Abstract
Understanding the effects of nitrogen (N) deposition on plant functional traits can provide insights into their adaptation strategies. We conducted an N application experiment (0, 5, 10, 15 g N m−2) with potted saplings of the endangered species Davidia involucrata and examined 24 functional traits of both leaves and roots. We found that N application increased the leaf morphological traits, except for a significant decrease (by 19.2%–27.0%) in specific leaf area (SLA). Compared to the control treatment, N application significantly increased the specific root surface area (SRA), specific root length (SRL), and root tissue density (RTD) by 9.2%–20.1%, 20.2%–47.9%, and 30.8%–46.4%, respectively, while root diameter was conservative and insensitive to N application. Additionally, N application had contrasting effects between leaf and root carbon, N, and phosphorus contents and their stoichiometry. SRL, SRA, and RTD were positively correlated with most leaf photosynthetic traits, but negatively correlated with SLA. Moreover, root biomass and root chemical traits were also tightly correlated with leaf photosynthetic traits and chemical traits. These results suggest that N application may trigger a resource-conservative strategy for leaves but a nutrient-acquisitive strategy for roots. Future N deposition combined with other practices, such as simultaneous P fertilizer application, can be effective for the scientific conservation of D. involucrata populations in their natural habitats.
1. Introduction
Nitrogen (N) is an essential macronutrient that limits plant growth in terrestrial ecosystems [1]. However, anthropogenic activities such as deforestation, fertilizer application, and energy consumption have increased atmospheric N deposition rates in China’s forests over a few decades [2,3]. As a result, plants must adjust their survival strategy and resource allocation (manifested in leaf and root functional traits) to adapt to changes in soil N nutrient status caused by N deposition [4]. Despite numerous studies focusing on the effects of N deposition on common species [5,6], the responses of endangered species, such as Davidia involucrata (a rare and endangered plant species that only occurs naturally in Southwest China), have been overlooked. To better conserve these endangered species, it is crucial to explore the effects of N deposition on their leaf and root functional traits, their inherent linkages, and their ecological adaption strategies in a changing world.
Certain morphological traits of leaves and roots have been identified as the key indicators of plant growth and nutrient acquisition strategy, and they are highly sensitive to N deposition [7,8]. N addition experiments on common plant species have revealed that N addition has positive effects on aboveground biomass and specific leaf area (SLA) [9,10]. Meanwhile, some other studies found that N addition can reduce belowground investment by decreasing root biomass [11], specific surface area of roots (SRA) [12], and specific root length (SRL) [13] while increasing root diameter (RD) [14]. However, the effects of N addition on plant morphological traits can vary greatly in forest ecosystems due to differences in the form, dose, and duration of N fertilizer, as well as the extent of nutrient limitation, tree species, and other biotic and abiotic environmental conditions, which show a positive, negative, or neutral response [15,16,17,18]. Therefore, it appears that the effects of N addition on the morphological traits of plant leaves and roots are influenced by multiple factors.
Changes in soil N availability caused by N deposition can significantly affect the chemical traits of plant leaves and roots, such as tissue carbon (C), N, and phosphorus (P) contents, as well as their stoichiometry [19]. For instance, N addition can increase C investment in plant leaves and roots and increase N and P contents in leaves and roots, along with corresponding changes in stoichiometry (such as an increase in N:P ratio) in natural forests [13,20,21]. However, contrasting effects of N addition on nutrient contents of leaves and roots have also been reported in other N addition studies and meta-analyses, which revealed that the negative [22] or neutral [23,24] effects of N addition varied with tree species. Increasing N supply can also alter the availability of P and other nutrients in soils, changing the allocation of N and P in leaves and roots [25,26]. These factors can jointly induce complex results in the responses of plant chemical traits to N deposition.
Furthermore, it is worth noting that previous studies on the effects of N deposition on plant functional traits have mostly focused on either leaves or roots, with little attention paid to their interactions [8,25,26,27]. This knowledge gap severely limits our understanding of how plants simultaneously respond above- and below-ground to N deposition. Therefore, exploring the responses of plant leaf and root functional traits and their inherent linkages to N deposition is essential for understanding the resource acquisition and ecological adaption strategies of plants in the face of changing N availability. This is especially critical for rare and endangered plant species, where conservation efforts urgently require a better understanding of their responses to environmental changes.
D. involucrata, also known as the dove tree, is an endangered relict species from the Tertiary period, endemic to Southwest China [28]. It is classified as a national Grade I endangered plant and is under key protection [29]. Due to its high environmental requirements, there are fewer seedlings and the reproduction and self-renewal of natural populations are more difficult, with a long period of dormancy and a high rate of seed abortion [30,31]. Moreover, the narrow natural habitats of D. involucrata are experiencing significant amounts of atmospheric N deposition, which may affect seedling growth and community development [32]. Although some studies have focused on the effects of environmental changes on D. involucrata populations, including physiological responses [33,34], biological conservation [35,36] and distribution forecasting [37], there are fewer studies estimating the responses of plant functional traits to N deposition. Therefore, a clear understanding of the effects of N deposition on the functional traits of D. involucrata is necessary to reveal its adaptation strategy and facilitate conservation efforts for this rare and endangered species.
Here, we conducted a pot experiment using D. involucrata saplings and various N application treatments to investigate the effects of N addition on 13 leaf and 11 root functional traits. We aimed to determine how N application affects these traits and their inherent linkages. We hypothesized that medium N application would improve the adaptation traits of leaves and roots by providing a moderate increase in soil available N. This study fills a gap in our understanding of the response of D. involucrata to increasing N deposition in its natural habitats and provides valuable insights for the scientific conservation of this rare and endangered species.
2. Materials and Methods
2.1. Pot Experiment
The pot experiment was conducted at China West Normal University, Sichuan Province, China (103°3′ E, 30°48′ N, altitude 276 m) from early March to late July in 2021 using 2-year-old D. involucrata saplings obtained from Shifang Nursery, Mianyang, Sichuan Province. The average height and basal diameter of the saplings were 50.53 cm and 8.86 mm, respectively. Each sapling was planted separately in a plastic pot with a diameter of 25 cm and a depth of 35 cm. The soil substrates used for the pot experiment were obtained by sieving topsoil (0–30 cm) from an area of broadleaved forest in Shifang Forest Farm, Mianyang, Sichuan Province, which is within the natural distribution range of D. involucrata. The soil substrate used in this study was classified as brown earth, and the initial organic C content, total N content, total P content, bulk density, and pH were 90.3 g kg−1, 3.6 g kg−1 and 0.4 g kg−1, 0.8 g cm−3, and 6.5. Weeds in the pots were removed manually if they germinated.
2.2. N Application
After a one-month acclimation period, N application treatments were initiated. The N doses were based on the background level of regional N deposition (approximately 10~15 g N m−2 year−1) [3] and N application treatments were added as 200 mL liquid urea (CO(NH2)2, dissolved in tap water) with concentrations of 0.075, 0.150, and 0.225 g (200 mL)−1, respectively, applied once every two weeks. The low (LN), medium (MN), and high N treatments (HN) received a total of 5, 10, and 15 g N m−2, respectively. The control treatments (CK) were given 200 mL of tap water at each application time. The N application lasted from mid-April (17 April) to early July (10 July). We performed a total of seven N applications throughout the experimental period. There were ten repeated pots for each N application treatment, resulting in a total of forty pots for this experiment distributed randomly in ten plots. To ensure uniform solar radiation exposure, we rotated the pots every five days. The distance between pots within the same N treatment was 50 cm and between the adjacent plots was 80 cm. In addition, during the experiment period, we watered all pots with tap water to maintain a relative stable soil water content of 70% of the field water holding capacity by measuring the soil volumetric water content of each pot using time-domain reflectometry (TDR) probes with Mini Trase (6050X 3KI, Soil Moisture Equipment Corp., Goleta, CA, USA) every three days. Throughout the experiment, we did not observe any significant disease or pest problems affecting the growth of the D. involucrata saplings, and the survival rates of the D. involucrata saplings were unaffected by the N application treatments.
