distributed in the solvent system, affording much easier contact with the reactants, and for which there is no disadvantage of inactivation caused by coking on the catalyst active sites. However, there are some limitations of homogeneous catalysts as well. For instance, it is difficult to separate products and the reactants, and the acid or alkali corrosion of equipment is very serious. This is not to mention its poor recyclability and associated environmental pollution.
- 2.
- Heterogeneous catalyst-catalyzed hydrogenolysis
Recently, a large variety of heterogeneous catalytic systems with high catalytic activity and high selectivity have been discovered by scholars. The active centers are mainly based on noble metals and transition metals, and the carriers generally include activated carbon, oxides and zeolites. Compared with transition metals, the noble metals, which are commonly used to catalyze the hydrogenolysis process, have stable catalytic efficiency and superior ability to adsorb and dissociate hydrogen. Wang et al. [175] found that the Ru catalyst was highly selective for C-O bond cracking and could simultaneously break the Cα-O and Cβ-O bonds in lignin model compounds, which produced 51% propylene catechol with 77% selectivity. Karnitski et al. [176] investigated the effect of Pd loading on acidic carriers (Al2O3, Hβ) on the concentration of sulfate lignin and oak-extracted organic solvent lignin depolymerization, and it was found that metal sites were required to initiate lignin depolymerization. Moreover, effective depolymerization required the adsorption of the bulky lignin polymers on the metal palladium surface in a multidentate manner, which gave the lowest monomer yield of 15.8%. The Sels team [177] conducted an in-depth study of Ru/C catalysts that efficiently depolymerize ether bonds in birch lignin molecules to obtain phenolic compounds. During the catalytic process, the reaction was accompanied by the hydrogenation of the unsaturated bonds. Shu et al. [178] investigated Pd/C synergistic metal chlorides used for the efficient catalytic hydrogenolysis of lignin, and the monophenol yield reached up to 35.4%.
Due to the low cost, high catalytic efficiency, and wide sources of transition metal catalysts, they are widely used to catalyze the hydrogenation of lignin [179,180]. Jiang et al. [181] reported that single-atom Ni catalysts showed good activity and stability in promoting lignin depolymerization. Anchoring single-atom Ni sites to oxygen vacancies on CeO2 nanospheres converted cellulose hydrolase lignin by polymerization and hydrodeoxygenation, and the results showed that the lignin oil and monomer yields were 84.3% and 32.6%, respectively. In contrast to monometallic catalysts, bimetallic catalyst systems can be modified by introducing a second metal in order to change the electronic and geometrical structures of the monometallic catalyst surface. This synergistic effect will significantly improve the reactivity, stability, and selectivity of the catalysts, and ultimately increases catalytic efficiency. Yadagiri et al. [182] prepared a series of mesoporous silica KIT-6-loaded Ni catalysts by wet impregnation method and evaluated the hydrolysis of lignin-derived diphenyl ether in a continuous process. The catalytic system was found to have the best catalytic effect when the loading of Ni was 20%. This was due to the excellent dispersion of the Ni particles on the uniform pore channels of KIT-6. Rautiainen et al. [183] used non-homogeneous cobalt as a catalyst to depolymerize birch lignin to obtain phenolic compounds in a 34% yield. The catalytic effect was repeated three times without significant decrease.
Compared with homogeneous catalysts, non-homogeneous catalysts have better thermodynamic stability and more stable morphologies and properties. The separation of products and catalysts is simple, making them more suitable for industrial applications.
4.2.2. Hydrodeoxygenation
Oxygenated compounds in bio-oils consist of various functional groups such as methoxy (R-O-CH3), phenolic hydroxyl (R-O-H), aliphatic hydroxyl (R-O-H), benzyl alcohol (R-CH2-O-H), acyclic benzyl ether (R-O-R), and carbonyl (R-C=O). Thus, the hydrodeoxygenation (HDO) reaction offers a promising catalytic strategy for removing the oxygen from lignin, which can be used to make renewable transportation fuels, among others [184,185]. The process is usually carried out at a pressure of 5–10 MPa and at temperature of 473–573 K. A graphical representation of the conversion of lignin into fuel through the HDO process is given in Figure 10. Obviously, the catalyst plays an important role in the hydrodeoxygenation of lignin, and ideally, the HDO catalyst must be able to achieve a high conversion at low temperatures and pressures to minimize coke formation and effectively deoxygenate lignin during the catalytic process without overconsuming hydrogen [186].
Figure 10.
A graphical representation of the conversion of lignin into fuel through the HDO process [185].
As previously reported, catalysts with bifunctional systems have been recognized as constituting the primary catalyst system for HDO processes [187]. Bifunctional catalysts, with multiple components consisting of active metals (e.g., platinum, ruthenium, nickel, iron, cobalt, cerium, cerium, cerium, palladium), catalyst carriers (e.g., transition metal oxides, carbon, or mesoporous silica materials, etc.), and in most cases, promoters for the active metals (e.g., molybdenum, copper, etc.), are also used [187]. Initially, conventional CoMoS and NiMoS catalysts [188] used in refinery HDS processes were investigated for HDO reactions. The catalytic activity of these catalysts is mainly dependent on the sulfide region of the catalysts, as the loss of sulfur creates vacancies that act as active sites in the HDO reaction. However, these catalysts produce unconverted sulfur oxide SO2 and pollute the environment. Therefore, in order to improve the reactivity of HDO catalysts, noble metals have attracted attention as mono- or bifunctional catalysts for HDO processes [189]. Given that noble metals do not require a vulcanizing agent to maintain HDO activity, they are more advantageous than sulfide catalysts. For instance, they do not cause contamination of the products and environment [190]. Wildschut and Mahfud [191] compared the reactivity of Ru/C, CoMo/Al, and NiMo/Al under mild (250 °C and 100 bar) and high-temperature (350 °C and 200 bar) reaction conditions for the catalytic treatment of bio-oil in a batch reactor by HDO. It was reported that the Ru/C catalysts exhibited a high catalytic performance in terms of product yields and the degree of deoxygenation. However, material cost challenges and low Ru availability made it difficult for commercial (large-scale) applications. Wu et al. [192] proposed a strategy to prepare cycloalkyl ethers via the electrocatalytic HDO of lignin derivatives (guaiacol, for example). Unlike the conventional HDO method, which preferentially breaks the ether C-O(R) bond to generate alcohols, the efficient hydrogenation of aromatic rings, with the preferential breaking of the hydroxyl C-O(H) bond and simultaneous retention of the ether C-O(R) bond, was achieved by controlling the strength and mode of the Pt-Co interaction. Pt nanoparticles (NPs), modified with Co single-atom sites (SASs) on mesoporous carbon, were found to efficiently break hydroxyl C-O(H) bonds while preserving ether C-O(R) bonds. The Pt NPs and Co SASs in the catalysts had a good synergistic effect on the selective breaking of hydroxy C-O(H) bonds. The Pt NPs promoted the hydrogenation of the aromatic ring, and the Co SASs strongly interacted with the O in the hydroxy C-O(H) bond, resulting in the preferential breaking of the hydroxy C-O(H) bond, catalyzed on the Pt sites. Furthermore, in the continuing search for new, effective, and promising catalysts, the cheapness and availability of the non-precious transition metals make them promising alternatives to noble metals for HDO reactions.
4.2.3. Catalytic Hydrogenation
The catalytic hydrogenation degradation method is mainly used to degrade lignin by attacking the methyl–aryl ether bonds on lignin using hydrogen atoms and reducing the unsaturated oxygen-containing bonds on the side chains [193]. Compared with other methods, catalytic hydrogenation has the advantages of producing final products with a low oxygen content and significantly inhibiting the condensation of lignin. This method can, therefore, be used to obtain chemicals with low oxygen contents, a reason it has been widely used in industry [194,195]. Sergeev et al. [174] made great progress in the catalytic hydrogenation of diaryl ethers by soluble nickel complexes. Their catalytic system consisted of Ni(COD)2 and SIPr-HCl, with NaOtBu as an additive. The catalytic hydrogenation reaction was carried out at 100 °C and 0.1 MPa H2 pressure, and high yields of both phenols and aromatics were achieved. Shu et al. [178] used Pd/C as a catalyst to explore the optimal conditions for the catalytic hydrogenation reaction of lignin. The results showed that, under the optimal conditions (Pd/C as catalyst, 280 °C, 5 h), the yield of bio-oil could reach 85.6%. Bouxin et al. [196] hydrogenated lignin using Pt/Al2O3 as a catalyst and a methanol/water solution (50:50 v/v) as a solvent under 2 MPa H2 pressure and 300 °C. The results showed that the content of β-O-4 bonds in the lignin structure had a significant effect on the yield and distribution of the products after catalytic hydrogenation. During catalytic hydrogenation, if the condensation of lignin fragments and intermediates increases, the yield of monomers will decrease and so will the proportion of phenolic monomers containing alkyl side chains. However, if the condensation reactions decrease, the proportion of phenolic monomers containing alkyl side chains will increase. Therefore, the optimization of the lignin degradation process requires the use of more selective cleavage methods to reduce lignin condensation. Pepper et al. [197] catalyzed the hydrogenation of softwood lignin using Al2O3- and C-loaded Pd, Rh, and Ru catalysts, in turn, and the main monomer products were 4-propylguaiacol and dihydropinacol under milder reaction conditions. Zhang et al. [198] developed a Ni-Au bimetallic catalyst for the catalytic hydrogenation degradation of lignin with pure water as the solvent under milder reaction conditions. The Ni-Au catalyst afforded a monomer yield of 14%, which was three times higher than that of the pure Ni catalyst, while the use of Au alone was found to be ineffective in the hydrogenolysis of lignin. It was concluded that the doping of Au significantly promoted the reduction of nickel salts, which led to the formation of fine core–shell catalyst particles. Liu et al. [199] developed an advanced tandem catalysis strategy for the highly selective hydrocracking of birch lignin into monophenols with 2 MPa H2, and the result showed that 58 wt % monophenols can be achieved under mild reaction conditions, inducing a great prosperity for liquid production. Mei et al. [200] developed a highly efficient Ni/C catalyst, which was derived from a Ni-containing metal–organic framework, and realized self-transfer hydrogenolysis in order to produce valuable chemicals and fuels from lignin by cleaving the β-O-4 bond without exogenous hydrogen.
All in all, hydro-processing is capable of translating lignin into more stable forms using hydrogen, e.g., liquid fuels, which can serve as substitutes for fossil fuels. It is one of the most effective strategies for breaking lignin into low-decomposition lignin, phenols, and other valuable chemical components. Nevertheless, the implementation cost of hydro-processing is relatively high, mainly due to the high cost of catalysts and the consumption of hydrogen. Also, the process may produce some unexpected by-products such as tar and unreacted lignin. Therefore, the questions of how to discover cheaper hydrogen resources and utilize these by-products still remain challenging.
4.3. Oxidation
Lignin oxidation depolymerization is an important method for producing various platform chemicals under mild conditions. It works by selectively oxidizing functional groups and chemical bonds. Common oxidants include nitrobenzene, metal oxides, molecular oxygen, and hydrogen peroxide. Oxidation generates various high-value chemicals (Figure 11) [201]. The primary methods of lignin oxidation depolymerization involve organometallic catalytic oxidation, metal-free organic catalytic oxidation, base-catalyzed oxidation, acid-catalyzed oxidation, photocatalytic oxidation, and electrocatalytic oxidation.
Figure 11.
Schematic diagram of oxidative depolymerization of lignin into high-value-added chemicals [201].
4.3.1. Organometallic Catalytic Oxidation
Organometallic catalytic oxidation is one of the essential reactions in modern organic synthesis. In recent years, numerous researchers have applied it to the oxidation of lignin model compounds. Particularly, catalytic systems based on metal salen complexes have been widely used in lignin oxidation depolymerization due to their excellent catalytic performances and relatively simple synthetic pathways. Additionally, other metal complexes, such as transition metal complexes, have exhibited unique advantages and broad applicability in oxidative catalysis.
Salen complexes (N,N′-bis(salicylaldehyde)ethylenediamine) are a class of complex formed by transition metal ions with Schiff base ligands and they are widely used in organic catalytic reactions [202]. Metal Salen complexes are typically formed from inexpensive and readily synthesizable metal ions, such as manganese, iron, and cobalt, with the Salen ligand offering advantages like tunable structures, strong catalytic activity, and good reaction selectivity [203]. In lignin depolymerization studies, metal Salen complexes act as catalysts that effectively facilitate the oxidative cleavage of aromatic rings within lignin molecules. Particularly in reactions oxidizing lignin model compounds, metal Salen complexes exhibit high catalytic activity and good selectivity, promising broad applications in the valorization and transformation of lignin.
Among metal Salen complexes, cobalt Salen complexes are the most common and are widely used in organic oxidation reactions and lignin depolymerization studies due to their excellent catalytic performance. Cobalt Salen complexes possess favorable redox properties, effectively activating oxygen molecules to facilitate oxidative cleavage reactions in lignin. Zhang and colleagues [202] summarized Co(salen) configurations commonly used in lignin oxidation depolymerization, as shown in Figure 12.
Figure 12.
Co(salen) complexes used for oxidizing lignin and lignin model compounds [202].
Berenger and colleagues employed a novel Co-Schiff base catalyst, containing bulky heterocyclic nitrogen bases, to efficiently oxidize phenolic lignin model monomers and dimers, representing the major substructural units of lignin, and transform them into benzoquinones [204]. Metal Salen complexes are often supported by various carriers to enhance their catalytic performance. Zhou and colleagues studied the dispersion of Co(salen) catalysts on ceramic fiber networks for the catalytic degradation of Kraft lignin using hydrogen peroxide. Due to the three-dimensional network structure, the catalyst-impregnated powder exhibited higher activity in lignin oxidation reactions compared to the pristine Co(salen) powder, with an oil phase yield increasing to 23.27%, which was significantly higher than the 10.63% yield from Co(salen) powder, and demonstrating good recyclability [205]. To further enhance the stability of Co(salen), it was covalently grafted onto graphene oxide, exhibiting significant activity in catalytic oxidation [206].
