Abstract
In the present study, we examined fine root production and soil available nutrients (N, P and K) across different soil depths in rubber monoculture and rubber–Flemingia macrophylla agroforestry of different stand ages. We used the ingrowth cores method and sampled 360 soil cores over four growth intervals, representing one year of growth for the present study. The results showed that root production and macronutrient concentrations generally decreased with increasing soil depth. Total fine root production was comparatively high in the youngest stand age (12 years) rubber monoculture; a similar trend was observed for the soil available P and K, but available N was greater in older than younger stand ages. Root growth and soil available P and K were all lower in the agroforestry system than the monoculture. Significant differences in fine root production with stand ages, management system and seasons suggest that fine root responses to the soil available nutrients are vital to understanding the precise response of above- and belowground biomass to environmental changes.
1. Introduction
The natural forest of southwestern China and much of continental southeast Asia has been extensively replaced with plantations of rubber trees (Hevea brasiliensis (Willd. ex A. Juss.) Müll. Arg.) []. Replacement of natural forests by plantations can lead to the degradation of soil resources and ecosystem services with soil organic carbon (SOC) losses, accelerated soil acidification, changes in the quantity and composition of nutrient compounds, soil erosion and nutrient runoff, ultimately affecting land productivity, which threatens the future livelihoods of residents [,]. This has led to efforts to reduce the negative impacts of plantations on soil productivity and other ecosystem services [,]. Agroforestry has been proposed as one means to achieve resource sustainability in the rubber plantations of Xishuangbanna and continental southeast Asia [,]. It is critical to know whether agroforestry promotes greater soil resource conservation, productivity and thus ecosystem service sustainability. One means of evaluating these properties is to consider fine root productivity and its spatiotemporal impacts on soil fertility in systems of rubber monoculture versus rubber agroforestry.
Fine roots are most commonly defined as plant roots that are two millimeters or less in diameter whose primary function is the acquisition and transport of soil resources (e.g., nutrients, water) []. Fine roots collectively comprise most of the total length of the root system of a plant []. As fine roots age, their function shifts from acquiring soil resources to transporting materials to other plant parts [,], and are closely related to the forest stand type, as well as topographic and edaphic factors, depending on the dominant tree species [,,]. They are the dynamic part of the root system, having a relatively short lifespan with rapid turnover. Upon death, these fine roots contribute significant amounts of carbon and nutrients in adjoining soil [,]. It has been reported that 18% to 58% of the total soil N in soil is added by the mortality of fine roots [,,]. Growth and turnover of fine roots account for about 33% of global net primary production and for 3–30% of the total root biomass in terrestrial ecosystems, consequently providing the basis for understanding belowground competition among species [,].
Several understory plants are grown in agroforestry systems with rubber, including crop plants such as tea (Camellia sinensis L.) and several ginger species (Zingiberaceae) [], and also nitrogen-fixating legumes aimed at enriching the soil quality and thereby productivity of the rubber plantations [,]. Our investigations are focused on Flemingia macrophylla (Willd.) Kuntze ex Merr., an excellent understory cover crop. The species grows profusely with moderate drought tolerance and significantly contributes to soil organic matter accumulation and resists occasional flooding. It is often intercropped with rubber for improving biomass, weed control, erosion, decreasing soil temperature, conserving moisture and acting as a windbreak, and can promote the growth of rubber trees based on fine root growth, stem and leaf biomass [,]. Previous research has concluded that Rubber-Flemingia agroforestry enhances the storage of carbon, increases soil nitrogen content and nutrient accumulation and conserves water and soil [,]. However, it is unclear how including Flemingia macrophylla as a cover crop alters fine root production or the vertical spatial arrangement of fine root growth. Evaluating these patterns could help us to understand whether there are differences in how plantation trees use soil resources in vertical space when grown as monocultures versus being grown in agroforest systems.
Several studies have demonstrated that fine root biomass decreases with depth in the soil profile [,,,]. Plants can obtain nutrients as soon as organically bound nutrients from the litterfall are mineralized or even directly from the decaying material through interactions with mycorrhizas and the exudation of extra-cellular compounds [,]. Therefore, most of the roots are located in the top 10 cm layer as an adaptation to maximize nutrient uptake. However, some studies observed that fine root production increases with soil depth, suggesting that growing into deeper soil layers is an additional strategy to satisfy the requirement for more resources in support of greater above- and belowground productivity in species mixtures in mature stands [,]. In addition, some studies have indicated that root growth increases in deeper soil layers during the dry season to absorb water in those layers [,]. These contrasting results indicate that root growth across depths is context-specific and seasonally specific, and thus may be important to understand differences in root production in monocultures versus agroforestry systems.
Fine root production is highly affected by the stand age of plantations. The effects of stand age on fine root production remain poorly understood. Several studies have shown an increasing trend of soil N concentration with stand age [,], but other studies of secondary forest ecosystems have noted that carbon sequestration decreases with age [,,], suggesting that forests and plantations may become less productive over time, potentially due to soil nutrient depletion []. Thus, it is unclear how stand age might affect fine root production and whether there is an interaction between stand age and soil depth at which root growth occurs, nor is it understood how the inclusion of Flemingia alters these spatiotemporal dynamics.
