Abstract
In the Eastern Baltics, climatic changes are expected to alter forest composition favouring broadleaved species. The height growth of trees influences the productivity of stands and the competitiveness of species, particularly in mixed sites, thus emphasising the necessity for accurate projections. Accordingly, height models are paramount for projecting productivity and yields of stands. As tree height growth dynamics vary regionally, regional or even local models are needed. Based upon 214 National Forest Inventory plots and 510 individual canopy trees, dominant height growth for small-leaved lime (Tilia cordata Mill.) and Norway maple (Acer platanoides L.) in Latvia were analysed. Height growth was modelled using a generalised algebraic difference approach, testing several non-linear equations. The Sloboda (for lime) and Hossfeld I (for maple) models showed the best fit and were the most realistic, predicting slower initial and middle-age (maturing period) growth, yet also displayed higher asymptotes compared to Western Europe. The predicted height at the age of 80 years was 14–33 m and 13–34 m for lime and maple, accordingly. A longer establishment period and later growth culmination suggest longer rotation, highlighting the assessment of long-term risks. In this case, supplementation of the models with climatic effects appears advantageous.
1. Introduction
The accelerating environmental changes are challenging the adaptability of forests and diverging and diversifying growth and productivity patterns at regional and local levels [1,2]. In this regard, mixed forests in Northern Europe, especially those with broadleaves, appear superior to monospecific stands due to risk diversification, diversity and complementarity of structural elements, while contributing to close-to-nature forest management and sustainably [3,4]. Deciduous and broadleaved species are projected and are already entering conifer-dominated stands in the hemiboreal forest zone [5,6,7]. However, the species with a high economic importance (e.g., European beech Fagus sylvatica L. and Quercus spp.) are potentially vulnerable to the adverse effects of climate change [8]. Accordingly, the commercial potential of the indigenous currently non-commercial species, which are less sensitive to disturbances and their legacy effects, such as Acer and Tilia appears to increase [9,10]. Still, the applicability of their wood is specific compared to, e.g., beech, due to their properties (density, tensile strength, hardiness and elasticity) [11,12].
Norway maple (Acer platanoides L.) is the most widespread native maple in Central and Northern Europe [11] and in Latvia occupies < 1% of the total forest area; however, it is often an admixture species in eutrophic medium fresh sites which account for ca. 20% of the forest area [13]. The small-leaved lime (Tilia cordata Mill.) is the most common lime species in Europe [12]; however, in Latvia, its stands occupy < 1% of the total forest area. Nevertheless, it is also a common admixture species on mesotrophic fresh sites [14]. The standing volume of both species, though, comprises approximately 0.5% of the total [9]. During the last decades, Norway maple has been preferred for forest regeneration in dry sites in Central Europe due to higher drought tolerance compared to sycamore maple (A. pseudoplatanus L.) and European beech [15,16,17], soil erosion mitigation [18] and fast growth [11]. Due to warming, Norway maple is spreading into extensively managed broadleaved and coniferous forests, particularly in disturbed and peri-urban pine stands [19]. The abundance of small-leaved lime mostly increases in rich, mixed stands of high water supply variations due to drought, as well as short-term flooding tolerance in sites with varying moisture regime [10].
Both species can tolerate a broad range of site conditions, including temperature, moisture availability and soil types [11,12,20]. However, both species are thermophilic, being limited by low temperature [11,12] but are likely to become suited to more northerly regions and higher elevations than they are at present [21]. Small-leaved lime and Norway maple both together or separately are often present in sites where other native tree species (e.g., Ulmus, Fraxinus) have declined [22,23]. Lime is known to successfully compete with oaks in moist sites [12]. Both lime and maple can be valuable in a changing climate for their broad ecological amplitude, as well as the numerous silvicultural benefits that they provide in mixed stands [21,24]. Based on the predicted climate-driven changes in the composition of forest stands, the assessment of the productivity based on height growth as a proxy for Norway maple and small-leaved lime is advantageous for adaptive management in the Eastern Baltic region. Height growth is also a proxy for the competitiveness of genotypes, indicative of their sustainability in a mixed stand [25].
Considering climatic and local ecological conditions, height growth patterns can vary regionally [26,27]. Using one model (one site productivity indices) for all regions in Poland showed biased estimates [27]; therefore, a regional approach is preferred. The generalised algebraic difference approach (GADA) [28] is advised for the mixed-effects modelling to develop height growth/site index models with high accuracy [29]. This approach allows more than one model parameter to be site-specific, and models can therefore be polymorphic with multiple asymptotes [30,31,32]. For calibration of GADA models, both short-time series data with no common base age of the age–height series (National Forest Inventory (NFI), permanent sample plot data) [33,34] and long-time series data with common base-age series [35] can be used. The Chapman–Richards, Sloboda and Hossfeld base models have been commonly used for modelling tree height growth in Northern Europe [27,36].
Our study aimed to develop height growth models for A. platanoides and T. cordata according to the growth conditions in Latvia using the data from the NFI and to compare the height growth pattern of both species with relevant growth curves from other regions in Europe.
