Abstract
A few components used in the aerospace and petrochemical industries serve in corrosive environments at high temperatures. Corrosion-resistant metals or unique processes, such as coating and fusion welding, are required to improve the performance of the parts. We have used laser powder bed fusion (LPBF) technology to deposit a 5 mm thick corrosion-resistant CoCrMo layer on a high-strength IN625 substrate to improve the corrosion resistance of the core parts of a valve. This study found that when the laser volumetric energy density (EV) ≤ 20, the tensile strength increases linearly with the increase in EV, and the slope of the curve is approximately 85°. The larger the slope, the greater the impact of EV on the intensity. When EV > 20, the sample strength reaches the maximum tensile strength. When the EV increases from 0 to 20, the fracture position of the sample shifts from CoCrMo to IN625. When EV ≤ 38, the strain increases linearly with the increase in EV, and the slope of the curve is approximately 67.5°. The sample strain rate reaches the maximum when EV > 38. Therefore, for an optimal sample strength and strain, EV should be greater than 38. This study provides theoretical and technical support for the manufacturing of corrosion-resistant dissimilar metal parts using LPBF technology.
1. Introduction
Most of the components in the aerospace, nuclear and petrochemical industries work in harsh and challenging environments, making them extremely vulnerable to corrosion and thermal fatigue [1,2,3]. For example, the chemical plant maintenance team at a large global petrochemical company noticed a requirement for frequent repairs and replacement of valve components, since the plant was operating with acidic fluids with solid-liquid two-phase flow, see Figure 1. This resulted in excessive downtime [4,5,6]. The common methods to enhance corrosion resistance include cold/hot coating, fusion welding, etc. However, for long-serving components such as valves, the above-mentioned dissimilar alloy joining technologies are usually ineffective. This is attributed to the thin and erosion-prone nature of corrosion-resistant alloy coatings, along with weak interfaces between the alloys. LPBF is a feasible alternative to firmly combine the two metals [7,8,9]. To enhance the lifespan of the existing valves, we employed LPBF technology to deposit a 5 mm thick CoCrMo layer onto the base of an IN625 (Inconel 625) valve core. This will significantly enhance their durability and performance in corrosive environments [10,11,12]. Therefore, this technology represents a significant advancement in safeguarding the integrity of petrochemical processes and reducing the economic risks associated with corrosion-related failures [13,14,15].
Figure 1.
(a) Pipeline systems in the chemical industry; (b) ball valve; (c) valve seat ring.
LPBF enables the fabrication of multi-metal components by selectively depositing different metal powders in precise patterns [16,17]. Various metal combinations can be explored to create synergistic effects that enhance corrosion resistance [18]. For example, stainless steel combined with tungsten-based alloys can provide excellent corrosion resistance in marine and chemical environments [19]. It can also be combined with chromium to improve its corrosion resistance and passivation capacity [20]. Titanium integrated with aluminium can create components with enhanced corrosion resistance for biomedical or electronic applications [21,22]. In the study conducted by Fu et al., SUS301L-MT cold rolled stainless steel served as the base material. Laser-arc hybrid welding (LAHW) was used for the joining process. They observed that in base metal and heat-affected zones (HAZs), hydrogen-induced cracks initiated at the α′/γ interface and propagated along the austenite grain boundaries. The cracks tend to start in regions with a higher hydrogen concentration and strain, followed by microcrack formation at the crack tip due to hydrogen-enhanced local plastic deformation or hydrogen-enhanced decohesion mechanisms, ultimately leading to failure due to hydrogen embrittlement [23,24]. At present, most commercial LPBF systems use continuous wave (CW) lasers as the main heating source. A limited number of industrial systems prefer to use a pulsed wave (PW) laser as the heating source [25,26,27].Based on the specific application, there are significant advantages to both of these types of lasers. When the duty cycle of the PW laser is less than 1.0, a small melt pool with a large temperature gradient is created. Conversely, a PW laser with a duty cycle of 1.0 is essentially equivalent to a CW laser, thus resulting in a larger melt pool and slower cooling rates. The variation in heat input between PW and CW lasers leads to the differences in microstructure and material properties of metals [15,28,29,30]. The precise control over laser energy and the ability to create short, intense pulses help minimize the HAZ in LPBF, thus reducing the risk of thermal distortion and stress. It also contributes to smoother surface finishes on printed parts due to their ability to produce fine melt tracks. Process parameters, including pulse duration, pulse energy, and scanning speed, must be carefully optimized for specific materials and part geometries to achieve the desired results [31,32,33].