Cooper and colleagues, according to what is shown in Figure 13 (the widely accepted mechanism of the Co(salen) catalytic oxidation of lignin phenols), combined computational and experimental methods to study the oxidation of lignin monomer models syringyl (S), guaiacyl (G), and 4-hydroxybenzyl alcohol (H) catalyzed by Co(salen), producing benzoquinones and benzaldehydes among other products. The generally accepted mechanism of Co-Schiff base-catalyzed oxidation involves activation of O2 to form a CoIII–superoxide adduct. The CoIII–superoxo adduct then removes a phenolic hydrogen from the substrate to form a phenoxy radical, which reacts with a second equivalent of the CoIII–superoxo adduct to form a peroxo intermediate that undergoes subsequent rearrangement to form quinones, aldehydes, or both. Experimental results indicated that the oxidation of S was highly efficient when the Co(salen) catalyst was coordinated with a pyridine ligand, yielding dimethoxybenzoquinone. At the same time, G and H did not undergo oxidation. Density Functional Theory (DFT) calculations revealed that, in the presence of H, the energy cost for catalyst regeneration was higher, hindering the oxidation reaction. In contrast, S effectively facilitated catalyst regeneration, promoting the oxidation reaction [207].
Figure 13.
Co(salen)-catalyzed oxidation of lignin-like phenols to form quinones and aldehydes [207].
4.3.2. Metal-Free Organic Catalytic Oxidation
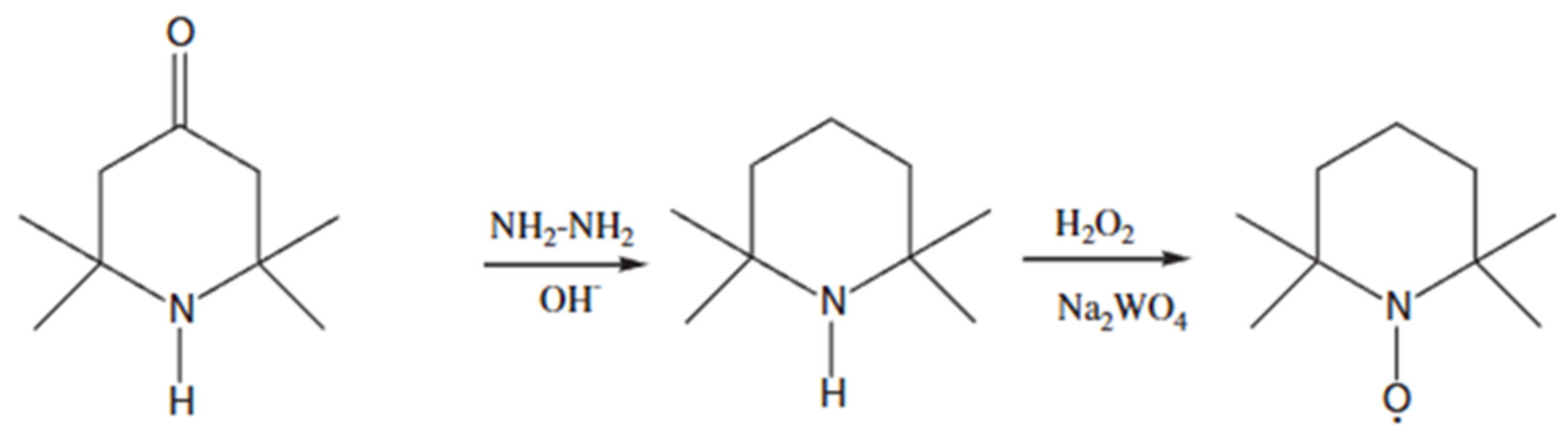
In the field of metal-free organic catalysis, TEMPO (2,2,6,6-Tetramethylpiperidine-1-Oxyl Radical) is commonly employed to selectively catalyze the oxidation of alcohols and phenolic structures in lignin due to its high stability and strong oxidizing capacity [208]. TEMPO is often synthesized via redox methods, with the specific process outlined in Figure 14 [209].
Figure 14.
TEMPO preparation method [209].
Patankar et al. utilized Fe@MagTEMPO, an iron complex catalyst with TEMPO anchored onto magnetic nanoparticles, to selectively convert softwood Kraft lignin into vanillin, achieving a 20% yield of phenolic monomers. This method enables the efficient separation of phenolic monomers without the need for alkaline conditions, and the catalyst is reusable [210]. Lin and colleagues developed an efficient heterogeneous catalyst, TEMPO@SiO2/Cu⁺, by embedding TEMPO functional groups into a silica matrix and combining them with the co-catalyst Cu⁺. The efficient transformation of the lignin model compound vanillyl alcohol (VAL) into vanillin (VN) was achieved within 30 min at room temperature, with a conversion rate of 96%, a selectivity of 96.5%, and a yield of 92.6% [211]. Dabral and colleagues developed an efficient one-pot, two-step method for the efficient conversion of lignin β-O-4 model compounds into simple aromatic compounds. The method first employs a TEMPO/DAIB system to oxidize primary hydroxyl groups selectively. Subsequently, it utilizes a proline-catalyzed retro-Aldol reaction for cleavage. The specific steps are shown in Figure 15 [212]. Lin and colleagues, targeting the efficient conversion of lignin model compound vanillyl alcohol into vanillin, proposed a method using Cu and TEMPO as co-catalysts, with ambient air acting as the oxygen source. The study demonstrated that the Cu/TEMPO catalytic system exhibits high selectivity, oxidizing vanillyl alcohol to vanillin with a 99% conversion rate and a 93% selectivity at 90 °C. This achieved a yield of 89%, which was significantly higher than that previously reported in the literature [213].
Figure 15.
Two-step degradation using a TEMPO/Immobilized DAIB catalytic system [212].
4.3.3. Base-Catalyzed Oxidation
Solutions of strong bases, such as sodium hydroxide (NaOH), are most widely utilized in the alkaline oxidation of lignin because they facilitate the selective production of vanillin. However, the use of alkaline solvents complicates the subsequent product separation, requiring acidification and extraction with organic solvents. This not only consumes large amounts of acid and organic solvents but also leads to the generation of substantial volumes of saline solutions [214].
Yuki and colleagues proposed the mechanism of alkaline oxidation of lignin to produce vanillin, as depicted in Figure 16. Oxidation initially occurs at the α-position, yielding a Cα=O intermediate, which then isomerizes to form a Cγ=O compound, ultimately undergoing a retro-aldol reaction to generate α-aldehyde precursors of vanillin [215]. Esteves [216], Schutyser, and their colleagues studied the impact of temperature, oxygen pressure, and NaOH concentration on the oxidation of lignin. Alkaline-catalyzed oxidative degradation of lignin typically employs excess NaOH to prevent the decomposition of coniferyl alcohol into smaller molecules. However, the recovery of phenolic monomers usually requires a pH ≤ 7, which complicates the recovery process and leads to alkaline waste [217]. In search of low-solubility alternatives to NaOH to improve experimental outcomes, Beckham investigated the application of alkaline oxidative depolymerization in lignin valorization, comparing the performance of NaOH, Sr(OH)2, and Ba(OH)2 in the depolymerization of corn stover lignin. The results indicated that Sr(OH)2 and Ba(OH)2 are comparable to NaOH in terms of aromatic monomer yield and allow for the recovery of up to 90% of the alkali [218].
Figure 16.
Mechanism of alkaline oxidation of lignin-producing vanillin [215].
Common oxidants used in the alkaline oxidation of lignin include nitrobenzene, O2, and H2O2. While nitrobenzene is the most effective oxidant, its high cost and potential carcinogenicity restrict its applications [219]. O2 is an economical and environmentally friendly green oxidant with high oxidation efficiency. Increasing oxygen pressure slightly improves the conversion rate of coniferyl alcohol, but excess oxygen can lead to over-oxidation, producing small-molecule acids and alcohols [216]. H2O2 effectively disrupts the aryl ether bonds in lignin under alkaline conditions, generating aldehyde compounds [220].
4.3.4. Acid-Catalyzed Oxidation
The research and application of lignin transformation via acidic catalytic oxidation have demonstrated significant potential. Compared to traditional alkaline oxidation methods, acidic oxidation has shown remarkable advantages in the production of vanillin from Kraft lignin [221,222]. Arturi and colleagues applied acidic oxidation to a two-phase water/octanol system for the production of high-value aromatic monomers from Kraft lignin. By transferring the target molecules from the reactive aqueous phase to the protective octanol phase in situ, the method reduces condensation reactions and increases monomer yields [223]. Rohr and colleagues employed a continuous microreactor setup, overcoming the limitations of traditional batch autoclaves, and they found that temperature is a key factor affecting product yields [222].
Furthermore, other studies have explored the use of different media, such as hydrogen peroxide, peracetic acid, and acidic deep eutectic solvents (DESs), in lignin depolymerization. The stability of hydrogen peroxide and its interaction with metal ions have been proven crucial to enhancing the yield of aromatic aldehydes [224]. Also, the control of peracetic acid concentration can selectively produce low-molecular-weight lignin derivatives [225].
4.3.5. Photocatalytic Oxidation
In the latest advancements in oxidative lignin depolymerization, photocatalytic oxidation is favored due to its operation under milder conditions and shorter reaction times, as well as the absence of secondary pollution [226]. Commonly used semiconductor materials include TiO2, CdS, and ZnO. Among these, TiO2 stands out as the preferred catalyst for lignin oxidation due to its high activity, stability, cost-effectiveness, and widespread commercial availability [227]. The TiO2/UV lignin degradation mechanism is illustrated in Figure 17. Under the influence of photocatalysis, the TiO2 catalyst generates ·OH free radicals that attack the benzene rings of lignin, forming intermediates such as catechol. These intermediates undergo further oxidation, ultimately producing CO2 and organic acids, thereby completing the mineralization of lignin [228].
Figure 17.
Mechanism of oxidative degradation of lignin under TiO2 /UV catalyst system [228].
Doping modifications can significantly enhance the catalytic performance of TiO2. For example, Gong and colleagues developed an efficient photocatalyst by loading metal Bi and Pt onto TiO2. Under UV irradiation, these modified TiO2 catalysts effectively depolymerize lignin sulfonate into various products, including vanillin, guaiacol, vanillic acid, and 4-phenyl-1-butene-4-ol. The introduction of Bi suppresses the generation of hydroxyl radicals, thereby expanding the spectral response range, while the loading of Pt provides active sites for superoxide radicals, further enhancing the photocatalyst’s performance [229]. Furthermore, Kumar et al. used a low-loaded CdS (3%)/TiO2 heterojunction photocatalyst to efficiently convert lignin into high-value oxygenated compounds, demonstrating excellent photocatalytic stability and reusability [230]. Li and colleagues constructed a P2W17V(001)-TiO2 hybrid photocatalyst, effectively transforming the lignin model compound 2-phenoxy-1-phenylethanol into benzaldehyde and phenol, with selectivity exceeding 85%. P2W17V acts as an electron pool, facilitating charge transfer with the engineered crystal facets of TiO2, inhibiting electron–hole recombination and significantly improving photocatalytic performance [231]. Xu et al. [232] developed a chlorine radical-mediated photocatalytic strategy using a TPT/CaCl2 system under blue light irradiation, achieving 76% yield of aromatic oxygenates through the selective cleavage of Cα–Cβ bonds in lignin β-O-4 structures. This approach prioritizes Cβ–H bond activation via chlorine radicals, enabling the efficient conversion of lignin model compounds under ambient conditions (room temperature, atmospheric pressure). The HSQC analysis of native birch lignin confirmed β-O-4 linkage cleavage and aldehyde group formation, providing a novel pathway for the green production of lignin-derived fuel precursors.
4.3.6. Electrocatalytic Oxidation
In the electrocatalytic oxidation of lignin, the common categories include small-molecule electrocatalysts (Figure 18 type I), enzymatic electrocatalysts (Figure 18 type II), and heterogeneous electrocatalysis (Figure 18 type III) [233]. Among the small-molecule redox species, TEMPO and PINO are frequently utilized. For instance, Stahl and colleagues developed an electrochemical method for the selective oxidation of primary alcohols in lignin to carboxylic acids under mild alkaline conditions, using TEMPO and ACT as catalytic media. When applied to lignin extracted from poplar wood chips, this method increased both the acid content and water solubility of the oxidized lignin. Furthermore, under acidic conditions, the oxidized lignin efficiently depolymerized into aromatic monomers, with a yield approaching 30 wt % [234]. Additionally, Bosque et al. employed PINO to achieve the selective electrocatalytic oxidation of p-benzylic alcohols in lignin model substrates [235]. Bioenzymes have also demonstrated excellent performance as electrocatalysts for the depolymerization of lignin. Ko and colleagues developed an innovative compartmentalized photo-electro-biochemical system that integrates a TiO2 photocatalyst, atomically dispersed cobalt-based electrocatalysts, and enzymatic catalysts, achieving a lignin depolymerization efficiency of up to 98.7% [236].
Figure 18.
Classification of electrocatalytic lignin oxidation [233].
For heterogeneous electrocatalysis, metal oxides and hydroxide electrodes are commonly employed for lignin depolymerization. Jia et al. developed a method for the electrochemical oxidation of straw lignin under atmospheric pressure and mild temperatures, utilizing a Ti/SnO2–Sb2O₃/α-PbO2/β-PbO2 electrode. This approach successfully yielded various high-value aromatic compounds, such as guaiacol and vanillin, and the operating conditions were optimized to increase production yield [237]. Danlu and colleagues prepared different metal oxyhydroxides on nickel foam electrodes and found that nickel oxyhydroxide (NiOOH) was particularly effective for the oxidative cleavage of lignin model compounds, achieving yields as high as 93% and selectivities up to 99% [238]. Qi and colleagues achieved the efficient oxidative cleavage of the Cα–Cβ bond in lignin by a phosphorus-doped CoMoO4 spinel, reaching a conversion rate of 99% and a selectivity of 56%. Additionally, they efficiently reduced 2-furaldehyde into 2-methylfuran, showcasing the potential of spinel structures as bifunctional electrocatalysts [239]. Liu et al. [240] designed phosphorus-doped CoMn-P photocatalysts for the direct conversion of lignin into aviation fuel precursors via photoelectron–catalytic synergy. The system utilized photogenerated electrons to lower the β-O-4 bond hydrogenation deoxygenation energy barrier, with 20% reduction in energy consumption, and the proportion of cycloalkanes to aromatic hydrocarbons in the product was more than 60%, which provided a highly efficient solution for the preparation of high-energy-density aviation fuels produced from lignin.