2. Material and Methods
2.1. Study Area and Measurements
For the development of height growth models, data from the National Forest Inventory (NFI) 2004–2021 were used. The dataset represented three five-year census cycles. The NFI permanent sample grids were systematically located in a 4 × 4 km grid across Latvia [37]. In each grid, four circular 250 m2 plots were established and re-measured (height of each tree and age) every fifth year. Tree height was measured using a Vertex clinometer (Haglöf Sweden AB, Långsele, Sweden) with an accuracy of 0.1 m, but, for age determination, increment cores from two to three dominant trees at a height of 1.3 were sampled with a Pressler increment corer. In this study, only the plots with forestry land-use type and Norway maple or small-leaved lime as the canopy species were selected. The selected 214 plots (86 for lime and 145 for maple; both species can coexist in one plot) were equally distributed across Latvia (Figure 1). The average stand age estimates of the maple and lime were 39 (from 4 to 120) and 47.5 years (from 3 to 103), respectively (Table 1). The selected stands generally represented mesotrophic and oligotrophic stands on freely draining mineral soils; some stands (<10%) grew on drained peat or oligotrophic mineral soils.
Figure 1.
Location of the studied sites used for the development of height growth models for Norway maple and small-leaved lime in Latvia. Circles denote sites of Norway maple; triangles denote sites of small-leaved lime.
Table 1.
The basic characteristics of small-leaved lime and Norway maple datasets used for the calibration and cross-validation of height growth models in Latvia based on the National Forest Inventory.
The climatic conditions of the studied area can be described as moist continental [38], though with explicit coastal features due to the proximity of the Baltic Sea. According to the Latvian Environment, Geology and Meteorology Centre data, the mean annual temperature ranged from 5.7 °C in the more continental eastern part to 7.5–7.9 °C in the coastal areas. The mean monthly temperature ranged from −3.1 °C in February to 17.8 °C in July. The mean annual precipitation in Latvia was 685 mm, the highest monthly precipitation fell during the vegetation period (May–September; ca. 75 mm/month), yet April is the driest month (36 mm).
2.2. Model Fitting
Data on living trees (according to the latest survey) without top damages with a height of 70–130% of the mean canopy height were used in the analysis. In total, data on 510 individual canopy trees, each re-measured one to three times (mostly once), were used, resulting in 377 and 400 height measurement pairs for lime and maple, respectively. For calibration, 277 and 300 measurement pairs were randomly selected for lime and maple, respectively (Table 1). For each species, 100 randomly selected re-measurement data pairs were used for the cross-validation of the approximated models. To develop the height growth model, the most common growth functions (base models, cf. [39] transformed according to the generalised algebraic difference approach (GADA) were used, thus making them independent of the base age [28]. In total, six different GADA models based on Chapman–Richards, Hossfeld, Hossfeld I, Hossfeld IV, Sloboda and Strand base models, which have been successfully used for national forest inventory datasets within the region [27,36], were tested (Table 2).
A nonlinear fixed-effects approach (e.g., neglecting spatial and temporal issues) was applied for modelling, as it was considered more adaptable, flexible and accurate than the mixed-effects approaches (similar to [27,40,41]. The short time-series of tree heights were reorganised to height difference for each observation period, where H1 was the height at age A1, and H2 was the height at age A2 (in metres and years, respectively). The models were developed for dominant heights above 1.3 m. The mean age, when the studied trees had reached the breast height, was assumed to be three years, irrespective of species.
The modelled height growth curves were visually compared with the trajectories of the observed heights, thus evaluating the biological realism. The base age of 100 years, which is common for growth models in the Eastern Baltic region, was used for the construction of the estimated height growth curves. The model residuals were checked for compliance with statistical assumptions by the diagnostic plots. A visual assessment of the models’ behaviour outside the range of the modelled values was carried out as well. As fit statistics, mean residual (MR), coefficient of determination (adj. R2), root-mean-square error (RMSE) and the Akaike information criterion (AIC) were used. The estimated models were graphically compared to the yield tables from Lithuania [42], Germany [43] and Poland [44] for small-leaved lime and from Romania [45] for Norway maple. Data analysis was performed in R v. 4.2.2 [46].
Table 2.
The generalised algebraic difference approach (GADA) models tested in height growth model development for small-leaved lime and Norway maple.
Table 2.
The generalised algebraic difference approach (GADA) models tested in height growth model development for small-leaved lime and Norway maple.
| Base Model | Generalised Algebraic Difference Approach Model | |
|---|---|---|
| Chapman–Richards: | with and | [47] |
| Hossfeld | [30] | |
| Hossfeld I | [34] | |
| Hossfeld IV | [47] | |
| Sloboda | [48] | |
| Strand | [34] |
a1, a2, a3 and a4 are parameters in base models; b1, b2 and b3 are parameters in dynamic models; H1 and H2 are heights (in m) at breast high age A1 and A2 (in years), respectively.
