Abstract
Studying both soil carbon (C) and nitrogen (N) storages in different climate zones and their relationship with climatic factors is of great significance for understanding soil fertility and predicting global climate change. Climate influences soil minerals, which are important for soil organic carbon (SOC) and N retention. However, there are few studies on SOC and soil total nitrogen (STN) storage in different climatic zones, and of the effects of soil oxidation minerals on SOC and STN storage. We measured the storage of SOC and STN and the content of oxidizable minerals in soils from different climatic regions, then obtained climate data from the China Meteorological Data Service Center, and finally investigated the effects of climate factors and soil oxides minerals on SOC and STN. The results showed that climatic factors (mean annual temperature—MAT, mean annual precipitation—MAP, and ≥10 °C mean annual cumulative temperature—MACT) had significant effects on SOC and STN content, and there was significant epistatic clustering of SOC and STN contents in different climatic zones. When MAT, MAP, and MACT increased, SOC and STN storage showed a trend of increasing and then decreasing, and both SOC and STN storages were largest in the middle temperate zone. The content of soil metal oxides (Al2O3, Fe2O3, Na2O, MgO, CaO, K2O, and TiO2) showed significant positive correlation with climatic factors (MAT, MAP, and MACT). The contents of Al2O3, Fe2O3, CaO, K2O, and TiO2 showed significant negative correlation with SOC and STN contents. In summary, our results showed that, although soil metal oxides (SMO) have a protective effect on SOC and STN to some extent, they do not change the influence of climatic factors on SOC and STN storage.
    1. Introduction
Due to global climate change, research on soil carbon (C) and nitrogen (N) and their cycling interactions has gained much attention [,,]. Soil stores a large amount of C and N, and soil is the largest C storage of the terrestrial ecosystems; therefore, even small changes in the soil organic carbon (SOC) pool can lead to changes in the global C cycle and C balance [,]. This means that changes in soil C and N content directly affect global greenhouse gas emissions from terrestrial ecosystems and global climate change.
Recently, there has been an increase in the understanding of the influence of climate on SOC and soil total nitrogen (STN). However, current knowledge is mostly related to a single climatic factor, such as warming temperatures or changing precipitation [,,,]. The reality is that climate factors often act together rather than as a single factor to influence SOC or STN; therefore, the combined impact of climate factors needs to be understood []. It is generally believed that the SOC pool increases with increasing latitude, increases with decreasing mean annual temperature (MAT), and increases with increasing mean annual precipitation (MAP) [,,]. Many studies have shown that C and N stores in soils are positively correlated with precipitation and negatively correlated with temperature [,,,,]. However, inconsistent results have been reported in certain regions [,] showing a positive correlation between SOC and temperature. For example, studies by Homann et al. [] in Oregon, USA showed that SOC content increased with increasing temperature and precipitation, and a study by Liski and Westman [] in Finland showed that SOC content increased with increasing temperature. In contrast, Rodríguez-Murillo [] showed a positive correlation between MAP and SOC content but not between MAT and SOC content in a study on the Iberian Peninsula from an arid to a humid climate. In conclusion, these inconsistent findings suggest that the effects of climate drivers (MAP and MAT) on C and N storage in soils have not been thoroughly elucidated to date.
Climatic factors (temperature, precipitation, etc.) influence soil development processes []. Dümig et al. [] showed that oxidized minerals increase during soil development and are significantly influenced by climatic factors. Deepthy and Balakrishnan [] showed that the mineral content and type of soils vary depending on the amount of rainfall; for example, iron and aluminum oxide increases in soils. With the application of techniques such as scanning electron microscopy (SEM), X-ray photoelectron spectroscopy (XPS), atomic force microscopy (AFM), nanosecond ion mass spectrometry (Nano SIMS), and near-edge X-ray absorption fine structure (NEXAFS), the competitive adsorption of metal oxides on specific soil organic matter (SOM) functional groups has been demonstrated [,,,]. This suggests that soil oxides (SO) play an important role in protecting organic matter from decomposition. SO can effectively stabilize SOC [,]. This is because positively charged SO can bridge the gap between negatively charged organic compounds and clay minerals, forming a complex of multivalent cationic organic compounds []. In addition, most SOs can interact with SOM through chelation, coprecipitation, and surface adsorption to form organic–mineral complexes. This organic–mineral complex strongly affects the stability of SOM [,], resulting in a longer turnover time of SOM components [], which effectively increases the storage of SOC and STN. Therefore, it is important to conduct studies on soil metal oxides (SMO) contents and the effect on SOC and STN storage under different climates.
As a coastal country, China is significantly influenced by monsoon climate and has a large latitudinal span. The eastern and northern parts of China include four climate zones: cold temperate, middle temperate, warm temperate, and subtropical. Different climatic zones have obvious differences in MAP and MAT, which are more representative for studying the effects of climatic factors on SOC and STN contents. The objectives of this study are as follows: (1) To investigate the influence of climatic factors on SOC and STN content; (2) To understand the variation in SOC and STN storages in different climatic zones; (3) To investigate the content of SO and its correlation with SOC and STN.
2. Materials and Methods
2.1. Site Description
This study was conducted in northeastern, northern, and eastern China, and the study areas spanned four climatic zones: cold temperate, mesothermal, warm temperate, and subtropical. Sites C-1–2 are located in the cold temperate zone and possess a cold continental monsoon climate: short and cold summers, long and severe winters, large annual temperature differences, scarce precipitation and mainly snowfall, and weak solar radiation. Sites M-3–15 are located in the middle temperate zone, which possesses a middle temperate continental monsoon climate: hot and humid in summer, cold and dry in winter, large annual temperature difference, concentrated precipitation, four distinct seasons, and low annual rainfall. Sites W-16–23 are located in the warm temperate zone, which possesses a warm temperate monsoon climate: hot and rainy in summer, cold and dry in winter; rain and heat at the same time, and precipitation is mainly concentrated in the summer (about 80% of the annual precipitation), while the other seasons receive less precipitation. Sites S-24–32 are located in the subtropics, which possesses a subtropical monsoon climate: hot and dry in summer, mild and rainy in winter, rain and heat at different times, abundant precipitation in winter, and a hot and dry climate in summer with little rain and plenty of sunshine. The detailed hydrothermal conditions of the sampling sites are shown in Figure 1, data from China Meteorological Data Service Center (CMDC); the vegetation conditions of each sampling site are shown in Table S1.
 
