Abstract
Single-molecule magnets (SMMs) have attracted much attention due to their potential applications in molecular spintronic devices. Rare earth SMMs are considered to be the most promising for application owing to their large magnetic moment and strong magnetic anisotropy. In this review, the recent progress in rare earth SMMs represented by mononuclear and dinuclear complexes is highlighted, especially for the modulation of magnetic anisotropy, effective energy barrier (Ueff) and blocking temperature (TB). The terbium- and dysprosium-based SMMs have a Ueff of 1541 cm−1 and an increased TB of 80 K. They break the boiling point temperature of liquid nitrogen. The development of the preparation technology of rare earth element SMMs is also summarized in an overview. This review has important implications and insights for the design and research of Ln-SMMs.
1. Introduction
Single-molecule magnets (SMMs), with the slow relaxation of magnetization and quantum tunneling [1,2,3], are considered a significant discovery in the field of nanomagnetism [4]. SMMs are often used to fabricate nanoscale devices and high-density data storage media [5,6,7,8,9]. Notably, Mn12 [1] and Fe cluster [10] are the earlier discovered SMMs, which belong to 3d SMMs.
Since 2003, the introduction of lanthanide rare earth ions has allowed SMMs to enter a new stage. Rare earth SMMs exhibit magnetic bistability at a higher blocking temperature (TB) than 3d SMMs because lanthanide ions are f-orbital-based elemental ions with unparalleled single-ion anisotropy, TB is a key performance parameter of an SMM, one description of which refers the maximum temperature at which it is possible to observe hysteresis in the field-dependence of the magnetization, subject to the field sweep rate. Meanwhile, phthalocyanines (Pcs) are large rings with 18π electron conjugation and have a wide range of applications in spintronics. Therefore, LnPc2 SMMs have shown great potential for spintronics and device applications. The first example of the [TbPc2]− effective energy barrier (Ueff, that is the potential energy required for molecular magnetization (or magnetic moment) reversal) of 331 cm−1 broke the record of Ueff for multinuclear 3d SMMs [11]. Subsequently, scientists have shown great interest in studying not only mononuclear rare earth SMMs but also binuclear rare earth SMMs and multinuclear rare earth SMMs [12,13].
This paper reviews the main progress of rare earth SMM research in the last 20 years, especially Tb/Dy-Pc2 SMMs. At the same time, we elaborate on the techniques of SMM preparation and how to regulate their properties.
2. Phthalocyanine Single-Molecule Magnets
SMMs are nanosized molecules with a stable magnetization intensity coming from within a single molecule and therefore can be used as independent magnetic functional units. In essence, a maximum value of the imaginary part of the magnetization related to the external field frequency occurs when Alternating Current magnetization rate tests are performed at low temperatures [1,14]. The development stages of monomolecular magnets are as follows. First, are transition metal monomolecular SMMs (Mn12 and Fe clusters); then are rare earth single-molecule magnets, mainly lanthanide-based metal SMMs. Therefore, the use of rare earth metal ions, especially Tb and Dy ions, to construct SMMs is still an effective method to improve the performance of SMMs [15].
The 4f orbitals of lanthanide ions are inner orbitals and thus have strong spin-orbit coupling, which allows the crystal field interaction to be regarded as perturbative. Therefore, Ln-SMMs (Ln = Tb, Dy) have become an important part of the field of SMMs, are widely favored by researchers and have been reported far more than other metallic SMMs, occupying half of the field of molecular magnets.
From Figure 1, we can see that the scanning tunneling microscopy (STM) images of LnPc2 (Ln = Tb, Dy) molecules observed by the experiment have the shape of eight lobes. However, DyPc2 is more regular than TbPc2 [16,17].
Figure 1.
STM images in experiments. (Left): TbPc2, bars indicate 1 nm; (Right): DyPc2,image sizes: 3 × 3 nm2 [16,17].
2.1. Structure and Category
Pc is an organic semiconductor with 18π electrons, and it has been demonstrated that Ln-Pc double- and triple-decker complexes are capable of forming [18,19,20,21,22,23,24,25,26,27,28,29]. The structures are shown in Figure 2 [30].
Figure 2.
Structures of (a) double- decker metal Pcs, consisting of a metal ion sandwiched between two Pc ligands and (b) triple-decker metal Pcs, metal ions are stacked between sandwich-type Pc oligomers [30].
Compared to conventional magnetic particles composed of metals, metal alloys, or metal oxides at the nanoscale, SMMs have many important advantages: (1) SMMs consist of relatively independent molecular units, so they have a single size and a fixed structure [31]. (2) SMMs are generally soluble in organic solvents, which makes it possible to obtain magnetic materials that were previously available only under special conditions in chemical solutions under ordinary conditions. (3) The magnetic characteristics of SMMs can be refined through metal ions and Pcs and by improving the synthesis methods [32].
SMMs generally consist of an intrinsic metal nucleus surrounded by an organic ligand shell. Lanthanide elemental metal ions with a high spin ground state are good choices for the preparation of molecular materials with SMMs. However, designing the SMMs of such ions requires care to optimize the spatial distribution of ligand electrons with respect to the ion.
2.2. Double-Decker Pc of Tb/Dy
To date, more than one hundred Ln-SMMs have been discovered and studied. Owing to their excellent physical properties, Ln-Pcs (Ln = Tb, Dy) are widely favored by researchers [33,34,35,36,37]. The model of Ln-Pcs is shown in Figure 3a,b, the Ln3+ (Ln = Tb, Dy) ion is located in the center of the molecule with two parallel Pc rings to form a sandwich structure molecule. The double-decker Ln-Pcs (Ln = Tb, Dy) has D4d symmetry [33,34,38]. DyPc2 is similar in properties to TbPc2, which possesses an anisotropic Ueff of 410 cm−1 and a spin-orbit coupling quantum number of J = 6 [39].
Figure 3.
Diagrammatic sketch of [LnPc2]− (Ln = Tb, Dy), the angle between Pc ligands is 45°. (a) Top view; (b) side view. Colors: (Ln = Tb, Dy), black; N, green; C, orange; H, navy blue.
Rare earth Pcs were discovered by Kirin and Moskalev. Notably, double-decker Ln-Pcs could also be achieved at that time [40,41]. The crystal structure data of LnPc2 (Ln = Tb, Dy) are shown in Table 1 [16]. TbPc2 belongs to the same P212121 space group as DyPc2, and the crystal parameters are close in size.
Table 1.
Crystal structure data of LnPc2 (Ln = Tb, Dy) [16].
Dy ion-containing materials (such as magnetic resonance imaging, magnetostriction, and SMMs) have a wide range of promising applications in the magnetic field [42,43,44,45]. In SMMs, magnetic exchange interactions are important factors affecting the performance of SMMs, and early studies have shown that even very weak intermolecular magnetic exchange interactions can effectively suppress quantum tunneling effects and enhance the performance of SMMs [46,47]. Although the 4f electrons of rare earth ions are subject to the shielding effect of the outer electrons and the magnetic exchange between metal ions is relatively weak, this effect still has a significant impact on the properties of their SMMs.
Martínez-Flores et al. studied the geometries and electronic properties of LnPc2, as shown in Figure 4. They reported that unpaired electrons are transferred to Pc ligands [48], and the strong π-π interaction between intramolecular Pc rings becomes important for organic field effect transistors as intrinsic semiconductors compared to their monolayer analogs.
Figure 4.
The structures of LnPc2 (Ln = Tb, Dy) compounds from X-ray diffraction (XRD) measurement (left) and density functional theory (DFT) calculation (right). In the DFT calculation, the PBE GGA correlation functional by Perdew-Burke-Ernzerhof (PBE) was the functional of choice, complemented by the empirical dispersion correction developed by Grimme [48].
The magnetic coupling of TbPc2 molecules was reported by Corradini and coworkers. They placed TbPc2, single-layer graphene, and an Au single-layer on top of a Ni(111) magnetic substrate. They found that the superexchange coupling leads to a change in the antiferromagnetic signal [49].
2.3. Multi-Decker Pc of Tb/Dy
Ln2-SMMs are SMMs containing two lanthanide element ions forming a large collection, and double-nuclear Pcs SMMs containing Dy and Tb are more common. The radially contracted nature of the 4f orbitals of rare earth ions tends to lead to extraordinarily weak intramolecular exchange coupling in multinuclear lanthanide complexes. Therefore, for most multinuclear Ln2-SMMs, the magnetic origin is mainly a single-ion effect.
There is another class of double nuclear Ln2-SMMs that are trilayer structured Pc SMMs, and the chemical general formula of these molecules is [PcLn(μ-Pc2)Ln(Pc3)] when the ligand Pc can be heterocyclic. The spacing between the Ln ions in the molecule is approximately 0.36 nm, which makes it possible to study the effect of intramolecular f-f interactions on the dynamic magnetic properties, and the lanthanide ions have a significant role in the physical properties of triple-decker Pc compounds [50].
Hellerstedt et al. reported a method to form Tb2Pc3 from TbPc2. The structures are shown in Figure 5a,b. The different colors (yellow and blue) of the densities represent the charge redistribution. The formation of Tb2Pc3 provides a novel way to investigate and control magnetic interactions [34].
Figure 5.
Calculated charge transfer between (a) Tb2Pc3 and (b) TbPc2 molecules and the Ag(111) surface obtained from DFT calculations. It used exchange correlation functional PBE + U with U = 5 eV for f-electrons of Tb and van der Waals interaction was approximated by the Tkatchenko-Scheffler dispersion correction method. The yellow and blue colors represent the accumulation and loss of density, respectively. The presence of blue density on the upper surface layer indicates substantial charge transfer from the metallic surface toward the molecule [34].
Ln3-SMMs can be divided into two main categories according to the structural arrangement of the metal ions: triangular and chain-like metal ion arrangements. Multinuclear Ln-SMMs are relatively rare in most rare earth elements because they are not easily synthesized due to their high nucleus numbers. Of course, Dy is the exception; the vast majority of rare earth SMMs with high nucleation numbers contain Dy, and the number of nuclei in Dy-SMMs can be as high as 50. However, in general, ligands for multinuclear Dy systems are not limited to Pcs.
This section focuses on the double-decker Pc of Tb/Dy and the multi-decker Pc of Tb/Dy, including its structure and the work of its predecessors. As expected, that was previously made, the discovery that Ln-SMMs can exhibit slow relaxation of the magnetization has initiated intensive interest in the SMMs containing lanthanide metals (4f). Herein, the Dy/Tb ion seems to be especially useful in this respect. Dy/Tb-radical family was considered and used over the last years as a bench for understanding the magnetism of the lanthanide ions and has given rise to many groundbreaking results in SMMs in recent years.
As will be further discussed in the next section, the Dy/Tb-Pcs are more common in the single-nuclear and bi-nuclear form, however, it is still necessary to study multi-nuclear Dy/Tb-SMMs.
3. Other Single-Molecule Magnets
In 2020, Wang et al. reported the synthesis of [Ln4(acac)4(μ2-L)6(μ3-OH)2]·2C2H5OH (Ln = Tb and Dy). Its structure is shown in Figure 6a. They found that significant slow magnetic relaxation behavior occurred for [Dy4(acac)4(μ2-L)6(μ3-OH)2]·2C2H5OH with an anisotropic barrier of 82.1 K, as shown in Figure 6b,c [51]. For [Dy4(acac)4(μ2-L)6(μ3-OH)2]·2C2H5OH, below 15 K, both in-phase and out-of-phase become frequency dependent, and two distinct peaks for the out-of-phase ac signals are evident during the frequency range 311–3111 Hz, indicating the possible multiple relaxation processes existing in it.