3. Results
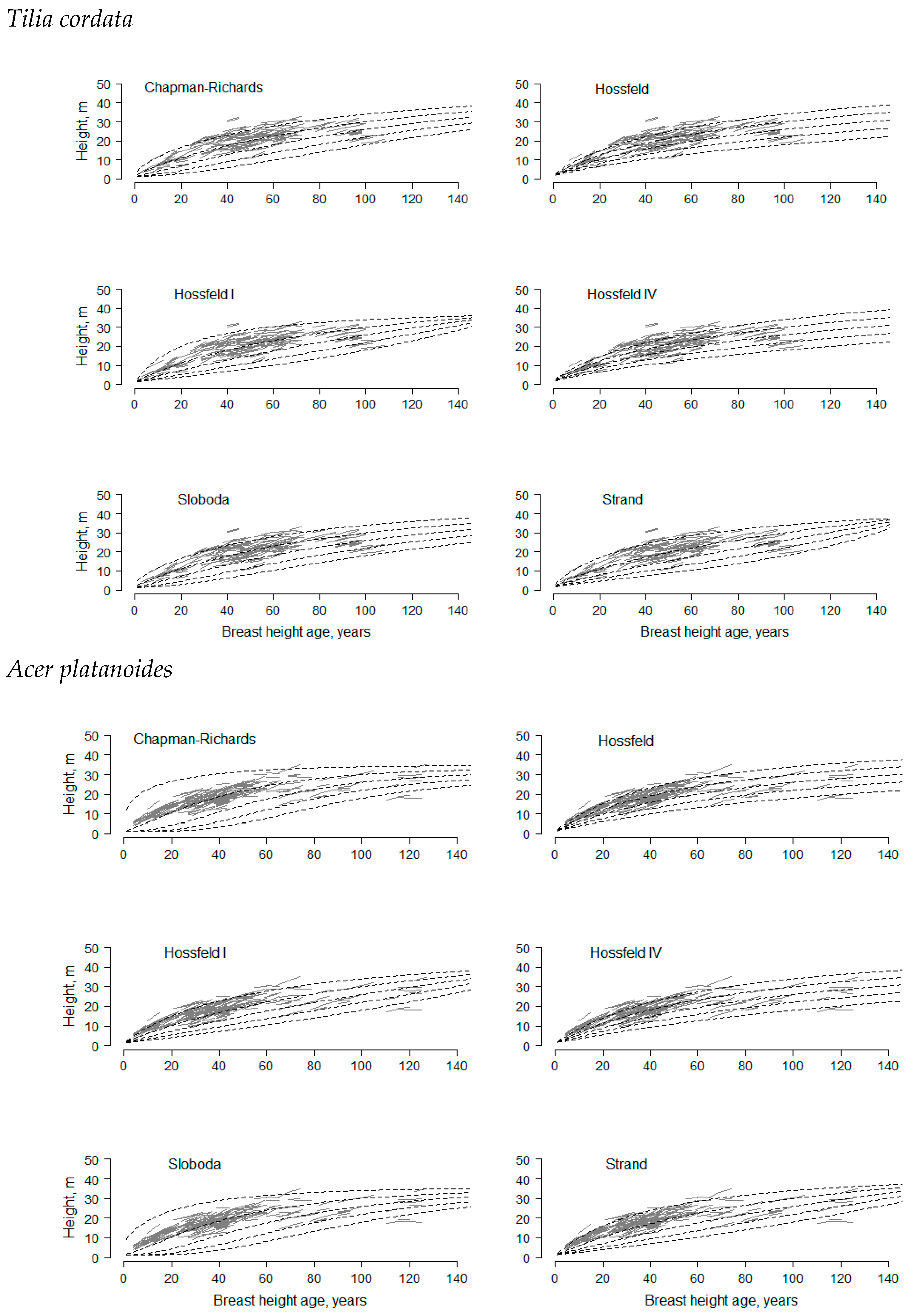
All of the six tested models (Table 2) converged and showed realistic fit with the NFI height data (Figure 2). The developed height growth models showed good fit statistics with only slight differences between them for small-leaved lime, as well as for Norway maple, for which the fit statistics ranged somewhat wider (Table 3). Model residuals complied with the statistical assumptions (Supplementary Material, Figures S1 and S2). All models explained more than 98% and 97% of the total variance in the fitting phase for maple and lime, respectively (Table 3). For lime, Chapman–Richards and Sloboda showed the best fit as, for both of them, the errors were similar (MR ≤ 0.01 m and RMSE = 0.84), but, according to the AIC, the Sloboda model appeared better. During the cross-validation, Sloboda and Chapman–Richards models showed the lowest bias as well. For maple, the fit statistics showed the smallest errors for the Chapman–Richards and Sloboda models (MR = 0.01 m and RMSE = 0.94), and they showed the best AIC as well. However, during the cross-validation, both models showed relatively larger errors (MR = 0.10 m and RMSE = 1.04), but the lowest bias was estimated for the Hossfeld I model.
Figure 2.
The dominant height models (black dashed lines) fitted to the observed data of 510 trees (grey lines, each line represents a single tree) for small-leaved lime and Norway maple; the model predictions are for 4 m site index intervals for the range 18–34 m at the base age of 100 years, which is common for hardwoods in the Eastern Baltic region.
Table 3.
Models fit statistics and cross-validation: mean residual (MR), root-mean-square error (RMSE), adjusted R2 value and Akaike information criterion (AIC) for height growth model development of small-leaved lime and Norway maple in Latvia.