      
    
    Figure 1.
      Location of sampling sites and climatic characteristics (sites vegetation see Table S1 for specific composition).
  
2.2. Field Sampling
The sites were selected from forests with similar vegetation types and densities (natural forests, vegetation cover > 0.7), and the direction of the elevation slope of the sites were kept similar. Each sampling site excavated 3 soil profiles (one main profile, two sub-profiles, and profiles more than 200 m apart), according to the stratification of soil development, each soil profile was divided into layers, and sampling was carried out in the horizons A and B of each soil profile (the upper, middle, and lower 3 positions of the soil horizons A and B were sampled and mixed, respectively; this is the mixed sample of the horizon. Due to differences between soil profiles, not all profiles contain horizons A and B. For example, if the profile does not contain the horizon B, the SOC and STN reserves in the horizon B are not calculated. When the horizons A and B are interspersed with other horizons, e.g., the W layer is interspersed between the horizons A and B, the SOC and STN reserves in the horizon W are not included in the calculation). Soil samples were gently crumbled and sieved manually in the field to an approximate particle size of <2 mm to remove aboveground biomass, roots, and stones. Following collection, each sample was air dried in the laboratory for chemical analysis. Undisturbed soil samples were collected at the same locations and depths using a sampler (100 cm3) and used to determine the physical properties of the soil. (See Table S2 for soil development stratification at the sampling sites.)
2.3. Laboratory Analysis
We referred to LY/T 1237-1999 (China State Forestry Bureau) for the determination of SOC using the potassium dichromate oxidation method [], and used the Kjeldahl method for the determination of STN []. We obtained climate data (mean annual temperature—MAT and mean annual precipitation—MAP) from the China Meteorological Data Service Center (CMDC).
The SOC and STN storages for each soil depth were calculated as follows []:
      
      
      
    
        where SOCSi is the SOC storage (Mg/ha), Si means summation, Ti is the soil thickness (cm), Bi is the soil bulk density (g/cm3), Ci is the SOC concentration (g/kg), and Gi is the volume percent (%) of gravel (≥2 mm) corresponding to the soil depth, which was calculated using the water volume replacement method. In addition, i denotes a horizon, e.g., horizon A, B.
        
      
      
      
    
        where STNSi is the soil STN storage (Mg/ha); Si, Ti, Bi, Gi, and i are the same as in Formula (1); and Ni is the STN concentration (g/kg).
        SOCSi = Ti × Bi × Ci × (100 − Gi)/1000
      
      
        STNSi = Ti × Bi × Ni × (100 − Gi)/1000
      
      Soil oxides were determined (Al2O3, Fe2O3, Na2O, MgO, CaO, K2O, and TiO2 contents): The soil samples were ground to 200 (74 μm) mesh or less using a grinder, mixed thoroughly, and then weighed accurately to 4.00 g. The samples were pressed into 40 mm diameter slices under 30 MPa pressure using boricacid rimmed pads, and then tested using X-ray fluorescence spectrometry (Ultima IV, Rigaku, Tokyo, Japan).
2.4. Data Processing and Statistical Methods
Redundancy analysis (RDA) was used to examine how SOC and STN contents differed under different climates. Data of SOC and STN storages in different climatic zones were analyzed using one-way ANOVA. Regression analysis was used to study the variation in SOC and STN contents with soil depth in different climatic zones. Correlation analysis was used to study the effects of temperature and precipitation on SOC and STN storage. Correlation and regression analyses were used to study the effects of metal oxides in soil on SOC and STN contents. Differences or correlations were considered significant at p < 0.05. Data analysis and graphing were performed using SPSS 24.0 (SPSS Inc. IBM, Chicago, IL, USA), Origin 2023 (OriginLab, Northampton, MA, USA) software.
3. Results
3.1. Statistical Analysis
Preliminary tests via RDA analysis indicated that climatic factors and the content of oxide minerals in the soil influenced the SOC and STN content of surface soils (Figure 2). We found significant differences in SOC and STN contents in soils from different climatic zones but no differences in SOC and STN contents between warm temperate and subtropical sample sites. In addition, we found that both climatic factors and soil oxides minerals contents in soil had larger eigenvalues in PC1, which suggests a strong correlation between climatic factors and soil oxide mineral contents in soil.
 
      
    
    Figure 2.
      Redundancy analysis (RDA) of surface layer soil samples. Variables considered for this analysis are in Table 1. Percentage of variance explained by each component is shown in parentheses.
  
 
       
    
    Table 1.
    The influence of climatic factors on SOC and STN was analyzed via redundancy analysis. Variables with high loadings contribute highly to the respective components (RDAs)—these values are shown in bold.
  
3.2. SOC and STN Storages
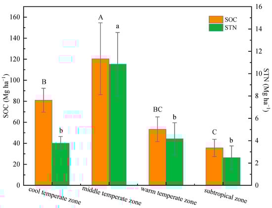
As shown in Figure 3, the SOC storages varied across climatic zones. The mean values of SOC storage in the four climate zones of cold temperate, middle temperate, warm temperate, and subtropical were 80.98 Mg/ha, 120.39 Mg/ha, 53.31 Mg/ha, and 45.63 Mg/ha, respectively. The highest SOC reserves were found in the middle temperate zone, which was significantly (p < 0.05) higher than the SOC storages in other climatic zones.
 
      
    
    Figure 3.
      Storages of SOC and STN in forest soils of different climatic zones. Differing capital letters indicate significantly different SOC storages between different climatic zones, while differing lowercase letters represent significantly different STN storages between different climatic zones.
  