Corrosion-resistant valves are vital assets within the petrochemical industry, serving as critical components in the safe and efficient operation of various processes. They play a pivotal role in safeguarding the integrity of petrochemical infrastructures. Corrosion-related valve failures can lead to unplanned shutdowns and production interruptions, resulting in substantial financial losses. Corrosion-resistant valves reduce the risk of such occurrences, ensuring continuous and efficient production processes. The innovative application of LPBF with a PW laser to selectively clad CoCrMo onto IN625 valves creates highly customized corrosion-resistant coatings [34,35,36]. CoCrMo is chosen for its exceptional resistance to corrosion, enhancing the longevity and reliability of IN625 valves, which are renowned for their high-temperature and corrosion-resistant properties. However, the mechanical properties of IN625/CoCrMo interfaces fabricated with the help of commercial PW lasers have not been studied in the existing literature. The effect of PW lasers on multi-metal LPBF has also not been studied in extensive detail [37,38]. Moreover, there are not many studies on the mechanical and metallurgical characteristics of IN625/CoCrMo interfaces fabricated by Selective Laser Melting (SLM). The primary factor affecting the strength of the IN625/CoCrMo interface is the input laser energy density. Insufficient melting of the CoCrMo powder due to a lower laser energy density may lead to bonding failure. High laser energy density may cause the formation of pores along the IN625/CoCrMo interface, thereby reducing product quality and production efficiency.
In this paper, we studied the relationship between the volumetric energy density and tensile strength of an IN625/CoCrMo interface fabricated via LPBF using PW lasers. We have highlighted the effect of the change in process parameters (viz. laser power, point distance, scan velocity and exposure time) on the tensile strength and volumetric energy density. We have also extensively analysed the relationship between the effect of remelting the first three layers of powder over the substrate and the maximum tensile strength. Finally, we aim to find the optimum volumetric energy density to fabricate a corrosion-resistant valve with high strength.
2. Materials and Methods
2.1. LPBF Process Parameters
We used a Renishaw AM400 LPBF device (Renishaw, Tokyo, Japan) to print CoCrMo blocks on the IN625 substrate. The particle size range of CoCrMo powder is 10–45 µm. The AM400 uses a fibre laser with a wavelength of 1070 nm and a laser diameter of 70 μm, operating in a power-modulated PW mode. In PW mode, AM400 can control laser power, point distance, exposure time and hatch spacing (Figure 2). Table 1 lists the 27 process parameter combinations used in this experiment. Scan velocity V is the ratio of point distance (Dp) to exposure time (Et) and ranges from 0.36 to 2.00 m/s. The laser scan direction was rotated by 90° after each layer of powder was printed, and no boundary scan was applied. In this study, the powder layer thickness (T) is 60 µm, and the hatch distance () is 80 µm. In comparison with the CW laser, the energy input of the PW laser is intermittent. The volumetric energy density is an important parameter to measure the laser energy input. For the EV of a CW laser emitter, Equation (1) is to be referred to [32]. The high-quality part printing parameters for CoCrMo powder are P = 200, Dp = 70 μm and Et = 80 μs. Using the values mentioned above, regular parameters are selected within a certain range for printing and testing. The objective is to identify a high-strength parameter combination for the interface between CoCrMo and IN625. For pulsed laser transmitters, Equation (1) needs to be modified to Equation (2) to quantify the parameter combinations shown in Table 1 [39].
Figure 2.
Working principle and key parameters of pulsed wave laser.
Table 1.
LPBF process parameters and test result.
In the above equations, P denotes the laser power, is the hatch spacing, V is the scan velocity, is the point distance, and refers to the exposure time. Equation (2) adds the duty cycle term δ, ranging from 0.0 and 1.0, which serves as a multiplier to account for the PW exposure parameter. According to the study by Brown et al., the exposure times of 50 μs, 80 μs, and 110 μs correspond to duty cycles of 0.54, 0.75, and 0.90, respectively [13]. The was calculated by Equation (2) and is listed in Table 1.
When printing CoCrMo onto IN625 substrate, the differences in thermophysical properties and composition between the two metal alloys may weaken the areas near the interface. We executed the process parameters listed in Table 1 to examine this concept through the following two approaches. The initial approach entails printing the powder layer by layer without laser remelting, while the second approach involves remelting the initial three layers of powder once, with no remelting operation for the subsequent powder layers.