The predicted growth curves (Figure 2) showed good conformance with the biological realism principle. For lime, the Sloboda and Chapman–Richards models showed the most realistic dynamics, as their curves followed the measured trajectories of top growth following the measured time-series throughout the reference period (Figure 2). The curves of the Sloboda model showed better agreement with the dataset for the highest site indices (Figure 2). Both these models predicted slow height growth of the lower site indices in the initial stage of the stand (first 20 years) and steady gradual growth thereafter, reaching site indices ≤ 32 m in 100 years. However, the Hossfeld and Hossfeld IV models indicated optimistic (with little dispersion) height growth of the lower site indices in the initial stage (first 20 years). The Hossfeld I and Strand models apparently overestimated the height increment for the lower site indices after 100 years for lime, while the Strand model predicted rapid initial growth.
For Norway maple, the Hossfeld I model appeared to be the most realistic, as the modelled curves followed and encompassed most of the measured time series throughout the reference period (Figure 2). However, the Strand model predicted a similar scenario, although the curves for the top site indices appeared excessively optimistic. Similarly, to lime, Chapman–Richards and Sloboda models for maple predicted slow height growth in the initial stage of the stand (first 20 years), showing pessimistic tendencies regarding the lower site indices, which obviously contradicted the observations. All four models mentioned, however, showed optimistic height growth for the lowest site indices when age exceeded 80 years. However, the Hossfeld and Hossfeld IV models indicated the opposite, as all site indices were estimated with intermediate height growth (without slow or fast-growing trees) from the initial stage of the stand, yet the increment of the top site indices reduced after the age of 80 years.
The estimated height growth models showed overall weak conformity with predictions for other Baltic countries and Central Europe (Figure 3), indicating local specifics in growth dynamics. Generally, models estimated for countries within the same regions, however, predicted faster early growth and culmination while the growth curves in Latvia were flatter. These differences, however, were not explicitly distance-related. The estimated models showed the highest conformity of the growth of lime with the growth dynamics for Poland (cf. [44]), as the bias was the smallest, and the conformity was good for trees <20 and >80 years old. The conformity of the estimated model with the height growth model (yield tables) from Lithuania (cf. [42]) was weak for all site indexes especially at tree age 20–80 years (Figure 3). Still, the Lithuanian and Polish models showed underestimation at younger age (<100 years) and small overestimation at the older age (Figure 3). For these models, the bias was stronger for the lower site indices, whereas the German model indicated the opposite. Stronger bias for the younger trees (ca. <50 years old) and higher site indices was observed with the German model (cf. [43]). Regarding maple, the conformity of the estimated models with the growth curves for Romania and Denmark was poor, supporting regional growth differences; generally, maple in Latvia was estimated with slower growth during the maturing period (30–50 years, Figure 3). Still, high similarity was evidenced with predictions for Northern Germany, particularly for the highest site indices (cf. [49]; Figure 3).
Figure 3.
The differences between small-leaved lime and maple dominant height predicted by the best-developed Sloboda and Hossfeld I models of Latvia and yield tables for small-leaved lime of Lithuania [42], Germany [43] and Poland [44] in addition to Norway maple of Romania [45], Sycamore of Denmark [50] and Germany [49] according to stand age and site index.
4. Discussion
The estimated height models aided clarification of the regional gaps in height growth dynamics of the north-spreading nemoral species. The fit statistic (RMSE, adj. R2, AIC in Table 3) and range of estimated parameters (Table 4) of the developed height growth models for lime and maple in Latvia were comparable with those for similar estimates [29,34]. The fit statistics, cross-validation (Table 3) and biological realism (Figure 2) indicated the Sloboda and Chapman–Richards models as the best for estimating the height of lime in Latvia. However, the Sloboda model apparently better corresponded to species characteristics, particularly the rapid height growth when young (15–25 years), which slows afterwards [20]. Although the curves of Chapman–Richards and Strand models for the highest site indices corresponded to fast-starter ecology and were comparable to European models [42,43,44], both models apparently exaggerated the dynamics for the top site index, adding to the uncertainty of prediction. The slow initial growth estimated for the lower site indices visible in Chapman–Richards, Sloboda and Strand models can, however, be explained by shade tolerance [51]. Also, this might be an artefact of competition for the lime growing in the understory of mixed stands [20]. The developed dominant height models showed rather poor conformity with others [42,43,44], indicating explicit bias. Marginal conformity was only with the highest site index trees from the Polish model. This confirms the importance of regional models for the accuracy of height growth prediction [27]. The estimated higher-age acceleration of height growth for the lower site indices (Figure 2) might be related to the ameliorating effects of climatic changes and eutrophication/nitrogen deposition, particularly in poor sites [52]. Such differences might also be related to an unbalanced coverage of data as well as different behaviours of the models (polymorphic with various or partially various asymptotes; [30]). Alternatively, this might be an artefact due to the underrepresentation of the data.
Table 4.
Parameter estimates (b1, b2, b3) of the fitted dynamic height growth models of small-leaved lime and Norway maple in Latvia.