With the change in climate, the STN storages also showed a similar trend to the SOC storages. The highest STN reserves were 10.84 Mg/ha in the middle temperate zone, and were significantly higher than those in other climatic zones. The STN reserves in cold temperate, warm temperate, and subtropical zones were 3.77 Mg/ha, 4.17 Mg/ha, and 2.48 Mg/ha, respectively, and there was no significant (p < 0.05) difference between them.
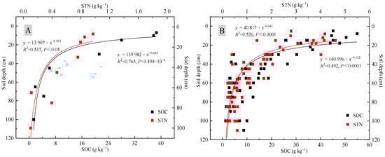
The regression analysis showed that SOC and STN content were significantly and negatively correlated with soil depth in all climatic zones. (Table 2). Different climatic zones have the characteristic of SOC and STN contents aggregating at the soil surface, but we found that, compared with other climatic zones, the aggregation of SOC content in warm temperate zone soils at the soil surface is less pronounced. While the aggregation of STN content is less pronounced at the soil surface in both the cool temperate zone and warm temperate zone, and more pronounced at the soil surface in the middle temperate zone and subtropical zone. The relationship between SOC content and STN content and soil depth in different climatic zones is shown in Figure A1 (Appendix A).
 
       
    
    Table 2.
    Variation in SOC and STN content with soil depth in different climatic zones.
  
3.3. Effect of Climatic Conditions on SOC and STN Storages
We performed Pearson correlation analysis and regression analysis of SOC storages and STN storages with climatic conditions (MAT, MAP, and MACT) for sample sites in different climatic zones. Pearson correlation coefficients were used to evaluate the relationships between the corresponding variables. The results showed a highly significant positive correlation between SOC storages and STN storages, while SOC storages and STN storages showed a highly significant negative correlation with climatic conditions (MAT, MAP, and MACT). In addition, the Pearson correlation coefficient showed that temperature had a greater effect on SOC storage and STN storage than rainfall.
Further analysis of the changes in SOC storages and STN storages with climatic conditions (Figure A1) showed that the effects of MAT, MAP, and MACT on SOC storages and STN storages were increasing and then decreasing with increasing MAT, MAP, and MACT. The SOC storages of MAT, MAP, and MACT reached their maximum at about 4 °C, 626 mm, and 2100 °C, respectively. The STN storages reached the maximum SOC storages at about 3.9 °C, 628 mm, and 2700 °C for MAT, MAP, and MACT, respectively Figure 4.
 
      
    
    Figure 4.
      Effect of temperature and rainfall on SOC and STN storages. MAT, MAP, and MACT means mean annual temperature, mean annual precipitation, and mean annual accumulation temperature (≥10 °C), respectively. “*” and “**” indicate a significant correlation at the 0.05 level and 0.01 level, respectively.
  
3.4. Effect of Soil Metal Oxides on SOC and STN Contents
As shown in Figure 5, by correlating SO content with climatic conditions (MAT, MAP, and MACT), we found that SO content showed a significant (p < 0.01) positive correlation with MAT and MACT and a positive correlation with MAP. The regression analysis of SOC and STN content with SO content showed that SOC and STN contents had the same trend with the increase in SO content (R2 = 0.40, p < 0.0001; R2 = 0.30, p < 0.0001), but STN contents decreased at a lower rate with the increase in SO content.
 
      
    
    Figure 5.
      Effect of soil metal oxide content on SOC and STN content and correlation analysis of SO content in soil with climatic conditions (MAT, MAP, and MACT). MAT, MAP, and MACT means mean annual temperature, mean annual precipitation, and mean annual accumulation temperature (≥10 °C), respectively. “*” and “**” indicate a significant correlation at the 0.05 level and 0.01 level, respectively.
  
Correlation analysis of the SO (Al2O3, Fe2O3, Na2O, MgO, CaO, K2O, and TiO2) contents with SOC and STN contents in soil was performed (Figure 6). We found that the contents of Al2O3, Fe2O3, K2O, and TiO2 in the soil were highly significantly negatively correlated with SOC and STN contents (p < 0.01), and CaO content was significantly negatively correlated with SOC and STN contents (p < 0.05).
 
      
    
    Figure 6.
      Correlation analysis of major metal oxides (Al2O3, Fe2O3, Na2O, MgO, CaO, K2O, and TiO2) contents in soil with SOC and STN contents. “*” and “**” indicate a significant correlation at the 0.05 level and 0.01 level, respectively.
  