2.3. Plant Sampling and Measurements
Two weeks after the last N application (25 July), we randomly selected five plants from each N treatment and chose fully expanded third leaves (from the top). Firstly, we measured the leaf thickness (LT) of each leaf with a vernier caliper by measuring three points around the main vein in the center of the leaf. Then, we used a leaf area meter (YMJ-B, Zhejiang Top Cloud-Agri Technology Co., Ltd., Hangzhou, Zhejiang, China) to measure the scanning leaf traits, such as leaf length (LL), leaf width (LW), and leaf area. The leaf volume was approximatively calculated by multiplying the leaf area by LT. Finally, we oven-dried the scanned leaves at 65 °C until they reached a constant weight and measured their dry weight. The specific leaf area (SLA) (cm2 g−1) was calculated as the ratio of leaf area to leaf dry weight, and the leaf tissue density (LTD) (mg mm−3) was calculated as the ratio of leaf dry weight to leaf volume.
Due to the limited root branching of D. involucrata saplings, we sampled the entire new-growing root system as a whole to analyze root functional traits. After leaf sampling, we carefully excavated and collected one intact root network from each selected pot. The root network samplings were then washed with running water to remove any remaining soil. The morphological traits of the roots, including root diameter (RD), length, volume and root surface area, were scanned and determined using WinRHIZO Version 2005c (Regent Instrument Inc., Nepean, ON, Canada). After scanning, the root network samplings were oven-dried at 65 °C to a constant weight to measure the dry weight. The specific root surface area (SRA) (cm2 g−1) was estimated as the ratio of root surface area to root dry weight. The specific root length (SRL) (cm g−1) was estimated as the ratio of root length to root dry weight. The root tissue density (RTD) (g cm−3) was estimated as the ratio of root dry weight to root volume.
It is common practice to harvest the remaining plant samples after the main samples have been collected to ensure sufficient materials for chemical analysis. In this study, the remaining leaf and root samples of each selected pot were harvested and oven-dried at 65 °C to calculate the leaf and root biomass. The scanned leaf and root samples were also incorporated into the leaf and root biomass, respectively. Then, the dried samples were homogenized using a mill, ground, and sieved through a 0.2 mm mesh. The C and N contents of the leaves and roots were determined using a C/N elemental analyzer (Multi-N/C 2100, Analytik Jena AG, Jena, Germany). The P contents of the leaves and roots were determined colorimetrically using the molybdate blue method after digestion in 5 mL H2SO4 with a catalyst (H2O2). The details of the measured traits can be found in Table 1.
Table 1.
The leaf and root morphological and chemical traits and their abbreviations.
2.4. Statistical Analysis
One-way ANOVA in conjunction with a least significant difference (LSD) test was used to examine the effects of N application on the leaf and root functional traits of D. involucrata saplings. Before ANOVA analysis, all data were examined for normality and homogeneous variance via a Kolmogorov–Smirnov test and a Leven test, respectively. The data were log-transformed to meet the assumptions of normality and homogeneity of variances when necessary. Pearson’s correlation analysis was used to examine the relationships between leaf and root functional traits under various N applications. In addition, principal component analysis (PCA) with all variables was used to evaluate the dose effect of N application on leaf and root functional traits by employing Canoco 5.0 (Microcomputer Power, Ithaca, NY, USA). We also examined the N treatment effects on the PC1 and PC2 extracted from PCA by One-way ANOVA. We performed all the statistical analyses using SPSS software (Version 20.0 for Windows, IBM, Armonk, NY, USA), and the threshold for determining significance was set at p < 0.05.
3. Results
3.1. Effects of N Application on Leaf Functional Traits
N application had a significant effect on leaf morphology (Figure 1). When compared to the control treatment, LL significantly increased by 19.4%–64.1% with increasing N doses (p < 0.05, Figure 1a). In the MN and HN treatments, LW significantly increased by 59.0% and 50.1%, respectively, and LT significantly increased by 16.9% and 30.5%, respectively, compared to the control treatment (p < 0.05, Figure 1b,c). Across all N application treatments, LL:LW and LTD significantly increased by 32.6%−43.9% and 17.5%–18.6%, respectively (p < 0.05, Figure 1d,f), while SLA significantly decreased by 19.2%–27.0%, (p < 0.05, Figure 1e), compared with the control treatment.
Figure 1.
Effects of N application on leaf morphological traits of D. involucrata saplings. (a) LL: leaf length; (b) LW: leaf width; (c) LT: leaf thickness; (d) LL:LW: ratio of leaf length:leaf width; (e) SLA: specific leaf area; (f) LTD: leaf tissue density. CK: control, 0 g N m−2; LN: low N application, 5 g N m−2; MN: medium N application, 10 g N m−2; HN: high N application, 15 g N m−2. Different lowercase letters indicate the significant differences between the different N application treatments (p < 0.05). Values are presented as means ± SD (n = 5).
The application of N did not have an obvious dose effect on leaf chemical traits (Figure 2). However, compared to the control treatment, the leaf C and P contents in the N application treatments showed significant increases ranging from 23.0% to 25.4% and 7.3% to 22.9%, respectively (p < 0.05, Figure 2a,c). Meanwhile, the leaf N content significantly decreased by 27.8% to 32.0% (p < 0.05, Figure 2b). Compared to the control treatment, the leaf C:N in the N application treatments significantly increased by 72.8%–79.9% (p < 0.05, Figure 2d), but leaf N:P significantly decreased by 33.1%–43.8% (p < 0.05, Figure 2f). In the LN and MN treatments, the leaf C:P significantly increased by 14.9% and 16.0% (p < 0.05, Figure 2e). Notably, N application also resulted in a significant increase in leaf biomass by 32.4% to 93.3% with increasing N doses (p < 0.05, Figure 3a).
Figure 2.
Effects of N application on leaf chemical traits of D. involucrata saplings. (a) Leaf C content; (b) leaf N content; (c) leaf P content; (d) leaf C:N; (e) leaf C:P; (f) leaf N:P. CK: control, 0 g N m−2; LN: low N application, 5 g N m−2; MN: medium N application, 10 g N m−2; HN: high N application, 15 g N m−2. Different lowercase letters indicate the significant differences between the different N application treatments (p < 0.05). Values are presented as means ± SD (n = 5).
Figure 3.
Effects of N application on leaf (a) and root (b) biomass and biomass ratio of root:leaf (c) of D. involucrata saplings. CK: control, 0 g N m−2; LN: low N application, 5 g N m−2; MN: medium N application, 10 g N m−2; HN: high N application, 15 g N m−2. Different lowercase letters indicate the significant differences between the different N application treatments (p < 0.05). Values are the means ± SD (n = 5).
