Investigation on Three-Dimensional Void Mesostructures and Geometries in Porous Asphalt Mixture Based on Computed Tomography (CT) Images and Avizo
Abstract
:1. Introduction
2. Evaluation Method of 3D Void Mesostructures for Porous Pavement
2.1. Porous Media Properties of PA Pavement
- (a)
- As shown in Figure 1, porous media is a collection of interconnected units composed of a large number of solid substances (such as mineral particles in porous asphalt mixtures), which are continuous on the macroscopic level and randomly distributed on the microscopic level.
- (b)
- The space in a porous medium is filled with a type of substance or multi-phase substance, where at least one phase of the substance is non-solid and can be a gas or liquid phase. The sum of interconnected solid-phase units in porous media is called the solid-phase matrix (skeleton or porous matrix), and the remaining components are called voids or pores.
- (c)
- As a porous medium, the pore structure of a porous asphalt mixture can be divided into three types according to the type of connection between the pores and the external space, namely connected pores, semi-connected pores, and isolated pores [26]. For porous asphalt mixtures with drainage properties, the disconnected pores can be considered part of the solid matrix. As a matter of fact, isolated pores and semi-connected pores are ineffective at allowing fluid to pass through porous media.
2.2. Void Anisotropic Distribution Characteristics
2.3. Mesoscopic Evaluation Index of Anisotropy
2.3.1. Porosity
2.3.2. Connected Porosity
2.3.3. Equivalent Diameter of Pore Throat
2.3.4. Tortuosity
3. CT Scan and Three-Dimensional Reconstruction of Pores
3.1. Sample Preparation
3.2. CT Scanning Test
3.3. Image Processing
3.3.1. Image Noise Reduction
3.3.2. Determine the Optimal Threshold
3.3.3. Image Segmentation Using Avizo
3.4. Three-Dimensional Reconstruction of Pores
4. Results and Discussion
4.1. Quantitative Characterization of Pore Mesostructures
4.2. Topological Structure Analysis of Pore Network Model
4.3. Three-Dimensional Microscopic Morphological Characteristics of Connected Pores
5. Conclusions
- Based on MATLAB R2021b and Avizo 9.5.0 software, threshold selection and image processing were performed on the original CT scan image, image filtering was implemented, the optimal threshold for image segmentation was determined, and a three-dimensional numerical model of the specimen was constructed. The 3D model of the pore (REV-3) was extracted using mesomechanical analysis methods, model simplification, and the Axis Connectivity algorithm.
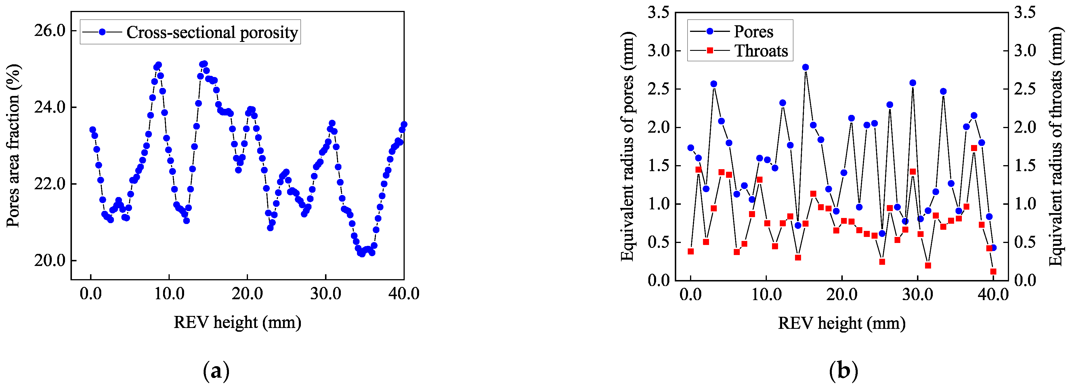
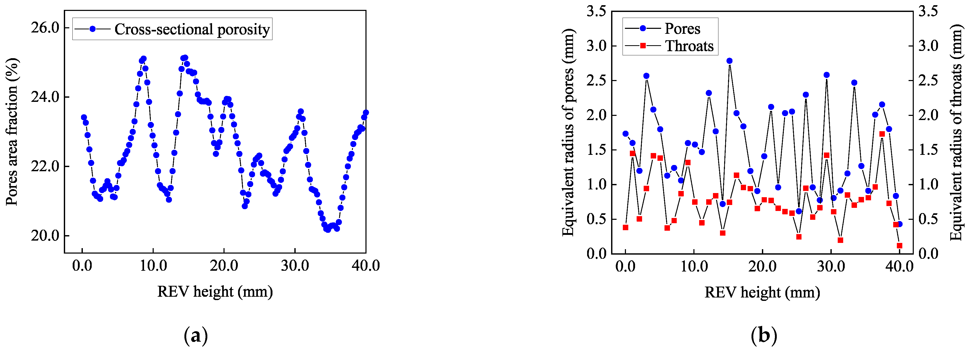
- The distribution pattern of cross-sectional porosity, the ER of the pore and throat, was quantitatively characterized through the anisotropic mesoscopic evaluation index. The results showed that the cross-sectional porosity is mainly distributed between 20% and 25%, and about 90% of the macropores have a diameter between 0.5 mm and 3 mm. The distribution of porosity is uneven along the REV height direction. As the smallest cross-section of the seepage path, the ER of the throat is mainly between 0.1 mm and 1.5 mm, which is much smaller than the ER of the pore.
