Abstract
The effect of the mutual doping of C, Si, and Al atoms on the electronic structure and magnetic properties of FeXO3 (X = C, Al, Si) compounds, which are constituent compounds of the Earth’s lower mantle, was studied. In our first principles calculations, it was found that doping with carbon for both FeSiO3 and FeAlO3 leads to the transition of the compound from a half-metallic state to a metallic one. The values of the magnetic moments of Fe were obtained for pure and doped compounds. For the doped compounds, there is a tendency of the Fe magnetic moment to increase with the growth in the number of substituted ions in the case of replacing Si with C and Si for Al; on the contrary, in the case of replacing Al with C and Si, a decrease in the magnetic moment was revealed. For FeXO3 (X = C, Al, Si), the obtained magnetic moment values were found to be in a good agreement with the known experimental data.
1. Introduction
The Earth’s mantle contains a huge amount of minerals of various compositions, and most of it, usually called the Earth’s lower mantle, is mainly composed of silicate perovskite (Mg,Fe)(Si,Al)O3 [1]. According to modern concepts, the Earth’s lower mantle (from 650 to 2800 km distance from the Earth’s surface to the center along the radius, which corresponds to pressures of 23–135 GPa) consists mainly of iron-containing magnesium perovskite (bridgmanite) (Mg,Fe)SiO3 [2] (more than 70%) and ferropericlase (Mg,Fe)O (about 20%). The remaining 10% includes cubic perovskite CaSiO3 (about 5%), as well as a solid solution (Mg,Fe)SiO3·Al2O3, iron-containing carbonates (Mg,Fe)CO3, Ca-ferrite (NaAlSiO4) and other oxide phases containing Si, Ca, Na, K, Al and Fe [3]. These compounds were formed as a result of thermobaric reactions, and are under conditions of gigantic compression, which determines the features of their magnetic and electronic states. Over the past decades, a large number of experimental materials [1,4] and the results of theoretical calculations [5,6,7,8] have been accumulated. The result of the studies is the description of the properties of these iron-containing components of the mantle under conditions close to those of the Earth’s lower mantle [9,10,11,12,13,14].
A number of works have been conducted in recent years, in which the effect of deformations under high pressure compression on ferropericlase, bridgmanite and siderite has been studied experimentally [15,16] and theoretically [17]. In bridgmanite (Mg,Fe)(Si,Al)O3, ferropericlase and magnesium wustite (Mg,Fe)O, the chemical composition is strongly variable. In (Mg,Fe)O, magnesium replaces iron in the metal sublattice [18]; in (Mg,Fe)(Si,Al)O3, in addition to the replacement of Mg by Fe in the A sites of the perovskite structure, the presence of Al at the Si positions in the B sites is possible [19]. For FeAlO3, only a few research results can be found in the literature [20,21,22].
Iron-containing carbonates (Mg,Fe)CO3 can play an important role in the carbon cycle of the Earth’s mantle and the entire planet [23]. Therefore, their properties, including those under pressure, need an adequate description. Magnesite MgCO3 is isostructural with siderite FeCO3, and crystallizes in a trigonal structure, the samples of which are found in a wide range of compositions and concentrations, both in a natural state and synthesized. X-ray diffraction measurements under pressure showed that siderite in this structure is stable at high pressures up to 66 GPa, with a transition at pressures of about 45 GPa, which was studied both experimentally [24] and theoretically [25,26]. In this study, we consider in detail the effect of the mutual doping of X = C, Si and Al atoms on the electronic structure and the magnetic properties of the FeXO3 compounds.
2. Materials and Methods
The FeCO3 compound has a trigonal R-3c symmetry group (number 167 in the list of crystallographic groups). The unit cell parameters are: a = b = 4.703 Å, c = 15.409 Å, α = β = 90°, γ = 120°. Fe ions occupy 4c positions (0, 0, 0), C ions are also in 4c positions (0, 0, 0.25) and O ions are in 4c positions with the coordinates (0.2818, 0, 0.25) [27]. The crystal structure of FeCO3 is plotted in Vesta [28] in Figure 1a. The unit cell of FeCO3 contains 2 iron atoms, 2 carbon atoms and 6 oxygen atoms. The Fe atom has an environment of six O atoms in the form of an octahedron, and the C atom has an environment of three O atoms in the form of a coplanar equilateral triangle. In this case, each O atom is adjacent to one C atom and two Fe atoms.

Figure 1.
Crystal structure of: (a) FeCO3; (b) FeAlO3; (c) FeSiO3. Fe atoms are shown in brown, (C (a), Al (b), Si (c))—in green, O—in blue.
The FeAlO3 compound has an orthorhombic Pna21 symmetry group (number 33 in the list of crystallographic groups). The unit cell parameters are: a = 4.984 Å, b = 8.554 Å, c = 9.241 Å, α = β = γ = 90° [21]. The illustration of the crystal structure of FeAlO3 is shown in Figure 1b. The cell contains 8 iron atoms (4 first-type Fe1 and 4 s Fe2), 8 aluminum atoms (4 first-type Al1 and 4 s-type Al2), and 24 oxygen atoms. Fe atoms of both types have an octahedral environment of six O atoms. The Al atom of the first type has an environment of four O atoms in the form of a tetrahedron, and the second type has an octahedron of O.
Additionally, and lastly, the FeSiO3 compound is investigated in the monoclinic phase P21/c (number 14 in the list of crystallographic groups). The unit cell parameters are: a = 9.485 Å, b = 9.081 Å, c = 5.235 Å, α = γ = 90°, β = 103.207° [29]. The crystal structure of FeSiO3 is visualized in Figure 1c. The unit cell of FeSiO3 contains 8 iron atoms (4 first-type Fe1 and 4 second-type Fe2), 8 silicon atoms (4 first-type Si1 and 4 second-type Si2), and 24 oxygen atoms, following [7,8]. The Fe atom of the first type has an environment of six O atoms in the form of an octahedron, and that of the second type has a tetrahedron of O. Si atoms of both types have an environment of four O atoms in the form of a tetrahedron.
