Abstract
The walnut (Juglans regia) is a nut with a high nutritional value and has been recognized throughout the world as an economically important woody plant. However, the walnut is vulnerable to abiotic stresses, especially low-temperature freezes, which can severely impede their growth and development, resulting in substantial financial losses. The CBF (C-repeat binding factor) gene, a unique plant transcription factor classified within the AP2/ERF (ethylene response factor) family, plays a vital role in the process of plants coping with abiotic stress, particularly low temperatures. This study utilized bioinformatics techniques to identify eight JrCBF genes within the walnut genome, distributed across six chromosomes. The upstream promoter sequences of these genes are rich in cis-regulatory elements related to hormonal responses and non-biotic stresses. Transcriptome data and qRT-PCR analysis revealed that JrCBF1 and JrCBF2 were significantly upregulated under low temperatures. JrCBF1 and JrCBF2 also responded positively to high-temperature stress. Under drought stress, JrCBF5 and JrCBF8 had a significant difference in their expression relative to other genes. To gain further insights into their functionality, subcellular localization experiments were conducted on JrCBF1 and JrCBF2, confirming their nuclear localization. These results provide valuable insights into the specific functions of CBF gene in enhancing the resistance of walnut to abiotic stress.
1. Introduction
Low-temperature stress represents a significant environmental factor that restricts plant growth and production, exerting a profound impact on plant development. This effect is particularly pronounced in temperate regions characterized by frequent temperature fluctuations. In response to this challenging environmental factor, a number of plants native to these regions have developed an adaptive mechanism known as cold acclimation [1]. The process of cold acclimation is inherently intricate, encompassing a diverse array of physiological and biochemical transformations. These transformations include modifications in plant cell membranes [2], alterations in the expression of cold-responsive genes and transcription factors [3,4,5], adjustments in protein profiles [6,7], proline accumulation [8], and repercussions on photosynthesis [9]. More precisely, these physiological and biochemical changes are orchestrated through the low-temperature-induced expression of pertinent functional genes. Currently, the molecular mechanisms of plant response and stress resistance to cold stress have been comprehensively studied, especially in the model plant Arabidopsis thaliana. Among them, the most deeply studied regulatory network was the ICE1 (inducer of CBF expression 1)–CBF–COR (cold responsive) pathway [10,11,12]. Upon exposure to cold stress, rapid expression of ICE1 occurs, facilitating the upregulation of the CBF genes [13,14,15]. The CBF protein then binds to the CRT/DRE (C-repeat/dehydration-responsive element) cis-element within the promoter region of the COR gene downstream and implements multiple levels of regulation involving transcription, translation, modification, and expression [16,17,18]. This regulatory process culminates in the synthesis of a range of anti-freeze substances, such as soluble sugars and proline, which significantly enhances the plant’s ability to withstand the cold and maintain normal growth.
The CBF gene family constitutes a group of transcription factors containing the AP2/ERF (APETALA2/ethylene responsive) DNA-binding domain. These factors are capable of binding to cold-responsive elements (CRT/DRE elements), also known as low-temperature-responsive elements (LTREs), located in the promoter region of COR genes, thereby regulating the transcriptional activity of COR genes [19]. In A. thaliana, six different members form the CBF gene family, namely CBF1/DREB1B, CBF2/DREB1C, CBF3/DREB1A, CBF4, DDF1, and DDF2 [20,21,22]. CBF1, CBF2, and CBF3 were the key factors that regulate gene expression during cold acclimation signal transduction, which exhibited a rapid and transient induction of expression when confronted with low-temperature signals, while their expression was generally not significantly induced via dehydration and high-salt signals [23,24,25]. Conversely, CBF4 was primarily expressed in response to drought stress and ABA signaling, independent of low-temperature induction. However, overexpressing AtCBF4 activated downstream genes containing C-repeat/dehydration-responsive elements, which were involved in both cold and drought adaptation, simultaneously enhancing the cold and drought resistance of the transgenic plant [21,26]. AtDDF1 was associated with salt tolerance [22]. Overexpressing AtDDF1 actively reduced endogenous gibberellic acid (GA) levels under high-salt stress by inducing GA 2-oxidase expression, enabling adaptation to stress conditions but resulting in a dwarf phenotype. Furthermore, overexpressing AtDDF2 also elicited a similar dwarfing phenotype [27].
Walnut is an economically significant tree species highly susceptible to the adverse effects of cold spells, spring inversions, and late frosts, which can severely disrupt its normal growth, development, and yields. CBF transcription factors play a key role in response to low temperature stress and can promote plant adaptation to cold environments. However, few studies have been reported on the CBF family of walnut in a variety of adversity stresses. Therefore, this study conducted an in-depth analysis on the whole genome level and successfully identified eight JrCBF genes. Our examination covered various facets, including their physicochemical properties, gene structures, molecular characteristics, gene chromosome distribution, phylogenetic relationships, stress expression profiles, and subcellular localization analysis. This study established a solid foundation for a more in-depth understanding of the biological function s of the JrCBF genes and their roles in responding to abiotic stress, especially cold stress. At the same time, it also provides valuable insights into the mechanism of cold resistance of walnut trees.
2. Results
2.1. Identification and Protein Characterization of JrCBF Genes
From the walnut genome, a total of eight JrCBF genes were identified and designated as JrCBF1 to JrCBF8. Gene sequences are listed in Table S1. The physicochemical properties of the JrCBF proteins were analyzed using the online tool ProtParam. The amino acid lengths of these eight JrCBF members ranged from 150 aa (JrCBF2) to 266 aa (JrCBF5 and JrCBF6), and the molecular weights of the proteins varied from 16.68 kDa (JrCBF2) to 29.46 kDa (JrCBF8) (Table 1). Except for the proteins of JrCBF2 and JrCBF3, with theoretical isoelectric points exceeding seven, the other family members exhibited theoretical isoelectric points below seven, indicating that the majority of JrCBF proteins are acidic proteins. The total average protein hydrophobicity values ranged from −0.744 (JrCBF2) to −0.331 (JrCBF6), all falling below zero, indicating that these proteins are hydrophilic. Notably, all of these proteins exhibited instability coefficients exceeding 50, indicating that they all belonged to unstable proteins. Finally, subcellular localization prediction using YLoc indicated that all JrCBF proteins were localized within the cell nucleus.
Table 1.
Physicochemical properties of JrCBF proteins in walnut.
To further explore the domain characteristics of JrCBFs, we conducted a comparative analysis of the CBF protein sequences from J. regia, A. thaliana, and Populus trichocarpa. This analysis revealed that all of these sequences exhibited AP2 structural domains and motifs typical of the CBF family (Figure 1). The striking similarity in these structures across the three species underscored their remarkably high degree of conservation throughout the evolutionary process.
Figure 1.
Multiple sequence alignment between JrCBF proteins, PtCBF proteins in P. trichocarpa, and AtCBF proteins in A. thaliana. Dark blue represents the same amino acid residues, pink represents 80% similarity, and light blue represents 40% similarity.