- The topological spatial structure of pores is quite different, and their coordination numbers are mainly concentrated within 18. The pores with coordination numbers 1 to 10 constitute the main body of the pores inside REV, accounting for over 98% of the total number of pores. In addition, the permeability calculation results show that there is a significant difference in the permeability of each axis of REV compared to the total permeability of the specimen, which illustrates that the permeability distribution of REV presents an obvious spatial anisotropy. In order to further explore the anisotropic seepage mechanism of drainage asphalt pavement at the mesoscopic scale, in the follow-up work, a numerical simulation study of pore seepage will be carried out based on the three-dimensional reconstruction model of a real porous asphalt mixture specimen.
- The three-dimensional morphological characteristics of connected pores were analyzed based on parameters such as minimum section area, throat equivalent diameter, throat length, and tortuosity. The results exhibit that the minimum section area and tortuosity of connected pores have a greater impact on the seepage characteristics of porous asphalt mixtures. Compared with the latter, the minimum section area has a more significant impact on the water seepage performance of the PA mixture.
Author Contributions
Funding
Institutional Review Board Statement
Informed Consent Statement
Data Availability Statement
Conflicts of Interest
References
- Alvarez, A.E.; Martin, A.E.; Estakhri, C. Drainability of permeable friction course mixtures. J. Mater. Civ. Eng. 2010, 22, 556–564. [Google Scholar] [CrossRef]
- Qian, N.G.; Wang, D.Y.; Li, D.N.; Shi, L.W. Three-dimensional mesoscopic permeability of porous asphalt mixture. Constr. Build. Mater. 2020, 236, 117430. [Google Scholar] [CrossRef]
- Jin, C.; Zhang, W.X.; Yang, X.; Liu, K. Region-based adaptive asphalt mixture microstructural modeling for efficient numerical simulation. Constr. Build. Mater. 2020, 257, 119431. [Google Scholar] [CrossRef]
- Chen, S.Y.; You, Z.P.; Yang, S.L.; Zhou, X.D. Prediction of the coefficient of permeability of asphalt mixtures using the lattice Boltzmann method. Constr. Build. Mater. 2020, 240, 117896. [Google Scholar] [CrossRef]
- Jiang, W.; Sha, A.M.; Xiao, J.J. Experimental study on relationships among composition, microscopic void features, and performance of porous asphalt concrete. J. Mater. Civ. Eng. 2015, 27, 04015028. [Google Scholar] [CrossRef]
- Zhao, Y.; Tong, L.; Zhu, Y. Investigation on the properties and distribution of air voids in porous asphalt with relevance to the Pb (II) removal performance. Adv. Mater. Sci. Eng. 2019, 10, 4136295. [Google Scholar] [CrossRef]
- Liu, T.; Zhang, X.; Li, Z.; Chen, Z.Q. Research on the homogeneity of asphalt pavement quality using X-ray computed tomography (CT) and fractal theory. Constr. Build. Mater. 2014, 68, 587–598. [Google Scholar] [CrossRef]