In this work, the electronic structure of the FeXO3 compounds was computed using the Quantum ESPRESSO software package [30,31]. This software package contains the most common basic and advanced exchange-correlation approximations and methods [30], as well as an impressive set of post-processing tools [31]. The exchange correlation potential was employed in a generalized gradient approximation (GGA) of Perdew–Burke–Ernzerhof (PBE) [32]. Wave functions were expanded in plane waves, Bloechl’s tetrahedron method was employed for Brillouin-zone integration on a 12 × 12 × 12 k-point mesh, and interactions between ions and valence electrons were taken into account within the framework of the method of augmented plane waves. A structural relaxation procedure was performed for the crystal structures to guarantee the lowest free energy of the systems. The calculations used the standard ultrasoft potentials from the pseudopotential library of Quantum ESPRESSO [33].
3. Results
This section presents the results of first principles calculations of the electronic structures of the compounds FeCO3, FeAlO3 and FeSiO3. Density of state (DOS) plots for these compounds are shown in Figure 2a–c, respectively. The upper part of the plot corresponds to the majority spin projection and the lower part—to the minority spin projection. For the FeCO3 and FeSiO3 compounds, in the case of the majority spin projection, the Fermi level is located in the middle of the energy gap, and in the case of the minority spin projection, it is near the maximum of the density of states. In the conduction band, Figure 2, one can see the presence of a structure of several peaks at the Fermi energy, and above it, up to 3–3.5 eV, the peaks are mainly formed by the 3d electronic states of Fe; however, we also see that the 2p electronic states of O are involved in the formation of these peaks.
Figure 2.
Densities of electronic states: (a) FeCO3; (b) FeAlO3; (c) FeSiO3. The plot is shifted relative to the Fermi energy, shown at zero as a vertical dashed line.
In all three compounds, the valence band for both spin projections is formed by predominantly the oxygen states, with the occupied Fe 3d states in the majority spin projection, Figure 2. The p states of silicon and aluminum in the corresponding compounds lie mainly at a distance, starting from +5 eV relative to the Fermi level for both spin directions. For FeCO3 (see Figure 2a), the majority spin projection in the lower part of the conduction band exhibits a peak from a mixture of the 2p states of carbon and 2p states of oxygen, which is absent in the other two compounds. These results are in agreement with the known results from the literature [22,34,35]. In Appendix A, the corresponding band structures of FeCO3 are shown in Figure A1; for FeAlO3, in Figure A2; and for FeSiO3, in Figure A3, for (a) majority and (b) minority spin projections. The plots are shifted relative to the Fermi energy shown at zero as a horizontal dashed line. In the results of our work, in FeCO3, in the majority spin projection, the semi-metallic gap is 2.67 eV; in FeAlO3, in the minority spin projection, the half-metallic gap is 1.84 eV; and in FeSiO3, in the majority spin projection, the half-metallic gap is 2.54 eV. The large-scale benchmark of PBE on 472 compounds with a band gap [36] resulted in an error below 1 eV for the band gap, which is well below the calculated values. Obtaining an accurate band gap calculation/prediction is a major problem for all DFT approximations and methods, and it is extensively investigated and reviewed, e.g., [36,37,38]. A number of methods and approaches are being proposed to tackle this problem, e.g., [39,40,41,42,43]. On the other hand, most sophisticated methods are either parameter dependent, or demand tremendous computational resources to handle large cells [44,45,46].
In addition to the densities of states, the values of the magnetic moments of atoms are also of interest. The magnitude of the magnetic moment of an atom can be obtained experimentally; therefore, it is possible to compare the results of the calculations with the known experimental values. Table 1 shows the values of the magnetic moments for the pure FeCO3, FeSiO3 and FeAlO3 compounds. These are the extreme values for all combinations of the substitution of one atom (C, Al, Si) by another, which are discussed below. The magnetic moment of oxygen for any combination can be expected to be between 0.02 and 0.64 μB.
Table 1.
Magnetic moments of individual ions in FeXO3 compounds for X = C, Al, Si.
In addition to FeXO3 with X = (C, Al, Si), which is discussed above, the compounds with the substituted X atoms of one type for another, which are of the main interest of this study, were considered. The unit cells of FeSiO3 and FeAlO3 contain eight Si/Al atoms of two types (each type has a different environment). In this work, all possible options for doping up to half of the substituted atoms were considered, i.e., compounds obtained by the substitution in the initial crystal lattice of FeSiO3 and FeAlO3 with one to four atoms of Si and Al, respectively. These can be represented as the composition Fe8XA4-X YAX XB4-XYyBO24, where XA(B) is the initial atom of type A (B), YA is the substituted atom of type A (B) and x (y) is the number of substituted atoms of type A (B). The X atom can be Si or Al, the Y atom is Si, Al, or C, while X is not equal to Y, which defines the large number of calculations based on the possible C, Al, Si substitutions.
3.1. Doped FeCO3
The unit cell of FeCO3 contains two C atoms of the same type (with a symmetrical arrangement); therefore, there is only one nonequivalent option for replacing C with another atom. Al and Si are substituted atoms. One of the C atoms was replaced by Al and Si, respectively. The self-consistent calculations were performed, and the plots of the total and partial densities of states were obtained. A partial substitution of aluminum for carbon (Figure 3) for the minority spin projection decreases the distance between the band below the Fermi level, formed by the O states, and the band at the Fermi level, consisting predominantly of the 3d iron states. For the majority spin projection, a greater mixing of the Fe and O states in the valence band is observed. In this case, the peak above the Fermi level, consisting of the 2p states of carbon and oxygen, decreases. In this case, the states of aluminum do not appear close to the Fermi level, causing a redistribution of density for the other atoms.
