Abstract
In any forest stand, the theoretically modelled output of sawlogs (the most valuable roundwood assortments) will differ from what is actually obtained. The aim of this study was to assess whether it is possible to characterise this difference by site properties or forest inventory parameters for birch, black alder, and aspen. We compared theoretically modelled sawlog recovery with actual recovery according to harvester data from final fellings. The difference between the theoretically modelled and actually recovered sawlog outcomes varied from −24.32 to −60.96 percentage points, with overestimations reaching up to three times for aspen. The differences in yield of sawlogs varied among soil types and increased with age and the average diameter of a tree. The sawlog recovery was underestimated up to the mean diameter at breast height of 16 cm and age of 20 years while being overestimated for larger and older trees. The results highlight the necessity to consider decreasing wood quality with increasing age to account for decay, such as stem rot, in assortment tables.
1. Introduction
The importance of sawnwood in the circular bioeconomy lies in its potential to serve as a sustainable, renewable, and environmentally friendly high-value building material that aligns with the principles of circularity, resource efficiency, and climate change mitigation [1,2,3]. As wood products like sawnwood are utilised in construction, they effectively sequester carbon over the long term [4], hence contributing to mitigating climate change by reducing atmospheric carbon dioxide levels [5]. Sawnwood has the potential to substitute fossil-based materials in various applications, contributing to a reduction in our dependence on non-renewable resources [6]. The production of sawnwood generally requires less energy compared with alternative building materials like steel or concrete [7]. This characteristic aligns with the principles of the circular bioeconomy by promoting energy-efficient and sustainable manufacturing processes [5].
Therefore, the ability to accurately estimate the proportion of high-quality assortments, particularly those suitable for sawnwood, is important in determining the potential for long-term carbon storage, in addition to optimised harvesting processes and enhanced wood chains [8]. Birch, aspen, and black alder, as commercially valuable species in the Baltic region, contribute significantly to the timber industry. Silver birch (Betula pendula Roth) is a dominant broadleaved species in the region in the context of wood production, playing a key role in the highly developed plywood industry [9,10]. Meanwhile, aspen and black alder are used in mixed-species products, having the potential to be combined with birch in plywood manufacturing [11]. Traditional predictions of roundwood assortments, however, often rely on theoretical models with dimensional sorting that assume a consistent quality distribution over a tree’s lifespan, rarely accounting for quality [12]. This approach may overestimate assortments, especially with increasing age, as it neglects various stem defects such as false heartwood, decay, and damage caused by browsing, among other factors [13,14,15,16]. Often, such damage predominantly affects the bottom log, which represents the most valuable section for the production of sawnwood [17]. In Norway, butt rot in Norway spruce (Picea abies L. Karst) is estimated to cause a reduction in sawlog volume by 48%, resulting in ca. EUR 18.5 million in economic losses annually [18]. However, for broadleaf species, a comprehensive assessment of the impact of internal decay (e.g., stem rot) on merchantable volume and carbon stocks is still lacking [15,19,20]. In addition, disturbances by various pathogens are predicted to intensify with expected warmer and wetter conditions, which are likely to amply disturbances as they interact [21].
Understanding and addressing these deviations between theoretical predictions and actual harvested assortments are crucial for improving the models used, hence optimizing management activities as well as carbon sequestration strategies. This study aims to estimate the difference between theoretical predictions and actual harvested assortments for birch, aspen, and black alder in Latvia and to evaluate potential factors causing bias. We hypothesise that the quality and output of the sawlog assortments relative to that which is potentially possible is decreasing over time.
2. Materials and Methods
We compared the theoretically modelled output of sawlogs and the volume of sawlogs actually obtained in the final fellings:
where
- ΔSawlogs—the difference in yield (per cent point);
- Sawlogstheor—theoretical sawlog recovery (%);
- Sawlogsactual—actual sawlog recovery (%).