- Pang, Y.; Hao, P.W. A review of water transport in dense-graded asphalt mixtures. Constr. Build. Mater. 2017, 156, 1005–1018. [Google Scholar] [CrossRef]
- Ahmad, K.A.; Hassan, N.A.; Abdullah, M.E.; Bilema, M.; Usman, N.; Allam, A.; Bin, H.M. Image processing procedure to quantify the internal structure of porous asphalt concrete. Multidiscip. Model. Mater. Struct. 2019, 15, 206–226. [Google Scholar] [CrossRef]
- Lamandé, M.; Schjonning, P.; Dal, F.N.; Morari, F. Soil pore system evaluated from gas measurements and CT-images: A conceptual study using artificial, natural and 3D-printed soil cores. Eur. J. Soil Sci. 2021, 72, 769–781. [Google Scholar] [CrossRef]
- Cheng, Z.; Wang, J.F.; Zhou, B.; Xiong, W. The micro-mechanical behaviour of sand–rubber mixtures under shear: A numerical study based on X-ray micro-tomography. Comput. Geotech. 2023, 163, 105714. [Google Scholar] [CrossRef]
- Xiong, W.; Wang, J.F.; Wu, M.M. Data-driven constitutive modelling of granular soils considering multiscale particle morphology. Comput. Geotech. 2023, 162, 105699. [Google Scholar] [CrossRef]
- Cui, P.D.; Wu, S.P.; Xiao, Y.; Niu, Y.Y.; Yuan, G.M.; Lin, J.T. 3D reconstruction of moisture damage resulted volumetric changes in porous asphalt mixture. Constr. Build. Mater. 2019, 228, 116658. [Google Scholar] [CrossRef]
- Li, T.S.; Liu, P.F.; Du, C.; Schnittcher, M.; Hu, J.; Wang, D.W.; Oeser, M. Microstructure analysis of the effects of compaction on fatigue properties of asphalt mixtures. Int. J. Pavement Eng. 2022, 23, 9–20. [Google Scholar] [CrossRef]
- Xu, H.N.; Yao, X.A.; Wang, D.W.; Tan, Y.Q. Investigation of anisotropic flow in asphalt mixtures using the X-ray image technique: Pore structure effect. Road Mater. Pavement Des. 2019, 20, 491–508. [Google Scholar] [CrossRef]
- Lu, S.F.; Wang, Y.X.; Ma, M.Y.; Xu, L. Water seepage characteristics in porous media with various conduits: Insights from a multi-scale Darcy-Brinkman-Stokes approach. Comput. Geotech. 2023, 157, 105317. [Google Scholar] [CrossRef]
- Bird, M.B.; Butler, S.L.; Hawkes, C.D.; Kotzer, T. Numerical modeling of fluid and electrical currents through geometries based on synchrotron X-ray tomographic images of reservoir rocks using Avizo and COMSOL. Comput. Geosci. 2014, 73, 6–16. [Google Scholar] [CrossRef]
- Fang, Y.; Yao, Z.S.; Xu, Y.J.; Li, X.W.; Liu, X.H.; Huang, X.W. Permeability evolution and pore characteristics of reactive powder concrete of drilling shaft with initial salt erosion damage. Constr. Build. Mater. 2023, 403, 133141. [Google Scholar] [CrossRef]
- Reza, N.S.; Shahin, K.; Aboozar, S.; Ali, R.K. Assessment of the theoretical models of effective thermal conductivity based on digital rock physics for clean sandstones. Geothermics 2023, 114, 102803. [Google Scholar]
- Raoof, A.; Nick, H.M.; Hassanizadeh, S.M.; Spiers, C.J. Poreflow: A complex pore-network model for simulation of reactive transport in variably saturated porous media. Comput. Geosci. 2013, 61, 160–174. [Google Scholar] [CrossRef]
- Arzilli, F.; Cilona, A.; Mancini, L.; Tondi, E. Using synchrotron X-ray microtomography to characterize the pore network of reservoir rocks: A case study on carbonates. Adv. Water Resour. 2016, 95, 254–263. [Google Scholar] [CrossRef]