Figure 3.
Total and partial densities of states for: FeCO3; FeC0.5Si0.5O3; FeC0.5Al0.5O3.
A partial substitution of silicon for carbon has minimal effect on the electronic states with the minority spin projection. With aluminum doping, the peak of a mixture of the carbon and oxygen electronic states near +6 eV decreases. The silicon states themselves begin to appear above +5 eV relative to the Fermi level.
3.2. Doped FeAlO3
The unit cell of FeAlO3 contains four Al atoms of one type and four Al atoms of the second type (with a different environment). As in the case of FeSiO3, we consider substitutions of only one to four Al atoms (different combinations of different types of Al1 and Al2). In total, there are 14 different options for replacing one to four Al atoms with another atom. Self-consistent calculations were performed, and plots of the total and partial densities of states were plotted for all substitution options. Some of the plots for configurations (1, 0), (1, 1), (2, 1) and (2, 2) are shown in Figure 4 and Figure 5. The plots within each set with the same number of replaced atoms have insignificant differences; therefore, their consideration is omitted.
Figure 4.
Densities of states FeAl1-xCxO3, where x = 1/8; 1/4; 3/8; 1/2. Replacement configurations (1, 0), (1, 1), (2, 1) and (2, 2) are selected.
Figure 5.
Densities of states FeAl1-xSixO3, where x = 1/8; 1/4; 3/8; 1/2. Replacement configurations (1, 0), (1, 1), (2, 1) and (2, 2) are selected.
When Al atoms are replaced by C atoms, the energy gap for the majority spin projection disappears: the compound transitions from the semi-metallic state to the metallic one. An oxygen peak appears just above the Fermi level, which then merges with the valence band, creating a density of states at the Fermi level. Above the energy scale, a region of carbon–oxygen states is formed, which splits and increases in size with an increase in the number of substituted atoms. For the minority spin below the Fermi level, a small peak also appears, including the states of oxygen and iron, which also increases in size.
When Al atoms are replaced by Si atoms for the majority spin projection, the energy gap decreases in size, but, in contrast to substitution by C, it does not disappear completely. A small oxygen and silicon region appears above the Fermi level, and increases in size depending on the concentration of the substituent. For minority spin, the distribution of states remains practically unchanged.
3.3. Doped FeSiO3
The unit cell of FeSiO3 contains four Si atoms of one type and four Si atoms of the second type (with a different environment). It makes sense to consider the substitutions of only one to four Si atoms (different combinations of different types of Si1 and Si2), since the substitution of a larger number of atoms already corresponds to symmetrical substitution in compounds FeCO3 and FeAlO3 for C and Al by Si, respectively. In total, there are 14 different options for replacing one to four Si atoms with another atom: (0, 1), (0, 2), (0, 3), (0, 4), (1, 0), (1, 1), (1, 2), (1, 3), (2, 0), (2, 1), (2, 2), (3, 0), (3, 1) and (4, 0), where the record (x, y) is a pair of numbers: x is the number of Si1 atoms replaced by X atoms, and y is the number of Si2 atoms replaced by X atoms, where X = C, Al.
In similarity with the pure compound, self-consistent calculations were performed, and the plots of the total and partial densities of states were plotted for FeSiO3 with all substitution options. Below is only a part of the plots, for configurations (1, 0), (1, 1), (2, 1) and (2, 2) (Figure 6 and Figure 7). The plots within each set with the same number of replaced atoms have insignificant differences; therefore, their consideration is omitted. When Si atoms are replaced by C atoms, the energy gap for the majority spin projection first decreases and eventually disappears completely: the compound transitions from the half-metallic state to the metallic one. A carbon + oxygen + silicon cluster appears, in which the density of the state of carbon increases with an increase in the number of replaced atoms. For the minority spin states below the Fermi level, a small peak appears, including a mixture of the oxygen and iron states. With an increase in the number of the replaced atoms, it first splits into two parts, then merges again and increases in size.
Figure 6.
Densities of states FeSi1-xCxO3, where x = 1/8; 1/4; 3/8; 1/2. Replacement configurations (1, 0), (1, 1), (2, 1) and (2, 2) are selected.
Figure 7.
Densities of states FeSi1-xAlxO3, where x = 1/8; 1/4; 3/8; 1/2. Replacement configurations (1, 0), (1, 1), (2, 1), and (2, 2) are selected.
With the substitution of Al atoms for Si atoms, the energy gap for the majority spin projection, as in the case of substitution with C, first decreases, but then increases to several tenths of an eV. Otherwise, no significant changes were observed in the growth of the number of the substituted atoms.
Thus, we analyzed the electronic structure of compounds FeCO3, FeAlO3 and FeSiO3 without doping, as well as with doping, examining the substitution of C for Si and Al in FeCO3, the substitution of Si for C and Al in FeSiO3, the substitution of Al for C and Si in FeAlO3. It was found that doping with carbon for both FeSiO3 and FeAlO3 leads to the appearance of a nonzero density of states at the Fermi level for the majority spin projection, which should correspond to the transition of the compound from the semi-metallic state to the metallic one. For the other cases, the effect of doping on the electronic structure is less pronounced.
4. Discussion
In addition to the densities of states, the values of the magnetic moments of atoms are also of interest, since information about this is the basis for understanding the magnetic properties of the compounds under study. The magnitude of the magnetic moment of an atom can be obtained experimentally; therefore, it is possible to compare the results of calculations carried out in this work with the known experimental values for the compounds FeCO3, FeAlO3 and FeSiO3.
When carbon is replaced by silicon (in Table 2, Fe2CSiO6 is compared to Fe2C2O6), the magnetic moments change only slightly, in contrast to the changes caused by replacing carbon with aluminum (in Table 2, Fe2CAlO6 is compared to Fe2C2O6). This follows from the similarity of the chemical properties of carbon and silicon, as they are members of the same group in the periodic table. From Table 1 and Table 2, it follows that the magnetic moment of oxygen is an order of magnitude less than that of iron, and the other ions by two orders of magnitude. Therefore, below, in Table 3 and Table 4, only the magnetic moment of iron is considered.
