Abstract
In recent years, on-site visitation has been strictly restricted in many scenic areas due to the global spread of the COVID-19 pandemic. “Cloud tourism”, also called online travel, uses high-resolution photographs taken by unmanned aerial vehicles (UAVs) as the dominant data source and has attracted much attention. Due to the differences between ground and aerial observation perspectives, the landscape elements that affect the beauty of colored-leaved forests are quite different. In this paper, Qixia National Forest Park in Nanjing, China, was chosen as the case study area, and the best viewpoints were selected by combining tourists’ preferred viewing routes with a field survey, followed by a scenic beauty evaluation (SBE) of the forests with autumn-colored leaves in 2021 from the aerial and ground perspectives. The results show that (1) the best viewpoints can be obtained through the spatial overlay of five landscape factors: elevation, surface runoff, slope, aspect, and distance from the road; (2) the dominant factors influencing the beauty of colored-leaved forests from the aerial perspective are terrain changes, forest coverage, landscape composition, landscape contrast, the condition of the human landscape, and recreation frequency; and (3) the beauty of the ground perspective of the colored-leaved forests is strongly influenced by the average diameter at breast height (DBH), the dominant color of the leaves, the ratio of the colored-leaved tree species, the canopy width, and the fallen leaf coverage. The research results can provide scientific reference for the creation of management measures for forests with autumn-colored leaves.
1. Introduction
Colored-leaved forests (CLFs), commonly known as “Caiye Lin” in China, has emerged recently as a popular term in the country referring to the colorful forest landscape. According to Mu, Y.X., CLF refers to the collection of forest vegetation with a good visual aesthetic [1]. Colored-leaved plants are defined as plants that exist in nature or artificially cultivated environments and have high ornamental value due to a leaf color that is significantly different from the natural green during the growing season or at certain stages of the growing season [2]. According to Zhang Z., a CLF landscape features a forest landscape composed of colorful tree-dominated plant communities [3]. In the forest landscape, color is the information element that has the greatest impact on people’s senses, and tourists’ experiences and perceptions of the forest landscape mainly come from the attractiveness of the colorful forest leaves. When building CLFs, the focus is not on such management measures as tendering, transformation, or replanting but on the selection and spatial allocation of colored-leaved trees with a high scenic beauty.
A scenic beauty evaluation (SBE) of CLFs by tourists is the main method to evaluate the aesthetic degree of a forest landscape [4]. In the mid-1960s, the concept of “landscape evaluation” was first proposed and studied in the United States, but these early landscape evaluations in the United States were mainly about the visual aesthetics of the landscape, which was a qualitative evaluation method [5]. It was not until the 1970s that quantitative research methods were developed, such as the descriptive factor method [6], the public preference method [7], and the proxy composition method [8]. Up to now, four major schools of SBE have been recognized worldwide: the expert school [9], the psychophysical school [10], the cognitive school [11], and the empirical school [12]. Among them, the psychophysical school, proposed by Daniel [13], has the most mature evaluation technology [14]. Within the psychophysical school, the SBE method was widely used in the evaluation of forest landscape quality [15,16]. The quality of an SBE is decided by both the judge’s perception of the landscape and the judge’s evaluation system. SBE, which was developed to reflect people’s perceptions and evaluations of natural beauty with a numerical magnitude, has been used in the literature to predict the aesthetic quality of the landscape and to construct a linear relationship between landscape elements and the beauty value. The process of SBE mainly includes the following three steps: a landscape scenic beauty evaluation, a landscape element analysis, and the establishment of a landscape quality evaluation model [17]. A landscape beauty score is the visual reflection of individuals or groups on photos of a landscape within a certain period of time (e.g., 10 s). Under consistent shooting conditions of the landscape photos used for the evaluation, the SBE value obtained through public evaluation has a high reliability. Meanwhile, when the SBE method is used to establish a landscape beauty evaluation model by using a “landscape beauty evaluation score”, the beauty score should be standardized, which greatly eliminates the influence of the judge’s aesthetic scale on the evaluation system, thus reflecting the beauty of the forest landscape in a more realistic way. In addition, many scholars in China and abroad have conducted research on the differences in the aesthetic attitudes of evaluators. Most scholars believe that the differences in aesthetic tendencies of people with different cultural backgrounds are not significant, since the aesthetic judgments of different evaluation groups have an obvious consistency [18]. However, some scholars believe that, compared with other groups, college students are more objective in SBE and less utilitarian [19,20]. Therefore, college students were chosen as the judges in this study.
In previous studies, scholars in China and abroad mainly carried out research on the SBE of CLFs at the intra-forest scale [21,22,23], at the level of individual trees [24,25], and or at the level of view-sheds [26,27]. However, few scholars have evaluated the beauty of CLFs from the aerial perspective of an unmanned aerial vehicle (UAV). Tree species composition and the horizontal and vertical structure of a forest affect the SBE of colored-leaved forest landscapes [28,29,30]. Even for the same CLF types, the shapes and trunks of trees appear different depending on the perspective of observation, thus affecting the scenic beauty of forests [31,32]. Since the outbreak of the new coronavirus (COVID-19) in Wuhan, China, in December 2019, the virus has spread across the country, and there is still no sign of its extinction. Guided by China’s dynamic zero-COVID-19 policy, many scenic areas in China have adopted closure measures to restrict on-site visitation. As an alternative, some scenic areas have established online cloud tourism with three-dimensional, high-resolution aerial photos taken from a UAV. The factors affecting the beauty of a CLFs from the aerial perspective are quite different from those observed on the ground [33]. A comparative analysis of the factors affecting the beauty of CLFs from two different perspectives, aerial and on the ground, can provide a scientific reference for the management planning of autumn CLFs.
In this paper, Qixia Mountain National Forest Park in Nanjing, China, which has the reputation of being “the red colorful mountain with layers of dyed forest in autumn” and is listed as one of the four most famous red-leaved forest viewing areas in the country, was selected as the case study area. Through a comparative analysis of the factors affecting the beauty of CLFs from two different perspectives, the following research goals can be achieved: (1) to explore a selection method for the best viewing points of CLFs based on the tourists’ preferences; (2) to analyze the influencing factors of the SBE of CLFs from two different perspectives; and (3) to provide suggestions on improving the SBE of autumn CLFs under the situation of the COVID-19 pandemic.
2. Materials and Methods
2.1. Study Area
Qixia Mountain National Forest Park is located in the middle of Qixia District, Nanjing City, Jiangsu Province, China (E 118°94′98″~E 118°97′70″, N 32°14′80″~N 32°16′70″). The park is 20 km away from Taiping Gate, bounded by Nanjing Yangtze River Bridge in the west, Yangtze River in the north, Longtan Drum Platform in the east, and Ningzhen Avenue in the south, covering a total area of 27 km2 (Figure 1). The average altitude of the park, which is high in the east and low in the west, is 286 m, with an undulating terrain composed mainly of low mountains and hills due to tectonic erosion. The park is located in the transition area between the north subtropical zone and the warm temperate zone, with a humid climate and four distinct seasons. The average annual sunshine in the park is 1628 h, the average annual temperature is 19.6 °C, and the average precipitation is 1530.1 mm.