The weak verification of the models with the best-fit statistic (Chapman–Richards and Sloboda models) means that the estimated height growth probabilities did not correspond to naturally occurring growth patterns (Table 3). Both models showed obviously poor height growth prognosis for trees from the best site index in the first 60–70 years of growth (Figure 2). The lower height growth curves of both models showed slow growth until the age of 40 years that were not supported by the data and are opposite to that of the fast-growing species characteristics [11] and the early growth culmination observed in Europe [45,50]. The late culmination of growth predicted for the highest site indices were also observable in the Strand model, indicating that longer time appeared necessary for establishment. The Hossfeld and Hossfeld IV models indicated rapid growth for low site indices trees when young (to 25 years) that generally are substantiated by the dataset, but in considering that maple is a highly shade tolerant [53], and therefore it may have stunted initial growth, such a growth pattern of all trees appears questionable. Even though the bias is minor, it might have large consequences if the height growth of mixed young stands is simulated and other species lose in competition with maple [36]. The Hossfeld I model appeared the most realistic and validated well, and though it had ≤ 0.99 m error, it can be recommended as the best model for the height growth of maple in Latvia. Differences in the precision of the parameter estimates of assessed models (Table 4) were likely caused by the limited dataset [34]. The average age of stands of maple was 39 years and datasets has relatively few trees over 80 years; therefore, the optimistic projections after the age of 80 predictions of four models (except Hossfeld and Hossfeld IV) could be possible bias. Similar to small-leaved lime, maple had slow growth at the initial and maturing phase (Figure 3) likely due to under harsher climatic conditions in Latvia compared to Western Europe. Accordingly, a longer time was necessary to establish (similar to European beech, [54]) causing growth curve to be flatter. The stronger coincidence with higher site indices, especially from Northern Germany, however, is difficult to explain.
The initial and middle-age height growth of lime and maple from Latvia was slower than in Western Europe, implying longer rotation. Height models are very successfully used to describe tree growth in forestry [39], and the estimated models indicated high forestry potential for both assessed species in Latvia. High regional differences due to slower establishment and later growth culmination in Latvia compared to European models [20,45] could more likely be explained by climate and local site indices. Differences in height growth between northern and southern regions have been noted before [20,52]. The age dependent conformity of the model, however, indicated improving growing conditions for both species in Latvia, which could be related to climate change when the current climate is comparable to that in Europe [21]. The main shortcoming of the GADA approach is the lack of climatic data which could improve the suitability of the models for regions with different climates [55]. Hence, incorporation of the climatic effects in the equations might increase their scalability [56]. Also, the models can be biased for the growth dynamics of individual trees in more complex stands (increased competition between trees) [36]. Unfortunately, models integrating quantitative climatic measures in their influencing factors are not available for these species and ought to be included in future studies. Furthermore, the genetic diversity of populations can have a large effect on the height growth [57]. High genetic diversity of lime populations [14] and a moderate genetic diversity of maple populations [13] have been reported in Latvia. Still there is a lack of studies regarding genetic effects in height growth of maple and lime [20], suggesting necessity for future investigation.
5. Conclusions
The height models for small-leaved lime and Norway maple indicated the moderate commercial potential of the species in Latvia. The poor conformity of the developed with other European dominant height models, though, indicated regionally specific height growth of lime and maple. As both species could be approbated for wider application in commercial forestry within northern Europe, the estimated models are able to provide a census of growth potential in Latvia and potentially in the Baltics. Though the climatic component(s), which also contribute to the site index, should be incorporated into the models for more accurate predictions under rapidly changing environments. Supplementation of the models with climatic effects might also improve the scalability of the projections.
Supplementary Materials
The following supporting information can be downloaded at: https://www.mdpi.com/article/10.3390/f15010007/s1, Figure S1: The residuals of the calibration height growth models of small-leaved lime according to age classes. Age classes are divided by 10 years. H—tree height; Figure S2: The residuals of the calibration height growth models of Norway maple according to age classes. Age classes are divided by 10 years. H—tree height.
Author Contributions
Conceptualization, I.M. and Ā.J.; methodology, G.Š. and Ā.J.; software, G.Š. and I.M.; validation, G.Š., I.M. and Ā.J.; formal analysis, G.Š. and I.M.; investigation, R.R.-R. and D.K.; resources, Ā.J.; data curation, G.Š., I.M., R.R.-R., D.K. and S.H.; writing—original draft preparation, I.M.; writing—review and editing, I.M. and S.H.; visualization, I.M. and G.Š.; supervision, Ā.J.; project administration, Ā.J.; funding acquisition, Ā.J. All authors have read and agreed to the published version of the manuscript.
Funding
This study was supported by the JSC Latvia’s State Forests project “Effect of climate change on forestry and associated risks” No. 5-5.9.1_007p_101_21_78.
Institutional Review Board Statement
Not applicable.
Data Availability Statement
The data presented in this study are available on request from the corresponding author.
Conflicts of Interest
The author declares no conflict of interest.
