Study of High-Silicon Steel as Interior Rotor for High-Speed Motor Considering the Influence of Multi-Physical Field Coupling and Slotting Process
Abstract
1. Introduction
2. Material Electromagnetic Performance Evaluation
2.1. Experiment Method
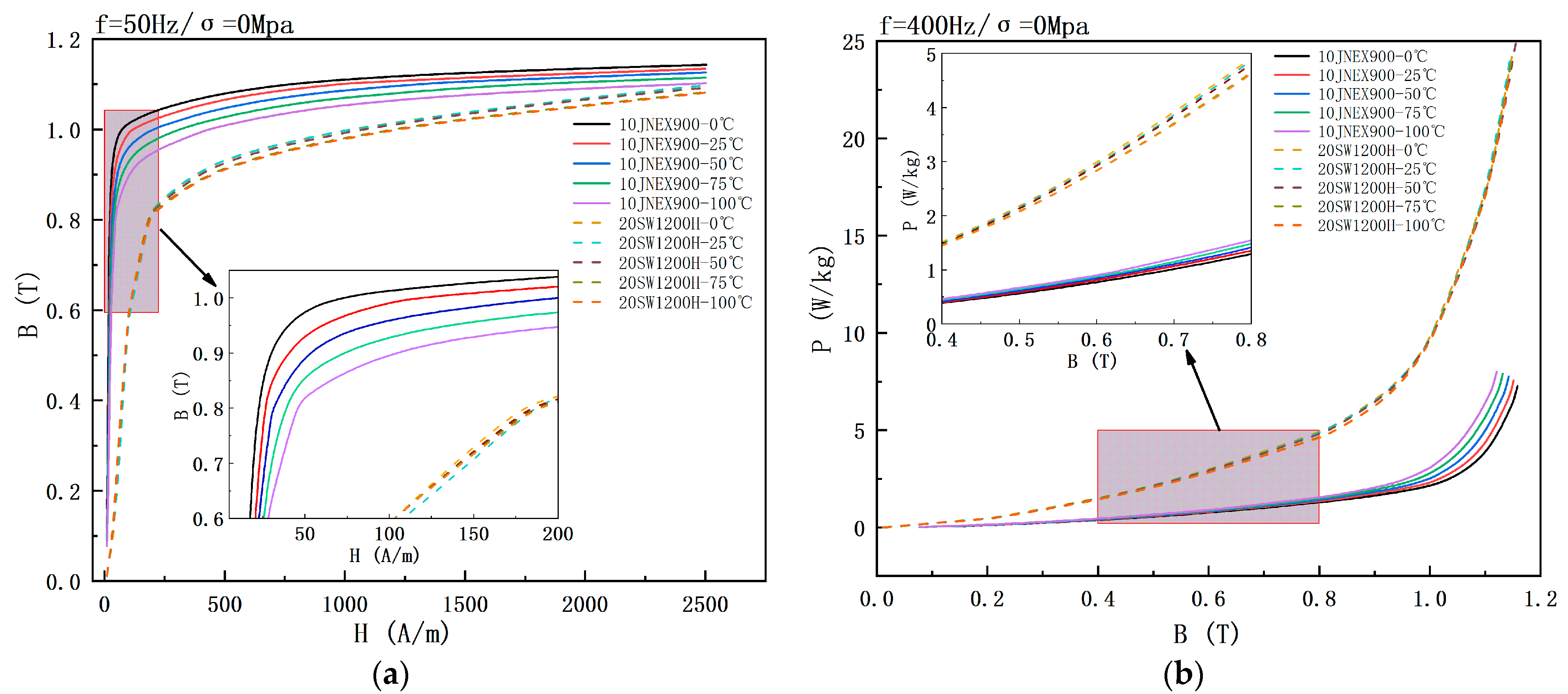
2.2. Effect of Temperature on Magnetic Properties
2.3. Effect of Stress on Magnetic Properties
2.4. Effect of Temperature-Stress Coupling on Magnetic Properties
3. Motor Finite Element Analysis
3.1. Main Structural Parameters of Motor
3.2. Motor Electromagnetic Performance Analysis
3.3. Rotor Mechanical Stress Analysis
3.4. Rotor Temperature Rise Performance Analysis
4. Research of Slotting Method
4.1. Wire Electrical Discharge Machining
4.2. Laser Cutting
4.3. The Effect of Slotting on the Magnetic Properties of the Material
5. Conclusions
Author Contributions
Funding
Institutional Review Board Statement
Informed Consent Statement
Data Availability Statement
Conflicts of Interest
References
- Malinowski, J.; Hoyt, W.; Zwanziger, P.; Finley, B. Motor and Drive-System Efficiency Regulations: Review of Regulations in the United States and Europe. IEEE Ind. Appl. Mag. 2016, 23, 34–41. [Google Scholar] [CrossRef]
- Li, Y.; Wang, J.; Zhang, H.; Pei, R. New design of electric vehicle motor based on high-strength soft magnetic materials. COMPEL-Int. J. Comput. Math. Electr. Electron. Eng. 2022; ahead-of-print. [Google Scholar] [CrossRef]
- Schneider, T.; Binder, A. Design and Evaluation of a 60,000 rpm Permanent Magnet Bearingless High Speed Motor. In Proceedings of the 2007 7th International Conference on Power Electronics and Drive Systems, Bangkok, Thailand, 27–30 November 2007; pp. 1–8. [Google Scholar]
- Jumayev, S.; Merdzan, M.; Boynov, K.O.; Paulides, J.J.H.; Pyrhönen, J.; Lomonova, E.A. The effect of PWM on rotor ed-dy-current losses in high-speed permanent magnet machines. IEEE Trans. Magn. 2015, 51, 1–4. [Google Scholar] [CrossRef]
- Tuysuz, A.; Steichen, M.; Zwyssig, C.; Kolar, J.W. Advanced cooling concepts for ultra-high-speed machines. In Proceedings of the 2015 9th International Conference on Power Electronics and ECCE Asia (ICPE-ECCE Asia), Seoul, Republic of Korea, 1–5 June 2015; pp. 2194–2202. [Google Scholar]
- Hong, D.-K.; Woo, B.-C.; Lee, J.-Y.; Koo, D.-H. Ultra High Speed Motor Supported by Air Foil Bearings for Air Blower Cooling Fuel Cells. IEEE Trans. Magn. 2012, 48, 871–874. [Google Scholar] [CrossRef]
- Ou, J.; Liu, Y.; Breining, P.; Gietzelt, T.; Wunsch, T.; Doppelbauer, M. Experimental Characterization and Feasibility Study on High Mechanical Strength Electrical Steels for High-Speed Motors Application. IEEE Trans. Ind. Appl. 2020, 57, 284–293. [Google Scholar] [CrossRef]
- Zhang, H.; Zeng, L.; An, D.; Pei, R. Magnetic Performance Improvement caused by Tensile Stress in Equivalent Iron Core fabricated by High-Strength Non-Oriented Electrical Steel. IEEE Trans. Magn. 2021, 58, 1–5. [Google Scholar] [CrossRef]
- Kasai, S.; Namikawa, M.; Hiratani, T. Recent progress of high silicon electrical steel in JFE steel. JFE Tech. Rep. 2016, 21, 14–19. [Google Scholar]