Table 2.
Magnetic moments (in μB) of ions in Fe2CXO6 compounds (X = C, Al, Si): pure Fe2C2O6 and doped compounds with substitution of C for Si and Al, respectively.
Table 3.
Magnetic moments (in μB) of the Fe ion in pure Fe8Al8O24 and doped compounds with substitution of Al for C and Si, respectively.
Table 4.
Magnetic moments (in μB) of the Fe ion in pure Fe8Si8O24 and doped compounds with substitution of Si for C and Al, respectively.
For the Fe8Si8O24 and Fe8Al8O24 compounds, the substitution combinations are significantly larger than for Fe2C2O6, since they include more atoms in the unit cell. In addition, the compounds contain two types of Si and Al atoms, respectively, depending on their position in the cell. For example, for Fe8Si8O24, the number of nonequivalent substitutions of Si for C will be 14, with the substitution of one Si1 atom, one Si2 atom, two Si1 atoms, one Si1 atom and one Si2 atom, etc. Therefore, in Table 3 and Table 4, the averaged values and their spread are presented.
With an increase in the number of substituted atoms both in the case of replacing silicon with carbon, and in the case of replacing silicon with aluminum, an increase in the value of the magnetic moment is observed. On the contrary, in the case of replacing aluminum with carbon and silicon, a decrease in the magnitude of the magnetic moment is observed. This trend persists, taking into account the deviation of the magnetic moments for various types of the iron ions.
The results for silicon and aluminum coincide, for a configuration with the replacement of half of the silicon atoms by aluminum atoms, and for a configuration symmetrical to it, with the replacement of half of the aluminum atoms by silicon atoms. This confirms that the calculations were carried out correctly. A comparison of the obtained values of the magnetic moment of iron for the compounds with the known experimental data and previous calculations is presented in Table 5. In the case of FeCO3 and FeAlO3, the experimental values were obtained by neutron diffraction, and in the case of FeSiO3, the method of Mössbauer spectroscopy was used, together with a SQUID magnetometer. For FeCO3, the calculated magnetic moment of iron obtained in this work is closer to an experimental value than the previous calculation [47]. For FeAlO3, the magnetic moment of iron reported in [20] was calculated for another crystal structure, namely, a perovskite structure. It should also be noted that the experimental value in [21] was obtained for polycrystalline samples of FeAlO3. For FeSiO3, the DFT + DMFT method was employed in [7], and then the difference between the calculated value obtained in this work and the results of the other calculations [7,20] can be attributed to the difference in methods and approximations employed.
Table 5.
Comparison of the magnetic moments (in μB) of the Fe ion in the FeCO3, FeAlO3 and FeSiO3 obtained theoretically in our work, as a result of previous calculations, and experimental values.
5. Conclusions
In this work, we investigated the electronic structure of the iron oxide compounds FeCO3, FeAlO3 and FeSiO3, which are found in the Earth’s lower mantle in a pure, doped or admixed state. The first principles calculations were carried out for the pure and doped compounds. For compounds with doping, a comparative analysis of the electronic states and their distribution were performed. It was found that doping with carbon for both FeSiO3 and FeAlO3 leads to the transition of the compound from the half-metallic state to the metallic one. For the other cases, the effect of doping on the electronic structure is less pronounced. In our theoretical calculations, the values of the magnetic moments of Fe were obtained for pure and doped compounds. For pure compounds, agreement with the experimental values is observed with an accuracy of 10%. For the doped compounds, there is a tendency of the Fe magnetic moment to increase with the growth in the number of substituted ions in the case of replacing Si with C and Si for Al; on the contrary, in the case of replacing Al with C and Si, a decrease in the magnetic moment was revealed. This study contributes to the general body of knowledge about the properties of compounds that are widely present in the Earth’s lower mantle.
Author Contributions
Conceptualization, A.A.D. and A.V.L.; methodology, E.D.C. and A.V.L.; software, E.D.C. and A.A.D.; validation, A.V.L.; investigation, E.D.C. and A.A.D.; writing—original draft preparation, E.D.C.; writing—review and editing, A.A.D. and A.V.L.; supervision, A.V.L.; project administration, A.V.L. All authors have read and agreed to the published version of the manuscript.
Funding
This research was supported by the Russian Science Foundation (project No. 19-72-30043) for the electronic structure calculations in Section 3, and the magnetic values (Section 4) were obtained within the state assignment of the Ministry of Science and Higher Education of the Russian Federation (theme “Electron” No. AAAA-A18-118020190098-5).
Institutional Review Board Statement
Not applicable.
Informed Consent Statement
Not applicable.
Data Availability Statement
The data presented in this study are available on request from the corresponding author.
Acknowledgments
The authors would like to thank I.V. Medvedeva and A.A. Shirokov for the help with the literature and illustrations at early stages of this work.
Conflicts of Interest
The authors declare no conflict of interest. The funders had no role in the design of the study; in the collection, analyses, or interpretation of data; in the writing of the manuscript, or in the decision to publish the results.