Figure 6.
The schematic image: (a) Model of [Dy4(acac)4(μ2–L)6(μ3–OH)2]·2C2H5OH. Temperature dependence of (b) in–phase and (c) out–of–phase magnetic induction strength [51].
In 2021, Wang et al. synthesized the {Dy4(acac)4L4} compounds. Through studying the relationship between ln (τ) and T−1, and combining the Arrhenius law ln(τ) = ln(τ0) + (∆Eeff /kB)T−1, they obtained that Ueff reaches 34.1 cm−1 and the preexponential factor reaches 6.92 × 10−6 s [52].
A new Dy4 cluster based on a polydentate Schiff base ligand was reported by Shi et al. [53]. They found that the Dy4 cluster has obvious SMM behavior. Figure 7 displays the synthesis steps of the Dy4 cluster: Dy(acac)3·2H2O, H3L, CH3OH, CH3CN and CH2Cl2 were enclosed in a glass vial and heated to 70 °C for about 48 h. Then it was dropped to room temperature at a rate of about 5 °C/h, and the crystals Dy4 cluster was obtained.
Figure 7.
The synthesis steps of the Dy4 cluster [53].
When the number of metal ions in rare earth SMMs becomes more numerous, a variety of structural forms are produced, such as one-dimensional linear, sawtooth or polyhedral shapes. In addition, their magnetic properties can vary widely depending on various factors. The synthesis of multinuclear rare earth SMMs and research on magneto-structural relationships are interesting. Due to the large number of metal ions inside multinuclear rare earth SMMs, the complexity of the interactions between the metal ions increases exponentially compared to that of binuclear ones, and the properties of the SMMs can be affected.
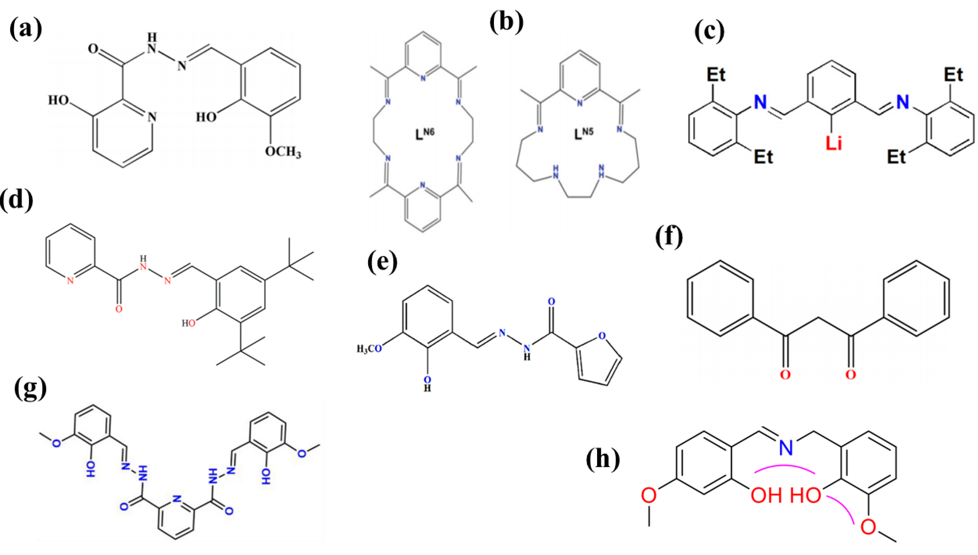
In addition to the widely studied Pc ligands, H3L [54], LN5 and LN6 [55], LiL2 [56], H2L [57], HL [58], Hdbm [59], H4Bmshp [60], H2hmp [61], are also hot spots of research. Schematic diagrams of their structure are shown in Figure 8.
Figure 8.
The structure of the Schiff base ligand (a) H3L [54]. (b) LN5 and LN6 [55]. (c) LiL2 [56]. (d) H2L [57]. (e) HL [58]. (f) Hdbm [59]. (g) H4Bmshp [60]. (h) H2hmp [61].
Blagg et al. [62] reported a case of isopropanol-bridged Dy5-SMMs: [Dy5(μ5-O)(μ3-OiPr)4(μ-OiPr)4(OiPr)5], in which all the Dy3+ in the complex are hexa-coordinated and five Dy3+ form a positive tetragonal cone. The results show that the complex has the properties of SMMs below 50 K, and the flip Ueff is as high as 367 cm−1, which sets a new record for the flip Ueff of multinuclear SMMs at that time. Subsequently, Blagg et al. [63] reported another example of a tetranuclear rare earth SMM [Dy4K2O(Obi)12] and discovered a relaxation process involving the second excited state. [Dy4K2] forms an octahedron with two K ions in the cis position, and Dy3+ is six-coordinated, showing a deformed octahedral structure. It is found that [Dy4K2] has a two-step slow relaxation behavior by AC magnetization with Ueff values of 692 cm−1 and 316 K, respectively, and hysteresis lines can be observed below 5 K. Langley et al. [64] reported the first 4d-4f multinuclear SMMs [Ru2Dy2(OMe)2(O2CPh)4(mdea)2(NO3)2], and its Ueff was 10.7 cm−1.
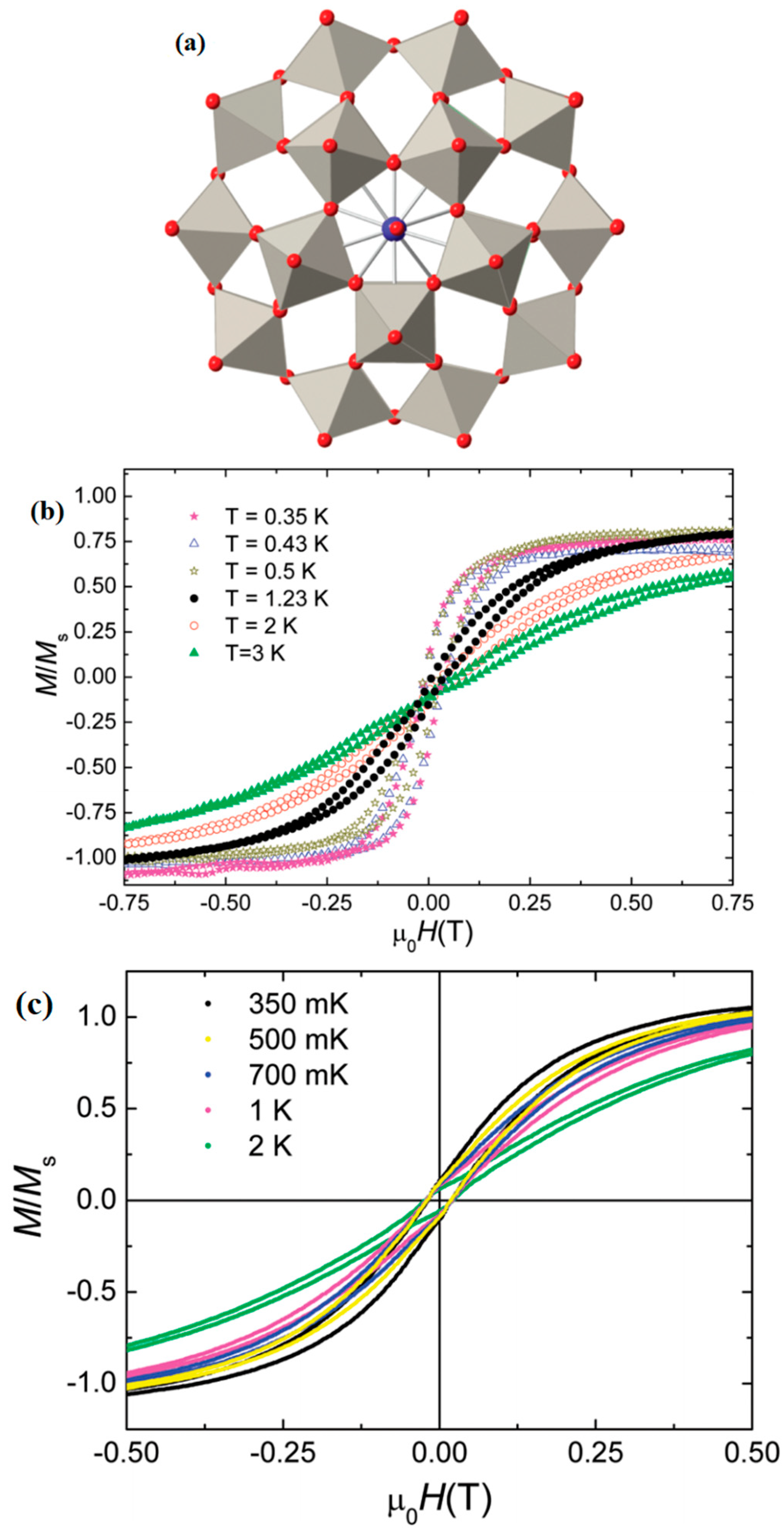
The SMM with the largest number of nuclei is the polymetallic oxonate [Dy30Co8Ge12W108O408(OH)42(OH2)30]56− reported by the Powell group [65], which is self-assembled by six {W9Dy3W9} linkers and four {Co2Dy3} nodes with a very beautiful topology (Figure 9a). The magnetic susceptibility of polyanion [Dy30Co8Ge12W108O408(OH)42(OH2)30]56− was investigated. Figure 9b shows the relationship between χT and T. As the temperature increases, χT rapidly increases in the early stage and slowly increases in the later stage. The curve trend of the field dependence of magnetization is indicative of significant anisotropy of [Dy30Co8Ge12W108O408(OH)42(OH2)30]56− (Figure 9b, inset).
Figure 9.
The schematic image: (a) Model of [Dy30Co8Ge12W108O408(OH)42(OH2)30]56−. (b) The curve of χT versus T. Inset: Curve of M versus H [65].
On the one hand, the regulation of Ln-SMMs helps to explore the relationship between structure and magnetism, which leads to a deeper understanding of the slow magnetic chirality mechanism of SMMs; on the other hand, the theory guides the experiment and the theory as a means to guide us to research compounds with better performance. For example, Long et al. gave qualitatively the intrinsic relationship between the rare-earth ion energy levels and the surrounding ligand field by studying the characteristics of the 4f charge density distribution corresponding to the ground state and different excited states of rare-earth single ions [66] to determine the ground state of the lanthanide ions with high magnetic anisotropy. Later, several researchers proposed and refined the use of electrostatic field models to predict the quantum axis of rare earth ions [67,68]. These works provide important theoretical guidance for the design of Ln-SMMs. In addition, in order to give an insight into especially ‘experimentally difficult’ systems recourse to theoretical tools is a very common and fruitful approach [48].
3.1. Acetylacetone-Based SMMs
Acetylacetonate ligands belong to the 1,3-dicarbonyl group, and there are keto-enol interchangeable structures within the molecule. Therefore, there are functional groups such as hydroxyl and carbonyl groups within the ligand as well as active H atoms at the α-position of unsaturated double bonds. In particular, the ligand removes an H atom to form a stable bidentate chelate structure in an alkaline environment, which can form stable complexes with metal ions. It is characterized by a simple synthesis route, high yield and strong stability.
