Abstract
Suitable soil structure and nutrient security are important for plant growth and development. The fractal dimension of soil, along with the distribution of physical and chemical properties and their interactions, plays an important role in studying the stability of soil structures and water and fertilizer cycles. As a sustainable management model, intercropping has positive benefits for erosion control, the spatial optimization of resources, and improving system productivity. The effects of four intercropping methods on the fractal dimension and physicochemical properties of soil were investigated by intercropping Salvia miltiorrhiza with forage and S. miltiorrhiza with forest under typical karst rock desertification habitats in Guizhou. The results showed that the soil nutrient content when intercropping was significantly higher than that of monoculture. The organic carbon content of soil grown under forest is higher than other treatments, and there was a non-significant change in soil water content when intercropping compared with monoculture. The soil fine-grained matter when intercropping was significantly higher than that of monoculture, while the soil fractal dimension showed a tendency to become larger with an increase in fine-grained matter. Intercropping planting, due to its component types and spatial and temporal configurations, leads to differences in soil water and fertilizer interactions, which can be combined with other ecological restoration measures to optimize the composite model and jointly promote the restoration and development of ecologically fragile areas.
1. Introduction
Karst rock desertification is a land degradation process that occurs in subtropical humid and semi-humid areas, belonging to a special type of desertification [1,2]. The karst area of southern China, centered on the Guizhou plateau, is the largest and most concentrated contiguous ecologically fragile karst area in the world, with an area of more than 55 × 104 km2, and it is also one of the most typical and complex karst developments with the most abundant landscape types [3,4]. Driven by both natural factors and human activities, soil erosion, underground leakage, and the proliferation of rocky desertification areas are frequent, resulting in problems such as poor ecosystem stability and weak resistance to disturbance [5]. On the basis of modern technological innovation and the new concept of green development, agricultural management systems such as intercropping, crop set, crop rotation, forest–grain combination, forest–agriculture combination, and grain–grass combination have been developed one after the other [6,7]. Intercropping and compound agroforestry management is advocated by the majority of scholars, which realizes the diversification of cropping systems and achieves a high efficiency of resource utilization, which has various effects on preventing soil erosion, protecting biodiversity, improving soil fertility, and protecting the ecological environment [8]. It is one of the important measures for solving the problems of food, environmental, and economic development in countries or regions with relatively scarce resources [9]. The uneven distribution of agricultural resources and environmental problems in the stone desertification areas of southwest China are not conducive to the development of large-scale mechanical agricultural production and operational methods, and the diverse and small habitats dominated by complex terrain make it easier to develop intensive green agriculture [10]. Although scientific measures to prevent and control stone desertification have been effective for a long time, the way in which to effectively build the integrity of community structures, enhance the stability and service function of ecosystems, balance the relationship between the ecological environment and economic development, and control stone desertification are still key to future work [11].
The fractal dimension not only characterizes the influence of soil particle distribution on soil structure and indicates soil quality and ecological environment [12,13], but is also an important indicator to characterize the soil evolution process, which can be used to evaluate and monitor the effect of ecological restoration and vegetation recovery on soil quality and the effectiveness of stone desertification management [14]. Soil particles, as the basic structural unit of soil, are closely related to the changes in soil structure and play an important role in the improvement of soil aeration, permeability, adhesion, and expansion and contraction [15]. In general, the higher the content of fine-grained material in the soil, the more uniform the soil structure and the higher the fractal dimension [16]. There is a significant positive correlation between the fractal dimension and soil nutrients. It is thus an important indicator for the prevention and management of stone desertification [17]. In this paper, the heterogeneity of soil fractal characteristics and physicochemical property distribution was used to study the influence of intercropping on soil erosion and degradation to analyze the conservation function of intercropping in stone desertification ecosystems. This is important for guiding the protection and restoration of stone desertification ecosystems and efficient crop production in order to promote the application of agroforestry technology and water and soil conservation in ecologically fragile areas, as well as to provide a theoretical basis for the promotion of agroforestry compound technology and ecological environment construction in ecologically fragile areas.
2. Materials and Methods
2.1. Overview of the Location of the Study Area
The test site is located in Shibing County, Qiandongnan Miao and Dong Autonomous Prefecture, Guizhou Province, China (Figure 1), in the middle section of the Maoyang River of the Yuanjiang River system in the Yangtze River basin, which is a typical dolomite karst mountain canyon landform [18]. The geomorphic evolution in the region is a rare structural system and evolutionary sequence of tropical and subtropical karst ascending development in the world. It is located in the mountainous region of Qianzhong, with a large topographic relief and an elevation in the range of 486–1869 m, and belongs to the central subtropical monsoonal humid climate zone with warm winters and cool summers, an average annual temperature of 16.5 °C, annual temperature difference of 20.2 °C, and annual precipitation concentrated in the distribution of April–October. The total annual solar radiation is 9.26 × 106 Kw m−2; the lithology is thin fine-grained dolomite of the Cambrian Gaotai Formation; and the soils are mainly black lime soils, some of which have rich gravel content [4,5]. The climate is mild and humid, the topography is complex, and the region is rich in rare species represented by Taxus wallichiana, Amentotaxus argotaenia, Keteleeria pubescens, and Pseudotsuga sinensis. Agricultural production is based on Oryza sativa, Zea mays, Nicotiana tabacum, Brassica napus, Capsicum annuum, Pseudostellaria heterophylla, and S. miltiorrhiza.
Figure 1.
Study area and sample location information.
2.2. Experimental Design
The experiment was carried out in five planting patterns at the same latitude, longitude, altitude, and slope direction (Table 1), namely (Figure 2), S. miltiorrhiza monocrop, S. miltiorrhiza–Lolium perenne intercrop, S. miltiorrhiza–Medicago sativa intercrop, S. miltiorrhiza–Sophora japonica intercrop, and S. miltiorrhiza–Lagerstroemia indica intercrop. Each planting plot was 4 × 12 m, and each pattern was replicated three times. S. miltiorrhiza was planted on 23 March 2020 using the ridge tillage method to divide the field into ridges and furrows. Salvia was planted on the ridges, planting two rows per ridge, with a ridge width of 70 cm, row spacing of 20 cm, and plant spacing of 30 cm. L. perenne and M. sativa were planted on 23 March 2020, using the strip sowing method. They were planted in the ridge furrow with four rows of forage grass planted in every other ridge of S. miltiorrhiza, with a row spacing of 30 cm, and the seeding quantity of L. perenne and M. sativa were 15 kg/hm2. The planting time for landscape trees was advanced one year to 23 March 2019, the planting spacing was 1.5 × 1.5 m, and the spacing between S. miltiorrhiza and landscape trees was 30 cm. The species of S. miltiorrhiza used was from Bozhou Wanfeng Chinese Medicine Technology Co. (Zhangdian Township, Qiaocheng District, Bozhou City, Anhui Province, China), the L. perenne was Neptune perennial L. perenne, and the M. sativa species was Suntory. Organic fertilizer was uniformly applied before planting, with a content of 134 kg/hm2. It is helpful to promote the formation of soil aggregate structure; coordinate the ratio of air and water in the soil; make the soil loose; and increase the ability of water retention, heat preservation, ventilation, and fertilizer retention. The basic physical and chemical properties of the test site prior to the test are shown in Table 2.