We made the comparison for birch (Betula spp.), black alder (Alnus glutinosa (L.) Gaertn.), and European aspen (Populus tremula L.). We obtained actual assortment outcomes from JSC “Latvian State Forests”, using harvester data from final fellings in the years 2017–2020. Only stands with an area of at least 0.5 ha and not more than 5.0 ha were included in this study. We assumed that in smaller felling areas, some atypical trees may cause bias in the outcome of the prepared assortments, while in larger fellings, due to the heterogeneity in the forest, the mean values of the field inventory data of the forest element (age cohort of tree species) and the type of soil may not objectively describe the different conditions in the felling area. In order to avoid the impact of certain atypical trees, the analysis only used data from the felled forest elements where the volume of prepared assortments is at least 30 m3. This study used data from 4745 forest elements from 3543 final fellings: 3042 for birch, 684 for black alder, and 1019 for aspen.
We combined data from final fellings with forest inventory data from the State Forest Register (Table 1). The analysis used data from stands with only one element of the corresponding species, so there are no forest elements of two different ages of the same species or forest elements of the same species from two different storeys. We excluded such stands from the analysis because the felling did not list the assortments by forest element separately, but only by tree species.
Table 1.
Characteristics of data by species. The number of observations is provided for categorical variables; the range and mean ± standard deviation (SD) is provided for continuous variables.
We calculated theoretical outcomes of the tree assortments from the inventory data using an assortment model developed by the Latvian State Forest Research Institute “Silava”, which is the stem assortment model developed by Ozolins [22]. This model estimates the outcome of assortments of healthy trees (assumes no decay, no wood defects, no damage, etc.).
First, we estimated the distribution by diameter class applying the Weibull distribution:
where
- x—diameter class;
- α, β, and γ—function parameters.
We calculated the relative frequencies of trees at each diameter class as the cumulative difference between two adjacent classes, i.e., the proportion of the population with x > L and x < U was calculated by the equation:
For deciduous trees, we approximated parameters α, β, and γ, as well as the maximum diameter of a forest element as a dependent variable using the average tree diameter and basal area of the forest element:
where
- Dg—mean quadratic diameter of the forest element (cm);
- G—basal area of the forest element (m2 ha−1);
- α, β, γ—parameters of the Weibull function;
- ρ—empirical coefficient, which is 2.0 for birch and black alder and 3.0 for aspen.
We used the height curve equation based on the Gaffrey model, which was found to be the most suitable [23]:
where
- H—tree height (m);
- D—tree diameter (cm);
- Hg—height for the tree with the mean quadratic diameter of the forest element (m);
- Dg—mean quadratic diameter of the forest element (cm);
- a1, a2—species-specific empirical coefficients. For birch: a1 = 0.1925, a2 = 2.8489; for black alder: a1 = 0.1442, a2 = 2.8137; and for aspen: a1 = 0.1036, a2 = 3.6036.
The volume of roundwood without bark was calculated using the formula:
where
- v—volume of a log without bark (m3);
- D—the measured diameter at centre of the diameter class (cm);
- H—height of the tree measured directly or found by smoothing the field data according to diameter class (m);
- h—the distance from the butt end to a freely selected cut (0 < h < H) (m);
- d—the actual diameter of the tree trunk with bark at height h (cm);
- P6(x)—the sixth-power polynomial describing the statistical average tree trunk form:
- x—relative height (x = h/H, 0 < x < 1);
- a0, a1, a2, …, a6—coefficients of the sixth-power polynomial (Table 2);
Table 2. Coefficients of the sixth-power polynomial P6(x) and the fourth-power polynomial Q4(x) according to Ozolins (2002). - Q4(x)—double thickness of bark in per cent of the diameter of the tree trunk with bark as the fourth-power polynomial:b0, b1, b2, b3, b4—coefficients of the fourth-power polynomial (Table 2).
This study used the dimensions of the assortments of sawlogs used in practice (Table 3). However, we calculated ΔSawlogs for sawlog recovery without a more detailed breakdown since harvester data were available at such a level. In addition, sawlog recovery was expressed as a percentage of the total merchantable volume to make fellings with different harvested volumes comparable.
Table 3.
Assortment dimensions used in the final fellings of birch, black alder, and aspen stands.