2.2. Gene Structure and Conserved Motif Analysis of JrCBF Genes
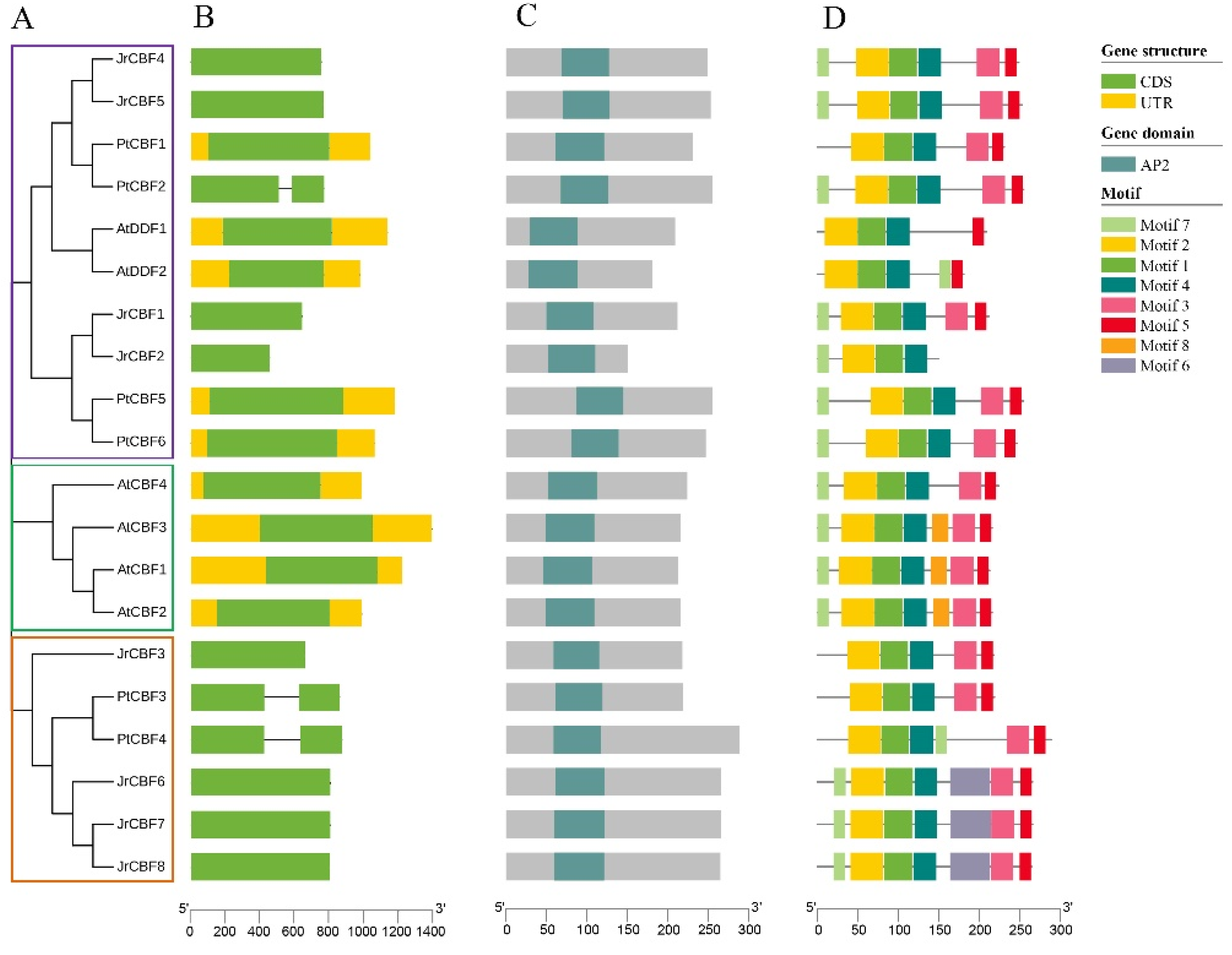
To elucidate the structural characteristics of the CBF genes, we analyzed the introns, exons, structural domains, and conserved motifs of the JrCBF, PtCBF, and AtCBF sequences. The CBF proteins were categorized into three subgroups (Figure 2A), revealing shared similarities within each subgroup. Eight JrCBF genes exclusively consisted of exons without any introns (Figure 2B). The AP2 structural domain was consistently present in all of these CBF protein sequences (Figure 2C). Conserved motifs among CBF family members (JrCBFs, AtCBFs, and PtCBFs) were examined via MEME (Figure S1). All 20 CBF protein sequences featured motif 2, motif 1, and motif 4, indicative of these regions as common, conserved functional motifs shared among CBF family proteins (Figure 2D). Motif 7 was notably conserved at the 5’ terminus of 14 CBF proteins. It is important to note that the quantity and arrangement of motifs in other JrCBF genes remained largely consistent, with the exception of JrCBF2, which lacked motif 3 and motif 5 towards the end. This distinction indicated a difference in JrCBF2 functionality (Figure 3D).
Figure 2.
Phylogenetic tree, conserved motif, domain, and gene structure in JrCBFs, AtCBFs, and PtCBFs. (A) The phylogenetic tree was constructed using the neighbor-joining method. (B) The composition and position of exons and introns in CBF genes. (C) Domains in CBF proteins. (D) Conserved motifs in CBF proteins.
Figure 3.
The phylogenetic tree of CBF family proteins from Punica granatum, Zea mays, Oryza sativa, Nicotiana tabacum, Vitis vinifera, J. regia, P. trichocarpa, and A. thaliana.
2.3. Phylogenetic Analysis of the JrCBF Genes
To elucidate the phylogenetic relationships between CBF proteins, we investigated the eight characterized CBF members from walnut, six CBF members from poplar, seven CBF members from pomegranate, ten CBF members from maize, four CBF members from grape, six CBF members from Arabidopsis, ten CBF members from rice, and nineteen CBF members from tobacco. The phylogenetic tree divided the 70 CBF proteins into 15 groups (Figure 3). JrCBF1 and JrCBF2 were classified within group 3, while JrCBF4 and JrCBF5 were categorized within group 5. JrCBF3, JrCBF6, JrCBF7, and JrCBF8 were clustered in group 11. The distribution of the six CBF/DREB 1 proteins in Arabidopsis aligned with prior research, located in groups 4 and 6 [28,29]. The classification results of the JrCBF genes revealed that they were closer to the PtCBF and VvCBF genes than to the AtCBFs, indicating that the JrCBF genes were more closely related to the adaptive evolution of woody plants. In contrast, the phylogenetic relationship between JrCBFs and PtCBFs and VvCBFs was closer than that with pomegranate PgCBFs in woody plants.