2.2. Tensile Test
To enhance the surface quality and eliminate visible surface cracks, all samples underwent initial polishing using 220 and 500 SiC grit papers before the commencement of the tensile tests. The ultimate tensile strength of the polished tensile samples was analysed using a Shimadzu Autograph AG-X Plus 10Kn (Shimadzu, Kyoto, Japan) (Figure 3). Fixtures were securely attached to the upper and lower arms of the tensile machine holders. The gauge length of the tensile sample was set to 1 cm. By employing a non-contact digital video extensometer called TRViewX (Shimadzu, Kyoto, Japan) along with specialized software, optimal lighting conditions were maintained for various specimen types. With an exceptional precision of 1.5 µm, the extensometer could detect even the slightest changes in specimen elongation. Calibration ensured an accurate measurement of the longitudinal strain between the designated markers. Vernier callipers were utilized to determine the width and thickness of the tensile samples, and these measurements were entered into the software. Pre-loading of the sample to 10 N was conducted. Subsequently, a steadily increasing tensile force was applied until the sample reached the point of fracture. This procedure was iterated for all 54 samples, and the fracture location for each specimen was documented. Fractures could either occur towards the IN625 or CoCrMo end of the sample, or precisely at the interface. We printed two samples for the tensile testing of each set of process parameters listed in Table 1. The average of the two tests is shown in Table 1.
Figure 3.
Schematic of (a) sample dimensions and (b) equipment for tensile testing.
3. Results and Discussion
Since each material has a specific laser absorbance and thermal properties, extensive experimental work must be carried out to obtain the processing windows for novel material systems. These processing parameters are crucial to produce parts with desired properties. Figure 4, Figure 5 and Figure 6 show the stress–strain curves of samples under different parameters. Figure 7 shows the effect of volumetric energy density on stress and strain.
Figure 4.
Stress–strain curve of IN625/CoCrMo sample with laser power of 250 W. (a) No remelting of the first three layers of powder above the substrate; (b) laser remelting of the first three layers of powder above the substrate.
Figure 5.
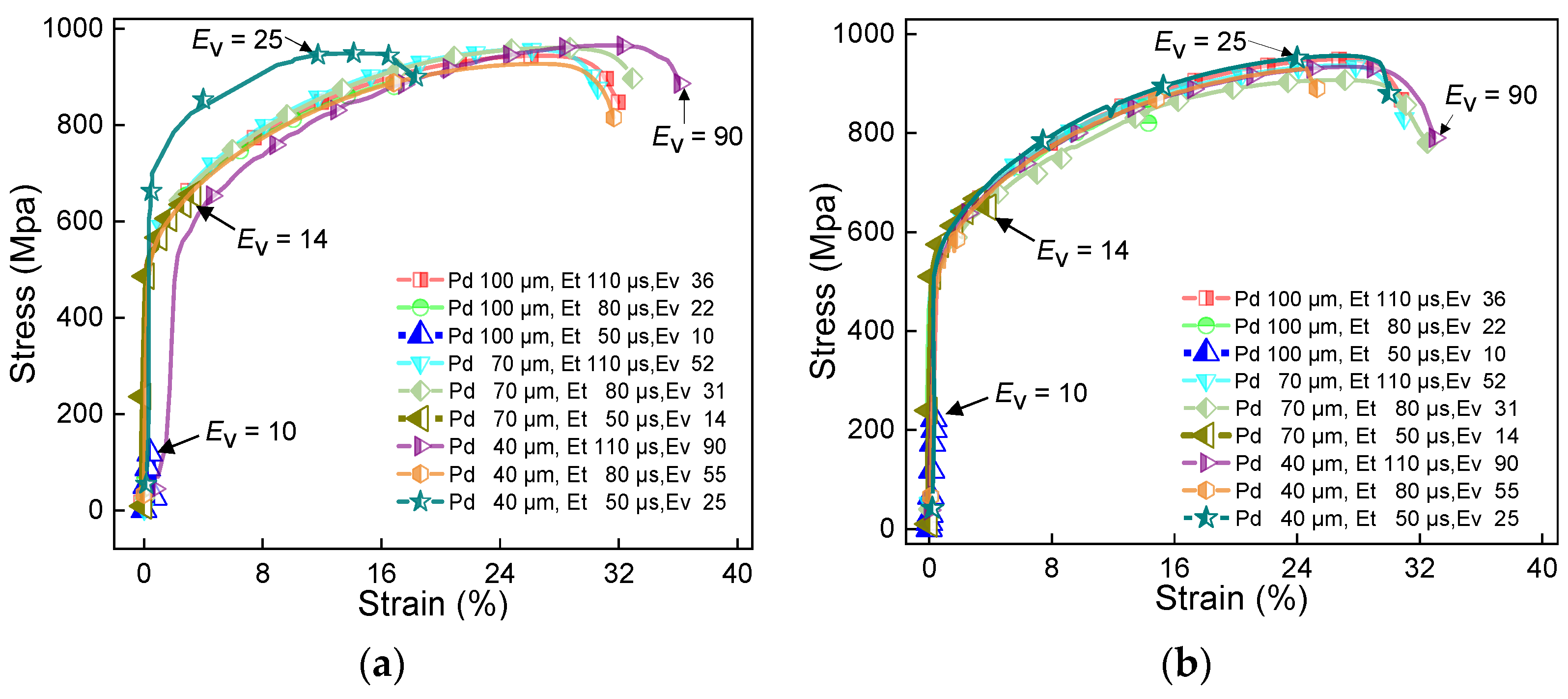
Stress–strain curve of IN625/CoCrMo sample with laser power of 200 W. (a) No remelting of the first three layers of powder above the substrate; (b) laser remelting of the first three layers of powder above the substrate.