References
- Huuskonen, S.; Domisch, T.; Finér, L.; Hantula, J.; Hynynen, J.; Matala, J.; Miina, J.; Neuvonen, S.; Nevalainen, S.; Niemistö, P.; et al. What is the potential for replacing monocultures with mixed-species stands to enhance ecosystem services in boreal forests in Fennoscandia? For. Ecol. Manag. 2021, 479, 118558. [Google Scholar] [CrossRef]
- Huuskonen, S.; Lahtinen, T.; Miina, J.; Uotila, K.; Bianchi, S.; Niemistö, P. Growth Dynamics of Young Mixed Norway Spruce and Birch Stands in Finland. Forests 2022, 14, 56. [Google Scholar] [CrossRef]
- Bartels, S.F.; Chen, H.Y. Interactions between overstory and understorey vegetation along an overstorey compositional gradient. J. Veg. Sci. 2013, 24, 543–552. [Google Scholar] [CrossRef]
- Grossiord, C. Having the right neighbors: How tree species diversity modulates drought impacts on forests. New Phytol. 2018, 228, 42–49. [Google Scholar] [CrossRef] [PubMed]
- Buras, A.; Menzel, A. Projecting tree species composition changes of European forests for 2061–2090 under RCP 4.5 and RCP 8.5 scenarios. Front. Plant Sci. 2019, 9, 1986. [Google Scholar] [CrossRef] [PubMed]
- Götmark, F.; Fridman, J.; Kempe, G.; Norden, B. Broadleaved tree species in conifer-dominated forestry: Regeneration and limitation of saplings in southern Sweden. For. Ecol. Manag. 2005, 214, 142–157. [Google Scholar] [CrossRef]
- Laiviņš, M.; Čekstere, G.; Kaupe, D. Nemoralisation of Pinus sylvestris and Picea abies forest stands in the hemi-boreal zone: A case study from Latvia. Proc. Latv. Acad. Sci. 2021, 75, 299–309. [Google Scholar] [CrossRef]
- Fyllas, N.M.; Koufaki, T.; Sazeides, C.I.; Spyroglou, G.; Theodorou, K. Potential impacts of climate change on the habitat suitability of the dominant tree species in Greece. Plants 2022, 11, 1616. [Google Scholar] [CrossRef]
- Daugaviete, M.; Lazdina, D.; Celma, S.; Daugavietis, U. Characteristic growing parameters of small-leaved lime and Norway maple stands in the climatic conditions of Latvia. Acta Biol. Univ. Daugav. 2019, 19, 115–128. [Google Scholar]
- Radoglou, K.; Dobrowolska, D.; Spyroglou, G.; Nicolescu, V.N. A review on the ecology and silviculture of limes (Tilia cordata Mill., Tilia platyphyllos Scop. and Tilia tomentosa Moench.) in Europe. Die Bodenkultur 2009, 60, 9–20. [Google Scholar]
- Caudullo, G.; de Rigo, D. Acer platanoides in Europe: Distribution, habitat, usage and threats. In European Atlas of Forest Tree Species; Publications Office of the EU: Luxembourg, 2016; p. e019159. [Google Scholar]
- Eaton, E.; Caudullo, G.; De Rigo, D. Tilia cordata, Tilia platyphyllos and other limes in Europe: Distribution, habitat, usage and threats. In European Atlas of Forest Tree Species; San-Miguel-Ayanz, J., de Rigo, D., Caudullo, G., Houston Durrant, T., Mauri, A., Eds.; Publications Office of the EU: Luxembourg, 2016; pp. 184–185. [Google Scholar]
- Ruņģis, D.E.; Krivmane, B. Assessment of the Structure and Diversity of Latvian Acer platanoides Populations Using Cross-Species Nuclear Microsatellite Markers. Proc. Latv. Acad. Sci. 2021, 75, 254–260. [Google Scholar] [CrossRef]
- Ruņģis, D.E.; Krivmane, B. Genetic diversity and structure of Latvian Tilia cordata populations. Proc. Latv. Acad. Sci. 2021, 75, 261–267. [Google Scholar] [CrossRef]
- Carón, M.M.; De Frenne, P.; Brunet, J.; Chabrerie, O.; Cousins, S.A.O.; De Backer, L.; Decocq, G.; Diekmann, M.; Heinken, T.; Kolb, A.; et al. Interacting effects of warming and drought on regeneration and early growth of Acer pseudoplatanus and A. platanoides. Plant Biol. 2015, 17, 52–62. [Google Scholar] [CrossRef] [PubMed]
- Kunz, J.; Löffler, G.; Bauhus, J. Minor European broadleaved tree species are more drought-tolerant than Fagus sylvatica but not more tolerant than Quercus petraea. For. Ecol. Manag. 2018, 414, 15–27. [Google Scholar] [CrossRef]
- Zimmermann, J.; Hauck, M.; Dulamsuren, C.; Leuschner, C. Climate warming-related growth decline affects Fagus sylvatica, but not other broad-leaved tree species in Central European mixed forests. Ecosystems 2015, 18, 560–572. [Google Scholar] [CrossRef]
- Bosco, C.; de Rigo, D.; Dewitte, O.; Poesen, J.; Panagos, P. Modelling soil erosion at European scale: Towards harmonization and reproducibility. Nat. Hazard. Earth. Sys. 2015, 15, 225–245. [Google Scholar] [CrossRef]