Table 1.
Sampling point location and information.
Figure 2.
Diagram of planting pattern.
Table 2.
The physical and chemical properties of the soil.
nD represents the number of rows of S. miltiorrhiza single crop, 2D/4M represent two rows of S. miltiorrhiza intercropped with four rows of forage, 2D/1T represent two rows of S. miltiorrhiza intercropped with four rows of landscape tree.
2.3. Sample Analysis and Determination Method
2.3.1. Analysis of Soil Physical and Chemical Properties
On 24 October 2020, the S-shaped random sampling method was adopted in four layers with sampling depths of 0–20 cm. Sampling was repeated three times; mixed; brought back to the laboratory for natural air-drying and removal of visible plant roots and gravels, passing through 0.15 mm and 2 mm soil sieves; and stored at room temperature. Soil capillary water holding capacity, soil saturated water content, capillary porosity, and relative water content were determined by ring knife method. Soil organic carbon was determined by the potassium dichromate oxidation–external heating method, the change in the amount of dichromate ions before and after the organic carbon was oxidized, and the content of organic carbon (SOC) in the soil was calculated. Soil nitrate nitrogen and ammonium nitrogen were extracted by ISO standard method with potassium chloride solution, and the samples were measured on a continuous flow analyzer (SYSTEA, Italy) using 550 nm and 660 nm filters on the upper machine, respectively.
2.3.2. Analysis of Soil Particles and Fractal Dimension
The structure of the soil particles was determined by the hydrometer method [19] according to the international sand matter particle size classification standards, i.e., coarse sand (0.2–2 mm), fine sand (0.02–0.2 mm), powder (0.002–0.02 mm), and clay (<0.002 mm), and the volume percentage content of soil particles in each particle size range was calculated. Soil particle fractal dimension was calculated according to the soil fractal model characterized by the volume distribution of particle size proposed by Tyler [20].
In Equation (1), r denotes the particle radius, Ri denotes the i-th particle size in the particle size classification, V(r < Ri) denotes the percentage volume of particles smaller than a certain particle size (Ri), VT denotes the sum of the total soil particle volume, Rmax denotes the maximum particle size in soil particles, and D is the fractal dimension of soil particle distribution. Both sides of the equation are taken logarithmically at the same time, and the scatter plot is made with the left side of Equation (2) as the horizontal coordinate and the right side of Equation (2) as the vertical coordinate. The linear regression fitting equation and fitting coefficients are obtained according to the least squares method, and the slope of the fitted linear regression equation is equal to (3-D) in Equation (2) so as to obtain the soil fractal dimension (D) of each sample.
2.4. Statistics and Analysis
One-way ANOVA, LSD multiple comparisons, and principal components analysis (PCA) were conducted using SPSS 22.0 software to analyze the significance of differences between different intercropping patterns and soil layers in terms of soil fractal dimension, soil particle distribution, and soil carbon and nitrogen content.
3. Results
3.1. The Change of Physical Properties of Soil by Intercropping
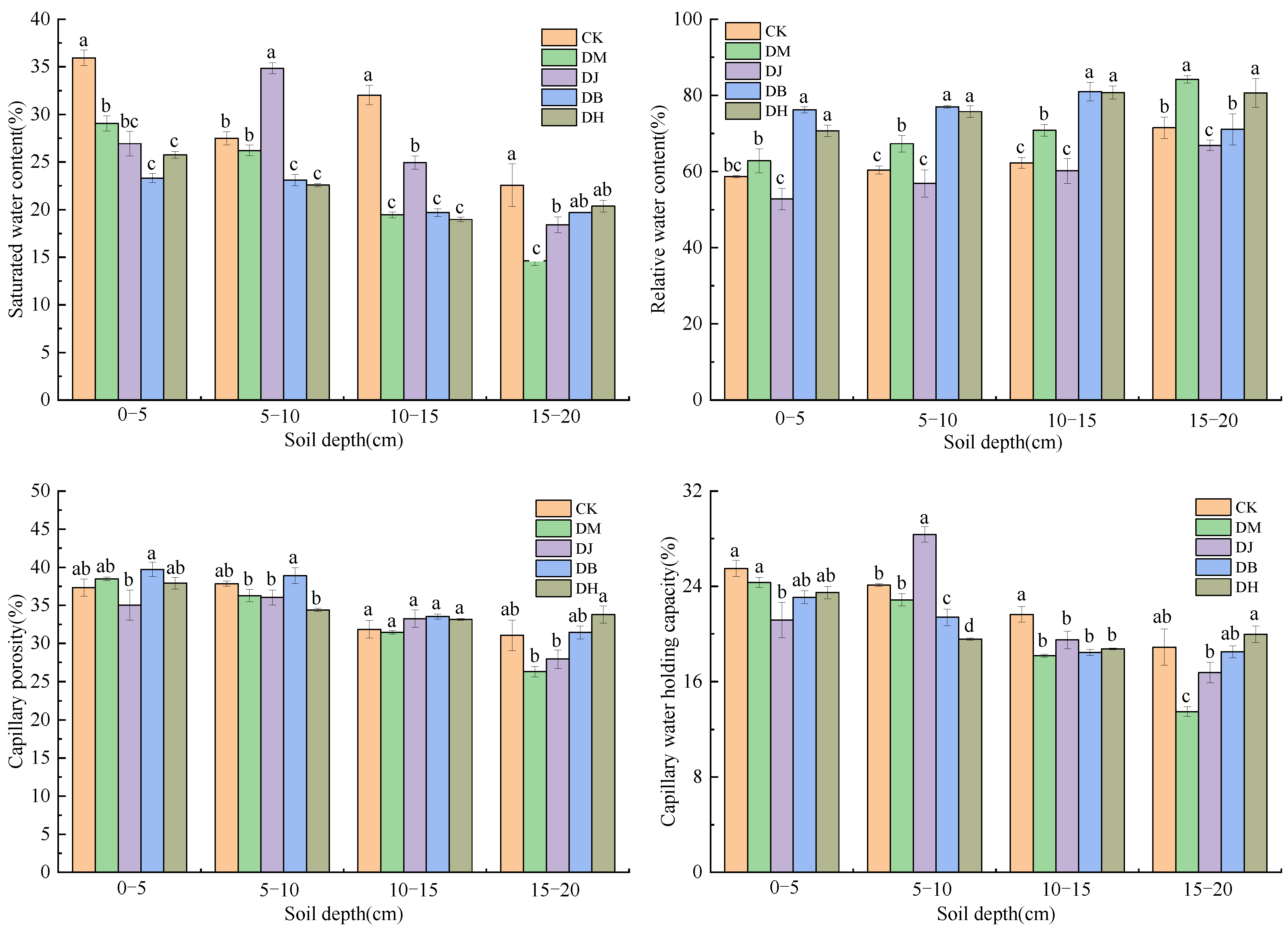
As shown in Figure 3, the average contents of the capillary water holding capacity, saturated water content, capillary porosity, and relative water content of 0–20 cm soil depth were 20.89%, 24.29%, 34.28%, and 69.39%, respectively. The saturated water content, capillary water holding capacity, and capillary porosity content showed a decreasing trend with increasing soil depth, but the relative water content showed an increasing trend with increasing soil depth. Soil saturated water content was significantly different (p < 0.05) between the intercropping treatments and CK within 0–5 cm and 10–15 cm soil layers. The difference between DM treatment and CK treatment was not significant in the 5–10 cm soil layer. The highest content was in the DJ treatment. In the 15–20 cm soil layer, DB and DH treatments were not significantly different from CK. Soil relative water content differed in different soil depth ranges. The relative soil water content of intercropping was