Figure 6.
Stress–strain curve of IN625/CoCrMo sample with laser power of 175 W. (a) No remelting of the first three layers of powder above the substrate; (b) laser remelting of the first three layers of powder above the substrate.
Figure 7.
Variation of (a) tensile strength and (b) strain of IN625/CoCrMo sample with volumetric energy density EV. The right side of (a,b) represents the single-track surface topography (blue-green images) and pores (gray images) near the interface, corresponding to different EV. The light-gray thick line in (a) represents the limiting strength of pure IN625 (940 MPa). The light-yellow thick line in (a,b) represents the trend of the stress and strain variation.
Figure 4, Figure 5 and Figure 6 show the stress–strain curves under different laser powers. These figures analyse the effect of laser power on the performance of the sample. In Figure 4, Figure 5 and Figure 6, (a) represents the samples with no remelting of any layers, and (b) represents the samples whose first three layers above the substrate were remelted. This was done to analyse the effect of laser scanning strategies on the sample performance. By comparing (a) and (b) in Figure 4, Figure 5 and Figure 6, it can be observed that a particular pattern is followed by the stress–strain curves, irrespective of the remelting of the first three layers of CoCrMo powder. When EV ≤ 20, the volumetric energy density has a significant impact on the tensile strength, ranging from 40 MPa to 940 MPa. However, the overall strain values are relatively small at this stage. From the curves, it can be inferred that a higher EV results in a higher tensile strength. When EV ≤ 38, it has a greater impact on strain, ranging from 10% to 30%. When EV > 38, the stress–strain behaviour becomes more stable, and the maximum tensile strength is extremely close to the ultimate tensile strength of pure IN625 (i.e., 940 MPa). The detailed strength and strain results can be obtained from Table 1.
If we compare the curves in Figure 7a,b, we can observe that the stress–strain curves after remelting are more stable, and the curves are clustered more tightly. For instance, in Figure 4a, the stress–strain curves at EV = 20, 31, 52, and 78 deviate from the clustered curves. In Figure 4b, only the curve with EV = 31 deviates from the clustered curves. Similar patterns are also observed in Figure 5 and Figure 6. Since remelting promotes the fusion of the two metals near the interface, the transition of physical properties near the interface is smoother, resulting in more concentrated stress–strain curves of the first three layers of remelted samples. When EV ≤ 20, inadequate powder melting makes the bonding of the two metal alloys near the interface more challenging. Remelting enhances the diffusion and bonding between the two metal alloys, thus improving the interface quality. Therefore, the stress–strain curves after remelting are more tightly clustered than the ones with no remelting. However, in a few cases, we observed that the stress–strain curves primarily follow the mechanical properties of IN625 and are less influenced by the interface region.