- Hytteborn, H.; Maslov, A.A.; Nazimova, D.I.; Rysin, L.P. Coniferous Forests. In Ecosystems of the World; Andersson, F.A., Ed.; Elsevier: Amsterdam, The Netherlands, 2005; Volume 6, pp. 23–99. [Google Scholar]
- De Jaegere, T.; Hein, S.; Claessens, H. A review of the characteristics of small-leaved lime (Tilia cordata Mill.) and their implications for silviculture in a changing climate. Forests 2016, 7, 56. [Google Scholar] [CrossRef]
- Hemery, G.E.; Clark, J.R.; Aldinger, E.; Claessens, H.; Malvolti, M.E.; O’connor, E.; Raftoyannis, Y.; Savill, P.S.; Brus, R. Growing scattered broadleaved tree species in Europe in a changing climate: A review of risks and opportunities. Forestry 2010, 83, 65–81. [Google Scholar] [CrossRef]
- Lazic, D.; George, J.P.; Rusanen, M.; Ballian, D.; Pfattner, S.; Konrad, H. Population Differentiation in Acer platanoides L. at the Regional Scale—Laying the Basis for Effective Conservation of Its Genetic Resources in Austria. Forests 2022, 13, 552. [Google Scholar] [CrossRef]
- Matisone, I.; Matisons, R.; Jansons, A. The Struggle of Ash—Insights from Long-Term Survey in Latvia. Forests 2021, 12, 340. [Google Scholar] [CrossRef]
- Pigott, D. Lime-trees and Basswoods: A Biological Monograph of the Genus Tilia, 1st ed.; Cambridge University Press: New York, NY, USA, 2012; p. 405. [Google Scholar]
- Mikola, J.; Koikkalainen, K.; Rasehorn, M.; Silfver, T.; Paaso, U.; Rousi, M. Genotypic traits and tradeoffs of fast growth in silver birch, a pioneer tree. Oecologia 2021, 196, 1049–1060. [Google Scholar] [CrossRef] [PubMed]
- Alvarez-González, J.G.; Ruiz-González, A.D.; Rodríguez-Soalleiro, R.; Barrio-Anta, M. Ecorregional site index models for Pinus pinaster in Galicia (northwestern Spain). Ann. For. Sci. 2005, 62, 115–127. [Google Scholar] [CrossRef]
- Socha, J.; Tymińska-Czabańska, L.; Bronisz, K.; Zięba, S.; Hawryło, P. Regional height growth models for Scots pine in Poland. Sci. Rep. 2021, 11, 10330. [Google Scholar] [CrossRef] [PubMed]
- Cieszewski, C.J.; Bailey, R.L. Generalized algebraic difference approach: Theory based derivations with polymorphism and variable asymptotes. For. Sci. 2000, 46, 115–126. [Google Scholar] [CrossRef]
- Hipler, S.M.; Spiecker, H.; Wu, S. Dynamic Top Height Growth Models for Eight Native Tree Species in a Cool-Temperate Region in Northeast China. Forests 2021, 12, 965. [Google Scholar] [CrossRef]
- Cieszewski, C.J. Comparing fixed- and variable-base-age site equations having single versus multiple asymptotes. Forest Sci. 2002, 48, 7–23. [Google Scholar] [CrossRef]
- Cieszewski, C.J. Three methods of deriving advanced dynamic site equations demonstrated on inland Douglas-fir site curves. Can. J. Forest Res. 2001, 31, 165–173. [Google Scholar] [CrossRef]
- Cieszewski, C.J.; Strub, M.; Zasada, M. New dynamic site equation that fits best the Schwappach data for Scots pine (Pinus sylvestris L.) in Central Europe. For. Ecol. Manag. 2007, 243, 83–93. [Google Scholar] [CrossRef]
- Manso, R.; McLean, J.P.; Arcangeli, C.; Matthews, R. Dynamic top height models for several major forest tree species in Great Britain. Forestry 2021, 94, 181–192. [Google Scholar] [CrossRef]
- Sharma, R.P.; Brunner, A.; Eid, T.; Øyen, B.H. Modelling dominant height growth from national forest inventory individual tree data with short time series and large age errors. For. Ecol. Manag. 2011, 262, 2162–2175. [Google Scholar] [CrossRef]
- Ercanli, I.; Kahriman, A.; Yavuz, H. Dynamic base-age invariant site index models based on generalized algebraic difference approach for mixed Scots pine (Pinus sylvestris L.) and Oriental beech (Fagus orientalis Lipsky) stands. Turk. J. Agric. For. 2014, 38, 134–147. [Google Scholar] [CrossRef]
- Sharma, R.P.; Vacek, Z.; Vacek, S.; Jansa, V.; Kučera, M. Modelling individual tree diameter growth for Norway spruce in the Czech Republic using a generalized algebraic difference approach. J. For. Sci. 2017, 63, 227–238. [Google Scholar] [CrossRef]
- LSFRI. Meža Resursu Monitoringa Metodika (Methodology of Monitoring of Forest Resources). 2022. Available online: https://www.silava.lv/images/Petijumi/Nacionalais-meza-monitorings/2022-04-28-MRM-metodika.pdf (accessed on 1 October 2023).
