Abstract
Plant distant grafting can produce stable genetic variation, which is a new method for germplasm innovation. Two chimeras, peach/apricot (PA) and apricot/peach (AP), were created through two-way grafting between peach and apricot. The leaves, flowers and fruit phenotypes of chimeras were significantly different to self-rooted rootstock. In order to investigate the causes of such changes, transcriptome and proteome integrative analyses were conducted on apricots from these two chimeras. Many differentially expressed genes (DEGs) and differentially expressed proteins (DEPs) that may be connected to the development of grafted apricot hybrids were identified and explored based on function. Moreover, we found 76 genes in forward-grafted PA and 46 in reverse-grafted AP that overlapped both in DEGs and DEPs (DEGs/DEPs) via transcriptome–proteome integrative analysis. Mapping the Kyoto Encyclopedia of Genes and Genomes (KEGG) pathway database in PA and AP, the top significant enrichment pathways of DEGs/DEPs included lipid metabolism (fatty acid elongation, cutin, suberine and wax biosynthesis, fatty acid degradation and alpha-linolenic acid metabolism) and carbohydrate metabolism (glycolysis/gluconeogenesis, starch and sucrose metabolism and galactose metabolism), revealing that lipid metabolism and carbohydrate metabolism may play an irreplaceable role in the development of grafted apricot hybrids. Taken together, this work uncovered numerous candidate transcripts and proteins involved in the development of grafted apricot hybrids. The molecular mechanisms provide new insights into this important process in other heterografting hybrids.
    1. Introduction
Plant grafting is widely used in fruit trees and horticultural crops, which can lead to graft hybrid formation with desired traits, such as phenotypic traits (e.g., leaf color, leaf blade shape, fruit size) [,], stress resistance [], production and quality [,,] and physiological process changes [], and these plants are sometimes called graft hybrids [,]. In terms of the mechanism of grafting hybrids, the genetic material between different rootstocks and scions can be transferred to produce new phenotypes and obtain stable inheritance in offspring [], but the present molecular biology research has recognized that the exchange of proteins, hormones, mRNAs and miRNAs between rootstocks and scions of rootstocks play an very important role [,].
Transcriptomics and proteomics have been widely used to study key biological questions [,,]. For example, the transcriptome sequencing analysis of the healing differential mechanism of pear grafting on different rootstocks revealed that the healing of hormone- and lignin-related genes was delayed in allografts, and the expression of starch and sucrose-related DEGs was upregulated in allografts, providing insights into the healing mechanism of pear grafting []. In the study on the response of grafted loquat to drought stress melatonin, Wang et al. applied transcriptional sequencing technology to the transduction of plant hormone, Ca2+ signal transduction, ethylene reaction transcription factor 1B, starch and sucrose metabolism, etc., and found that there were many genes associated with melatonin; these genes established a gene functional molecular network for the response of grafted loquat to melatonin []. Similarly, transcriptome sequencing was used to study the molecular reactions of the secondary growth of grafted rose stems. Significant differences were found in the amount of DEGs and functional annotation of KEGG among different materials. For example, related metabolic pathways in Rr_scion included phenylpropanol biosynthesis metabolism and plant hormone signal transduction. In regard to Rm_stock, it is associated with starch and sucrose metabolic pathways []. In the study, they could shorten the juvenile length of pecan walnut grafting; Xu et al. revealed the reaction mechanism of pecan walnuts to grafting based on proteomic methods, and identified 710 DEPs, which were significantly enriched in flavonoid biosynthesis and starch and sucrose metabolism. These results provided basic information for pecan grafting []. Based on the effect of Candidatus Liberibacter asiaticus (CaLas) on the fruit quality of sweet orange, Yao et al. used proteomics to analyze the protein function of grafted sweet orange (Citrus sinensis) grafted on Swingle. Protein downregulation was associated with terpenoid biosynthesis, glycolysis and tricarboxylic acid cycling pathways []. These previous results further indicate that high-throughput sequencing technology plays an important role in the formation of hybridization in grafted plants.
In the apricot industry, peaches (Prunus persica and P. davidiana) as rootstocks have been widespread in their application due to the chimeras having higher compatibility, fast growth of biomass, bigger fruit, etc. However, our previous study found that the apricot chimeras of PA had a later flowering time, larger leaf area, sharper leaf apex (Figure S1D,E, red arrow), oval petals and pink color. The weight, length and width of apricot pits and kernels increased significantly (p < 0.05, Figure S1). In order to investigate the causes of phenotypic variation, therefore, studies on transcriptome and proteome analyses were performed to identify the proteins and genes involved in grafted apricot hybrids, and the function of the associated genes and proteins was further analyzed to reveal the mechanism of grafted apricot hybrid development. These results provided novel insights for the formation of and research on the grafted hybrids of apricot trees.
2. Materials and Methods
2.1. Plant Materials
The experiment was carried out at the Mengzhou county experimental base of Non-Timber Forestry Research and Development Center, Chinese Academy of Forestry (112°42′51″ E, 34°51′35″ N), which belongs to a warm continental monsoon climate. The scion peach (P. persica ‘Ziye’) was grafted onto 2-year-old apricot (P. armeniaca ‘Youyi’) rootstocks to construct peach/apricot (PA) graft hybrids on 15 June 2014; meanwhile, apricot/peach (AP) graft hybrids were also constructed based on a reversed graft method for PA. In addition, the self-rooted graft apricot (SA) was used as a control. The leaves, buds, mature flowers and fruits of apricot hybrids were collected from three-year-olds, and the three biological samples were frozen in liquid nitrogen and stored at −80 °C until transcriptional and proteomic analyses occurred.