For a more detailed understanding of the effect of EV on the stress and strain of the samples, we used the data from Figure 4, Figure 5 and Figure 6 to create Figure 7. From Figure 7a, it can be observed that when EV ≤ 20, the tensile strength increases linearly with the increase in EV, and the slope of the line is close to 85° (light-yellow line). When EV > 20, the sample strength reaches the ultimate tensile strength of IN625, and subsequently it fractures. Sample analysis (laser microscopy images on the right side of Figure 7a) reveals that when EV ≤ 15, the powder is not fully melted, resulting in fracture near the interface of the CoCrMo end. When 15 < EV ≤ 20, fracture occurs near the interface. This is due to the increased volumetric energy density, leading to more uniform and increased powder melting, thereby enhancing the strength of CoCrMo. At this point, the strength of the sample near the interface is lower as compared to IN625 and CoCrMo. This is due to the incomplete melting and intermixing of the two metal alloys. When EV > 20, fracture occurs towards the IN625 side, since the volumetric energy density is sufficiently high to fully melt the CoCrMo powder, thus resulting in a densely-packed-CoCrMo three-dimensional sample. In this case, the IN625 side becomes the weaker region. In Figure 7b, when EV ≤ 38, the strain increases linearly with the increase in EV, and the slope of the line is close to 67.5° (light-yellow line). When EV > 38, the strain reaches the ultimate tensile stress of IN625 and subsequently fractures.
Wen et al. used LPBF to fabricate compositionally graded alloy (CGA) (viz. CoCrMo/Inconel 718) similar to our research samples [40]. In their study, they introduced a novel approach for the LPBF of large-scale alloy components with continuous compositional gradients along their length. This method was demonstrated by successfully manufacturing defect-free CoCrMo-Nickel-based CGA superalloy coupons with smooth end-to-end variations in composition and microstructure. To explain the variations in tensile properties and hardness measured using high-throughput characterization techniques, they conducted detailed microscopic analysis of the various phases present in the microstructures. Their meticulous research significantly contributes to the comprehension and analysis of the results presented in this paper. Our current paper analyses the effects of scanning parameters and strategies on the strength and strain of the CoCrMo/IN625 interface. In future research, we will focus on analysing the effects of the alloying degree and microstructure on the fracture mechanism.
4. Conclusions
In this study, we found the ideal volumetric energy density to deposit a layer of CoCrMo on an IN625 valve via LPBF. CoCrMo powder was printed on an IN625 substrate. A total of 27 printing parameters and 2 melting modes were studied. Detailed analysis on the relation between EV and tensile strength was presented. The changes in the stress–strain curves of multi-metal samples and the influence of volumetric energy density on stress and strain were analysed.
The results showed that when EV ≤ 20, the tensile strength increases linearly with the increase in EV, and the slope of the curve is approximately 85°. When EV > 20, the sample strength reaches its maximum and is equal to the ultimate tensile strength of IN625. Further analysis revealed that when EV ≤ 15, the excessively low volumetric energy density results in fracture that occurs on the CoCrMo side of the interface. When 15 < EV ≤ 20, fracture occurs near the interface due to the increased volumetric energy density. At this point, the strength near the interface is lower due to the incomplete melting and intermixing of the two metallic alloys. When EV > 20, fractures occur on the IN625 side, since the volumetric energy density is sufficiently high to fully melt the CoCrMo powder. Therefore, the IN625 side becomes the weaker region in this case. When EV ≤ 38, the strain increases linearly with the increase in EV, and the slope of the curve is approximately 67.5°. When EV > 38, the maximum strain is reached, and the sample subsequently fractures. The observations and conclusions summarised in this study can be effectively used to fabricate corrosion-resistant valves operating in petrochemical industries under highly acidic conditions.
Author Contributions
Conceptualization, L.Y. and Z.X.; Data curation, A.R., Q.Z. and Z.F.; Writing—Original draft preparation, L.Y., G.L. and A.R.; Writing—Review and editing, Z.X. and J.Q. All authors have read and agreed to the published version of the manuscript.
Funding
This research was funded by Singapore Centre for 3D Printing (SC3DP) [001163-00010]; State Key Laboratory of Robotics and Systems (HIT) [SKLRS-2023-KF-24]; State Key Laboratory of Infrared Physics [SITP-NLIST-YB-2023-16]; National Key Research and Development Program of China [2022YFB460001602]; and International Scientific and Technological Cooperation project [GUIQ0700500523].
Institutional Review Board Statement
Not applicable.
Informed Consent Statement
Not applicable.
Data Availability Statement
Not applicable.
Acknowledgments
We would like to acknowledge the reviewers for the helpful advice and comments provided.
Conflicts of Interest
The authors declare no conflict of interest.