4. Discussion
4.1. SOC and STN Storages Influenced by Climatic Conditions
Previous studies have indicated that the SOC and STN content exhibit high spatial heterogeneity at regional and global scales [,,]. Many previous studies have illustrated the important influence of climatic factors on the spatial distribution of SOC and STN storage [,,,]. For example, climatic factors influence the balance between the amount of C produced and imported into the soil by plants and the amount of C exported from the soil [], thereby significantly affecting SOC storage [,,,,]. Studies have shown that temperature and precipitation are not only the most important climatic drivers affecting soil properties and soil structure in terrestrial ecosystems [] but also influence C cycling, N mineralization, and nitrification rates, thus playing an important role in regulating the C and N balance in terrestrial ecosystems [,]. In our study, climate factors (MAT, MAP, and MACT) were found to have a significant effect on SOC and STN storage due to RDA (Figure 2), and we also found that temperature had a greater effect on SOC and STN content than rainfall (Table 1). These results were similar to those from previous studies by Alvarez and Lavado and Wang et al., which demonstrated that climatic factors (especially temperature and precipitation) play an important role in regulating SOC storage because climate determines plant species, production methods, and decomposition processes of deadfall [,,]. Prior research has shown that soil C/N is a key indicator of soil nitrogen mineralization capacity []. Studies have indicated that C/N values are influenced by climate, vegetation, soil properties, etc. [,,]; for example, C/N values increase with increasing temperature []. Higher soil C/N values indicate slower rates of organic matter decomposition, while conversely, organic matter has a faster mineralization effect. In our study, we found a significant correlation between C/N and MACT (p < 0.05), which further confirms the results of previous research.
In our study, the results showed that SOC and STN storage differed among different climatic zones and showed similar trends. SOC storage: middle temperate zone > cold temperate zone > warm temperate zone > subtropical; STN storages: middle temperate zone > warm temperate zone > cold temperate zone > subtropical (Figure 3). The results of the correlation analysis showed a highly significant positive correlation between SOC and STN storage, while SOC and STN storages showed a highly significant negative correlation with climatic factors (MAT, MAP, and MACT) (Figure 4). This is consistent with the findings of Lemenih and Itanna [] and Deng et al. []; in addition, Zhao et al. [] showed that SOC and mineral N content decreased with increasing MAT and MAP. In addition, Wu et al. [] showed that the SOC density in eastern China gradually increases between the tropical and cold temperate zone, with SOC density in the cold temperate zone being 2–3 times that of the tropical zone. This reflects a trend of SOC density being greater in cold temperate zone > middle temperate zone > warm temperate zone > subtropical, which is related to the decrease in mineralization caused by the decrease in temperature from south to north. In summary, MAT and MAP may be the dominant factors in determining the spatial distribution of SOC and STN storage. Similarly to studies by Assefa et al., [], Wang et al. [,], and Njeru et al. [], SOC was highly significantly correlated with STN storages. In addition, SOC and STN contents were significantly and negatively correlated with soil depth in all climatic zones, and both SOC and STN contents were significantly phenocopied (Table 2 and Figure A1). SOC storage decreased with increasing soil depth, in agreement with the results of Du et al. [], mainly due to differences in the distribution of plant C in the subsurface and topsoil [].
We also found that SOC and STN storages tended to increase and then decrease with increasing MAT, MAP, and MACT, respectively (Figure S1). This also resulted in the highest SOC and STN storages in the middle temperate zone and the lowest in the subtropics (Figure 3). In summary, SOC and N pools are the result of a dynamic balance between their production and decomposition [] and we, thus, believe that this result is mainly due to climatic causes (MAT, MAP, and MACT). On the one hand, with the increase in rainfall, soil humidity increased, vegetation growth gradually became better, apoplastic reserves increased, soil withered leaves, and root secretions were more, which promoted the conversion of plant apoplastic into SOM, and was favorable for the accumulation of soil organic matter []; on the other hand, higher temperature and precipitation increased microbial activity and accelerated the decomposition of organic matter, which in turn increased the export of organic carbon and nitrogen [,]. In addition, low temperatures slow down the activity of microorganisms involved in SOM decomposition [,,], which leads to an increase in organic carbon accumulation, explaining the high soil organic carbon and nitrogen content in colder regions. Homann et al. and Callesen et al. [,] showed that climatic factors explained more than 50% of the variation in soil organic carbon, which further suggests that climatic factors have a crucial role in influencing soil organic carbon and nitrogen pools; but, in addition to climatic factors, the nature of the soil and the condition of the vegetation also affect soil organic carbon and nitrogen pools, which also requires more relevant studies. In addition, the results of Homann et al. and Callesen et al. are only regionally applicable, but our results further demonstrate that some of their conclusions are also applicable on a larger regional scale.
4.2. SOC and STN Content Influenced by Soil Metal Oxides
Studies have shown that oxidized minerals are increasing during soil development and are influenced by factors such as climate []. This in line with our findings, where SO content showed a significant positive correlation with MAT and MACT and a positive correlation with MAP. Through regression analysis we found that SOC and STN contents decreased with the increase in SO content and had the same trend. However, the results in most studies indicate that SO can interact with SOM to form organic mineral bindings through chelation, coprecipitation, and surface adsorption [,,], thereby improving the stability of organic matter and prolonging the cycle of SOC and N in the soil ecosystem [,]. This is obviously quite different from our findings, which suggests that the protective effect of SO on SOC and STN does not determine the effect of climatic factors on SOC and STN contents. However, it has been shown that the turnover of SOC and STN is controlled to some extent by the role of minerals in the soil. For example, silicates and metal oxides in soil can catalyze redox reactions and promote the oxidative decomposition of SOM [], thus contributing to the reduction in SOC and STN content in soil. In addition, soil minerals can provide nutrients and energy sources required by microorganisms; for example, metal ions such as iron and manganese can act as electron acceptors or donors in microbial metabolic processes []. Some metal oxides also have the effect of inhibiting soil pathogens and other competitors, which helps maintain the stability and diversity of soil microbial communities and improve the growth and metabolic activities of microorganisms, thereby promoting SOM decomposition. In summary, soil minerals affect SOC and STN turnover by influencing the distribution, activity, and diversity of microorganisms [,,,].
The correlation analysis showed that the content of Al2O3, Fe2O3, K2O, and TiO2 in the soil showed highly significant negative correlations with SOC and STN content (p < 0.01), and CaO content showed significant negative correlation with SOC and STN contents (p < 0.05). Soil oxide content showed an opposite trend to SOC and STN contents with changing climatic conditions and, although there was a significant negative correlation, it was not sufficient to indicate that they promote the mineralization decomposition of SOC and STN. On the one hand, it has been shown that Al2O3 and Fe2O3 can increase the stability of SOM [,,]; on the other hand, Al2O3 and Fe2O3 can catalyze the oxidative decomposition of SOM [] and promote the activity of soil microorganisms to facilitate the decomposition and utilization of SOM by microorganisms [,]. Although it has been shown that calcium can synergistically chelate iron with organic C [,] and promote the stabilization of organic matter, the reasons for the effects of K2O, TiO2, and CaO on SOC and STN contents are unclear and need to be further investigated.
5. Conclusions
Our study showed that climatic factors (MAT, MAP, and MACT) had significant effects on SOC and STN content, but we found that their effects on SOC and STN content were weaker as MAT and MAP increased. This made the difference between warm temperate and subtropical SOC and STN stores insignificant, probably because MAT and MAP increased to a certain extent and then ceased to be a limiting condition for organic matter decomposition. SOC and STN storages showed a similar trend of increasing and then decreasing with climate, with the highest SOC and STN storage in the middle temperate zone. In addition, C/N values were significantly affected by MACT. There was a significant positive correlation between SO content and climate conditions (MAT, MAP, and MACT). The SOC and STN contents had the same trend with the increase in SO content. The content of major metal oxides in soils (SMO) (Al2O3, Fe2O3, K2O, TiO2, and CaO) was significantly and negatively correlated with SOC and STN contents, which to some extent indicates that the protective effect of SO on SOC and STN does not determine the effect of climatic factors on SOC and STN content. In summary, climate plays a crucial role in the storage of SOC and STN. However, our study area is not yet extensive enough. If future research can expand the study area to a global scale, the research results will be more scientific.
Supplementary Materials
The following supporting information can be downloaded at: https://www.mdpi.com/article/10.3390/f14081572/s1, Figure S1: MAT, MAP, MACT on SOC storages and STN storages. MAT, MAP and MACT means mean annual temperature, mean annual precipitation and mean annual accumulation temperature (≥10 °C), respectively; Table S1: Location of sampling sites and vegetation; Table S2: Soil stratification at sampling sites. Reference [] is cited in the supplementary materials.
Author Contributions
Methodology, L.H.; Validation, W.Z. and R.Z.; Formal analysis, W.Z.; Data curation, W.Z., J.Y., G.Z., Z.C., X.B. and J.Z.; Writing—original draft, W.Z.; Writing—review & editing, S.L.; Supervision, X.S. and R.Z.; Project administration, S.L. All authors have read and agreed to the published version of the manuscript.
Funding
This study was funded by the Special Program for Survey of National Basic Scientific and Technological Resources (No. 2021FY00802).
Data Availability Statement
The data presented in this study are available upon request from the corresponding author.
Conflicts of Interest
The authors declare no conflict of interest.
Appendix A