2.4. Cis-Acting Component Analysis in the Promoter of the JrCBF Genes
Cis-acting elements within the promoter region exhibited a significant impact on the regulation of gene expression. In order to identify cis-regulatory elements within the promoter region of JrCBFs, we selected the upstream 2-kilobase (kb) region of JrCBFs for a search in the PlantCARE database. Our analysis revealed the widespread presence of cis-elements associated with plant hormone responses and abiotic stress in this region (Figure 4). The promoter region of JrCBF genes encompassed various plant hormone-responsive elements, including jasmonic acid (MeJA), salicylic acid (SA), auxin and abscisic acid (ABA). Furthermore, elements associated with abiotic stress responses, such as anaerobic induction essential elements (AREs), low-temperature response elements (LTRs), and drought-inducible MYB-binding sites (MBSs), were identified. Additionally, we noticed that light-responsive elements were common in the promoters of most JrCBF genes. These findings suggested that the expression of JrCBF genes may be influenced by a variety of cis-regulatory elements.
Figure 4.
Cis-acting elements within the 2000-bp upstream region of JrCBF genes. Different colors represent different cis-acting elements.
2.5. Chromosomal Location and Collinearity Analysis of the JrCBF Genes
We conducted chromosome mapping analysis to understand the distribution of JrCBF genes more deeply and marked their positions on each chromosome. The results revealed that eight JrCBFs were unevenly distributed on six chromosomes (Figure 5). Chromosome 3, 4, 9, 11, and 12 each contained one JrCBF gene. There were three JrCBF genes on chromosome 13, namely JrCBF6, JrCBF7 and JrCBF8, which were tandem duplications to form a gene cluster. Gene duplication events were widespread across various species and played a critical role in creating new functional genes and driving species evolution [30]. There were seven segmental duplication pairs on the chromosomes of walnut, of which JrCBF1, JrCBF2, JrCBF4, and JrCBF5 were segmental duplication gene pairs to each other, suggesting that these genes may possess functional similarities (Figure 5). These findings indicated that segmental duplication events were the primary factor contributing to CBF gene amplification in walnut, followed by tandem duplication.
Figure 5.
Chromosomal distribution and inter-chromosomal relationships of JrCBF genes. Red lines and blue lines connect duplicate JrCBF gene pairs. The heat map in the inner square represents gene density, while the outer orange squares represent chromosomes.
We conducted genome-to-genome collinearity analysis among walnut, Arabidopsis, and poplar. The results revealed that the number of homologous transcription factors between JrCBFs and PtCBFs exceeds that of AtCBFs (Figure 6). Specifically, there were five pairs of CBF homologous genes between walnut and Arabidopsis, and thirteen pairs between walnut and poplar. Furthermore, the majority of JrCBF genes had 2–3 corresponding homologous sequences in PtCBF genes (Figure 6). This indicated that these genes may play a significant role in the evolution of the CBF gene family.
Figure 6.
Collinear relationship between J. regia, A. thaliana, and P. trichocarpa. The red line represents the collinearity between CBF genes, and the gray line represents the collinearity of other genes in the genome.
2.6. Expression Pattern of JrCBF Genes under Low-Temperature Stress
In order to evaluate the expression pattern of JrCBF genes under low-temperature stress, we analyzed the published transcriptome data. The results unveiled a diverse range of responses exhibited by each JrCBF gene under cold conditions. JrCBF1 and JrCBF2 exhibited an initial increase in expression after 3 h of cold treatment (Figure 7), followed by a subsequent decrease, highlighting their quick response to low-temperature stress in walnut. On the other hand, JrCBF4 and JrCBF5 displayed an elevation in expression during the early stages of the low-temperature treatment, reaching their peak at 12 h, and then gradually declining (Figure 7), indicating their significant role in combating low-temperature stress. In contrast, JrCBF3, JrCBF6, JrCBF7, and JrCBF8 exhibited minimal levels of expression across all samples, suggesting their insensitivity to the low-temperature treatment.
Figure 7.
Expression profiles of JrCBF genes under low-temperature stress in walnut. Color scale represents FPKM values. Red blocks indicate high expression levels, and light blue blocks indicate low expression levels.
2.7. Expression Patterns of JrCBF Genes under Different Abiotic Stresses
We employed qRT-PCR to detect the expression levels of JrCBF genes under low-temperature stress (4 °C). Under the low-temperature treatment, the expression levels of JrCBF1 and JrCBF2 significantly exceeded those of other JrCBF genes. Their initial expression levels rapidly increased, reaching their peak after 6 h of treatment, and then gradually declined (Figure 8A). JrCBF4 and JrCBF5 displayed an initial increase in expression, reaching their peak after 24 h, followed by a decline, indicating their lower sensitivity to low temperatures compared to JrCBF1 and JrCBF2. Furthermore, the expression patterns of JrCBF3, JrCBF6, JrCBF7, and JrCBF8 revealed no significant differences compared to the control group, consistent with the transcriptomic results.
Figure 8.
Expression patterns of JrCBFs under different abiotic stresses. (A) Low-temperature treatment (4 °C). (B) High-temperature treatment (38 °C). (C) 20% PEG treatment simulates drought. The significance of the difference was indicated with different lowercase letters (p < 0.05).
We also investigated whether the JrCBF genes responded to other abiotic stresses by employing high-temperature (38 °C) and drought (20% PEG) treatments. Under the high-temperature treatment, the expression levels of JrCBF1 and JrCBF2 gradually increased, reaching their peak at 48 h, suggesting their potentially crucial regulatory roles in high-temperature stress (Figure 8B). In contrast, the expression levels of JrCBF3, JrCBF4, JrCBF6, and JrCBF7 significantly decreased after treatment. JrCBF5 exhibited an initial decrease, followed by an increase, and then another decrease in its expression levels. The expression of JrCBF8 initially decreased within the first 3 h of treatment and then steadily increased (Figure 8B). However, when compared to the control group, the difference was not significant, indicating its lower sensitivity to high temperatures. Under the drought treatment, JrCBF5 and JrCBF8 exhibited a notable response to drought. Their expression levels initially decreased, then reached their peak at 48 h. Conversely, the six remaining genes demonstrated reduced expression under drought stress, reaching their lowest levels at 6 h or 9 h and gradually recovering to normal levels (Figure 8C).
2.8. Subcellular Localization of JrCBF1 and JrCBF2
To explore the subcellular localization of JrCBF1 and JrCBF2, we transiently co-expressed the JrCBF1-GFP and JrCBF2-GFP fusion constructs, carried in the pICH86988 vector, along with a nucleolus marker (FIB2:mCherry) in tobacco leaves. The distribution of green fluorescent protein was observed using confocal laser scanning microscopy. The green fluorescence emitted by JrCBF1:GFP and JrCBF2:GFP was observed within the cell nucleus, encompassing both the nucleolus and nucleoplasm, consistent with the predicted results (Figure 9).
Figure 9.
Subcellular location of JrCBF1 and JrCBF2 proteins in lower epidermal cells of tobacco leaves. The bar value in the figure is 25µm.