References
- Yao, L.; Xiao, Z.; Huang, S.; Ramamurty, U. The Formation Mechanism of Metal-Ceramic Interlayer Interface During Laser Powder Bed Fusion. Virtual Phys. Prototyp. 2023, 18, e2235324. [Google Scholar] [CrossRef]
- Bodner, S.C.; Hlushko, K.; Van De Vorst, L.; Meindlhumer, M.; Todt, J.; Nielsen, M.A.; Hooijmans, J.; Saurwalt, J.; Mirzaei, S.; Keckes, J. Graded Inconel-Stainless Steel Multi-Material Structure by Inter-and Intralayer Variation of Metal Alloys. J. Mater. Res. Technol. 2022, 21, 4846–4859. [Google Scholar] [CrossRef]
- Yao, L.; Liu, Y.; Xiao, Z.; Chen, Y. An Algorithm Combining Sedimentation Experiments for Pipe Erosion Investigation. Energy 2023, 270, 126891. [Google Scholar] [CrossRef]
- Tanwar, R.S.; Jhavar, S. A Review on Additive Manufacturing of Ss-Ni Multi-Material Fabrication. In Materials Today: Proceedings; Elsevier: Amsterdam, The Netherlands, 2023. [Google Scholar]
- Yao, L.; Ramesh, A.; Xiao, Z.; Chen, Y.; Zhuang, Q. Multimetal Research in Powder Bed Fusion: A Review. Materials 2023, 16, 4287. [Google Scholar] [CrossRef] [PubMed]
- Ranaweera, P.; Weerasinghe, D.; Fernando, P.; Raman, S.N.; Mohotti, D. Ballistic Performance of Multi-Metal Systems. Int. J. Prot. Struct. 2020, 11, 379–410. [Google Scholar] [CrossRef]
- Yao, L.; Xiao, Z.; Ramesh, A.; Zhang, Y. On the Melt Pool Flow and Interface Shape of Dissimilar Alloys Via Selective Laser Melting. Int. Commun. Heat Mass Transf. 2023, 145, 106833. [Google Scholar] [CrossRef]
- Xing, L.; Quanjie, W.; Qirui, Z.; Yingchun, G.; Wei, Z. Interface Analyses and Mechanical Properties of Stainless Steel/Nickel Alloy Induced by Multi-Metal Laser Additive Manufacturing. J. Manuf. Process. 2023, 91, 53–60. [Google Scholar] [CrossRef]
- Xiang, D.; Sui, X.; Tan, X.; Hao, J.; Wang, Z.; Liao, Z.; Liu, W.; Tor, S. Improving Biotribological Properties and Corrosion Resistance of Cocrmo Alloy Via a Cr-Glc Nanocomposite Film in Simulated Body Fluids. Surf. Coat. Technol. 2019, 378, 124840. [Google Scholar] [CrossRef]
- Diljith, P.; Jinoop, A.; Paul, C.; Krishna, P.; Bontha, S.; Bindra, K. Understanding the Corrosion Behaviour of Laser Directed Energy Deposition-Based Additive Manufacturing Built Inconel 718 under Acidic Environments. Prog. Addit. Manuf. 2021, 6, 395–406. [Google Scholar] [CrossRef]
- Henriques, B.; Soares, D.; Silva, F. Microstructure, Hardness, Corrosion Resistance and Porcelain Shear Bond Strength Comparison between Cast and Hot Pressed Cocrmo Alloy for Metal–Ceramic Dental Restorations. J. Mech. Behav. Biomed. Mater. 2012, 12, 83–92. [Google Scholar] [CrossRef]
- Li, J.; Ren, H.; Liu, C.; Shang, S. The Effect of Specific Energy Density on Microstructure and Corrosion Resistance of Cocrmo Alloy Fabricated by Laser Metal Deposition. Materials 2019, 12, 1321. [Google Scholar] [CrossRef] [PubMed]
- Wei, C.; Li, L.; Zhang, X.; Chueh, Y.-H. 3d Printing of Multiple Metallic Materials Via Modified Selective Laser Melting. CIRP Ann. 2018, 67, 245–248. [Google Scholar] [CrossRef]
- Karthik, G.; Asghari-Rad, P.; Sathiyamoorthi, P.; Zargaran, A.; Kim, E.S.; Kim, T.S.; Kim, H.S. Architectured Multi-Metal Cocrfemnni-Inconel 718 Lamellar Composite by High-Pressure Torsion. Scr. Mater. 2021, 195, 113722. [Google Scholar] [CrossRef]
- Brown, B.; Newkirk, J.; Liou, F. Absorption of Nitrogen During Pulsed Wave L-Pbf of 17-4 Ph Steel. Materials 2021, 14, 560. [Google Scholar] [CrossRef] [PubMed]