Figure 1.
Geographical location of the case study area, showing the location of Nanjing (a) and the border of Qixia Mountain (b,c).
Due to its unique climate, soil, and water conditions, there are rich plant resources in the park. There are a total of 589 species of 342 genera with 108 families, including 11 families of 14 genera with 19 species of ferns, 3 families of 4 genera with 4 species of gymnosperms, and 94 families of 324 genera with 477 species of angiosperms. The flora components are a result of the intersection of northern and southern climates, with both warm temperate deciduous broad-leaved species and subtropical evergreen and deciduous broad-leaved species, as mainly found in over-mature scenic forests. The park is covered with many huge and old trees, with a unit volume of 85 m3/hm2 and a forest coverage of 94.6%, making it an important species gene bank and urban biodiversity protection base in Nanjing. With many kinds of colored-leaved species, the park in autumn has famous scenery, described as “the red mountain with layers of dyed forest” and “leaves in frost season redder than February flowers”, attracting tourists from all over the country. The park is the highlight of eco-tourism in Nanjing, and the forest is also the first choice for local people to visit and return to nature during holidays.
2.2. Research Methods
2.2.1. Viewpoint Selection
The assessment of visitor preferences was conducted by obtaining visitor comment data through Ctrip, a versatile open travel platform https://secm.ctrip.com/restapi/soa2/12530/json/viewCommentList (accessed on 18 November 2021). The structure of the obtained data included information such as user ID, check-in time (year/month/day/hour), travelogue-style comment text, pictures and ratings of scenic spots in terms of scoring the scenery, and interest and cost-effectiveness evaluation.
A convolutional neural network (CNN) was used to analyze the cognitive image preferences of visitors’ check-in images. The results were presented in the form of “adjective + noun”, where the noun describes the image content, and the adjective reflects the photographer’s emotional tendency towards a specific object. The specific technical route is shown in Figure 2, and the obtained images were parsed by DeepSentiBank, a specific technical tool, to obtain collections of APN collections taken by tourists at different attractions. Word frequency statistical analysis was applied to the adjective–noun (APN) pairs, where the noun part was regarded as the visitors’ cognitive image preference of the external landscape of Qixia mountain and the adjective part was regarded as their affective dimension. This provided data to support the assessment of visitors’ preferences. The tourists’ main viewing angle preferences, such as flat view, top view, and back view, were determined by analyzing the composition elements and the perspective deformation of the elements in the tourists’ photos. This allowed for the determination of the slope and direction preferences of tourists. The landscape texture details were also obtained to determine the visitors’ viewing distance preference. Based on the shooting destinations, the tourists’ attraction location preferences were determined. In addition, further information about tourists’ emotional preferences, route preferences, color preferences, viewing angle preferences, viewing distance preferences, and attraction (location) preferences was obtained by designing questionnaires for online and offline distribution.
Figure 2.
Schematic diagram of DeepSentiBank picture-based destination perception study.
In this context, the best viewpoints for the SBE of CLFs in the park were generated using a combination of tourists’ preferred influencing factors and characterization obtained through big data from Ctrip and questionnaires, with reference to the public landscape preference method [34,35], public aesthetic psychology [36,37], and safety management code for tourist attractions (DB51/T 2312-2017). The main factors affecting the best viewing points were extracted by ArcGIS as follows: elevation (reclassification), surface runoff (depression filling, flow direction, flow rate, river network, and river network classification), slope (slope analysis and reclassification), aspect (aspect analysis and reclassification), and distance from road analysis (buffer analysis) (Table 1). According to the description of the spatial attributes given in Table 1, the specific attributes that ideal viewpoints should have were extracted, e.g., elevation raster pixels with elevations higher than 10 m, the best water view raster pixels are within 50 m of surface runoff, the slope raster pixels should 0°–15°, the aspect raster pixels should be 30°–45° and 315°–360°, and the best visual distance raster pixels are within 25 m from the road. The ideal viewpoint distribution areas were obtained using the overlay tool in ArcGIS, after which 50 scenic forest viewpoints with good view lines (located at the summit or ridge line) in these distribution areas were generated (Figure 3). The plant species, average diameter at breast height (DBH), canopy density, leaf color type, proportion of colored-leaved trees, and other stand characteristics within a square of 10 × 10 m of each viewing point were recorded by means of on-the-spot field survey (Table 2).
Table 1.
Spatial characters of the ideal viewpoint in the study area.
Figure 3.
Flowchart of viewpoint selection in the study area based on ArcGIS.
Table 2.
Presentation of some information from the sample sire survey.
2.2.2. SBE of Colored-Leaved Forests
In this study, an EOS 5D Mark IV 5D4 SLR camera and a DJI Phantom 4 Pro UAV were used to take aerial and ground photographs, respectively, of CLFs at 50 viewpoints, under the guidelines of identical external conditions, no other interference, and repeatable operation [46,47]. Clear days with sunny weather were selected for shooting photos in late November 2021, from 9:00 a.m. to 12:00 a.m. The ground photos were taken at a distance of 20 m from the viewpoint, 45° east–northwest of the oblique light, from bottom to top [48], while the aerial photos were taken 120 m above the ground (Figure 4 and Figure 5). For each viewpoint, only one representative ground photo and the corresponding aerial photo with the same geographical coordinates were selected and numbered in order to make a PowerPoint (PPT) slide for use in the SBE of the CLFs. The slides were used by 102 undergraduate and master’s students from Nanjing Forestry University, China, and Nanchang Institute of Science and Technology, China, to rank the scenic beauty of the CLFs in the study. Before evaluation, a UAV video of the overall view of the research area was shown to introduce the research background, and the students were asked to independently judge the scenic beauty of each viewpoint based on their own professional knowledge and travel experience. A 10-point system [49] was adopted for the indoor SBE of CLFs: the larger the score was, the higher the scenic beauty of the CLFs was.
Figure 4.
Some of the ground photos (a–d correspond to the ground location).
Figure 5.
Some of the aerial photos (a–d correspond to the aerial location).
2.2.3. Influencing Factors of SBE of Colored-Leaved Forests
Based on the literature review of relevant studies [50,51,52] and the landscape characteristics of a colored-leaved forest [53,54,55], the influencing factors of SBE reflected by the photos were decomposed into six landscape elements under two different perspectives: aerial and on the ground. These elements were assigned different values according to the element grading criteria. The six landscape elements observed on the ground are as follows: the average DBH, the dominant color of leaves, the trunk shape, the ratio of colored-leaved tree species, the canopy width, and the fallen leaf coverage. As for the aerial observation, the landscape elements were terrain change, forest coverage, landscape composition, landscape contrast, condition of human landscape, and recreation frequency. The decomposed landscape elements of different observation perspectives, grading criteria, and their corresponding score ranges [56,57,58,59] for the ground and aerial observation perspectives are shown in Table 3 and Table 4, respectively.