As a key technology for the high-value utilization of biomass resources, lignin oxidation enables the targeted production of diverse high-value-added platform chemicals through the selective cleavage of functional groups and chemical linkages under mild conditions. However, challenges like the high cost of metal components in catalysts and difficulties in its recycling remain bottlenecks for its large-scale applications. Also, the oxidant dependency and radical side reactions require further optimization. As for base/acid catalysis, they hold industrial potential in vanillin-oriented synthesis. Base catalysis faces challenges in terms of product separation complexity and high-salt wastewater generation, while acid catalysis suppresses condensation side reactions and enhances yield via biphasic systems. However, the corrosive environments in acid systems impose stringent equipment requirements. Future research should focus on three major directions: (1) developing renewable green oxidants; (2) elucidating critical reaction pathways via in situ characterization and computational modeling; (3) optimizing full-process workflows through multi-technology integration.
4.4. Liquid-Phase Reforming
In the field of lignin conversion, liquid-phase reforming (LPR) refers to lignin depolymerization in the absence of external hydrogen. This process uses other organic solvents or its own hydrogen source to achieve the final transformation into a liquid fuel, where the temperature is lower than those required for its pyrolysis or gasification [241]. Numerous studies have shown that the liquid fuel yields of lignin can be significantly increased by the addition of different catalysts in the above process. These preferred catalysts include Group VIII transition metals. Their alloys and mixtures with Pt, Ru, and Rh have the highest activity and stability [241]. In addition, various organic solvents and liquids, including water, alcohols, acids, and complex solvents, have been exploited in these reactions [242]. Zhang et al. [243] successfully transform lignin model compounds and organosolv lignin into small-molecule groups by employing the alcoholic groups (CαH-OH) in their own structure as hydrogen honors. Zhou et al. [244] successfully transformed native lignin or lignin oils into 4-alkylphenol within a subcritical water system, thereby markedly reducing the oxygen content in the final product. Water can be considered as the most suitable green solvent, significantly suppressing the condensation of those intermediates in the lignin depolymerization process. However, the low solubility of lignin in water is a challenge [1]. In the alcohol solvent system, lignin is depolymerized by catalytic transfer hydrogenation at the expense of its own hydrogen atoms under mild conditions [245]. Other common alcohol solvents, such as methanol, ethanol, and isopropyl alcohol, have been used in related research. For example, Zhang et al. [246] transformed guaiacol model compounds into aromatic hydrocarbons in methanol solvent. Chou et al. [247] efficiently depolymerized lignin into bio-oil in a supercritical ethanol system, and the active hydrogen in ethanol was used in a lignin hydroliquefaction reaction. Sunil et al. [248] carried out the hydrodeoxygenation of vanillin to 2-methoxy-4-methyl phenol in an isopropanol system. Wu et al. [249] also found that lignin had better depolymerization monomer yield in an isopropanol system. Its high activity is due to the fact that two alkyl groups in its structure strengthen the stability of carbocations, which have higher electron release efficiency and stronger dehydrogenation activity on the catalyst surface [250]. In the acid solvent system, formic acid has a high rate of hydrogen molecule release, which benefits the catalytic hydrogenation of lignin [251]. However, the use of formic acid is limited in practical applications due to its corrosivity to equipment and its strong acidity. The latter quality causes more coke to be generated, thereby necessitating anti-corrosion measures. In addition, numerous studies have also been conducted on composite solvents, which combine the advantages of different solvents [252,253,254]. These solvents can improve solubility, reduce the temperature and pressure required for the reaction, and foster stronger hydrodeoxygenation activity, which are conducive to the subsequent conversion of lignin into liquid fuel.
5. Conclusions and Outlook
Currently, commercial liquid fuels are mainly derived from petrochemical feedstocks.
As the only renewable raw material in nature, lignin, including abundant aromatic rings, is widely used to produce aromatic compounds, and in this process, most carbon, hydrogen, and oxygen atoms can all be preserved well. However, in terms of the current status of lignin conversion and utilization, many challenges still need to be overcome.
- The inherent heterogeneity and complex structure of lignin require suitable catalysts to accomplish effective depolymerization. In contrast, the current development and utilization of catalysts still have difficulties, such as high cost and easy deactivation. In the future, we should continue to improve the characterization instruments and techniques, analyze the depolymerization mechanism of lignin by deciphering the complex structure of lignin, and, using molecular design, synthesize new multifunctional catalysts with strong anti-deactivation activity, high selectivity, and low cost to realize the directional and efficient depolymerization of lignin.
- Hydrogen, commonly used in the preparation of liquid fuels from lignin, is extracted during petroleum refining. However, due to the non-renewable nature of petroleum, the future should focus on exploring alternative methods of producing renewable hydrogen. Thus, attention should be paid to increasing the yield of hydrogen through green and safe methods.
- The current lignin-catalyzed preparation of high-density bio-liquid fuels is still mainly dominated by model studies. The development of efficient catalytic systems, that couple the multiple processes mentioned above, such as lignin depolymerization and HDO, using real biomass or lignin as a substrate is the main point of focus for future research in this field.
Author Contributions
Conceptualization, investigation, methodology, writing—original draft, writing—review and editing, C.G.; conceptualization, writing—review and editing, L.W.; conceptualization, writing—review and editing, G.L.; formal analysis, investigation, A.T.O.; formal analysis, funding acquisition, resources, project administration, W.L. All authors have read and agreed to the published version of the manuscript.
Funding
This research was funded by the National Key Technology R&D Program of China (No. 2023YFD1701505) and Development Projects in Anhui Province (2022107020013).
Data Availability Statement
All supporting data are presented in the manuscript and listed references.
Conflicts of Interest
The authors declare that they have no known competing financial interests or personal relationships that could have appeared to influence the work reported in this paper.
References
- Li, C.; Zhao, X.; Wang, A.; Huber, G.W.; Zhang, T. Catalytic Transformation of Lignin for the Production of Chemicals and Fuels. Chem. Rev. 2015, 115, 11559–11624. [Google Scholar] [CrossRef] [PubMed]
- Amidon, T.E.; Liu, S. Water-based woody biorefinery. Biotechnol. Adv. 2009, 27, 542–550. [Google Scholar] [CrossRef] [PubMed]
- Ahmad, U.M.; Ji, N.; Li, H.; Wu, Q.; Song, C.; Liu, Q.; Ma, D.; Lu, X. Can lignin be transformed into agrochemicals? Recent advances in the agricultural applications of lignin. Ind. Crops Prod. 2021, 170, 113646. [Google Scholar] [CrossRef]
- Chakar, F.S.; Ragauskas, A.J. Review of current and future softwood kraft lignin process chemistry. Ind. Crops Prod. 2004, 20, 131–141. [Google Scholar] [CrossRef]
- Cassoni, A.C.; Costa, P.; Vasconcelos, M.W.; Pintado, M. Systematic review on lignin valorization in the agro-food system: From sources to applications. J. Environ. Manag. 2022, 317, 115258. [Google Scholar] [CrossRef]
- Zakzeski, J.; Bruijnincx, P.C.A.; Jongerius, A.L.; Weckhuysen, B.M. The Catalytic Valorization of Lignin for the Production of Renewable Chemicals. Chem. Rev. 2010, 110, 3552–3599. [Google Scholar] [CrossRef] [PubMed]
- Gillet, S.; Aguedo, M.; Petitjean, L.; Morais, A.R.C.; da Costa Lopes, A.M.; Łukasik, R.M.; Anastas, P.T. Lignin transformations for high value applications: Towards targeted modifications using green chemistry. Green Chem. 2017, 19, 4200–4233. [Google Scholar] [CrossRef]
- Azadi, P.; Inderwildi, O.R.; Farnood, R.; King, D.A. Liquid fuels, hydrogen and chemicals from lignin: A critical review. Renew. Sustain. Energy Rev. 2013, 21, 506–523. [Google Scholar] [CrossRef]
- Demirbaş, A. Relationships between lignin contents and heating values of biomass. Energy Convers. Manag. 2001, 42, 183–188. [Google Scholar] [CrossRef]
- Composition and Structure of Wood Cells. In Forest Products and Wood Science An Introduction; Wiley: Hoboken, NJ, USA, 2011; pp. 45–63. [CrossRef]
- Sun, P.; Wang, Z.; Li, C.; Tang, B.; Peng, C. Catalytic conversion of lignin and its derivatives to alkanes over multifunctional catalysts: A review. Fuel 2024, 361, 130726. [Google Scholar] [CrossRef]
- Barros, J.; Escamilla-Trevino, L.; Song, L.; Rao, X.; Serrani-Yarce, J.C.; Palacios, M.D.; Engle, N.; Choudhury, F.K.; Tschaplinski, T.J.; Venables, B.J.; et al. 4-Coumarate 3-hydroxylase in the lignin biosynthesis pathway is a cytosolic ascorbate peroxidase. Nat. Commun. 2019, 10, 1994. [Google Scholar] [CrossRef] [PubMed]
- SjöströM, E. Chapter 4—LIGNIN. In Wood Chemistry, 2nd ed.; SjöströM, E., Ed.; Academic Press: San Diego, CA, USA, 1993; pp. 71–89. [Google Scholar] [CrossRef]
- Rajesh Banu, J.; Kavitha, S.; Yukesh Kannah, R.; Poornima Devi, T.; Gunasekaran, M.; Kim, S.-H.; Kumar, G. A review on biopolymer production via lignin valorization. Bioresour. Technol. 2019, 290, 121790. [Google Scholar] [CrossRef]
- Ogunbiyi, A.T.; Li, W.; Zhang, B. 6—Chemo-catalytic conversion of lignin. In Biomass, Biofuels, Biochemicals; Bhaskar, T., Pandey, A., Eds.; Elsevier: Amsterdam, The Netherlands, 2021; pp. 109–128. [Google Scholar] [CrossRef]
- Shimizu, K.; Matsushita, Y.; Aoki, D.; Mitsuda, H.; Fukushima, K. Reactivity of a benzylic lignin-carbohydrate model compound during enzymatic dehydrogenative polymerisation of coniferyl alcohol. Holzforschung 2021, 75, 773–777. [Google Scholar] [CrossRef]
- Deng, W.; Feng, Y.; Fu, J.; Guo, H.; Guo, Y.; Han, B.; Jiang, Z.; Kong, L.; Li, C.; Liu, H.; et al. Catalytic conversion of lignocellulosic biomass into chemicals and fuels. Green Energy Environ. 2023, 8, 10–114. [Google Scholar] [CrossRef]
- del Río, J.C.; Rencoret, J.; Gutiérrez, A.; Elder, T.; Kim, H.; Ralph, J. Lignin Monomers from beyond the Canonical Monolignol Biosynthetic Pathway: Another Brick in the Wall. ACS Sustain. Chem. Eng. 2020, 8, 4997–5012. [Google Scholar] [CrossRef]
- Ralph, J.; Lapierre, C.; Boerjan, W. Lignin structure and its engineering. Curr. Opin. Biotechnol. 2019, 56, 240–249. [Google Scholar] [CrossRef] [PubMed]
- Rinaldi, R.; Jastrzebski, R.; Clough, M.T.; Ralph, J.; Kennema, M.; Bruijnincx, P.C.A.; Weckhuysen, B.M. Paving the Way for Lignin Valorisation: Recent Advances in Bioengineering, Biorefining and Catalysis. Angew. Chem. Int. Ed. 2016, 55, 8164–8215. [Google Scholar] [CrossRef]
- Liu, C.; Wang, S.; Wang, B.; Song, G. Catalytic hydrogenolysis of castor seeds C-lignin in deep eutectic solvents. Ind. Crops Prod. 2021, 169, 113666. [Google Scholar] [CrossRef]
- Huang, D.; Li, R.; Xu, P.; Li, T.; Deng, R.; Chen, S.; Zhang, Q. The cornerstone of realizing lignin value-addition: Exploiting the native structure and properties of lignin by extraction methods. Chem. Eng. J. 2020, 402, 126237. [Google Scholar] [CrossRef]
- Li, Z. Research on renewable biomass resource—Lignin. J. Nanjing For. Univ. 2012, 36, 1. [Google Scholar]