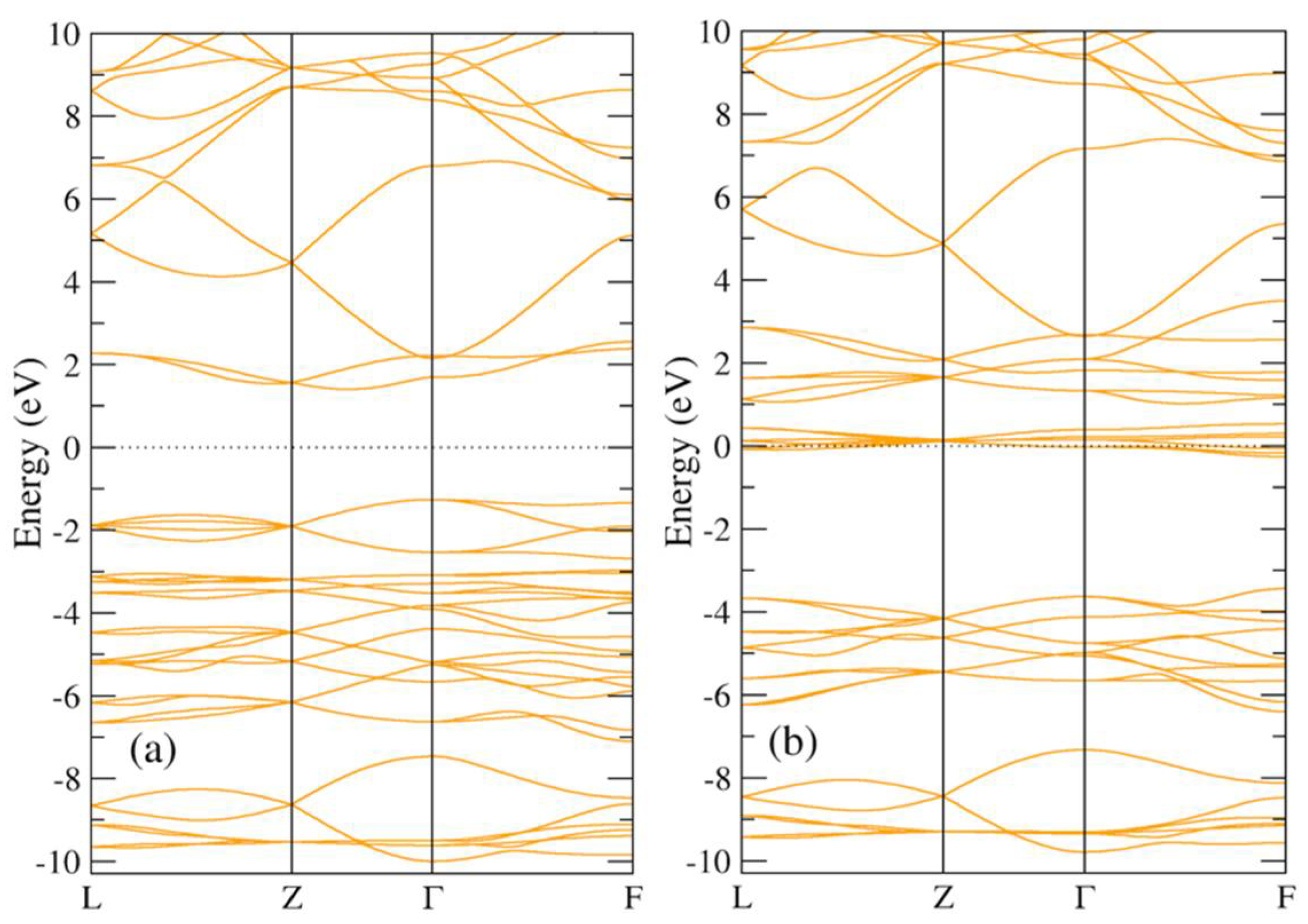
Appendix A
Figure A1.
Band structure of FeCO3: (a) majority and (b) minority spin projections.
Figure A1.
Band structure of FeCO3: (a) majority and (b) minority spin projections.

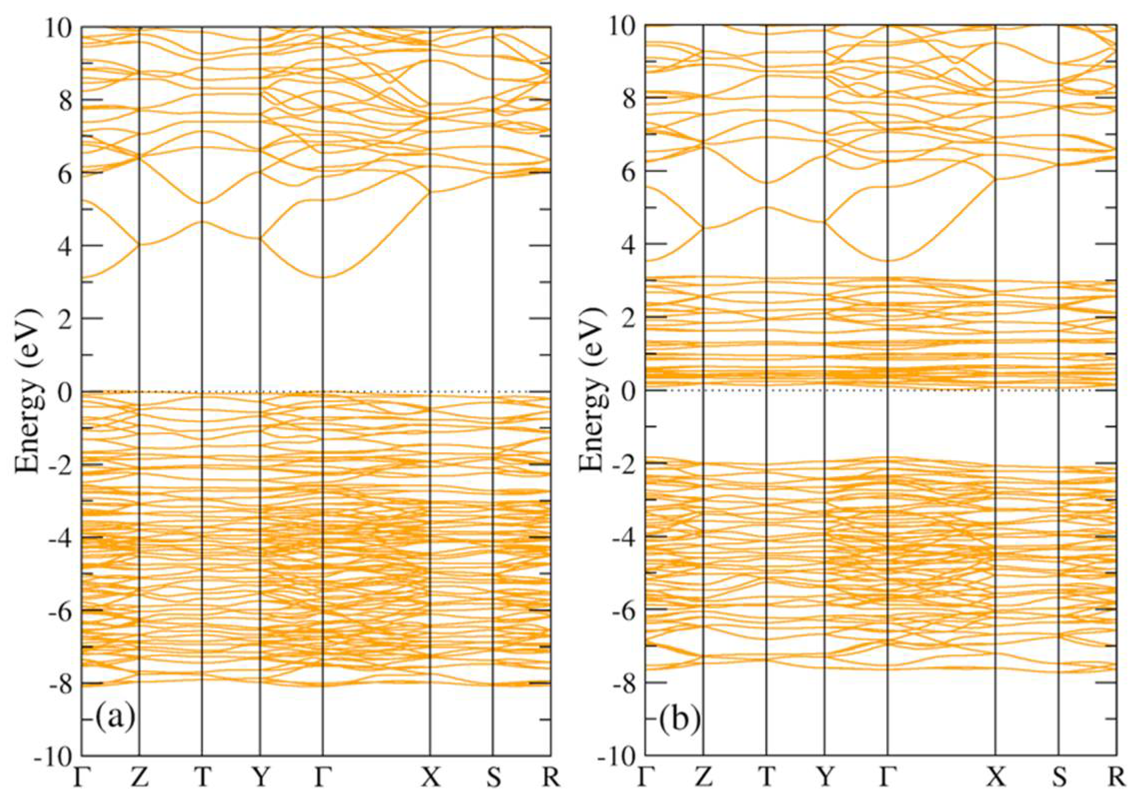
Figure A2.