3.2. Effects of N Application on Root Functional Traits
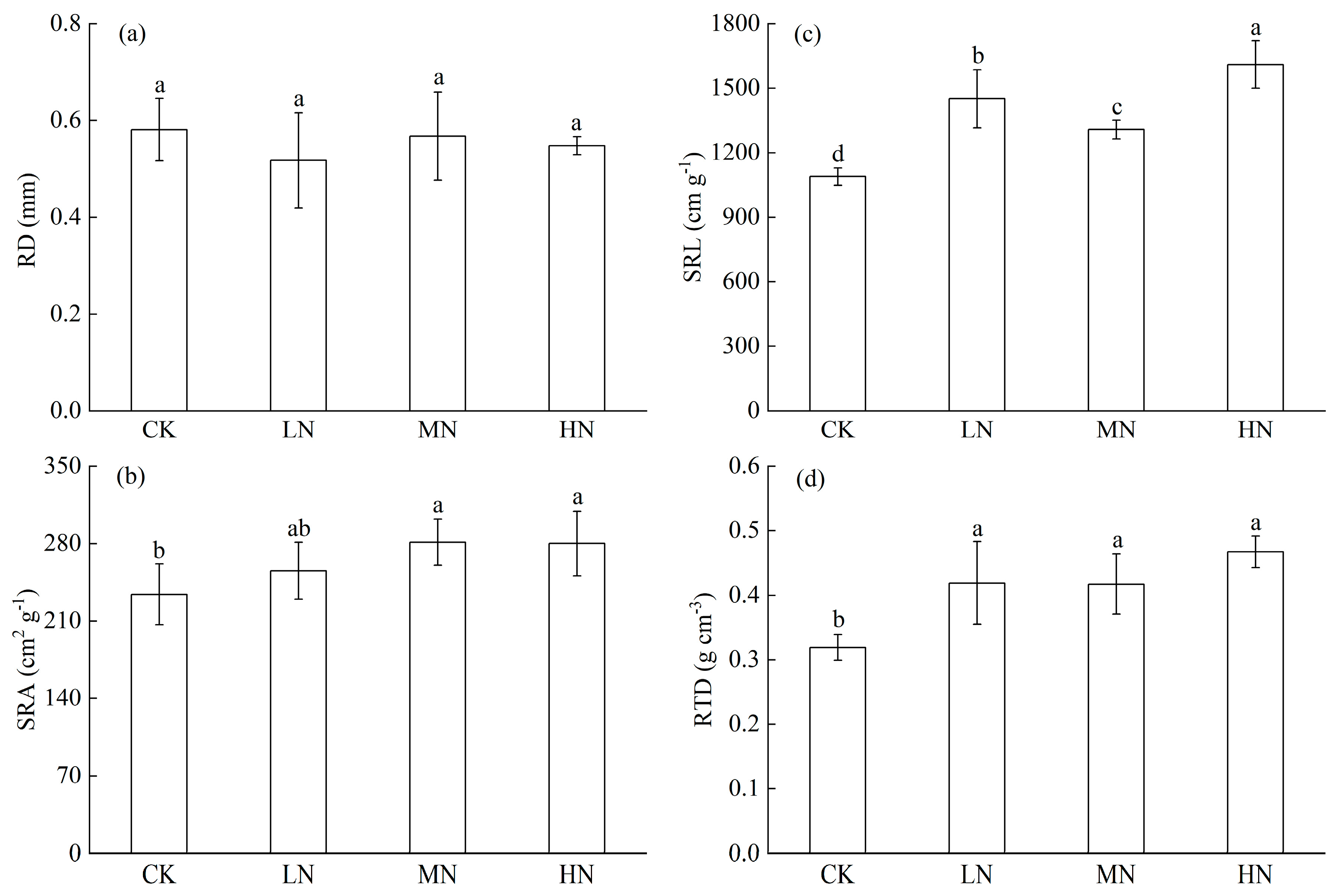
N application did not significantly alter RD (p > 0.05, Figure 4a) while significantly increasing SRA, SRL, and RTD compared to the control treatment. At increasing N doses, SRA, SRL, and RTD significantly increased by 9.2%–20.1%, 20.2%–47.9% and 30.8%–46.4%, respectively (p < 0.05, Figure 4b–d).
Figure 4.
Effects of N application on root morphological traits of D. involucrata saplings. (a) RD: root diameter; (b) SRA: specific root surface area; (c) SRL: specific root length; (d) RTD: root tissue density. CK: control, 0 g N m−2; LN: low N application, 5 g N m−2; MN: medium N application, 10 g N m−2; HN: high N application, 15 g N m−2. Different lowercase letters indicate significant differences between the different N application treatments (p < 0.05). Values are the means ± SD (n = 5).
Compared to the control treatment, N application had a significant effect on root chemical traits (Figure 5). The root C and P contents significantly decreased by 15.3%–47.6% and 11.4%–22.5%, respectively, with increasing N doses (p < 0.05, Figure 5a,c). However, the root N content significantly increased by 13.8% and 9.1% in the MN and HN treatments, respectively (p < 0.05, Figure 5b). The root C:N significantly decreased by 10.8%−52.0% with increasing N doses (p < 0.05, Figure 5d). Additionally, in the MN and HN treatments, the root C:P significantly decreased by 11.6% and 40.5%, respectively (p < 0.05, Figure 5e), while the root N:P significantly increased by 46.9% and 26.3%, respectively (p < 0.05, Figure 5f). Moreover, the N application caused a significant decrease in root biomass and the root:leaf biomass ratio by 21.5%–24.5% and 39.7%–60.3%, respectively, when compared to the control treatment (p < 0.05, Figure 3b,c).
Figure 5.
Effects of N application on root chemical traits of D. involucrata saplings. (a) Root C content; (b) root N content; (c) root P content; (d) root C:N; (e) root C:P; (f) root N:P. CK: control, 0 g N m−2; LN: low N application, 5 g N m−2; MN: medium N application, 10 g N m−2; HN: high N application, 15 g N m−2. Different lowercase letters indicate the significant differences between the different N application treatments (p < 0.05). Values are the means ± SD (n = 5).
3.3. Dose Effect of N Application on Leaf and Root Functional Traits
A principal component analysis revealed that the two first principal components (PC1 and PC2) accounted for 57.3% and 13.7% of the total variances in leaf and root functional traits, respectively (Figure 6), while significant differences in leaf and root functional traits were observed between the control treatment and the N application treatments, especially for MN and HN treatments (p < 0.001) (Figure 6, Table S2). Moreover, PC1 was significantly influenced by leaf and root C:N, C and N content, leaf N:P, leaf and root biomass, biomass ratio of leaf:root, LW, LT, SLA, LTD, SRL, SRA, and RTD (Table S1). PC2 was significantly influenced by leaf and root C:P and P content, root N:P, LL and LL:LW (Table S1). Although N application had significant effects on both PC1 and PC2 (p < 0.001) (Table S2), no dose effect of nitrogen was examined among the LN, MN, and HN treatments (Figure 6).
Figure 6.
Score plot of principal component analysis for the effects of N application on leaf and root functional traits of D. involucrata saplings. CK: control, 0 g N m−2; LN: low N application, 5 g N m−2; MN: medium N application, 10 g N m−2; HN: high N application, 15 g N m−2. LL: leaf length; LW, leaf width; LT: leaf thickness; LL:LW: ratio of leaf length:leaf width; SLA: specific leaf area; LTD: leaf tissue density; RD: root diameter; SRA: specific root surface area; SRL: specific root length; RTD: root tissue density. The blue vectors and fonts refer to leaf functional traits; the red vectors and fonts refer to root functional traits. The arrows represent loadings.
3.4. Correlations between the Leaf and Root Functional Traits
According to Pearson’s correlation analysis (Table 2), no significant correlation was found between RD and any leaf functional trait variables (Table 2). SRL, SRA, and RTD were positively correlated with most leaf photosynthetic traits, such as leaf biomass, LL, LW, LTD, and leaf C and P contents, but negatively correlated with SLA (Table 2). Root biomass and root C-related traits (root C content, C:N, and C:P) were positively correlated with SLA but negatively correlated with some leaf photosynthetic traits (leaf C and P contents and LW) (Table 2). Root N-related traits (root N content and N:P) were positively correlated with leaf biomass but negatively correlated with SLA (Table 2). Meanwhile, root P content showed negative relationships with leaf biomass and leaf C-related traits (leaf C content, C:N and C:P) but positive correlations with SLA and leaf N-related traits (leaf N content and N:P) (Table 2).