3. Discussion
Walnut is widely grown around the world, although they are somewhat sensitive to low temperature environments. When walnut is exposed to low temperatures, their normal growth and development can be affected, which can have some unfavorable economic consequences [31]. The CBF (C-repeat/DRE binding factor) gene family is closely related to plant cold tolerance, and it is mainly induced and expressed under cold stress. It can improve the cold resistance of plants by increasing the expression of several genes related to the cold resistance mechanism of plants [32,33]. This regulation mechanism enables plants to better adapt to low-temperature environments, thus ensuring their normal growth and development. Through this in-depth study of the walnut CBF gene family, we can understand the response mechanism of walnut to low-temperature stress and provide an important theoretical basis for their cold-resistant breeding.
By comparing the structural and motif differences between different genes, we can infer their genetic relationship, evolution process, and role in biological evolution. In this study, we identified eight JrCBF genes in walnut. Physicochemical analysis revealed that these walnut CBF proteins were characterized as unstable and predominantly acidic, suggesting their potential functionality within acidic subcellular environments. Notably, all eight JrCBF gene-encoded proteins were found to contain the highly conserved AP2 structural domain (Figure 2C). Interestingly, a structural analysis of the JrCBF genes revealed that none of the eight JrCBF genes contained introns (Figure 2B). This finding aligned with previous research conducted on species such as Betula platyphylla [34], cucumber [35], and Liriodendron chinense [36], indicating that the CBF gene family generally lacks introns or has only a few. This characteristic may enable these genes to respond more swiftly to environmental changes by requiring less splicing and transcription [37]. Such genetic simplicity equips them with the capacity to rapidly adapt to diverse stressful conditions. CBF protein-conserved motif analysis revealed that motif 2, motif 1, and motif 4 were highly conserved in all 20 CBF protein sequences (Figure 2). These three motifs were the characteristic sequence PKK/RPAGRxKFxETRHP, the AP2/ERF-binding domain, and the characteristic sequence DSAWR located downstream of the binding domain (Figure S1). CBF was a subfamily of the DREB family, with an AP2 domain, which can specifically bind to CRT/DRE elements [38] and induce the expression of genes related to ABA, drought, and cold responses. In addition, the PKKPAGR sequence may be critical for the transcriptional activity of CBF. In A.thaliana, mutations in the PKKPAGR sequence of AtCBF1 weakened the ability of the CBF1 protein to bind to the DNA recognition element (CRT/DRE) on the promoter of the COR15a gene, decreased COR15a gene expression, and the plants exhibited more sensitivity to cold stress [39]. The PKKPAGR motifs were extremely important for the exercise of the CBF protein in the function of the transcription factor, which was crucial for the plants to adapt to the cold environment. DSAWR was rarely reported and studied, and we are not clear about its specific biological function for the time being.
Furthermore, JrCBF proteins displayed a close relationship with CBF proteins from poplar and grape (Figure 3), indicating that the CBF family relationship between woody plants was closer than that of herbaceous plants. Through phylogenetic tree and collinearity analysis, we observed that JrCBF1 shares homology with AtCBF2 and AtCBF4, while JrCBF2 also exhibited homology with AtCBF2 (Figure 6). Furthermore, our collinearity analysis revealed a linear relationship between JrCBF1 and JrCBF2 (Figure 5). These findings indicated that JrCBF1 and JrCBF2 were functionally similar to AtCBF2 and AtCBF4, providing an explanation for the positive responses of JrCBF1 and JrCBF2 to cold stress.
The analysis of cis-regulatory elements within the promoter region indicated that JrCBFs may be involved in multiple responses and played a role in plant hormone responses and abiotic stress defenses. Light-responsive elements widely existed in the promoter region of all JrCBF genes, which indicated that they may be regulated via light. The signal pathway of plant photoreceptors played an important role in the response of plants to abiotic stress [40]. In Arabidopsis, the activity of the CBF pathway was influenced by the photoperiod. During warm, long-day seasons, this pathway was inhibited by the phytochrome B (PHYB) and photoreceptor-interacting factors PIF4 and PIF7. As daylight duration decreased, this inhibition was relieved, leading to enhanced CBF pathway activity and increased cold resistance in plants [41]. Therefore, it is plausible that JrCBF genes may participate in light signal transduction, regulating plant growth and development. Among the hormone-responsive elements, ABRE was found to be the most abundant cis-regulatory element, indicating that abscisic acid (ABA) was a crucial plant hormone in the regulation of walnut CBF genes for cold resistance. ABA regulated CBFs’ expression by activating OST1 (open stomata 1) kinase [42] and inducing the transcription factor MYB96 [43]. Walnut may have a similar regulatory pathway, suggesting that JrCBFs may be induced via ABA signaling.
The JrCBF genes exhibited varying response patterns to different abiotic stresses. In this study, JrCBF1 and JrCBF2 displayed an upregulation trend under low-temperature treatment, indicating their high sensitivity to cold stress and potential involvement in cold stress regulation, warranting further in-depth research. Moreover, only some JrCBF genes (JrCBF1, JrCBF2, JrCBF4, and JrCBF5) showed an upregulation trend after low-temperature treatment, a phenomenon consistent with studies on Brassica rapa [44], Acer truncatum, and Acer yangbiense [45]. However, it is worth noting that in other plants like cucumber [35], dandelion [46], and ryegrass [47], all CB F genes were highly expressed after cold treatment. This variation may be due to different species experiencing distinct evolutionary pressures, resulting in changes in the regulatory elements or sequences of CBF genes [48,49], leading to variations in the evolution and expression patterns of the CBF gene family across different plants. In this study, we also investigated the expression patterns of JrCBF genes under high-temperature and drought treatments. Under the high-temperature treatment, JrCBF1 and JrCBF2 displayed significant upregulation, indicating their high sensitivity to temperature and potentially crucial roles in temperature stress, aligning with previous findings in plants like tea [50], potato [51], and lettuce [52]. In the case of drought stress, JrCBF5 and JrCBF8 exhibited significant upregulation after 48 h of treatment, suggesting their involvement in drought stress regulation. However, the extent of upregulation of JrCBF5 and JrCBF8 was not particularly pronounced, indicating that a longer duration of drought treatment may be needed to more clearly determine the gene expression patterns. These findings suggest that the CBF gene may play an important regulatory role in various abiotic stress responses of walnut, which provides an important theoretical basis for the follow-up study on how the CBF gene regulates the responses of walnut under abiotic stress.