2.2. Total RNA Extraction, cDNA Library Construction, Sequencing and Analysis
RNA was extracted from nine samples using TRIzol (Invitrogen, Carlsbad, CA, USA), and its purity, concentration and integrity were detected using a NanoDropND-1000 (NanoDrop, Wilmington, DE, USA), Qubit 2.0 (Fisherbrand, YN, China) and Bioanalyzer 2100 (Agilent, CA, USA), respectively. The cDNA library was established and sequenced by LC-Bio Technology Co., Ltd. (Hangzhou, China) using Illumina Novaseq 6000 and 2 × 150 bp double-end sequence (PE150). Clean RNA-Seq data are available in the National Center for Biotechnology Data (SUB11589359) database. Sequences in the mRNA library were screened using SOAPnuke (version 1.5.6) and then mapped onto the NCBI Genebank (https://www.ncbi.nlm.nih.gov/ accessed on 19 September 2020)using Bowtie2. The DEGs between the treatment (PA, AP) and control groups (SA) were determined using the values of |log2(FC)| > 1 and p-value < 0.05.
2.3. Protein Extraction, TMT Labeling and Quantification
The raw material of nine RNA sequencing samples was the same as that of proteome sequencing, and it was also performed by LC-Bio Technology Co., Ltd. (Hangzhou, China). The total protein content of each extracted sample was determined according to Kain (2006) [], and the protein quantity and quality were measured with a BCA protein analyzer (China, Shanghai, P0012) and 12.5% SDS-PAGE.
Protein samples were digested using the FASP method [], and all samples were labeled using tandem mass tag (TMT) labeling kits (Thermo Fisher Scientific, Waltham, MA, USA). Agilent 1260 Infinity II high-performance liquid chromatography (HPLC) was used for the separation of TMT-labeled peptides. Finally, LC-MS/MS analysis of these labeled peptides was performed using a Q-Exactive mass spectrometer (Thermo Fisher Scientific). As for protein identification, the original MS/MS files were embedded in the transcriptome database mentioned earlier (Matrix Science, London, UK; version 2.6) based on the MASCOT engine. Additionally, paired comparisons of PA vs. SA and AP vs. SA revealed DEPs at FC > 1.2 or FC < 0.83 and p < 0.05 (Student’s t-test for all alignment groups).
2.4. Conjoint Analysis of Transcriptome and Proteome Profile
The expression of genes is regulated in many ways, and most research reports show that the expression of mRNA and corresponding proteins is inconsistent []. Therefore, correlation analysis of the transcriptome and the proteome is needed to understand the regulatory mechanism of its expression. The DEGs and DEPs were determined separately. The DEGs (FC > 2 or FC < 0.5 and p < 0.05) and DEPs (FC > 1.2 or FC < 0.83 and p < 0.05) were statistically processed in the transcriptome and the proteome, respectively, and a Venn diagram for these data was drawn using TBtools (http://mdr.tbtools.org/ accessed on 16 October 2022). The DEGs and DEPs were analyzed using GO functional classification and the KEGG pathway. In the GO database (http://geneontology.org/ accessed on 16 October 2022), DEGs and DEPs were annotated as either a cellular component (CC), biological process (BP) or molecular function (MF) [], and in the KEGG pathway enrichment analyses they were annotated using the KEGG database (http://www.genome.jp/kegg/ accessed on 16 October 2022) [].
2.5. Quantitative Real-Time PCR (qRT-PCR) Analysis
The RNA of the PA, AP and SA samples used for RNA-Seq analysis was also used for qRT-PCR validation. Total RNA (5 mg) was treated with gDNA wiper mix (Vazyme, R223, Nanjing, China) at 42 °C for 2 min to remove the remaining genomic DNA. First-strand cDNA was synthesized using the 5 × HiScript II qRT SuperMix II (Vazyme, Q711). The total reaction volume was 20 μL, which contained 1 μL of diluted cDNA template, 1 μL of forward and reverse primers (10 mML−1), 10 μL of 2 × ChamQ Universal SYBR qPCR Master Mix and 7 μL ddH2O. The qRT-PCR reaction conditions for amplification were as follows: denaturation was performed at 95 °C for 30 s, followed by 40 cycles of 95 °C for 10 s and 60 °C for 30 s. Each experiment was performed three times with three biological replicates. qRT-PCR was performed with SYBR Green Supermix (Hoffmann-La Roche Ltd.) using the ABI 7500 Fast Real-Time PCR System (Applied Biosystems, 96-well plate, software version 2.6.1). Each cDNA sample was quantified in triplicate using quantitative assays as a loading control for the actin gene []. Transcript content relative to actin levels was calculated using 2−∆∆ct []. qRT-PCR primers (Table S1) were designed based on the software primer 5.0 (Davis, CA, USA) for DEG sequences.
3. Results
3.1. Identification and Function Study of the Differentially Expressed Genes in Apricot Grafted Hybrids
To better understand the transcriptome of grafted apricot hybrids, nine transcriptomic profiles, namely, AP, PA and SA samples with three replicates, were analyzed. Overall, the raw reads generated from the nine RNA-Seq samples totaled 81.3 million (corresponding to 121.92 Gb of transcriptome data). Raw reads were further processed with adaptor sequences, and low-quality reads were removed. A total of 5.33 million clean reads were obtained on average for each sample, with a GC percentage of 48%–50% (Table S2). Both the treatment group (PA, AP) and the control group (SA) (|log2(FC)| > 1 and p < 0.05) were used as DEGs. There were 2263 DEGs in the PA group, of which 1031 DEGs were upregulated and 1232 DEGs were downregulated (Figure 1A,B). The AP group had 1615 DEGs, of which 617 were upregulated and 998 were downregulated (Figure 1A,B). In addition, 874 DEGs were common in both PA and AP. A total of 1389 genes were specifically expressed in PA, and 741 genes were specifically expressed in AP.
 