Jiang et al. [69] synthesized an example of a neutral mononuclear complex [Dy(acac)3(H2O)2] using acetylacetone and determined its magnetic properties, which kicked off the study of acetylacetone-based SMMs. As shown in Figure 10, the compound has a local symmetry close to D4d, and the eight coordinated O atoms form a deformed tetragonal anti-prismatic coordination configuration, in which the magnetic anisotropy of the Dy3+ is enhanced under the crystal field.
Figure 10.
The schematic image: (a) Model of [Dy(acac)3(H2O)2]. (b) The relationship curves of temperature and ac susceptibility at frequencies from 10 to 1488 Hz for the undiluted Dy compound. Dy green, H atoms and solvent molecules or ligands are omitted [69].
Gao et al. [70] reported Dy-(1,1,1,2,2,3,3-heptafluoro-7,7-dimethyl-4,6-octadione) complexes, named Dyfod3bpy (Dy1). Dy1 melts at 90 °C and evaporates at 269 °C to form Dyfod3phen (Dy2). They found that Dy2 maintains the SMM properties, but the relaxation barrier shifts from 87 K to 122 K.
3.2. Polyacid-Based SMMs
Polymetallic oxides (referred to as polyacids) are a class of inorganic oxygen-containing acids that can be used to assemble novel transition metal or rare earth metal complexes. Polymetallic acids have oxygen-rich surfaces and high negative charges, and their absent sites can provide a suitable coordination environment for rare earth ions. Polyacids usually consist of antimagnetic vanadium, molybdenum, tungsten and niobium ions in the highest oxidation state. Therefore, these nanosized polyacids can be considered ideal antimagnetic shells for separating magnetic spin carrier components and can dilute magnetic units and effectively shield magnetic exchange between spin carriers.
AlDamen et al. reported a series of lanthanide polyoxometalate compounds: [LnW10O36]9− (Ln = Tb, Dy, Ho, Er) (Figure 11) [71] and [Ln(β2-SiW11O39)2]13− (LnIII = Tb, Dy, Ho, Er, Tm, and Yb) (Figure 12) [72]. Interestingly, [ErW10O36]9− is the first example of an Er-based heteropolyacid SMM. Ln can be seen to be in a ligand field with approximate D4d symmetry but exhibits a completely different behavior from [LnPc2]− as an SMM.
Figure 11.
The schematic image:model of [Ln(W5O18)2]9−. The left is the polyhedral type, and the right is the ball-and-stick type [71].
Figure 12.
The schematic image: model of [Ln(β2-SiW11O39)2]13−. The left is the polyhedral type, and the right is the ball-and-stick type [72].
Cardona-Serra et al. [73] reported [LnP5W30O110]12− (Ln = Dy, Ho) with 5-fold symmetry. When Ln = Dy, Ho, it shows magnetic hysteresis at low temperatures and obviously big off-diagonal anisotropy parameters . its structure is shown in Figure 13.
Figure 13.
The schematic image: (a) Model of [LnP5W30O110]12−. (b) Hysteresis curves for DyW30. (c) Magnetization hysteresis loops of HoW30 [73].
3.3. SMMs in the Pentagonal Biconical Configuration
Both the different lanthanide centers and different ligand fields can significantly influence the magnetic anisotropy of SMMs [74]. The most common central metal ion in multinuclear monomolecular magnets is Dy. In recent years, several cases of monomolecular magnets with pentagonal bipyramidal (PB) structures as confirmed by other researchers or groups, all showing crystal fields with high axial symmetry of D5h [75,76,77,78]. In 2016, an example of an SMM [Dy(OtBu)2(py)5][BPh4] [79] with a perfect pentagonal bipyramidal configuration was reported by Zheng et al., whose Ueff can reach 1269.3 cm−1 and TB of 14 K.
As shown in Figure 14, Chen et al. [80] took advantage of the local symmetry of D5h to increase the magnetic TB of Dy single ion magnets to 20 K for the first time. They synthesized the Ueff of [Dy(Cy3PO)2(H2O)5]Cl3·(Cy3PO)·H2O·EtOH is 472 cm−1 and [Dy(Cy3PO)2 (H2O)5]Br3·2(Cy3PO)·2H2O·2EtOH (Cy3PO = tricyclohexylphosphine oxide) at 543 cm−1.
Figure 14.
Crystal structures of (a) [Dy(Cy3PO)2(H2O)5]Cl3·(Cy3PO)·H2O·EtOH. (b) [Dy(Cy3PO)2 (H2O)5]Br3·2(Cy3PO)·2H2O·2EtOH (Cy3PO = tricyclohexylphosphine oxide). Coordination environment (c) Corresponding to (a). (d) Corresponding to (b). H atoms of the ligands are omitted for clarity. Red and blue dashed lines are the main anisotropy axes in the ground Kramers doublet and the excited Kramers doublet, respectively [80].
The pentagonal biconical symmetric configuration of Dy SMMs has a high axial magnetic anisotropy, which gives it the potential to obtain higher Ueff. In 2020, Canaj et al. [55] reported [DyIII(LN5)(Ph3SiO)2](BPh4)·CH2Cl2, which has an anisotropy barrier of 1108 cm−1. Moreover, when five N atoms are replaced in the equatorial plane, Ueff increases.
Yuan et al. reported [Dy4L4(Ph2acac)2(OH)2(DMF)2] (H2L = (E)-2-(((2-hydroxyphenyl)imino)methyl)-6-methoxyphenol; Ph2acacH = β-diketones dibenzoylmethane) and [Dy4L4(acac)2(OH)2(DMF)2]⋅2CH3CN (acacH = acetylacetone). They derived that both of them have SMM behavior. Their Ueff values are 50.1 cm−1 and 147.2 cm−1, respectively [81]. In view of the outstanding performance for these Dy/Tb SMMs, in the last several years lots of new structures have been reported. In this section, we introduced and summarized: Acetylacetone-based SMMs, Polyacid-based SMMs, and SMMs in the pentagonal biconical configuration. Each type of SMMs has its own unique structure and properties. All these results lately propitiate a new era for SMMs and can provide some research ideas for studying other ligand types of SMMs. In addition, we have summarized some basic properties of common SMMs for the convenience of readers, as shown in Table 2.
Table 2.
Summary the molecular chemical formula, main structure and their properties of most common SMMs.
4. Preparation Technology
The main methods for the study of Ln-Pcs are as follows: (1) Halogen synthesis method; (2) Metallation of free-base ligands; (3) Mono Pc-based techniques; and (4) Axial substitution at the metal center [82,83]. In 1965, Kirin and Moskalev studied the reaction of rare earth acetates and phthalonitrile (PN) at 280–290 °C [40,41,84]. This led to the formation of Ln-Pcs (Ln = Pr, Nd, Er, Lu) [85,86,87].
Dubinina et al. proposed a method for preparing Ln-Pcs in an alcohol/C12H8Cl4N2 (TCB) mixture. In this method, the Ln-Pcs were synthesized by a three-step procedure (Figure 15a). Then, phenyl-substituted Pc complexes 6a-c were synthesized selectively from ligand 3 and acetylacetonate salts of the corresponding lanthanides in a mixture of cetyl alcohol-TCB (Figure 15b). It can prepare Ln-Pcs of phenyl [83].
Figure 15.
Steps for preparing Pcs. (a) Single- and double-decker. (b) Triple-decker [83].
Simple heating of the single-decker lutetium complex to 400 °C in a vacuum (1 Torr) produces a triple-decker complex. Another method is sublimation under high vacuum (10−6 Torr) at 300–420 °C of the reaction obtained from template condensation between PN and a series of rare earth acetates (Ln = La, Nd, Eu, Gd, Dy, Er, Yb, and Lu) [88].
The development of single-molecule materials is accompanied by the development of material preparation technology. Methods such as vacuum evaporation, spin coating and the Langmuir-Blodgett technique have been widely used to study thin films of MPcs. For example, LnPc2 (Ln = Tb and Y) was synthesized using a solvothermal method [89].
In 2022, Zhang et al. synthesized two bismuth-cluster-bridged lanthanide compounds, [K(THF)4]2[Cp*2Ln2Bi6] (Cp* = pentamethylcyclopentadienyl; 1-Ln, Ln = Tb, Dy), through the solution organometallic method (Figure 16). The relationship between τ and T−1 of [K(THF)4]2[Cp*2Ln2Bi6] was studied. They found that the lanthanide centers form strong ferromagnetic interactions between lanthanides, which lead to magnetic blocking and open hysteresis loops for super exchange-coupled SMMs comprising solely lanthanide ions [90].
Figure 16.
The schematic image: Synthetic scheme for [K(THF)4]2[Cp*2Ln2Bi6] (Ln = Tb, Dy) [90].
The discovery of the magnetic properties of Pc rare earth-like compounds has stimulated research in this field and is still one of the hot spots for the exploration of new magnetic materials [91,92]. The commonly used magnetic SMMs test system is the magnet property measurement system (MPMS), which is composed of a detection system, software operating system, temperature control system, magnetic control system, sample operating system and gas control system. MPMS can perform tests such as Direct Current magnetization, Alternating Current magnetization and low temperature hysteresis lines [93].
To end this section, we would like to emphasize that the development of preparation technology is of great significance for the study of SMMs. This section summarized and introduced the main methods for the study of Ln-Pcs as follows: (1) Halogen synthesis method; (2) Metallation of free-base ligands; (3) Mono Pc-based techniques; and (4) Axial substitution at the metal center, these synthesis methods are more common and practical. The research on SMMs with new performance needs to be synthesized and validated through experimental preparation techniques, and progress towards the goal of practical quantitative production.
5. Performance of Single-Molecule Magnets
5.1. Magnetic Origin
SMMs constructed with rare earth metal ions have relatively large magnetic moments and magnetic anisotropy due to their special electron layer structure: f electrons have large unquenched orbital angular momentum.
To understand the magnetic origin and analyze the key factors influencing the magnetic behavior, the microscopic relaxation can be analyzed by a macroscopic model (Figure 17). The origin of the single-molecule magnetic behavior in lanthanide compounds is more sophisticated due to the spin-orbit coupling of the lanthanide metal ions that generates angular momentum J. Because the spin-orbit coupling energy is usually greater than the effect of the crystal field for 4f lanthanides and actinides, it is important to consider the spin-orbit coupling quantum number J. For the trivalent dysprosium ion with a 4f9 electron configuration, its free ion produces the ground state term 6H under the Coulomb repulsion between electrons, containing 66 energy levels, at which point they can all be considered to be simplicial. The presence of the spin-orbit coupling leads to further cleavage of this term, producing a series of nonsimple branches, the lowest energy of which is 6H15/2; if it is placed in a crystal field of certain symmetry, the crystal field action drives the spin ground state J = 15/2 branch to continue cleavage into mJ = ±15/2, ±13/2, ±11/2... ±1/2 and so on for the energy levels [93]. From the point of view of electronic structure, Dy-SMMs have been widely studied in recent years because the trivalent dysprosium ion has a large spin value (s = 5/2) and a large orbital angular momentum (l = 5) combined with a total orbital angular momentum J = 15/2, which leads to a particularly large magnetic anisotropy. Figure 17 depicts the influence of various interactions on the energy level splitting of the free Dy3+ simplicial 4f9 group state [94].
Figure 17.
Effect of different interactions on energy level splitting of the degenerate 4f9 configuration of free Dy ions (from left to right, interaction is from strong to weak) [94].
Most rare earth metal ions still exhibit the single-ion nature of the rare earth metal ions themselves in systems of synthetic polymers or clusters because of the shielding effect of the f electrons in the outer s and p electrons, which makes the magnetic interactions relatively weak again. Although the magnetic interaction between rare earth metal ions is weak, it still makes a significant contribution to its relaxation mechanism.