We tested the soil type, the average diameter, and the age of the forest element to characterise the difference between the actual and theoretical sawlog recovery. This study divided soil type into five groups: mineral soil, wet mineral soil, wet peat soil, drained mineral soil, and drained peat soil. Regarding the spatial effect, the influence of different forest types in different final felling areas is covered in the analytical model by soil type, while the influence of forest region (Theoretically obtainable variable) is not substantial in Latvia as it is a small country.
We performed the statistical analysis using the Generalised Linear Model tool in SPSS for Windows. We used a linear model with the maximum likelihood estimate for the scale parameter method. We set the analysis type to Type III and computed Chi-square statistics using the Wald method. We determined confidence intervals using the Wald method with a confidence level of 95%. We utilised the Full methods as the log-likelihood function.
3. Results
On average, the difference between the theoretically modelled and actually recovered sawlog outcomes was −24.32 ± 0.52 percentage points for birch, −37.85 ± 1.05 percentage points for black alder, and −60.96 ± 0.82 percentage points for aspen, reaching 63 m3 for the latter (Table 4). Our results show that the difference in yield of sawlogs is not the same for all soil types, and it also varies depending on the average age and average diameter of the forest element.
Table 4.
Mean values with standard error (SE) for the actual and modelled theoretical sawlog volume.
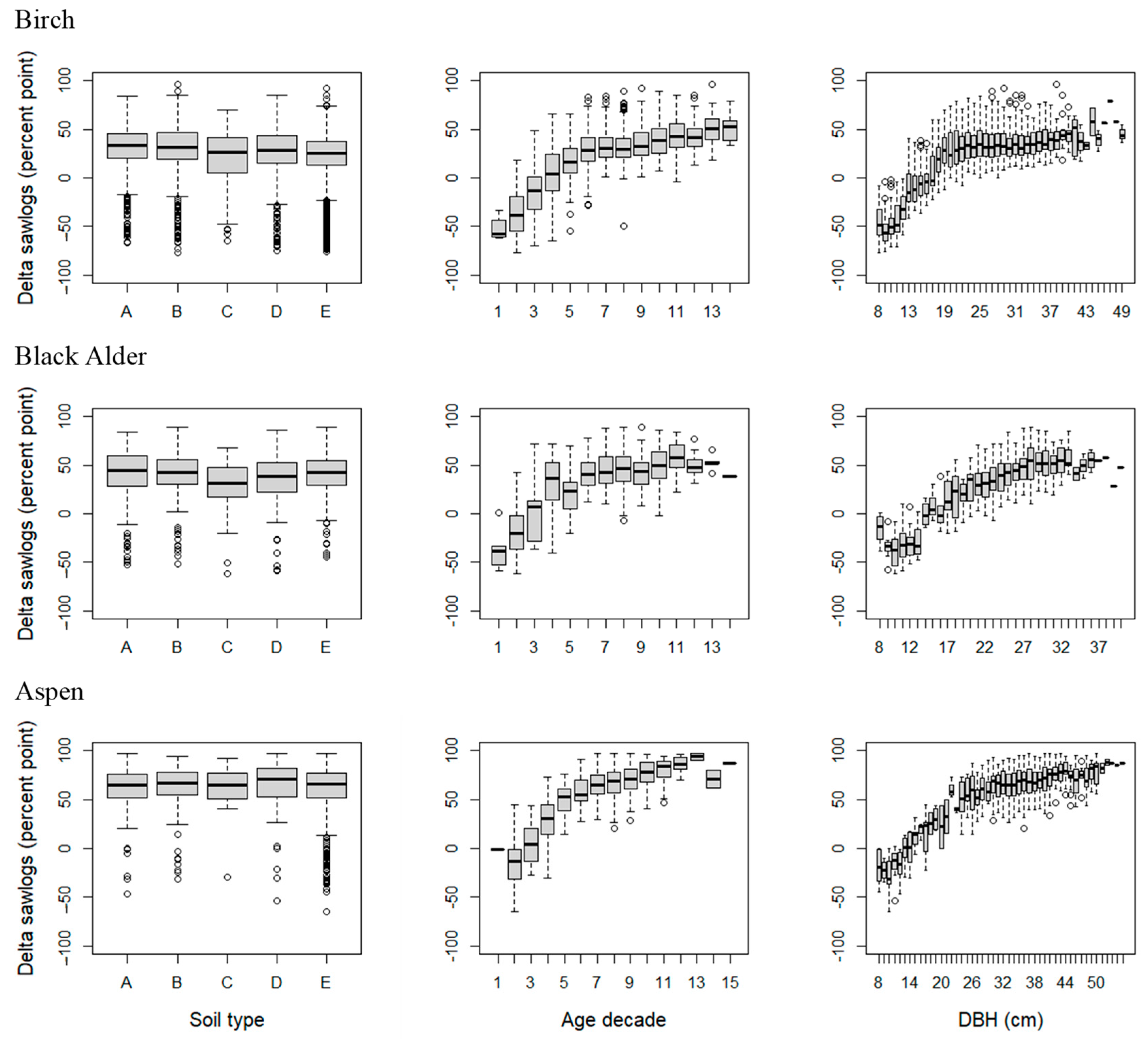
The difference in yield between the theoretical model and the actual assortments is significantly (p < 0.001) influenced by the soil type, age, and average diameter of the forest element for birch and by the age and average diameter of the forest element for black alder and aspen (Table 5 and Table 6). For birch, ΔSawlogs tended to be the lowest on drained peat soil, followed by drained mineral soil and wet mineral soil compared with dry mineral soil (Table 6). For birch age classes up to 30 years, and for aspen and black alder up to 20 years, the theoretical sawlog recovery is on average smaller than the actual, but for higher age classes, it is higher. For birch in the diameter classes up to 16 cm, and for aspen and black alder up to 14 cm, the theoretical recovery is on average smaller than the actual outcome but overestimated in higher diameter classes (Figure 1). Moreover, for both age and diameter, this relationship is non-linear. Consequently, the analysis includes the logarithmic values of those inventory parameters.