Table 3.
Landscape elements and grading criteria for the ground observation perspective.
Table 4.
Landscape elements and grading criteria for the aerial observation perspective.
2.2.4. Data Processing and SBE Model Building
- (1)
- Data normalization
There are differences in the aesthetic scales between different individuals, and it is necessary to standardize the SBE scores in order to effectively reduce such differences [60]. The formula is as follows:
where refers to the standardized value of jth judge’s evaluation of the CLFs in the ith slide; refers to the average value of the jth judge’s SBE of all 50 slides; refers to the jth judge’s evaluation of the CLFs in the ith slide; and refers to the jth judge’s standardized value of all 50 slides.
- (2)
- SBE model building.
The standardized score of the SBE of the CLFs was taken as the dependent variable of the evaluation model, and the influencing factors of the SBE of the CLFs were divided into different levels and assigned different values. Then, a Pearson correlation analysis was conducted. The factors with weak correlation with the dependent variable were eliminated, so only the factors with strong correlation were retained as the independent variables. Finally, the SBE models of multiple linear regression were established using SPSS. In the process of model building, the following principles were applied: (1) prioritizing the elimination of factors with low correlation coefficients; (2) considering the multi-collinearity among independent variables; (3) prioritizing the retention of factors with better determinability and interpretability.
3. Results and Analysis
3.1. Relationship between Landscape Elements and Beauty Values from the Ground Perspective
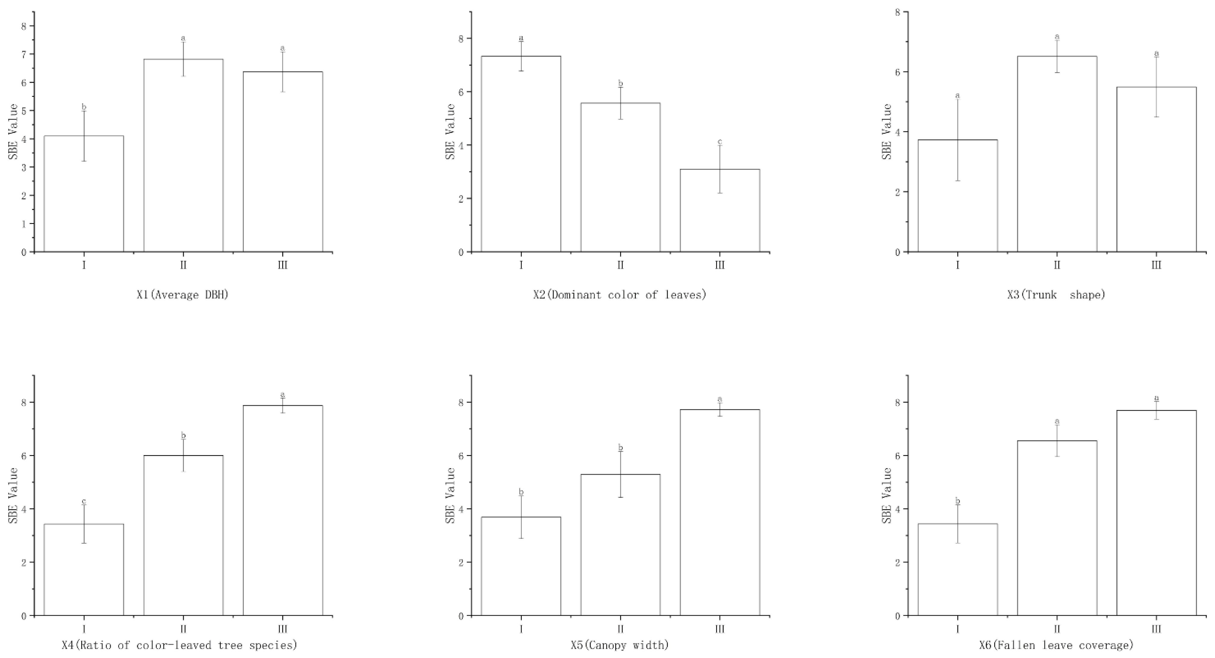
One-way ANOVAs between the landscape elements and SBE values (beauty values) from the ground perspective showed that there were significant or highly significant differences between (p = 0.033), (p = 0.001), (p = 0.001), (p = 0.000), (p = 0.000), and the SBE values, while (p = 0.123) was not significantly different (Figure 6). Therefore, could be excluded in the subsequent analysis.
Figure 6.
Relationships between landscape elements’ grades and SBE from the ground perspective. (When a and b or a, b, and c symbols appeared in different landscape element classes, the difference is significant or highly significant; if both are a, the difference is not significant.)
The relationship between the evaluation rank of the landscape elements and SBE values was that the average DBH evaluation rank was I, and the SBE values were the lowest at 4. As the evaluation rank increases, the dominant color of the leaves becomes less beautiful, and the SBE values become smaller. The degrees of beauty for the number of colored-leaved tree species, canopy width, and fallen leaf coverage were the lowest when the grade rank was I. All three landscape elements gradually increased with the increase in evaluation rank. The results of multiple comparisons showed that the differences in average DBH evaluation rank were not significant at rank II or III, and there was a tendency for the SBE values to decrease, indicating that the SBE values might decrease to some extent with the increase in average DBH level.