- Zhang, C.; Wang, F. Sell a dummy: Adjacent functional group modification strategy for the catalytic cleavage of lignin β–O–4 linkage. Chin. J. Catal. 2017, 38, 1102–1107. [Google Scholar] [CrossRef]
- Siau, J.F. Wood Structure and Chemical Composition. In Transport Processes in Wood; Siau, J.F., Ed.; Springer: Berlin/Heidelberg, Germany, 1984; pp. 35–72. [Google Scholar] [CrossRef]
- Vanholme, R.; Morreel, K.; Ralph, J.; Boerjan, W. Lignin engineering. Curr. Opin. Plant Biol. 2008, 11, 278–285. [Google Scholar] [CrossRef]
- Shah, S.W.A.; Xu, Q.; Ullah, M.W.; Zahoor; Sethupathy, S.; Morales, G.M.; Sun, J.; Zhu, D. Lignin-based additive materials: A review of current status, challenges, and future perspectives. Addit. Manuf. 2023, 74, 103711. [Google Scholar] [CrossRef]
- Xiong, F.; Han, Y.; Wang, S.; Li, G.; Qin, T.; Chen, Y.; Chu, F. Preparation and formation mechanism of size-controlled lignin nanospheres by self-assembly. Ind. Crops Prod. 2017, 100, 146–152. [Google Scholar] [CrossRef]
- Li, Y.; Meng, X.; Meng, R.; Cai, T.; Pu, Y.; Zhao, Z.-M.; Ragauskas, A.J. Valorization of homogeneous linear catechyl lignin: Opportunities and challenges. RSC Adv. 2023, 13, 12750–12759. [Google Scholar] [CrossRef] [PubMed]
- Zhou, C.-H.; Xia, X.; Lin, C.-X.; Tong, D.-S.; Beltramini, J. Catalytic conversion of lignocellulosic biomass to fine chemicals and fuels. Chem. Soc. Rev. 2011, 40, 5588–5617. [Google Scholar] [CrossRef] [PubMed]
- Palumbo, C.T.; Ouellette, E.T.; Zhu, J.; Román-Leshkov, Y.; Stahl, S.S.; Beckham, G.T. Accessing monomers from lignin through carbon–carbon bond cleavage. Nat. Rev. Chem. 2024, 8, 799–816. [Google Scholar] [CrossRef]
- Mottiar, Y.; Vanholme, R.; Boerjan, W.; Ralph, J.; Mansfield, S.D. Designer lignins: Harnessing the plasticity of lignification. Curr. Opin. Biotechnol. 2016, 37, 190–200. [Google Scholar] [CrossRef]
- Ralph, J.; Lundquist, K.; Brunow, G.; Lu, F.; Kim, H.; Schatz, P.F.; Marita, J.M.; Hatfield, R.D.; Ralph, S.A.; Christensen, J.H.; et al. Lignins: Natural polymers from oxidative coupling of 4-hydroxyphenyl- propanoids. Phytochem. Rev. 2004, 3, 29–60. [Google Scholar] [CrossRef]
- Zhang, B.; Qiang, G.; Barta, K.; Sun, Z. Bio–based polymers from lignin. Innov. Mater. 2024, 2, 100062. [Google Scholar] [CrossRef]
- Chapter 2—Structure and Characteristics of Lignin. In Lignin Chemistry and Applications; Huang, J., Fu, S., Gan, L., Eds.; Elsevier: Amsterdam, The Netherlands, 2019; pp. 25–50. [Google Scholar] [CrossRef]
- Gan, M.J.; Niu, Y.Q.; Qu, X.J.; Zhou, C.H. Lignin to value-added chemicals and advanced materials: Extraction, degradation, and functionalization. Green Chem. 2022, 24, 7705–7750. [Google Scholar] [CrossRef]
- Schutyser, W.; Renders, T.; Van den Bosch, S.; Koelewijn, S.F.; Beckham, G.T.; Sels, B.F. Chemicals from lignin: An interplay of lignocellulose fractionation, depolymerisation, and upgrading. Chem. Soc. Rev. 2018, 47, 852–908. [Google Scholar] [CrossRef] [PubMed]
- Liu, C.-J. Deciphering the Enigma of Lignification: Precursor Transport, Oxidation, and the Topochemistry of Lignin Assembly. Mol. Plant 2012, 5, 304–317. [Google Scholar] [CrossRef] [PubMed]
- Sasaki, S.; Nishida, T.; Tsutsumi, Y.; Kondo, R. Lignin dehydrogenative polymerization mechanism: A poplar cell wall peroxidase directly oxidizes polymer lignin and produces in vitro dehydrogenative polymer rich in β-O-4 linkage. FEBS Lett. 2004, 562, 197–201. [Google Scholar] [CrossRef] [PubMed]
- Önnerud, H.; Zhang, L.; Gellerstedt, G.r.; Henriksson, G. Polymerization of Monolignols by Redox Shuttle–Mediated Enzymatic Oxidation: A New Model in Lignin Biosynthesis I. Plant Cell 2002, 14, 1953–1962. [Google Scholar] [CrossRef]
- Sharma, V.; Tsai, M.-L.; Nargotra, P.; Chen, C.-W.; Sun, P.-P.; Singhania, R.R.; Patel, A.K.; Dong, C.-D. Journey of lignin from a roadblock to bridge for lignocellulose biorefineries: A comprehensive review. Sci. Total Environ. 2023, 861, 160560. [Google Scholar] [CrossRef]
- Liao, J.J.; Latif, N.H.A.; Trache, D.; Brosse, N.; Hussin, M.H. Current advancement on the isolation, characterization and application of lignin. Int. J. Biol. Macromol. 2020, 162, 985–1024. [Google Scholar] [CrossRef]
- Gong, Z.; Shuai, L. Lignin condensation, an unsolved mystery. Trends Chem. 2023, 5, 163–166. [Google Scholar] [CrossRef]
- Yu, S.; Chen, L.; Xie, Y.; Feng, Q.; Chen, C. Lignin/polysaccharide composite: A nature-made match toward multifunctional bio-based materials. Prog. Mater. Sci. 2025, 148, 101383. [Google Scholar] [CrossRef]
- Fodil Cherif, M.; Trache, D.; Brosse, N.; Benaliouche, F.; Tarchoun, A.F. Comparison of the Physicochemical Properties and Thermal Stability of Organosolv and Kraft Lignins from Hardwood and Softwood Biomass for Their Potential Valorization. Waste Biomass Valorization 2020, 11, 6541–6553. [Google Scholar] [CrossRef]
- Moretti, C.; Corona, B.; Hoefnagels, R.; Vural-Gürsel, I.; Gosselink, R.; Junginger, M. Review of life cycle assessments of lignin and derived products: Lessons learned. Sci. Total Environ. 2021, 770, 144656. [Google Scholar] [CrossRef] [PubMed]
- Beig, B.; Riaz, M.; Raza Naqvi, S.; Hassan, M.; Zheng, Z.; Karimi, K.; Pugazhendhi, A.; Atabani, A.E.; Thuy Lan Chi, N. Current challenges and innovative developments in pretreatment of lignocellulosic residues for biofuel production: A review. Fuel 2021, 287, 119670. [Google Scholar] [CrossRef]
- Gnansounou, E.; Dauriat, A. Techno-economic analysis of lignocellulosic ethanol: A review. Bioresour. Technol. 2010, 101, 4980–4991. [Google Scholar] [CrossRef]
- Dionísio, S.R.; Santoro, D.C.J.; Bonan, C.I.D.G.; Soares, L.B.; Biazi, L.E.; Rabelo, S.C.; Ienczak, J.L. Second-generation ethanol process for integral use of hemicellulosic and cellulosic hydrolysates from diluted sulfuric acid pretreatment of sugarcane bagasse. Fuel 2021, 304, 121290. [Google Scholar] [CrossRef]
- Mosier, N.; Wyman, C.; Dale, B.; Elander, R.; Lee, Y.Y.; Holtzapple, M.; Ladisch, M. Features of promising technologies for pretreatment of lignocellulosic biomass. Bioresour. Technol. 2005, 96, 673–686. [Google Scholar] [CrossRef] [PubMed]
- Sun, Y.; Cheng, J. Hydrolysis of lignocellulosic materials for ethanol production: A review. Bioresour. Technol. 2002, 83, 1–11. [Google Scholar] [CrossRef]
- Haghighi Mood, S.; Hossein Golfeshan, A.; Tabatabaei, M.; Salehi Jouzani, G.; Najafi, G.H.; Gholami, M.; Ardjmand, M. Lignocellulosic biomass to bioethanol, a comprehensive review with a focus on pretreatment. Renew. Sustain. Energy Rev. 2013, 27, 77–93. [Google Scholar] [CrossRef]
- Taherzadeh, M.J.; Karimi, K. Pretreatment of Lignocellulosic Wastes to Improve Ethanol and Biogas Production: A Review. Int. J. Mol. Sci. 2008, 9, 1621–1651. [Google Scholar] [CrossRef]
- Alvira, P.; Tomás-Pejó, E.; Ballesteros, M.; Negro, M.J. Pretreatment technologies for an efficient bioethanol production process based on enzymatic hydrolysis: A review. Bioresour. Technol. 2010, 101, 4851–4861. [Google Scholar] [CrossRef]
- Chiaramonti, D.; Prussi, M.; Ferrero, S.; Oriani, L.; Ottonello, P.; Torre, P.; Cherchi, F. Review of pretreatment processes for lignocellulosic ethanol production, and development of an innovative method. Biomass Bioenergy 2012, 46, 25–35. [Google Scholar] [CrossRef]
- Weil, J.; Westgate, P.; Kohlmann, K.; Ladisch, M.R. Cellulose pretreaments of lignocellulosic substrates. Enzym. Microb. Technol. 1994, 16, 1002–1004. [Google Scholar] [CrossRef]
- Wagner, A.; Lackner, N.; Mutschlechner, M.; Prem, E.; Markt, R.; Illmer, P. Biological Pretreatment Strategies for Second-Generation Lignocellulosic Resources to Enhance Biogas Production. Energies 2018, 11, 1797. [Google Scholar] [CrossRef]
- Xiang, Q.; Lee, Y.Y. Production of oxychemicals from precipitated hardwood lignin. Appl. Biochem. Biotechnol. 2001, 91, 71–80. [Google Scholar] [CrossRef]
- Hernández-Beltrán, J.U.; Hernández-De Lira, I.O.; Cruz-Santos, M.M.; Saucedo-Luevanos, A.; Hernández-Terán, F.; Balagurusamy, N. Insight into Pretreatment Methods of Lignocellulosic Biomass to Increase Biogas Yield: Current State, Challenges, and Opportunities. Appl. Sci. 2019, 9, 3721. [Google Scholar] [CrossRef]
- Tanis, M.H.; Wallberg, O.; Galbe, M.; Al-Rudainy, B. Lignin Extraction by Using Two-Step Fractionation: A Review. Molecules 2024, 29, 98. [Google Scholar] [CrossRef]
- Xue, F.; Li, W.; An, S.; Li, C.; Li, X.; Wu, M.; Wei, X. Ethylene glycol based acid pretreatment of corn stover for cellulose enzymatic hydrolysis. RSC Adv. 2021, 11, 14140–14147. [Google Scholar] [CrossRef]
- Harris, E.E.; Mitchell, R.L. Effect of Various Pre-extractions on the Lignin Determination of Wood. Ind. Eng. Chem. Anal. Ed. 1939, 11, 153–155. [Google Scholar] [CrossRef]
- Casimiro, F.M.; Costa, C.A.E.; Vega-Aguilar, C.; Rodrigues, A.E. Hardwood and softwood lignins from sulfite liquors: Structural characterization and valorization through depolymerization. Int. J. Biol. Macromol. 2022, 215, 272–279. [Google Scholar] [CrossRef]
- Zhang, H.; Zhang, X.; Li, W.; Wu, W.; Tang, B.; Zhu, C. Efficient pretreatment of cornstalks for lignin valorization using p-toluene sulfonic acid coupling ethylene glycol. Biomass Convers. Biorefinery 2024, 14, 18707–18720. [Google Scholar] [CrossRef]
- Zhao, X.; Wang, L.; Lu, X.; Zhang, S. Pretreatment of corn stover with diluted acetic acid for enhancement of acidogenic fermentation. Bioresour. Technol. 2014, 158, 12–18. [Google Scholar] [CrossRef]
- Chen, Y.; Yan, Z.; Liang, L.; Ran, M.; Wu, T.; Wang, B.; Zou, X.; Zhao, M.; Fang, G.; Shen, K. Comparative Evaluation of Organic Acid Pretreatment of Eucalyptus for Kraft Dissolving Pulp Production. Materials 2020, 13, 361. [Google Scholar] [CrossRef]
- Chen, L.; Dou, J.; Ma, Q.; Li, N.; Wu, R.; Bian, H.; Yelle, D.J.; Vuorinen, T.; Fu, S.; Pan, X.; et al. Rapid and near-complete dissolution of wood lignin at ≤80 °C by a recyclable acid hydrotrope. Sci. Adv. 2017, 3, e1701735. [Google Scholar] [CrossRef] [PubMed]
- Feng, C.; Zhu, J.; Cao, L.; Yan, L.; Qin, C.; Liang, C.; Yao, S. Acidolysis mechanism of lignin from bagasse during p-toluenesulfonic acid treatment. Ind. Crops Prod. 2022, 176, 114374. [Google Scholar] [CrossRef]
- Zhai, Q.; Han, S.; Hse, C.-Y.; Jiang, J.; Xu, J. 5-Sulfosalicylic acid as an acid hydrotrope for the rapid and green fractionation of woody biomass. Ind. Crops Prod. 2022, 177, 114435. [Google Scholar] [CrossRef]
- Solarte-Toro, J.C.; Romero-García, J.M.; Martínez-Patiño, J.C.; Ruiz-Ramos, E.; Castro-Galiano, E.; Cardona-Alzate, C.A. Acid pretreatment of lignocellulosic biomass for energy vectors production: A review focused on operational conditions and techno-economic assessment for bioethanol production. Renew. Sustain. Energy Rev. 2019, 107, 587–601. [Google Scholar] [CrossRef]
- Barr, M.R.; Forster, L.; D’Agostino, C.; Volpe, R. Alkaline pretreatment of walnut shells increases pore surface hydrophilicity of derived biochars. Appl. Surf. Sci. 2022, 571, 151253. [Google Scholar] [CrossRef]
- Shin, J.; Kwak, J.; Lee, Y.-G.; Kim, S.; Choi, M.; Bae, S.; Lee, S.-H.; Park, Y.; Chon, K. Competitive adsorption of pharmaceuticals in lake water and wastewater effluent by pristine and NaOH-activated biochars from spent coffee wastes: Contribution of hydrophobic and π-π interactions. Environ. Pollut. 2021, 270, 116244. [Google Scholar] [CrossRef]
- Gordobil, O.; Moriana, R.; Zhang, L.; Labidi, J.; Sevastyanova, O. Assesment of technical lignins for uses in biofuels and biomaterials: Structure-related properties, proximate analysis and chemical modification. Ind. Crops Prod. 2016, 83, 155–165. [Google Scholar] [CrossRef]
- Oriez, V.; Peydecastaing, J.; Pontalier, P.-Y. Lignocellulosic Biomass Mild Alkaline Fractionation and Resulting Extract Purification Processes: Conditions, Yields, and Purities. Clean Technol. 2020, 2, 91–115. [Google Scholar] [CrossRef]
- Bleaching of Non-Wood Pulps. Can Sodium Hydroxide Be Replaced with Sodium Carbonate in the Alkaline Extraction of Non-Wood Pulps? 1990 Pulping Conference Proceedings. Available online: https://imisrise.tappi.org/TAPPI/Products/PUL/PULP90487.aspx (accessed on 13 February 2025).