To clearly understand how to achieve maximum magnetic anisotropy for a specific lanthanide ion, Long’s group proposed a theoretical model based on the Ising limit state of various lanthanide ions through theoretical calculations (Figure 18) [66,95]. The model uses a quadrupole approximation calculation to describe the ground state charge density distribution corresponding to the eigenstates of various lanthanide ions. Due to the strong angular dependence of the 4f orbitals, the 4f electron charge density distribution of the lanthanide ions is not spherical but shows an anisotropic ellipsoidal shape [66]. By further drawing on the electrostatic model of effective point charges, it can be visualized that some of the lanthanide ion charge density distributions are flat and long (Pm3+, Sm3+, Eu3+, Er3+, Tm3+, Yb3+), some are flat (Ce3+, Pr3+, Nd3+, Tb3+, Dy3+, Ho3+) or are isotropic spheres (Gd3+) [95].
Figure 18.
4f electron density distribution of corresponding LnIII ions in their Ising limit state [95].
In the case of lanthanides with an oblate (squeezed along the axial direction) electron distribution, such as [Pc2Tb]−·TBA+ and [Pc2Dy]−·TBA+, the axial position of the ligand electrons is particularly favorable to produce considerable magnetic anisotropy. Notably, Dy-SMMs with different structural types will significantly influence the Ueff of SMMs. Such as, a centrosymmetric defect dicubane is found to show a remarkably large anisotropic barrier of 170 cm−1 [96].
The adsorption of Pcs can form spinterfaces by the interfacial coupling effect, which may change the magnetic properties of molecules and ferromagnetic substrates [97,98,99,100,101,102,103]. From Figure 19, we can see the Fe4N/C60/Fe4N and La2/3Sr1/3MnO3/C60/Fe4N models. Interestingly, the poles of La2/3Sr1/3MnO3/C60/Fe4N can be switched, which is useful for studying the function of spintronic devices [103].
Figure 19.
The models of (a) Fe4N/C60/Fe4N and (b) La2/3Sr1/3MnO3/C60/Fe4N [103].
Additionally, Tb ions and Dy ions have remarkable magnetic anisotropy in strongly axial ligand fields. This is because they have an oblate-shaped electron density [56,104]. The magnetic properties of Dy ions are more prominent than those of lanthanide ions, and using Dy-SMMs as a model, many novel results were found [7,105].
5.2. Magnetic Properties of SMMs
The magnetic properties of SMMs mainly include magnetic anisotropy, Ueff, and TB. In 2023, Zhu et al. prepared a new compound [Dy2(hfac)6(tpphz)]·CH2Cl2, which has a big π-conjugated bridging ligand (Figure 20a). Magnetic measurements revealed that [Dy2(hfac)6(tpphz)]·CH2Cl2 possesses zero field SMM behavior with a single magnetic relaxation process. In Figure 20b, all curves rise rapidly before 1 T. As H increases, the curves rise slowly until the H value is 7 T. Furthermore, no superposition could be observed among the corresponding M-HT-1 curves (Figure 20c). All these results suggest significant magnetic anisotropy [106,107,108].

Figure 20.
The schematic image: (a) Model of [Dy2(hfac)6(tpphz)]·CH2Cl. (b) Plots of M-H of [Dy2(hfac)6(tpphz)]·CH2Cl2. (c) Plots of M-HT−1 of [Dy2(hfac)6(tpphz)]·CH2Cl [106].
The current effective method to study the magnetic anisotropy of Dy-systems (triangular Dy3 and planar Dy4) is the Post-Hartree-Fock ab initio method. This method can not only get the energies of the multiplets but also determine the anisotropy axes and the g tensors for the lowest Kramers doublets of each dysprosium site [109,110].
Ruan et al. analyzed the relationship between the magnetic properties and the TbPc2 film, as shown in Figure 21. The results show that when the growth temperature is 150 °C, the TbPc2 film has significant magnetic anisotropy; that is, the out-of-plane magnetic moments are obviously greater than the in-plane magnetic moments [111].
Figure 21.
The model of Tb3+ ions in the Ising-limit state (left). The structure of TbPc2 (right). The golden arrow represents the magnetic anisotropy axis [111].
The more complex the molecular structure of SMMs, the less pronounced their properties become. This is because the more lanthanide ions there are in SMMs, the more difficult it is to control the coordination environment and the more complicated the situation.
Crystal field effects arise mainly from the Coulombic interactions of the central ion and ligand. The crystal field effect is closely related to Ln-SMMs because it is extremely influential for the splitting of multiple states. Furthermore, the “ion field” (4f-electron shell from the metal ion) and the “crystal field” (ligand shell from the ligand atom) constitute the coordination compounds.
Small changes in the coordination environment of rare earth ions will obviously influence the magnetic properties of the constructed complexes. Therefore, this characteristic of Ln-SMMs, which is extremely sensitive to the coordination environment, can be used to regulate the magnetic properties of Ln-SMMs. In essence, the regulation of Ln-SMMs includes two aspects: (1) the regulation of uniaxial magnetic anisotropy and (2) the regulation of intermolecular interactions. From the point of view of experimental design, the modulation methods that can be adopted are mainly (1) modulation of metal-centered Ln (Ln = Tb, Dy) ions and (2) modulation of the coordination environment (external field modulation).
In 2020, Chibotaru et al. used complete active space self-consistent field methods to study the magnetic anisotropy of the divalent lanthanide oxide LnO (Ln = Tb, Dy).
From Figure 22, we can see that the barrier of magnetization blocking sketches the contours of the relaxation pathway linking all doublet states arising from the ground atomic multiplet. This is similar to the case when the group of levels belonging to the ground atomic multiplet overlaps with the states from the excited atomic multiplet. The highest magnetic Ueff obtained by theoretical calculation exceeds 3000 cm−1, which qualitatively improves the expected performance of SMMs and provides a theoretical basis for the experimental synthesis of divalent Ln-SMMs [112].
Figure 22.
The relationship between the energy and momentum of (a) TbO and (b) DyO [112].
It is worth noting that Ln-SMMs are an important model for studying the high anisotropic barriers of SMMs. The anisotropic barrier records are constantly being refreshed for Ln-SMMs, for example, defect-dicubane Dy4 (170 K) [113], linear Dy4 (173 K) [113] and pyramid Dy5 (528 K) [62].
In 2023, Chen et al. reported [Dy(L1)(L2)] (HL1 = (E)-2-(((3-aminopropyl)imino)methyl) phenol, H2L2 = 2,2′-((1E,1′E)-(propane-1,3-diylbis(azaneylylidene))bis(methaneylylidene))diphenol) compounds (Figure 23a). Combined with Equation (1) and Figure 23b, the magnetic characterizations reveal that the material exhibits slow magnetic relaxation behavior with Ueff = 95.98 cm−1 [114].
Figure 23.
The schematic image: (a) The structure and (b) ln(τ) versus T−1 of [Dy(L1)(L2)] [114].
Equation (1) expresses the relationship of ln(τ) versus T−1 for [Dy(L1)(L2)] [114]:
When n is 1.8, Ueff = 87.6 cm−1 and τ0 = 1.96 × 10−6 s for [Dy(L1)(L2)].
Due to the complex magnetic relaxation behavior of TbPc2 near the zero field at low temperatures and the quantum tunneling effect of magnetization, the remanence and coercivity of TbPc2 at low temperatures are also very small, showing a “butterfly” hysteresis line, which seriously hinders the application of TbPc2 SMMs for the preparation of high-density memory devices, such as the effect of exchange coupling between different substrates [39,115,116].
SMMs have magnetic bistability at the molecular level and exhibit slow magnetic relaxation over Ueff below the TB. When there is an external magnetic field, Zeeman splitting occurs, and the original simplex Population number will be destroyed. Therefore, the magnetization intensity vector sum will no longer be equal to zero, so SMMs have magnetic bistability. When the applied magnetic field is withdrawn, the magnetization intensity is reoriented, the process of reorientation then takes place to overcome Ueff, and the temperature at which the magnetic moment is frozen is called the TB [96].
In recent decades, researchers have been working on increasing Ueff and improving TB. The TB increases from the previous 60 K [117] to 80 K [118]. Although this result is very encouraging, it is still far from room temperature (300 K), which becomes one of the biggest obstacles limiting the realization of SMMs for practical applications. The reason for the relatively high Ueff and TB of the high-performing SMM system is mainly attributed to the significant magnetic anisotropy possessed by the molecular magnets, and the lanthanide ion magnetism comes from the magnetic anisotropy caused by the strong intrinsic spin-orbit coupling. Conventional magnetic materials are difficult to improve due to the limitation of the superparamagnetic effect, but the emergence of molecular-based magnets can solve this problem precisely. SMMs can be used to make ultrahigh-density storage materials owing to their tiny nanometer sizes and obvious magnetic behavior [119]. Modulation of the ligand field of Ln-SMMs allows the construction of high-performance SMMs. Most Ln-SMMs (Ln = Tb, Dy) have high Ueff [12,13,73].
Wu et al. assembled [Dy2(HL)2(SCN)2]·2CH3CN complexes using the H3L multidentate ligand (Figure 24a). According to the equation to fit the data: , where the Orbach parameters are Ueff and τ0, the Raman parameters are C and n, and the rate of quantum tunneling of magnetization (QTM) is . The plot of ln (τ) versus 1/T exhibits a linear regime at high temperatures in Figure 24b, suggesting the dominance of the Orbach relaxation process. The quantum tunneling of magnetization (QTM) and Raman processes probably play the leading role at low temperatures, which is verified by the presence of curvature and temperature-independent regimes [54,120]. The Cole-Cole curves can be fitted using the generalized Debye model. The Dy centers in the complexes display capped octahedron coordination geometries and behave as an SMM, as shown in Figure 24c [54].
Figure 24.
The schematic image: (a) Structures of [Dy2(HL)2(SCN)2]·2CH3CN. For brevity, H is omitted. (b) Arrhenius plots of relaxation time data. (c) Cole-Cole plots under a zero-dc field for [Dy2(HL)2(SCN)2]·2CH3CN. Solid lines correspond to the best fits [54].
Guo et al. studied a compound [(CpiPr5)Dy(Cp*)]+ (CpiPr5 = penta-iso-propylcyclopentadienyl, Cp* = pentamethylcyclopentadienyl), as shown in Figure 25. The hysteresis temperature was increased to 80 K, reaching above the liquid nitrogen temperature of 77 K for the first time, and the anisotropic Ueff was as high as 1541 cm−1, making it the best performing SMM to date (Figure 26a,b) [118].
Figure 25.
The schematic image: The synthesis method of [(CpiPr5)Dy(Cp*)][B(C6F5)4] [118].
Figure 26.
The schematic image: (a) Expansion of the hysteresis loops at 77 K of [(CpiPr5)Dy(Cp*)][B(C6F5)4]. (b) Hysteresis loops at 80 K of [(CpiPr5)Dy(Cp*)][B(C6F5)4] [118].
As shown in Figure 27a, Blagg et al. [62] reported iso-propoxide-bridged Dy compounds [Dy5O(OiPr)13]. According to the Arrhenius law τ = τ0 exp(ΔE/kB T), the relationship between ln(τ) versus T−1 (Figure 27b) could be obtained. They found that the Ueff of the SMMs reached approximately 530 cm−1.
Figure 27.