4. Materials and Methods
4.1. Genome-Wide Identification of JrCBF Genes in Walnut
Walnut genome data were downloaded from (http://www.xhhuanglab.cn/data/juglans.html, accessed on 20 April 2023), and Arabidopsis genome data were obtained from TAIR (https://www.arabidopsis.org/, accessed on 20 April 2023). Six AtCBF protein sequences were used to initially identify walnut CBF candidate genes (E value < 1.00 × 10−10) via BlastP. The corresponding AP2 domain (PF00847) was downloaded from the Pfam database (http://pfam-legacy.xfam.org/, accessed on 20 April 2023), and candidate gene family members containing the AP2 structural domain (E value ≤ 1 × 10−5) were identified using HMMER v3.3.2 software. Then, the NCBI-CDD database (https://www.ncbi.nlm.nih.gov/cdd/, accessed on 20 April 2023) and Clustal Omega program (https://www.ebi.ac.uk/Tools/msa/clustalo/, accessed on 20 April 2023) were used to screen conserved structural domains. CBF gene family feature sequences were analyzed to identify JrCBF gene members.
The CBF protein series’ respective length, isoelectric point, and relative molecular mass were determined through online Expasy software (https://web.expasy.org/protparam/, accessed on 22 April 2023), and subcellular localization predictions were generated with YLoc (https://abi-services.cs.uni-tuebingen.de/yloc/webloc.cgi, accessed on 22 April 2023). CBF proteins from three different species (A. thaliana, P. trichocarpa, and J. regia) were selected. Subsequently, we conducted a multiple sequence comparison of their protein sequences using MEGA X (64-bit) software with default parameters. The resultant maps of the multiple sequence comparison for JrCBFs were further enhanced using GeneDoc 2.7 software.
4.2. Gene Structure and Phylogenetic Tree
We obtained the genome information of P. trichocarpa, which was stored in the Phytozome database (https://phytozome-next.jgi.doe.gov/info/Ptrichocarpa_v3_0, accessed on 6 May 2023). At the same time, the genomic information of A. thaliana was obtained from the TAIR database. To deeply analyze the protein sequence of the CBF gene family, we used the MEME online tool (https://meme-suite.org/meme/, accessed on 6 May 2023) to find motifs [53]. In addition, we also used Clutalx 2 [54] for multiple alignment of amino acid sequences. Finally, we constructed the phylogenetic tree using MEGA-X and adopted the adjacency method (NJ) as the construction method. The specific parameters were as follows: the “Poisson model” as the mode, “Complete deletion” for gap handling, and 1000 bootstrap replicates with a random seed for the confidence values. Eight species (Punica granatum, Zea mays, Oryza sativa, Nicotiana tabacum, Vitis vinifera, J. regia, P. trichocarpa, and A. thaliana) were used in the evolutionary tree analysis.
4.3. Identification of Cis-Elements and Collinearity Analysis
The PlantCARE online program (https://bioinformatics.psb.ugent.be/webtools/plantcare/html/, accessed on 10 May 2023) was utilized to predict cis-acting elements in the promoter region (2000 bp) of the JrCBF genes. The cis-acting elements were then categorized via function.
We downloaded the GFF3 files containing the location information of all genes from the annotated databases of A. thaliana, P. trichocarpa, and J. regia, and inputted them into the Multiple Collinearity Scan Toolkit [55], which was used to determine the repetitive patterns in the CBF gene family. The specific definitions of different repetitive patterns were consistent with the methods described earlier [56].
4.4. Transcriptional Expression Analysis of Walnut JrCBF Genes
We selected the transcriptome data of walnut at different time points under low-temperature treatment to study the expression pattern of the JrCBF genes under cold stress and compared these results with our qRT-PCR results. These walnut transcriptome data were downloaded from the NCBI SRA database (PRJNA942426).
4.5. Expression Pattern of JrCBF Genes under Different Abiotic Stresses
Walnut saplings, six months old, were subjected to temperature stress by placing them in constant-temperature chambers at 4 °C and 38 °C. For drought stress treatment, the saplings’ roots were irrigated with 20% PEG. Each treatment group consisted of 10 plants. At 0 h, 3 h, 6 h, 9 h, 12 h, 24 h, and 48 h after treatment, the leaves of the seedlings were quickly cut off with scissors and quickly frozen in liquid nitrogen, and all the collected samples were kept in the ultra-low-temperature refrigerator at −80 °C for the extraction of total RNA.
The total RNA was extracted using the RN38-EASYspin RNA Plant Mini Kit (Aidlab Biotechnologies Co., Ltd., Beijing, China), following the manufacturer’s instructions. This kit is equipped with a genomic DNA removal column that efficiently eliminates DNA residue. When performing nucleic acid electrophoresis and spectrophotometric tests to verify the quality of the extracted RNA, it is necessary to ensure that it meets the following requirements: the three bands are recognizable, the ratio of A260/A280 is between 1.8–2.0, and the ratio of A260/A230 is greater than 2. The amount of total RNA for each sample should be no less than 2000 ng to ensure the needs of the experiment. We used the PrimeScriptTM RT kit (TaKaRa, Kyoto, Japan) to synthesize the first-strand cDNA, and carried out quantitative real-time PCR analysis according to previous methods [57]. This experiment was repeated with three organisms for each sample. JrGAPDH (glyceraldehyde-3-phosphate dehydrogenase) and Jrβ-actin were used as housekeeping genes. The relative expression value was calculated by comparing the CT (2−∆∆CT) method and then analyzed with IBM SPSS Statistics 26 software to determine any statistically significant expression differences. The results were then visualized using GraphPad Prism 9.0 software to display the expression levels of target genes in each sample. The primer sequences used for qRT-PCR are listed in Table S2.
4.6. Subcellular Localisation Analyses
We fused the coding sequences (CDSs) of JrCBF1 and JrCBF2 with green fluorescent protein (GFP) to construct the JrCBF1-GFP and JrCBF2-GFP vectors. Subsequently, the recombinant vectors were introduced into tobacco (strain GV3101) carrying the pSoup-p19 plasmid and co-expressed in tobacco leaves with the nuclear marker FIB2-mCherry [58]. Subcellular localization of JrCBF1 and JrCBF2 was then observed using confocal laser scanning microscopy (Leica, TCS-SP8, Wetzlar, Germany).
5. Conclusions
The CBF transcription factors have a significant positive impact on cold adaptation and are widely conserved across higher plants. In this study, we found that eight JrCBF genes exist in walnut, characterized by comparable genetic structures and sequences. The JrCBF genes showed different expression patterns under various stress conditions, suggesting that they can function in different stress responses, but with varying degrees of responsiveness to different stresses. Subcellular localization studies were conducted for the significantly expressed JrCBF1 and JrCBF2 genes, both of which are located in the nucleus. These findings provide support for further exploring the molecular role of the JrCBF gene family in the abiotic stress response.
Supplementary Materials
The following supporting information can be downloaded at: https://www.mdpi.com/article/10.3390/f14112274/s1, Table S1: Gene sequences of JrCBF genes. Table S2: Primer sequences used for qRT-PCR. Figure S1: Conserved motifs of JrCBF proteins derived from the MEME Suite.