Band structure of FeAlO3: (a) majority and (b) minority spin projections.
Figure A2.
Band structure of FeAlO3: (a) majority and (b) minority spin projections.

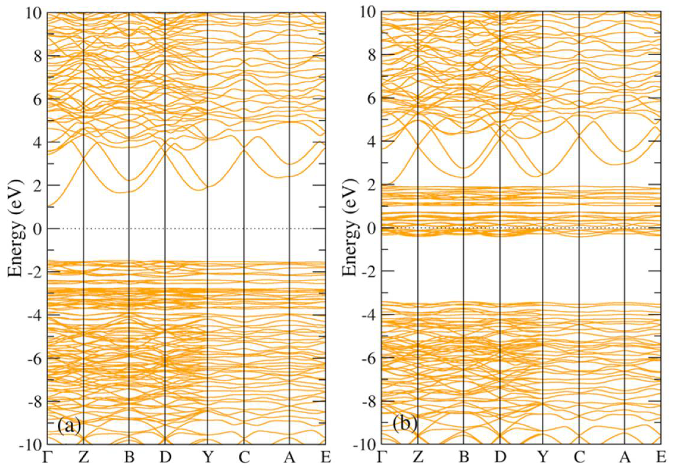
Figure A3.
Band structure of FeSiO3: (a) majority and (b) minority spin projections.
Figure A3.
Band structure of FeSiO3: (a) majority and (b) minority spin projections.

References
- Lin, J.-F.; Wheat, A. Electronic spin transition of iron in the Earth’s lower mantle. Hyperfine Interact. 2012, 207, 81–88. [Google Scholar] [CrossRef]
- Mao, Z.; Wang, F.; Lin, J.-F.; Fu, S.; Yang, J.; Wu, X.; Okuchi, T.; Tomioka, N.; Prakapenka, V.B.; Xiao, Y.; et al. Equation of state and hyperfine parameters of high-spin bridgmanite in the Earth’s lower mantle by synchrotron X-ray diffraction and Mössbauer spectroscopy. Am. Mineral. 2017, 102, 357–368. [Google Scholar] [CrossRef]
- Jeanloz, R.; Thompson, A.B. Phase transitions and mantle discontinuities. Rev. Geophys. 1983, 21, 51–74. [Google Scholar] [CrossRef]
- Stackhouse, S.; Brodholt, J.P.; Price, G.D. Electronic spin transitions in iron-bearing MgSiO3 perovskite. Earth Planet. Sci. Lett. 2007, 253, 282–290. [Google Scholar] [CrossRef]
- Cohen, R.E.; Mazin, I.I.; Isaak, D.G. Magnetic Collapse in Transition Metal Oxides at High Pressure: Implications for the Earth. Science 1997, 275, 654–657. [Google Scholar] [CrossRef] [PubMed] [Green Version]
- Cohen, R.E.; Lin, Y. Prediction of a potential high-pressure structure of FeSiO3. Phys. Rev. B 2014, 90, 140102. [Google Scholar] [CrossRef] [Green Version]
- Dyachenko, A.A.; Shorikov, A.O.; Lukoyanov, A.V.; Anisimov, V.I. Two successive spin transitions in a wide range of pressure and coexistence of high- and low-spin states in clinoferrosilite FeSiO3. Phys. Rev. B 2016, 93, 245121. [Google Scholar] [CrossRef]
- Chernov, E.D.; Lukoyanov, A.V.; Anisimov, V.I. Effect of electronic correlations on the electronic structures of the FeAlO3 and FeSiO3 compounds. J. Exp. Theor. Phys. 2021, 132, 548–555. [Google Scholar] [CrossRef]
- Ohta, K.; Yagi, T.; Taketoshi, N.; Hirose, K.; Komabayashi, T.; Baba, T.; Ohishi, Y.; Hernlund, J. Lattice thermal conductivity of MgSiO3 perovskite and post-perovskite at the core-mantle boundary. Earth Planet. Sci. Lett. 2012, 349, 109–115. [Google Scholar] [CrossRef]
- Ozawa, H.; Hirose, K.; Ohta, K.; Ishii, H.; Hiraoka, N.; Ohishi, Y.; Seto, Y. Spin crossover, structural change, and metallization in NiAs-type FeO at high pressure. Phys. Rev. B 2011, 84, 134417. [Google Scholar] [CrossRef] [Green Version]
- Hamada, M.; Kamada, S.; Ohtani, E.; Sakamaki, T.; Mitsui, T.; Masuda, R.; Hirao, N.; Ohishi, Y.; Akasaka, M. Mössbauer spectroscopic and x-ray diffraction study of ferropericlase in the high-pressure range of the lower mantle region. Phys. Rev. B 2021, 103, 174108. [Google Scholar] [CrossRef]
- Tang, R.; Chen, J.; Zeng, Q.; Li, Y.; Liang, X.; Yang, B.; Wang, Y. Study on the high-pressure behavior of goethite up to 32 GPa using X-ray diffraction, Raman, and electrical impedance spectroscopy. Minerals 2020, 10, 99. [Google Scholar] [CrossRef] [Green Version]
- Townsend, J.P.; Flores, S.D.P.; Clay, R.C., III; Mattsson, T.R.; Neuscamman, E.; Zhao, L.; Cohen, R.E.; Shulenburger, L. Starting-point-independent quantum Monte Carlo calculations of iron oxide. Phys. Rev. B 2020, 102, 155151. [Google Scholar] [CrossRef]
- Di Sabatino, S.; Koskelo, J.; Berger, J.A.; Romaniello, P. Photoemission spectrum in paramagnetic FeO under pressure: Towards an ab initio description. Phys. Rev. Res. 2021, 3, 013172. [Google Scholar] [CrossRef]