3.2. Relationship between Landscape Elements and Beauty Values from the Aerial Perspective
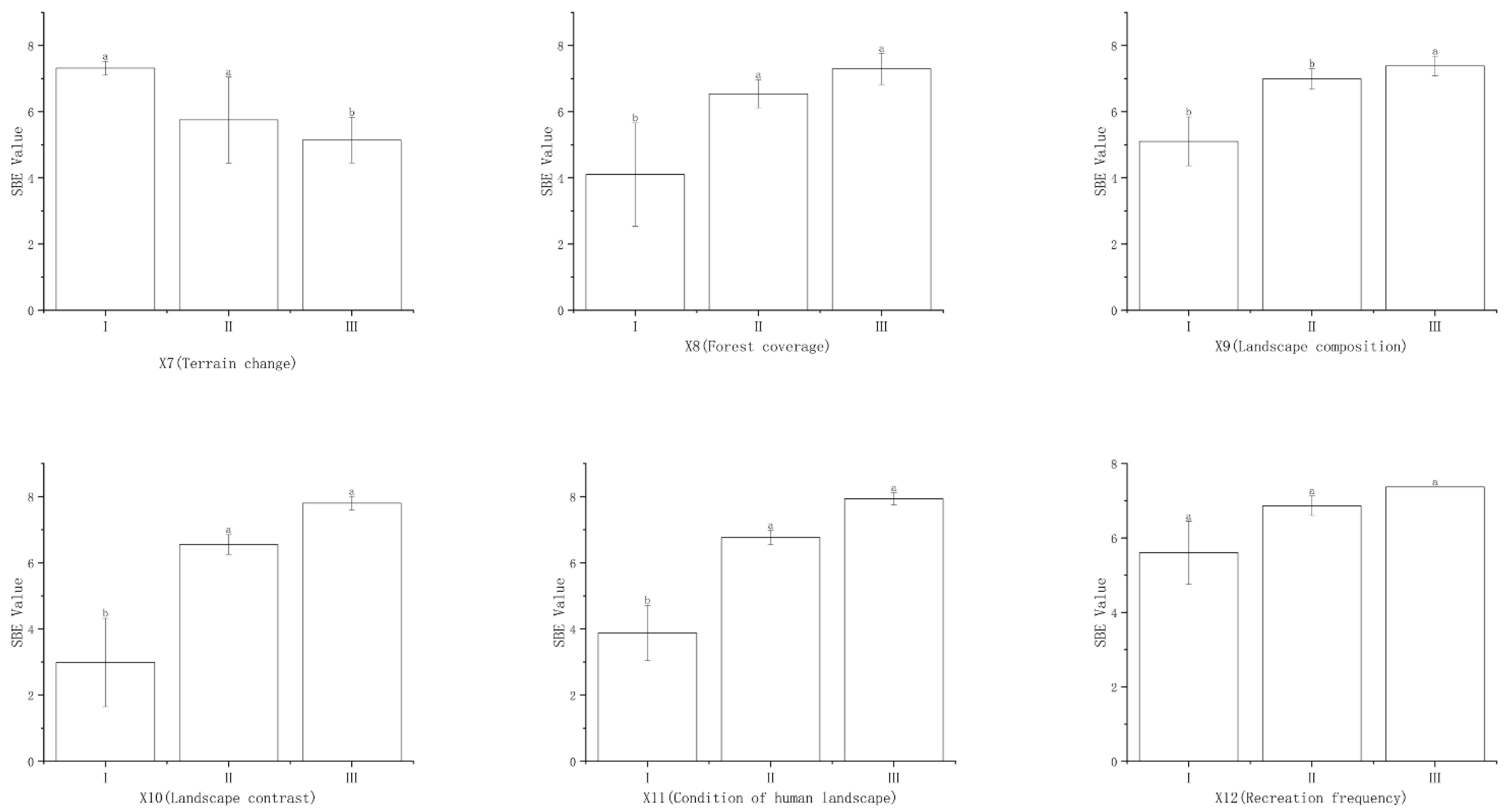
The results of the one-way ANOVA of each landscape element and the value of the SBE of CLFs from the aerial perspective showed that there were significant or highly significant differences between (p = 0.006), (p = 0.036), (p = 0.002), (p = 0.000), (p = 0.000), and the SBE values, while (p = 0.053) was not significantly different (Figure 7). Therefore, could be excluded in the subsequent analysis.
Figure 7.
Relationships between landscape elements’ grades and SBE from the aerial perspective. (When a and b or a, b, and c symbols appeared in different landscape element classes, the difference is significant or highly significant; if both are a, the difference is not significant.)
The relationship between the level of landscape elements and the SBE values analysis was as follows: the SBE values were the largest when the level of terrain change was I, which was 7.2, and the SBE values gradually decreased with the increase in the evaluation rank. The degree of beauty of the forest coverage, landscape composition, landscape contrast, and condition of the human landscape were the lowest when the evaluation rank was I. All four landscape elements gradually increased with the increase in evaluation rank. Multiple further comparisons showed that the difference in the SBE values was not significant when the landscape’s combination rank was at II and III, which indicated that the SBE values of the two landscape elements did not affect the beauty values of CLFs when they reached a certain level.
3.3. SBE Model of CLF Building
3.3.1. Variable Selection of Landscape Elements for CLFs
Pearson correlation analysis was conducted for the selection of SBE-influencing variables. By eliminating some factors with a weak correlation with the SBE, only the factors with a strong correlation with the SBE were retained as the independent variables of the multiple linear regression model (Table 5 and Table 6).
Table 5.
Pearson correlation between landscape elements and SBE from the ground perspective.
Table 6.
Pearson correlation between landscape elements and SBE from the aerial perspective.
As shown in Table 5, the correlation between each index and the beauty of the trees showed that (dominant color of leaves), (ratio of color-leaved tree species), (canopy width), and (fallen leaf coverage) were highly significantly correlated with SBE1 (p < 0.01), and (average DBH) was significantly correlated with SBE1 (p < 0.05). The (trunk shape) was not significantly correlated with SBE1 (p > 0.05), so it was excluded from the SBE1 model for the ground perspective of CLFs. The correlation coefficients showed that , , , , and were positively correlated with SBE1, but was negatively correlated with SBE1. From Table 6, (landscape composition), (landscape contrast), and (condition of the human landscape) were highly significantly correlated with SBE2 (p < 0.01), and (terrain change) and (forest coverage) were significantly correlated with SBE2 (p < 0.05). (recreation frequency) was not significantly correlated with SBE2 (p > 0.05), so it was excluded from the SBE2 model for the aerial perspective of CLFs. The correlation coefficients showed that ,, , , and were positively correlated with SBE2, but was negatively correlated with SBE2.
3.3.2. SBE Model of CLFs
With , , , , and as the independent variables and the corresponding degree of beauty values as the dependent variables, the SBE1 model of the ground perspective of CLFs was established; with ,,, , and as the independent variables and the corresponding degree of beauty values as the dependent variables, the SBE2 model of the aerial perspective of CLFs was established, as shown in Table 7. As can be seen from Table 7, the R2 of the SBE1 model for the ground perspective was equal to 0.629, indicating that the five framing elements , , , , and were able to explain 62.9% of the variability in the SBE1 values of the plant landscape of CLFs from the ground perspective. Moreover, p < 0.01, and the F-value was equal to 6.448, indicating that the association between these five landscape factors and the scenic beauty was very obvious and the established regression model was valid. From the ground perspective, according to the absolute value of the regression coefficient of the SBE1 model, the degree of influence of each landscape element on the SBE1 is ranked as follows: ratio of colored-leaved tree species > fallen leaf coverage > dominant color of the leaves > canopy width > average DBH. The R2 of the SBE2 model for the aerial perspective was equal to 0.74, indicating that the five landscape elements , ,, , and could explain 74% of the variability of the SBE2 values of the plant landscape in CLFs from the aerial perspective. Moreover, p < 0.01, and the F value was equal to 10.811, indicating that these five landscape factors were significantly associated with the degree of beauty and the regression model was established. From the aerial perspective, according to the absolute value of the regression coefficients of the regression model, the degree of influence of each landscape element on the SBE2 is ranked as follows: condition of the human landscape > forest coverage > landscape contrast > terrain change > landscape composition.