- Ou, J.; Liu, Y.; Breining, P.; Gietzelt, T.; Wunsch, T.; Doppelbauer, M. Study of the Electromagnetic and Mechanical Properties of a High-silicon Steel for a High-speed Interior PM Rotor. In Proceedings of the 2019 22nd International Conference on Electrical Machines and Systems (ICEMS), Harbin, China, 11–14 August 2019. [Google Scholar]
- Liu, G.; Liu, M.; Zhang, Y.; Wang, H.; Gerada, C. High-Speed Permanent Magnet Synchronous Motor Iron Loss Calculation Method Considering Multi-Physics Factors. IEEE Trans. Ind. Electron. 2019, 67, 5360–5368. [Google Scholar] [CrossRef]
- Krings, A.; Mousavi, S.A.; Wallmark, O.; Soulard, J. Temperature Influence of NiFe Steel Laminations on the Characteristics of Small Slotless Permanent Magnet Machines. IEEE Trans. Magn. 2013, 49, 4064–4067. [Google Scholar] [CrossRef]
- Chen, J.Q.; Wang, D.; Cheng, S.W. Modeling of temperature effects on magnetic property of non-oriented silicon steel lamination. IEEE Trans. Magn. 2015, 51, 1–4. [Google Scholar]
- Xue, S.S.; Feng, J.H.; Guo, S.Y. A new iron loss model for temperature dependencies of hysteresis and eddy current losses in electrical machines. IEEE Trans. Magn. 2018, 54, 1–10. [Google Scholar] [CrossRef]
- Xue, S.; Feng, J.; Guo, S.; Chen, Z.; Peng, J.; Chu, W.Q.; Huang, L.R.; Zhu, Z.Q. Iron Loss Model Under DC Bias Flux Density Considering Temperature Influence. IEEE Trans. Magn. 2017, 53, 1–4. [Google Scholar] [CrossRef]
- Kurosaki, Y.; Mogi, H.; Fujii, H.; Kubota, T.; Shiozaki, M. Importance of punching and workability in non-oriented electrical steel sheets. J. Magn. Magn. Mater. 2008, 320, 2474–2480. [Google Scholar] [CrossRef]
- Balyts’ kyi, O.I.; Mascalzi, G. Selection of materials for high-speed motor rotors. Mater. Sci. 2002, 38, 293–303. [Google Scholar] [CrossRef]
- Liu, Y.; Ou, J.; Schiefer, M.; Breining, P.; Grilli, F.; Doppelbauer, M. Application of an Amorphous Core to an Ultra-High-Speed Sleeve-Free Interior Perma-nent-Magnet Rotor. IEEE Trans. Ind. Electron. 2018, 65, 8498–8509. [Google Scholar] [CrossRef]
- Saleem, A.; Alatawneh, N.; Chromik, R.R.; Lowther, D.A. Effect of Shear Cutting on Microstructure and Magnetic Properties of Non-Oriented Electrical Steel. IEEE Trans. Magn. 2015, 52, 1–4. [Google Scholar] [CrossRef]
- Belhadj, A.; Baudouin, P.; Breaban, F.; Deffontaine, A.; Dewulf, M.; Houbaert, Y. Effect of laser cutting on microstructure and on magnetic properties of grain non-oriented electrical steels. J. Magn. Magn. Mater. 2003, 256, 20–31. [Google Scholar] [CrossRef]
- Emura, M.; Landgraf, F.; Ross, W.; Barreta, J. The influence of cutting technique on the magnetic properties of electrical steels. J. Magn. Magn. Mater. 2003, 254–255, 358–360. [Google Scholar] [CrossRef]
- Ma, D.; Li, J.; Tian, B.; Zhang, H.; Li, M.; Pei, R. Studies on Loss of a Motor Stator Iron Core with High Silicon Electrical Steel Considering Temperature and Compressive Stress Factors. In Proceedings of the 2022 IEEE 5th International Electrical and Energy Conference (CIEEC), Nangjing, China, 27–29 May 2022; pp. 4243–4248. [Google Scholar]