Table 5.
Test of linear model effects on ΔSawlogs (theoretical sawlog recovery (%)—actual sawlog recovery (%)).
Table 6.
Linear model parameter estimates. Dependent variable ΔSawlogs (theoretical sawlog recovery (%)—actual sawlog recovery (%)).
Figure 1.
Changes in assortments of sawlogs depending on soil type, mean age, and diameter of the forest element. Soil types: A—dry mineral soil, B—wet mineral soil, C—peat soil, D—drained mineral soil, E—drained peat soil. Age decade is the mean age group of the forest element (1—1–10 age, 2—11–20 age, …15—141–150 age). DBH is the mean diameter of the forest element at a height of 1.3 m, rounded into 1 cm groups.
4. Discussion
In this study, we initially hypothesised that the quality and output of the sawlog assortments relative to that which is potentially possible is decreasing over time. It should be stressed here that we are not analysing the absolute or relative volume of the assortments but the reduction in percentage points relative to the potential. The hypothesis was confirmed—the age and average diameter of the forest element have a significant impact on the reduction in the assortments of sawlogs relative to the potentially predicted outcome. In addition, all species tend to see an increasing reduction in the assortments of sawlogs relative to potentially modelled yield over time with increasing diameter and, in particular, at a higher age (Figure 1). Thus, the longer birch, black alder, and aspen stands are grown, the greater the reduction in sawlog assortments relative to what is potentially possible. In the Baltic Sea region, middle-aged stands (usually up to 60 years old) could be characterised by fast growth and high carbon uptake [3], yet still without intensive development of wood damage [16]. For instance, a notable reduction in wood quality due to heart rot in black alders appears at the age of 60 to 70 years [24], while birch faces decreased vitality and increasing susceptibility to decay and other defects after the age of 50 years [25]. The highest difference between the theoretically modelled and actually obtained sawlog outcome was observed for aspen (−60.96 ± 0.82 percentage points), likely due to the relatively short lifespan of the species [26], hence leading to a higher proportion of roundwood with damage caused by, for instance, large poplar borers and subsequent spread of rot into the tree [27].