We examined changes to fine root production and available soil macronutrient concentration (N, P, K) at different soil depths over one year of growth in rubber stands of different ages that were either monocultures or agroforests intercropped with Flemingia macrophylla. The objectives of this study were:
(i) To compare vertical fine root production and soil available nutrients (N, P, K) in rubber monoculture versus rubber–Flemingia agroforestry systems with different-aged rubber stands (12, 15, and 24 years).
(ii) To evaluate the seasonal variations in fine root production and soil available nutrients.
(iii) To evaluate the correlation between fine root production and available nutrient concentrations in rubber monoculture versus rubber–Flemingia agroforestry systems.
2. Materials and Methods
2.1. Site Description
The experiment was performed in Mengla County, Xishuangbanna Prefecture, Yunnan Province (21°33′ N, 101°28′ E), southwest China. The area has a tropical monsoonal climate, with a wet season between May and October and a dry season from November to April. The annual average rainfall is ~1500 mm, with more than 85% falling in the wet season []. The mean annual temperature is ~21.5 °C, with a mean maximum monthly temperature of 26.5 °C in June and a mean minimum monthly temperature of 17.1 °C in December. The soils are classified as oxisols with a pH of about 5.0, approximately 2 m deep overlying arenaceous shale sediments [].
2.2. Experimental Design
The study site was composed of rubber monocultures planted in 1994, 2003 and 2006, meaning the stand ages were 24, 15 and 12 years, respectively, when the experiment was conducted (2018). The rubber trees were planted in a conventional 2.5 m × 8 m spacing arrangement, with each stand covering 1 ha (10,000 m2). In June 2010 (8 years prior to the start of this experiment), each age stand was divided into 6 subplots of 25 m × 20 m (500 m2), in which three were underplanted with Flemingia macrophylla (rubber–Flemingia agroforestry) and three were not (rubber monoculture). Flemingia macrophylla were interplanted into each stand at a density of 0.8 m × 1.0 m inter-row spacing []. Subsequently, all subplots were managed similarly, except Flemingia was clipped to approximately 30 cm above the ground in December each year and the cut material was left on the ground
In March 2018, root ingrowth soil cores were established in each of the six subplots in each stand age. The cores were made with a sharp stainless steel soil drill with a 9 cm inner diameter. Cores were dug from 0 to 60 cm below ground level. All roots in the soil were carefully removed by hand, and the rootless soil was put back into the cores and compressed to ground level. We installed 20 soil cores (5 rows × 4 columns) in each subplot. For all three ages, a total of 360 soil ingrowth cores (3 ages × 6 subplots × 20 cores) were installed. The cores were covered with leaf litter and marked with steel rods.
2.3. Estimation of Fine Root Production
Fine root production was estimated through the ingrowth cores method [,,]. We measured one year of fine root production with 4 sampling dates spread apart by 3-month intervals, yielding 4 periods of growth, i.e., S1 (June 2018), S2 (September 2018), S3 (December 2018) and S4 (March 2019). S1 and S2 samples represent wet season samples and S3 and S4 represent dry season samples. Five cores were recovered from each subplot at each sampling date (total = 90 ingrowth cores across subplots per sampling date).
After removal, the ingrowth cores were carefully divided into 0–10, 10–20, 20–30, 30–40, 40–50 and 50–60 cm depths. The 5 soil core samples for each soil layer per sampling date were combined together into a single plastic bag, yielding 6 combined samples per subplot per sampling date (6 depths × 6 subplots × 3 ages = 108 samples per date × 4 dates = 432 total samples). Soil samples were placed on a 1 mm sieve and floated in the water tub several times to separate roots from soil residues. Both components were used for subsequent analyses.
The roots were handpicked with forceps from the sieve, and roots with diameter > 2 mm were determined and discarded. The sorted fine roots from all depths were then oven-dried at 70 °C for 48 h to obtain a constant mass, using an electronic balance, and we calculated the biomass in Mg h−1 per 10 cm layer, using the inner radius of the auger:
where Pfr is the production of fine roots (Mg per ha), Wfr is the dry weight of fine roots (g) and ric is the radius of the ingrowth core (4.5 cm).
Pfr = (Wfr × 100)/(π × (ric)2
2.4. Soil Chemistry Analysis
Soil residues from the ingrowth cores were used for soil chemistry analyses, in order to link fine root properties with soil chemistry. The soil was dried at 105 °C to constant weight for at least 24 h, then sieved through a sifter with a 0.2 mm mesh size and stored in plastic bags for each layer for each core for available N, P and K analysis. Soil available N was measured by extracting in 2 mol L−1 KCl and quantified using a continuous flow auto-analyzer (SEAL Analytical GmbH, Germany) []. Soil available P was measured using 0.03 mol L−1 of NH4F and 0.025 mol L−1 of HC1 and then analyzed colorimetrically [], and available K was analyzed through an inductively coupled plasma atomic emission spectrometer ((ICP-AES, iCAP6300, Thermo Fisher Scientific, Waltham, MA, USA) followed by digestion in nitric–perchloric acid solution [].
2.5. Data Analysis
All analysis was performed in statistical R software version 4.1.0 (R Core Team, 2021; R Foundation for Statistical Computing: Vienna, Austria) []. We calculated fine root production in each soil layer of each ingrowth core as the average dry mass of live plus dead fine roots of each ingrowth core. Estimates of fine root production were calculated by determining differences in dry mass for all sampling intervals. Prior to further analysis, we used the Shapiro–Wilk test for data normality and log-transformed data as necessary to improve the normality of the data.