generally greater than that of monoculture. In the 0–5 cm soil layer, there was no significant difference in CK between DM and DJ treatments. There was no significant difference between DJ treatment and CK in the 5–10 cm or 10–15 cm soil layer, while in the 15–20 cm soil layer, there was no significant difference between DB treatment and CK. Soil capillary porosity did not vary significantly between treatments and was highest in the DB treatment in the 0–15 cm soil depth range and in the DH treatment in the 15–20 cm soil depth range. Non-significant differences existed between the intercropping treatments and CK in the 0–20 cm soil depth range. Soil capillary water holding capacity was highest in the CK treatment and lowest in the DJ treatment, and significant differences existed between the DJ treatment and CK within the 0–5 cm soil depth (p < 0.05). There was no significant difference between DM treatment and CK within the 5–10 cm soil layer. Within the 10–15 cm soil layer, there were significant differences between both intercropping treatments and CK, while there were non-significant differences between all intercropping treatments. Within the 15–20 cm soil layer, a significant difference existed between DM treatment and CK, with the lowest content in DM treatment.
Figure 3.
Comparison of soil physical properties with different treatments. CK: Salvia miltiorrhiza monoculture, DM: Salvia miltiorrhiza–Lolium perenne intercropping, DJ: Salvia miltiorrhiza–Cichorium intybus intercropping, DB: Salvia miltiorrhiza–Trifolium repens intercropping, DH: Salvia miltiorrhiza–Lolium perenne intercropping mode. Different lowercase letters indicate significant differences (p < 0.05). Same below.
3.2. Study on the Change of Soil Carbon and Nitrogen by Intercropping
The planting pattern had a significant effect on soil organic carbon distribution (p < 0.05). The soil organic carbon content of several cropping patterns decreased with increasing soil depth. Intercropping treatment showed significantly higher soil organic carbon content than monoculture treatment at all soil depths (Figure 4). In the 0–5 cm, 10–15 cm, and 15–20 cm soil layers, the DH treatment was significantly higher than the other treatments. Each of the five cropping patterns had a significant effect on soil organic carbon distribution (p < 0.05). Within the 5–10 cm soil layer, there was a significant effect (p < 0.05) between the four intercropping plantings and the CK treatment, while there was a non-significant effect (p > 0.05) on soil organic carbon distribution in the DB and DH treatments. Soil ammonium N content showed a decreasing trend with increasing soil depth (Figure 5), with the highest content in the DJ treatment and the lowest in the CK treatment. In the 0–5 cm soil layer, all four intercropping treatments were significantly higher than monoculture, among which there was a non-significant difference between DH treatment and DB treatment (p > 0.05). In the 5–10 cm soil layer, there was a non-significant difference between DM treatment and DB treatment (p > 0.05), while in the 10–15 cm soil layer, there was a significant effect between intercropping treatment and monoculture treatment (p < 0.05). In the 10–15 cm soil layer, the DM and DH treatment had non-significant effects, while each intercropping treatment had significant effects with CK treatment (p < 0.05). Within the 15–20 cm soil layer, the soil ammonium nitrogen content of the five cropping patterns did not vary significantly, and DB, DH, and CK treatment had no significant difference, but there was a significant difference with each intercropping treatment. Soil nitrate N content was generally highest in the DJ treatment and lowest in the CK treatment at different soil depths (Figure 5). In the 0–5 cm soil layer, five cropping patterns were significantly different (p < 0.05). Within the 5–10 cm and 10–15 cm soil layers, the DM treatment was not significantly different from the CK treatment (p > 0.05). In the 15–20 cm soil layer, there was a significant difference between DJ treatment and CK treatment, while there was a non-significant difference between DM treatment and DB treatment (p > 0.05).
Figure 4.
Distribution changes of soil organic carbon content in different treatments.
Figure 5.
Distribution changes of soil nitrogen in different treatments. XTD: soil nitrate nitrogen, ATD: soil ammonium nitrogen.