- Sarwar Jahan, M.; Shamsuzzaman, M.; Rahman, M.M.; Iqbal Moeiz, S.M.; Ni, Y. Effect of pre-extraction on soda-anthraquinone (AQ) pulping of rice straw. Ind. Crops Prod. 2012, 37, 164–169. [Google Scholar] [CrossRef]
- Song, D.-Y.; Lee, J.-W. Valorization of biochar and lignin derived from the NaOH pretreatment of lignocellulosic biomass for applications as an adsorbent and antioxidant. Biomass Bioenergy 2024, 182, 107103. [Google Scholar] [CrossRef]
- Tao, L.; Ren, J.; Yu, F.K.; Ni, T.R. Effects of Liquid-to-Solid Ratio and Reaction Temperature on NaOH Pretreatment of Achnatherum splendens. Asian J. Chem. 2013, 25, 3545–3548. [Google Scholar] [CrossRef]
- Nitsos, C.; Stoklosa, R.; Karnaouri, A.; Vörös, D.; Lange, H.; Hodge, D.B.; Crestini, C.; Rova, U.S.L.; Christakopoulos, P.J.J.W.; Sons, L. Isolation and Characterization of Organosolv and Alkaline Lignins from Hardwood and Softwood Biomass. ACS Sustain. Chem. Eng. 2016, 4, 5181–5193. [Google Scholar] [CrossRef]
- Zheng, M.; Li, X.; Li, L.; Yang, X.; He, Y. Enhancing anaerobic biogasification of corn stover through wet state NaOH pretreatment. Bioresour. Technol. 2009, 100, 5140–5145. [Google Scholar] [CrossRef]
- Lou, H.; Hu, Q.; Qiu, X.; Li, X.; Lin, X. Pretreatment of Miscanthus by NaOH/Urea Solution at Room Temperature for Enhancing Enzymatic Hydrolysis. BioEnergy Res. 2016, 9, 335–343. [Google Scholar] [CrossRef]
- Zhu, Q.; Wei, W.; Sun, J.; Wang, Q. College of Natural Resources. One-Pot NaOH/Urea Pretreatment and Saccharification of Corn Stover for Fermentable Sugar Production. BioResources 2018, 13, 5875–5882. [Google Scholar] [CrossRef]
- Li, C.; Fan, M.; Xie, J.; Zhang, H. Effect of NaOH-catalyzed organosolv pretreatment on the co-production of ethanol and xylose from poplar. Ind. Crops Prod. 2023, 200, 116774. [Google Scholar] [CrossRef]
- Vishtal, A.; Kraslawski, A. Challenges in industrial applications of technical lignins. BioResources 2011, 6, 3547–3568. [Google Scholar] [CrossRef]
- Alam, M.M.; Greco, A.; Rajabimashhadi, Z.; Corcione, C.E. Efficient and environmentally friendly techniques for extracting lignin from lignocellulose biomass and subsequent uses: A review. Clean. Mater. 2024, 13, 100253. [Google Scholar] [CrossRef]
- Zhang, K.; Pei, Z.; Wang, D. Organic solvent pretreatment of lignocellulosic biomass for biofuels and biochemicals: A review. Bioresour. Technol. 2016, 199, 21–33. [Google Scholar] [CrossRef]
- Parot, M.; Rodrigue, D.; Stevanovic, T. High purity softwood lignin obtained by an eco-friendly organosolv process. Bioresour. Technol. Rep. 2022, 17, 100880. [Google Scholar] [CrossRef]
- Pye, E.K.; Berlin, A.; Winner, S.R.; Armiger, W.B. High Yield Biorefining Using Organosolv Processing. In Proceedings of the 2008 AIChE Annual Meeting, Philadelphia, PA, USA, 16–21 November 2008. [Google Scholar]
- Rodrigues Gurgel da Silva, A.; Errico, M.; Rong, B.-G. Techno-economic analysis of organosolv pretreatment process from lignocellulosic biomass. Clean Technol. Environ. Policy 2018, 20, 1401–1412. [Google Scholar] [CrossRef]
- Bujanovic, B.M.; Hirth, K.; Ralph, S.; Reiner, R.S.; Dongre, P.; Mickles, C.; Karlen, S.D.; Baez, C.; Clemons, C. Use of Renewable Alcohols in Autocatalytic Production of Aspen Organosolv Lignins. ACS Omega 2024, 9, 38227–38247. [Google Scholar] [CrossRef]
- Oh, Y.S.; Sellers, T.; Kim, M.G.; Strickland, R.C. Evaluation of phenol-formaldehyde osb resins modified with lignin residues from acid-hydrolyzed waste newsprint. For. Prod. J. 1994, 44, 25–29. [Google Scholar]
- Das, A.; Mohanty, K. Optimization of lignin extraction from bamboo by ultrasound-assisted organosolv pretreatment. Bioresour. Technol. 2023, 376, 128884. [Google Scholar] [CrossRef]
- Win, N.N.; Weinwurm, F.; Friedl, A. Investigation of organosolv and hot-compressed water pretreatments of rice straw. Biomass Convers. Biorefinery 2016, 6, 355–364. [Google Scholar] [CrossRef]
- Díaz, M.J.; Huijgen, W.J.J.; Laan, R.R.v.d.; Reith, J.H.; Cara, C.; Castro, E. Organosolv pretreatment of olive tree biomass for fermentable sugars. Holzforschung 2011, 65, 177–183. [Google Scholar] [CrossRef]
- Wei, W.; Wang, B.; Wang, X.; Ling, R.; Jin, Y. Comparison of acid and alkali catalyzed ethylene glycol organosolv pretreatment for sugar production from bagasse. Bioresour. Technol. 2021, 320, 124293. [Google Scholar] [CrossRef]
- Song, G.; Bai, Y.; Pan, Z.; Liu, D.; Qin, Y.; Zhang, Y.; Fan, Z.; Li, Y.; Madadi, M. Enhancing fermentable sugar production from sugarcane bagasse through surfactant-assisted ethylene glycol pretreatment and enzymatic hydrolysis: Reduced temperature and enzyme loading. Renew. Energy 2024, 227, 120515. [Google Scholar] [CrossRef]
- Tang, S.; Dong, Q.; Fang, Z.; Miao, Z.-d. Complete recovery of cellulose from rice straw pretreated with ethylene glycol and aluminum chloride for enzymatic hydrolysis. Bioresour. Technol. 2019, 284, 98–104. [Google Scholar] [CrossRef]
- Ghozatloo, A.; Mohammadi-Rovshandeh, J.; Hashemi, S.J. Optimization of pulp properties by dimethyl formamide pulping of rice straw. Cellul. Chem. Technol. 2006, 40, 659–667. [Google Scholar]
- Lv, Y.; Chen, Z.; Wang, H.; Xiao, Y.; Ling, R.; Gong, M.; Wei, W. Enhancement of glucose production from sugarcane bagasse through an HCl-catalyzed ethylene glycol pretreatment and Tween 80. Renew. Energy 2022, 194, 495–503. [Google Scholar] [CrossRef]
- De Santi, A.; Galkin, M.V.; Lahive, C.W.; Deuss, P.J.; Barta, K. Lignin-First Fractionation of Softwood Lignocellulose Using a Mild Dimethyl Carbonate and Ethylene Glycol Organosolv Process. ChemSusChem 2020, 13, 4468–4477. [Google Scholar] [CrossRef]
- Chen, Z.; Ragauskas, A.; Wan, C. Lignin extraction and upgrading using deep eutectic solvents. Ind. Crops Prod. 2020, 147, 112241. [Google Scholar] [CrossRef]
- Bo, L.; Zhang, X.; Luo, Z.; Saboori, T.; Dehghan, M.; Ghasemizadeh, M.; Karimi-Maleh, H.; Alagumalai, A.; Mahian, O. An overview of the applications of ionic fluids and deep eutectic solvents enhanced by nanoparticles. J. Therm. Anal. Calorim. 2022, 147, 7589–7601. [Google Scholar] [CrossRef]
- Grillo, G.; Gaudino, E.C.; Rosa, R.; Leonelli, C.; Timonina, A.; Grygiškis, S.; Tabasso, S.; Cravotto, G. Green deep eutectic solvents for microwave-assisted biomass delignification and valorisation. Molecules 2021, 26, 798. [Google Scholar] [CrossRef]
- Xiao, T.; Hou, M.; Guo, X.; Cao, X.; Li, C.; Zhang, Q.; Jia, W.; Sun, Y.; Guo, Y.; Shi, H. Recent progress in deep eutectic solvent(DES) fractionation of lignocellulosic components: A review. Renew. Sustain. Energy Rev. 2024, 192, 114243. [Google Scholar] [CrossRef]
- Jafari, K.; Fatemi, M.H.; Estellé, P. Deep eutectic solvents (DESs): A short overview of the thermophysical properties and current use as base fluid for heat transfer nanofluids. J. Mol. Liq. 2021, 321, 114752. [Google Scholar] [CrossRef]
- Almeida, R.O.; Maloney, T.C.; Gamelas, J.A.F. Production of functionalized nanocelluloses from different sources using deep eutectic solvents and their applications. Ind. Crops Prod. 2023, 199, 116583. [Google Scholar] [CrossRef]
- Zhang, C.-W.; Xia, S.-Q.; Ma, P.-S. Facile pretreatment of lignocellulosic biomass using deep eutectic solvents. Bioresour. Technol. 2016, 219, 1–5. [Google Scholar] [CrossRef]
- Ma, H.; Fu, P.; Zhao, J.; Lin, X.; Wu, W.; Yu, Z.; Xia, C.; Wang, Q.; Gao, M.; Zhou, J. Pretreatment of Wheat Straw Lignocelluloses by Deep Eutectic Solvent for Lignin Extraction. Molecules 2022, 27, 7955. [Google Scholar] [CrossRef]
- Liu, Y.; Zheng, J.; Xiao, J.; He, X.; Zhang, K.; Yuan, S.; Peng, Z.; Chen, Z.; Lin, X. Enhanced Enzymatic Hydrolysis and Lignin Extraction of Wheat Straw by Triethylbenzyl Ammonium Chloride/Lactic Acid-Based Deep Eutectic Solvent Pretreatment. ACS Omega 2019, 4, 19829–19839. [Google Scholar] [CrossRef]
- Chen, Z.; Wan, C. Ultrafast fractionation of lignocellulosic biomass by microwave-assisted deep eutectic solvent pretreatment. Bioresour. Technol. 2018, 250, 532–537. [Google Scholar] [CrossRef]
- Lobato-Rodríguez, Á.; Gullón, B.; Romaní, A.; Ferreira-Santos, P.; Garrote, G.; Del-Río, P.G. Recent advances in biorefineries based on lignin extraction using deep eutectic solvents: A review. Bioresour. Technol. 2023, 388, 129744. [Google Scholar] [CrossRef]
- Cronin, D.J.; Chen, X.; Moghaddam, L.; Zhang, X. Deep Eutectic Solvent Extraction of High-Purity Lignin from a Corn Stover Hydrolysate. ChemSusChem 2020, 13, 4678–4690. [Google Scholar] [CrossRef]
- Tribot, A.; Amer, G.; Abdou Alio, M.; de Baynast, H.; Delattre, C.; Pons, A.; Mathias, J.-D.; Callois, J.-M.; Vial, C.; Michaud, P.; et al. Wood-lignin: Supply, extraction processes and use as bio-based material. Eur. Polym. J. 2019, 112, 228–240. [Google Scholar] [CrossRef]
- Margarida Martins, M.; Carvalheiro, F.; Gírio, F. An overview of lignin pathways of valorization: From isolation to refining and conversion into value-added products. Biomass Convers. Biorefinery 2024, 14, 3183–3207. [Google Scholar] [CrossRef]
- Hasanov, I.; Raud, M.; Kikas, T. The Role of Ionic Liquids in the Lignin Separation from Lignocellulosic Biomass. Energies 2020, 13, 4864. [Google Scholar] [CrossRef]
- Norfarhana, A.S.; Ilyas, R.A.; Ngadi, N.; Othman, M.H.D.; Misenan, M.S.M.; Norrrahim, M.N.F. Revolutionizing lignocellulosic biomass: A review of harnessing the power of ionic liquids for sustainable utilization and extraction. Int. J. Biol. Macromol. 2024, 256, 128256. [Google Scholar] [CrossRef]
- Azimi, B.; Maleki, H.; Gigante, V.; Bagherzadeh, R.; Mezzetta, A.; Milazzo, M.; Guazzelli, L.; Cinelli, P.; Lazzeri, A.; Danti, S. Cellulose-based fiber spinning processes using ionic liquids. Cellulose 2022, 29, 3079–3129. [Google Scholar] [CrossRef]
- Ullah, Z.; Bustam, M.A.; Man, Z.; Muhammad, N.; Khan, A.S. Synthesis, characterization and the effect of temperature on different physicochemical properties of protic ionic liquids. RSC Adv. 2015, 5, 71449–71461. [Google Scholar] [CrossRef]
- Financie, R.; Moniruzzaman, M.; Uemura, Y. Enhanced enzymatic delignification of oil palm biomass with ionic liquid pretreatment. Biochem. Eng. J. 2016, 110, 1–7. [Google Scholar] [CrossRef]
- Eqbalpour, M.; Andooz, A.; Kowsari, E.; Ramakrishna, S.; Cheshmeh, Z.A.; Chinnappan, A. A comprehensive review on how ionic liquids enhance the pyrolysis of cellulose, lignin, and lignocellulose toward a circular economy. Wiley Interdiscip. Rev. Energy Environ. 2023, 12, e473. [Google Scholar] [CrossRef]