- Xiao, L.; Yu, G.; Zou, J.; Xu, Y.; Liang, W. Experimental analysis of magnetic properties of electrical steel sheets under temperature and pressure coupling environment. J. Magn. Magn. Mater. 2019, 475, 282–289. [Google Scholar] [CrossRef]
- Liew, G.S.; Soong, W.L.; Ertugrul, N.; Gayler, J. Analysis and performance investigation of an axial-field PM motor utilising cut amorphous magnetic material. In Proceedings of the 2010 20th Australasian Universities Power Engineering Conference, Christchurch, New Zealand, 5–8 December 2010; pp. 1–6. [Google Scholar]
- Celie, J.; Stie, M.; Rens, J.; Sergeant, P. Effects of cutting and annealing of amorphous materials for high speed permanent magnet machines. In Proceedings of the 2016 XXII International Conference on Electrical Machines (ICEM), Lausanne, Switzerland, 4–7 September 2016; pp. 1630–1635. [Google Scholar]
- Bali, M.; Muetze, A. Influences of CO2 laser, FKL laser, and mechanical cutting on the magnetic properties of elec-trical steel sheets. IEEE Trans. Ind. Appl. 2015, 51, 4446–4454. [Google Scholar] [CrossRef]
- Paltanea, G.; Paltanea, V.M.; Stefanoiu, R.; Nemoianu, I.V.; Gavrila, H. Correlation between Magnetic Properties and Chemical Composition of Non-Oriented Electrical Steels Cut through Different Technologies. Materials 2020, 13, 1455. [Google Scholar] [CrossRef] [PubMed]




















| Parameter | Value | Parameter | Value |
|---|---|---|---|
| Rated power/kW | 90 | Peak power/kW | 210 |
| Rated speed/rpm | 9549 | Peak speed/rpm | 19,000 |
| DC bus voltage/V | 540 | Peak current/A | 500 |
Publisher’s Note: MDPI stays neutral with regard to jurisdictional claims in published maps and institutional affiliations. |
© 2022 by the authors. Licensee MDPI, Basel, Switzerland. This article is an open access article distributed under the terms and conditions of the Creative Commons Attribution (CC BY) license (https://creativecommons.org/licenses/by/4.0/).
Share and Cite
Ma, D.; Tian, B.; Zheng, X.; Li, Y.; Xu, S.; Pei, R. Study of High-Silicon Steel as Interior Rotor for High-Speed Motor Considering the Influence of Multi-Physical Field Coupling and Slotting Process. Materials 2022, 15, 8502. https://doi.org/10.3390/ma15238502
Ma D, Tian B, Zheng X, Li Y, Xu S, Pei R. Study of High-Silicon Steel as Interior Rotor for High-Speed Motor Considering the Influence of Multi-Physical Field Coupling and Slotting Process. Materials. 2022; 15(23):8502. https://doi.org/10.3390/ma15238502
Chicago/Turabian StyleMa, Deji, Baozhi Tian, Xuejie Zheng, Yulin Li, Shibo Xu, and Ruilin Pei. 2022. "Study of High-Silicon Steel as Interior Rotor for High-Speed Motor Considering the Influence of Multi-Physical Field Coupling and Slotting Process" Materials 15, no. 23: 8502. https://doi.org/10.3390/ma15238502
APA StyleMa, D., Tian, B., Zheng, X., Li, Y., Xu, S., & Pei, R. (2022). Study of High-Silicon Steel as Interior Rotor for High-Speed Motor Considering the Influence of Multi-Physical Field Coupling and Slotting Process. Materials, 15(23), 8502. https://doi.org/10.3390/ma15238502