- Xiong, R.; Kwon, H.; Karthik, G.; Gu, G.H.; Asghari-Rad, P.; Son, S.; Kim, E.S.; Kim, H.S. Novel Multi-Metal Stainless Steel (316l)/High-Modulus Steel (Fe-Tib2) Composite with Enhanced Specific Modulus and Strength Using High-Pressure Torsion. Mater. Lett. 2021, 303, 130510. [Google Scholar] [CrossRef]
- Yao, L.; Xiao, Z.; Hoo, Z.; Tang, C.; Qiao, J.; Zhang, Y. Mechanism Analysis of Grain Growth Dominated by Alloy Composition Gradients During Powder Bed Fusion. Mater. Res. Lett. 2023, 11, 814–820. [Google Scholar] [CrossRef]
- Sundeev, R.; Shalimova, A.; Rogachev, S.; Chernogorova, O.; Glezer, A.; Ovcharov, A.; Karateev, I.; Tabachkova, N. Structural Aspects of the Formation of Multilayer Composites from Dissimilar Materials Upon High-Pressure Torsion. Materials 2023, 16, 3849. [Google Scholar] [CrossRef] [PubMed]
- Wei, C.; Gu, H.; Gu, Y.; Liu, L.; Huang, Y.; Cheng, D.; Li, Z.; Li, L. Abnormal Interfacial Bonding Mechanisms of Multi-Material Additive-Manufactured Tungsten–Stainless Steel Sandwich Structure. Int. J. Extrem. Manuf. 2022, 4, 025002. [Google Scholar] [CrossRef]
- Yang, H.; Xu, Z.; Peng, L.; Lai, X. High Ductility and Corrosion Resistance Chromium Gradient Stainless Steel for Fuel Cell Bipolar Plates Fabricated Via Laser Powder Bed Fusion. J. Mater. Process. Technol. 2023, 317, 118002. [Google Scholar] [CrossRef]
- Jamhari, F.I.; Foudzi, F.M.; Buhairi, M.A.; Muhamad, N.; Mohamed, I.F.; Sulong, A.B.; Radzuan, N.A.M. Impact of Hot Isostatic Pressing on Surface Quality, Porosity and Performance of Ti6al4v Manufactured by Laser Powder Bed Fusion: A Brief Review. J. Tribol. 2023, 36, 1–15. [Google Scholar]
- Borisov, E.; Polozov, I.; Starikov, K.; Popovich, A.; Sufiiarov, V. Structure and Properties of Ti/Ti64 Graded Material Manufactured by Laser Powder Bed Fusion. Materials 2021, 14, 6140. [Google Scholar] [CrossRef] [PubMed]
- Shuai, C.; Yang, W.; Yang, Y.; Gao, C.; He, C.; Pan, H. A Continuous Net-Like Eutectic Structure Enhances the Corrosion Resistance of Mg Alloys. Int. J. Bioprinting 2019, 5, 207. [Google Scholar] [CrossRef] [PubMed]
- Fu, Z.; Yang, B.; Shan, M.; Li, T.; Zhu, Z.; Ma, C.; Zhang, X.; Gou, G.; Wang, Z.; Gao, W. Hydrogen Embrittlement Behavior of Sus301l-Mt Stainless Steel Laser-Arc Hybrid Welded Joint Localized Zones. Corros. Sci. 2020, 164, 108337. [Google Scholar] [CrossRef]
- Biffi, C.; Fiocchi, J.; Bassani, P.; Tuissi, A. Continuous Wave Vs Pulsed Wave Laser Emission in Selective Laser Melting of Alsi10mg Parts with Industrial Optimized Process Parameters: Microstructure and Mechanical Behaviour. Addit. Manuf. 2018, 24, 639–646. [Google Scholar] [CrossRef]
- Assuncao, E.; Williams, S. Comparison of Continuous Wave and Pulsed Wave Laser Welding Effects. Opt. Lasers Eng. 2013, 51, 674–680. [Google Scholar] [CrossRef]
- Biffi, C.A.; Bassani, P.; Fiocchi, J.; Albu, M.; Tuissi, A. Selective Laser Melting of Alcu-Tib2 Alloy Using Pulsed Wave Laser Emission Mode: Processability, Microstructure and Mechanical Properties. Mater. Des. 2021, 204, 109628. [Google Scholar] [CrossRef]
- Kumar, S.P.; Elangovan, S.; Mohanraj, R.; Narayanan, V.S. Significance of Continuous Wave and Pulsed Wave Laser in Direct Metal Deposition. Mater. Today Proc. 2021, 46, 8086–8096. [Google Scholar] [CrossRef]