The impact of numerous environmental factors on assortment structure may be highly variable. However, we acknowledge that the developed linear equation does not explicitly consider the impact of various wood defects (e.g., decay, stem curvature, stem cracks, branchiness, etc.). This limitation may restrict the comprehensive understanding of the reasons behind assortment reduction. Nevertheless, soil type and age worked as reasonable proxies in the analytical model for the cumulative effect of the number of unknown factors, which certainly have an impact on the stem quality and its reduction (e.g., the deer population in a particular location, the genetics of the trees, the historical forestry regime of the stand, etc.). Often, wounds from damage by ungulates (e.g., bark stripping) serve as an entrance for fungi, thus causing decay [14,28]. In Norway spruce, butt rot was reported to reduce sawlog volume by 48% [18]. Similarly, diverse exogenous damaging agents can trigger the formation of false heartwood in birch, which is considered a defect when grading [13]. Spanish studies in pedunculate oak revealed that sawnwood for planks of structural dimensions decreased from 43.4% to only 8.4% of log volume due to wane and biotic damage (including insect damage) [29,30]. Meanwhile, negligible value loss is expected from fire-caused injuries in oaks if the damage does not exceed 50 cm in height and 20% of the basal circumference [31].
Meanwhile, this study highlights the limitation of traditional assortment models that focus solely on dimensions without accounting for wood quality. This emphasizes the need for incorporating quality characteristics in assortment predictions. The increasing reduction in the obtained sawnwood assortments relative to the theoretically modelled assortments indicates disregarded damage by various agents with increasing age and diameter, especially for the most valuable bottom logs of large dimensions [18]. There have been only occasional attempts to include criteria of wood quality in assortment predictions, for instance, considering age and combining models of assortment tables and wood quality and damage for poplar clones in Slovakia [12]. For birch, the height of the lowest dry branch was found to be a significant predictor of grade distribution in Norway [32]. In Canada, tree age, quality, and presence of fungi were among the factors used to predict the proportion of decayed volume in trembling aspen (Populus tremuloides Michx.) assortments [15].
For smaller and younger trees, the yield of the assortment of sawlogs relative to the potential yield was negative (Figure 1). This means that the assortment model predicts the outcome of fewer assortments of sawlogs as realistically achievable in nature. This may be explained by stand structure, when individual trees or groups of trees can grow in the vicinity of different types of openings or edges, and their dimensions may be larger than what the tree distribution models used in our assortment model can predict [33]. If the effects of internal edges of gaps or skid trails are not accounted for, the estimates of stand yields may be underestimated [34].
Soil type as a proxy for different forest types [35] did not show a statistically significant effect on the difference in modelled and realized sawlog assortments (Table 5) for aspen and black alder, hence suggesting estimation bias regardless of the growing conditions. For birch, soil type was a statistically significant factor (p < 0.001) affecting the studied differences—underestimations of sawn wood assortments tended to be the highest on drained peat soil, followed by drained mineral soil and wet mineral soil compared with dry mineral soil (Table 6). This study combines both Betula pendula and Betula pubescens in its analysis, potentially overlooking species-specific characteristics. This generalization may affect the accuracy of the findings, especially considering the different wood qualities of silver birch and downy birch. The differences might be somewhat explained by a higher abundance of downy birch on peat soils and in wet sites since this species generally could be characterized by lower wood quality, for instance, more severely crocked stems, compared with silver birch [25,36]. For both birch species, the recovery of the veneer logs was observed to be higher in stands on dry mineral soils than on drained mineral and peat soils [37], which is likely also associated with higher stem rot incidence in wetter conditions. However, this source of bias may not be eliminated in practice since both birch species are not separated in inventory and harvester data.
5. Conclusions
Our findings indicate that the theoretical model tends to underestimate sawlog yield at lower ages and smaller diameters but predicts higher yields as age and diameter increase. The difference in yield between the theoretical model and actual assortments is significantly influenced by soil type, age, and average diameter for birch. For black alder and aspen, the difference is primarily impacted by age and average diameter. These insights highlight the complexity of predicting sawlog yield and underscore the importance of considering factors such as soil type and age, along with commonly used diameter in refining theoretical models for more accurate assessments. Further studies should attempt to build models for predicting quality reduction associated with various types of damage. This study’s findings suggest using age as a strong predictor for quality, and hence, sawlog recovery reduction, as a proxy for increasing damage.