Table 7.
Evaluation model of the degree of beauty of the CLF landscapes.
4. Discussion and Limitations
4.1. Discussion
This study on the relationship between the degree of beauty of CLFs and landscape elements is helpful to understand and grasp the influencing factors of forest tourism and provide scientific reference for the management and planning of CLF landscapes. The main contributions are as follows: (1) providing technical paths for forest tourism behavior measurement based on big data and deep learning methods and constructing a big data-based landscape preference method for tourists, which provided technical support for the selection of the best viewpoints in CLFs and helped the application of forest tourism planning from the tourists’ perspective; (2) introducing two perspectives, aerial and ground, to analyze the influencing factors of the SBE in CLFs and providing data supporting the study of the spatial optimization of CLF landscapes.
By examining the relationship between the individual elements of a CLF landscape and the SBE from both aerial and ground perspectives and comparing them with previous studies [61,62], the following more consistent relationships can be drawn: (1) The leaves of most tree species are green in color, with few yellow and red trees. Compared with brown and green leaves, yellow and red leaves are more unique, more beautiful, and more dazzling in color. (2) A big colored-leaved tree with a large DBH is more visually attractive than a colored-leaved tree with a small DBH [63]. (3) The ratio of colored-leaved species has a significant impact on the beauty of a forest landscape. When the ratio of color-leaved species is up to 80% or more, the visual impact formed by the clustered color-leaved tree species is more attractive to tourists. (4) A landscape with a large forest canopy has a higher aesthetic value than a landscape with a small forest canopy. Being in a CLF landscape with a large canopy gives tourists a more tranquil feeling, while a CLF with a small canopy only gives tourists a dull and monotonous feeling. (5) When the coverage of fallen leaves is equal to or greater than 80%, a secluded space is formed within the CLFs, which improves the scenic beauty of the CLFs to a certain extent. (6) The scenic beauty of a CLF landscape with significant terrain changes is greater than that of a forest landscape with no changes [64]. (7) In terms of forest coverage, the higher the forest coverage is, the higher the scenic beauty value is. When the forest coverage is greater than 80%, the SBE value of the CLF is the highest. (8) The differences in the SBE value caused by different compositions are more obvious. For landscapes with a higher SBE value, the landscape is composed of unevenly aged trees, there are dense clusters of colored-leaved species, and the community structure is complex [65]. (9) Landscape contrast has a great influence on the scenic beauty of the landscape. Contrast in a forest landscape includes not only the framing elements but also the contrast of color and shape among the framing elements. For example, palm-shaped leaves are more eye-catching than oval leaves [66]. (10) The condition of the human landscape has a significant impact on the scenic beauty of the landscape from the aerial perspective. An inferior human landscape with dead wood and rotten bricks destroys the overall visual beauty and reduces the beauty of the landscape.
In China, with the rapid development of the national economy and the heating up of the domestic tourism industry, hundreds of millions of people go out for sightseeing and recreation. However, when tourists go out to travel, they often go to an unfamiliar environment where it is difficult to quickly find a viewpoint that can meet their own aesthetic needs within a short time. The optimal viewpoints selection method developed in this paper can deal with this problem more successfully and, therefore, can be applied to other national forest parks and scenic areas in China and abroad.
Since the end of 2019, a new form of online tourism called “cloud tourism” has emerged, which is the active response of the tourism industry to the new situation of COVID-19. In the context of the normalization of the dynamic zero-COVID-19 policy, the number of scenic areas adopting “cloud tourism” has increased rapidly. The demand from subjects who like cloud tourism is showing a trend of diversification. Although the younger generation is still the mainstay, people of other age groups are also gradually participating in online sightseeing. At the same time, the supply subjects of “cloud tourism” are also becoming diversified. Local governments, tourism companies and platforms, online social platforms, and self-media guides have played important roles in promoting online travel programs. Different supply entities have begun to cooperate with each other to enhance the marketing effect of online tourism projects. For example, the Yunnan Provincial Cultural and Tourism Department used the official tourism platform APP “Travel Yunnan Online” to “move” more than 900 scenic areas online with local cultural and tourism departments and enterprises. The Dunhuang Research Institute, Gansu, China, and Tencent jointly developed a cell phone application named “Travel Dunhuang Online”. Therefore, our research results can provide a new approach to the SBE of cloud-tourism-oriented CLFs.
4.2. Limitations of the Study
It should be pointed out that only the landscape elements of tree morphology and biological characteristics were considered in this study, while other elements such as animals, sunlight, microorganisms, and humidity were not studied. Studies in China and abroad have shown that these factors mentioned above also have a certain influence on the scenic beauty of CLFs [67,68]. For example, light is the main reason for the scenic beauty of color; the clarity of a landscape under the front-facing light is higher, but the shadow effect generated under backlit conditions can also improve the visual effect of a CLF landscape to a certain extent. In addition, this study decomposed landscape elements such as the trunk shape, landscape combination, landscape contrast, and human landscape when evaluating the landscape quality of a colored-leaved forest; these elements were subjective in nature, and this subjectivity can affect the final evaluation results [69,70]. Secondly, the study lacked information on color indices and lacked a more detailed reference on color management and the management of colored-leaved forests. In addition, the indices obtained through the principles and methods of forestry were more objective [71]. Therefore, other non-landscape-influencing factors and color index information should be effectively introduced in the subsequent research on the evaluation method of a CLF landscape’s beauty, which can provide a scientific reference for the development of more detailed management measures for autumn CLFs.
5. Conclusions
In this paper, based on the big data landscape-preference mining technology of tourists and the GIS spatial overlay analysis function, the best viewing spots of CLFs for tourists were screened out. The theories of botany, ecology, and aesthetics were combined together to evaluate the SBE of autumn CLFs at 50 viewpoints in Qixia Mountain National Forest Park in 2021 from the aerial and ground perspectives. Our research results showed that the SBE of CLFs from different perspectives was affected by different landscape elements. The major elements affecting the beauty of the ground perspective were the average DBH, the dominant color of the leaves, the ratio of colored-leaved tree species, the canopy width, and the fallen leaf coverage. It should be noted that the tree trunk shape had little influence on the scenic beauty of the SBE from the ground perspective and was not considered to be the dominant affecting factor in the SBE from the ground perspective. In Qixia Mountain Forest Park, most of the colored-leaved trees, which include Acer palmatum, Prunus cerasifera, Cotinus coggygria, Zelkova serrata, Liquidambar formosana, and Sapium sebiferum, belong to semi-natural forests. The management measures for CLFs are mainly the sanitary cutting of dead trees, thinning, and light-releasing felling, with a little artificial pruning or twisting of tree trunks. Therefore, there is no significant difference in the shapes of tree trunks in many CLFs. The major elements affecting the SBE of the aerial perspective of CLFs in the park were terrain changes, forest coverage, landscape composition, landscape contrast, and the condition of the human landscape. The reason why recreational behavior was not considered to be the dominant factor of the SBE model may be that people’s recreational activities in the forest look very small from the aerial view of a UAV, so they can be neglected. In general, the dominant factors that affect the scenic beauty of CLFs from different viewing perspectives are different. Therefore, our research results put forward the following suggestions for the creation of management planning for autumn CLFs:
- (1)
- Regional micro-topography method: When creating landscape planning for flat terrain, an undulating micro-topography should be created. In areas with large terrain changes, planting belts, terrains, steps, and cultural walls on the slope should be established to create a multi-level changing landscape space.