- Zou, X.; Yan, Z.; Zou, K.; Zhang, S.G.; Liu, W.; Song, L. Residual Stress Control of 316 L Stainless Steel Using Pulsed-Wave Laser Additive Manufacturing. Opt. Laser Technol. 2022, 150, 107910. [Google Scholar] [CrossRef]
- Zhang, H.; Zou, Y.; Zou, Z.; Zhao, W. Comparative Study on Continuous and Pulsed Wave Fiber Laser Cladding in-Situ Titanium–Vanadium Carbides Reinforced Fe-Based Composite Layer. Mater. Lett. 2015, 139, 255–257. [Google Scholar] [CrossRef]
- Santos, E.C.; Shiomi, M.; Osakada, K.; Laoui, T. Rapid Manufacturing of Metal Components by Laser Forming. Int. J. Mach. Tools Manuf. 2006, 46, 1459–1468. [Google Scholar] [CrossRef]
- Olakanmi, E.O.; Cochrane, R.F.; Dalgarno, K.W. A Review on Selective Laser Sintering/Melting (Sls/Slm) of Aluminium Alloy Powders: Processing, Microstructure, and Properties. Prog. Mater. Sci. 2015, 74, 401–477. [Google Scholar] [CrossRef]
- Dalgarno, K.; Wright, C. Approaches to Processing Metals and Ceramics through the Laser Scanning of Powder Beds-a Review. Powder Metall. Prog. 2001, 1, 70–79. [Google Scholar]
- Hojjatzadeh, S.M.H.; Guo, Q.; Parab, N.D.; Qu, M.; Escano, L.I.; Fezzaa, K.; Everhart, W.; Sun, T.; Chen, L. In-Situ Characterization of Pore Formation Dynamics in Pulsed Wave Laser Powder Bed Fusion. Materials 2021, 14, 2936. [Google Scholar] [CrossRef] [PubMed]
- Jiang, M.; Li, B.; Chen, X.; Tan, C.; Lei, Z.; Zhao, S.; Chen, Y. Numerical Study of Thermal Fluid Dynamics and Solidification Characteristics During Continuous Wave and Pulsed Wave Laser Welding. Int. J. Therm. Sci. 2022, 181, 107778. [Google Scholar] [CrossRef]
- Yan, Z.; Song, L.; Liu, W.; Zou, X.; Zhou, Z. Numerical Analysis of Thermal Stress Evolution of Pulsed-Wave Laser Direct Energy Deposition. Int. J. Adv. Manuf. Technol. 2021, 115, 1399–1410. [Google Scholar] [CrossRef]
- Ding, X.; Wang, L. Heat Transfer and Fluid Flow of Molten Pool During Selective Laser Melting of Alsi10mg Powder: Simulation and Experiment. J. Manuf. Process. 2017, 26, 280–289. [Google Scholar] [CrossRef]
- Zhang, Z.; Zhao, Y.; Chen, Y.; Su, Z.; Shan, J.; Wu, A.; Sato, Y.S.; Gu, H.; Tang, X. The Role of the Pulsed-Wave Laser Characteristics on Restraining Hot Cracking in Laser Cladding Non-Weldable Nickel-Based Superalloy. Mater. Des. 2021, 198, 109346. [Google Scholar] [CrossRef]
- Simchi, A.; Pohl, H. Effects of Laser Sintering Processing Parameters on the Microstructure and Densification of Iron Powder. Mater. Sci. Eng. A 2003, 359, 119–128. [Google Scholar] [CrossRef]
- Wen, Y.; Zhang, B.; Narayan, R.; Wang, P.; Song, X.; Zhao, H.; Ramamurty, U.; Qu, X. Laser Powder Bed Fusion of Compositionally Graded Cocrmo-Inconel 718. Addit. Manuf. 2021, 40, 101926. [Google Scholar] [CrossRef]
Disclaimer/Publisher’s Note: The statements, opinions and data contained in all publications are solely those of the individual author(s) and contributor(s) and not of MDPI and/or the editor(s). MDPI and/or the editor(s) disclaim responsibility for any injury to people or property resulting from any ideas, methods, instructions or products referred to in the content. |
© 2023 by the authors. Licensee MDPI, Basel, Switzerland. This article is an open access article distributed under the terms and conditions of the Creative Commons Attribution (CC BY) license (https://creativecommons.org/licenses/by/4.0/).