First, we used linear mixed effect models (using the ‘lme4’ package) to test whether fine root production and soil nutrients (available N, P, K) differed by management type (rubber monoculture versus rubber–Flemingia intercropping), soil depth (6 classes: 0–10 cm, 10–20 cm, 20–30 cm, 30–40 cm, 40–50 cm, 50–60 cm) and season (4 periods: 0–3 months, 3–6 months, 6–9 months, 9–12 months). Subplot name (18) was included as a random effect since multiple cores were collected from each subplot over time. We used the lmer function of ‘lme4′ package [] to run the mixed model analysis.
Second, we used Pearson’s correlation to test for covariation strength among fine root production and available nutrients (N, P, K). For this analysis, we considered only the fourth sampling period, on the assumption that cumulative root growth would be greatest over the full growing season. We also summed values across depths understanding that root mass likely decreased exponentially with soil depth. Thus, we had 18 sampling units (6 age × management combinations × 3 replicates). We then split the data between management types to understand whether relationships between fine root mass and soil nutrients differed by management type.
3. Results
3.1. Impact of Depth, Season and Stand Age on Fine Root Production
Substantial variation in fine root biomass was due to differences across soil depths (see sums-of-squares in Table 1), reflecting the natural change in root biomass from high values in shallower layers to low values in deeper layers (Figure 1). The sampling interval also explained substantial variation (Table 1), with large differences in biomass accumulation between the first three intervals (mostly positive) and the last interval (mostly negative), likely reflecting ambient growing conditions (the fourth sampling period occurred during the late dry season), but these responses were not universal. The highest significant interaction for fine root biomass was I × M × A, indicating a significant interaction between sampling interval (I), management type (M) and age (A) of the plantation stand. The major differences were as follows: rubber monoculture stands had greater root biomass than the rubber–Flemingia intercropping stands. Younger age stands showed persistent biomass accumulation into the fourth sampling interval, whereas older stands had more noticeable declines in root biomass during the same period, suggesting substantial dieback for older stands than younger stands during the dry season. Fine root biomass accumulation across all soil layers was noticeably greater in the youngest monoculture stand than other stands (Figure 1).

Table 1.
Summarized ANOVA for linear mixed effect models testing whether stand age, sampling interval, soil depth, management system (rubber monoculture versus rubber–Flemingia intercropping) or their interactions significantly impact fine root production and available N, P or K. Effects significant at p < 0.05 are emboldened.

Figure 1.
Fine root production in different soil layers across four sampling intervals (S1, June 2018; S2, September 2018; S3, December 2018; S4, March 2019) within different-aged stands of two plantation management types (rubber monoculture versus rubber–F. macrophylla intercropping).
3.2. Impact of Depth, Season and Stand Age on Soil Available Nutrients
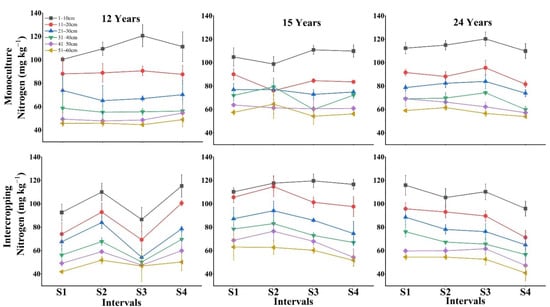
Soil available nutrients were similarly responsive to soil depth and sampling intervals (Table 1, Figure 2, Figure 3 and Figure 4), although the explanatory power of sampling interval was much lower than for fine root mass. The highest order significant interaction for available N and K was I × M × A, similarly to fine root mass. Although the interaction was significant for available N, the magnitude of the differences between management × stand age combinations for available N were visually small, with rather similar total nutrients in each soil layer and a steady decline in available N with increasing soil depth (Figure 2). Old stands showed a notable decline in soil N in the last sampling period, similar to fine root biomass.

Figure 2.
Soil available N in different soil layers across four sampling intervals (S1, June 2018; S2, September 2018; S3, December 2018; S4, March 2019) within different-aged stands of two plantation management types (rubber monoculture versus rubber–F. macrophylla intercropping).

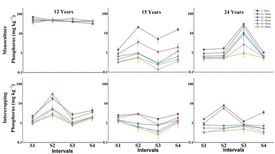
Figure 3.
Soil available P in different soil layers across four sampling intervals (S1, June 2018; S2, September 2018; S3, December 2018; S4, March 2019) within different-aged stands of two plantation management types (rubber monoculture versus rubber–F. macrophylla intercropping).

Figure 4.
Soil available K in different soil layers across four sampling intervals (S1, June 2018; S2, September 2018; S3, December 2018; S4, March 2019) within different-aged stands of two plantation management types (rubber monoculture versus rubber–F. macrophylla intercropping).
Soil available K was greater in monoculture stands than intercropping stands, and was greatest in the youngest monoculture stand (Figure 4). In that stand, there was an obvious decline in available K after the second interval, which was mostly not apparent in the remaining stands. Available potassium in the 12-year and 15-year intercropping stands did not differ substantively.
Available phosphorus included two three-way interactions: I × M × A and M × A × D, indicating that independently of sampling interval, soil available phosphorus differed between soil depths differently across management type and stand ages. Consideration of the data (Figure 3) indicates that the interactive effect was related to substantial differences in soil available P in the youngest stand monoculture, which had much greater available P than any other age × management type. Concentrations of available P in different soil layers also did not follow consistent declines with depth in this 12-year-old monoculture stand when compared to other age × management types. The other noticeable pattern was that available P was highest in the second sampling interval for the 12-year intercropping stand and highest in the third sampling interval for the 24-year monoculture stand. In general, available phosphorus was greater in the rubber monoculture stands than the intercropping stands.