3.3. Changes in Soil Particle Composition by Intercropping
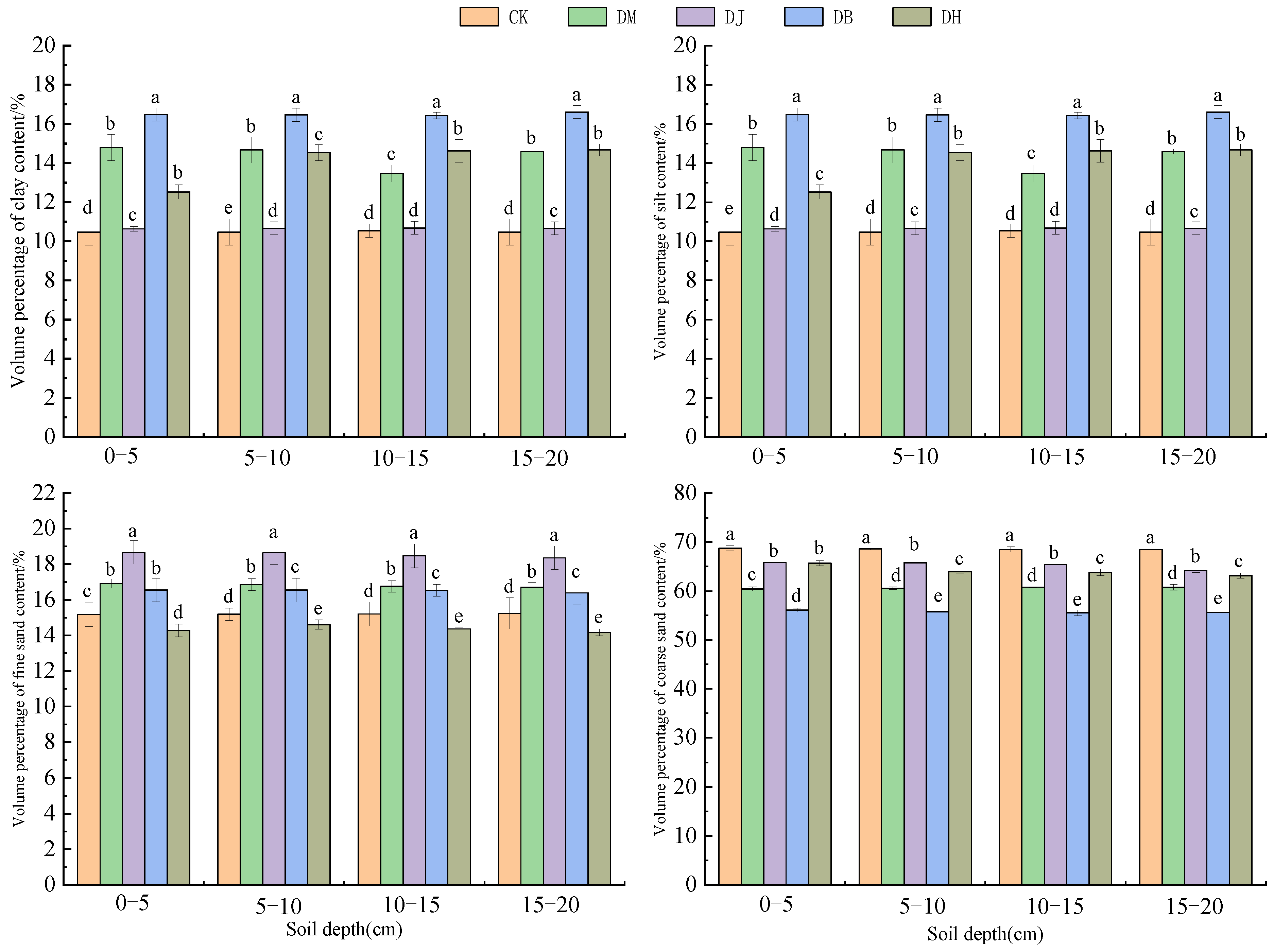
It can be seen that the soil particle composition in this study area was mainly composed of sand grains (Figure 6), followed by powder grains, with a small proportion of clay grains. Soil coarse sand (0.2–2 mm) and fine sand (0.02–0.2 mm) had higher contents, 55.28%–68.78% and 13.56%–18.68%, with mean contents of 61.99% and 16.28%, respectively. The mean percentage of soil powder grains (0.002–0.02 mm) was 13.22%. Soil clay particles (<0.002 mm) had the lowest content with a mean value of 7.62%.
Figure 6.
Changes in the distribution of soil particles in different treatments.
The results showed that intercropping patterns had different significant effects on the distribution of soil particle content at different depths (Figure 6). The distribution of soil particle content in each treatment mainly showed a pattern of coarse sand > fine sand > powder > clay particles. Soil clay content was the highest in DB treatment and the lowest in CK treatment in different soil depth ranges, and the difference was significant (p < 0.05) between the treatments in the 5–10 cm soil layer. In the 10–15 cm soil layer, the difference between CK treatment and other treatments was not significant. Within the 15–20 cm soil layer, the DM treatment was not significantly different from the other treatments. In the distribution of soil fine sand content, DB treatment was the highest and DH treatment was the lowest. There was no significant effect between DB treatment and other treatments within the 0–5 cm soil layer. A significant effect (p < 0.05) existed between treatments at 5–10 cm, 10–15 cm, and 15–20 cm. The clay grain content was highest in CK treatment and lowest in DB treatment in different soil depth ranges. In the distribution of coarse sand soil content, each treatment had a significant effect (p < 0.05) at 5–10 cm, 10–15 cm, and 15–20 cm, while DH treatment was not significantly different from other treatments at 0–5 cm.
3.4. The Change of Soil Fractal Dimension by Intercropping
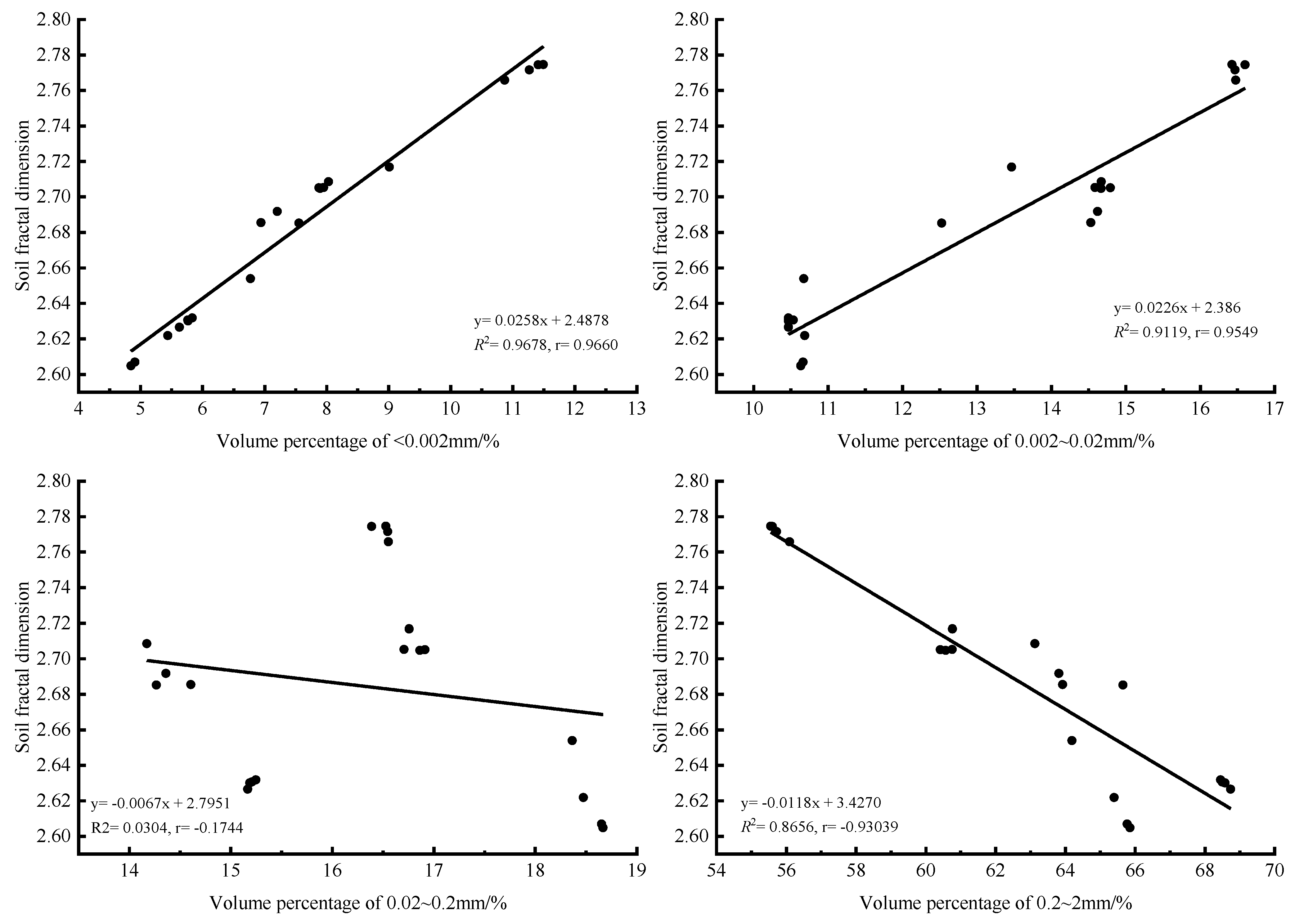
In this study, soil fractal dimension values ranged from 2.60 to 2.77 (Figure 7). There was a significant effect (p < 0.05) on soil fractal dimension between treatments in the 0–5 cm, 5–10 cm, and 10–15 cm soil layers. The pattern was DB > DM > DH > CK > DJ in the range of 0–15 cm. In the 15–20 cm soil layer, the soil fractal dimension exhibited a pattern of DB > DM > DH > DJ > CK.