The schematic image: (a) Structure of [Dy5O(OiPr)13]; the left and right views represent perpendicular and parallel to the pseudofourfold axis, respectively. (Tibetan green large ball represents Dy, iPr groups trimmed for clarity). (b) The relationship between time (τ) versus T−1 for [Dy5O(OiPr)13] under zero static field, from data collected in frequency (●) and temperature (○) variation regime. The solid line stands for the best fit to the Arrhenius law [62].
In 2023, Luo et al. reported the preparation of [ErCl(OArAd)3][Na(THF)6] and Er(OArAd)3 (ArOAd = O-C6H2-2,6-Ad-4-Me). The Ueff arrives at 43 cm−1 for Er(OArAd)3. They found that the strong equatorial ligand field and high local symmetry are important to restrain the quantum tunneling of magnetization and realizing outstanding-performance Er-SMMs [121].
The enthusiasm for research on the synthesis of highly nucleated rare earth SMMs has been increasing because highly nucleated rare earth complexes, especially clusters, not only have nanometer dimensions but also have exotic properties not found in mononuclear rare earth complexes or low-nuclear rare earth clusters. Hong et al. synthesized spherical Dy36 cluster-based lattices through nicotinic acid, azide and nitrate ligands and exhibited slow magnetic relaxation behavior [122]. Tong et al. assembled Dy11 and Dy12 clusters with slow magnetic relaxation behavior by o-phenanthroline derivative ligands [123,124], and Ln-SMMs are becoming increasingly diverse.
In addition, with the development of technology, the general necessity of studying molecular spintronics [8,125], leads to the possibility of studying SMMs. This section summarizes the properties of Ln-SMM, as previously studied, including TB, Ueff, and magnetic anisotropy. The summary magnetic properties of SMMs are shown in Table 3.
Table 3.
Summary magnetic properties of SMMs.
The Ueff is the main parameter to evaluate the performance of an SMM, because its height determines an important indicator of whether a SMM can be practically applied in the future, that is TB. Regarding the TB, it usually refers to the temperature at which the molecule will exhibit the magnet’s behavior. Specifically, the flip of the molecular magnetic moment slows down as the temperature decreases. When the temperature is below a critical temperature (TB), the molecular thermal vibration energy will not be sufficient to make the magnetization intensity (or magnetic moment) overturn the energy barrier, then the magnetic moment flip becomes blocked and tends to stay in a certain direction (the magnetization intensity can be preserved). The SMM then exhibits the behavior of a magnet.
Magnetic anisotropy plays a crucial role in the magnetic properties of SMM systems: it affects the shape of the hysteresis loop, the magnitude of the magnet coercivity, in addition to the occurrence of magnetic blocking in SMMs and the preferential orientation of the molecular magnetization.
Research in SMMs is rich and interesting, connecting not only theory and experiment, but also linking our lives and work together. The interested reader is addressed to the cited literature for more details.
6. Conclusions and Outlook
Rare earth SMMs are popular due to their tunable structural magnetic properties. In the nearly 30 years since the first rare earth SMMs were reported, tremendous progress has been made in single-molecule magnets, especially in single-nuclear and bi-nuclear rare earth SMMs, where some molecules have even been able to exhibit hysteresis lines above liquid nitrogen temperatures. Lanthanide elemental metal ions with a high spin ground state are good choices for the preparation of molecular materials with SMMs. In this review, the development of rare earth element monomolecular magnets with Pc as a ligand is presented, highlighting the various forms of monomolecular magnets and the current status of research on their magnetic properties, Ueff, and TB. SMMs generally consist of an intrinsic metal nucleus surrounded by an organic ligand shell. With the rapid development of science and technology, great progress has been made in the study of multi-nuclear SMMs. The synthesis of multinuclear rare earth SMMs and research on magneto-structural relationships are interesting. Due to the large number of metal ions inside multinuclear rare earth SMMs, the complexity of the interactions between the metal ions increases exponentially compared to that of binuclear ones, and the properties of the SMMs can be affected. Meanwhile displaying the preparation and properties of SMMs composed of other ligands. Moreover, the development of the preparation technology of SMMs with rare earth element Pcs is summarized. Methods for regulating the magnetic anisotropy, Ueff, and TB of SMMs are also presented. Magnetic anisotropy plays a crucial role in the magnetic properties of single-molecule systems: it affects the shape of the hysteresis loop, the occurrence of magnetic blockage in single-molecule magnets and the preferential orientation of molecular magnetization. Despite significant progress has been made, some critically technical points are still needed for consideration for further applications. In general, the following strategies may provide us with a new clue to construct high-performance Ln-SMMs:
- (1)
- Specific and detailed theoretical studies for further new straight forward synthetic strategies in production ambient conditions. One can continue the axial strong crystal modulation of the bulk field, combined with symmetry strategies to improve the rigidity of molecules and enhance intermolecular forces and magnetic exchange to synthesize higher performance SMMs with higher performance.
- (2)
- Experimental and theoretical calculations were performed to explore more efficient methods to modulate the relaxation process to increase the TB of SMMs.
- (3)
- The synthesis of SMMs with significant anisotropy, together with a wide range of bridging ligands, has been used in the search for effective exchange interactions, and more non-centrosymmetric multinuclear SMMs with a special arrangement of metal-centered magnetic anisotropy can be designed in the synthesis work.
- (4)
- Spintronic devices based on SMMs are an important direction of effort. It is more challenging to detect the magnetic properties of single molecule layers quickly.
All in all, we believe as scientific research progresses, more magnetic energy of rare earth SMMs can be exploited, data recording of Ueff and TB can be enhanced again, and magnetic anisotropy can be better applied to the development of spintronics devices. This review has important implications and insights for the design of Ln-SMMs.
Funding
This work was supported by the National Natural Science Foundation of China (51971057), the Liaoning Revitalization Talents Program (XLYC2002075), and the Research Funds for the Central University (N2202004 and N2102012).
Institutional Review Board Statement
Not applicable.
Informed Consent Statement
Not applicable.
Data Availability Statement
No new data were created or analyzed in this study. Data sharing is not applicable to this article.
Conflicts of Interest
The authors declare no conflict of interest.
References
- Sessoli, R.; Gatteschi, D.; Caneschi, A. Magnetic bistability in a metal-ion cluster. Nature 1993, 365, 141–143. [Google Scholar] [CrossRef]
- Wasielewski, M.R.; Forbes, M.D.E.; Frank, N.L.; Kowalski, K.; Scholes, G.D.; Yuen-Zhou, J.; Baldo, M.A.; Freedman, D.E.; Goldsmith, R.H.; Goodson, T., III; et al. Whaley. Exploiting chemistry and molecular systems for quantum information science. Nat. Rev. Chem. 2020, 4, 490–504. [Google Scholar] [CrossRef] [PubMed]
- Bayliss, S.L.; Laorenza, D.W.; Mintun, P.J.; Kovos, B.D.; Freedman, D.E.; Awschalom, D.D. Optically addressable molecular spins for quantum information processing. Science 2020, 370, 1309–1312. [Google Scholar] [CrossRef] [PubMed]
- Christou, G.; Gatteschi, D.; Hendrickson, D.N.; Sessoli, R. Single-Molecule Magnet. MRS Bull. 2000, 25, 66–71. [Google Scholar] [CrossRef]
- Wang, H.S.; Zhang, K.; Song, Y.; Pan, Z.Q. Recent advances in 3d-4f magnetic complexes with several types of non-carboxylate organic ligand. Inorg. Chim. Acta 2021, 521, 120318. [Google Scholar] [CrossRef]
- Wang, H.L.; Liu, T.; Zhu, Z.H.; Peng, J.M.; Zou, H.H.; Liang, F.P. A series of dysprosium clusters assembled by a substitution effect-driven out-to-in growth mechanism. Inorg. Chem. Front. 2021, 8, 2136–2143. [Google Scholar] [CrossRef]
- Rinehart, J.D.; Fang, M.; Evans, W.J.; Long, J.R. Strong exchange and magnetic blocking in N23−-radical-bridged lanthanide complexes. Nat. Chem. 2011, 3, 538–542. [Google Scholar] [CrossRef]
- Bogani, L.; Wernsdorfer, W. Molecular spintronics using single-molecule magnets. Nat. Mater. 2008, 7, 179–186. [Google Scholar] [CrossRef]
- Mannini, M.; Pineider, F.; Danieli, C.; Totti, F.; Sorace, L.; Sainctavit, P.; Arrio, M.A.; Otero, E.; Joly, L.; Cezar, J.C.; et al. Quantum tunnelling of the magnetization in a monolayer of oriented single-molecule magnets. Nature 2010, 468, 417–421. [Google Scholar] [CrossRef]