      
    
    Figure 1.
      Statistics and Venn diagrams of differentially expressed genes (DEGs) in all samples. (A) Statistic diagrams of DEGs; (B) Venn diagrams of DEGs.
  
To further characterize the function of DEGs in apricot hybrids, GO enrichment analysis was performed. For PA, most DEGs in the biological process (BP) classification were related to the oxidation–reduction process, DNA template, defense response, and transcription. Protein binding, ATP binding, DNA-binding transcription factor activity and DNA binding had the most DEGs in the molecular function (MF) class. DEGs in the cellular component (CC) classification were most abundant in the integral components of the membrane, nucleus, cytoplasm and plasma membrane (Figure S2A). For AP, most enriched DEGs in the BP category were related to protein phosphorylation, defense response, the oxidation–reduction process and signal transduction. Most enriched DEGs in the MF category were related to metal ion binding, ATP binding, protein binding and protein serine/threonine kinase activity, and most enriched DEGs in the CC category were related to integral components of the membrane, cytoplasm, plasma membrane and nucleus (Figure S2B). By comparing the enriched results of PA with AP, 874 common DEGs were annotated on GO categories. The DEGs were mainly associated with the oxidation–reduction process, signal transduction, protein phosphorylation and defense response in the BP category; in the MF category, the DEGs were mainly associated with protein serine/threonine kinase activity, protein binding, ADP binding and ATP binding, and in the CC category, the DEGs were mainly associated with the cytoplasm, plasma membrane, the integral component of the membrane and the nucleus (Figure S2C).
The KEGG enrichment results showed that the DEGs of PA and AP were significantly enriched in channels 121 and 114, respectively. The top enriched pathways in PA were mainly cutin, suberine and wax biosynthesis, plant hormone signal transduction, plant–pathogen interaction, fatty acid biosynthesis and MAPK signaling pathway–plant (Figure 2A). In contrast, the top pathways in AP were significantly enriched in glycerolipid metabolism, tyrosine metabolism, cyanoamino acid metabolism, flavonoid biosynthesis, fatty acid degradation and pentose and glucuronate interconversions (Figure 2B). However, 12 significantly enriched pathways, including glucosinolate biosynthesis, anthocyanin biosynthesis, cutin, suberine and wax biosynthesis, plant–pathogen interaction, glycerolipid metabolism and fatty acid degradation, were associated with apricot forward and reverse grafting, suggesting that some DEGs significantly regulated grafted apricot hybrid development using these 12 pathways (Figure 2C).

 
      
    
    Figure 2.
      KEGG enrichment pathway analysis of differentially expressed genes (DEGs) in grafted apricot hybrids. (A) DEGs enriched in KEGG pathways in peach/apricot (PA); (B) DEGs enriched in KEGG pathways in apricot/peach (AP); (C) common DEGs enriched in KEGG pathways in peach/apricot (PA) and apricot/peach (AP).
  
3.2. Identification and Function Study of the Differentially Expressed Proteins in Apricot Grafted Hybrids
To further explore DEPs involved in grafted apricot hybrids, the nine samples in the RNA-seq analysis were also used for proteomics analysis. After tandem mass tag (TMT) analysis, 296,930 spectra were obtained, of which 92,830 spectra were matched with the peptide chains in the database, and 51,143 peptides were unique. Finally, a total of 8508 proteins were detected (Table S3). According to the comparison with the graft hybrids of SA, the proteins that existed (FC > 1.2 or FC < 0.83, p < 0.05) between the treatment group (PA, AP) and the control group (SA) were considered to be DEPs. There were 777 DEPs (659 upregulated and 118 downregulated) between PA and SA and 767 DEPs (527 upregulated and 240 downregulated) between AP and SA (Figure 3A). Comparing PA and AP, 397 DEPs were common in both samples; meanwhile, 380 and 370 specific DEPs were identified in PA and AP, respectively (Figure 3B).
 
      
    
    Figure 3.
      Statistics and Venn diagrams of differentially expressed proteins (DEPs) in all samples. (A) Statistics diagrams of DEPs; (B) Venn diagrams of DEPs.
  
Further analysis of GO enrichment was conducted for 777 and 767 DEPs in the PA and AP groups, respectively. For PA, the most enriched DEPs in the BP category were the oxidation–reduction process, response to cadmium ion, protein transport and response to salt stress. The most enriched DEPs in the MF category were protein binding, ATP binding, metal ion binding and oxidoreductase activity, and the most enriched DEPs in the CC category were plasma membrane, integral component of membrane, cytosol and nucleus (Figure S3A). For AP, the most enriched DEPs in the BP category were oxidation–reduction process, response to cadmium ion, response to karrikin and response to cold, and the most enriched DEPs in the MF category were protein binding, ATP binding, metal ion binding and zinc ion binding; the most enriched DEPs in the CC category were nucleus, cytosol, cytoplasm and chloroplast (Figure S3B). By comparing the enrichment results of PA and AP, 387 common DEPs were annotated in the BP, MF and CC categories. In the BP category, the DEPs were mainly associated with the oxidation–reduction process, response to water deprivation and response to cold; in the MF category, the DEPs were mainly associated with protein binding, ATP binding, metal ion binding and oxidoreductase activity, and in the CC category, the DEPs were mainly associated with cytosol, nucleus, cytoplasm and integral component of membrane (Figure S3C).
The KEGG pathway enrichment analysis of PA showed that the top 20 enriched pathways included fatty acid degradation, glycolysis/gluconeogenesis, amino sugar and nucleotide sugar metabolism, fatty acid biosynthesis and cutin, suberine and wax biosynthesis (Figure 4A). In contrast, the top 20 pathways in AP were significantly enriched in fatty acid degradation, glycolysis/gluconeogenesis, pyruvate metabolism, alpha-linolenic acid metabolism, citrate cycle (TCA cycle) and amino sugar and nucleotide sugar metabolism (Figure 4B). By comparing these enrichment results, 16 pathways enriched by the DEPs, such as fatty acid degradation, glycolysis/gluconeogenesis, alpha-linolenic acid metabolism, pyruvate metabolism and fatty acid elongation, were significantly associated with apricot forward and reverse grafting (Figure 4C).

 
      
    
    Figure 4.
      KEGG enrichment pathway analysis of differentially expressed proteins (DEPs) in grafted apricot hybrids. (A) DEPs enriched in KEGG pathways in peach/apricot (PA); (B) DEPs enriched in KEGG pathways in apricot/peach (AP); (C) common DEPs enriched in KEGG pathways in peach/apricot (PA) and apricot/peach (AP).
  
3.3. Joint Transcriptomic and Proteomic Analysis in Apricot Hybrids
To better understand and explore the mRNA and transcribed mRNA involved in grafted apricot hybrids, combined transcriptomic and proteomic analyses were performed. A total of 76 DEGs/DEPs in PA and 46 DEGs/DEPs in AP overlapped using a Venn diagram. Among them, the expression of 35 DEGs/DEPs showed a consistent trend with PA, while the expression of 41 DEGs/DEPs showed an opposite trend (Figure 5A). The expression of 24 DEGs/DEPs tended to be consistent in AP, while the expression of 22 DEGs/DEPs in AP were in the opposite direction (Figure 5B).
 