Author Contributions
Conceptualization, Q.W.; Methodology, Q.W.; Validation, W.Z.; Resources, Q.W. and F.X.; Data curation, N.L., H.D. and Y.X.; Writing—original draft, N.L.; Writing—review and editing, Q.W. and F.X.; Visualization, Y.L.; Project administration, J.Y. All authors have read and agreed to the published version of the manuscript.
Funding
This study was funded by the Science and Technology Program of Shannan City Municipal Science and Technology Bureau (2022BJKJJHXM-001).
Data Availability Statement
Data are contained within the article and Supplementary Materials.
Conflicts of Interest
The authors declare no conflict of interest.
References
- Chinnusamy, V.; Zhu, J.; Zhu, J.-K. Cold Stress Regulation of Gene Expression in Plants. Trends Plant Sci. 2007, 12, 444–451. [Google Scholar] [CrossRef] [PubMed]
- Theocharis, A.; Clément, C.; Barka, E.A. Physiological and Molecular Changes in Plants Grown at Low Temperatures. Planta 2012, 235, 1091–1105. [Google Scholar] [CrossRef]
- Doherty, C.J.; Van Buskirk, H.A.; Myers, S.J.; Thomashow, M.F. Roles for Arabidopsis CAMTA Transcription Factors in Cold-Regulated Gene Expression and Freezing Tolerance. Plant Cell 2009, 21, 972–984. [Google Scholar] [CrossRef] [PubMed]
- Zhu, J.; Jeong, J.C.; Zhu, Y.; Sokolchik, I.; Miyazaki, S.; Zhu, J.-K.; Hasegawa, P.M.; Bohnert, H.J.; Shi, H.; Yun, D.-J.; et al. Involvement of Arabidopsis HOS15 in Histone Deacetylation and Cold Tolerance. Proc. Natl. Acad. Sci. USA 2008, 105, 4945–4950. [Google Scholar] [CrossRef] [PubMed]
- Lee, B.; Henderson, D.A.; Zhu, J.-K. The Arabidopsis Cold-Responsive Transcriptome and Its Regulation by ICE1. Plant Cell 2005, 17, 3155–3175. [Google Scholar] [CrossRef]
- Yaish, M.W.F.; Doxey, A.C.; McConkey, B.J.; Moffatt, B.A.; Griffith, M. Cold-Active Winter Rye Glucanases with Ice-Binding Capacity. Plant Physiol. 2006, 141, 1459–1472. [Google Scholar] [CrossRef]
- Sasaki, K.; Kim, M.-H.; Imai, R. Arabidopsis COLD SHOCK DOMAIN PROTEIN2 Is a RNA Chaperone That Is Regulated by Cold and Developmental Signals. Biochem. Biophys. Res. Commun. 2007, 364, 633–638. [Google Scholar] [CrossRef]
- Szabados, L.; Savouré, A. Proline: A Multifunctional Amino Acid. Trends Plant Sci. 2010, 15, 89–97. [Google Scholar] [CrossRef]
- Ruelland, E.; Zachowski, A. How Plants Sense Temperature. Environ. Exp. Bot. 2010, 69, 225–232. [Google Scholar] [CrossRef]
- Solanke, A.U.; Sharma, A.K. Signal Transduction during Cold Stress in Plants. Physiol. Mol. Biol. Plants 2008, 14, 69–79. [Google Scholar] [CrossRef]
- Huang, G.-T.; Ma, S.-L.; Bai, L.-P.; Zhang, L.; Ma, H.; Jia, P.; Liu, J.; Zhong, M.; Guo, Z.-F. Signal Transduction during Cold, Salt, and Drought Stresses in Plants. Mol. Biol. Rep. 2012, 39, 969–987. [Google Scholar] [CrossRef] [PubMed]
- Jiang, Y.; Peng, D.; Bai, L.-P.; Ma, H.; Chen, L.-J.; Zhao, M.-H.; Xu, Z.-J.; Guo, Z.-F. Molecular Switch for Cold Acclimation—Anatomy of the Cold-Inducible Promoter in Plants. Biochemistry 2013, 78, 342–354. [Google Scholar] [CrossRef] [PubMed]
- Guo, J.; Ren, Y.; Tang, Z.; Shi, W.; Zhou, M. Characterization and Expression Profiling of the ICE-CBF-COR Genes in Wheat. PeerJ 2019, 7, e8190. [Google Scholar] [CrossRef] [PubMed]
- Hwarari, D.; Guan, Y.; Ahmad, B.; Movahedi, A.; Min, T.; Hao, Z.; Lu, Y.; Chen, J.; Yang, L. ICE-CBF-COR Signaling Cascade and Its Regulation in Plants Responding to Cold Stress. Int. J. Mol. Sci. 2022, 23, 1549. [Google Scholar] [CrossRef]
- Jin, Y.; Zhai, S.; Wang, W.; Ding, X.; Guo, Z.; Bai, L.; Wang, S. Identification of Genes from the ICE-CBF-COR Pathway under Cold Stress in Aegilops-Triticum Composite Group and the Evolution Analysis with Those from Triticeae. Physiol. Mol. Biol. Plants 2018, 24, 211–229. [Google Scholar] [CrossRef]
- Wang, D.-Z.; Jin, Y.-N.; Ding, X.-H.; Wang, W.-J.; Zhai, S.-S.; Bai, L.-P.; Guo, Z.-F. Gene Regulation and Signal Transduction in the ICE-CBF-COR Signaling Pathway during Cold Stress in Plants. Biochemistry 2017, 82, 1103–1117. [Google Scholar] [CrossRef]
- Maruyama, K.; Takeda, M.; Kidokoro, S.; Yamada, K.; Sakuma, Y.; Urano, K.; Fujita, M.; Yoshiwara, K.; Matsukura, S.; Morishita, Y.; et al. Metabolic Pathways Involved in Cold Acclimation Identified by Integrated Analysis of Metabolites and Transcripts Regulated by DREB1A and DREB2A. Plant Physiol. 2009, 150, 1972–1980. [Google Scholar] [CrossRef]
- Ritonga, F.N.; Chen, S. Physiological and Molecular Mechanism Involved in Cold Stress Tolerance in Plants. Plants 2020, 9, 560. [Google Scholar] [CrossRef]
- Gilmour, S.J.; Zarka, D.G.; Stockinger, E.J.; Salazar, M.P.; Houghton, J.M.; Thomashow, M.F. Low Temperature Regulation of the Arabidopsis CBF Family of AP2 Transcriptional Activators as an Early Step in Cold-Induced COR Gene Expression. Plant J. 1998, 16, 433–442. [Google Scholar] [CrossRef]
- Thomashow, M.F. Molecular Basis of Plant Cold Acclimation: Insights Gained from Studying the CBF Cold Response Pathway. Plant Physiol. 2010, 154, 571–577. [Google Scholar] [CrossRef]