- (2)
- Dominant color substitution method within a small woodland: reasonably control the forest density by thinning, replant red- and yellow-leaved trees on tourists’ preferred viewing routes, increase the coverage of densely distributed and patchy colored-leaved forest in a small woodland, plant colored-leaved trees on bare land, and promote the succession of forests to mature and over-mature forest stands.
- (3)
- Landscape retouching method: Through the combination of trees, shrubs, and grass and by adding water bodies, the forest landscape can be enriched. The forest landscape should be kept clean through the selective cutting of cluttered trees. The scenic beauty could be further improved by updating inferior landscape buildings and planting colored-leaved trees with forest cultural value.
- (4)
- Mutual complementary method. Since obvious contrasting colors and appreciable leaf shapes can improve the beauty of CLFs, trees with the dominant color of the landscape as their complementary color should be planted, and the ratio of trees with irregular leaf shapes should be increased.
Author Contributions
Conceptualization, C.Y. and M.-Y.L.; methodology, C.Y.; software, C.Y.; validation, C.Y., M.-Y.L. and T.L.; formal analysis, C.Y.; investigation, C.Y., T.L., D.-P.L., F.R., L.-A.C.; resources, M.-Y.L.; data curation, C.Y.; writing—original draft preparation, C.Y., M.-Y.L.; writing—review and editing, C.Y., M.-Y.L., T.L., D.-P.L., F.R., L.-A.C.; visualization, C.Y.; supervision, C.Y., M.-Y.L., T.L., D.-P.L., F.R., L.-A.C.; project administration, M.-Y.L.; funding acquisition, M.-Y.L. All authors have read and agreed to the published version of the manuscript.
Funding
This research was funded by National Natural Science Foundation grant number [30571490] and the Top-notch Academic Programs Project of Jiangsu Higher Education Institutions, China [PPZY2015A062], and the APC was funded by Li Ming-yang.
Data Availability Statement
The data is unavailable due to privacy or ethical restrictions.
Conflicts of Interest
The authors declare no conflict of interest.
References
- Mu, Y.X.; Lin, W.Y.; Diao, X.L.; Wang, J.; Lu, Z.; Guo, W.; Wang, Y.; Hu, C.; Zhao, C. Implementation of the visual aesthetic quality of slope forest autumn color change into the configuration of tree species. Sci. Rep. 2022, 12, 1034. [Google Scholar] [CrossRef] [PubMed]
- Zhang, Z.; Qie, G.F.; Wang, C.; Jiang, S.; Li, X.; Li, M. Relationship between Forest Color Characteristics and Scenic Beauty: Case Study Analyzing Pictures of Mountainous Forests at Sloped Positions in Jiuzhai Valley, China. Forests 2017, 8, 63. [Google Scholar] [CrossRef]
- Zhu, Y.; Gao, W.; Zhang, Y.; Yuan, D. Study of the application of colored-leaf plants in the residential areas of Kunming city. J. Yunnan Agric. Univ. 2010, 25, 239–245. [Google Scholar]
- Liu, X.; Wang, Q.; He, B.; Dai, Q.; Feng, C. Research on the method of landscape configuration of garden plants based on the evaluation method of beauty degree. Int. J. Environ. Technol. Manag. 2022, 25, 1–21. [Google Scholar] [CrossRef]
- Parsons, R.; Daniel, T.C. Good looking: In defense of scenic landscape aesthetics. Landsc. Urban Plan. 2002, 60, 43–56. [Google Scholar] [CrossRef]
- Fines, K.D. Landscape evaluation: A research project in East Sussex. Reg. Stud. 1968, 2, 41–55. [Google Scholar] [CrossRef]
- Van den Berg, A.E.; Vlek, C.A. The influence of planned-change context on the evaluation of natural landscapes. Landsc. Urban Plan. 1998, 43, 1–10. [Google Scholar] [CrossRef]
- Hull, R.B., IV.; Reveli, G.R. Cross-cultural comparison of landscape scenic beauty evaluations: A case study in Bali. J. Environ. Psychol. 1989, 9, 177–191. [Google Scholar] [CrossRef]
- Tyrväinen, L.; Silvennoinen, H.; Hallikainen, V. Effect of the season and forest management on the visual quality of the nature-based tourism environment: A case from Finnish Lapland. Scand. J. For. Res. 2017, 32, 349–359. [Google Scholar] [CrossRef]
- Wartmann, F.M.; Acheson, E.; Purves, R.S. Describing and comparing landscapes using tags, texts, and free lists: An interdisciplinary approach. Int. J. Geogr. Inf. Sci. 2018, 32, 1572–1592. [Google Scholar] [CrossRef]
- Zube, E.H. Themes in landscape assessment theory. Landsc. J. 1984, 3, 104–110. [Google Scholar] [CrossRef]
- Bacon, W. The Visual Management System of Forest Service. USDA, Pacific Southwest Forest Service and Range Experiment Station Technical; United States Department of Agriculture: Berkeey, CA, USA, 1979; pp. 660–665. [Google Scholar]
- Wang, Y.; Chen, X. Application of psychophysical method in evaluation of foreign forest landscapes. Sci. Silvae Sin. 1999, 35, 110–117. [Google Scholar]
- Nekhay, O.; Arriaza, M. How attractive is upland Olive Groves landscape? Application of the analytic hierarchy process and GIS in southern spain. Sustainability 2016, 11, 1160. [Google Scholar] [CrossRef]
- Schroeder, H.; Daniel, T.C. Progress in predicting the perceived scenic beauty of forest landscapes. For. Sci. 1981, 27, 71–80. [Google Scholar]
- Mao, B.; Gong, L.; Xu, C.Y. Evaluating the scenic beauty of individual trees: A case study using a nonlinear model for a Pinus Tabulaeformis scenic forest in Beijing, China. Forests 2015, 6, 1933–1948. [Google Scholar] [CrossRef]
- Ribe, R.G. A general model for understanding the perception of scenic beauty in northern hardwood forests. Landsc. J. 1990, 9, 86–101. [Google Scholar] [CrossRef]
- Vodak, M.; Roberts, P.; Wellman, J.D.; Buhyoff, G.J. Scenic impacts of eastern hardwood management. For. Sci. 1985, 31, 289–301. [Google Scholar]