      
    
    Figure 5.
      Venn diagrams of the differentially expressed genes (DEGs) and differentially expressed proteins (DEPs) of all samples. (A) Venn diagrams of DEGs and DEPs common to peach/apricot (PA); (B) Venn diagrams of DEGs and DEPs common to apricot/peach (AP).
  
We further explored the function of these DEGs/DEPs using enrichment analysis and found that the annotation of DEGs/DEPs in the three GO categories was roughly the same degree for PA and AP. In BP, DEGs/DEPs were mainly involved in the oxidation–reduction process and response to cold. In CC, DEGs/DEPs play an important role in the cytosol and nucleus. In the MF category, DEGs/DEPs were associated with zinc ion binding and protein binding (Figure 6A,B). A comparison of GO annotation entries between PA and AP showed that there were more DEGs/DEPs in the BP annotation entries, indicating that the biological process was the main function regulating phenotypic changes in apricot hybrids.
 
      
    
    Figure 6.
      GO term analysis of differentially expressed genes (DEGs) and differentially expressed proteins (DEPs) in grafted apricot hybrids. (A) DEGs/DEPs enriched in GO terms in peach/apricot (PA); (B) DEGs/DEPs enriched in GO terms in apricot/peach (AP).
  
The KEGG enrichment results of DEGs/DEPs showed that DEGs/DEPs in the top 20 KEGG pathways were similar in PA and AP and were mainly enriched in five major KEGG pathways: cellular processes, environmental information processing, genetic information processing, metabolism and organismal systems. Among these pathways, the most enriched DEGs/DEPs were all metabolic pathways, among which lipid metabolism, carbohydrate metabolism and amino acid metabolism were more enriched in PA and AP (Figure 7A,B). In addition, folding and sorting and degradation and translation are two key pathways in genetic information processing. These results further indicate that the functions of DEGs/DEPs in metabolic and genetic information processing are the main pathways affecting novel phenotypes in grafted apricots.
 
      
    
    Figure 7.
      KEGG enrichment analysis of gene and protein association in grafted apricot hybrids. (A) Differentially expressed genes (DEGs) and differentially expressed proteins (DEPs) enriched in KEGG pathways in peach/apricot (PA); (B) DEGs/DEPs enriched in KEGG pathways in apricot/peach (AP).
  
3.4. Analysis of DEGs/DEPs Involved in Lipid Metabolism and Carbohydrate Metabolism in Grafted Apricot Hybrids
Using KEGG enrichment of DEGs/DEPs in PA and AP, there were (lipid metabolism and carbohydrate metabolism) two obvious enrichment pathways that were important in plant growth []. The regulatory role of DEGs/DEPs involved in lipid metabolism was further analyzed, and four DEGs/DEPs (two KCS, CER1 and CYP77A) were involved in fatty acid elongation and cutin, suberine and wax biosynthesis, with the opposite expression trend in PA, while two DEGs/DEPs (ADH1_7) were involved in fatty acid degradation, with the opposite (one ADH1_7) and same expression trend (one ADH1_7) in AP (Table 1). Meanwhile, the regulatory role of DEGs/DEPs involved in carbohydrate metabolism was further analyzed, and 13 DEGs/DEPs (two MGAM, four INV, PDC, pckA, ENO, ADH1_7, EGLC, SUS and WAXY) were involved in glycolysis/gluconeogenesis, starch and sucrose metabolism and galactose metabolism in PA, while three DEGs/DEPs (two ADH1_7 and ENO) involved in glycolysis/gluconeogenesis had the opposite (one ADH1_7) and same expression trend (one ADH1_7 and ENO) in AP (Table 2).
 
       
    
    Table 1.
    Fold change related to the lipid metabolism DEGs/DEPs in peach/apricot (PA) and apricot/peach (AP).
  
 
       
    
    Table 2.
    Fold change related to the carbohydrate metabolism DEGs/DEPs in peach/apricot (PA) and apricot/peach (AP).
  
3.5. Validation of qRT-PCR of DEG Profiles
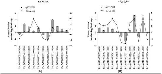
To verify the transcriptome data accuracy and reliability, 23 DEGs were detected using the qRT-PCR method, and the expression of 16 DEGs was upregulated and that of 7 DEGs was downregulated. Through the transcriptome analyses and qRT-PCR, the expression of three DEGs was found to be downregulated and eight DEGs were upregulated in PA and SA (Figure 8A). That of four DEGs was significantly downregulated, and that of eight DEGs was significantly upregulated between AP and SA (Figure 8B). qRT-PCR showed that the relative expression patterns of these genes were in accordance with those determined from the transcriptome sequencing data. Thus, the data from the transcribed sequence are reliable.
 
      
    
    Figure 8.
      qRT-PCR analysis of peach/apricot (PA) and apricot/peach (AP). (A) qRT-PCR analysis of the relative expression levels of 11 DEGs in the PA; (B) qRT-PCR analysis of the relative expression levels of 12 DEGs in the AP.
  
4. Discussion
Recently, mRNA identification and quantitative analysis using RNA sequencing technology have been broadly used for mRNA research in heterogenous grafted plants [], such as Litchi chinensis [] and pear []. In this study, two grafted apricot hybrids (AP and PA) from peach and apricot were used as materials to screen the DEGs involved in the development of heterologous grafted apricot hybrids via transcriptome analysis. Of the DEGs, 2263 and 1615 were detected in PA and AP, respectively, in which the number of DEGs was higher in PA than in AP. These results revealed that many genes were involved in grafted apricot hybrid development. Through the analysis of their functions, we found that they had significant performance in the plant MAPK signaling pathway, plant hormone signal transduction and plant–pathogen interaction (Figure 9). Compared with the function of genes involved in other graft plants, these genes also had the same functions as the DEGs in grafted apricot hybrids. For example, through the study of the transcriptome, it was discovered that plant hormone signal transduction, MAPK signal transduction, phenylalanine metabolism and plant–pathogen interaction increase stress tolerance []. DEGs are an important part of the grafting process of roses; they participate in the synthesis of phenylpropanoid and hormone transmission, and DEGs play a regulatory role in the morphological development of grafted plants []. These results suggest that in grafted apricot hybrids, DEGs promote growth and development through complex signaling pathways (Figure 2). The results of this study were consistent with previous results [], but the phenylalanine metabolism showed a difference.
 