- Bernardo, J.R.; Gírio, F.M.; Łukasik, R.M. The effect of the chemical character of ionic liquids on biomass pre-treatment and posterior enzymatic hydrolysis. Molecules 2019, 24, 808. [Google Scholar] [CrossRef]
- Muhammad, N.; Man, Z.; Bustam, M.A.; Mutalib, M.I.A.; Rafiq, S. Investigations of novel nitrile-based ionic liquids as pre-treatment solvent for extraction of lignin from bamboo biomass. J. Ind. Eng. Chem. 2013, 19, 207–214. [Google Scholar] [CrossRef]
- Ullah, Z.; Man, Z.; Khan, A.S.; Muhammad, N.; Mahmood, H.; Ben Ghanem, O.; Ahmad, P.; Hassan Shah, M.-U.; Mamoon Ur, R.; Raheel, M. Extraction of valuable chemicals from sustainable rice husk waste using ultrasonic assisted ionic liquids technology. J. Clean. Prod. 2019, 220, 620–629. [Google Scholar] [CrossRef]
- Fu, D.; Mazza, G. Aqueous ionic liquid pretreatment of straw. Bioresour. Technol. 2011, 102, 7008–7011. [Google Scholar] [CrossRef]
- Pu, Y.; Jiang, N.; Ragauskas, A.J. Ionic Liquid as a Green Solvent for Lignin. J. Wood Chem. Technol. 2007, 27, 23–33. [Google Scholar] [CrossRef]
- Weerachanchai, P.; Lee, J.-M. Recyclability of an ionic liquid for biomass pretreatment. Bioresour. Technol. 2014, 169, 336–343. [Google Scholar] [CrossRef]
- Jardim, J.M.; Hart, P.W.; Lucia, L.; Jameel, H. Insights into the potential of hardwood kraft lignin to be a green platform material for emergence of the biorefinery. Polymers 2020, 12, 1795. [Google Scholar] [CrossRef]
- Hu, R.; Zhan, J.; Zhao, Y.; Xu, X.; Luo, G.; Fan, J.; Clark, J.H.; Zhang, S. Bio-based platform chemicals synthesized from lignin biorefinery. Green Chem. 2023, 25, 8970–9000. [Google Scholar] [CrossRef]
- Lahtinen, M.H.; Mikkilä, J.; Mikkonen, K.S.; Kilpeläinen, I. Kraft Process—Formation of Secoisolariciresinol Structures and Incorporation of Fatty Acids in Kraft Lignin. J. Agric. Food Chem. 2021, 69, 5955–5965. [Google Scholar] [CrossRef] [PubMed]
- Wang, X.; Xu, W.; Zhang, D.; Li, X.; Shi, J. Structural Characteristics–Reactivity Relationships for Catalytic Depolymerization of Lignin into Aromatic Compounds: A Review. Int. J. Mol. Sci. 2023, 24, 8330. [Google Scholar] [CrossRef] [PubMed]
- Zhu, R.; Yadama, V. Effects of hot water extraction (HWE) of Douglas fir as a pre-process for the sulfite pretreatment to overcome recalcitrance of lignocellulose (SPORL). Holzforschung 2017, 71, 91–98. [Google Scholar] [CrossRef]
- Zhou, H.; Gleisner, R.; Zhu, J.Y.; Tian, Y.; Qiao, Y. SPORL Pretreatment Spent Liquors Enhance the Enzymatic Hydrolysis of Cellulose and Ethanol Production from Glucose. Energy Fuels 2018, 32, 7636–7642. [Google Scholar] [CrossRef]
- Wang, G.S.; Pan, X.J.; Zhu, J.Y.; Gleisner, R.; Rockwood, D. Sulfite Pretreatment to Overcome Recalcitrance of Lignocellulose (SPORL) for Robust Enzymatic Saccharification of Hardwoods. Biotechnol. Prog. 2009, 25, 1086–1093. [Google Scholar] [CrossRef] [PubMed]
- Brienza, F.; Cannella, D.; Montesdeoca, D.; Cybulska, I.; Debecker, D.P. A guide to lignin valorization in biorefineries: Traditional, recent, and forthcoming approaches to convert raw lignocellulose into valuable materials and chemicals. RSC Sustain. 2024, 2, 37–90. [Google Scholar] [CrossRef]
- Shevchenko, A.R.; Mayorova, K.A.; Chukhchin, D.G.; Malkov, A.V.; Toptunov, E.A.; Telitsin, V.D.; Rozhkova, A.M.; Zorov, I.N.; Rodicheva, M.A.; Plakhin, V.A.; et al. Enzymatic Hydrolysis of Kraft and Sulfite Pulps: What Is the Best Cellulosic Substrate for Industrial Saccharification? Fermentation 2023, 9, 936. [Google Scholar] [CrossRef]
- Fernández-Rodríguez, J.; Erdocia, X.; Hernández-Ramos, F.; Alriols, M.G.; Labidi, J. Chapter 7—Lignin Separation and Fractionation by Ultrafiltration. In Separation of Functional Molecules in Food by Membrane Technology; Galanakis, C.M., Ed.; Academic Press: Cambridge, MA, USA, 2019; pp. 229–265. [Google Scholar] [CrossRef]
- Rathore, A.S.; Singh, A. Biomass to fuels and chemicals: A review of enabling processes and technologies. J. Chem. Technol. Biotechnol. 2021, 97, 597–607. [Google Scholar] [CrossRef]
- Shu, R.; Lin, B.; Wang, C.; Chen, Y. Hydrogenolysis of dealkaline lignin catalyzed by noble metal cooperated with metal chloride. Energy Procedia 2019, 158, 406–411. [Google Scholar] [CrossRef]
- Roy, P.; Dias, G. Prospects for pyrolysis technologies in the bioenergy sector: A review. Renew. Sustain. Energy Rev. 2017, 77, 59–69. [Google Scholar] [CrossRef]
- Howe, D.; Westover, T.; Carpenter, D.; Santosa, D.; Emerson, R.; Deutch, S.; Starace, A.; Kutnyakov, I.; Lukins, C. Field-to-Fuel Performance Testing of Lignocellulosic Feedstocks: An Integrated Study of the Fast Pyrolysis–Hydrotreating Pathway. Energy Fuels 2015, 29, 3188–3197. [Google Scholar] [CrossRef]
- Crombie, K.; Mašek, O. Investigating the potential for a self-sustaining slow pyrolysis system under varying operating conditions. Bioresour. Technol. 2014, 162, 148–156. [Google Scholar] [CrossRef] [PubMed]
- Patwardhan, P.R.; Satrio, J.A.; Brown, R.C.; Shanks, B.H. Influence of inorganic salts on the primary pyrolysis products of cellulose. Bioresour. Technol. 2010, 101, 4646–4655. [Google Scholar] [CrossRef]
- Kanaujia, P.K.; Sharma, Y.K.; Garg, M.O.; Tripathi, D.; Singh, R. Review of analytical strategies in the production and upgrading of bio-oils derived from lignocellulosic biomass. J. Anal. Appl. Pyrolysis 2014, 105, 55–74. [Google Scholar] [CrossRef]
- Iribarren, D.; Peters, J.F.; Dufour, J. Life cycle assessment of transportation fuels from biomass pyrolysis. Fuel 2012, 97, 812–821. [Google Scholar] [CrossRef]
- Dang, Q.; Yu, C.; Luo, Z. Environmental life cycle assessment of bio-fuel production via fast pyrolysis of corn stover and hydroprocessing. Fuel 2014, 131, 36–42. [Google Scholar] [CrossRef]
- Kosa, M.; Ben, H.; Theliander, H.; Ragauskas, A.J. Pyrolysis oils from CO2 precipitated Kraft lignin. Green Chem. 2011, 13, 3196–3202. [Google Scholar] [CrossRef]
- Kibet, J.; Khachatryan, L.; Dellinger, B. Molecular Products and Radicals from Pyrolysis of Lignin. Environ. Sci. Technol. 2012, 46, 12994–13001. [Google Scholar] [CrossRef] [PubMed]
- Ye, Y.; Fan, J.; Chang, J. Effect of reaction conditions on hydrothermal degradation of cornstalk lignin. J. Anal. Appl. Pyrolysis 2012, 94, 190–195. [Google Scholar] [CrossRef]
- Yu, Y.; Li, X.; Su, L.; Zhang, Y.; Wang, Y.; Zhang, H. The role of shape selectivity in catalytic fast pyrolysis of lignin with zeolite catalysts. Appl. Catal. A Gen. 2012, 447, 115–123. [Google Scholar] [CrossRef]
- Kurnia, I.; Karnjanakom, S.; Bayu, A.; Yoshida, A.; Rizkiana, J.; Prakoso, T.; Abudula, A.; Guan, G. In-situ catalytic upgrading of bio-oil derived from fast pyrolysis of lignin over high aluminum zeolites—ScienceDirect. Fuel Process. Technol. 2017, 167, 730–737. [Google Scholar] [CrossRef]
- Ma, Z.; Troussard, E.; Van Bokhoven, J.A. Controlling the selectivity to chemicals from lignin via catalytic fast pyrolysis. Appl. Catal. A Gen. 2012, 423–424, 130–136. [Google Scholar] [CrossRef]
- Kumar, A.; Kumar, A.; Kumar, J.; Bhaskar, T. Catalytic pyrolysis of soda lignin over zeolites using pyrolysis gas chromatography-mass spectrometry. Bioresour. Technol. 2019, 291, 121822. [Google Scholar] [CrossRef]
- Kim, J.Y.; Moon, J.; Lee, J.H.; Jin, X.; Choi, J.W. Conversion of phenol intermediates into aromatic hydrocarbons over various zeolites during lignin pyrolysis. Fuel 2020, 279, 118484. [Google Scholar] [CrossRef]
- Paysepar, H.; Venkateswara Rao, K.T.; Yuan, Z.; Shui, H.; Xu, C. Production of phenolic chemicals from hydrolysis lignin via catalytic fast pyrolysis. J. Anal. Appl. Pyrolysis 2020, 149, 104842. [Google Scholar] [CrossRef]
- Nair, V.; Vinu, R. Production of guaiacols via catalytic fast pyrolysis of alkali lignin using titania, zirconia and ceria. J. Anal. Appl. Pyrolysis 2016, 119, 31–39. [Google Scholar] [CrossRef]
- Nolte, M.W.; Shanks, B.H. A Perspective on Catalytic Strategies for Deoxygenation in Biomass Pyrolysis. Energy Technol. 2017, 5, 7–18. [Google Scholar] [CrossRef]
- Zhang, C.; Hu, X.; Guo, H.; Wei, T.; Dong, D.; Hu, G.; Hu, S.; Xiang, J.; Liu, Q.; Wang, Y. Pyrolysis of poplar, cellulose and lignin: Effects of acidity and alkalinity of the metal oxide catalysts. J. Anal. Appl. Pyrolysis 2018, 134, 590–605. [Google Scholar] [CrossRef]
- Kaiqi, S.; Shuangxi, S.; Qiang, H.; Xuwen, L.; Lan, J.; Ya, L. Review of catalytic pyrolysis of biomass for bio-oil. In Proceedings of the 2011 International Conference on Materials for Renewable Energy & Environment, Shanghai, China, 20–22 May 2011; pp. 317–321. [Google Scholar]
- Demiral, İ.; Şensöz, S. The effects of different catalysts on the pyrolysis of industrial wastes (olive and hazelnut bagasse). Bioresour. Technol. 2008, 99, 8002–8007. [Google Scholar] [CrossRef]
- Ryu, H.W.; Lee, H.W.; Jae, J.; Park, Y.-K. Catalytic pyrolysis of lignin for the production of aromatic hydrocarbons: Effect of magnesium oxide catalyst. Energy 2019, 179, 669–675. [Google Scholar] [CrossRef]
- Hendry, A.; Åhlén, M.; Fernandes, T.; Cheung, O.; Sanna, A. Catalytic cracking of Etek lignin with zirconia supported metal-oxides for alkyl and alkoxy phenols recovery. Bioresour. Technol. 2020, 317, 124008. [Google Scholar] [CrossRef] [PubMed]
- Dong, Z.; Yang, H.; Chen, P.; Liu, Z.; Chen, Y.; Wang, L.; Wang, X.; Chen, H. Lignin Characterization and Catalytic Pyrolysis for Phenol-Rich Oil with TiO2-Based Catalysts. Energy Fuels 2019, 33, 9934–9941. [Google Scholar] [CrossRef]
- Wang, H.; Han, H.; Sun, E.; Zhang, Y.; Li, J.; Chen, Y.; Song, H.; Zhao, H. Production of aryl oxygen-containing compounds from catalytic pyrolysis of bagasse lignin over LaTixFe1−xO3. Chin. J. Chem. Eng. 2019, 27, 1939–1944. [Google Scholar] [CrossRef]
- Liu, Y.; Wang, Y.; Guo, F.; Li, X.; Li, T.; Guo, C.; Chang, J. Characterization of the gas releasing behaviors of catalytic pyrolysis of rice husk using potassium over a micro-fluidized bed reactor. Energy Convers. Manag. 2017, 136, 395–403. [Google Scholar] [CrossRef]
- Geng, J.; Wang, W.; Yu, Y.-X.; Chang, J.-m.; Cai, L.; Shi, S.Q. Adding nickel formate in alkali lignin to increase contents of alkylphenols and aromatics during fast pyrolysis. Bioresour. Technol. 2017, 227, 1–6. [Google Scholar] [CrossRef]
- Peng, C.; Zhang, G.; Yue, J.; Xu, G. Pyrolysis of lignin for phenols with alkaline additive. Fuel Process. Technol. 2014, 124, 212–221. [Google Scholar] [CrossRef]