- Li, J.; McDougall, S.R.; Sorbie, K.S. Dynamic pore-scale network model (PNM) of water imbibition in porous media. Adv. Water Resour. 2017, 107, 191–211. [Google Scholar] [CrossRef]
- Shi, L.W.; Wang, D.Y.; Xiao, X.; Qin, X. Meso-structural characteristics of asphalt mixture main skeleton based on meso-scale analysis. Constr. Build. Mater. 2020, 232, 117263. [Google Scholar] [CrossRef]
- Xiong, R.; Jiang, W.Y.; Yang, F.; Li, K.H.; Guan, B.W.; Zhao, H. Investigation of voids characteristics in an asphalt mixture exposed to salt erosion based on CT images. Materials 2019, 12, 3774. [Google Scholar] [CrossRef] [PubMed]
- Luo, R.; Tu, C.Z. Actual diffusivities and diffusion paths of water vapor in asphalt mixtures. Constr. Build. Mater. 2019, 207, 145–157. [Google Scholar] [CrossRef]
- Wang, Z.Q.; Xie, J.G.; Gao, L.; Liu, Y.P.; Tang, L. Three-dimensional characterization of air voids in porous asphalt concrete. Constr. Build. Mater. 2021, 272, 121633. [Google Scholar] [CrossRef]
- Masad, E.; Omari, A.A.; Chen, H.C. Computations of permeability tensor coefficients and anisotropy of asphalt concrete based on microstructure simulation of fluid flow. Comput. Mater. Sci. 2007, 40, 449–459. [Google Scholar] [CrossRef]
- Gruber, I.; Zinovik, I.; Holzer, L.; Flisch, A.; Poulikakos, L.D. A computational study of the effect of structural anisotropy of porous asphalt on hydraulic conductivity. Constr. Build. Mater. 2012, 36, 66–77. [Google Scholar] [CrossRef]
- Masad, E.; Tashman, L.; Somedavan, N.; Little, D. Micromechanics-based analysis of stiffness anisotropy in asphalt mixtures. J. Mater. Civ. Eng. 2002, 14, 374–383. [Google Scholar] [CrossRef]
- Oh, J.H.; Lytton, R.L.; Kim, N.S. Modeling of pavement response using nonlinear cross-anisotropy approach. KSCE J. Civ. Eng. 2005, 9, 458–468. [Google Scholar] [CrossRef]
- Motola, Y.; Uzan, J. Anisotropy of field-compacted asphalt concrete material. J. Test. Eval. 2006, 35, 103–105. [Google Scholar]
- Zhao, Y.J.; Wang, X.W.; Jiang, J.W.; Zhou, L. Characterization of interconnectivity, size distribution and uniformity of air voids in porous asphalt concrete using X-ray CT scanning images. Constr. Build. Mater. 2019, 213, 182–193. [Google Scholar] [CrossRef]
- Deng, H.Y.; Gu, X.Y.; Wang, X.W.; Wu, C.Y.; Zhu, C.D. Evaluation of high-temperature deformation of porous asphalt mixtures based on microstructure using X-ray computed tomography. Constr. Build. Mater. 2019, 227, 116623. [Google Scholar] [CrossRef]
- Lubloy, E.; Ambrus, D.; Kapitany, K.; Barsi, A. Air void distribution of asphalts determined by computed tomography. Period. Polytech.-Civ. 2015, 59, 503–510. [Google Scholar] [CrossRef]
- Zeng, X.H.; Chen, L.; Zheng, K.; Ling, C.B.; Zhu, H.S. Electrical resistivity and capillary absorption in mortar with styrene-acrylic emulsion and air-entrained agent: Improvement and correlation with pore structure. Constr. Build. Mater. 2020, 255, 119287. [Google Scholar] [CrossRef]
- JTG E20; Standard Test Methods of Bitumen and Bituminous Mixtures for Highway Engineering. Ministry of Transport of the People’s Republic of China: Beijing, China, 2011.