 
      
    
    Figure A1.
      Correlation of soil organic carbon and total nitrogen contents with soil depth in different climatic zones. (A–D) The correlation between soil organic carbon and total nitrogen contents with soil depth in the cool temperate zone, middle temperate zone, warm temperate zone, and subtropical zone, respectively.
  
References
- Crowther, T.W.; Todd-brown, K.E.O.; Rowe, C.W.; Wieder, W.R.; Carey, J.C.; Machmuller, M.B.; Snoek, B.L.; Fang, S.; Zhou, G.; Allison, S.D.; et al. Quantifying global soil carbon losses in response to warming. Nature 2016, 540, 104–108. [Google Scholar] [CrossRef] [PubMed]
- Lal, R. Soil carbon sequestration impacts on global climate change and food security. Science 2004, 304, 1623–1627. [Google Scholar] [CrossRef]
- Oost, K.V.; Quine, T.A.; Govers, G.; Gryze, S.D.; Six, J.; Harden, J.W.; Ritchie, J.C.; McCarty, G.W.; Heckrath, G.; Kosmas, C.; et al. The Impact of agricultural soil erosion on the global carbon cycle. Science 2007, 318, 626–629. [Google Scholar] [CrossRef]
- Guo, L.B.; Gifford, R.M. Soil carbon stocks and land use change: A meta analysis. Glob. Chang. Biol. 2002, 8, 345–360. [Google Scholar] [CrossRef]
- Poeplau, C.; Don, A.; Vesterdal, L.; Leifeld, J.; Van Wesemael, B.V.; Schumacher, J.; Gensior, A. Temporal dynamics of soil organic carbon after land–use change in the temperate zone—carbon response functions as a model approach. Glob. Chang. Biol. 2011, 17, 2415–2427. [Google Scholar] [CrossRef]
- Sakurai, G.; Jomura, M.; Yonemura, S.; Iizumi, T.; Shirato, Y.; Yokozawa, M. Inversely estimating temperature sensitivity of soil carbon decomposition by assimilating a turnover model and long-term field data. Soil Biol. Biochem. 2012, 46, 191–199. [Google Scholar] [CrossRef]
- Longbottom, T.L.; Townsend-Small, A.; Owen, L.A.; Murari, M.K. Climatic and topographic controls on soil organic matter storage and dynamics in the Indian Himalaya: Potential carbon cycle–climate change feedbacks. Catena 2014, 119, 124–135. [Google Scholar] [CrossRef]
- Ghosh, A.; Bhattacharyya, R.; Dwivedi, B.S.; Meena, M.C.; Agarwal, B.K.; Mahapatra, P.; Shahi, D.K.; Salwani, R.; Agnihorti, R. Temperature sensitivity of soil organic carbon decomposition as affected by long-term fertilization under a soybean based cropping system in a sub-tropical alfisol. Agric. Ecosyst. Environ. 2016, 233, 202–213. [Google Scholar] [CrossRef]
- Mureva, A.; Ward, D. Soil microbial biomass and functional diversity in shrub-encroached grasslands along a precipitation gradient. Pedobiologia 2017, 63, 37–45. [Google Scholar] [CrossRef]
- Zhao, J.X.; Luo, T.X.; Li, R.C.; Wei, H.X.; Li, X.; Du, M.Y.; Tang, Y.H. Precipitation alters temperature effects on ecosystem respiration in Tibetan alpine meadows. Agric. For. Meteorol. 2018, 252, 121–129. [Google Scholar] [CrossRef]
- Post, W.M.; Emanuel, W.R.; Zinke, P.J.; Stangenberger, A.G. Soil carbon pools and world life zones. Nature 1982, 298, 156–159. [Google Scholar] [CrossRef]
- Schimel, D.S.; Braswell, B.H.; Holland, E.A.; McKeown, R.; Ojima, D.S.; Painter, T.H.; Parton, W.J.; Townsend, A.R. Climatic, edaphic, and biotic controls over storage and turnover of carbon in soils. Glob. Biogeochem. Cycles 1994, 8, 279–294. [Google Scholar] [CrossRef]
- Zinke, P.J.; Stangenberger, A.G. Elemental storage of forest soil from local to global scales. For. Ecol. Manag. 2000, 138, 159–165. [Google Scholar] [CrossRef]
- Jobbagy, E.E.G.; Jackson, R.B. The vertical distribution of soil organic carbon and its relation to climate and vegetation. Ecol. Appl. 2000, 10, 423–436. [Google Scholar] [CrossRef]
- Miller, A.J.; Amundson, R.; Burke, I.C.; Yonker, C. The effect of climate and cultivation on soil organic C and N. Biogeochemistry 2004, 67, 57–72. [Google Scholar] [CrossRef]
- Spain, A.V. Influence of environmental conditions and some soil chemical properties on the carbon and nitrogen contents of some tropical Austrian rainforest soils. Aust. J. Soil Res. 1990, 28, 825–839. [Google Scholar] [CrossRef]
- Callesen, I.; Liski, J.; Raulund-Rasmussen, K.; Olsson, M.T.; Tau-Strand, L.; Vesterdal, L.; Westman, C.J. Soil carbon stores in nordic well–drained forest soils–relationships with climate and texture class. Glob. Chang. Biol. 2003, 9, 358–370. [Google Scholar] [CrossRef]
- Homann, P.S.; Sollins, P.; Chappell, H.N.; Stangenberger, A.G. Soil organic matter in a mountainous, forested region: Relation to site characteristics. Soil Sci. Soc. Am. J. 1995, 59, 1468–1475. [Google Scholar] [CrossRef]
- Liski, J.; Westman, C.J. Carbon storage in forest soil of finland. 1. Effect of thermoclimate. Biogeochemistry 1997, 36, 239–260. [Google Scholar] [CrossRef]
- Rodríguez-Murillo, J.C. Organic carbon content under d ferent types of land use and soil in peninsular Spain. Biol. Fertil. Soils 2001, 33, 53–61. [Google Scholar] [CrossRef]