Table 2.
Pearson’s correlation coefficients for the relationships between the leaf and root functional traits.
4. Discussion
4.1. Leaf Functional Traits Affected by N Application
Compared to the other plant organs, leaves with relatively larger contact area with surroundings are extremely sensitive to environmental changes. We found that N application has positive effects on the LL and LW of D. involucrata saplings, especially in the MN and HN treatments (Figure 1a,b). The increases in LL and LW contributed to larger leaf area, which allowed for more efficient resource captured by the leaves [38]. Similar results were also found by other N addition studies [39]. These changes resulted in increasing LL:LW in all N application treatments (Figure 1d), which effectively avoided mutual shading among leaves and enabled plants to better utilize the limited spatial resources.
SLA represents the light-capturing ability of leaves, which consists of two mutually exclusive components: the LT and LTD [40]. Our findings reveal that N application inequality increased the LT (higher) and LTD (lower) of D. involucrata saplings (Figure 1c,f). As a result, the SLA significantly decreased under N application treatments (Figure 1e), which indicated that N application promotes the accumulation of photosynthates in leaves, thus enhancing the relative growth rate of leaves. This could partially explain the significant increases in leaf biomass under N application treatments (Figure 3a). The increase in LT and decrease in SLA indicates that the leaves of D. involucrata saplings show a resource-conservative strategy for leaves in response to N application [10]. However, previous studies have reported some contrary results: that the effects of N application on SLA and corresponding parameters depend on plant species and soil moisture [18,41]. For example, N addition significantly increased SLA and leaf dry matter content (which is algebraically equivalent to LTD), while LT did not change in a grassland ecosystem [9]. Yu et al. [42] also reported that N addition increased LT (p < 0.05) and SLA (p > 0.05) when affected by soil drought. In our study, the soil water content was maintained at a relatively stable level, the growth of potted D. involucrata saplings was not limited by soil moisture, and the variations in soil moisture did not restrict the potential positive effects of N application on LT and LTD. These findings suggest that D. involucrata saplings tend to decrease SLA in response to N application through allometric increases in LT and LTD [43].
Previous studies have indicated that soil N availability typically increases leaf N content following N addition [44,45], which is contrary with our results. The inconsistency in response might be attributed to different forms of N supply [46]. Those studies utilized inorganic N forms, such as NO3−-N and NH4+-N, rather than urea, which is another organic N form commonly used in N fertilizer experiments [47] and in our current pot experiment. A meta-analysis also showed that the effects of ammonium nitrate (NH4NO3) fertilization on the leaf traits of woody species were larger than urea fertilization [45]. Our results imply that the leaf N content of D. involucrata saplings is not sensitive or even negatively responsive to urea application, indicating that urea application may restrict leaf N metabolism in pot conditions [48]. The increased leaf C content may be attributed to stimulated leaf photosynthetic rates [49], as indicated by the significant increases in LL, LW (Figure 1a,b), and accumulated leaf biomass (Figure 3a) under N application. In addition, N application may increase soil P availability, promoting leaf P absorption and further increasing leaf P content [50]. N application may also increase root phosphatase activity, thereby increasing the absorption and utilization of soil available P [51,52], leading to an increase in leaf P content. This shift in nutrient allocation results in significant changes in corresponding leaf stoichiometry, with no observable dose effect (Figure 2 and Figure 6). We observed a significant decrease in leaf N:P and significant increases in leaf C:N and C:P, with all leaf N:P < 14 (Figure 2d−f). These results further indicate that the supply of urea may strengthen leaf N limitation of D. involucrata saplings, while leaf P metabolism would profit from urea application.
Additionally, as our fertilizer experiment only lasted five months, the results of this short-term N application might differ from those of long-term N fertilization. Long-term N fertilization on common species generally increases leaf N content but decreases leaf P content and leaf N:P, leading to a shift in nutrient limitation from N limitation to P limitation or N and P co-limitation [53,54,55,56]. Therefore, more research is needed to determine leaf nutrient limitation of D. involucrata growth under future N deposition, considering long-term N application and diverse forms of N supply.
4.2. Root Functional Traits Affected by N application
Our results show consistent positive responses of the SRA and SRL of D. involucrata saplings to increasing N supply doses (Figure 4b,c), indicating that N application can increase the physiological activity and nutrient uptake rate of roots by modifying root morphological traits that are associated with nutrient foraging [57,58]. These results suggest that N application increases the absorption and competitive ability of D. involucrata saplings for soil available N and other nutrients. Therefore, D. involucrata is better equipped to grow in the face of future N deposition in its wild distribution ranges. Moreover, the RTD also significantly increased with increasing N doses. An increase in RTD indicates a longer root life span [59], and RTD is inherently linked to SRL [27,60]. The co-variations in RTD and SRL can contribute to enhancing root nutrient acquisition under N application and better adapting to N application [61,62,63]. However, RD was not affected by N application (Figure 4a), as observed in similar studies, suggesting that RD is a relatively conservative and insensitive trait to N application [17,64]. This stable RD will help to maintain a higher absorptive function of the roots while increasing SRL and SRA under N application [65]. Additionally, we found that N application significantly decreased root biomass and the ratio of root to leaf biomass (Figure 3b,c). These results suggest that D. involucrata saplings allocate less biomass to roots and more to leaves under N application conditions (Figure 3), which are in line with a recent global meta-analysis [66]. This response implies that D. involucrata saplings do not need to invest more biomass in roots under N application conditions, and increasing leaf biomass can enhance leaf photosynthetic rates and improve plant adaptation abilities to N application.
In contrast to leaf chemistry, N application tended to increase the root N content (Figure 5b), which can be attributed to N application improving the availability of soil N, which allows for more N absorption and storage in the root tissues [67]. The negative effects of N application on root P content might be due to N application promoting root P absorption, but more P was allocated to aboveground leaves, as indicated by the positive correlations between SRL and SRA and leaf P content (Table 2) [27,68], while the natural soil substrates’ P deficiency was insufficient to balance the increasing P requirements under N application, also leading to the decrease in root P content [34,69]. The decrease in root C content might be closely associated with decreasing root biomass in response to N application (Figure 3a and Figure 5a). The tight correlations between root C content and root biomass under N addition were also detected in other studies [8,70]. Although root N:P is not as accurate as leaf N:P in indicating nutrient limitation, it can also provide indicative information for root nutrient metabolism [71,72]. We found that N application significantly increased root N:P, especially for MN and HN treatments, and the mean values for root N:P in all treatments ranged from 1.60 to 2.35 (Figure 5f), which is far lower than the global root N:P (11.5) [73]. This indicates that the root growth of D. involucrata saplings is still limited by soil available N, and such a N dose (5–15 g N m−2) supply was insufficient to alleviate or relieve root N limitation [27]. Moreover, the increased root N:P suggests that P limitation of the root growth of D. involucrata saplings might occur or even be aggravated under N application [8]. Collectively, based on the responses of root morphology and chemistry, the roots of D. involucrata saplings showed a resource-acquisitive strategy in response to N application.
Overall, our findings do not support the hypothesis that MN application would be more beneficial for the leaf and root adaptation traits of D. involucrata saplings than LN and HN applications. Despite the observed differences in leaf and root functional traits among N applications, we did not detect a clear dose effect of N supply (Figure 6). An N supply of 5~15 g N m−2 may not exceed the N tolerance threshold, indicating that D. involucrata saplings can tolerate this level of N application and can even benefit from it [74]. These results suggest that increased N deposition in the future may stimulate the growth of D. involucrata and facilitate the recovery and expansion of its populations within its natural habitats.