- Hu, J.; Shen, D.; Wu, S.; Xiao, R. Insight into the effect of ZnCl2 on analytical pyrolysis behavior of cellulolytic enzyme corn stover lignin. J. Anal. Appl. Pyrolysis 2017, 127, 444–450. [Google Scholar] [CrossRef]
- Duval, A.; Lawoko, M. A review on lignin-based polymeric, micro- and nano-structured materials. React. Funct. Polym. 2014, 85, 78–96. [Google Scholar] [CrossRef]
- Fu, C.; Mielenz, J.R.; Xiao, X.; Ge, Y.; Hamilton, C.Y.; Rodriguez, M.; Chen, F.; Foston, M.; Ragauskas, A.; Bouton, J.; et al. Genetic manipulation of lignin reduces recalcitrance and improves ethanol production from switchgrass. Proc. Natl. Acad. Sci. USA 2011, 108, 3803–3808. [Google Scholar] [CrossRef]
- Chen, F.; Dixon, R.A. Lignin modification improves fermentable sugar yields for biofuel production. Nat. Biotechnol. 2007, 25, 759–761. [Google Scholar] [CrossRef] [PubMed]
- Gosselink, R.J.; Teunissen, W.; van Dam, J.E.; de Jong, E.; Gellerstedt, G.; Scott, E.L.; Sanders, J.P. Lignin depolymerisation in supercritical carbon dioxide/acetone/water fluid for the production of aromatic chemicals. Bioresour. Technol. 2012, 106, 173–177. [Google Scholar] [CrossRef]
- Zhang, X.; Zhang, q.; Long, J.; Xu, Y.; Wang, T.; Ma, L.; Li, Y. Phenolics Production through Catalytic Depolymerization of Alkali Lignin with Metal Chlorides. BioResources 2014, 9, 3347–3360. [Google Scholar] [CrossRef]
- Hidajat, M.J.; Riaz, A.; Park, J.; Insyani, R.; Verma, D.; Kim, J. Depolymerization of concentrated sulfuric acid hydrolysis lignin to high-yield aromatic monomers in basic sub- and supercritical fluids. Chem. Eng. J. 2017, 317, 9–19. [Google Scholar] [CrossRef]
- Sergeev, A.G.; Hartwig, J.F. Selective, Nickel-Catalyzed Hydrogenolysis of Aryl Ethers. Science 2011, 332, 439–443. [Google Scholar] [CrossRef]
- Wang, S.; Zhang, K.; Li, H.; Xiao, L.-P.; Song, G. Selective hydrogenolysis of catechyl lignin into propenylcatechol over an atomically dispersed ruthenium catalyst. Nat. Commun. 2021, 12, 416. [Google Scholar] [CrossRef]
- Karnitski, A.; Choi, J.-w.; Suh, D.J.; Yoo, C.-J.; Lee, H.-Y.; Kim, K.H.; Kim, C.S.; Kim, K.s.; Ha, J.M. Roles of metal and acid sites in the reductive depolymerization of concentrated lignin over supported Pd catalysts. Catal. Today 2022, 411, 113844. [Google Scholar] [CrossRef]
- Bosch, S.V.d.; Schutyser, W.; Vanholme, R.; Driessen, T.; Koelewijn, S.-F.; Renders, T.; Meester, B.D.; Huijgen, W.J.J.; Dehaen, W.; Courtin, C.M.; et al. Reductive lignocellulose fractionation into soluble lignin-derived phenolic monomers and dimers and processable carbohydrate pulps. Energy Environ. Sci. 2015, 8, 1748–1763. [Google Scholar] [CrossRef]
- Shu, R.; Long, J.; Xu, Y.; Ma, L.; Zhang, Q.; Wang, T.; Wang, C.; Yuan, Z.; Wu, Q. Investigation on the structural effect of lignin during the hydrogenolysis process. Bioresour. Technol. 2016, 200, 14–22. [Google Scholar] [CrossRef]
- Barta, K.; Warner, G.; Beach, E.; Anastas, P. Depolymerization of organosolv lignin to aromatic compounds over Cu-doped porous metal oxides. Green Chem. 2013, 16, 191–196. [Google Scholar] [CrossRef]
- Warner, G.R.; Hansen, T.S.; Riisager, A.; Beach, E.S.; Barta, K.; Anastas, P.T. Depolymerization of organosolv lignin using doped porous metal oxides in supercritical methanol. Bioresour. Technol. 2014, 161, 78–83. [Google Scholar] [CrossRef] [PubMed]
- Jiang, M.; Chen, X.; Wang, L.; Liang, J.; Wei, X.; Nong, W. Anchoring single Ni atoms on CeO2 nanospheres as an efficient catalyst for the hydrogenolysis of lignin to aromatic monomers. Fuel 2022, 324, 124499. [Google Scholar] [CrossRef]
- Yadagiri, J.; Koppadi, K.S.; Enumula, S.S.; Vakati, V.; Kamaraju, S.R.R.; Burri, D.R.; Somaiah, P.V. Ni/KIT-6 catalysts for hydrogenolysis of lignin-derived diphenyl ether. J. Chem. Sci. 2018, 130, 106. [Google Scholar] [CrossRef]
- Rautiainen, S.; Di Francesco, D.; Katea, S.N.; Westin, G.; Tungasmita, D.N.; Samec, J.S.M. Lignin Valorization by Cobalt-Catalyzed Fractionation of Lignocellulose to Yield Monophenolic Compounds. ChemSusChem 2019, 12, 404–408. [Google Scholar] [CrossRef] [PubMed]
- He, P.; Li, L.; Shao, Y.; Yi, Q.; Liu, Z.; Geng, H.; Liu, Y.; Valtchev, V. Recent Advances in Hydrodeoxygenation of Lignin-Derived Phenolics over Metal-Zeolite Bifunctional Catalysts. ChemCatChem 2024, 16, e202301681. [Google Scholar] [CrossRef]
- Ambursa, M.M.; Juan, J.C.; Yahaya, Y.; Taufiq-Yap, Y.H.; Lin, Y.-C.; Lee, H.V. A review on catalytic hydrodeoxygenation of lignin to transportation fuels by using nickel-based catalysts. Renew. Sustain. Energy Rev. 2021, 138, 110667. [Google Scholar] [CrossRef]
- Mukundan, S.; Konarova, M.; Atanda, L.; Ma, Q.; Beltramini, J. Guaiacol hydrodeoxygenation reaction catalyzed by highly dispersed, single layered MoS2/C. Catal. Sci. Technol. 2015, 5, 4422–4432. [Google Scholar] [CrossRef]
- Kay Lup, A.N.; Abnisa, F.; Wan Daud, W.M.A.; Aroua, M.K. A review on reactivity and stability of heterogeneous metal catalysts for deoxygenation of bio-oil model compounds. J. Ind. Eng. Chem. 2017, 56, 1–34. [Google Scholar] [CrossRef]
- Honkela, M.L.; Viljava, T.R.; Gutierrez, A.; Krause, A.O.I. Hydrotreating for bio-oil upgrading. RSC Energy Environ. Ser. 2010, 2010, 288–306. [Google Scholar]
- Gutierrez, A.; Kaila, R.K.; Honkela, M.L.; Slioor, R.; Krause, A.O.I. Hydrodeoxygenation of guaiacol on noble metal catalysts. Catal. Today 2009, 147, 239–246. [Google Scholar] [CrossRef]
- Ruddy, D.A.; Schaidle, J.A.; Ferrell, J.R.; Wang, J.; Moens, L.; Hensley, J.E. Recent advances in heterogeneous catalysts for bio-oil upgrading via “ex situ catalytic fast pyrolysis”: Catalyst development through the study of model compounds. Green Chem. 2014, 16, 454–490. [Google Scholar] [CrossRef]
- Wildschut, J.; Mahfud, F.H.; Venderbosch, R.H.; Heeres, H.J. Hydrotreatment of fast pyrolysis oil using heterogeneous noble-metal catalysts. Ind. Eng. Chem. Res. 2009, 48, 10324–10334. [Google Scholar] [CrossRef]
- Wu, R.; Meng, Q.; Yan, J.; Zhang, Z.; Chen, B.; Liu, H.; Tai, J.; Zhang, G.; Zheng, L.; Zhang, J.; et al. Intermetallic synergy in platinum–cobalt electrocatalysts for selective C–O bond cleavage. Nat. Catal. 2024, 7, 702–718. [Google Scholar] [CrossRef]
- Song, G.-Y. The development of catalytic fractionation and conversion of lignocellulosic biomass under lignin-first strategy. J. For. Eng. 2019, 4, 1–10. [Google Scholar]
- Mondal, A.K.; Qin, C.; Ragauskas, A.J.; Ni, Y.; Huang, F. Hydrogenation of Pyrolysis Oil from Loblolly Pine Residue. Pap. Biomater. 2020, 5, 1–13. [Google Scholar] [CrossRef]
- Jia, W.C.; Ding, Z.D.; Wang, R.H.; Zhou, J.H. Catalytic depolymerization of aspen alcohol lignin in superitical ethanol solvent and analysis of the degraded products. China Pulp Paper 2016, 35, 24–28. [Google Scholar] [CrossRef]
- Munick de Albuquerque Fragoso, D.; Bouxin, F.P.; Montgomery, J.R.D.; Westwood, N.J.; Jackson, S.D. Catalytic depolymerisation of isolated lignin to fine chemicals: Depolymerisation of Kraft lignin. Bioresour. Technol. Rep. 2020, 9, 100400. [Google Scholar] [CrossRef]
- Pepper, J.M.; Lee, Y.W. Lignin and related compounds. I. A comparative study of catalysts for lignin hydrogenolysis. Can. J. Chem. 1969, 47, 723–727. [Google Scholar] [CrossRef]
- Zhang, J.; Asakura, H.; Van Rijn, J.; Yang, J.; Duchesne, P.; Zhang, B.; Chen, X.; Zhang, P.; Saeys, M.; Yan, N. Highly efficient, NiAu-catalyzed hydrogenolysis of lignin into phenolic chemicals. Green Chem. 2014, 16, 2432–2437. [Google Scholar] [CrossRef]
- Liu, Z.-Q.; Yu, Y.-Y.; Liu, Y.-J.; Ying, A.-G.; Zhang, X.-L.; Wang, Y. Unlocking Birch Lignin Hydrocracking through Tandem Catalysis: Unraveling the Role of Moderate Hydrogen Spillover. ACS Catal. 2024, 14, 2115–2126. [Google Scholar] [CrossRef]
- Mei, X.; Liu, H.; Wu, H.; Wu, W.; Zheng, B.; Liu, Y.; Zheng, X.; Wang, Y.; Han, W.; Han, B. Catalytic self-transfer hydrogenolysis of lignin over Ni/C catalysts. Green Chem. 2024, 26, 4544–4551. [Google Scholar] [CrossRef]
- Ma, C.; Zhang, J.; Yin, Y.; Suo, C.; Liu, S. Free radical theory in lignin oxidation depolymerization. Trends Chem. 2024, 6, 234–247. [Google Scholar] [CrossRef]
- Zhang, Z.; Yin, G.; Andrioletti, B.J.T.M.C. Advances in value-added aromatics by oxidation of lignin with transition metal complexes. Transit. Met. Chem. 2022, 47, 189–211. [Google Scholar] [CrossRef]
- Haikarainen, A.; Sipilä, J.; Pietikäinen, P.; Pajunen, A.; Mutikainen, I. Synthesis and characterization of bulky salen-type complexes of Co, Cu, Fe, Mn and Ni with amphiphilic solubility properties. J. Chem. Soc. Dalton Trans. 2001, 7, 991–995. [Google Scholar] [CrossRef]
- Biannic, B.; Bozell, J.J. Efficient cobalt-catalyzed oxidative conversion of lignin models to benzoquinones. Org. Lett. 2013, 15, 2730–2733. [Google Scholar] [CrossRef] [PubMed]
- Gao, T.-T.; Zhou, X.-F.; Zhu, Z.-L. Catalytic converison of kraft lignin using paper-like Co (salen) as an effective catalyst. Drew. Pr. Nauk. Doniesienia Komun. 2015, 58, 79–90. [Google Scholar] [CrossRef]
- Zhou, X.F.; Lu, X.J. Co (salen) supported on graphene oxide for oxidation of lignin. J. Appl. Polym. Sci. 2016, 133. [Google Scholar] [CrossRef]
- Cooper, C.J.; Alam, S.; Nziko, V.d.P.N.; Johnston, R.C.; Ivanov, A.S.; Mou, Z.; Turpin, D.B.; Rudie, A.W.; Elder, T.J.; Bozell, J.J. Co (salen)-Catalyzed oxidation of lignin models to form benzoquinones and benzaldehydes: A computational and experimental study. ACS Sustain. Chem. Eng. 2020, 8, 7225–7234. [Google Scholar] [CrossRef]
- Wertz, S.; Studer, A. Nitroxide-catalyzed transition-metal-free aerobic oxidation processes. Green Chem. 2013, 15, 3116–3134. [Google Scholar] [CrossRef]
- Bragd, P.; Van Bekkum, H.; Besemer, A. TEMPO-mediated oxidation of polysaccharides: Survey of methods and applications. Top. Catal. 2004, 27, 49–66. [Google Scholar] [CrossRef]
- Patankar, S.C.; Liu, L.-Y.; Ji, L.; Ayakar, S.; Yadav, V.; Renneckar, S. Isolation of phenolic monomers from kraft lignin using a magnetically recyclable TEMPO nanocatalyst. Green Chem. 2019, 21, 785–791. [Google Scholar] [CrossRef]
- Zheng, M.-W.; Lin, K.-Y.A.; Lin, C.-H. TEMPO-functionalized silica as an efficient and recyclable oxidation catalyst for conversion of a lignin model compound to value-added products. Waste Biomass Valorization 2020, 11, 6917–6928. [Google Scholar] [CrossRef]
- Dabral, S.; Hernández, J.G.; Kamer, P.C.; Bolm, C. Organocatalytic chemoselective primary alcohol oxidation and subsequent cleavage of lignin model compounds and lignin. ChemSusChem 2017, 10, 2707–2713. [Google Scholar] [CrossRef]