      
    
    Figure 9.
      Transcriptome and proteome pathway maps for the grafted apricot hybrids based on KEGG enrichment. The blue box indicates the transcriptome, and the orange box indicates the proteome.
  
Proteomics has also become widely used in grafted hybrid research [,,]. There were 777 and 767 DEPs in PA and AP, respectively, and the significantly enriched categories included fatty acid degradation, pyruvate metabolism, glycolysis/gluconeogenesis and amino sugar and nucleotide sugar metabolism (Figure 9). According to the proteomic analysis results for grafted melon, the graft-related proteins were mainly related to hormonal signaling pathways and photosynthate metabolism, which could improve melon development, such as fruit quality and production []. The results revealed that hickory grafts were significantly expressed in starch, sucrose metabolism, flavonoids and other metabolic pathways, and could increase their biosynthetic activity and the content of their downstream secondary metabolites []. In addition, the responses of 413 DEPs to low temperature stress were analyzed in terms of secondary metabolite biosynthesis, starch and sucrose metabolism and phenylpropanoid biosynthesis; the results showed that sugar and secondary metabolism were the main factors affecting cold resistance in grafted citrus []. DEPs were identified in grafted apricot hybrids with a complex system involved in the development of apricot hybrids. These results showed that grafting has different effects on protein function in different plants, such as yield and quality [] and response to low temperature stress [], but the underlying mechanism of protein function needs further investigation.
In this study, four DEGs/DEPs (two KCS, CER1 and CYP77A) were related to fatty acid elongation and cutin, suberine and wax biosynthesis (Table 1). In higher plants, Malonyl-CoA is catalyzed by KCS to produce long-chain acyl-CoA, and long-chain acyl-CoA is catalyzed by CER1 to produce a long-chain ketone. Then, the ω-Hydroxy fatty acid is catalyzed by CYP77A to produce polyhydroxy-fatty acid. In addition, 1-Alcoho is catalyzed by ADH1_7 to produce ω-Hydroxy fatty acid. Consistent with our study, 3-Ketoacyl-CoA synthase (KCS) was upregulated in apricot scions to regulate long-chain fatty acids. Alcohol dehydrogenase (ADH) is involved in the fatty acid degradation pathway and has a proven role in regulating fruit quality in melon []. Long-chain fatty acids are essential precursors of many biologically important lipid components in plants, such as cuticular waxes and triglycerides. CER1, a key gene for alkane synthesis, is the most important waxy component in plant cuticular waxes, and it has a great penetrating ability in lipid substances [,]. The enzymes of ω-hydroxy fatty acids and polyhydroxy fatty acids regulated biosynthetic pathways in the plant cuticle []. In the AP, four ADH1_7 DEGs/DEPs were involved in fatty acid degradation and alpha-linolenic acid metabolism (Table 1). Carotenoid-cleaving dioxygenase (CCD), lipoxygenase (LOX), alcohol dehydrogenase (ADH) and alcohol acyltransferase (ATT) are closely related to fatty acid degradation and metabolism. These genes are mainly involved in the metabolism of lipids and play an important role in the regulation of fruit quality []. The results of previous results proved that these DEGs/DEPs play a regulatory role in lipid metabolism, which is consistent with the aforementioned present results. Hence, we can speculate that screened DEGs/DEPs play an important role in the lipid metabolism pathway, and they may be one of the important factors that cause the variation in grafted apricots in leaves, flowers, fruit pits, kernels and other characteristics.
Carbohydrates play an important role in plants, including building biomass, abiotic stress and plant nutrition, among which sugars play a role in signal transduction and regulate carbohydrate partitioning in plants [,]. In the carbohydrate metabolism pathway of PA, 13 DEGs/DEPs were mainly involved in the metabolism of carbohydrase/gluconeogenesis, starch, sucrose and galactose (Table 2). In the glycolysis/gluconeogenesis pathway, oxaloacetate is catalyzed by pckA to produce phosphoenolpyruvate, and its product is catalyzed by ENO to glycerate-2P, which is reversible. Then, phosphoenolpyruvate and pyruvate are catalyzed by PDC to produce acetaldehyde, and its product is catalyzed by ADH1_7 to ethanol, which is reversible. DEGs have certain effects on fructose metabolism and α-linolenic acid metabolism in grafted cucumbers []. In this study, four DEGs/DEPs (PDC, ENO, pckA and ADH1_7) were enriched in the glycolysis/gluconeogenesis pathway, which is consistent with the results of Zhao et al., indicating that these DEGs/DEPs can regulate the quality of grafted apricots (Table 2). During the metabolism of starch and sucrose, UDP-glucose is catalyzed by EGLC to produce D-glucose, and sucrose is catalyzed by MGAM and INV to produce D-glucose and D-fructose. Then, sucrose is catalyzed by SUS to produce UDP-glucose, and its product is catalyzed by WAXY to amylose. α-D-Glucose-1P is catalyzed by WAXY, and maltose is catalyzed by MGAM to produce amylose. In this study, we identified six DEGs/DEPs (two INA, EGLC, MGAM, SUS and WAXY) showing