4.3. Correlations between Leaf and Root Functional Traits Affected by N Application
There have been few studies examining the relationship between leaf and root functional traits in response to N application [75]. To date, it remains unclear whether plants adopt similar strategies in their leaves and roots under N deposition [10]. In our study, we found that RD, the only measured root functional trait, was not strongly correlated with any leaf functional trait (Figure 6 and Table 2), further indicating that RD is conservative and insensitive to N application, while SRL, SRA, and RTD were positively correlated with most of the leaf photosynthetic traits, such as leaf biomass, LL, LW, LTD, and leaf C and P contents. This suggests that the leaves and roots of D. involucrata saplings are highly synergistic in resource utilization. However, negative correlations between these root morphological traits and SLA suggest that nutrient acquisition in leaves and roots is relatively independent [75]. Root biomass mainly derives from aboveground leaf photosynthates. Decreased root biomass may be related to a decrease in SLA under N application, which causes a higher allocation proportion of photosynthates to leaves [76]. Thus, there is a positive correlation between root biomass and SLA, but a negative correlation with leaf photosynthetic traits, such as leaf C and P contents, as well as LW (Table 2). Similar correlations were also observed between the root C-related traits (root C content, root C:N and C:P) and leaf photosynthetic traits (Table 2). However, the root N-related traits (root N content and root N:P) were positively correlated with leaf biomass but negatively correlated with SLA (Table 2). This indicates that increased root N content combined with larger SRA and SRL can sustain root nutrient foraging ability and further favor higher leaf photosynthesis, resulting in larger leaf biomass (Figure 3b) and lower SLA (Figure 2e) under N application. Root P content showed negative correlations with leaf biomass and leaf C-related traits (leaf C content, leaf C:N, and C:P), but positive correlations with SLA and leaf N-related traits (leaf N content and leaf N:P) (Table 2). This may be related to the enhanced P limitation of roots under N application. Decreased root P content may restrict leaf biomass and leaf C-related traits, which may be closely related to decreases in SLA and leaf N-related traits. In addition, we found no obvious correlation between the paired leaf and root chemical traits, except for a negative correlation between leaf and root C contents. This suggests that leaf and root chemistry and stoichiometry are not coordinated in response to N application [77].
Numerous studies have shown that changes in soil nutrient availability caused by N deposition are closely related to variations in plant functional traits [27,55]. However, in this study, we did not examine the effects of N application on soil available nutrients during the pot experiment period. As a result, we could not explore the correlations among the leaf and root functional traits of D. involucrata saplings and soil available nutrients. Although we tried to avoid the impacts of changes in soil available nutrients on potted D. involucrata sapling growth by cultivating them using uniform soil substrates collected from a broadleaved forest floor where the wild D. involucrata populations grew, a supplementary understanding of how variations in soil available nutrients affect leaf and root functional traits can help us understand the adaptation strategies of D. involucrata populations and better conserve them under increasing N deposition.
5. Conclusions
N application had a significant impact on the leaf and root functional traits of D. involucrata saplings and their interrelationships, resulting in a resource-conserving strategy for leaves and a nutrient-acquisitive strategy for roots. Specifically, we observed that N application led to a decrease in SLA and an increase in LL, LW, LT, LTD, and leaf biomass, while SRL, SRA, and RTD increased with increasing N doses and were positively correlated with most of the leaf photosynthetic traits, except RD, which had a more conservative response to N application. However, leaf and root chemical traits had contrasting responses to N application, which suggests that the doses of N applied (5~15 g N m−2) could not alleviate or relieve N limitation, but instead worsened P limitation of D. involucrata sapling growth. These results indicate that future N deposition could promote the growth of D. involucrata saplings to some extent, while additional practices such as simultaneous P fertilizer application would be helpful for better conservation of D. involucrata and facilitating population recovery in its wild distribution ranges.
Supplementary Materials
The following supporting information can be downloaded at: https://www.mdpi.com/article/10.3390/f14081668/s1, Table S1. The results of the loadings for each response variables for PCA analysis. Table S2. The results of One-way ANOVA for the effects of N application on PC1 and PC2.
Author Contributions
Conceptualization, Z.M. and W.X.; methodology, Z.M., W.X., Y.C. and M.L.; software, J.W. and Z.M.; validation, M.L. and Y.C.; formal analysis, Z.M. and J.W.; investigation, M.L. and Z.M.; resources, J.W.; data curation, Z.M., M.L. and J.W.; writing—original draft preparation, M.L., J.W., W.X., Y.C. and Z.M.; writing—review and editing, M.L., J.W., W.X., Y.C. and Z.M.; visualization, M.L. and J.W.; supervision, Y.C.; project administration, M.L. and Z.M.; funding acquisition, Z.M., W.X. and M.L. All authors have read and agreed to the published version of the manuscript.
Funding
This work was supported by the Open Project from the Ecological Security and Protection Key Laboratory of Sichuan Province (ESP1905, ESP1904), the Basic Scientific Research Foundation of China West Normal University (19B036), the Scientific research initiation project of Mianyang Normal University (QD2021A37), the Foundation of Key Laboratory of Southwest China Wildlife Resources Conservation (Ministry of Education) (XNYB22−05), and the Natural Science Foundation of Sichuan, China (2023NSFSC0140).
Institutional Review Board Statement
Not applicable.
Informed Consent Statement
Not applicable.
Data Availability Statement
The data presented in this study are available on request from the corresponding authors.
Acknowledgments
We would like to express our gratitude to Yuna Jia and Shuangyan Lu for their assistance with the field sampling and laboratory experiments.
Conflicts of Interest
The authors declare that they have no competing interests.