- Velde, B. Introduction to Clay Minerals: Chemistry, Origins, Uses and Environmental Significance; Chapman & Hall: London, UK, 1992; Volume 198. [Google Scholar]
- Dümig, A.; Smittenberg, R.; Kögel-Knabner, I. Concurrent evolution of organic and mineral components during initial soil development after retreat of the Damma glacier, Switzerland. Geoderma 2011, 163, 83–94. [Google Scholar] [CrossRef]
- Deepthy, R.; Balakrishnan, S. Climatic control on clay mineral formation: Evidence from weathered profiles on both sides of the Western Ghats. J. Earth Syst. Sci. 2005, 114, 545–556. [Google Scholar] [CrossRef]
- Keiluweit, M.; Bougoure, J.J.; Nico, P.S.; Pett-Ridge, J.; Weber, P.K.; Kleber, M. Mineral protection of soil carbon counteracted by root exudates. Nat. Clim. Chang. 2005, 5, 588–595. [Google Scholar] [CrossRef]
- Tan, W.F.; Zhou, S.J.; Liu, F.; Feng, X.H.; Li, X.W. Advances in the interaction of iron and aluminum oxides with clay minerals in soils. Soil 2007, 5, 726–730. [Google Scholar]
- Chassé, A.W.; Ohno, T.; Higgins, S.R.; Amirbahman, A.; Yildirim, N.; Parr, T.B. Chemical force spectroscopy evidence supporting the layer-by-layer model of organic matter binding to iron (oxy) hydroxide mineral surfaces. Environ. Sci. Technol. 2015, 49, 9733–9741. [Google Scholar] [CrossRef] [PubMed]
- Vindedahl, A.M.; Strehlau, J.H.; Arnold, W.A.; Penn, R.L. Organic matter and iron oxide nanoparticles: Aggregation, interactions, and reactivity. Environ. Sci. Nano 2016, 3, 494–505. [Google Scholar] [CrossRef]
- Kaiser, K.; Eusterhues, K.; Rumpel, C.; Guggenberger, G.; Kögel-Knabner, I. Stabilization of organic matter by soil minerals-investigations of density and particle-size fractions from two acid forest soils. J. Plant Nutr. Soil Sci. 2002, 165, 451–459. [Google Scholar] [CrossRef]
- Wiseman, C.L.S.; Püttmann, W. Soil organic carbon and its sorptive preservation in central Germany. Eur. J. Soil Sci. 2005, 56, 65–76. [Google Scholar] [CrossRef]
- Giannetta, B.; Plaza, C.; Vischetti, C.; Cotrufo, M.F.; Zaccone, C. Distribution and thermal stability of physically and chemically protected organic matter fractions in soils across different ecosystems. Biol. Fertil. Soils 2018, 54, 671–681. [Google Scholar] [CrossRef]
- Wagai, R.; Mayer, L.M.; Kitayama, K.; Shirato, Y. Association of organic matter with iron and aluminum across a range of soils determined via selective dissolution techniques coupled with dissolved nitrogen analysis. Biogeochemistry 2013, 112, 95–109. [Google Scholar] [CrossRef]
- Lawrence, C.R.; Harden, J.W.; Xu, X.; Schulz, M.S.; Trumbore, S.E. Long–term controls on soil organic carbon with depth and time: A case study from the Cowlitz River Chronosequence, WA USA. Geoderma 2015, 247, 73–87. [Google Scholar] [CrossRef]
- Forestry Industry Standard of the People’s Republic of China. LY/T 1237-1999 Determination of Organic Matter in Forest Soil and Calculation Carbon-Nitrogen Ratio; China State Forestry Bureau: Beijing, China, 1999.
- Zhu, T.B.; Zhang, J.B.; Meng, T.Z.; Zhang, Y.C.; Yang, J.J.; Muller, C.; Cai, Z.C. Tea plantation destroys soil retention of NO3– and increases N2O emissions in subtropical China. Soil Biol. Biochem. 2014, 73, 106–114. [Google Scholar] [CrossRef]
- Zhang, Y.; Ai, J.; Sun, Q.; Li, Z.; Hou, L.; Song, L.; Tang, G.; Shao, G. Soil organic carbon and total nitrogen stocks as affected by vegetation types and altitude across the mountainous regions in the Yunnan Province, south–western China. Catena 2021, 196, 104872. [Google Scholar] [CrossRef]
- Rumpel, C.; Kogel-Knabner, I. Deep soil organic matter-a key but poorly understood component of terrestrial C cycle. Plant Soil 2011, 338, 143–158. [Google Scholar] [CrossRef]
- Yang, Y.H.; Mohammat, A.; Feng, J.; Zhou, R.; Fang, J.Y. Storage, patterns and environmental controls of soil organic carbon in China. Biogeochemistry 2007, 84, 131–141. [Google Scholar] [CrossRef]
- Dieleman, W.I.J.; Venter, M.; Ramachandra, A.; Krockenberger, A.K.; Bird, M.I. Soil carbon stocks vary predictably with altitude in tropical forests: Implications for soil carbon storage. Geoderma 2013, 204, 59–67. [Google Scholar] [CrossRef]
- Yao, X.; Yu, K.Y.; Deng, Y.B.; Zeng, Q.; Lai, Z.J.; Liu, J. Spatial distribution of soil organic carbon stocks in Masson pine (Pinus massoniana) forests in subtropical China. Catena 2019, 178, 189–198. [Google Scholar] [CrossRef]
- Marty, C.; Houle, D.; Gagnon, C.; Courchesne, F. The relationships of soil total nitrogen concentrations, pools and C: N ratios with climate, vegetation zones and nitrate deposition in temperate and boreal forests of eastern Canada. Catena 2017, 152, 163–172. [Google Scholar] [CrossRef]
- He, N.-P.; Wang, R.-M.; Zhang, Y.H.; Chen, Q.-S. Carbon and nitrogen storage in Inner Mongolian grasslands: Relationships with climate and soil texture. Pedosphere 2014, 24, 391–398. [Google Scholar] [CrossRef]