3.3. Correlations between Fine Root Mass Production and Soil Nutrients across Management Types
In rubber monoculture stands, fine root mass was positively correlated with available P and available K but uncorrelated with available N (Figure 5). By contrast, in rubber–Flemingia intercropping stands, fine root mass was significantly negatively correlated with available N, P and K. In both management types, available P was positively correlated with available K, but available N was weakly correlated with available P and uncorrelated with available K.

Figure 5.
Pearson correlation matrices of fine root production (FRP), soil available nitrogen (A.N), soil available phosphorus (A.P) and soil available potassium (A.K) under two management systems: (a) rubber monoculture and (b) rubber–Flemingia intercropping. The significance levels for correlations are p < 0.001, p < 0.01 and p < 0.05. All variables were normalized prior to correlation testing.
4. Discussion
In this study, we evaluated how fine root biomass and soil available macronutrients (N, P, K) changed across soil depths and growing periods over a full year in rubber monocultures versus rubber–Flemingia intercropping agroforestry systems, across rubber stands of different ages. For most response variables, patterns of change with soil depth followed standard expectations, i.e., decreasing root production and nutrients with depth profile [,], with only available P showing a response to different management and ages across soil depth, but this unusual pattern was only observed in the 12-year monoculture treatment (Figure 3). In that treatment combination, soil available P was greatest in the upper soil layers in the early sampling periods, but in later periods, lower soil layers had greater available P. The combined evidence suggests that adding Flemingia into rubber reduced total final root production and reduced soil available P and K.
4.1. Management Type Effects on Fine Root Production and Soil Nutrients
The rubber–Flemingia agroforestry system did not enhance total fine root production in rubber stands in our study, but rather reduced it relative to rubber monocultures. Likewise, the findings of Jacob et al. [] have also shown no positive effect of stand diversity on the standing fine root growth. Contrastingly, Brassard et al. [] and Domisch et al. [] found that fine root productivity was higher in mixed than single-species stands. Sun et al. [] have suggested contrasting responses associated with differences in climatic conditions; site fertility and species identity may determine these contrasting observations. Archambault et al. [] suggest that the aboveground positive diversity effect may be due to increased efficiency of resource extraction, resulting in less allocation towards fine roots with increasing diversity. In our study, less fine root production in agroforestry might be explained by more effective soil resource uptake of fine root production in the community over the previous years: Flemingia was planted in 2010, eight years before our sampling took place. Moreover, Flemingia is an N-fixing legume, a function that has very high requirements for P and K [], and thus may have severely depleted soil P through extraction in the preceding years, causing the lower P and K values in the intercropping stands than the monoculture stands (Figure 3 and Figure 4). This is also supported by the strong negative correlation between root mass and soil available P and K (Figure 5). This can only be fully resolved by following soil nutrient use over several years directly from the time of planting of Flemingia into the plantations, which, unfortunately, we were unable to do. Soil nitrogen did not seem to respond very strongly to differences in plantation type (although there were significant interactions—Table 1), and also showed a negative correlation with fine root mass in both the rubber monoculture and rubber–Flemingia intercropping stands (Figure 5), suggesting that root biomass was not strongly affected by the management type. This is somewhat surprising, since Flemingia has been chosen as a support crop because it is thought to enhance to soil fertility through N fixation. The loss of P and K in the soils may render Flemingia useless as a N-enriching crop, but perhaps the benefits are expressed in aboveground rubber production, which we did not consider here. In the present study, rapid decomposition of leaf litter boosted by high moisture and temperatures in the tropical environment might ensure rapid uptake of available nutrients into aboveground biomass [,]. If not, then the benefits of Flemingia as a cover crop in rubber plantations may need re-evaluation. A possible explanation for the loss of soil P and K is that cutting Flemingia down in December each year is actually problematic. December is during the early dry season in Xishuangbanna (our third sampling period), and Flemingia plants are still green at the time of cutting, which may lead to loss of nutrients because the plants do not dieback naturally, during which time they would withdraw a large amount of nutrients from their leaves into belowground structures []. At the same time, cutting plant material during the early dry season prevents this cut material from being decomposed because of the combination of low water availability and low temperatures. It would be useful to investigate whether delaying cutting to the late dry season changes the depletion of soil nutrients over time.
4.2. Stand Age Effects on Fine Root Production and Available Soil Nutrients
We observed some differences in fine root growth over time across ages (Figure 1). Generally, root biomass increased across all sampling periods in the youngest stands, but the oldest stands showed a marked decline in root biomass in the final period. Our only explanation for this is that the lower soil fertility (available P, available K) of the oldest stands may compromise the ability of rubber plants to sustain root biomass through the late dry season. While we found marked declines in available soil P and K with increasing stand age, we did not find marked trends in available N across rubber stand ages. This contrasts with other studies which found increasing soil N concentrations with stand age [,]. That we did not find this pattern likely reflects the fact that N is more labile, being extracted from atmospheric resources. On the other hand, the greater demand for growth and latex production and no input of fertilizers lower the content of P and K in a mature mix plantation, which could be attributed to a large amount of P loss from consecutive latex removal of mature rubber trees, along with nutrient loss via runoff and erosion over time.