References
- Harpole, W.S.; Ngai, J.T.; Cleland, E.E.; Seabloom, E.W.; Borer, E.T.; Bracken, M.E.; Elser, J.J.; Gruner, D.S.; Hillebrand, H.; Shurin, J.B.; et al. Nutrient co-limitation of primary producer communities. Ecol. Lett. 2011, 14, 852–862. [Google Scholar] [CrossRef] [PubMed]
- Du, E.; de Vries, W.; Han, W.; Liu, X.; Yan, Z.; Jiang, Y. Imbalanced phosphorus and nitrogen deposition in China’s forests. Atmos. Chem. Phys. 2016, 16, 8571–8579. [Google Scholar] [CrossRef]
- Zhu, J.; Wang, Q.; He, N.; Smith, M.D.; Elser, J.J.; Du, J.; Yuan, G.; Yu, G.; Yu, Q. Imbalanced atmospheric nitrogen and phosphorus depositions in China: Implications for nutrient limitation. JGR Biogeosci. 2016, 121, 1605–1616. [Google Scholar] [CrossRef]
- de la Riva, E.G.; Tosto, A.; Pérez-Ramos, I.M.; Navarro-Fernández, C.M.; Olmo, M.; Anten, N.P.R.; Marañón, T.; Villar, R. A plant economics spectrum in Mediterranean forests along environmental gradients: Is there coordination among leaf, stem and root traits? J. Veg. Sci. 2016, 27, 187–199. [Google Scholar] [CrossRef]
- Lin, G.; Zeng, D.; Mao, R. Traits and their plasticity determine responses of plant performance and community functional property to nitrogen enrichment in a boreal peatland. Plant Soil 2020, 449, 151–167. [Google Scholar] [CrossRef]
- Qiao, J.; Zuo, X.; Yue, P.; Wang, S.; Hu, Y.; Guo, X.; Li, X.; Lv, P.; Guo, A.; Sun, S. High nitrogen addition induces functional trait divergence of plant community in a temperate desert steppe. Plant Soil 2023, 187, 133–156. [Google Scholar] [CrossRef]
- Dalke, I.V.; Novakovskiy, A.B.; Maslova, S.P.; Dubrovskiy, Y.A. Morphological and functional traits of herbaceous plants with different functional types in the European Northeast. Plant Ecol. 2018, 219, 1295–1305. [Google Scholar] [CrossRef]
- Zhao, X.; Tian, Q.; Huang, L.; Lin, Q.; Wu, J.; Liu, F. Fine-root functional trait response to nitrogen deposition across forest ecosystems: A meta-analysis. Sci. Total Environ. 2022, 844, 157111. [Google Scholar] [CrossRef]
- Tatarko, A.R.; Knops, J.M.H. Nitrogen addition and ecosystem functioning: Both species abundances and traits alter community structure and function. Ecosphere 2018, 9, e02087. [Google Scholar] [CrossRef]
- Wang, S.; Wang, W.; Wang, S.; Yang, L.; Gu, J. Intraspecific variations of anatomical, morphological and chemical traits in leaves and absorptive roots along climate and soil gradients: A case study with Ginkgo biloba and Eucommia ulmoides. Plant Soil 2021, 469, 73–88. [Google Scholar] [CrossRef]
- Zheng, Z.; Bai, W.; Zhang, W. Root trait-mediated belowground competition and community composition of a temperate steppe under nitrogen enrichment. Plant Soil 2019, 437, 341–354. [Google Scholar] [CrossRef]
- Zhang, X.; Xing, Y.; Wang, Q.; Yan, G.; Wang, M.; Liu, G.; Wang, H.; Huang, B.; Zhang, J. Effects of long-term nitrogen addition and decreased precipitation on the fine root morphology and anatomy of the main tree species in a temperate forest. For. Ecol. Manag. 2020, 455, 117664. [Google Scholar] [CrossRef]
- Gao, W.; Chen, D.; Hu, X.; Fang, X.; Li, Q.; Huang, Q.; Sun, F.; Zhou, J.; Bai, Y.; Zhang, J.; et al. Nitrogen deposition drives the intricate changes of fine root traits. Glob. Ecol. Conserv. 2023, 43, e02443. [Google Scholar] [CrossRef]
- Wang, W.; Wang, Y.; Hoch, G.; Wang, Z.; Gu, J. Linkage of root morphology to anatomy with increasing nitrogen availability in six temperate tree species. Plant Soil 2018, 425, 189–200. [Google Scholar] [CrossRef]
- Noguchi, K.; Nagakura, J.; Kaneko, S. Biomass and morphology of fine roots of sugi (Cryptomeria japonica) after 3 years of nitrogen fertilization. Front. Plant Sci. 2013, 4, 347. [Google Scholar] [CrossRef]
- Zinnen, J.; Charles, B.; Zaya, D.N.; Matthews, J.W. Functional traits and responses to nutrient and mycorrhizal addition are inconsistently related to wetland plant species’ coefficients of conservatism. Wetl. Ecol. Manag. 2022, 30, 513–526. [Google Scholar] [CrossRef]
- Zou, Y.; Li, B.; Peñuelas, J.; Sardans, J.; Yu, H.; Chen, X.; Deng, X.; Cheng, D.; Zhong, Q. Response of functional traits in Machilus pauhoi to nitrogen addition is influenced by differences of provenances. For. Ecol. Manag. 2022, 513, 120207. [Google Scholar] [CrossRef]
- Ye, X.; Bu, W.; Hu, X.; Liu, B.; Liang, K.; Chen, F. Species divergence in seedling leaf traits and tree growth response to nitrogen and phosphorus additions in an evergreen broadleaved forest of subtropical China. J. For. Res. 2023, 34, 137–150. [Google Scholar] [CrossRef]
- Li, Z.; Qiu, X.; Sun, Y.; Liu, S.; Hu, H.; Xie, J.; Chen, G.; Xiao, Y.; Tang, Y.; Tu, L. C:N:P stoichiometry responses to 10 years of nitrogen addition differ across soil components and plant organs in a subtropical Pleioblastus amarus forest. Sci. Total Environ. 2021, 796, 148925. [Google Scholar] [CrossRef]
- Sardans, J.; Grau, O.; Chen, H.Y.H.; Janssens, I.A.; Ciais, P.; Piao, S.; Peñuelas, J. Changes in nutrient concentrations of leaves and roots in response to global change factors. Glob. Chang. Biol. 2017, 23, 3849–3856. [Google Scholar] [CrossRef]
- Song, Z.; Hou, J. Provenance differences in functional traits and N:P stoichiometry of the leaves and roots of Pinus tabulaeformis seedlings under N addition. Glob. Ecol. Conserv. 2020, 21, e00826. [Google Scholar] [CrossRef]
- Sardans, J.; Alonso, R.; Janssens, I.A.; Carnicer, J.; Vereseglou, S.; Rillig, M.C.; Fernández-Martínez, M.; Sanders, T.G.M.; Peñuelas, J. Foliar and soil concentrations and stoichiometry of nitrogen and phosphorous across European Pinus sylvestris forests: Relationships with climate, N deposition and tree growth. Funct. Ecol. 2015, 30, 676–689. [Google Scholar] [CrossRef]
- You, C.; Wu, F.; Yang, W.; Xu, Z.; Tan, B.; Yue, K.; Ni, X. Nutrient-limited conditions determine the responses of foliar nitrogen and phosphorus stoichiometry to nitrogen addition: A global meta-analysis. Environ. Pollut. 2018, 241, 740–749. [Google Scholar] [CrossRef] [PubMed]
- Zhou, X.; Guo, Z.; Zhang, P.; Du, G. Shift in community functional composition following nitrogen fertilization in an alpine meadow through intraspecific trait variation and community composition change. Plant Soil 2018, 431, 289–302. [Google Scholar] [CrossRef]
- Zhang, P.; Yin, M.; Zhang, X.; Wang, Q.; Wang, R.; Yin, H. Differential aboveground-belowground adaptive strategies to alleviate N addition-induced P deficiency in two alpine coniferous forests. Sci. Total Environ. 2022, 849, 157906. [Google Scholar] [CrossRef]