- Ohta, K.; Fujino, K.; Kuwayama, Y.; Kondo, T.; Shimizu, K.; Ohishi, Y. Highly conductive iron-rich (Mg,Fe)O magnesiowüstite and its stability in the Earth’s lower mantle. J. Geophys. Res. Solid Earth 2014, 119, 4656–4665. [Google Scholar] [CrossRef] [Green Version]
- Lin, J.-F.; Weir, S.T.; Jackson, D.D.; Evans, W.J.; Vohra, Y.K.; Qiu, W.; Yoo, C.-S. Electrical conductivity of the lower-mantle ferropericlase across the electronic spin transition. Geophys. Res. Lett. 2007, 34, 16. [Google Scholar] [CrossRef] [Green Version]
- Lyubutin, I.S.; Struzhkin, V.V.; Mironovich, A.A.; Gavriliuk, A.G.; Naumov, P.G.; Lin, J.-F.; Ovchinnikov, S.G.; Sinogeikin, S.; Chow, P.; Xiao, Y.; et al. Quantum critical point and spin fluctuations in lower-mantle ferropericlase. Proc. Natl. Acad. Sci. USA 2013, 110, 7142–7147. [Google Scholar] [CrossRef] [Green Version]
- Persson, K.; Bengtson, A.; Ceder, G.; Morgan, D. Ab initio study of the composition dependence of the pressure-induced spin transition in the (Mgx−1,Fex)O system. Geophys. Res. Lett. 2006, 33, 16. [Google Scholar] [CrossRef] [Green Version]
- Jackson, J.M.; Zhang, J.Z.; Shu, J.F.; Sinogeikin, S.V.; Bass, J.D. High-pressure sound velocities and elasticity of aluminous MgSiO3 perovskite to 45 GPa: Implications for lateral heterogeneity in Earth’s lower mantle. Geophys. Res. Lett. 2005, 32, L21305. [Google Scholar] [CrossRef] [Green Version]
- Caracas, R. Spin and structural transitions in AlFeO3 and FeAlO3 perovskite and post-perovskite. Phys. Earth Planet. Inter. 2010, 182, 10–17. [Google Scholar] [CrossRef]
- Bouree, F.; Baudour, J.L.; Elbadraoui, E.; Musso, J.; Laurent, C.; Rousset, A. Crystal and magnetic structure of piezoelectric, ferrimagnetic and magnetoelectric aluminium iron oxide FeAlO3 from neutron powder diffraction. Acta. Crystallogr. B. Struct. 1996, 52, 217–222. [Google Scholar] [CrossRef]
- Priyanga, G.S.; Thomas, T. Direct band gap narrowing and light-harvesting-potential in orthorhombic In-doped-AlFeO3 perovskite: A first principles study. J. Alloys Compd. 2018, 312–319. [Google Scholar] [CrossRef]
- Cerantola, V.; McCammon, C.; Kupenko, I.; Kantor, I.; Marini, C.; Wilke, M.; Ismailova, L.; Solopova, N.; Chumakov, A.; Pascarelli, S.; et al. High-pressure spectroscopic study of siderite (FeCO3) with a focus on spin crossover. Am. Mineral. 2015, 100, 2670–2681. [Google Scholar] [CrossRef]
- Nagai, T.; Ishido, T.; Seto, Y.; Nishio-Hamane, D.; Sata, N.; Fujino, K. Pressure-induced spin transition in FeCO3-siderite studied by X-ray diffraction measurements. J. Phys. Conf. Ser. 2010, 215, 012002. [Google Scholar] [CrossRef]
- Shi, H.; Luo, W.; Johansson, B.; Ahuja, R. First-principles calculations of the electronic structure and pressure-induced magnetic transition in siderite FeCO3. Phys. Rev. B 2008, 78, 155119. [Google Scholar] [CrossRef]
- Ming, X.; Wang, X.-L.; Du, F.; Yin, J.-W.; Wang, C.-Z.; Chen, G. First-principles study of pressure-induced magnetic transition in siderite FeCO3. J. Alloys Compd. 2012, 510, L1–L4. [Google Scholar] [CrossRef]
- Llorens, I.A.; Deniard, P.; Gautron, E.; Olicard, A.; Fattahi, M.; Jobic, S.; Grambow, B. Structural investigation of coprecipitation of technetium-99 with iron phases. Radiochim. Acta 2008, 96, 9. [Google Scholar] [CrossRef]
- Momma, K.; Izumi, F. VESTA 3 for three-dimensional visualization of crystal, volumetric and morphology data. J. Appl. Crystallogr. 2011, 44, 1272–1276. [Google Scholar] [CrossRef]
- Jones, D.A.H.; Woodland, A.B.; Angel, R.J. The Structure of High-Pressure C2/c Ferrosilite and Crystal Chemistry of High-Pressure C2/c Pyroxenes. Am. Miner. 1994, 79, 1032–1041. Available online: http://www.minsocam.org/ammin/AM79/AM79_1032.pdf (accessed on 27 January 2022).