Figure 7.
Changes in soil fractal dimension in different treatments.
3.5. Changes in Soil Properties by Intercropping
3.5.1. Correlation Variation of Particle Size and Fractal Dimension
From Figure 8, it can be seen that soil clay content showed a linear positive correlation with fractal dimension (R2 = 0.9678, r = 0.9660). The soil fractal dimension was linearly correlated with the soil powder content (R2 = 0.9119, r = 0.9549). Soil fine sand content showed a linear negative correlation with soil fractal dimension (R2 = 0.0304, r = −0.1744). Soil coarse sand content showed a linear negative correlation with soil fractal dimension (R2 = 0.8656, r = −0.9303). The best correlation was found with <0.002 mm soil particle content. The higher the content of fine soil particles, the higher the fractal dimension and vice versa. From Figure 8, it is apparent that <0.02 mm particle size was the critical particle size that determined the fractal dimension of the soil in the planting pattern. The higher the volume content of particles with a particle size of <0.02 mm, the greater the value of the fractal dimension, and the higher the volume content of particles with a particle size of >0.02 mm, the smaller the fractal dimension. In summary, soil volume fractal dimension showed a significant positive correlation with the volume content of fine soil particles (>0.02 mm) and a negative correlation with the volume content of coarse particles (<0.02 mm). This is because the smaller the soil particles and the finer the texture, the more difficult the formation of soil structure becomes. In addition, the finer the soil texture becomes, the more microscopic pores increase, and the more complex the internal structure becomes, the higher the fractal dimension [20,21].
Figure 8.
Correlation changes between soil particle size and fractal dimension.
3.5.2. Correlation Changes between Soil Physical and Chemical Properties and Fractal Dimension
From Figure 9, it can be seen that soil fractal dimension had a significant positive correlation with soil fine particle volume content, a significant negative correlation with soil coarse particle content, and no correlation with soil physicochemical properties. Soil coarse particle volume content showed a significant negative correlation with fine particle volume content without significant correlation with soil physicochemical properties. There was a significant correlation between soil capillary porosity and soil water content and chemical properties, with a significant correlation between soil water content. Previous studies have shown that soil pore structure is complex and pore space is highly variable, whereas irregular pore morphology can enhance the soil saturated water content, increase the total soil porosity, and improve the soil water content.
Figure 9.
Correlation changes between soil physical and chemical properties and fractal dimension.
3.5.3. Changes in Principal Component Analysis of Soil Indicators under Intercropping
Principal component analysis was used to continue the analysis of the relationship between intercropping on soil particle composition, fractal dimension, and physicochemical properties. Two common factors with eigenvalues <3 were extracted, and the accumulated contribution of common factors reached 63.1%, fulfilling the requirements of principal component analysis. As shown in Figure 10, the first principal component was strongly correlated with soil fractal dimension, soil sand content, soil powder content, and soil clay content. Hence, the PC1 component mainly reflects the influence of soil fractal dimension and soil particle content with planting pattern. The PC2 component was strongly correlated with soil capillary water holding capacity, saturated water content, capillary porosity, and relative water content, which mainly reflect the influence of soil physical properties and cropping patterns. Two principal components reflected the driving factors of different cropping patterns and soil environmental changes from different aspects.
Figure 10.
Principal component analysis of soil indexes under different treatments.
4. Discussion
4.1. The Changes of Soil Particle Size and Fractal Dimension
The correlation between soil fractal dimension and percent volume of fine particles and soil nutrients was high, which can reflect the degree of surface wind erosion and soil structure [21,22]. The results of this study showed that the soil clay content of S. miltiorrhiza intercropping was significantly higher than that of monoculture. The soil sand content of S. miltiorrhiza monoculture was significantly higher than that of intercropping. The improvement of soil structure was more significant in S. miltiorrhiza intercropped with L. perenne compared with that intercropped with M. sativa. As L. perenne plants have more tillers and large root systems, which save fine particulate matter from blowing and effectively intercept atmospheric dust materials during their growth, the redistribution of soil particle composition can be significantly different in different intercropped plantings, thus indirectly affecting soil structure and nutrient characteristics [23]. There are significant differences in the single morphological structure of the two landscape trees in Salix intercropping, especially between the plant height and branch sparseness, such as the juvenile greenery seedlings of Sophora japonica, a shrub form with many twisted branches and slender twigs, and the perennial trees of Lagerstroemia indica, with well-developed, dense, soft, and pendulous branches and a well-developed deep root system, due to the differences in the external structure resulting in different soil particle composition for the deposition of dusty material to the surface in the area, resulting in differences in soil fractal dimension at 0–20 cm soil depth under different intercropping types, as well as some variability among different species in the same soil layer, resulting in different soil nutrient contents. The soil fine particulate matter of intercropped Lagerstroemia indica was significantly larger than that of intercropped Sophora japonica, indicating that the differences in the height, crown width, branch sparseness, and root development of individual plants caused different intercropping methods on the wind-fixing effect and soil environment improvement ability, which affected the composition of soil particles.