Author Contributions
Conceptualization, J.D., J.J. and P.Z. (Pēteris Zālītis); methodology, G.Š., J.D. and Ā.J.; formal analysis, G.Š.; resources, Ā.J.; writing—original draft preparation, P.Z. (Pauls Zeltiņš), J.D. and G.Š.; writing—review and editing, Ā.J.; funding acquisition, Ā.J. All authors have read and agreed to the published version of the manuscript.
Funding
This research was funded by the European Regional Development Fund project “Tool for assessment of carbon turnover and greenhouse gas fluxes in broadleaved tree stands with consideration of internal stem decay” no. 1.1.1.1/21/A/063.
Data Availability Statement
The data presented in this study are available on request from the corresponding author.
Acknowledgments
The harvesting data is the property of JSC “Latvian State Forests”.
Conflicts of Interest
The authors declare no conflicts of interest.
References
- Sharma, R.; Malaviya, P. Ecosystem services and climate action from a circular bioeconomy perspective. Renew. Sustain. Energy Rev. 2023, 175, 113164. [Google Scholar] [CrossRef]
- D’Amato, D.; Korhonen-Kurki, K.; Lyytikainen, V.; Matthies, B.D.; Horcea-Milcu, A.I. Circular bioeconomy: Actors and dynamics of knowledge co-production in Finland. For. Policy Econ. 2022, 144, 102820. [Google Scholar] [CrossRef]
- Högbom, L.; Abbas, D.; Armolaitis, K.; Baders, E.; Futter, M.; Jansons, A.; Jõgiste, K.; Lazdins, A.; Lukminė, D.; Mustonen, M.; et al. Trilemma of nordic–baltic forestry—How to implement un sustainable development goals. Sustainability 2021, 13, 5643. [Google Scholar] [CrossRef]
- Brunet-Navarro, P.; Jochheim, H.; Cardellini, G.; Richter, K.; Muys, B. Climate mitigation by energy and material substitution of wood products has an expiry date. J. Clean. Prod. 2021, 303, 127026. [Google Scholar] [CrossRef]
- Jonsson, R.; Rinaldi, F.; Pilli, R.; Fiorese, G.; Hurmekoski, E.; Cazzaniga, N.; Robert, N.; Camia, A. Boosting the EU forest-based bioeconomy: Market, climate, and employment impacts. Technol. Forecast. Soc. Chang. 2021, 163, 120478. [Google Scholar] [CrossRef]
- Howard, C.; Dymond, C.C.; Griess, V.C.; Tolkien-Spurr, D.; van Kooten, G.C. Wood product carbon substitution benefits: A critical review of assumptions. Carbon Balance Manag. 2021, 16, 9. [Google Scholar] [CrossRef] [PubMed]
- Leskinen, P.; Cardellini, G.; González-García, S.; Hurmekoski, E.; Sathre, R.; Seppälä, J.; Smyth, C.; Stern, T.; Verkerk, P.J. Substitution effects of wood-based products in climate change mitigation. In From Science to Policy 7; European Forest Institute: Joensuu, Finland, 2018; p. 27. [Google Scholar] [CrossRef]
- Alvites, C.; Marchetti, M.; Lasserre, B.; Santopuoli, G. LiDAR as a Tool for Assessing Timber Assortments: A Systematic Literature Review. Remote Sens. 2022, 14, 4466. [Google Scholar] [CrossRef]
- Klauss, K. The forest sector in the Baltic States: A united, growth-oriented economic ecosystem. In The forest Industry around the Baltic Sea Region: Future Challenges and Opportunities; Liuhto, K., Ed.; Centrum Balticum Foundation: Turku, Finland, 2020; pp. 59–68. [Google Scholar]
- Girdziušas, S.; Löf, M.; Hanssen, K.H.; Lazdiņa, D.; Madsen, P.; Saksa, T.; Liepiņš, K.; Fløistad, I.S.; Metslaid, M. Forest regeneration management and policy in the Nordic–Baltic region since 1900. Scand. J. For. Res. 2021, 36, 513–523. [Google Scholar] [CrossRef]