- Sangregorio, C.; Ohm, T.; Paulsen, C.; Sesso, R.; Gatteschi, D. Quantum Tunneling of the Magnetization in an Iron Cluster Nanomagnet. Phys. Rev. Lett. 1997, 78, 4645–4648. [Google Scholar] [CrossRef]
- Ishikawa, N.; Sugita, M.; Ishikawa, T.; Koshihara, S.; Kaizu, Y. Lanthanide Double-Decker Complexes Functioning as Magnets at the Single-Molecular Level. J. Am. Chem. Soc. 2003, 125, 8694–8695. [Google Scholar] [CrossRef] [PubMed]
- Tang, J.K.; Hewitt, I.; Madhu, N.T.; Chastanet, G.; Wernsdorfer, W.; Anson, C.E.; Benelli, C.; Sessoli, R.; Powell, A.K. Dysprosium Triangles Showing Single-Molecule Magnet Behavior of Thermally Excited Spin States. Angew. Chem. Int. Edit. 2006, 45, 1729–1733. [Google Scholar] [CrossRef] [PubMed]
- Rinehart, D.J.; Fang, M.; Evans, W.J.; Long, J.R. A N23− Radical-Bridged Terbium Complex Exhibiting Magnetic Hysteresis at 14 K. J. Am. Chem. Soc. 2011, 133, 14236–14239. [Google Scholar] [CrossRef] [PubMed]
- Gatteschi, D.; Sessoli, R. Molecular Nanomagnets; Oxford University: Oxford, UK, 2006. [Google Scholar]
- Hussain, B.; Savard, D.; Burchell, T.J.; Wernsdorfer, W.; Murugesu, M. Linking high anisotropy Dy3 triangles to create a Dy6 single molecule magnet. Chem. Commun. 2009, 9, 1100–1102. [Google Scholar] [CrossRef] [PubMed]
- Katoh, K.; Yoshida, Y.; Yamashita, M.; Miyasaka, H.; Breedlove, B.K.; Kajiwara, T.; Takaishi, S.; Ishikawa, N.; Isshiki, H.; Zhang, Y.F.; et al. Direct Observation of Lanthanide(III)-Phthalocyanine Molecules on Au(111) by Using Scanning Tunneling Microscopy and Scanning Tunneling Spectroscopy and Thin-Film Field-Effect Transistor Properties of Tb(III)- and Dy(III)-Phthalocyanine Molecules. J. Am. Chem. Soc. 2009, 131, 9967–9976. [Google Scholar] [CrossRef]
- Zhang, Y.J.; Wang, Y.F.; Liao, P.L.; Wang, K.; Huang, Z.C.; Liu, J.; Chen, Q.W.; Jiang, J.Z.; Wu, K. Detection and Manipulation of Charge States for Double-Decker DyPc2 Molecules on Ultrathin CuO Films. ACS Nano 2018, 12, 2991–2997. [Google Scholar] [CrossRef]
- Avvisati, G.; Cardoso, C.; Varsano, D.; Ferretti, A.; Gargiani, P.; Betti, M.G. Ferromagnetic and antiferromagnetic coupling of spin molecular interfaces with high thermal stability. Nano Lett. 2018, 18, 2268–2273. [Google Scholar] [CrossRef]
- Gruber, M.; Ibrahim, F.; Boukari, S.; Joly, L.; Costa, V.D.; Studniarek, M.; Peter, M.; Isshiki, H.; Jabbar, H.; Davesne, V. Spin-dependent hybridization between molecule and metal at room temperature through interlayer exchange coupling. Nano Lett. 2015, 15, 7921–7926. [Google Scholar] [CrossRef]
- Javaid, S.; Bowen, M.; Boukari, S.; Joly, L.; Beaufrand, J.B.; Chen, X.; Dappe, Y.; Scheurer, F.; Kappler, J.P.; Arabski, J. Impact on Interface Spin Polarization of Molecular Bonding to Metallic Surfaces. Phys. Rev. Lett. 2010, 105, 077201. [Google Scholar] [CrossRef]
- Ng, D.K.P.; Jiang, J. Sandwich-type heteroleptic phthalocyaninato and porphyrinato metal complexes. Chem. Soc. Rev. 1997, 26, 433–442. [Google Scholar] [CrossRef]
- Kharisov, B.I.; Mendes-Rokhas, M.A.; Ganich, E.A. Traditional and electrochemical methods of synthesizing phthalocyanines and metal complexes on their base. Solvent effect. Russ. J. Coord. Chem. 2000, 26, 301–310. [Google Scholar] [CrossRef]
- Nemykin, V.N.; Volkov, S.V. Mixed-ligand complexes of lanthanides with phthalocyanine and its analogues: Synthesis, structure, and spectroscopic properties. Russ. J. Coord. Chem. 2000, 26, 436–450. [Google Scholar]
- Buchler, J.W.; Ng, D.K.P.; Kadish, K.M.; Smith, K.M.; Guilard, R. (Eds.) The Porphyrin Handbook; Elsevier: Amsterdam, The Netherlands, 2000; pp. 245–294. [Google Scholar]
- Weiss, R.; Fischer, J.; Kadish, K.M.; Smith, K.M.; Guilard, R. (Eds.) The Porphyrin Handbook; Academic Press: New York, NY, USA, 2003; pp. 171–246. [Google Scholar]
- Kobayashi, N. Dimers, trimers and oligomers of phthalocyanines and related compounds. Coord. Chem. Rev. 2002, 227, 129–152. [Google Scholar] [CrossRef]
- Jiang, J.; Liu, W.; Arnold, D.P. Sandwich complexes of naphthalocyanine with the rare earth metals. J. Porphyrins. Phthalocyanines 2003, 7, 459–473. [Google Scholar] [CrossRef]
- Pushkarev, V.E.; Tomilova, L.G.; Tomilov, Y.V. Synthetic approaches to lanthanide complexes with tetrapyrrole type ligands. Russ. Chem. Rev. 2008, 77, 875–907. [Google Scholar] [CrossRef]
- Jiang, J.Z.; Ng, D.K.P. A Decade Journey in the Chemistry of Sandwich-Type Tetrapyrrolato-Rare Earth Complexes. Acc. Chem. Res. 2009, 42, 79–88. [Google Scholar] [CrossRef]
- Rizzini, A.L.; Krull, C.; Mugarza, A.; Balashov, T.; Nistor, C.; Piquerel, R.; Klyatskaya, S.; Ruben, M.; Sheverdyaeva, P.M.; Moras, P.; et al. Coupling of single, double, and triple-decker metal-phthalocyanine complexes to ferromagnetic and antiferromagnetic substrates. Surf. Sci. 2014, 630, 361–374. [Google Scholar] [CrossRef]
- Christou, G. Single-molecule magnets: A molecular approach to nanoscale magnetic materials. Polyhedron 2005, 24, 2065–2075. [Google Scholar] [CrossRef]
- Zhang, X.H.; Wang, S.P. 3d-4f Single Molecule-Magnets. Prog. Chem. 2010, 22, 1709–1719. [Google Scholar]
- Gonidec, M.; Davies, E.S.; McMaster, J.; Amabilino, D.B.; Veciana, J. Probing the Magnetic Properties of Three Interconvertible Redox States of a Single-Molecule Magnet with Magnetic Circular Dichroism Spectroscopy. J. Am. Chem. Soc. 2010, 132, 1756–1757. [Google Scholar] [CrossRef]
- Hellerstedt, J.; Cahlik, A.; Svec, M.; de la Torre, B.; Moro-Lagares, M.; Chutora, T.; Papouskova, B.; Zoppellaro, G.; Mutombo, P.; Ruben, M.; et al. On-surface structural and electronic properties of spontaneously formed Tb2Pc3 single-molecule magnets. Nanoscale 2018, 10, 15553–15563. [Google Scholar] [CrossRef] [PubMed]
- Ruan, L.X.; Tong, J.W.; Li, L.R.; Luo, F.F.; Zhang, R.; Qin, G.W.; Zhang, X.M. Magnetic relaxation dependences on the central ions for Ln (Ln = Tb, Dy, Er) phthalocyanines. Appl. Phys. Lett. 2020, 117, 072406. [Google Scholar] [CrossRef]
- Thomas, A.L. Phthalocyanine Research and Application; CRC Press: Boca Raton, FL, USA, 1990. [Google Scholar]
- Herchel, R.; Zoufaly, P.; Nemec, I. The effect of the second coordination sphere on the magnetism of [Ln(NO3)3(H2O)3]·(18-crown-6) (Ln = Dy and Er). RSC Adv. 2019, 9, 569–575. [Google Scholar] [CrossRef] [PubMed]
- Zhang, P.; Guo, Y.N.; Tang, J.K. Recent advances in dysprosium-based single-molecule magnets: Structural overview and synthetic strategies. Coord. Chem. Rev. 2013, 257, 1728–1763. [Google Scholar] [CrossRef]
- Ishikawa, N.; Sugita, M.; Tanaka, N.; Ishikawa, T.; Koshihara, S.Y.; Kaizu, Y. Upward Temperature Shift of the Intrinsic Phase Lag of the Magnetization of Bis (phthalocyaninato) terbiumby Ligand Oxidation Creating an S = 1/2 Spin. Inorg. Chem. 2004, 43, 5498–5500. [Google Scholar] [CrossRef]
- Kirin, I.S.; Moskalev, P.N.; Makashev, Y.A. Formation of Unusual Phthalocyanines of The Rare-Earth Elements. Russ. J. Inorg. Chem. 1965, 10, 1065–1066. [Google Scholar]
- Kirin, I.S.; Moskalev, P.N.; Makashev, Y.A. Production of unusual rare earth phthalocyanines. Russ. J. Inorg. Chem. 1965, 10, 369–372. [Google Scholar]
- Das, G.K.; Zhang, Y.; D’Silva, L.; Padmanabhan, P.; Heng, B.C.; Loo, J.S.C.; Selvan, S.T.; Bhakoo, K.K.; Tan, T.T.Y. Single-Phase Dy2O3:Tb3+ Nanocrystals as Dual-Modal Contrast Agent for High Field Magnetic Resonance and Optical Imaging. Chem. Mater. 2011, 23, 2439–2446. [Google Scholar] [CrossRef]
- Eliseeva, S.V.; Bunzli, J.C.G. Rare earths: Jewels for functional materials of the future. New J. Chem. 2011, 35, 1165–1176. [Google Scholar] [CrossRef]
- Norek, M.; Kampert, E.; Zeitler, U.; Peters, J.A. Tuning of the size of Dy2O3 nanoparticles for optimal performance as an MRI contrast agent. J. Am. Chem. Soc. 2008, 130, 5335–5340. [Google Scholar] [CrossRef]
- Müller, M.; Montbrun, R.; Marz, M.; Fritsch, V.; Sürgers, C.; Löhneysen, H.V. Switching the Conductance of Dy Nanocontacts by Magnetostr. Nano Lett. 2011, 11, 574–578. [Google Scholar] [CrossRef] [PubMed]
- Wernsdorfer, W.; Aliaga-Alcalde, N.; Hendrickson, D.N.; Christou, G. Exchange-biased quantum tunnelling in a supramolecular dimer of single-molecule magnets. Nature 2002, 416, 406–409. [Google Scholar] [CrossRef] [PubMed]
- Hill, S.; Edwards, R.; Aliaga-Alcalde, N.; Christou, G. Quantum coherence in an exchange-coupled dimer of single-molecule magnets. Science 2003, 302, 1015–1018. [Google Scholar] [CrossRef] [PubMed]
- Martínez-Flores, C.; Bolívar-Pineda, L.M.; Basiuk, V.A. Lanthanide bisphthalocyanine single-molecule magnets: A DFT survey of their geometries and electronic properties from lanthanum to lutetium. Mater. Chem. Phys. 2022, 287, 126271. [Google Scholar] [CrossRef]
- Corradini, V.; Candini, A.; Klar, D.; Biagi, R.; De Renzi, V.; Rizzini, A.L.; Cavani, N.; del Pennino, U.; Klyatskaya, S.; Ruben, M.; et al. Probing magnetic coupling between LnPc2 (Ln = Tb, Er) molecules and the graphene/Ni (111) substrate with and without Au-intercalation: Role of the dipolar field. Nanoscale 2018, 10, 277–283. [Google Scholar] [CrossRef] [PubMed]