4.2. Study on the Changes of Planting Pattern on the Characteristics of Soil Physicochemical Properties
Soil water holding capacity is the ability of soil to hold and retain water, which is an important physical property of soil. When precipitation or irrigation water enters the soil, it will be affected by the combined effect of molecular gravity, capillary force, and gravity of soil particles, and thus the moisture will soak, move, and be held in the soil through the soil pores. Soil water is a key factor affecting the physiological structure and function of crops in the karst areas [24]. Studies have shown that soil water holding capacity is related to the nature of the soil itself [25]; it is mainly held by the adsorption of water by soil particles and capillary forces in soil capillary pores, and therefore soil surface area and soil pore space directly determine soil water retention [26], while soil physical and chemical properties such as soil bulk, texture, and organic matter content mainly affect soil by influencing pore condition and specific surface area to water holding capacity. Soil water holding capacity is closely related to organic carbon content [27] and is influenced by factors such as soil particle distribution and capacitance, where soil particles affect water holding capacity by influencing pore distribution [28,29]. As can be seen from Figure 7, soil water content in general showed a negative correlation with increasing soil particles in the same soil depth, which decreased with increasing soil depth, showing different differential changes in soil water content between intercropping and monoculture. Through intercropping planting in areas with coarse soil particles in karst rocky desertification, we found that the ground cover gradually increased, dead leaves accumulated and plant leaves were retained at different levels, the atmospheric precipitation was effectively absorbed by plants, and the retained water increased, thus increasing the soil water holding capacity. Ling [30] showed that intercropping can greatly improve the soil surface cover and increase the amount of soil root distribution, which can make the soil surface less subject to erosion by water and wind, lead to more humus content such as organic matter and other plant residues in the soil, and lead to higher soil water holding capacity. In this study, the saturated water content of soil was significantly higher in monoculture than in intercrop at different soil depths, indicating that intercrop crops have greater uptake of soil water than monoculture. The correlation of soil water holding capacity with organic carbon and ammonium nitrogen was significant, but not with nitrate nitrogen, indicating that soil water holding capacity of each soil layer in the study area was mainly influenced by soil particle distribution, organic carbon, and ammonium nitrogen factors.
Soil organic carbon content is an important indicator of soil nutrient content [31]. The variation of its content is not only influenced by the parent soil-forming material [32], but also closely related to planting methods, tillage practices, ground cover conditions, and plant root distribution characteristics [33,34,35]. The influence of plant roots on soil organic carbon is mainly through root penetration, entanglement, and network sequestration to influence the physical properties of the soil, which in turn improves the soil’s resistance to erosion, infiltration, shear capacity, and ability to contain water and nutrients [36]. In karst areas, the soil layer is shallow and thin, some areas have coarse soil particles mainly in sandy loam, and the density of vegetation root volume generally decreases with an increase in soil depth, which makes soil organic carbon decrease with an increase in soil depth. In this study, we found that the soil organic carbon content of four intercrop plantings was significantly higher than that of monoculture plantings. The soil organic carbon content of intercropped landscape trees was again significantly higher than that of intercropped forage. Cong [37] also found that the soil organic carbon content of the intercrop pattern was significantly higher than that of monocultures. The reason for this is, in addition to the influence of soil particles, it is likely to be related to the ground cover condition and plant root distribution characteristics, as the intercropping pattern has a significant biomass and yield advantage. The root biomass is significantly higher than the monoculture treatment, and the residual carbon is easily imported to the soil through the root system [38,39]. On the other hand, in the intercropping pattern, there will be interaction between the roots of different crops, promoting the growth of root secretion. In the intercropping pattern, there is an interaction between the roots of different crops, which promotes the growth of root secretions and increases the activity of soil microorganisms, sequestering and mineralizing the soil’s organic carbon [40].
Nitrate nitrogen can promote photosynthetic carbon assimilation and sucrose accumulation in plants. It has a positive effect on stem and leaf growth and regulation of leaf aging. Ammonium nitrogen, meanwhile, can promote the accumulation of starch in plant leaves and improve the photosynthetic capacity of plants, but its content should be kept within a reasonable range as too much can lead to metabolic disorders and ‘ammonium poisoning’ in plants [41,42]. In this study, the nitrate and ammonium nitrogen contents in the surface layer (0–20 cm) of the soils of the four intercropping patterns were significantly higher than those of monoculture, which was mainly due to the fact that nitrate and ammonium nitrogen in the surface layer of monoculture were not easily leached by soil adsorption, and soil nitrogen was not easily leached by intercropping due to the influence of the root system during growth, which indicated that intercropping could not only alleviate the rapid leaching of nitrogen from the surface layer, but also increase soil adsorption of nitrogen and improve soil nitrogen utilization. This indicates that intercropping can not only alleviate the rapid loss of nitrogen from the surface layer, but also increase soil nitrogen sorption and improve soil nitrogen utilization. In the present study, the soil nitrogen content of M. sativa intercropped with S. miltiorrhiza was significantly higher than that of other intercrops and monocultures, which is similar to the findings of Liu et al. [43], who found that the soil ammonium nitrogen content of alfalfa was higher than that of other crops. On the one hand, it may be related to the nitrogen fixation by the roots of M. sativa; on the other hand, the soil water content of intercropped M. sativa was lower than that for the other treatments, which reduced the leaching of nitrogen from the soil surface layer and enhanced the mineralization, thus making the soil nitrogen content higher than that for the other treatments.
5. Conclusions
Intercropping planting occupies an important position in the stone desertification agroforestry ecosystem by reasonably utilizing the ecological functions of different vegetation and coordinating the relationship between crops and the environment. Principal component analysis and correlation analysis showed that the impact that intercropping had on soil water content and capillary porosity was inconsistent. The soil water content and capillary porosity were higher when forest intercropping S. miltiorrhiza than when forage intercropping and S. miltiorrhiza intercropping could effectively improve the soil fine particle matter. The finer the sand content, the greater the soil fractal dimension, indicating that the fractal dimension could well reflect the degree of change of soil particle size distribution under intercropping methods. Among the four intercropping methods, the soil fine particulate matter content was the highest in the forest intercropping of S. miltiorrhiza, the soil carbon and nitrogen content was significantly greater when intercropping than in monocultures, the soil total carbon content was the best in the forest intercropping, and the soil nitrogen content was the highest in the legume forage intercropping of S. miltiorrhiza. This study is only a preliminary study to compare the ecological effects of four kinds of S. miltiorrhiza species under one year of compound planting growth, and it is a single analysis of the soil–plant relationship without the long-term dynamic change process and the influence of other ecological measures. Therefore, we recommend combining the physiological characteristics of different plants, reasonable selection of crop species, and management methods and long-term monitoring. Intercropping is used as a sustainable development tool combined with other agroforestry development models and ecological restoration measures in order to promote the structure and function of the damaged agroforestry ecosystem in stone desertification, promoting ecological restoration and economic development in stone desertification areas.