- Gulinck, H.; Múgica, M.; de Lucio, J.V.; Atauri, J.A. A framework for comparative landscape analysis and evaluation based on land cover data, with an application in the Madrid region (Spain). Landsc. Urban Plan. 2001, 55, 257–270. [Google Scholar] [CrossRef]
- McNamara, G.; O’Hara, J. The importance of the concept of self-evaluation in the changing landscape of education policy. Stud. Educ. Eval. 2008, 34, 173–179. [Google Scholar] [CrossRef]
- Yang, S.H.; Gu, X.P.; Chen, K.; Dong, F.L.; Zhang, L.G.; Jia, X. Current status and trends of research on SBE methods in domestic landscape evaluation. West. For. Sci. China 2019, 48, 148–156. [Google Scholar]
- Pretzsch, H.; Grote, R.; Reineking, B.; Rötzer, T.H.; Seifert, S.T. Models for forest ecosystem management: A european perspective. Ann. Bot. 2008, 101, 1065–1087. [Google Scholar] [CrossRef]
- Brown, T.C.; Daniel, T.C. Predicting scenic beauty of timber stands. For. Sci. 1986, 32, 471–487. [Google Scholar]
- Haines-Young, R.; Chopping, M. Quantifying landscape structure: A review of landscape indices and their application to forested landscapes. Prog. Phys. Geogr. 1996, 20, 418–445. [Google Scholar] [CrossRef]
- Lu, C.; Jiang, D.; Huang, M.; Wen, Q.; Liu, X. Landscape evaluation of color-leaf forest from the perspective of different scales: A case of jinyang village in China. IOP Publ. 2020, 446, 032033. [Google Scholar] [CrossRef]
- Ouyang, X.Z.; Liao, W.M.; Peng, S.K. Landscape quality evaluation and vertical structure optimization of natural broadleaf forest. Ying Yong Sheng Tai Xue Bao 2007, 18, 1388–1392. [Google Scholar]
- Jahani, A.; Rayegani, B. Forest landscape visual quality evaluation using artificial intelligence techniques as a decision support system. Stoch. Environ. Res. Risk Assess. 2020, 34, 1473–1486. [Google Scholar] [CrossRef]
- Daniel, T.C.; Schroeder, H. Scenic beauty estimation model: Predicting perceived beauty of forest landscapes. USDA For. Serv. Gen. Tech. Rep. Pac. Southwest For. Range Exp. Stn. 1979, PSW-35, 514–523. [Google Scholar]
- Yang, X. Structural quality in waterfront green space of Shaoyang City by scenic beauty evaluation. Asian J. Chem. 2014, 26, 5644–5648. [Google Scholar] [CrossRef]
- Brown, T.C. Modeling Forest Scenic Beauty: Concepts and Application to Ponderosa Pine; US Department of Agriculture, Forest Service: Washington, DC, USA, 1984. [Google Scholar]
- Frank, S.; Fürst, C.; Koschke, L.; Witt, A.; Makeschin, F. Assessment of landscape aesthetics—Validation of a landscape metrics-based assessment by visual estimation of the scenic beauty. Ecol. Indic. 2013, 32, 222–231. [Google Scholar] [CrossRef]
- Jia, H.; Luo, P.; Yang, H.; Luo, C.; Li, H.; Wu, S.; Cheng, Y.; Huang, Y.; Xie, W. Exploring the Relationship between Forest Scenic Beauty with Color Index and Ecological Integrity: Case Study of Jiuzhaigou and Giant Panda National Park in Sichuan, China. Forests 2022, 13, 1883. [Google Scholar] [CrossRef]
- Daniel, T.C.; Meitner, M.M. Representational validity of landscape visualizations: The effects of graphical realism on perceived scenic beauty of forest vistas. J. Environ. Psychol. 2001, 21, 61–72. [Google Scholar] [CrossRef]
- Karjalainen, E.; Tyrvainen, L. Visualization in forest landscape preference research: A Finnish perspective. Landsc. Urban Plan. 2002, 59, 13–28. [Google Scholar] [CrossRef]
- Bell, S. Elements of Visual Design in the Landscape; Routledge: Oxfordshire, UK, 2019. [Google Scholar]
- Panagopoulos, T. Linking forestry, sustainability and aesthetics. Ecol. Econ. 2009, 68, 2485–2489. [Google Scholar] [CrossRef]
- Li, X.Y.; Qi, T.; Zhang, G.Q.; Zhao, C. A review of visual landscape impact assessment at home and abroad. J. Cap. Norm. Univ. (Nat. Sci. Ed.) Beijing China 2017, 38, 62–69. [Google Scholar]
- Bátori, Z.; Csiky, J.; Farkas, T.; Vojtkó, E.A.; Erdős, L.; Kovács, D.; Wirth, T.; Körmöczi, L.; Vojtkó, A. The conservation value of karst dolines for vascular plants in woodland habitats of Hungary: Refugia and climate change. Int. J. Speleol. 2014, 43, 15–26. [Google Scholar] [CrossRef]
- Sun, X.; Tan, X.Y.; Chen, K.L.; Song, S.; Zhu, X.; Hou, D. Quantifying landscape-metrics impacts on urban green-spaces and water-bodies cooling effect: The study of Nanjing, China. Urban For. Urban Green. 2020, 55, 126838. [Google Scholar] [CrossRef]
- Dinkov, D.; Vatseva, R. 3D modelling and visualization for landscape simulation. In Proceedings of the 6th International Conference on Cartography and GIS, Albena, Bulgaria, 13–17 June 2016; pp. 13–17. [Google Scholar]
- Wu, X.Q.; Mou, S.C.; Kong, L.L. GIS Technology-Based Analysis of Dynamic and Static Sight Lines in Mountain Parks—A Case Study of Viewpoint Selection at the Top of Qixia Mountain Tiger Mountain; China Society of Urban Planning, Chengdu Municipal People’s Government: Chengdu, China, 2021; pp. 374–387. [Google Scholar]
- Zhang, T.Y.; Zhang, S.R.; Wang, Y.J.; Yu, H.; Ju, H.; Xue, H. Selection of the Most Scenic Viewpoints on an Island Based on Space-Time Perception: The Case of Nan’ao Island, China. Int. J. Environ. Res. Public Health 2022, 19, 1309. [Google Scholar] [CrossRef] [PubMed]
- Ma, K.; Tang, X.L.; Wang, Y.W.; Ren, Y.; Chen, Y. Planning and optimization of tour routes in small-scale hilly mountain scenery. J. Nanjing For. Univ. (Nat. Sci. Ed.) Nanjing China 2020, 44, 163–170. [Google Scholar]
- Yuan, L.; Fu, D. Analyze of viewing distance of landscape in Suzhou classical garden: The cases of Humble Administrator’s Garden. J. Shanghai Jiaotong Univ.-Agric. Sci. Shanghai China 2010, 28, 237–247. [Google Scholar]
- Yuan, L.Y. A Study on the Sight Distance of Classical Gardens in Suzhou. Master’s Thesis, Shanghai Jiaotong University, Shanghai, China, 2010. [Google Scholar]