- Li, Z.G.; Gao, F.; Xiao, Z.G.; Wu, X.Z.; Zuo, J.L.; Song, Y.L. Nonlinear optical properties and excited state dynamics of sandwich-type mixed (phthalocyaninato) (Schiff-base) triple-decker complexes: Effect of rare earth atom. Opt. Laser. Technol. 2018, 103, 42–47. [Google Scholar] [CrossRef]
- Wang, B.; Wei, C.Y. Structures fluorescent properties and single-molecule-magnet behavior of two Ln4 (LnIII = Tb and Dy) clusters. J. Mol. Struct. 2020, 1216, 128241. [Google Scholar] [CrossRef]
- Wang, H.T.; Pu, J.R.; Li, X.; Zhang, Y.; Zhang, Y.; Li, L.; Fang, M. A novel Dy4 cluster constructed by an 8 hydroxyquinoline Schiff base showing remarkable single molecule magnet behavior. Polyhedron 2021, 200, 115117. [Google Scholar] [CrossRef]
- Shi, X.H.; Wang, W.M.; Yan, L.L.; Fan, C.J.; Pang, J.L.; Wu, Z.L. Crystal structure and single-molecule magnet behavior of a novel tetranuclear Dy(III)-based cluster. J. Mol. Struct. 2021, 1226, 129373. [Google Scholar] [CrossRef]
- Wu, J.J.; Li, X.L.; Droitte, L.L.; Cador, O.; Guennic, B.L.; Tang, J.K. Coordination anion effects on the geometry and magnetic interaction of binuclear Dy2 single-molecule magnets. Dalton. Trans. 2021, 50, 15027–15035. [Google Scholar] [CrossRef]
- Canaj, A.B.; Dey, S.; Wilson, C.; Céspedes, O.; Rajaraman, G.; Murrie, M. Engineering macrocyclic high performance pentagonal bipyramidal Dy(iii) single-ion magnets. Chem. Commun. 2020, 56, 12037–12040. [Google Scholar] [CrossRef] [PubMed]
- Zhu, Z.H.; Guo, M.; Li, X.L.; Tang, J.K. Molecular magnetism of lanthanide: Advances and perspectives. Coord. Chem. Rev. 2019, 378, 350–364. [Google Scholar] [CrossRef]
- Yang, C.; Lei, W.T.; Xin, X.Y.; Qiao, N.; Hao, F.F.; Zhang, Q.F.; Zhou, Y.; Fang, M.; Wang, W.M. Construction of two Ln(III)2 (Ln = Dy and Er) compounds by a polydentate Schiff-based ligand: Structure and remarkable single-molecule magnet behavior. J. Mol. Struct. 2022, 1263, 133072. [Google Scholar] [CrossRef]
- Wang, H.T.; Niu, X.Y.; Zhang, G.X.; Jiao, Y.H.; Wu, J.Y.; Zhang, Y.; Hou, Y.L. Two butterfly-shaped LnIII2 compounds constructed by a multidentate Schiff base ligand: Structures, fluorescence properties and SMMs behaviors. Inorg. Chem. Commun. 2022, 142, 109713. [Google Scholar] [CrossRef]
- Qiao, N.; Li, X.X.; Chen, Y.; Xin, X.Y.; Yang, C.; Dong, S.S.; Wang, Y.Z.; Li, X.J.; Hua, Y.P.; Wang, W.M. Three Ln2 compounds (Gd2, Tb2 and Dy2) with a Ln2O2 center showing magnetic refrigeration property and single-molecular magnet behavior. Polyhedron 2022, 215, 115675. [Google Scholar] [CrossRef]
- Borah, A.; Murugavel, R. Magnetic relaxation in single-ion magnets formed by less-studied lanthanide ions Ce(III), Nd(III), Gd(III), Ho(III), Tm(II/III) and Yb(III). Coordin. Chem. Rev. 2022, 453, 214288. [Google Scholar] [CrossRef]
- Sun, H.; Guo, Y.; Cui, Y.F.; Li, D.W.; Yang, G.C.; She, Y.Y.; Zhang, Q.; Li, Y.H.; Zhang, Y.Q.; Yao, J.L. Dy3 and Gd3 Complexes with Dy3 Exhibiting Field-Induced Single-Molecule Magnet Behaviour. J. Mol. Struct. 2023, 1271, 134111. [Google Scholar] [CrossRef]
- Blagg, R.J.; Muryn, C.A.; McInnes, E.J.; Tuna, F.; Winpenny, R.E. Single Pyramid Magnets: Dy5 Pyramids with Slow Magnetic Relaxation to 40 K. Angew. Chem. Int. Ed. 2011, 50, 6530–6533. [Google Scholar] [CrossRef]
- Blagg, R.J.; Ungur, L.; Tuna, F.; Speak, J.; Comar, P.; Collison, D.; Wernsdorfer, W.; McInnes, E.J.L.; Chibotaru, L.F.; Winpenny, R.E.P. Magnetic Relaxation Pathways in Lanthanide Single-Molecule Magnets. Nat. Chem. 2013, 5, 673–678. [Google Scholar] [CrossRef]
- Langley, S.K.; Wielechowski, D.P.; Vieru, V.; Chilton, N.F.; Chibotaru, L.F.; Murray, K.S. The first 4d/4f single-molecule magnet containing a {RuIII2DyIII2} core. Chem. Commun. 2015, 51, 2044–2047. [Google Scholar] [CrossRef]
- Ibrahim, M.; Mereacre, V.; Leblanc, N.; Wernsdorfer, W.; Anson, C.E.; Powell, A.K. Self-Assembly of a Giant Tetrahedral 3d-4f Single-Molecule Magnet within a Polyoxometalate System. Angew. Chem. Int. Ed. 2015, 54, 15574–15578. [Google Scholar] [CrossRef] [PubMed]
- Rinehart, J.D.; Long, J.R. Exploiting single-ion anisotropy in the design of f-element single-molecule magnets. Chem. Sci. 2011, 2, 2078–2085. [Google Scholar] [CrossRef]
- Chilton, N.F.; Collison, D.; McInnes, E.J.L.; Winpenny, R.E.P.; Soncini, A. An electrostatic model for the determination of magnetic anisotropy in dysprosium complexes. Nat. Commun. 2013, 4, 2551–2557. [Google Scholar] [CrossRef] [PubMed]
- Jiang, S.D.; Qin, S.X. Prediction of the quantized axis of rare-earth ions: The electrostatic model with displaced point charges. Inorg. Chem. Front. 2015, 2, 613. [Google Scholar] [CrossRef]
- Jiang, S.D.; Wang, B.W.; Su, G.; Wang, Z.M.; Gao, S. A Mononuclear Dysprosium Complex Featuring Single-Molecule Magnet Behavior. Angew. Chem. 2010, 122, 7610–7613. [Google Scholar] [CrossRef]
- Gao, C.; Yang, Q.; Wang, B.W.; Wang, Z.M.; Gao, S. Evaporable lanthanide single-ion magnet. CrystEngComm 2016, 18, 4165–4171. [Google Scholar] [CrossRef]
- AlDamen, M.A.; Clemente-Juan, J.M.; Coronado, E.; Martı, C.; Gaita-Arinõ, A. Mononuclear Lanthanide Single-Molecule Magnets Based on Polyoxometalates. J. Am. Chem. Soc. 2008, 130, 8874–8875. [Google Scholar] [CrossRef]
- AlDamen, M.A.; Cardona-Serra, S.; Clemente-Juan, J.M.; Coronado, E.; Gaita-Arin, A.; Martı, C.; Luis, F.; Montero, O. Mononuclear Lanthanide Single-Molecule Magnets Based on the Polyoxometalates [Ln(W5O18)2]9− and [Ln(β2-SiW11O39)2]13− (LnIII = Tb, Dy, Ho, Er, Tm, and Yb). Inorg. Chem. 2009, 48, 3467–3469. [Google Scholar] [CrossRef]
- Cardona-Serra, S.; Clemente-Juan, J.M.; Coronado, E.; Gaita-Arino, A.; Camon, A.; Evangelisti, M.; Luis, F.; Martinez-Perez, M.J.; Sese, J. Lanthanoid Single-Ion Magnets Based on Polyoxometalates with a 5-fold Symmetry: The Series [LnP5W30O110]12−(Ln3+ = Tb, Dy, Ho, Er, Tm, and Yb). J. Am. Chem. Soc. 2012, 134, 14982–14990. [Google Scholar] [CrossRef]
- Dey, A.; Kalita, P.; Chandrasekhar, V. Lanthanide(III)-Based Single-Ion Magnets. ACS Omega 2018, 3, 9462–9475. [Google Scholar] [CrossRef]
- Ding, Y.S.; Han, T.; Zhai, Y.Q.; Reta, D.; Chilton, N.F.; Winpenny, R.E.P.; Zheng, Y.Z. A Study of Magnetic Relaxation in Dysprosium(III) Single-Molecule Magnets. Chem. Eur. J. 2020, 26, 5893–5902. [Google Scholar] [CrossRef] [PubMed]
- Ma, Y.; Zhai, Y.Q.; Ding, Y.S.; Han, T.; Zheng, Y.Z. Understanding a Pentagonal-Bipyramidal Holmium(III) Complex with Record Energy Barrier for Magnetisation Reversal. Chem. Commun. 2020, 56, 3979–3982. [Google Scholar] [CrossRef] [PubMed]
- Huang, G.Z.; Ruan, Z.Y.; Zheng, J.Y.; Chen, Y.C.; Wu, S.G.; Liu, J.L.; Tong, M.L. Seeking magneto-structural correlations in easily tailored pentagonal bipyramid Dy(III) single-ion magnets. Sci. China Chem. 2020, 63, 1066–1074. [Google Scholar] [CrossRef]
- Yu, K.X.; Kragskow, J.G.C.; Ding, Y.S.; Zhai, Y.Q.; Reta, D.; Chilton, N.F.; Zheng, Y.Z. Enhancing Magnetic Hysteresis in Single-Molecule Magnets by Ligand Functionalization. Chem 2020, 6, 1777–1793. [Google Scholar] [CrossRef]
- Ding, Y.S.; Chilton, N.F.; Winpenny, R.E.P.; Zheng, Y.Z. On approaching the limit of molecular magnetic anisotropy: A near-perfect pentagonal bipyramidal Dysprosium(III) single-molecule magnet. Angew. Chem. Int. Ed. 2016, 55, 16071–16074. [Google Scholar] [CrossRef]
- Chen, Y.C.; Liu, J.L.; Ungur, L.; Liu, J.; Li, Q.W.; Wang, L.F.; Ni, Z.P.; Chen, X.M.; Tong, M.L. Symmetry-supported magnetic blocking at 20 K in pentagonal bipyramidal Dy(III) single-ion magnets. J. Am. Chem. Soc. 2016, 138, 2829–2837. [Google Scholar] [CrossRef]
- Yuan, Z.D.; Qin, Y.R.; Sha, J.Q.; Wang, Y.Y.; Zhang, H.F. Two single-molecule magnets {Dy4O8} based on mixed ligand strategy. Inorg. Chem. Commun. 2022, 137, 109183. [Google Scholar] [CrossRef]
- Pushkarev, V.E.; Tomilova, L.G.; Nemykin, V.N. Historic overview and new developments in synthetic methods for preparation of the rare earth tetrapyrrolic complexes, Coordin. Chem. Rev. 2016, 319, 110–179. [Google Scholar]
- Dubinina, T.V.; Paramonova, K.V.; Trashin, S.A.; Borisova, N.E.; Tomilova, L.G.; Zefirov, N.S. Novel near-IR absorbing phenyl-substituted phthalo- and naphthalocyanine complexes of lanthanide(III): Synthesis and spectral and electrochemical properties. Dalton. Trans. 2014, 43, 2799–2809. [Google Scholar] [CrossRef]
- Kirin, I.S.; Moskalev, P.N.; Ivannikova, N.V. Preparation and Properties of Neodymium Phthalocyanine. Russ. J. Inorg. Chem. 1967, 12, 497–498. [Google Scholar]
- Kasuga, K.; Ando, M.; Morimoto, H.; Isa, K. Preparation of new phthalocyanine complexes of yttrium (iii) and some lanthanoid (iii) ions. Chem. Lett. 1986, 15, 1095–1098. [Google Scholar] [CrossRef]
- Gonidec, M.; Biagi, R.; Corradini, V.; Moro, F.; Renzi, V.D.; Pennino, U.D.; Summa, D.; Muccioli, L.; Zannoni, C.; Amabilino, D.B.; et al. Surface Supramolecular Organization of a Terbium(III) Double-Decker Complex on Graphite and its Single Molecule Magnet Behavior. J. Am. Chem. Soc. 2011, 133, 6603–6612. [Google Scholar] [CrossRef] [PubMed]