significant enrichment in the metabolism of starch and sucrose. In addition, INV and MGAM are involved in the metabolism of starch, sucrose and galactose. After regulation of cucumber fruit quality in grafted cucumber via glucose metabolism, linoleic acid, amino acid synthesis and starch and sucrose metabolism [], these DEGs/DEPs affected the development of grafted apricot hybrids. In particular, the upregulation of ENO and ADH1_7 in AP could promote the entry of the propanoate metabolism and citrate cycle, resulting in an increased conversion of α-D-Glucose-1P to Glycerate-2P, and resulting in the majority of D-Glucose-1P being transported to starch and sucrose metabolism. These results indicate that DEGs/DEPs related to carbohydrate metabolism and pathways were the key candidates for regulating the growth and development of apricot grafted hybrids.
5. Conclusions
This study explored the molecular mechanism of the development of grafted apricot hybrids. Leaves, buds, mature flowers and fruits were collected from grafted apricot hybrids (PA and AP) via transcriptomic and proteomic analyses. Between the transcriptome and the proteome, there were significantly changed patterns in 2263 genes in PA, 1615 genes in AP, 777 proteins in PA and 767 proteins in AP. Moreover, this study found 76 genes in PA and 46 genes in AP that overlapped in both DEGs and DEPs (DEGs/DEPs) using integrative transcriptome–proteome analysis. By mapping the KEGG pathway database for PA and AP, DEGs/DEPs had the most significant enrichment in lipid metabolism and carbohydrate metabolism pathways, in which four DEGs/DEPs (two KCS, CER1 and CYP77A) were involved in lipid metabolism (fatty acid elongation and cutin, suberine and wax biosynthesis) and thirteen DEGs/DEPs (two MGAM, four INV, PDC, pckA, ENO, ADH1_7, EGLC, SUS and WAXY) were involved in carbohydrate metabolism (glycolysis/gluconeogenesis, starch and sucrose metabolism and galactose metabolism) in PA. In addition, four DEGs/DEPs were related to fatty acid degradation and alpha-linolenic acid metabolism (four ADH1_7), and three DEGs/DEPs were related to glycolysis/gluconeogenesis (two ADH1_7 and ENO) in AP. Therefore, the combination of transcriptomics and proteomics helped us to better understand the genes and pathways related to the grafting and hybridization of apricot and laid a foundation for further research into the molecular regulatory mechanism of grafting and hybridization in other varieties. Through the network relationships between genes and proteins in the grafted varieties formed by apricot and peach, the theoretical formation mechanism between them was improved, which laid a foundation for further study of the molecular regulation mechanism of grafting hybridization in other varieties.
Supplementary Materials
The following supporting information can be downloaded at https://www.mdpi.com/article/10.3390/f14020417/s1: Figure S1. The phenotype differences in apricot vegetative hybrids with self-root Youyi. (A–C) The plant materials of vegetative hybrids Youyi + Ziye, self-rooted Youyi and hybrids Ziye + Youyi, respectively; (D) flowers of vegetative hybrids Youyi + Ziye below the graft union show gray–white color; (E) flowers of self-rooted Youyi show pink color; (F) flowers of vegetative hybrids Ziye + Youyi show white color; (G–I) petals and reproductive organ of plant materials, which corresponds with Figure A–C; the yellow arrows show the differences in size of reproductive organ, petal color and warping. (J–L) The red arrows show the differences in leaf vein, apex (the reverse side of leaf) and margin; this is followed by Figure G,H, respectively; (M) apricot pits of self-rooted P. armeniaca × sibirica ‘Youyi’ (left), and vegetative hybrids You + Ziye (right); (N) apricot kernels correspond with Figure M. Figure S2. GO term analysis of differentially expressed genes (DEGs) in grafted apricot hybrids. (A) DEGs enriched in GO terms in peach/apricot (PA); (B) DEGs enriched in GO terms in apricot/peach (AP); (C) DEGs enriched in GO terms in peach/apricot (PA) and apricot/peach (AP). Figure S3. GO term analysis of differentially expressed proteins (DEPs) in grafted apricot hybrids. (A) DEPs enriched in GO terms in peach/apricot (PA); (B) DEPs enriched in GO terms in apricot/peach (AP); (C) DEPs enriched in GO terms in peach/apricot (PA) and apricot/peach (AP). Table S1. All primers were used for qRT-PCR analysis in this study. Table S2. Statistics of transcript data (raw data, valid data, Q20%, Q30%, etc.) of nine samples. Table S3. Statistics and analysis of all identified proteins.
Author Contributions
Data curation, X.S.; formal analysis, X.S., L.T. and W.X.; investigation, L.F. and W.J.; methodology, Y.L. and Z.C.; funding acquisition, S.Z.; writing—original draft, X.S.; writing—review and editing, S.Z., G.R. and X.Z. All authors have read and agreed to the published version of the manuscript.
Funding
This work was supported by the National Key R&D Program of China (2019YFD1000600).
Data Availability Statement
The clean data of RNA-Seq have been submitted to the National Center database for Biotechnology Data (Accession ID SUB11589359).
Conflicts of Interest
The authors declare no conflict of interest.
References