- Giannozzi, P.; Andreussi, O.; Brumme, T.; Bunau, O.; Buongiorno Nardelli, M.; Calandra, M.; Car, R.; Cavazzoni, C.; Ceresoli, D.; Cococcioni, M.; et al. Advanced capabilities for materials modelling with Quantum ESPRESSO. J. Phys. Condens. Matter 2017, 29, 465901. [Google Scholar] [CrossRef] [Green Version]
- Giannozzi, P.; Baroni, S.; Bonini, N.; Calandra, M.; Car, R.; Cavazzoni, C.; Ceresoli, D.; Chiarotti, G.L.; Cococcioni, M.; Dabo, I.; et al. Quantum ESPRESSO: A modular and open-source software project for Quantum simulations of materials. J. Phys. Condens. Matter 2009, 21, 395502. [Google Scholar] [CrossRef] [PubMed]
- Perdew, J.P.; Burke, J.P.; Ernzerhof, M. Generalized gradient approximation made simple. Phys. Rev. Lett. 1996, 77, 3865–3868. [Google Scholar] [CrossRef] [PubMed] [Green Version]
- Available online: https://www.quantum-espresso.org/pseudopotentials (accessed on 27 January 2022).
- Badaut, V.; Zeller, P.; Dorado, B.; Schlegel, M.L. Influence of exchange correlation on the symmetry and properties of siderite according to density-functional theory. Phys. Rev. B 2010, 82, 205121. [Google Scholar] [CrossRef]
- Ribeiro, R.A.P.; de Lázaro, S.R. Structural, electronic and elastic properties of FeBO3 (B = Ti, Sn, Si, Zr) ilmenite: A density functional theory study. RSC Adv. 2014, 4, 59839–59846. [Google Scholar] [CrossRef]
- Borlido, P.; Aull, T.; Huran, A.W.; Tran, F.; Marques, M.A.L.; Botti, S. Large-scale benchmark of exchange−correlation functionals for the determination of electronic band gaps of solids. J. Chem. Theory Comput. 2019, 15, 5069–5079. [Google Scholar] [CrossRef] [PubMed] [Green Version]
- Morales-García, Á.; Valero, R.; Illas, F. An empirical, yet practical way to predict the band gap in solids by using Density Functional band structure calculations. J. Phys. Chem. C 2017, 121, 18862–18866. [Google Scholar] [CrossRef] [Green Version]
- Lejaeghere, K.; Bihlmayer, G.; Björkman, T.; Blaha, P.; Blügel, S.; Blum, V.; Caliste, D.; Castelli, I.E.; Clark, S.J.; Dal Corso, A.; et al. Reproducibility in density functional theory calculations of solids. Science 2016, 351, aad3000. [Google Scholar] [CrossRef] [Green Version]
- Kauwe, S.K.; Welker, T.; Sparks, T.D. Extracting knowledge from DFT: Experimental band gap predictions through ensemble learning. Integr. Mater. Manuf. Innov. 2020, 9, 213–220. [Google Scholar] [CrossRef]
- Anisimov, V.I.; Lukoyanov, A.V.; Skornyakov, S.L. Electronic structure and magnetic properties of strongly correlated transition metal compounds. Phys. Met. Metallogr. 2018, 119, 1254–1258. [Google Scholar] [CrossRef]
- Perdew, J.P.; Yang, W.; Burke, K.; Yang, Z.; Gross, E.K.U.; Scheffler, M.; Scuseria, G.E.; Henderson, T.M.; Zhang, I.Y.; Ruzsinszky, A.; et al. Understanding band gaps of solids in generalized Kohn–Sham theory. Proc. Natl. Acad. Sci. USA 2017, 114, 2801–2806. [Google Scholar] [CrossRef] [Green Version]
- Yang, Z.; Peng, H.; Sun, J.; Perdew, J.P. More realistic band gaps from meta-generalized gradient approximations: Only in a generalized Kohn-Sham scheme. Phys. Rev. B 2016, 93, 205205. [Google Scholar] [CrossRef] [Green Version]
- Anisimov, V.I.; Lukoyanov, A.V. Investigation of real materials with strong electronic correlations by the LDA+DMFT method. Acta Crystallogr. C 2014, 70, 137–159. [Google Scholar] [CrossRef] [PubMed]
- Kirchner-Hall, N.E.; Zhao, W.; Xiong, Y.; Timrov, I.; Dabo, I. Extensive Benchmarking of DFT+U Calculations for Predicting Band Gaps. Appl. Sci. 2021, 11, 2395. [Google Scholar] [CrossRef]
- Rasmussen, A.; Deilmann, T.; Thygesen, K.S. Towards fully automated GW band structure calculations: What we can learn from 60.000 self-energy evaluations. Npj Comput. Mater. 2021, 7, 22. [Google Scholar] [CrossRef]
- Marques, M.A.L.; Vidal, J.; Oliveira, M.J.T.; Reining, L.; Botti, S. Density-based mixing parameter for hybrid functionals. Phys. Rev. B 2011, 83, 035119. [Google Scholar] [CrossRef] [Green Version]
- Golosova, N.O.; Kozlenko, D.P.; Dubrovinsky, L.S.; Cerantola, V.; Bykov, M.; Bykova, E.; Kichanov, S.E.; Lukin, E.V.; Savenko, B.N.; Ponomareva, A.V.; et al. Magnetic and structural properties of FeCO3 at high pressures. Phys. Rev. B 2017, 96, 134405. [Google Scholar] [CrossRef] [Green Version]
- Eeckhout, S.G.; de Grave, E.; Lougear, A.; Gerdan, M.; McCammon, C.A.; Trautwein, A.X.; Vochten, R. Magnetic properties of synthetic P21/c (Mg-Fe)SiO3 clinopyroxenes as observed from their low-temperature Mössbauer spectra and from SQUID magnetization measurements. Am. Miner. 2001, 86, 957–964. [Google Scholar] [CrossRef]
Publisher’s Note: MDPI stays neutral with regard to jurisdictional claims in published maps and institutional affiliations. |
© 2022 by the authors. Licensee MDPI, Basel, Switzerland. This article is an open access article distributed under the terms and conditions of the Creative Commons Attribution (CC BY) license (https://creativecommons.org/licenses/by/4.0/).