- Appleton, J. Landscape evaluation: The theoretical vacuum. Trans. Inst. Br. Geogr. 1975, 66, 120–123. [Google Scholar] [CrossRef]
- Gobster, P.H. An ecological aesthetic for forest landscape management. Landsc. J. 1999, 18, 54–64. [Google Scholar] [CrossRef]
- Wang, Z. Research on Landscape Color Evaluation and Optimal Management Methods of Landscape Forest Based on Tourists’ Preferences. Ph.D. Thesis, Nanjing Forestry University, Nanjing, China, 2021. [Google Scholar]
- Yu, K.J. A Preliminary Study on Landscape Evaluation Methods in Chinese Landscape Areas; China Forestry Publishing House: Beijing, China, 1991. [Google Scholar]
- Anderson, L.M. Land use designations affect perception of scenic beauty in forest landscapes. For. Sci. 1981, 27, 392–400. [Google Scholar]
- Arthur, L.M. Predicting scenic beauty of forest environments: Some empirical tests. For. Sci. 1977, 23, 151–160. [Google Scholar]
- Wang, X.G. Research on Autumn Landscape Quality Evaluation and Forest Color Composition in Southwest Zhejiang Mountain Forests. Master’s Thesis, Central South University of Forestry Science and Technology, Changsha, China, 2019. [Google Scholar]
- Cui, Y. Research on Generic Evaluation Index System and Quantitative Evaluation Techniques for Landscape Quality within Urban Forest. Master’s Thesis, Beijing Forestry University, Beijing, China, 2020. [Google Scholar]
- Roberts, D.A.; Ustin, S.L.; Ogunjemiyo, S.; Greenberg, J.; Dobrowski, S.Z.; Chen, J.; Hinckley, T.M. Spectral and structural measures of northwest forest vegetation at leaf to landscape scales. Ecosystems 2004, 7, 545–562. [Google Scholar] [CrossRef]
- Li, M.Y.; Kan, L.R. Theory and Practice of Landscape Forest Survey Planning and Rational Management; China Forestry Press: Beijing, China, 2008; pp. 10–22. [Google Scholar]
- Ouyang, X.Z. A Study on Aesthetic Elevation and Impact on Ecological Tourism of Forest Landscape in Wuyuan County. Ph.D. Thesis, Nanjing Forestry University, Nanjing, China, 2004. [Google Scholar]
- Arne, P. Evaluating structural indices by reversing forest structural analysis. For. Ecol. Manag. 2006, 224, 266–277. [Google Scholar]
- He, H.S. Forest landscape models: Definitions, characterization, and classification. For. Ecol. Manag. 2008, 254, 484–498. [Google Scholar] [CrossRef]
- Zhang, Z.D. Research on Quality Evaluation and Key Technology of Regulation of Low Mountain Landscape Recreation Forest in Beijing. Ph.D. Thesis, Beijing Forestry University, Beijing, China, 2010. [Google Scholar]
- Wang, Z.; Li, M.Y.; Zhang, X.H.; Song, L. Modeling the scenic beauty of autumnal tree color at the landscape scale: A case study of Purple Mountain, Nanjing, China. Urban For. Urban Green. 2020, 47, 123456. [Google Scholar] [CrossRef]
- Urbis, A.; Povilanskas, R.; Šimanauskienė, R.; Taminskas, J. Key aesthetic appeal concepts of coastal dunes and forests on the example of the Curonian Spit (Lithuania). Water 2019, 11, 1193. [Google Scholar] [CrossRef]
- Marques, M.; Juerges, N.; Borges, J.G. Appraisal framework for actor interest and power analysis in forest management Insights from Northern Portugal. For. Policy Econ. 2020, 111, 102049. [Google Scholar] [CrossRef]
- Store, R.; Karjalainen, E.; Haara, A.; Leskinen, P.; Nivala, V. Producing a sensitivity assessment method for visual forest landscapes. Landsc. Urban Plan. 2015, 144, 128–141. [Google Scholar] [CrossRef]
- Jahani, A. Forest landscape aesthetic quality model (FLAQM): A comparative study on landscape modelling using regression analysis and artificial neural networks. J. For. Sci. 2019, 65, 61–69. [Google Scholar] [CrossRef]
- Tyrväinen, L.; Silvennoinen, H.; Kolehmainen, O. Ecological and aesthetic values in urban forest management. Urban For. Urban Green. 2003, 1, 135–149. [Google Scholar] [CrossRef]
- Dudek, T. Influence of selected features of forests on forest landscape aesthetic value–example of SE Poland. J. Environ. Eng. Landsc. Manag. 2018, 26, 275. [Google Scholar] [CrossRef]
- Silvennoinen, H. The beauty of forest scenery and the impact of forestry on the perceived landscape at the forest level. Diss. For. 2017, 242, 86. [Google Scholar]
- Zhao, J. Research on Landscape Design Methods under the Vision of Visual Arts. Ph.D. Thesis, Tianjin University, Tianjin, China, 2014. [Google Scholar]
- Liao, W.; Nogami, K. A fuzzy-logic-based expert system for near-view scenic beauty evaluation of hinoki forest. J. For. Res. 2000, 5, 139–144. [Google Scholar] [CrossRef]
- Urbis, A.; Povilanskas, R.; Jurkus, E.; Taminskas, J.; Urbis, D. GIS-Based aesthetic appraisal of short-range viewsheds of coastal dune and forest landscapes. Forests 2021, 12, 1534. [Google Scholar] [CrossRef]
- Gobster, P.H.; Weber, E.; Floress, K.M.; Schneider, I.E.; Haines, A.L.; Arnberger, A. Place, loss, and landowner response to the restoration of a rapidly changing forest landscape. Landsc. Urban Plan. 2022, 222, 104382. [Google Scholar] [CrossRef]
Disclaimer/Publisher’s Note: The statements, opinions and data contained in all publications are solely those of the individual author(s) and contributor(s) and not of MDPI and/or the editor(s). MDPI and/or the editor(s) disclaim responsibility for any injury to people or property resulting from any ideas, methods, instructions or products referred to in the content. |
© 2023 by the authors. Licensee MDPI, Basel, Switzerland. This article is an open access article distributed under the terms and conditions of the Creative Commons Attribution (CC BY) license (https://creativecommons.org/licenses/by/4.0/).