- CJJ/T 190; Technical Specification for Permeable Asphalt Pavement. Ministry of Housing and Urban-Rural Construction of the People’s Republic of China: Beijing, China, 2012.
- Zhang, X.H.; Sun, L.J.; Wang, B.; Pan, B. Effect of the number of projections in X-ray CT imaging on image quality and digital volume correlation measurement. Measurement 2022, 194, 111061. [Google Scholar]
- Gonzalez, R.C.; Woods, R.E.; Eddins, S.L. Digital Image Processing Using MATLAB; Publishing House of Electronics Industry: Beijing, China, 2005. [Google Scholar]
- Koestel, J.; Larsbo, M.; Jarvis, N. Scale and REV analyses for porosity and pore connectivity measures in undisturbed soil. Geoderma 2020, 366, 114206. [Google Scholar] [CrossRef]
- Cai, P.C.; Que, Y.; Li, X. COMSOL and AVIZO co-simulate on 3D mesoscopic seepage characteristics of soil. J. Fuzhou Univ. 2021, 49, 856–862. [Google Scholar]
- Wang, H.N.; Hao, P.W.; Lu, G.Y. Distribution properties of internal air voids in asphalt mixtures. J. Traffic Transp. Eng. 2009, 9, 6–11. [Google Scholar]
- Ahmad, H.; Amir, R.; Hojjat, M.; Ehsan, N.; Mojtaba, G. Review on pore-network modeling studies of gas-condensate flow: Porestructure, mechanisms, and implementations. Geoenergy Sci. Eng. 2023, 226, 211693. [Google Scholar]
- Garcia, A.; Hassn, A.; Chiarelli, A.; Dawson, A. Multivariable analysis of potential evaporation from moist asphalt mixture. Constr. Build. Mater. 2015, 98, 80–88. [Google Scholar] [CrossRef]













| Property | Value | 
|---|---|
| Bitumen-aggregate ratio (%) | 4.7 | 
| Porosity (%) | 24 | 
| Connected porosity (%) | 21.8 | 
| Bulk volume density (g·cm−3) | 2.01 | 
| Vertical osmotic coefficient (mL·(15 s)−1) | 860 | 
| Property | Value | 
|---|---|
| Scanning voltage (kV) | 200 | 
| Scanning mode | cross section | 
| Imaging area (mm) | 106 × 106 | 
| Resolving power (μm) | 65 | 
| Maximum sample size (mm) | 120 × 250 (φ × h) | 
| Detection time (min) | 60 | 
| Threshold | Pore Volume (mm3) | Total Volume (mm3) | Calculated Effective Porosity (%) | Tested Effective Porosity (%) | Error (%) | 
|---|---|---|---|---|---|
| T1 (68) | 32,401 | 145,193 | 22.32 | 21.76 | 2.57 | 
| T2 (66) | 31,977 | 145,193 | 22.02 | 21.76 | 1.19 | 
| T3 (54) | 29,424 | 145,193 | 20.27 | 21.76 | 6.85 | 
| T4 (60) | 30,714 | 145,193 | 21.15 | 21.76 | 2.80 | 
| T5 (61) | 30,920 | 145,193 | 21.30 | 21.76 | 2.11 | 
| T6 (63) | 31,358 | 145,193 | 21.60 | 21.76 | 0.74 | 
| T7 (64) | 31,565 | 145,193 | 21.74 | 21.76 | 0.09 | 
| T8 (65) | 31,771 | 145,193 | 21.88 | 21.76 | 0.55 | 
| Total Pore Count | Pore ER (mm) | Coordination Number | Pore Area (mm2) | ||||||