Soil available K is mostly leached by runoff easily; hence, the amount that is accessible to the fine roots is hardly lower than N or P, despite occasionally being higher than N and especially P []. The results suggest that total P and K will become increasingly depleted with plantation age, and thus, fertilization with P and K may be necessary to maintain the productivity of older rubber stands []. Furthermore, in the present study, we found that N and K were significantly higher in the top mineral layer and decreased with soil depths (Figure 4). However, P did not decrease in the lower soil depths (30–60 cm), probably due to plants’ slower root respiration and absorption, especially when N-fixing species were cut down and covered in situ []. Lower soil depths do not have access to high quantities of nutrients released by litterfall decomposition as in the surface layers. This can probably be attributed to the constant deposition of root residues in these systems and the smaller mineralization of P [].
5. Conclusions
The results of this study demonstrate that fine root production and soil nutrients (N, P, K) significantly vary with stand age, growing seasons, soil depths and management practices. Rubber monoculture produces greater fine roots than agroforestry, and thus exhibits better soil nutrients. However, decreased soil nutrients and fine roots in the agroforestry system would possibly be because of the problem with cutting management of Flemingia macrophylla in previous years that might have exported the organic matter from the site. Fine root production and most available nutrients decreased with soil depth in all the plantations studied. However, available P increased with the increase in soil depths in the youngest rubber monoculture, showing the weathering addition of P. Our results offer an understanding of the dynamic spatiotemporal relationship between fine roots and nutrients in rubber monocultures versus rubber–Flemingia macrophylla agroforestry systems.
Author Contributions
Conceptualization, J.T.; methodology, J.T.; formal analysis, F.B. and K.W.T.; investigation, J.T.; resources, J.T.; writing—original draft preparation, F.B.; writing—review and editing, F.B., K.W.T., C.L. (Chenggang Liu), C.L. (Chang’an Liu) and Y.J.; project administration, J.T.; funding acquisition, J.T. All authors have read and agreed to the published version of the manuscript.
Funding
This study was funded by the Key Program of CAS (KFZD-SW-312), the Natural Science Foundation of Yunnan Province (2016FA047) and the Project of Xishuangbanna Science and Technology Bureau (200915, 201116).
Institutional Review Board Statement
Not applicable.
Informed Consent Statement
Not applicable.
Acknowledgments
We would like to thank the Institutional Center for Shared Technologies and Facilities of Xishuangbanna Tropical Botanical Garden (XTBG), Chinese Academy of Sciences (CAS) for their support with soil sample analyses. We deeply thank Balasubramanian Durairaj at the CAS Key Laboratory of Tropical Forest Ecology, XTBG, CAS, and Arun Jyoti Nath at Assam University India for the editing and encouragement of the manuscript.
Conflicts of Interest
The authors declare no conflict of interest. The funders had no role in the design of the study; in the collection, analyses or interpretation of data; in the writing of the manuscript, or in the decision to publish the results. The authors declare that they have no known competing financial interests or personal relationships that could have appeared to influence the work reported in this paper.
References
- Rao, X.; Liu, C.-A.; Tang, J.-W.; Nie, Y.; Liang, M.-Y.; Shen, W.-J.; Siddique, K.H.M. Rubber-leguminous shrub systems stimulate soil N2O but reduce CO2 and CH4 emissions. For. Ecol. Manag. 2021, 480, 118665. [Google Scholar] [CrossRef]
- Edwards, D.P.; Laurance, S.G. Green labelling, sustainability and the expansion of tropical agriculture: Critical issues for certification schemes. Biol. Conserv. 2012, 151, 60–64. [Google Scholar] [CrossRef]
- Liu, C.; Pang, J.; Jepsen, M.R.; Lü, X.; Tang, J. Carbon Stocks across a Fifty Year Chronosequence of Rubber Plantations in Tropical China. Forests 2017, 8, 209. [Google Scholar] [CrossRef]
- Ziegler, A.D.; Fox, J.M.; Xu, J. The rubber juggernaut. Science 2009, 324, 1024–1025. [Google Scholar] [CrossRef] [PubMed]
- Chen, C.; Liu, W.; Wu, J.; Jiang, X.; Zhu, X. Can intercropping with the cash crop help improve the soil physico-chemical properties of rubber plantations? Geoderma 2019, 335, 149–160. [Google Scholar] [CrossRef]