- Sokolova, T.N.; Lomova, T.N.; Morozov, V.V.; Berezin, B.D. Complex Compounds of Lanthanides with Phthalocyanine: Double Sandwich. Koord. Khim. 1994, 20, 637–640. [Google Scholar]
- Sadak, M.M.; Roncali, J.; Garnier, F. Lanthanides-Phthalocyanines complexes: From a diphthalocyanine Pc2Ln to a super complex Pc3Ln2. J. Chim. Phys. 1986, 83, 211–216. [Google Scholar] [CrossRef]
- Ruan, L.X.; Tong, J.W.; Qin, G.W.; Zhou, L.Q.; Jiao, X.C.; Zhang, X.M. Magnetic Modification and the Mechanism of Tb-Phthalocyanine Single-Molecule Magnets Prepared by a High Yield Method. Eur. J. Inorg. Chem. 2020, 21, 2112–2117. [Google Scholar] [CrossRef]
- Zhang, P.; Benner, F.; Chilton, N.F.; Demir, S. Organometallic lanthanide bismuth cluster single-molecule magnets. Chemistry 2022, 8, 717–730. [Google Scholar] [CrossRef]
- Lux, F.; Graw, F.; Graw, D. Diphthalocyaninato-thorium (Ⅳ) and-uranium(Ⅳ). Angew. Chem. Int. Ed. Eng. 1968, 7, 819–823. [Google Scholar] [CrossRef]
- Buchler, J.W.; Kappelmann, H.G.; Knoff, M.; Lay, K.L.; Pfeifer, S. Metallkomplexe mit Tetrapyrrol-Liganden, XXXI[1] Neutral and anionoid Bisporphinates des Cers und Praseodyms. Z. Nat. B 1983, 38, 1339–1345. [Google Scholar]
- Li, Z.H.; Luo, Q.C.; Zheng, Y.Z. Recent Progress of Rare-Earth Single-Molecule Magnets. J. Chin. Soc. Rare Earths 2021, 39, 391–424. [Google Scholar]
- Ungur, L. Introduction to the electronic structure, luminescence, and magnetism of lanthanides. In Lanthanide-Based Multifunctional Materials; Elsevier: Amsterdam, The Netherlands, 2018; pp. 1–58. [Google Scholar]
- Meng, Y.S.; Jiang, S.D.; Wang, B.W.; Gao, S. Understanding the Magnetic Anisotropy toward Single-Ion Magnets. Acc. Chem. Res. 2016, 49, 2381–2389. [Google Scholar] [CrossRef]
- Wernsdorfer, W.; Sessoli, R. Quantum phase interference and parity effects in magnetic molecula culsters. Science 1999, 284, 133–135. [Google Scholar] [CrossRef] [PubMed]
- Cinchetti, M.; Dediu, V.A.; Hueso, L.E. Activating the molecular spinterface. Nat. Mater. 2017, 16, 507–515. [Google Scholar] [CrossRef] [PubMed]
- Sun, M.; Mi, W. Progress in organic molecular/ferromagnet spinterfaces: Towards molecular spintronics. J. Mater. Chem C 2018, 6, 6619–6636. [Google Scholar] [CrossRef]
- Tran, T.L.A.; Çakır, D.; Wong, P.K.J.; Preobrajenski, A.B.; Brocks, G.; van der Wiel, W.G.; de Jong, M.P. Magnetic Properties of bcc-Fe(001)/C60 Interfaces for Organic Spintronic. ACS Appl. Mater. Interfaces 2013, 5, 837–841. [Google Scholar] [CrossRef]
- Sanvito, S. Molecular spintronics: The rise of spinterface science. Nat. Phys. 2010, 6, 562–564. [Google Scholar] [CrossRef]
- Atodiresei, N.; Brede, J.; Lazi, P.; Caciuc, V.; Hoffmann, G.; Wiesendanger, R.; Blügel, S. Design of the Local Spin Polarization at the Organic-Ferromagnetic Interface. Phys. Rev. Lett. 2010, 105, 066601. [Google Scholar] [CrossRef]
- Han, X.; Mi, W.; Wang, X. Spin polarization and magnetic properties at the C60/Fe4N(001) spinterface. J. Mater. Chem. C 2019, 7, 8325–8334. [Google Scholar] [CrossRef]
- Han, X.; Mi, W.; Wang, D. Tunneling magnetoresistance and light modulation in Fe4N(La2/3Sr1/3MnO3)/C60/Fe4N single-molecule magnetic tunnel junctions. J. Mater. Chem. C 2020, 8, 3137–3146. [Google Scholar] [CrossRef]
- Liu, J.L.; Chen, Y.C.; Tong, M.L. Symmetry strategies for high performance lanthanide-based single-molecule magnets. Chem. Soc. Rev. 2018, 47, 2431–2453. [Google Scholar] [CrossRef]
- Bernot, K.; Luzon, J.; Bogani, L.; Etienne, M.; Sangregorio, C.; Shanmugam, M.; Caneschi, A.; Sessoli, R.; Gatteschi, D. Magnetic Anisotropy of Dysprosium(III) in a Low-Symmetry Environment: A Theoretical and Experimental Investigation. J. Am. Chem. Soc. 2009, 131, 5573–5579. [Google Scholar] [CrossRef]
- Zhu, M.M.; Pan, H.D.; Teng, Q.H.; Liang, F.P.; Wang, K. Slow magnetic relaxation behavior of a {Dy2} complex based on a large π-conjugated bridging ligand. Polyhedron 2023, 232, 116271. [Google Scholar] [CrossRef]
- Wang, M.M.; Meng, X.X.; Song, F.; He, Y.F.; Shi, W.; Gao, H.L.; Tang, J.K.; Peng, C. Reversible structural transformation induced switchable single-molecule magnet behavior in lanthanide metal-organic frameworks. Chem. Commun. 2018, 54, 10183–10186. [Google Scholar] [CrossRef] [PubMed]
- Cen, P.P.; Liu, X.Y.; Soria, J.F.; Zhang, Y.Q.; Xie, G.; Chen, S.P.; Pardo, E. Capping Ndonor ligands modulate the magnetic dynamics of DyIII β-diketonate single-ion magnets with D4d symmetry. Chem. Eur. J. 2019, 25, 3884–3892. [Google Scholar] [CrossRef] [PubMed]
- Luzon, J.; Bernot, K.; Hewitt, I.J.; Anson, C.E.; Powell, A.K.; Sessoli, R. Spin Chirality in a Molecular Dysprosium Triangle: The Archetype of the Noncollinear Ising Model. Phys. Rev. Lett. 2008, 100, 247205. [Google Scholar] [CrossRef]
- Lin, P.H.; Burchell, T.J.; Ungur, L.; Chibotaru, L.F.; Wernsdorfer, W.; Murugesu, M. A Polynuclear Lanthanide Single-Molecule Magnet with a Record Anisotropic Barrier. Angew. Chem. 2009, 121, 9653–9656. [Google Scholar] [CrossRef]
- Ruan, L.X.; Tong, J.W.; Luo, F.F.; Wu, Y.Z.; Qin, G.W.; Jiao, X.C.; Zhang, X.M. The magnetic anisotropy of Tb-phthalocyanine films effected by molecular orientation. Appl. Surf. Sci. 2022, 585, 152445. [Google Scholar] [CrossRef]
- Zhang, W.B.; Muhtadi, A.; Iwahara, N.; Ungur, L.; Chibotar, L.F. Magnetic anisotropy in divalent lanthanide compounds. Angew. Chem. Int. Ed. 2020, 59, 12720–12724. [Google Scholar] [CrossRef]
- Guo, Y.N.; Xu, G.F.; Gamez, P.; Zhao, L.; Lin, S.Y.; Deng, R.; Tang, J.; Zhang, H.J. Two-Step Relaxation in a Linear Tetranuclear Dysprosium(III) Aggregate Showing Single-Molecule Magnet Behavior. J. Am. Chem. Soc. 2010, 132, 8538–8539. [Google Scholar] [CrossRef]
- Chen, C.P.; Wang, Y.F.; Qin, P.; Zou, H.H.; Liang, F.P. A DyIII single-ion magnet with D5h configuration. Inorg. Chim. Acta 2023, 547, 121343. [Google Scholar] [CrossRef]
- Hu, J.; Wu, R.Q. Control of the Magnetism and Magnetic Anisotropy of a Single-Molecule Magnet with an Electric Field. Phys. Rev. Lett. 2013, 110, 097202. [Google Scholar] [CrossRef]
- Tsukahara, N.; Noto, K.I.; Ohara, M.; Shiraki, S.; Takagi, N.; Takata, Y.; Miyawaki, J.; Taguchi, M.; Chainani, A.; Shin, S.; et al. Adsorption-Induced Switching of Magnetic Anisotropy in a Single Iron(II) Phthalocyanine Molecule on an Oxidized Cu(110) Surface. Phys. Rev. Lett. 2009, 102, 167203. [Google Scholar] [CrossRef] [PubMed]
- Goodwin, C.A.P.; Ortu, F.; Reta, D.; Chilton, N.F.; Mills, D.P. Molecular magnetic hysteresis at 60 kelvin in dysprosocenium. Nature 2017, 548, 439–442. [Google Scholar] [CrossRef] [PubMed]
- Guo, F.S.; Day, B.M.; Chen, Y.C.; Tong, M.L.; Mansikkamaki, A.; Layfield, R.A. Magnetic hysteresis up to 80 kelvin in a dysprosium metallocene single-molecule magnet. Science 2018, 362, 1400–1403. [Google Scholar] [CrossRef] [PubMed]
- Leuenberger, M.N.; Loss, D. Quantum computing in molecular magnets. Nature 2001, 410, 789–793. [Google Scholar] [CrossRef]
- Kilpatrick, A.F.R.; Guo, F.S.; Day, B.M.; Mansikkamaki, A.; Layfield, R.A.; Cloke, F.G.N. Single-molecule magnet properties of a monometallic dysprosium pentalene complex. Chem. Commun. 2018, 54, 7085–7088. [Google Scholar] [CrossRef]
- Luo, Q.C.; Ge, N.; Zhai, Y.Q.; Wang, T.B.; Sun, L.; Sun, Q.; Li, F.N.; Fu, Z.D.; Zheng, Y.Z. Switching the coordination geometry to enhance erbium(III) single-molecule magnets Chinese. Chem. Lett. 2023, 34, 107547. [Google Scholar]
- Miao, Y.L.; Jiang, F.; Kong, X.; Yuan, D.; Long, L.; Al-Thabaiti, S.A.; Hong, M. Two polymeric 36-metal pure lanthanide nanosize clusters. Chem. Sci. 2013, 4, 3104–3109. [Google Scholar]
- Miao, Y.L.; Li, J.Y.; Leng, J.D.; Ou, Y.C.; Tong, M.L. Two novel Dy8 and Dy11 clusters with cubane [Dy4(μ3-OH)4]8+ units exhibiting slow magnetic relaxation behaviour. Dalton. Trans. 2011, 40, 10229–10236. [Google Scholar] [CrossRef]
- Miao, Y.L.; Liu, J.L.; Leng, J.D.; Lin, Z.J.; Tong, M.L. Chloride templated formation of {Dy12(OH)16}20+ cluster core incorporating 1,10-phenanthroline-2,9-dicarboxylate. CrystEngComm 2011, 13, 3345–3348. [Google Scholar] [CrossRef]
- Coronado, E. Molecular magnetism: From chemical design to spin control in molecules, materials and devices. Nat. Rev. Mater. 2020, 5, 87–104. [Google Scholar] [CrossRef]
Disclaimer/Publisher’s Note: The statements, opinions and data contained in all publications are solely those of the individual author(s) and contributor(s) and not of MDPI and/or the editor(s). MDPI and/or the editor(s) disclaim responsibility for any injury to people or property resulting from any ideas, methods, instructions or products referred to in the content. |
© 2023 by the authors. Licensee MDPI, Basel, Switzerland. This article is an open access article distributed under the terms and conditions of the Creative Commons Attribution (CC BY) license (https://creativecommons.org/licenses/by/4.0/).







