- Wynn, J.G.; Bird, M.I.; Vallen, L.; Grand-Clement, E.; Carter, J.; Berry, S.L. Continental-scale measurement of the soil organic carbon pool with climatic, edaphic, and biotic controls. Glob. Biogeochem. Cycles 2006, 20, GB1007. [Google Scholar] [CrossRef]
- Kim, I.; Deurer, M.; Sivakuaran, S.; Huh, K.Y.; Green, S.; Clothier, B. The impact of soil carbon management and environmental conditions on n mineralization. Biol. Fertil. Soils 2011, 47, 709–714. [Google Scholar] [CrossRef]
- Cui, Y.; Fang, L.; Deng, L.; Guo, X.; Zhang, X. Patterns of soil microbial nutrient limitations and their roles in the variation of soil organic carbon across a precipitation gradient in an arid and semiarid region. Sci. Total Environ. 2019, 658, 1440–1451. [Google Scholar] [CrossRef] [PubMed]
- Knoepp, J.D.; See, C.R.; Vose, J.M.; Miniat, C.F.; Clark, J.S. Total C and N pools and fluxes vary with time, soil temperature, and moisture along an elevation, precipitation, and vegetation gradient in southern Appalachian forests. Ecosystems 2018, 21, 1623–1638. [Google Scholar] [CrossRef]
- Alvarez, R.; Lavado, R.S. Climate, organic matter and clay content relationships in the Pampa and Chaco soils, Argentina. Geoderma 1998, 83, 127–141. [Google Scholar] [CrossRef]
- Wang, D.D.; Yan, Y.C.; Li, X.H.; Shi, X.Z.; Zhang, Z.Q.; Weindorf, D.C.; Wang, H.J.; Xu, S.X. Influence of climate on soil organic carbon in Chinese paddy soils. Chin. Geogr. Sci. 2017, 27, 251–361. [Google Scholar] [CrossRef]
- Wang, T.; Kang, F.F.; Cheng, X.Q.; Han, H.R.; Bai, Y.C.; Ma, J.Y. Spatial variability of organic carbon and total nitrogen in the soils of a subalpine forested catchment at Mt. Taiyue, China. Catena 2017, 155, 41–52. [Google Scholar] [CrossRef]
- Yu, X.; Gaodi, X.; Kai, A.N. The Function and Economic Value of Soil Conservation of Ecosystems in Qinghai-Tibet Plateau. Acta Ecol. Sin. 2003, 23, 2367–2378. [Google Scholar]
- Chen, Y.; Zhang, S.; Wang, Y. Distribution Characteristics and Drivers of Soil Carbon and Nitrogen in the Drylands of Central Asia. Land 2022, 11, 1723. [Google Scholar] [CrossRef]
- Zhang, G.; Deng, H.; Du, K.; Lin, Y.; Ma, R.; Yu, W.; Wang, D.J.; Wu, C.Z.; Hong, W. Soil Stoichiometry Characteristics at Different Elevation Gradients of a Mountain in an Area with High Frequency Debris Flow: A Case Study in Xiaojiang Watershed, Yunnan. Acta Ecol. Sin. 2016, 36, 675–687. [Google Scholar]
- Wang, C.; Wang, X.; Liu, D.; Wu, H.; Lu, X.; Fang, Y.; Cheng, W.; Luo, W.; Jiang, P.; Shi, J. Aridity threshold in controlling ecosystem nitrogen cycling in arid and semi-arid grasslands. Nat. Commun. 2014, 5, 4799. [Google Scholar] [CrossRef]
- Cools, N.; Vesterdal, L.; De Vos, B.; Vanguelova, E.; Hansen, K. Tree species is the major factor explaining C: N ratios in European forest soils. For. Ecol. Manag. 2014, 311, 3–16. [Google Scholar] [CrossRef]
- Lemenih, M.; Itanna, F. Soil carbon stock and turnovers in various vegetation types and arable lands along an elevation gradient in southern Ethiopia. Geoderma 2004, 123, 177–188. [Google Scholar] [CrossRef]
- Deng, L.; Zhu, G.Y.; Tang, Z.S.; Shangguan, Z.P. Global patterns of the effects of land-use changes on soil carbon stocks. Glob. Ecol. Conserv. 2016, 5, 127–138. [Google Scholar] [CrossRef]
- Zhao, Z.N.; Wei, X.R.; Wang, X.; Ma, T.E.; Huang, L.Q.; Gao, H.L.; Fan, J.; Li, X.Z.; Jia, X.X. Concentration and mineralization of organic carbon in forest soils along a climatic gradient. For. Ecol. Manag. 2019, 432, 246–255. [Google Scholar] [CrossRef]
- Wu, H.B.; Guo, Z.T.; Peng, C.H. Land use induced changes of organic carbon storage in soils of China. Glob. Chang. Biol. 2003, 9, 305–315. [Google Scholar] [CrossRef]
- Assefa, D.; Rewald, B.; Sanden, H.; Rosinger, C.; Abiyu, A.; Yitaferu, B.; Godbold, D.L. Deforestation and land use strongly effect soil organic carbon and nitrogen stock in northwest ethiopia. Catena 2017, 153, 89–99. [Google Scholar] [CrossRef]
- Njeru, C.M.; Ekesi, S.; Mohamed, S.A.; Kinyamario, J.I.; Kiboi, S.; Maeda, E.E. Assessing stock and thresholds detection of soil organic carbon and nitrogen along an altitude gradient in an east africa mountain ecosystem. Geoderma Reg. 2017, 10, 29–38. [Google Scholar] [CrossRef]
- Duan, X.W.; Rong, L.; Hu, J.M.; Zhang, G.L. Soil organic carbon stocks in the Yunnan Plateau, southwest China: Spatial variations and environmental controls. J. Soil Sediment 2014, 14, 1643–1658. [Google Scholar] [CrossRef]
- Zhao, W.W.; Liang, W.J.; Wei, X. Soil nutrient characteristics of northern Chinese larch plantation forests at different elevations in Guandi Mountain. J. Jiangxi Agric. Univ. 2019, 6, 1103–1112. (In Chinese) [Google Scholar]
- Fissore, C.; Giardina, C.P.; Kolka, R.K.; Trettin, C.C.; King, G.M.; Jurgensen, M.F.; Barton, C.D.; Mcdowell, S.D. Temperature and vegetation effects on soil organic carbon quality along a forested mean annual temperature gradient in North America. Glob. Chang. Biol. 2008, 14, 193–205. [Google Scholar] [CrossRef]