- Zheng, L.; Zhao, Q.; Yu, Z.; Zhao, S.; Zeng, D. Altered leaf functional traits by nitrogen addition in a nutrient-poor pine plantation: A consequence of decreased phosphorus availability. Sci. Rep. 2017, 7, 7415. [Google Scholar] [CrossRef]
- Zhu, H.; Zhao, J.; Gong, L. The morphological and chemical properties of fine roots respond to nitrogen addition in a temperate Schrenk’s spruce (Picea schrenkiana) forest. Sci. Rep. 2021, 11, 3839. [Google Scholar] [CrossRef] [PubMed]
- Chen, Y.; Su, Z. Research on the protection of Davidia involucrata populations, a rare and endangered plant endemic to China. Acta Ecol. Sin. 2011, 31, 5466–5474. [Google Scholar]
- Wu, G.; Han, S.; Wang, H.; Luo, Y.; Deng, H.; Zhao, J. Living characteristics of rare and endangered species—Davidia involucrata. J. For. Res. 2004, 15, 39–44. [Google Scholar]
- Tong, X.; Wang, K.; Yu, Y.; Brandt, M.; Liu, B.; Zhang, C.; Liao, C.; Fensholt, R. Quantifying the effectiveness of ecological restoration projects on long-term vegetation dynamics in the karst regions of Southwest China. Int. J. Appl. Earth Obs. 2017, 54, 105–113. [Google Scholar] [CrossRef]
- Xiao, K.; He, T.; Chen, H.; Peng, W.; Song, T.; Wang, K.; Li, D. Impacts of vegetation restoration strategies on soil organic carbon and nitrogen dynamics in a karst area, southwest China. Ecol. Eng. 2017, 101, 247–254. [Google Scholar] [CrossRef]
- Tang, C.; Dong, Y.; Herrando-Moraira, S.; Matsui, T.; Ohashi, H.; He, L.; Nakao, K.; Tanaka, N.; Tomita, M.; Li, X.; et al. Potential effects of climate change on geographic distribution of the Tertiary relict tree species Davidia involucrata in China. Sci. Rep. 2017, 7, 43822. [Google Scholar] [CrossRef] [PubMed]
- He, G.; Zhang, Z.; Zhang, J.; Huang, X. Stoichiometric characteristics of nutrients in a soil-vegetation system of the rare plant Davidia involucrata Baill. Glob. Ecol. Conserv. 2020, 24, e01266. [Google Scholar] [CrossRef]
- Li, Y.; Zhang, L.; Su, Z. Responses to UV-B exposure by saplings of the relict species Davidia involucrata Ball are modified by soil nitrogen availability. Pol. J. Ecol. 2014, 62, 101–110. [Google Scholar]
- Long, T.; Tang, J.; Pilfold, N.W.; Zhao, X.; Dong, T. Predicting range shifts of Davidia involucrata Ball. under future climate change. Ecol. Evol. 2021, 11, 12779–12789. [Google Scholar] [CrossRef]
- Tang, J.; Zhao, X. Forecasting the combined effects of future climate and land use change on the suitable habitat of Davidia involucrata Baill. Ecol. Evol. 2022, 12, e9023. [Google Scholar] [CrossRef]
- Ye, P.; Zhang, G.; Zhao, X.; Chen, H.; Si, Q.; Wu, J. Potential geographical distribution and environmental explanations of rare and endangered plant species through combined modeling: A case study of Northwest Yunnan, China. Ecol. Evol. 2021, 11, 13052–13067. [Google Scholar] [CrossRef]
- Sturchio, M.A.; Chieppa, J.; Simpson, L.T.; Feller, I.C.; Chapman, S.K.; Aspinwall, M.J. Contrasting effects of nitrogen addition on leaf photosynthesis and respiration in black mangrove in north Florida. Estuar. Coast 2023, 46, 182–197. [Google Scholar] [CrossRef]
- Yang, Q.; Chen, Z.; Zhou, J.; Lai, S.; Jian, C.; Wang, Z.; Xu, B. Responses of leaf functional traits of dominant plant species in grassland communities to nitrogen and phosphorus addition in loess hilly-gully region. Chin. J. Appl. Ecol. 2019, 11, 3697–3706. [Google Scholar]
- Williams, G.M.; Nelson, A.S. Spatial variation in specific leaf area and horizontal distribution of leaf area in juvenile western larch (Larix occidentalis Nutt.). Trees 2018, 2, 1621–1631. [Google Scholar] [CrossRef]
- Scalon, M.C.; Haridasan, M.; Franco, A.C. Influence of long-term nutrient manipulation on specific leaf area and leaf nutrient concentrations in savanna woody species of contrasting leaf phenologies. Plant Soil 2017, 421, 233–244. [Google Scholar] [CrossRef]
- Yu, H.; Cheng, D.; Li, B.; Xu, C.; Zhang, Z.; Zhong, Y.; Zhong, Q. Short-term nitrogen addition does not significantly alter the effects of seasonal drought on leaf functional traits in Machilus pauhoi Kanehira seedlings. Forests 2019, 10, 78. [Google Scholar] [CrossRef]
- Feng, Y.; Fu, G.; Zheng, Y. Specific leaf area relates to the differences in leaf construction cost, photosynthesis, nitrogen allocation, and use efficiencies between invasive and noninvasive alien congeners. Planta 2008, 228, 383–390. [Google Scholar] [CrossRef] [PubMed]
- Poorter, H.; Niinemets, U.; Poorter, L.; Wright, I.J.; Villar, R. Causes and consequences of variation in leaf mass per area (LMA): A meta-analysis. New Phytol. 2009, 182, 565–588. [Google Scholar] [CrossRef]
- Zhang, H.; Li, W.; Adams, H.D.; Wang, A.; Wu, J.; Jin, C.; Guan, D.; Yuan, F. Responses of woody plant functional traits to nitrogen addition: A meta-analysis of leaf economics, gas exchange, and hydraulic traits. Front. Plant Sci. 2018, 9, 683. [Google Scholar] [CrossRef]
- Sharifi-Rad, J.; Mohsenzadeh, S.; Kavoosi, G.; Iriti, M.; Sharifi-Rad, R. Exogenous ammonium nitrate and urea effects as sources of nitrogen on nitrate assimilation, photosynthetic pigments and biochemical characteristics in Zea mays L. IJST-T A Sci. 2017, 41, 95–101. [Google Scholar] [CrossRef][Green Version]
- Nautiyal, P.; Yamuna, L.; Singh Raghav, C. Liquid urea: A fertilizer for 21st century. Food Sci. Rep. 2023, 4, 33–35. [Google Scholar]
- Sun, M.; Li, S.; Yu, H.; Gong, Q.; Zhang, B.; Liu, G.; Xiao, Y.; Peng, F. Effects of valine and urea on carbon and nitrogen accumulation and lignin content in Peach trees. Plants 2023, 12, 1596. [Google Scholar] [CrossRef]
- Liang, X.; Zhang, T.; Lu, X.; Ellsworth, D.S.; Bassirirad, H.; You, C.; Wang, D.; He, P.; Deng, Q.; Liu, H.; et al. Global response patterns of plant photosynthesis to nitrogen addition: A meta-analysis. Glob. Chang. Biol. 2020, 26, 3585–3600. [Google Scholar] [CrossRef]
- Xiao, J.; Dong, S.; Shen, H.; Li, S.; Wessell, K.; Liu, S.; Li, W.; Zhi, Y.; Mu, Z.; Li, H. N addition overwhelmed the effects of P addition on the soil C, N, and P cycling genes in alpine meadow of the Qinghai-Tibetan Plateau. Front. Plant Sci. 2022, 13, 860590. [Google Scholar] [CrossRef]
- Fujita, Y.; Robroek, B.J.M.; De Ruiter, P.C.; Heil, G.W.; Wassen, M.J. Increased N affects P uptake of eight grassland species: The role of root surface phosphatase activity. Oikos 2010, 119, 1665–1673. [Google Scholar] [CrossRef]
- Marklein, A.R.; Houlton, B.Z. Nitrogen inputs accelerate phosphorus cycling rates across a wide variety of terrestrial ecosystems. New Phytol. 2012, 193, 696–704. [Google Scholar] [CrossRef] [PubMed]
- Tian, D.; Reich, P.B.; Chen, H.Y.H.; Xiang, Y.; Luo, Y.; Shen, Y.; Meng, C.; Han, W.; Niu, S. Global changes alter plant multi-element stoichiometric coupling. New Phytol. 2019, 221, 807–817. [Google Scholar] [CrossRef] [PubMed]