- Haake, V.; Cook, D.; Riechmann, J.L.; Pineda, O.; Thomashow, M.F.; Zhang, J.Z. Transcription Factor CBF4 Is a Regulator of Drought Adaptation in Arabidopsis. Plant Physiol. 2002, 130, 639–648. [Google Scholar] [CrossRef] [PubMed]
- Magome, H.; Yamaguchi, S.; Hanada, A.; Kamiya, Y.; Oda, K. Dwarf and Delayed-Flowering 1, a Novel Arabidopsis Mutant Deficient in Gibberellin Biosynthesis Because of Overexpression of a Putative AP2 Transcription Factor. Plant J. 2004, 37, 720–729. [Google Scholar] [CrossRef] [PubMed]
- Liu, Q.; Kasuga, M.; Sakuma, Y.; Abe, H.; Miura, S.; Yamaguchi-Shinozaki, K.; Shinozaki, K. Two Transcription Factors, DREB1 and DREB2, with an EREBP/AP2 DNA Binding Domain Separate Two Cellular Signal Transduction Pathways in Drought- and Low-Temperature-Responsive Gene Expression, Respectively, in Arabidopsis. Plant Cell 1998, 10, 1391–1406. [Google Scholar] [CrossRef] [PubMed]
- Medina, J.; Bargues, M.; Terol, J.; Pérez-Alonso, M.; Salinas, J. The Arabidopsis CBF Gene Family Is Composed of Three Genes Encoding AP2 Domain-Containing Proteins Whose Expression Is Regulated by Low Temperature but Not by Abscisic Acid or Dehydration. Plant Physiol. 1999, 119, 463–470. [Google Scholar] [CrossRef]
- Gilmour, S.J.; Sebolt, A.M.; Salazar, M.P.; Everard, J.D.; Thomashow, M.F. Overexpression of the Arabidopsis CBF3 Transcriptional Activator Mimics Multiple Biochemical Changes Associated with Cold Acclimation. Plant Physiol. 2000, 124, 1854–1865. [Google Scholar] [CrossRef]
- Hao, G.-P.; Wu, Z.-Y.; Cao, M.-Q.; Pelletier, G.; Brunel, D.; Huang, C.-L.; Yang, Q. Nucleotide polymorphism in the drought induced transcription factor CBF4 region of Arabidopsis thaliana and its molecular evolution analyses. Yi Chuan Xue Bao 2004, 31, 1415–1425. [Google Scholar]
- Magome, H.; Yamaguchi, S.; Hanada, A.; Kamiya, Y.; Oda, K. The DDF1 Transcriptional Activator Upregulates Expression of a Gibberellin-Deactivating Gene, GA2ox7, under High-Salinity Stress in Arabidopsis. Plant J. 2008, 56, 613–626. [Google Scholar] [CrossRef]
- Zhao, K.; Zhou, Y.; Li, Y.; Zhuo, X.; Ahmad, S.; Han, Y.; Yong, X.; Zhang, Q. Crosstalk of PmCBFs and PmDAMs Based on the Changes of Phytohormones under Seasonal Cold Stress in the Stem of Prunus Mume. Int. J. Mol. Sci. 2018, 19, 15. [Google Scholar] [CrossRef]
- Li, J.; Zheng, G.; Li, S.; Tang, Z.; Sun, J.; Xin, X. Characterization of Rosa Chinensis CBF Genes and the Function of RcCBF6 in Cold Tolerance. J. Plant Biol. 2020, 63, 267–278. [Google Scholar] [CrossRef]
- Panchy, N.; Lehti-Shiu, M.; Shiu, S.-H. Evolution of Gene Duplication in Plants. Plant Physiol. 2016, 171, 2294–2316. [Google Scholar] [CrossRef]
- Martínez, M.L.; Mattea, M.A.; Maestri, D.M. Pressing and Supercritical Carbon Dioxide Extraction of Walnut Oil. J. Food Eng. 2008, 88, 399–404. [Google Scholar] [CrossRef]
- Jia, Y.; Ding, Y.; Shi, Y.; Zhang, X.; Gong, Z.; Yang, S. The Cbfs Triple Mutants Reveal the Essential Functions of CBFs in Cold Acclimation and Allow the Definition of CBF Regulons in Arabidopsis. New Phytol. 2016, 212, 345–353. [Google Scholar] [CrossRef] [PubMed]
- Zhao, C.; Zhang, Z.; Xie, S.; Si, T.; Li, Y.; Zhu, J.-K. Mutational Evidence for the Critical Role of CBF Transcription Factors in Cold Acclimation in Arabidopsis. Plant Physiol. 2016, 171, 2744–2759. [Google Scholar] [CrossRef] [PubMed]
- Zhang, X.; Yu, J.; Wang, R.; Liu, W.; Chen, S.; Wang, Y.; Yu, Y.; Qu, G.; Chen, S. Genome-Wide Identification and Expression Profiles of C-Repeat Binding Factor Transcription Factors in Betula Platyphylla under Abiotic Stress. Int. J. Mol. Sci. 2023, 24, 10573. [Google Scholar] [CrossRef]
- Li, J.; Li, H.; Quan, X.; Shan, Q.; Wang, W.; Yin, N.; Wang, S.; Wang, Z.; He, W. Comprehensive Analysis of Cucumber C-Repeat/Dehydration-Responsive Element Binding Factor Family Genes and Their Potential Roles in Cold Tolerance of Cucumber. BMC Plant Biol. 2022, 22, 270. [Google Scholar] [CrossRef]
- Guan, Y.; Liu, S.; Wu, W.; Hong, K.; Li, R.; Zhu, L.; Liu, Y.; Lu, Y.; Chen, J.; Yang, L.; et al. Genome-Wide Identification and Cold Stress-Induced Expression Analysis of the CBF Gene Family in Liriodendron chinense. J. For. Res. 2021, 32, 2531–2543. [Google Scholar] [CrossRef]
- Liu, H.; Lyu, H.-M.; Zhu, K.; Van de Peer, Y.; Max Cheng, Z.-M. The Emergence and Evolution of Intron-Poor and Intronless Genes in Intron-Rich Plant Gene Families. Plant J. 2021, 105, 1072–1082. [Google Scholar] [CrossRef]
- Sakuma, Y.; Liu, Q.; Dubouzet, J.G.; Abe, H.; Shinozaki, K.; Yamaguchi-Shinozaki, K. DNA-Binding Specificity of the ERF/AP2 Domain of Arabidopsis DREBs, Transcription Factors Involved in Dehydration- and Cold-Inducible Gene Expression. Biochem. Biophys. Res. Commun. 2002, 290, 998–1009. [Google Scholar] [CrossRef]
- Canella, D.; Gilmour, S.J.; Kuhn, L.A.; Thomashow, M.F. DNA Binding by the Arabidopsis CBF1 Transcription Factor Requires the PKKP/RAGRxKFxETRHP Signature Sequence. Biochim. Biophys. Acta 2010, 1799, 454–462. [Google Scholar] [CrossRef]
- Qiu, X.; Sun, G.; Liu, F.; Hu, W. Functions of Plant Phytochrome Signaling Pathways in Adaptation to Diverse Stresses. Int. J. Mol. Sci. 2023, 24, 13201. [Google Scholar] [CrossRef]