Author Contributions
Q.X.: conceptualization, methodology, writing—review and editing, software, and validation. K.X.: conceptualization, visualization, supervision, and investigation. Y.C.: data curation, methodology, writing—review and editing, and supervision. All authors have read and agreed to the published version of the manuscript.
Funding
This research was funded by the World Top Discipline Program of Guizhou Province: Karst Ecoenvironment Sciences (no. 125 2019 Qianjiao Keyan Fa) and the Key Project of Science and Technology Program of Guizhou Province: Poverty Alleviation Model and Technology Demonstration for Ecoindustries Derived from the Karst Desertification Control (no. 5411 2017 Qiankehe Pingtai Rencai).
Institutional Review Board Statement
This study did not involve human or animals.
Informed Consent Statement
Informed consent was obtained from all subjects involved in the study.
Data Availability Statement
Not available.
Conflicts of Interest
The authors declare no conflict of interest.
References
- Xiong, K.; Chen, Q. Discussion on karst rocky desert evolution trend based on ecologically comprehensive treatment. Caisol. Sin. 2010, 29, 50–56. [Google Scholar]
- Jiang, Z.; Lian, Y.; Qin, X. Rocky desertification in Southwest China: Impacts, causes, and restoration. Earth-Sci. Rev. 2014, 132, 1–12. [Google Scholar] [CrossRef]
- Xiong, K.N.; Li, J.; Long, M.Z. Features of Soil and Water Loss and Key Issues in Demonstration Areas for Combating Karst Rocky Desertification. Acta Geogr. Sin. 2012, 67, 878–888. [Google Scholar]
- Sheng, M.; Xiong, K.; Wang, L.; Li, X.; Li, R.; Tian, X. Response of soil physical and chemical properties to Rocky desertification succession in South China Karst. Carbonates Evaporites 2018, 33, 15–28. [Google Scholar] [CrossRef]
- Li, Y.-B.; Shao, J.-A.; Yang, H.; Bai, X.-Y. The relations between land use and karst rocky desertification in a typical karst area, China. Environ. Earth Sci. 2009, 57, 621–627. [Google Scholar] [CrossRef]
- Tom, G. Formation of mineral-mineral and organo-mineral composite building units from microaggregate-forming mate-rials including microbially produced extracellular polymeric substances. Eur. J. Soil Sci. 2019, 70, 604–615. [Google Scholar]
- Brooker, R.W.; Bennett, A.E.; Cong, W.-F.; Daniell, T.J.; George, T.S.; Hallett, P.; Hawes, C.; Iannetta, P.P.M.; Jones, H.G.; Karley, A.J.; et al. Improving intercropping: A synthesis of research in agronomy, plant physiology and ecology. New Phytol. 2014, 206, 107–117. [Google Scholar] [CrossRef] [PubMed]
- Yin, W.; Chai, Q.; Zhao, C.; Yu, A.; Fan, Z.; Hu, F.; Fan, H.; Guo, Y.; Coulter, J.A. Water utilization in intercropping: A review. Agric. Water Manag. 2020, 241, 106335. [Google Scholar] [CrossRef]
- Amundson, R.; Berhe, A.A.; Hopmans, J.W.; Olson, C.; Sztein, A.E.; Sparks, D.L. Soil and human security in the 21st century. Science 2015, 348, 1261071. [Google Scholar] [CrossRef] [Green Version]
- Bai, Z.; Caspari, T.; Gonzalez, M.R.; Batjes, N.H.; Mäder, P.; Bünemann, E.K.; de Goede, R.; Brussaard, L.; Xu, M.; Ferreira, C.S.S.; et al. Effects of agricultural management practices on soil quality: A review of long-term experiments for Europe and China. Agric. Ecosyst. Environ. 2018, 265, 1–7. [Google Scholar] [CrossRef]
- Chen, Q.; Lu, S.; Xiong, K.; Zhao, R. Coupling analysis on ecological environment fragility and poverty in South China Karst. Environ. Res. 2021, 201, 111650. [Google Scholar] [CrossRef]
- Sun, C.; Liu, G.; Xue, S. Natural succession of grassland on the Loess Plateau of China affects multifractal characteristics of soil particle-size distribution and soil nutrients. Ecol. Res. 2016, 31, 891–902. [Google Scholar] [CrossRef]
- Chen, T.-L.; Shi, Z.-L.; Wen, A.-B.; Yan, D.-C.; Guo, J.; Chen, J.-C.; Liu, Y.; Chen, R.-Y. Multifractal characteristics and spatial variability of soil particle-size distribution in different land use patterns in a small catchment of the Three Gorges Reservoir Region, China. J. Mt. Sci. 2021, 18, 111–125. [Google Scholar] [CrossRef]
- Li, K.; Yang, H.; Han, X.; Xue, L.; Lv, Y.; Li, J.; Fu, Z.; Li, C.; Shen, W.; Guo, H.; et al. Fractal features of soil particle size distributions and their potential as an indicator of Robinia pseudoacacia invasion1. Sci. Rep. 2018, 8, 1–13. [Google Scholar] [CrossRef]
- Qi, F.; Zhang, R.; Liu, X.; Niu, Y.; Zhang, H.; Li, H.; Li, J.; Wang, B.; Zhang, G. Soil particle size distribution characteristics of different land-use types in the Funiu mountainous region. Soil Tillage Res. 2018, 184, 45–51. [Google Scholar] [CrossRef]
- Zhao, W.-J.; Cui, Z.; Ma, H. Fractal features of soil particle-size distributions and their relationships with soil properties in gravel-mulched fields. Arab. J. Geosci. 2017, 10, 211. [Google Scholar] [CrossRef]
- He, C.; Zeng, C.; Xiao, S.Z. Preliminary Study on Hydrological and Hydrochemical Regime of a Typical Humid Subtropical Dolomite Catchment, A Case Study in the Huangzhou River Basin, Shibing County, Guizhou Province. Earth Environ. 2020, 48, 279–293. [Google Scholar]
- Liu, Q.; Gu, Z.F.; Lu, Y.R. The Experimental Study of Dolomite Dissolution and Pore Characteristics in Shibing, Guizhou. Acta Geosci. Sin. 2015, 26, 413–418. [Google Scholar]
- The effect of type, concentration and volume of dispersing agent on the magnitude of the clay content determined by the hydrometer analysis. J. S. Afr. Inst. Civ. Eng. 2016, 58, 48–54. [CrossRef] [Green Version]