- Hagerty, S.B.; Groenigen, K.V.; Allison, S.D.; Hungate, B.A.; Schwartz, E.; Koch, G.W.; Kolka, R.K.; Dijkstra, P. Accelerated microbial turnover but constant growth efficiency with warming in soil. Nat. Clim. Chang. 2014, 4, 903–906. [Google Scholar] [CrossRef]
- Jr, C.; Charles, T. Relationships among forest soil C isotopic composition, partitioning and turnover times. Can. J. For. Res. 2006, 36, 2157–2167. [Google Scholar]
- He, N.P.; Yu, Q.; Wu, L.; Wang, Y.S.; Han, X.G. Carbon and nitrogen store and storage potential as affected by land-use in a Leymus chinensis grassland ofnorthern northern China. Soil Biol. Biochem. 2008, 40, 2952–2959. [Google Scholar] [CrossRef]
- Deng, L.; Liu, G.B.; Shangguan, Z.P. Land-use conversion and changing soil carbon stocks in China’s “grain-for-green” program: A synthesis. Glob. Chang. Biol. 2014, 20, 3544–3556. [Google Scholar] [CrossRef] [PubMed]
- Coward, E.K.; Thompson, A.T.; Plante, A.F. Iron-mediated mineralogical control of organic matter accumulation in tropical soils. Geoderma 2017, 306, 206–216. [Google Scholar] [CrossRef]
- Xu, L.; Zhu, L. Structures of OTMA-and DODMA-bentonite and their sorption characteristics towards organic compounds. J. Colloid Interface Sci. 2009, 331, 8–14. [Google Scholar] [CrossRef]
- Dijkstra, F.A.; Bader, N.E.; Johnson, D.W.; Cheng, W. Does accelerated soil organic matter decomposition in the presence of plants increase plant N availability? Soil Biol. Biochem. 2009, 41, 1080–1087. [Google Scholar] [CrossRef]
- Chen, X.L.; Li, F.B.; He, J.Z. Mechanisms for soil microorganisms to cope with environmental stressors. Chin. J. Appl. Ecol. 2015, 26, 2199–2206. [Google Scholar]
- Arredondo, R.; Garcia, A.; Jerez, C.A. Partial removal of lipopolysac-charide from Thiobacillus ferrooxidans affects its adhesion to solids. Appl. Environ. Microbiol. 1994, 60, 2846–2851. [Google Scholar] [CrossRef]
- Trevors, J.T.; Elsas, J.D. Quantication of gene transfer in soil and the rhizosphere. In Manual of Environmental Microbiology; Hurst, C.J., Ed.; American Society for Microbiology: Washington, DC, USA, 1997; pp. 500–508. [Google Scholar]
- Holben, W.E. Isolation and purication of bacterial community DNA from environ-mental samples. In Manual of Environmental Microbiology; Hurst, C.J., Knudsen, G.R., Mcinerney, M.J., Eds.; American Society for Microbiology: Washington, DC, USA, 1997; pp. 431–436. [Google Scholar]
- Kennedy, A.C.; Gewin, V.L. Soil microbial diversity: Present and future considerations. Soil Sci. 1997, 162, 607–617. [Google Scholar] [CrossRef]
- Mikutta, R.; Kleber, M.; Torn, M.S.; Jahn, R. Stabilization of soil organic matter: Association with minerals or chemical recalcitrance? Biogeochemistry 2006, 77, 25–56. [Google Scholar] [CrossRef]
- He, S.; Feng, Y.; Gu, N.; Zhang, Y.; Lin, X. The effect of y-Fe2O3 nanoparticles on Escherichia coli genome. Environ. Pollut. 2011, 159, 3468–3473. [Google Scholar] [CrossRef]
- Mimmo, T.; Del Buono, D.; Terzano, R.; Tomasi, N.; Vigani, G.; Crecchio, C.; Pinton, R.; Zocchi, G.; Cesco, S.J.E. Rhizospheric organic compounds in the soil-microorganism-plant system: Their role in iron availability. Eur. J. Soil Sci. 2014, 65, 629–642. [Google Scholar] [CrossRef]
- Wang, S.; Jia, Y.; Liu, T.; Wang, Y.; Liu, Z.; Feng, X. Delineating the role of calcium in the large-scale distribution of metal-bound organic carbon in soils. Geophys. Res. Lett. 2021, 48, e2021GL092391. [Google Scholar] [CrossRef]
- Sowers, T.D.; Stuckey, J.W.; Sparks, D.L. The synergistic effect of calcium on organic carbon sequestration to ferrihydrite. Geochem. Trans. 2018, 19, 4. [Google Scholar] [CrossRef]
- Soil Census Technology in China; National Soil Census Office: Beijing, China, 1992.
| Disclaimer/Publisher’s Note: The statements, opinions, and data contained in all publications are solely those of the individual author(s) and contributor(s) and not of MDPI and/or the editor(s). MDPI and/or the editor(s) disclaim responsibility for any injury to people or property resulting from any ideas, methods, instructions, or products referred to in the content. | 
| Disclaimer/Publisher’s Note: The statements, opinions and data contained in all publications are solely those of the individual author(s) and contributor(s) and not of MDPI and/or the editor(s). MDPI and/or the editor(s) disclaim responsibility for any injury to people or property resulting from any ideas, methods, instructions or products referred to in the content. | 
© 2023 by the authors. Licensee MDPI, Basel, Switzerland. This article is an open access article distributed under the terms and conditions of the Creative Commons Attribution (CC BY) license (https://creativecommons.org/licenses/by/4.0/).