- Akkurt, T.; Kallakas, H.; Rohumaa, A.; Hunt, C.G.; Kers, J. Impact of Aspen and Black Alder Substitution in Birch Plywood. Forests 2022, 13, 142. [Google Scholar] [CrossRef]
- Petráš, R.; Mecko, J.; Nociar, V. Models of assortment yield tables for poplar clones. J. For. Sci. 2008, 54, 227–233. [Google Scholar] [CrossRef]
- Hörnfeldt, R.; Drouin, M.; Woxblom, L. False heartwood in beech Fagus sylvatica, birch Betula pendula, B. papyrifera and ash Fraxinus excelsior—An overview. Ecol. Bull. 2010, 53, 61–76. [Google Scholar]
- Vacek, Z.; Cukor, J.; Linda, R.; Vacek, S.; Šimůnek, V.; Brichta, J.; Gallo, J.; Prokůpková, A. Bark stripping, the crucial factor affecting stem rot development and timber production of Norway spruce forests in Central Europe. For. Ecol. Manag. 2020, 474, 118360. [Google Scholar] [CrossRef]
- Schneider, R.; Riopel, M.; Pothier, D.; Côté, L. Predicting decay and round-wood end use volume in trembling aspen (Populus tremuloides Michx.). Ann. For. Sci. 2008, 65, 608. [Google Scholar] [CrossRef]
- Karaszewski, Z.; Mederski, P.S.; Bembenek, M.; Giefing, D.F.; Sawicka, K.; Gierszewska, M. Factors affecting the timber quality of black alder (Alnus glutinosa (L.) Gaertn.). Ann. Wars. Agric. Univ. SGGW For. Wood Technol. 2015, 89, 70–75. [Google Scholar]
- Harkonen, S.; Pulkkinen, A.; Herajarvi, H. Wood quality of birch (Betula spp.) trees damaged by moose. Alces 2009, 45, 67–72. [Google Scholar]
- Noordermeer, L.; Korpunen, H.; Berg, S.; Gobakken, T.; Astrup, R. Economic losses caused by butt rot in Norway spruce trees in Norway. Scand. J. For. Res. 2023, 38, 497–505. [Google Scholar] [CrossRef]
- Liepiņš, J.; Jaunslaviete, I.; Liepiņš, K.; Jansone, L.; Matisons, R.; Lazdiņš, A.; Jansons, Ā. Effect of stem rot on wood basic density, carbon, and nitrogen content of living deciduous trees in hemiboreal forests. Silva Fenn. 2023, 57, 23040. [Google Scholar] [CrossRef]
- Marra, R.E.; Brazee, N.J.; Fraver, S. Estimating carbon loss due to internal decay in living trees using tomography: Implications for forest carbon budgets. Environ. Res. Lett. 2018, 13, 105004. [Google Scholar] [CrossRef]
- Seidl, R.; Thom, D.; Kautz, M.; Martin-Benito, D.; Peltoniemi, M.; Vacchiano, G.; Wild, J.; Ascoli, D.; Petr, M.; Honkaniemi, J.; et al. Forest disturbances under climate change. Nat. Clim. Chang. 2017, 7, 395–402. [Google Scholar] [CrossRef]
- Ozolins, R. Forest stand assortment structure analysis using mathematical modelling. For. Stud. Uurim. 2002, 37, 33–42. [Google Scholar]
- Šņepsts, G.; Donis, J.; Zariņš, J. Priekšlikumi Latvijas Meža Resursu Vērtības un Apsaimniekošanas Efektivitātes Paaugstināšanai Ilgtermiņā un Atbalsts Mežsaimniecības Stratēģiskās Ietekmes uz Vidi Novērtējumam (Proposals for increasing the Value and Management Efficiency of Latvian Forest Resources in the Long Term and Support for the Strategic Assessment of Impact of Forestry on the Environment); Latvian State Forest Research Institute “Silava”: Salaspils, Latvia, 2020; p. 74. (In Latvian) [Google Scholar]
- Claessens, H.; Oosterbaan, A.; Savill, P.; Rondeux, J. A review of the characteristics of black alder (Alnus glutinosa (L.) Gaertn.) and their implications for silvicultural practices. Forestry 2010, 83, 163–175. [Google Scholar] [CrossRef]