|---|---|---|---|---|---|---|---|---|---|
| Max | Min | Ave | Max | Min | Ave | Max | Min | Ave | |
| 1977 | 4.24 | 0.14 | 1.36 | 18 | 1 | 3.79 | 368.59 | 0.30 | 43.21 | 
| Total Pore Count | Throat ER (mm) | Throat Length (mm) | Throat Area (mm2) | ||||||
|---|---|---|---|---|---|---|---|---|---|
| Max | Min | Ave | Max | Min | Ave | Max | Min | Ave | |
| 3743 | 5.10 | 0.06 | 1.02 | 69.34 | 55.31 | 58.58 | 81.64 | 0.01 | 4.41 | 
| Minimum Section Area (mm2) | Equivalent Diameter (mm) | Channel Length (mm) | Tortuosity | 
|---|---|---|---|
| 0.042 | 0.23 | 60.34 | 1.51 | 
| 0.586 | 0.86 | 66.49 | 1.66 | 
| 1.219 | 1.25 | 61.52 | 1.54 | 
| 2.136 | 1.65 | 56.80 | 1.42 | 
| 4.502 | 2.39 | 58.65 | 1.47 | 
| 6.325 | 2.84 | 59.92 | 1.50 | 
| 10.763 | 3.70 | 63.12 | 1.58 | 
| 13.701 | 4.18 | 56.67 | 1.42 | 
| 19.923 | 5.04 | 59.60 | 1.49 | 
| 25.260 | 5.67 | 58.03 | 1.45 | 
| Disclaimer/Publisher’s Note: The statements, opinions and data contained in all publications are solely those of the individual author(s) and contributor(s) and not of MDPI and/or the editor(s). MDPI and/or the editor(s) disclaim responsibility for any injury to people or property resulting from any ideas, methods, instructions or products referred to in the content. | 
© 2023 by the authors. Licensee MDPI, Basel, Switzerland. This article is an open access article distributed under the terms and conditions of the Creative Commons Attribution (CC BY) license (https://creativecommons.org/licenses/by/4.0/).
Share and Cite
Jing, H.; Dan, H.; Shan, H.; Liu, X. Investigation on Three-Dimensional Void Mesostructures and Geometries in Porous Asphalt Mixture Based on Computed Tomography (CT) Images and Avizo. Materials 2023, 16, 7426. https://doi.org/10.3390/ma16237426
Jing H, Dan H, Shan H, Liu X. Investigation on Three-Dimensional Void Mesostructures and Geometries in Porous Asphalt Mixture Based on Computed Tomography (CT) Images and Avizo. Materials. 2023; 16(23):7426. https://doi.org/10.3390/ma16237426
Chicago/Turabian StyleJing, Hualong, Hancheng Dan, Hongyu Shan, and Xu Liu. 2023. "Investigation on Three-Dimensional Void Mesostructures and Geometries in Porous Asphalt Mixture Based on Computed Tomography (CT) Images and Avizo" Materials 16, no. 23: 7426. https://doi.org/10.3390/ma16237426
APA StyleJing, H., Dan, H., Shan, H., & Liu, X. (2023). Investigation on Three-Dimensional Void Mesostructures and Geometries in Porous Asphalt Mixture Based on Computed Tomography (CT) Images and Avizo. Materials, 16(23), 7426. https://doi.org/10.3390/ma16237426
 
        


 
       