- Wen, J.; Ji, H.; Sun, N.; Tao, H.; Du, B.; Hui, D.; Liu, C. Imbalanced plant stoichiometry at contrasting geologic-derived phosphorus sites in subtropics: The role of microelements and plant functional group. Plant Soil 2018, 430, 113–125. [Google Scholar] [CrossRef]
- Xu, L.; Xing, A.; Du, E.; Shen, H.; Yan, Z.; Jiang, L.; Tian, D.; Hu, H.; Fang, J. Effects of nitrogen addition on leaf nutrient stoichiometry in an old-growth boreal forest. Ecosphere 2021, 12, e03335. [Google Scholar] [CrossRef]
- Zhan, S.; Wang, Y.; Zhu, Z.; Li, W.; Bai, Y. Nitrogen enrichment alters plant N: P stoichiometry and intensifies phosphorus limitation in a steppe ecosystem. Environ. Exp. Bot. 2017, 134, 21–32. [Google Scholar] [CrossRef]
- Hong, J.; Ma, X.; Yan, Y.; Zhang, X.; Wang, X. Which root traits determine nitrogen uptake by alpine plant species on the Tibetan Plateau? Plant Soil 2018, 424, 63–72. [Google Scholar] [CrossRef]
- Shan, S.; Devens, H.; Fahey, T.J.; Yanai, R.D.; Fisk, M.C. Fine root growth increases in response to nitrogen addition in phosphorus-limited northern hardwood forests. Ecosystems 2022, 25, 1589–1600. [Google Scholar] [CrossRef]
- Hummel, I.; Vile, D.; Violle, C.; Devaux, J.; Ricci, B.; Blanchard, A.; Garnier, É.; Roumet, C. Relating root structure and anatomy to whole-plant functioning in 14 herbaceous Mediterranean species. New Phytol. 2007, 173, 313–321. [Google Scholar] [CrossRef]
- Ostonen, I.; Puttsepp, U.; Biel, C.; Alberton, O.; Bakker, M.R.; Lõhmus, K.; Majdi, H.; Metcalfe, D.; Olsthoorn, A.F.M.; Pronk, A.; et al. Specific root length as an indicator of environmental change. Plant Biosyst. 2007, 141, 426–442. [Google Scholar] [CrossRef]
- Li, W.; Shi, Y.; Zhu, D.; Wang, W.; Liu, H.; Li, J.; Shi, N.; Ma, L.; Fu, S. Fine root biomass and morphology in a temperate forest are influenced more by the nitrogen treatment approach than the rate. Ecol. Indic. 2021, 130, 108031. [Google Scholar] [CrossRef]
- Liao, Y.; Fan, H.; Wei, X.; Wang, H.; Shen, F.; Hu, L.; Li, Y.; Fang, H.; Huang, R. Shifting of the first-order root foraging strategies of Chinese fir (Cunninghamia lanceolata) under varied environmental conditions. Trees 2023, 37, 921–932. [Google Scholar] [CrossRef]
- Yan, X.; Jia, L.; Dai, T. Fine root morphology and growth in response to nitrogen addition through drip fertigation in a Populus × euramericana “Guariento” plantation over multiple years. Ann. For. Sci. 2019, 76, 13. [Google Scholar] [CrossRef]
- Wurzburger, N.; Wright, S.J. Fine-root responses to fertilization reveal multiple nutrient limitation in a lowland tropical forest. Ecology 2015, 96, 2137–2146. [Google Scholar] [CrossRef] [PubMed]
- Sun, Y.; Gu, J.C.; Zhuang, H.; Wang, Z. Effects of ectomycorrhizal colonization and nitrogen fertilization on morphology of root tips in a Larix gmelinii plantation in northeastern China. Ecol. Res. 2010, 25, 295–302. [Google Scholar] [CrossRef]
- Feng, H.; Guo, J.; Peng, C.; Kneeshaw, D.; Roberge, G.; Pan, C.; Ma, X.; Zhou, D.; Wang, W. Nitrogen addition promotes terrestrial plants to allocate more biomass to aboveground organs: A global meta-analysis. Glob. Chang. Biol. 2023, 29, 3970–3989. [Google Scholar] [CrossRef]
- Hyvönen, R.; Persson, T.; Andersson, S.; Olsson, B.; Ågren, G.I.; Linder, S. Impact of long-term nitrogen addition on carbon stocks in trees and soils in northern Europe. Biogeochemistry 2008, 89, 121–137. [Google Scholar] [CrossRef]
- Freschet, G.T.; Roumet, C.; Comas, L.H.; Weemstra, M.; Bengough, A.G.; Rewald, B.; Bardgett, R.D.; De Deyn, G.B.; Johnson, D.; Klimešová, J.; et al. Root traits as drivers of plant and ecosystem functioning: Current understanding, pitfalls and future research needs. New Phytol. 2021, 232, 1123–1158. [Google Scholar] [CrossRef]
- Li, Y.; Niu, S.; Yu, G. Aggravated phosphorus limitation on biomass production under increasing nitrogen loading: A meta-analysis. Glob. Chang. Biol. 2016, 22, 934–943. [Google Scholar] [CrossRef]
- Li, W.; Jin, C.; Guan, D.; Wang, Q.; Wang, A.; Yuan, F.; Wu, J. The effects of simulated nitrogen deposition on plant root traits: A meta-analysis. Soil Biol. Biochem. 2015, 82, 112–118. [Google Scholar] [CrossRef]
- Güsewell, S. N:P ratios in terrestrial plants: Variation and functional significance. New Phytol. 2004, 164, 243–266. [Google Scholar] [CrossRef] [PubMed]
- Kou, L.; Wang, H.; Gao, W.; Chen, W.; Yang, H.; Li, S. Nitrogen addition regulates tradeoff between root capture and foliar resorption of nitrogen and phosphorus in a subtropical pine plantation. Trees 2017, 31, 77–91. [Google Scholar] [CrossRef]
- Wang, Z.; Yu, K.; Lv, S.; Niklas, K.J.; Mipam, T.D.; Crowther, T.W.; Umaña, M.N.; Zhao, Q.; Huang, H.; Reich, P.B. The scaling of fine root nitrogen versus phosphorus in terrestrial plants: A global synthesis. Funct. Ecol. 2019, 33, 2081–2094. [Google Scholar] [CrossRef]
- Zhao, Y.; Zhang, L.; Chen, Y.; Liu, X.; Xu, W.; Pan, Y.; Duan, L. Atmospheric nitrogen deposition to China: A model analysis on nitrogen budget and critical load exceedance. Atmos. Environ. 2017, 153, 32–40. [Google Scholar] [CrossRef]
- Zhan, S.; Zheng, S.; Wang, Y.; Bai, Y. Response and correlation of above- and below-ground functional traits of Leymus chinensis to nitrogen and phosphorus additions. Chin. J. Plant Ecol. 2016, 40, 36–47. [Google Scholar]
- Li, X.; Zhang, C.; Zhang, B.; Wu, D.; Shi, Y.; Zhang, W.; Ye, Q.; Yan, J.; Fu, J.; Fang, C.; et al. Canopy and understory nitrogen addition have different effects on fine root dynamics in a temperate forest: Implications for soil carbon storage. New Phytol. 2021, 231, 1377–1386. [Google Scholar] [CrossRef]
- Cai, J.; Weiner, J.; Luo, W.; Feng, X.; Yang, G.; Lu, J.; Lü, X.; Li, M.; Jiang, Y.; Han, X. Functional structure mediates the responses of productivity to addition of three nitrogen compounds in a meadow steppe. Oecologia 2023, 201, 575–584. [Google Scholar] [CrossRef]
Disclaimer/Publisher’s Note: The statements, opinions and data contained in all publications are solely those of the individual author(s) and contributor(s) and not of MDPI and/or the editor(s). MDPI and/or the editor(s) disclaim responsibility for any injury to people or property resulting from any ideas, methods, instructions or products referred to in the content. |
© 2023 by the authors. Licensee MDPI, Basel, Switzerland. This article is an open access article distributed under the terms and conditions of the Creative Commons Attribution (CC BY) license (https://creativecommons.org/licenses/by/4.0/).