- Hynynen, J.; Niemisto, P.; Vihera-Aarnio, A.; Brunner, A.; Hein, S.; Velling, P. Silviculture of birch (Betula pendula Roth and Betula pubescens Ehrh.) in northern Europe. Forestry 2010, 83, 103–119. [Google Scholar] [CrossRef]
- Worrell, R. European aspen (Populus tremula L.): A review with particular reference to Scotland I. Distribution, ecology and genetic variation. Forestry 1995, 68, 93–105. [Google Scholar] [CrossRef]
- Zeps, M.; Senhofa, S.; Zadina, M.; Neimane, U.; Jansons, A. Stem damages caused by heart rot and large poplar borer on hybrid and European aspen. For. Stud. 2017, 66, 21–26. [Google Scholar] [CrossRef][Green Version]
- Ward, A.I.; White, P.C.L.; Smith, A.; Critchley, C.H. Modelling the cost of roe deer browsing damage to forestry. For. Ecol. Manag. 2004, 191, 301–310. [Google Scholar] [CrossRef]
- Riesco Muñoz, G.; Remacha Gete, A.; Gasalla Regueiro, M. Variation in log quality and prediction of sawing yield in oak wood (Quercus robur). Ann. For. Sci. 2013, 70, 695–706. [Google Scholar] [CrossRef]
- Riesco Muñoz, G.; Remacha Gete, A.; Gasalla Regueiro, M. Sawing yield in oak (Quercus robur) wood affected by insect damage. Int. Biodeterior. Biodegrad. 2014, 86, 102–107. [Google Scholar] [CrossRef]
- Marschall, J.M.; Guyette, R.P.; Stambaugh, M.C.; Stevenson, A.P. Fire damage effects on red oak timber product value. For. Ecol. Manag. 2014, 320, 182–189. [Google Scholar] [CrossRef]
- Gobakken, T. Models for Assessing Timber Grade Distribution and Economic Value of Standing Birch Trees. Scand. J. For. Res. 2000, 15, 570–578. [Google Scholar] [CrossRef]
- McDonald, R.I.; Urban, D.L. Forest edges and tree growth rates in the North Carolina Piedmont. Ecology 2004, 85, 2258–2266. [Google Scholar] [CrossRef]
- Roberts, S.D.; Harrington, C.A. Individual tree growth response to variable-density thinning in coastal Pacific Northwest forests. For. Ecol. Manag. 2008, 255, 2771–2781. [Google Scholar] [CrossRef]
- Buss, K. Forest ecosystem classification in Latvia. Proc. Latv. Acad. Sci. Sect. B 1997, 51, 204–218. [Google Scholar]
- Hytönen, J.; Saramäki, J.; Niemistö, P. Growth, stem quality and nutritional status of Betula pendula and Betula pubescens in pure stands and mixtures. Scand. J. For. Res. 2014, 29, 1–11. [Google Scholar] [CrossRef]
- Zalitis, T. The Analysis of Silver Birch (Betula pendula Roth.) Stands in State and Private Forests in Latvia. In Research for Rural Development: Annual 14th International Scientific Conference Proceedings; Latvia University of Agriculture: Jelgava, Latvia, 2008; pp. 146–150. [Google Scholar]
Disclaimer/Publisher’s Note: The statements, opinions and data contained in all publications are solely those of the individual author(s) and contributor(s) and not of MDPI and/or the editor(s). MDPI and/or the editor(s) disclaim responsibility for any injury to people or property resulting from any ideas, methods, instructions or products referred to in the content. |
© 2024 by the authors. Licensee MDPI, Basel, Switzerland. This article is an open access article distributed under the terms and conditions of the Creative Commons Attribution (CC BY) license (https://creativecommons.org/licenses/by/4.0/).