- Tyler, S.W.; Wheatcraft, S.W. Application of Fractal Mathematics to Soil Water Retention Estimation. Soil Sci. Soc. Am. J. 1989, 53, 987–996. [Google Scholar] [CrossRef]
- Jia, X.H.; Li, X.R.; Zhang, J.G. Spatial heterogeneity analysis of fractal dimension of soil particle for Ammopiptanhus mongolicus shrub. Acta Ecol. Sin. 2006, 26, 2827–2833. [Google Scholar]
- Hu, Y.F.; Liu, J.Y.; Zhuang, D.F. Fractal Dimension of Soil Particle Size Distribution Under Different Land Use / Land Coverage. Acta Pedol. Sin. 2005, 42, 336. [Google Scholar]
- Xia, D.; Deng, Y.; Wang, S.; Ding, S.; Cai, C. Fractal features of soil particle-size distribution of different weathering profiles of the collapsing gullies in the hilly granitic region, south China. Nat. Hazards 2015, 79, 455–478. [Google Scholar] [CrossRef]
- Zhang, S.R.; Deng, L.J.; Zhou, Q. Fractal Dimensions of Particle Surface in The Plowed Layers and Their Relationships with Main Soil Properties. Acta Pedol. Sin. 2002, 39, 221–226. [Google Scholar]
- Wang, D.; Fu, B.J.; Chen, L.D. Fractal analysis on soil particle size distributions under different land-use types: A case study in the loess hilly areas of the Loess Plateau, China. Acta Ecol. Sin. 2007, 27, 3081–3089. [Google Scholar]
- Yuan, C.J.; Xiong, K.N.; Rong, L. Research Progress on the Biodiversity during the Ecological Restoration of Karst Rocky Desertification. Earth Environ. 2021, 49, 1–10. [Google Scholar]
- Ulusal, A.; Varol, E.A.; Bruckman, V.J.; Uzun, B.B. Opportunity for sustainable biomass valorization to produce biochar for improving soil characteristics. Biomass-Convers. Biorefinery 2021, 11, 1041–1051. [Google Scholar] [CrossRef]
- Somasundaram, J.; Salikram, M.; Sinha, N.K.; Mohanty, M.; Chaudhary, R.S.; Dalal, R.C.; Mitra, N.G.; Blaise, D.; Coumar, M.V.; Hati, K.M.; et al. Conservation agriculture effects on soil properties and crop productivity in a semiarid region of India. Soil Res. 2019, 57, 187. [Google Scholar] [CrossRef]
- Abid, M.; Lal, R. Tillage and drainage impact on soil quality: II. Tensile strength of aggregates, moisture retention and water infiltration. Soil Till Res. 2009, 103, 364–372. [Google Scholar] [CrossRef]
- Augé, R.; Stodola, A.J.; Tims, J.E.; Saxton, A. Moisture retention properties of a mycorrhizal soil. Plant Soil 2001, 230, 87–97. [Google Scholar] [CrossRef]
- Guber, A.; Pachepsky, Y.; Shein, E.; Rawls, W. Soil aggregates and water retention. Soil Organ. Matter 2004, 30, 143–151. [Google Scholar] [CrossRef]
- Zhang, J.H.; Li, G.D.; Nan, Z.R. Research on soil particle size distribution and its relationship with soil organic carbon under the effects of tillage in the Heihe oasis. Geogr. Res.-Aust. 2012, 31, 608–618. [Google Scholar]
- Zotarelli, L.; Alves, B.; Urquiaga, S.; Boddey, R.; Six, J. Impact of tillage and crop rotation on light fraction and intra-aggregate soil organic matter in two Oxisols. Soil Tillage Res. 2007, 95, 196–206. [Google Scholar] [CrossRef]
- Techen, A.-K.; Helming, K.; Brüggemann, N.; Veldkamp, E.; Reinhold-Hurek, B.; Lorenz, M.; Bartke, S.; Heinrich, U.; Amelung, W.; Augustin, K.; et al. Soil research challenges in response to emerging agricultural soil management practices. Adv. Agron. 2020, 161, 179–240. [Google Scholar] [CrossRef]
- Wang, K. Effects of plant roots on soil anti-erosion. Soil Environ. Sci. 2001, 10, 250–252. [Google Scholar]
- Cong, W.-F.; Hoffland, E.; Li, L.; Six, J.; Sun, J.-H.; Bao, X.-G.; Zhang, F.-S.; Van Der Werf, W. Intercropping enhances soil carbon and nitrogen. Glob. Chang. Biol. 2015, 21, 1715–1726. [Google Scholar] [CrossRef] [PubMed]
- Brady, N.C.; Weil, R.R. The Nature and Properties of Soils, 14th ed.; Pearson Education Inc.: London, UK, 2008. [Google Scholar]
- Yang, C.; Chai, Q.; Gb, H. Root distribution and yield responses of wheat/maize intercropping to alternate irrigation in the arid areas of northwest China. Plant Soil Environ. 2010, 56, 253–262. [Google Scholar] [CrossRef] [Green Version]
- Fu, X.P.; Wu, F.Z.; Wu, X. Advances in the mechanism of improving crop mineral nutrients in intercropping and relay intercropping systems. Plant Nutr. Fertil. Sci. 2016, 22, 525–535. [Google Scholar]
- Bruun, S.; Luxhoi, J.; Magid, J. A nitrogen mineralization model based on relationships for gross mineralization and immobilization. Soil Biol Biochem. 2006, 38, 2712–2721. [Google Scholar] [CrossRef]
- Yurova, A.; Wolf, A.; Sagerfors, J.; Nilsson, M. Variations in net ecosystem exchange of carbon dioxide in a boreal mire: Modeling mechanisms linked to water table position. J. Geophys. Res. Space Phys. 2007, 112, 245–252. [Google Scholar] [CrossRef]
- Scheible, W.R.; Gonzalezfontes, A.; Lauerer, M. Nitrate acts as a signal to induce organic acid metabolism and repress starch metabolism in tobacco. Plant Cell. 1997, 9, 783–798. [Google Scholar] [CrossRef] [PubMed]
- Liebig, M.A.; Hendrickson, J.R.; Berdahl, J.D. Response of soil carbon and nitrogen to transplanted alfalfa in North Dakot. Can. J. Soil Sci. 2010, 90, 523–526. [Google Scholar] [CrossRef]
Publisher’s Note: MDPI stays neutral with regard to jurisdictional claims in published maps and institutional affiliations. |
© 2021 by the authors. Licensee MDPI, Basel, Switzerland. This article is an open access article distributed under the terms and conditions of the Creative Commons Attribution (CC BY) license (https://creativecommons.org/licenses/by/4.0/).