- Liu, C.-A.; Nie, Y.; Rao, X.; Tang, J.-W.; Siddique, K.H.M. The effects of introducing Flemingia macrophylla to rubber plantations on soil water content and exchangeable cations. Catena 2019, 172, 480–487. [Google Scholar] [CrossRef]
- Singh, A.K. Prospective of rubber-based agroforestry on Swidden fallow for synergizing climate change mitigation and adaptation. Trop. Ecol. 2018, 59, 605–618. [Google Scholar]
- McCormack, M.L.; Dickie, I.A.; Eissenstat, D.M.; Fahey, T.J.; Fernandez, C.W.; Guo, D.; Helmisaari, H.; Hobbie, E.A.; Iversen, C.M.; Jackson, R.B. Redefining fine roots improves understanding of below-ground contributions to terrestrial biosphere processes. New Phytol. 2015, 207, 505–518. [Google Scholar] [CrossRef]
- Pierret, A.; Moran, C.J.; Doussan, C. Conventional detection methodology is limiting our ability to understand the roles and functions of fine roots. New Phytol. 2005, 166, 967–980. [Google Scholar] [CrossRef]
- Pregitzer, K.S.; DeForest, J.L.; Burton, A.J.; Allen, M.F.; Ruess, R.W.; Hendrick, R.L. Fine root architecture of nine North American trees. Ecol. Monogr. 2002, 72, 293–309. [Google Scholar] [CrossRef]
- Hishi, T. Heterogeneity of individual roots within the fine root architecture: Causal links between physiological and ecosystem functions. J. For. Res. 2007, 12, 126–133. [Google Scholar] [CrossRef]
- Raizada, A.; Jayaprakash, J.; Rathore, A.C.; Tomar, J.M.S. Distribution of fine root biomass of fruit and forest tree species raised on old river bed lands in the north west Himalaya. Trop. Ecol. 2013, 54, 251–261. [Google Scholar]
- Singha, D.; Tripathi, S.K. Variations in fine root growth during age chronosequence of moist tropical forest following shifting cultivation in Mizoram, northeast India. Trop. Ecol. 2017, 58, 769–779. [Google Scholar]
- Ma, X.; Wang, X.; Jin, Y.; Zhang, Y. Fine root production, turnover of Reaumuria songarica and soil carbon and nitrogen in Alxa steppe desert of NW China. Restor. Ecol. 2021, 29, e13362. [Google Scholar] [CrossRef]
- Lai, Z.; Zhang, Y.; Liu, J.; Wu, B.; Qin, S.; Fa, K. Fine-root distribution, production, decomposition, and effect on soil organic carbon of three revegetation shrub species in northwest China. For. Ecol. Manag. 2016, 359, 381–388. [Google Scholar] [CrossRef]
- Eissenstat, D.M.; Wells, C.E.; Yanai, R.D.; Whitbeck, J.L. Building roots in a changing environment: Implications for root longevity. New Phytol. 2000, 147, 33–42. [Google Scholar] [CrossRef]
- Yuan, Z.Y.; Chen, H.Y.H. Fine Root Biomass, Production, Turnover Rates, and Nutrient Contents in Boreal Forest Ecosystems in Relation to Species, Climate, Fertility, and Stand Age: Literature Review and Meta-Analyses. Crit. Rev. Plant Sci. 2010, 29, 204–221. [Google Scholar] [CrossRef]
- Tripathi, S.K. Fine root growth and soil nutrient dynamics during shifting cultivation in tropical semi-evergreen forests of northeast India. J. Environ. Biol. 2019, 40, 45–52. [Google Scholar]
- Zhang, Z.; Huang, M.; Zhang, Y. Vertical distribution of fine-root area in relation to stand age and environmental factors in black locust (Robinia pseudoacacia) forests of the Chinese Loess Plateau. Can. J. For. Res. 2018, 48, 1148–1158. [Google Scholar] [CrossRef]
- He, L.; Jia, Z.; Li, Q.; Zhang, Y.; Wu, R.; Dai, J.; Gao, Y. Fine root dynamic characteristics and effect on plantation’s carbon sequestration of three Salix shrub plantations in Tibetan Plateau alpine sandy land. Ecol. Evol. 2021, 11, 2645–2659. [Google Scholar] [CrossRef]
- Langenberger, G.; Cadisch, G.; Martin, K.; Min, S.; Waibel, H. Rubber intercropping: A viable concept for the 21st century? Agrofor. Syst. 2017, 91, 577–596. [Google Scholar] [CrossRef]
- Liu, C.; Jin, Y.; Hu, Y.; Tang, J.; Xiong, Q.; Xu, M.; Bibi, F.; Beng, K.C. Drivers of soil bacterial community structure and diversity in tropical agroforestry systems. Agric. Ecosyst. Environ. 2019, 278, 24–34. [Google Scholar] [CrossRef]
- Yang, B.; Meng, X.; Zhu, X.; Zakari, S.; Singh, A.K.; Bibi, F.; Mei, N.; Song, L.; Liu, W. Coffee performs better than amomum as a candidate in the rubber agroforestry system: Insights from water relations. Agric. Water Manag. 2021, 244, 106593. [Google Scholar] [CrossRef]
- Orwa, C.; Mutua, A.; Kindt, R.; Jamnadass, R.; Simons, A. Agroforestree Database: A Tree Reference and Selection Guide, Version 4; World Agroforestry Centre: Nairobi, Kenya, 2009. [Google Scholar]
- Pang, J.P.; Chen, M.Y.; Tang, J.W.; Guo, X.M.; Zeng, R. The dynamics of plant growth and soil moisture and nutrient in the rubber plantation and rubber–Flemingia macrophylla agroforestry system in Xishuangbanna, Southwest China. J. Mt. Sci. 2009, 27, 433–441. [Google Scholar]