- Khadivi-Khub, A.; Anjam, K. Prunus scoparia, a suitable rootstock for almond (Prunus dulcis) under drought condition based on vegetative and fruit characteristics. Sci. Hortic. 2016, 210, 220–226. [Google Scholar] [CrossRef]
- Xanthopoulou, A.; Tsaballa, A.; Ganopoulos, I.; Kapazoglou, A.; Avramidou, E.; Aravanopoulos, F.A.; Moysiadis, T.; Osathanunkul, M.; Tsaftaris, A.; Doulis, A.G.; et al. Ιntra-species grafting induces epigenetic and metabolic changes accom-panied by alterations in fruit size and shape of Cucurbita pepo L. Plant Growth Regul. 2019, 87, 93–108. [Google Scholar] [CrossRef]
- Calvo-Polanco, M.; Sánchez-Romera, B.; Aroca, R.; Asins, M.J.; Declerck, S.; Dodd, I.C.; Martínez-Andújar, C.; Albacete, A.; Ruiz-Lozano, J.M. Exploring the use of recombinant inbred lines in combination with beneficial microbial inoculants (AM fungus and PGPR) to improve drought stress tolerance in tomato. Environ. Exp. Bot. 2016, 131, 47–57. [Google Scholar] [CrossRef]
- Huang, W.; Liao, S.; Lv, H.; Khaldun, A.; Wang, Y. Characterization of the growth and fruit quality of tomato grafted on a woody medicinal plant, Lycium chinense. Sci. Hortic. 2015, 197, 447–453. [Google Scholar] [CrossRef]
- Irisarri, P.; Errea, P.; Pina, A. Physiological and Molecular Characterization of New Apricot Cultivars Grafted on Different Prunus Rootstocks. Agronomy 2021, 11, 1464. [Google Scholar] [CrossRef]
- Tang, M.; Bai, X.; Wang, J.; Chen, T.; Meng, X.; Deng, H.; Li, C.; Xu, Z.-F. Efficiency of graft-transmitted JcFT for floral induction in woody perennial species of the Jatropha genus depends on transport distance. Tree Physiol. 2022, 42, 189–201. [Google Scholar] [CrossRef]
- Habibi, F.; Liu, T.; Folta, K.; Sarkhosh, A. Physiological, biochemical, and molecular aspects of grafting in fruit trees. Hortic. Res. 2022, 9, uhac032. [Google Scholar] [CrossRef]
- Stegemann, S.; Bock, R. Exchange of Genetic Material Between Cells in Plant Tissue Grafts. Science 2009, 324, 649–651. [Google Scholar] [CrossRef]
- Li, W.; Chen, S.; Liu, Y.; Wang, L.; Jiang, J.; Zhao, S.; Fang, W.; Chen, F.; Guan, Z. Long-distance transport RNAs between rootstocks and scions and graft hybridization. Planta 2022, 255, 96. [Google Scholar] [CrossRef]
- Zhao, H.; Diao, S.F.; Liu, P.; Luo, Y.; Wuyun, T.N.; Zhu, G.P. The communication of endogenous biomolecules (RNA, DNA, protein, hormone) via graft union might play key roles in the new traits formation of graft hybrids. Pak. J. Bot. 2018, 50, 717–726. [Google Scholar]
- Deng, Z.; Wu, H.; Li, D.; Li, L.; Wang, Z.; Yuan, W.; Xing, Y.; Li, C.; Liang, D. Root-to-Shoot Long-Distance Mobile miRNAs Identified from Nicotiana Rootstocks. Int. J. Mol. Sci. 2021, 22, 12821. [Google Scholar] [CrossRef]
- Xu, F.; Chen, S.; Zhou, S.; Yue, C.; Yang, X.; Zhang, X.; Zhan, K.; He, D. Genome-wide association, RNA-seq and iTRAQ analyses identify candidate genes controlling radicle length of wheat. Front. Plant Sci. 2022, 13, 939544. [Google Scholar] [CrossRef]
- Chin, E.L.; Ramsey, J.S.; Mishchuk, D.O.; Saha, S.; Foster, E.; Chavez, J.D.; Howe, K.; Zhong, X.F.; Polek, M.; Godfrey, K.E.; et al. Longitudinal transcriptomic, proteomic, and metabolomic analyses of Citrus sinensis (L.) osbeck graft-inoculated with “Candidatus Liberibacter asiaticus”. J. Proteome Res. 2020, 19, 719–732. [Google Scholar] [CrossRef]
- Chen, S.; Li, Y.; Zhao, Y.; Li, G.; Zhang, W.; Wu, Y.; Huang, L. iTRAQ and RNA-Seq analyses revealed the effects of grafting on fruit development and ripening of oriental melon (Cucumis melo L. var. makuwa). Gene 2021, 766, 145142. [Google Scholar] [CrossRef]
- Ji, P.Y.; Liang, C.L.; Yang, Y.J.; Wang, R.; Wang, Y.; Yuan, M.T.; Qiu, Z.Y.; Cheng, Y.Y.; Liu, J.L.; Li, D.L. Comparisons of ana-tomical characteristics and transcriptomic differences between heterografts and homografts in Pyrus L. Plants 2022, 11, 580. [Google Scholar] [CrossRef]
- Wang, D.; Chen, Q.; Chen, W.; Guo, Q.; Xia, Y.; Wang, S.; Jing, D.; Liang, G. Physiological and transcription analyses reveal the regulatory mechanism of melatonin in inducing drought resistance in loquat (Eriobotrya japonica Lindl.) seedlings. Environ. Exp. Bot. 2020, 181, 104291. [Google Scholar] [CrossRef]
- Sun, J.S.; Hu, R.Y.; Lv, F.L.; Yang, Y.F.; Tang, Z.M.; Zheng, G.S.; Li, J.B.; Tian, H.; Xu, Y.; Li, S.F. Comparative transcriptome analysis reveals stem secondary growth of grafted Rosa rugosa ‘Rosea’ scion and R. multiflora ‘Innermis’ rootstock. Genes 2020, 11, 228. [Google Scholar] [CrossRef]
- Xu, D.; Yuan, H.; Tong, Y.; Zhao, L.; Qiu, L.; Guo, W.; Shen, C.; Liu, H.; Yan, D.; Zheng, B. Comparative Proteomic Analysis of the Graft Unions in Hickory (Carya cathayensis) Provides Insights into Response Mechanisms to Grafting Process. Front. Plant Sci. 2017, 8, 676. [Google Scholar] [CrossRef]
- Yao, L.; Yu, Q.; Huang, M.; Hung, W.; Grosser, J.; Chen, S.; Wang, Y.; Gmitter, F.G. Proteomic and metabolomic analyses provide insight into the off-flavour of fruits from citrus trees infected with ‘Candidatus Liberibacter asiaticus’. Hortic. Res. 2019, 6, 31. [Google Scholar] [CrossRef]
- Kain, S.R. Methods and protocols. Methods Biochem. Anal. 2006, 47, 407–421. [Google Scholar]
- Wiśniewski, J.R.; Zougman, A.; Nagaraj, N.; Mann, M. Universal sample preparation method for proteome analysis. Nat. Methods 2009, 6, 359–362. [Google Scholar] [CrossRef] [PubMed]