- Lee, C.-M.; Thomashow, M.F. Photoperiodic Regulation of the C-Repeat Binding Factor (CBF) Cold Acclimation Pathway and Freezing Tolerance in Arabidopsis Thaliana. Proc. Natl. Acad. Sci. USA 2012, 109, 15054–15059. [Google Scholar] [CrossRef] [PubMed]
- Mustilli, A.-C.; Merlot, S.; Vavasseur, A.; Fenzi, F.; Giraudat, J. Arabidopsis OST1 Protein Kinase Mediates the Regulation of Stomatal Aperture by Abscisic Acid and Acts Upstream of Reactive Oxygen Species Production. Plant Cell 2002, 14, 3089–3099. [Google Scholar] [CrossRef] [PubMed]
- Lee, H.G.; Seo, P.J. The MYB96-HHP Module Integrates Cold and Abscisic Acid Signaling to Activate the CBF-COR Pathway in Arabidopsis. Plant J. 2015, 82, 962–977. [Google Scholar] [CrossRef] [PubMed]
- Lee, S.-C.; Lim, M.-H.; Yu, J.-G.; Park, B.-S.; Yang, T.-J. Genome-Wide Characterization of the CBF/DREB1 Gene Family in Brassica Rapa. Plant Physiol. Biochem. 2012, 61, 142–152. [Google Scholar] [CrossRef]
- Zhao, Q.; Han, R.; Cai, K.; Yan, H.; Li, Y.; Qu, G.; Liu, L.; Zhao, X. Identification and Analysis of the CBF Gene Family in Three Species of Acer under Cold Stress. Int. J. Mol. Sci. 2023, 24, 2088. [Google Scholar] [CrossRef]
- Zhang, H.; Gong, Y.; Sun, P.; Chen, S.; Ma, C. Genome-Wide Identification of CBF Genes and Their Responses to Cold Acclimation in Taraxacum Kok-Saghyz. PeerJ 2022, 10, e13429. [Google Scholar] [CrossRef]
- Wang, D.; Cui, B.; Guo, H.; Liu, Y.; Nie, S. Genome-Wide Identification and Expression Analysis of the CBF Transcription Factor Family in Lolium perenne under Abiotic Stress. Plant Signal Behav. 2022, 17, 2086733. [Google Scholar] [CrossRef]
- Wang, J.; Marowsky, N.C.; Fan, C. Divergent Evolutionary and Expression Patterns between Lineage Specific New Duplicate Genes and Their Parental Paralogs in Arabidopsis Thaliana. PLoS ONE 2013, 8, e72362. [Google Scholar] [CrossRef]
- Hill, M.S.; Vande Zande, P.; Wittkopp, P.J. Molecular and Evolutionary Processes Generating Variation in Gene Expression. Nat. Rev. Genet. 2021, 22, 203–215. [Google Scholar] [CrossRef]
- Hu, Z.; Ban, Q.; Hao, J.; Zhu, X.; Cheng, Y.; Mao, J.; Lin, M.; Xia, E.; Li, Y. Genome-Wide Characterization of the C-Repeat Binding Factor (CBF) Gene Family Involved in the Response to Abiotic Stresses in Tea Plant (Camellia sinensis). Front. Plant Sci. 2020, 11, 921. [Google Scholar] [CrossRef]
- Li, W.; Chen, Y.; Ye, M.; Lu, H.; Wang, D.; Chen, Q. Evolutionary History of the C-Repeat Binding Factor/Dehydration-Responsive Element-Binding 1 (CBF/DREB1) Protein Family in 43 Plant Species and Characterization of CBF/DREB1 Proteins in Solanum tuberosum. BMC Evol. Biol. 2020, 20, 142. [Google Scholar] [CrossRef] [PubMed]
- Park, S.; Shi, A.; Mou, B. Genome-Wide Identification and Expression Analysis of the CBF/DREB1 Gene Family in Lettuce. Sci. Rep. 2020, 10, 5733. [Google Scholar] [CrossRef] [PubMed]
- Bailey, T.L.; Boden, M.; Buske, F.A.; Frith, M.; Grant, C.E.; Clementi, L.; Ren, J.; Li, W.W.; Noble, W.S. MEME SUITE: Tools for Motif Discovery and Searching. Nucleic Acids Res. 2009, 37, W202–W208. [Google Scholar] [CrossRef] [PubMed]
- Larkin, M.A.; Blackshields, G.; Brown, N.P.; Chenna, R.; McGettigan, P.A.; McWilliam, H.; Valentin, F.; Wallace, I.M.; Wilm, A.; Lopez, R.; et al. Clustal W and Clustal X Version 2.0. Bioinformatics 2007, 23, 2947–2948. [Google Scholar] [CrossRef] [PubMed]
- Wang, Y.; Tang, H.; DeBarry, J.D.; Tan, X.; Li, J.; Wang, X.; Lee, T.; Jin, H.; Marler, B.; Guo, H.; et al. MCScanX: A Toolkit for Detection and Evolutionary Analysis of Gene Synteny and Collinearity. Nucleic Acids Res. 2012, 40, e49. [Google Scholar] [CrossRef] [PubMed]
- Liang, H.; Zhou, W.; Landweber, L.F. SWAKK: A Web Server for Detecting Positive Selection in Proteins Using a Sliding Window Substitution Rate Analysis. Nucleic Acids Res. 2006, 34, W382–W384. [Google Scholar] [CrossRef]
- Wang, Q.; Zhang, X.; Lin, S.; Yang, S.; Yan, X.; Bendahmane, M.; Bao, M.; Fu, X. Mapping a Double Flower Phenotype-Associated Gene DcAP2L in Dianthus chinensis. J. Exp. Bot. 2020, 71, 1915–1927. [Google Scholar] [CrossRef]
- Song, F.; Li, Z.; Wang, C.; Jiang, Y.; Wang, Z.; He, L.; Ma, X.; Zhang, Y.; Song, X.; Liu, J.; et al. CsMYB15 Positively Regulates Cs4CL2-Mediated Lignin Biosynthesis during Juice Sac Granulation in Navel Orange. Front. Plant Sci. 2023, 14, 1223820. [Google Scholar] [CrossRef]
Disclaimer/Publisher’s Note: The statements, opinions and data contained in all publications are solely those of the individual author(s) and contributor(s) and not of MDPI and/or the editor(s). MDPI and/or the editor(s) disclaim responsibility for any injury to people or property resulting from any ideas, methods, instructions or products referred to in the content. |
© 2023 by the authors. Licensee MDPI, Basel, Switzerland. This article is an open access article distributed under the terms and conditions of the Creative Commons Attribution (CC BY) license (https://creativecommons.org/licenses/by/4.0/).