- Luo, Q.P.; Liu, W.J. Comparison of the effect of different canopy of rubber plantation on soil splash erosion and through fall erosivity. Chin. J. Soil Sci. 2012, 43, 1348–1354. (In Chinese) [Google Scholar]
- Zhu, C.J.; Liu, W.J.; Wu, J.E. Rainfall erosivity and rainfall kinetic energy under rubber agroforestry system in Xishuangbanna. Chin. J. Soil Sci. 2014, 45, 1218–1224. [Google Scholar]
- Fukuzawa, S.; Oki, H.; Hosaka, M.; Sugasawa, J.; Kikuchi, S. ClickFerrophos: New chiral ferrocenyl phosphine ligands synthesized by click chemistry and the use of their metal complexes as catalysts for asymmetric hydrogenation and allylic substitution. Org. Lett. 2007, 9, 5557–5560. [Google Scholar] [CrossRef]
- Dybzinski, R.; Fargione, J.E.; Zak, D.R.; Fornara, D.; Tilman, D. Soil fertility increases with plant species diversity in a long-term biodiversity experiment. Oecologia 2008, 158, 85–93. [Google Scholar] [CrossRef]
- Liu, G.; Yu, Y.; Hou, J.; Xue, W.; Liu, X.; Liu, Y.; Wang, W.; Alsaedi, A.; Hayat, T.; Liu, Z. An ecological risk assessment of heavy metal pollution of the agricultural ecosystem near a lead-acid battery factory. Ecol. Indic. 2014, 47, 210–218. [Google Scholar] [CrossRef]
- Cordeiro, A.L.; Norby, R.J.; Andersen, K.M.; Valverde-Barrantes, O.; Fuchslueger, L.; Oblitas, E.; Hartley, I.P.; Iversen, C.M.; Gonçalves, N.B.; Takeshi, B. Fine-root dynamics vary with soil depth and precipitation in a lown-utrient tropical forest in the Central Amazonia. Plant-Environ. Interact. 2020, 1, 3–16. [Google Scholar] [CrossRef]
- Vitousek, P. Nutrient cycling and nutrient use efficiency. Am. Nat. 1982, 119, 553–572. [Google Scholar] [CrossRef]
- Vitousek, P.M. Litterfall, nutrient cycling, and nutrient limitation in tropical forests. Ecology 1984, 65, 285–298. [Google Scholar] [CrossRef]
- Brassard, B.W.; Chen, H.Y.H.; Cavard, X.; Ere, L.; Reich, P.B.; Bergeron, Y.; Par, D.; Yuan, Z. Tree species diversity increases fine root productivity through increased soil volume filling. J. Ecol. 2013, 101, 210–219. [Google Scholar] [CrossRef]
- Mueller, K.E.; Tilman, D.; Fornara, D.A.; Hobbie, S.E. Root depth distribution and the diversity–productivity relationship in a long-term grassland experiment. Ecology 2013, 94, 787–793. [Google Scholar] [CrossRef]
- Joslin, J.D.; Wolfe, M.H.; Hanson, P.J. Effects of altered water regimes on forest root systems. New Phytol. 2000, 147, 117–129. [Google Scholar] [CrossRef]
- Vasconcelos, A.C.M.; Casagrande, A.A.; Perecin, D.; Jorge, L.A.C.; Landell, M.G.A. Avaliação do sistema radicular da cana-de-açúcar por diferentes métodos. Rev. Bras. Ciência Solo 2003, 27, 849–858. [Google Scholar] [CrossRef][Green Version]
- Walley, F.L.; Van Kessel, C.; Pennock, D.J. Landscape-scale variability of N mineralization in forest soils. Soil Biol. Biochem. 1996, 28, 383–391. [Google Scholar] [CrossRef]
- Singha, D.; Brearley, F.Q.; Tripathi, S.K. Fine root and soil nitrogen dynamics during stand development following shifting agriculture in Northeast India. Forests 2020, 11, 1236. [Google Scholar] [CrossRef]
- Bautista-Cruz, A.; Del Castillo, R.F. Soil changes during secondary succession in a tropical montane cloud forest area. Soil Sci. Soc. Am. J. 2005, 69, 906–914. [Google Scholar] [CrossRef]
- Eaton, J.M.; Lawrence, D. Loss of carbon sequestration potential after several decades of shifting cultivation in the Southern Yucatán. For. Ecol. Manag. 2009, 258, 949–958. [Google Scholar] [CrossRef]
- Powers, J.S.; Marín-Spiotta, E. Ecosystem processes and biogeochemical cycles in secondary tropical forest succession. Annu. Rev. Ecol. Evol. Syst. 2017, 48, 497–519. [Google Scholar] [CrossRef]
- Zhang, H.; Shi, L.; Wen, D.; Yu, K. Soil potential labile but not occluded phosphorus forms increase with forest succession. Biol. Fertil. Soils 2016, 52, 41–51. [Google Scholar] [CrossRef]
- Liu, X.; Wang, Z.; Huang, C.; Li, M.; Bibi, F.; Zhou, S.; Nakamura, A. Ant assemblage composition explains high predation pressure on artificial caterpillars during early night. Ecol. Entomol. 2020, 45, 547–554. [Google Scholar] [CrossRef]
- Balasubramanian, D.; Zhang, Y.-P.; Grace, J.; Sha, L.-Q.; Jin, Y.; Zhou, L.-G.; Lin, Y.-X.; Zhou, R.-W.; Gao, J.-B.; Song, Q.-H. Soil organic matter as affected by the conversion of natural tropical rainforest to monoculture rubber plantations under acric ferralsols. Catena 2020, 195, 104753. [Google Scholar] [CrossRef]