- Bo, C.; Zhang, J.; Sai, L.; Du, Z.; Yu, G.; Li, C.; Li, M.; Peng, C.; Jia, Q.; Shao, H. Integrative transcriptomic and proteomic analysis reveals mechanisms of silica-induced pulmonary fibrosis in rats. BMC Pulm. Med. 2022, 22, 13. [Google Scholar] [CrossRef] [PubMed]
- Conesa, A.; Götz, S. Blast2GO: A Comprehensive Suite for Functional Analysis in Plant Genomics. Int. J. Plant Genom. 2008, 2008, 619832. [Google Scholar] [CrossRef] [PubMed]
- Kanehisa, M.; Goto, S.; Sato, Y.; Kawashima, M.; Furumichi, M.; Tanabe, M. Data, information, knowledge and principle: Back to metabolism in KEGG. Nucleic Acids Res. 2014, 42, D199–D205. [Google Scholar] [CrossRef] [PubMed]
- Balogh, E.; Halász, J.; Soltész, A.; Erös-Honti, Z.; Gutermuth, Á.; Szalay, L.; Höhn, M.; Vágújfalvi, A.; Galiba, G.; Hegedüs, A. Identification, Structural and Functional Characterization of Dormancy Regulator Genes in Apricot (Prunus armeniaca L.). Front. Plant Sci. 2019, 10, 402. [Google Scholar] [CrossRef] [PubMed]
- Livak, K.J.; Schmittgen, T.D. Analysis of relative gene expression data using real-time quantitative PCR and the 2(-Delta Delta C(T)) method. Methods 2001, 25, 402–408. [Google Scholar] [CrossRef]
- Miao, L.; Di, Q.; Sun, T.; Li, Y.; Duan, Y.; Wang, J.; Yan, Y.; He, C.; Wang, C.; Yu, X. Integrated Metabolome and Transcriptome Analysis Provide Insights into the Effects of Grafting on Fruit Flavor of Cucumber with Different Rootstocks. Int. J. Mol. Sci. 2019, 20, 3592. [Google Scholar] [CrossRef]
- Wang, X.; Liang, H.; Guo, D.; Guo, L.; Duan, X.; Jia, Q.; Hou, X. Integrated analysis of transcriptomic and proteomic data from tree peony (P. ostii) seeds reveals key developmental stages and candidate genes related to oil biosynthesis and fatty acid metabolism. Hortic. Res. 2019, 6, 111. [Google Scholar] [CrossRef]
- Chen, Z.; Zhao, J.; Hu, F.; Qin, Y.; Wang, X.; Hu, G. Transcriptome changes between compatible and incompatible graft combination of Litchi chinensis by digital gene expression profile. Sci. Rep. 2017, 7, 3954. [Google Scholar] [CrossRef]
- Zhang, X.; Feng, Y.; Khan, A.; Ullah, N.; Li, Z.; Zaheer, S.; Zhou, R.; Zhang, Z. Quantitative Proteomics-Based Analysis Reveals Molecular Mechanisms of Chilling Tolerance in Grafted Cotton Seedlings. Agronomy 2022, 12, 1152. [Google Scholar] [CrossRef]
- Xiao, X.; Lv, J.; Xie, J.; Feng, Z.; Ma, N.; Li, J.; Yu, J.; Calderón-Urrea, A. Transcriptome Analysis Reveals the Different Response to Toxic Stress in Rootstock Grafted and Non-Grafted Cucumber Seedlings. Int. J. Mol. Sci. 2020, 21, 774. [Google Scholar] [CrossRef]
- Jiang, J.; Hou, R.; Yang, N.; Li, L.; Deng, J.; Qin, G.; Ding, D. Physiological and TMT-labeled proteomic analyses reveal important roles of sugar and secondary metabolism in Citrus junos under cold stress. J. Proteom. 2021, 237, 104145. [Google Scholar] [CrossRef]
- Li, J.F.; Lin, T.; Ren, D.D.; Wang, T.; Tang, Y.; Wang, Y.W.; Xu, L.; Zhu, P.K.; Ma, G.B. Transcriptomic and metabolomic stud-ies reveal mechanisms of effects of CPPU-mediated fruit-setting on attenuating volatile attributes of melon fruit. Agronomy 2021, 11, 1007. [Google Scholar] [CrossRef]
- Sakuradani, E.; Zhao, L.; Haslam, T.M.; Kunst, L. The CER22 gene required for the synthesis of cuticular wax alkanes in Arabidopsis thaliana is allelic to CER1. Planta 2013, 237, 731–738. [Google Scholar] [CrossRef]
- Chaudhary, K.; Geeta, R.; Panjabi, P. Origin and diversification of ECERIFERUM1 (CER1) and ECERIFERUM3 (CER3) genes in land plants and phylogenetic evidence that the ancestral CER1/3 gene resulted from the fusion of pre-existing domains. Mol. Phylogenet. Evol. 2021, 159, 107101. [Google Scholar] [CrossRef]
- Castorina, G.; Domergue, F.; Chiara, M.; Zilio, M.; Persico, M.; Ricciardi, V.; Horner, D.S.; Consonni, G. Drought-responsive ZmFDL1/MYB94 regulates cuticle biosynthesis and cuticle-dependent leaf permeability. Plant Physiol. 2020, 184, 266–282. [Google Scholar] [CrossRef]
- Lojkova, L.; Vranová, V.; Formánek, P.; Drápelová, I.; Brtnicky, M.; Datta, R. Enantiomers of Carbohydrates and Their Role in Ecosystem Interactions: A Review. Symmetry 2020, 12, 470. [Google Scholar] [CrossRef]
- Saddhe, A.A.; Manuka, R.; Penna, S. Plant sugars: Homeostasis and transport under abiotic stress in plants. Physiol. Plant. 2021, 171, 739–755. [Google Scholar] [CrossRef]
- Zhao, L.; Liu, A.; Song, T.; Jin, Y.; Xu, X.; Gao, Y.; Ye, X.; Qi, H. Transcriptome analysis reveals the effects of grafting on sugar and α-linolenic acid metabolisms in fruits of cucumber with two different rootstocks. Plant Physiol. Biochem. 2018, 130, 289–302. [Google Scholar] [CrossRef]
| Disclaimer/Publisher’s Note: The statements, opinions and data contained in all publications are solely those of the individual author(s) and contributor(s) and not of MDPI and/or the editor(s). MDPI and/or the editor(s) disclaim responsibility for any injury to people or property resulting from any ideas, methods, instructions or products referred to in the content. | 
© 2023 by the authors. Licensee MDPI, Basel, Switzerland. This article is an open access article distributed under the terms and conditions of the Creative Commons Attribution (CC BY) license (https://creativecommons.org/licenses/by/4.0/).