- Lin, J.-Y.; Lin, K.-Y.A. Catalytic conversion of a lignin model compound to value-added products using Cu/TEMPO-catalyzed aerobic oxidation. Biomass Convers. Biorefinery 2019, 9, 617–623. [Google Scholar] [CrossRef]
- Vangeel, T.; Schutyser, W.; Renders, T.; Sels, B.F. Perspective on lignin oxidation: Advances, challenges, and future directions. In Lignin Chemistry; Springer: Cham, Switzerland, 2020; pp. 53–68. [Google Scholar]
- Hirano, Y.; Izawa, A.; Hosoya, T.; Miyafuji, H. Degradation mechanism of a lignin model compound during alkaline aerobic oxidation: Formation of the vanillin precursor from the β-O-4 middle unit of softwood lignin. React. Chem. Eng. 2022, 7, 1603–1616. [Google Scholar] [CrossRef]
- Santos, S.G.; Marques, A.P.; Lima, D.L.; Evtuguin, D.V.; Esteves, V.I. Kinetics of eucalypt lignosulfonate oxidation to aromatic aldehydes by oxygen in alkaline medium. Ind. Eng. Chem. Res. 2011, 50, 291–298. [Google Scholar] [CrossRef]
- Schutyser, W.; Kruger, J.S.; Robinson, A.M.; Katahira, R.; Brandner, D.G.; Cleveland, N.S.; Mittal, A.; Peterson, D.J.; Meilan, R.; Román-Leshkov, Y. Revisiting alkaline aerobic lignin oxidation. Green Chem. 2018, 20, 3828–3844. [Google Scholar] [CrossRef]
- Kruger, J.S.; Dreiling, R.J.; Wilcox, D.G.; Ringsby, A.J.; Noon, K.L.; Amador, C.K.; Brandner, D.G.; Ramirez, K.J.; Haugen, S.J.; Klein, B.C. Lignin alkaline oxidation using reversibly-soluble bases. Green Chem. 2022, 24, 8733–8741. [Google Scholar] [CrossRef]
- Tarabanko, V.E.; Tarabanko, N. Catalytic oxidation of lignins into the aromatic aldehydes: General process trends and development prospects. Int. J. Mol. Sci. 2017, 18, 2421. [Google Scholar] [CrossRef]
- Chen, Y.; Bai, Y. Research process of preparation of aromatic aldehyde by oxidative depolymerization of lignin. Chem. Ind. Eng. Prog. 2023, 42, 6576. [Google Scholar]
- Voitl, T.; Rohr, P.R.v. Demonstration of a process for the conversion of kraft lignin into vanillin and methyl vanillate by acidic oxidation in aqueous methanol. Ind. Eng. Chem. Res. 2010, 49, 520–525. [Google Scholar] [CrossRef]
- Werhan, H.; Assmann, N.; von Rohr, P.R. Lignin oxidation studies in a continuous two-phase flow microreactor. Chem. Eng. Process. Process Intensif. 2013, 73, 29–37. [Google Scholar] [CrossRef]
- Arturi, K.; Rohrbach, T.; Vogel, F.; Bjelić, S.a. High yields of aromatic monomers from acidolytic oxidation of Kraft lignin in a biphasic system. Ind. Eng. Chem. Res. 2021, 60, 11009–11018. [Google Scholar] [CrossRef]
- More, A.; Elder, T.; Jiang, Z. A review of lignin hydrogen peroxide oxidation chemistry with emphasis on aromatic aldehydes and acids. Holzforschung 2021, 75, 806–823. [Google Scholar] [CrossRef]
- Park, S.-Y.; Choi, J.-H.; Kim, J.-H.; Cho, S.-M.; Yeon, S.; Jeong, H.; Lee, S.M.; Choi, I.-G. Peracetic acid-induced kraft lignin solubilization and its characterization for selective production of macromolecular biopolymers. Int. J. Biol. Macromol. 2020, 161, 1240–1246. [Google Scholar] [CrossRef] [PubMed]
- Li, S.H.; Liu, S.; Colmenares, J.C.; Xu, Y.J. A sustainable approach for lignin valorization by heterogeneous photocatalysis. Green Chem. 2016, 18, 594–607. [Google Scholar] [CrossRef]
- Uğurlu, M.; Karaoğlu, M.H. TiO2 supported on sepiolite: Preparation, structural and thermal characterization and catalytic behaviour in photocatalytic treatment of phenol and lignin from olive mill wastewater. Chem. Eng. J. 2011, 166, 859–867. [Google Scholar] [CrossRef]
- Kamwilaisak, K.; Wright, P.C. Investigating laccase and titanium dioxide for lignin degradation. Energy Fuels 2012, 26, 2400–2406. [Google Scholar] [CrossRef]
- Gong, J.; Imbault, A.; Farnood, R. The promoting role of bismuth for the enhanced photocatalytic oxidation of lignin on Pt-TiO2 under solar light illumination. Appl. Catal. B Environ. 2017, 204, 296–303. [Google Scholar] [CrossRef]
- Kumar, A.; Ghalta, R.; Bal, R.; Srivastava, R. Photocatalytic β-O-4 bond cleavage in lignin models and native lignin through CdS integration on titanium oxide photocatalyst under visible light irradiation. Appl. Catal. B Environ. Energy 2024, 359, 124494. [Google Scholar] [CrossRef]
- Shi, N.; Li, Y.; Li, N.; Wen, F.; Liu, D. Acidic-basic-redox trifunctional Cu/P2W17V/{001}-TiO2 promotes photocatalytic lignin model conversion via tunable CC/CO cleavage. Appl. Catal. A Gen. 2025, 689, 120030. [Google Scholar] [CrossRef]
- Xu, E.; Xie, F.; Liu, T.; He, J.; Zhang, Y. Photocatalytic, Oxidative Cleavage of C− C Bond in Lignin Models and Native Lignin. Chem.–Eur. J. 2024, 30, e202304209. [Google Scholar] [CrossRef] [PubMed]
- Yang, C.; Maldonado, S.; Stephenson, C.R. Electrocatalytic lignin oxidation. ACS Catal. 2021, 11, 10104–10114. [Google Scholar] [CrossRef]
- Rafiee, M.; Alherech, M.; Karlen, S.D.; Stahl, S.S. Electrochemical aminoxyl-mediated oxidation of primary alcohols in lignin to carboxylic acids: Polymer modification and depolymerization. J. Am. Chem. Soc. 2019, 141, 15266–15276. [Google Scholar] [CrossRef]
- Bosque, I.; Magallanes, G.; Rigoulet, M.; Kärkäs, M.D.; Stephenson, C.R. Redox catalysis facilitates lignin depolymerization. ACS Cent. Sci. 2017, 3, 621–628. [Google Scholar] [CrossRef]
- Ko, M.; Pham, L.T.M.; Sa, Y.J.; Woo, J.; Nguyen, T.V.T.; Kim, J.H.; Oh, D.; Sharma, P.; Ryu, J.; Shin, T.J. Unassisted solar lignin valorisation using a compartmented photo-electro-biochemical cell. Nat. Commun. 2019, 10, 5123. [Google Scholar] [CrossRef]
- Jia, Y.; Wen, Y.; Han, X.; Qi, J.; Liu, Z.; Zhang, S.; Li, G. Electrocatalytic degradation of rice straw lignin in alkaline solution through oxidation on a Ti/SnO2–Sb2O3/α-PbO2/β-PbO2 anode and reduction on an iron or tin doped titanium cathode. Catal. Sci. Technol. 2018, 8, 4665–4677. [Google Scholar] [CrossRef]
- Danlu, Z.; Xu, Z.; Sinong, W.; Yan, X.; Qiqi, D.; Fengxia, Y.; Peng, W.; Chuanfu, L.; Wu, L. Electrochemical oxidation of lignin model compounds over metal oxyhydroxides on nickel foam. Green Chem. 2024, 26, 7759–7768. [Google Scholar] [CrossRef]
- Qi, Y.; Liu, B.; Qiu, X.; Zeng, X.; Luo, Z.; Wu, W.; Liu, Y.; Chen, L.; Zu, X.; Dong, H. Simultaneous Oxidative Cleavage of Lignin and Reduction of Furfural via Efficient Electrocatalysis by P-Doped CoMoO4. Adv. Mater. 2023, 35, 2208284. [Google Scholar] [CrossRef]
- Liu, B.; Qi, Y.; Qiu, X.; Zou, H.; Lin, X.; Qin, Y. Photoelectrocatalytic Pathway for the Preparation of Power-Effective Aviation Fuel Precursors from Lignin. Adv. Funct. Mater. 2025, 2421552. [Google Scholar] [CrossRef]
- Cortright, R.D.; Davda, R.R.; Dumesic, J.A. Hydrogen from catalytic reforming of biomass-derived hydrocarbons in liquid water. Nature 2002, 418, 964–967. [Google Scholar] [CrossRef]
- Nie, R.; Tao, Y.; Nie, Y.; Lu, T.; Wang, J.; Zhang, Y.; Lu, X.; Xu, C.C. Recent Advances in Catalytic Transfer Hydrogenation with Formic Acid over Heterogeneous Transition Metal Catalysts. ACS Catal. 2021, 11, 1071–1095. [Google Scholar] [CrossRef]
- Zhang, J.-w.; Lu, G.-p.; Cai, C. Self-hydrogen transfer hydrogenolysis of β-O-4 linkages in lignin catalyzed by MIL-100(Fe) supported Pd–Ni BMNPs. Green Chem. 2017, 19, 4538–4543. [Google Scholar] [CrossRef]
- Zhou, H.; Liu, X.; Guo, Y.; Wang, Y. Self-Hydrogen Supplied Catalytic Fractionation of Raw Biomass into Lignin-Derived Phenolic Monomers and Cellulose-Rich Pulps. JACS Au 2023, 3, 1911–1917. [Google Scholar] [CrossRef]
- Kocaturk, E.; Salan, T.; Ozcelik, O.; Alma, M.H.; Candan, Z. Recent Advances in Lignin-Based Biofuel Production. Energies 2023, 16, 3382. [Google Scholar] [CrossRef]
- Zhang, D.; Zhang, X.; Yin, H.; Zheng, Q.; Ma, L.; Li, S.; Zhang, Y.; Fu, P. Production of aromatic hydrocarbons from lignin derivatives by catalytic cracking over a SiO2–Al2O3 catalyst. RSC Adv. 2023, 13, 10830–10839. [Google Scholar] [CrossRef] [PubMed]
- Chou, W.; Lu, P.; Lou, B.; Li, W.; Wu, C.; Wu, P.; Men, Z.; Liu, D. Pt/CeCrO2−x: A multifunctional catalyst for tandem catalysis of lignocellulose hydro-liquefaction and Guerbet reaction. Appl. Catal. B Environ. 2024, 342, 123320. [Google Scholar] [CrossRef]
- Sunil More, G.; Rajendra Kanchan, D.; Banerjee, A.; Srivastava, R. Selective catalytic hydrodeoxygenation of vanillin to 2-Methoxy-4-methyl phenol and 4-Methyl cyclohexanol over Pd/CuFe2O4 and PdNi/CuFe2O4 catalysts. Chem. Eng. J. 2023, 462, 142110. [Google Scholar] [CrossRef]
- Wu, F.-P.; Zhao, Y.-P.; Fu, Z.-P.; Qiu, L.-L.; Xiao, J.; Li, J.; Liu, F.-J.; Cao, J.-P. Catalytic transfer hydrogenolysis mechanism of benzyl phenyl ether over NiCu/Al2O3 using isopropanol as hydrogen source. Fuel Process. Technol. 2023, 250, 107874. [Google Scholar] [CrossRef]
- Gilkey, M.J.; Xu, B. Heterogeneous Catalytic Transfer Hydrogenation as an Effective Pathway in Biomass Upgrading. ACS Catal. 2016, 6, 1420–1436. [Google Scholar] [CrossRef]
- Wang, W.; Niu, M.; Hou, Y.; Wu, W.; Liu, Z.; Liu, Q.; Ren, S.; Marsh, K.N. Catalytic conversion of biomass-derived carbohydrates to formic acid using molecular oxygen. Green Chem. 2014, 16, 2614–2618. [Google Scholar] [CrossRef]
- Tang, B.; Li, W.; Zhang, X.; Zhang, B.; Zhang, H.; Li, C. Depolymerization of Kraft lignin to liquid fuels with MoS2 derived oxygen-vacancy-enriched MoO3 in a hydrogen-donor solvent system. Fuel 2022, 324, 124674. [Google Scholar] [CrossRef]
- Liu, F.; Feng, P.; Yuan, M.; Zhai, G.; Innocent, M.T.; Xiang, H.; Wu, Q.; Lu, Y.; Zhu, M. Continuous Preparation of a Flexible Carbon Nanotube Film from Lignin as a Sulfur Host Material for Lithium–Sulfur Batteries. ACS Sustain. Chem. Eng. 2023, 11, 16544–16553. [Google Scholar] [CrossRef]
- Lu, X.; Gu, X. Efficient lignin conversion over Ni/(Fe/Zn/Co/Mo/Cu)–WO3/Al2O3 for selectively yielding alkyl phenols. Catal. Sci. Technol. 2023, 13, 468–478. [Google Scholar] [CrossRef]
Disclaimer/Publisher’s Note: The statements, opinions and data contained in all publications are solely those of the individual author(s) and contributor(s) and not of MDPI and/or the editor(s). MDPI and/or the editor(s) disclaim responsibility for any injury to people or property resulting from any ideas, methods, instructions or products referred to in the content. |
© 2025 by the authors. Licensee MDPI, Basel, Switzerland. This article is an open access article distributed under the terms and conditions of the Creative Commons Attribution (CC BY) license (https://creativecommons.org/licenses/by/4.0/).

