- Liu, C.; Jin, Y.; Liu, C.; Tang, J.; Wang, Q.; Xu, M. Phosphorous fractions in soils of rubber-based agroforestry systems: Influence of season, management and stand age. Sci. Total Environ. 2018, 616, 1576–1588. [Google Scholar] [CrossRef]
- Adamek, M.; Corre, M.D.; Hölscher, D. Responses of fine roots to experimental nitrogen addition in a tropical lower montane rain forest, Panama. J. Trop. Ecol. 2011, 27, 73–81. [Google Scholar] [CrossRef]
- Kubisch, P.; Leuschner, C.; Coners, H.; Gruber, A.; Hertel, D. Fine root abundance and dynamics of stone pine (Pinus cembra) at the alpine treeline is not impaired by self-shading. Front. Plant Sci. 2017, 8, 602. [Google Scholar] [CrossRef]
- Cai, H.; Li, F.; Jin, G. Fine root biomass, production and turnover rates in plantations versus natural forests: Effects of stand characteristics and soil properties. Plant Soil 2019, 436, 463–474. [Google Scholar] [CrossRef]
- Zhong, Y.; Yan, W.; Shangguan, Z. Soil carbon and nitrogen fractions in the soil profile and their response to long-term nitrogen fertilization in a wheat field. Catena 2015, 135, 38–46. [Google Scholar] [CrossRef]
- Anderson, J.M.; Ingram, J.S.I. Tropical Soil Biology and Fertility; CAB International Wallingford: Wallingford, UK, 1989; ISBN 0851986358. [Google Scholar]
- Atapattu, A.J.; Xia, S.; Cao, M.; Zhang, W.; Mishra, S.; Yang, X. Can Dominant Canopy Species Leaf Litter Determine Soil Nutrient Heterogeneity? A Case Study in a Tropical Rainforest in Southwest China. J. Soil Sci. Plant Nutr. 2020, 20, 2479–2489. [Google Scholar] [CrossRef]
- R Core Team. R: A Language and Environment For Statistical Computing; R Foundation for Statistical Computing: Vienna, Austria, 2013. [Google Scholar]
- Bates, D.; Maechler, M.; Bolker, B.M.; Walker, S. Fitting linear mixed-effects models using lme4. J. Stat. Softw. 2015, 67, 1–48. [Google Scholar] [CrossRef]
- Jacob, A.; Hertel, D.; Leuschner, C. On the significance of belowground overyielding in temperate mixed forests: Separating species identity and species diversity effects. Oikos 2013, 122, 463–473. [Google Scholar] [CrossRef]
- Brassard, B.W.; Chen, H.Y.H.; Bergeron, Y.; Paré, D. Differences in fine root productivity between mixed-and single-species stands. Funct. Ecol. 2011, 25, 238–246. [Google Scholar] [CrossRef]
- Domisch, T.; Finér, L.; Dawud, S.M.; Vesterdal, L.; Raulund-Rasmussen, K. Does species richness affect fine root biomass and production in young forest plantations? Oecologia 2015, 177, 581–594. [Google Scholar] [CrossRef]
- Sun, Z.; Liu, X.; Schmid, B.; Bruelheide, H.; Bu, W.; Ma, K. Positive effects of tree species richness on fine-root production in a subtropical forest in SE-China. J. Plant Ecol. 2017, 10, 146–157. [Google Scholar] [CrossRef]
- Archambault, C.; Paquette, A.; Messier, C.; Khlifa, R.; Munson, A.D.; Handa, I.T. Evergreenness influences fine root growth more than tree diversity in a common garden experiment. Oecologia 2019, 189, 1027–1039. [Google Scholar] [CrossRef]
- Pramanik, P.; Safique, S.; Zahan, A.; Phukan, M.; Ghosh, S. Cellulolytic microorganisms control the availability of nitrogen in microcosm of shredded pruning litter treated highly acidic tea-growing soils of Assam in Northeast India. Appl. Soil Ecol. 2017, 120, 30–34. [Google Scholar] [CrossRef]
- Petraglia, A.; Cacciatori, C.; Chelli, S.; Fenu, G.; Calderisi, G.; Gargano, D.; Abeli, T.; Orsenigo, S.; Carbognani, M. Litter decomposition: Effects of temperature driven by soil moisture and vegetation type. Plant Soil 2019, 435, 187–200. [Google Scholar] [CrossRef]
- Liu, C.-A.; Nie, Y.; Zhang, Y.-M.; Tang, J.-W.; Siddique, K.H.M. Introduction of a leguminous shrub to a rubber plantation changed the soil carbon and nitrogen fractions and ameliorated soil environments. Sci. Rep. 2018, 8, 17324. [Google Scholar] [CrossRef]
- Sardans, J.; Peñuelas, J. Drought changes phosphorus and potassium accumulation patterns in an evergreen Mediterranean forest. Funct. Ecol. 2007, 21, 191–201. [Google Scholar] [CrossRef]
- Rodrigues, M.; Pavinato, P.S.; Withers, P.J.A.; Teles, A.P.B.; Herrera, W.F.B. Legacy phosphorus and no tillage agriculture in tropical oxisols of the Brazilian savanna. Sci. Total Environ. 2016, 542, 1050–1061. [Google Scholar] [CrossRef] [PubMed]
Publisher’s Note: MDPI stays neutral with regard to jurisdictional claims in published maps and institutional affiliations. |
© 2022 by the authors. Licensee MDPI, Basel, Switzerland. This article is an open access article distributed under the terms and conditions of the Creative Commons Attribution (CC BY) license (https://creativecommons.org/licenses/by/4.0/).