- Kottek, M.; Grieser, J.; Beck, C.; Rudolf, B.; Rubel, F. World map of the Köppen-Geiger climate classification updated. Meteorol. Z. 2006, 15, 259–263. [Google Scholar] [CrossRef] [PubMed]
- Zeide, B. Analysis of growth equations. For. Sci. 1993, 39, 594–616. [Google Scholar] [CrossRef]
- Cieszewski, C.J. Comparing properties of self-referencing models based on nonlinear-fixed-effects versus nonlinear-mixed-effects modeling approaches. Math. Comput. For. Nat.-Resour. Sci. 2018, 10, 46–57. [Google Scholar]
- Nigh, G. Engelmann spruce site index models: A comparison of model functions and parameterisations. PLoS ONE 2015, 10, e0124079. [Google Scholar] [CrossRef] [PubMed]
- Semaškienė, L. Small-Leaved Lime (Tilia cordata Mill.) in Lithuania: Phenotypical Diversity and Productivity of Modal Stands. Ph.D. Thesis, Lithuanian University of Agriculture, Kaunas, Lithuania, 2006. [Google Scholar]
- Böckmann, T. Wachstum und Ertrag der Winterlinde (Tilia cordata Mill.) in Niedersachsen und Nordhessen. Ph.D. Thesis, Universität Göttingen, Göttingen, Germany, 1990. [Google Scholar]
- Socha, J.; Ochał, W.; Grabczyński, S.; Maj, M. Modele bonitacyjne dla gatunków lasotwórczych Polski opracowane na podstawie tablic zasobności. Sylwan 2015, 159, 639–649. [Google Scholar]
- Giurgiu, V.; Drăghiciu, D. Modele Matimatico-Auxologice Şi Tabele De Producţie Pentru Arboreta; Romania Editura Ceres: Bucureşti, Romania, 2004; pp. 537–538. [Google Scholar]
- R Core Team. R: A Language and Environment for Statistical Computing; R Foundation for Statistical Computing: Vienna, Austria, 2022; Available online: https://www.R-project.org/ (accessed on 15 September 2023).
- Krumland, B.; Eng, H. Site index systems for major young-growth forest woodland species in northern California. Calif. For. 2005, 4, 1–220. [Google Scholar]
- Anta, M.B.; Dieguez-Aranda, U. Site quality of pedunculate oak (Quercus robur L.) stands in Galicia (northwest Spain). Eur. J. For. Res. 2005, 124, 19–28. [Google Scholar] [CrossRef]
- Nagel, J. Wachstumsmodell für Bergahorn in Schleswig-Holstein. Ph.D. Thesis, Universität Göttingen, Göttingen, Germany, 1985. [Google Scholar]
- Kjølby, V. Ær: Naturhistorie, tilvækst og hugst, Ær (Acer pseudoplatanus L.); Dansk Skovforening: København, Denmark, 1958; pp. 5–126. [Google Scholar]
- Pigott, C.D. Tilia cordata miller. J. Ecol. 1991, 79, 1147–1207. [Google Scholar] [CrossRef]
- Socha, J.; Solberg, S.; Tymińska-Czabańska, L.; Tompalski, P.; Vallet, P. Height growth rate of Scots pine in Central Europe increased by 29% between 1900 and 2000 due to changes in site productivity. For. Ecol. Manag. 2021, 490, 119102. [Google Scholar] [CrossRef]
- Niinemets, Ü.; Valladares, F. Tolerance to shade, drought and waterlogging of temperate, northern hemisphere trees and shrubs. Ecol. Monogr. 2006, 76, 521–547. [Google Scholar] [CrossRef]
- Matisons, R.; Šņepsts, G.; Puriņa, L.; Donis, J.; Jansons, Ā. Dominant height growth of European beech at the northeasternmost stands in Europe. Silva Fenn. 2018, 52, 7818. [Google Scholar] [CrossRef]
- Bravo-Oviedo, A.; Tome, M.; Bravo, F.; Montero, G.; del Rio, M. Dominant height growth equations including site attributes in the generalized algebraic difference approach. Can. J. Forest Res. 2008, 38, 2348–2358. [Google Scholar] [CrossRef]
- Sharma, M. Modeling climate effects on site productivity of plantation grown jack pine, black spruce, red pine, and white spruce using annual/seasonal climate values. Forests 2022, 13, 1600. [Google Scholar] [CrossRef]
- Leites, L.P.; Robinson, A.P.; Rehfeldt, G.E.; Marshall, J.D.; Crookston, N.L. Height-growth response to climatic changes differs among populations of Douglas-fir: A novel analysis of historic data. Ecol. Appl. 2012, 22, 154–165. [Google Scholar] [CrossRef] [PubMed]
Disclaimer/Publisher’s Note: The statements, opinions and data contained in all publications are solely those of the individual author(s) and contributor(s) and not of MDPI and/or the editor(s). MDPI and/or the editor(s) disclaim responsibility for any injury to people or property resulting from any ideas, methods, instructions or products referred to in the content. |
© 2023 by the authors. Licensee MDPI, Basel, Switzerland. This article is an open access article distributed under the terms and conditions of the Creative Commons Attribution (CC BY) license (https://creativecommons.org/licenses/by/4.0/).


