Next Article in Journal
Effects of Planting Position, Seedling Size, and Organic Nitrogen Fertilization on the Establishment of Scots Pine (Pinus sylvestris L.) and Norway Spruce (Picea abies (L.) Karst) Seedlings
Next Article in Special Issue
Predictive Model for Bark Beetle Outbreaks in European Forests
Previous Article in Journal
Isolation and Characterization of the Sulfate Transporter Gene Family and Its Expression Pattern in Response to Selenium and Abiotic Stress in Walnuts (Juglans regia L.)
Previous Article in Special Issue
Pilot Study of 3D Spatial Distribution of α-Pinene Emitted by Norway Spruce (L.) Karst Recently Infested by Ips typographus (L. 1758) (Coleoptera: Scolytinae)
 
 
Font Type:
Arial Georgia Verdana
Font Size:
Aa Aa Aa
Line Spacing:
Column Width:
Background:
Article

The Potential Threats of Spodoptera frugiperda on Six Economic Tree Species in the Tropical Region

1
Key Laboratory of Genetics and Germplasm Innovation of Tropical Special Forest Trees and Ornamental Plants, Ministry of Education, College of Forestry, Hainan University & School of Tropical Agriculture and Forestry (School of Agricultural and Rural Affairs, School of Rural Revitalization), Hainan University, Danzhou 571737, China
2
Institute of Tropical Bioscience and Biotechnology & Sanya Research Institute, Chinese Academy of Tropical Agricultural Sciences, Haikou 571025, China
3
Sanya Academy of Tropical Agricultural Science, Sanya 572000, China
4
Department of Environmental Systems Science, ETH Zurich, 8092 Zurich, Switzerland
*
Author to whom correspondence should be addressed.
Forests 2024, 15(4), 701; https://doi.org/10.3390/f15040701
Submission received: 1 March 2024 / Revised: 5 April 2024 / Accepted: 12 April 2024 / Published: 15 April 2024
(This article belongs to the Special Issue Ecology and Management of Forest Pests—2nd Edition)

Abstract

Spodoptera frugiperda (J.E. Smith) is a highly significant agricultural pest that poses a threat to crop production worldwide. It is polyphagous, has a strong migratory ability, and is difficult to control, which makes it a threat not only to crops but also to woody plants. However, research on its adaptability to woody plants is limited. This study compares the feeding adaptations (survival rate, pupation time, pupation rate, weight, length, and daily food consumption), protective enzyme activities, and feeding preferences of S. frugiperda on leaves of six economically important tree species (Areca catechu L., Aquilaria sinensis (Lour.) Spreng, Cocos nucifera L., Camellia oleifera Abel, Dalbergia odorifera T. Chen, and Hevea brasiliensis (Willd. ex A. Juss.) Müll. Arg.), with Zea mays L. used as a control treatment. The results indicate that S. frugiperda did not survive when fed with A. catechu, C. oleifera, and D. odorifera. A. catechu had similar survival rates (83.33%), pupation (86.67%), weight, and length data compared to the maize control. C. nucifera had lower survival rates (46.67%) but no significant differences in pupation (76.67%), weight, and length data of S. frugiperda. H. brasiliensis exhibited significantly lower survival (50.00%) and pupation rates (46.67%) compared to maize. However, there was no significant difference in weight and length data, and its preference index was higher among the six tree species treatments. Therefore, A. sinensis is a vulnerable tree with a high risk, while H. brasiliensis and C. nucifera showed varying degrees of susceptibility. A. catechu, C. oleifera, and D. odorifera were found to be unsuitable hosts for S. frugiperda. In conclusion, this study extensively explores the feeding effects of S. frugiperda on six economically important tree species. It provides insights into the feeding preferences of the pest, thereby informing the potential threat posed by S. frugiperda to economically important trees. It helps to prevent further damage from S. frugiperda and provides a reference for agriculture and forestry to develop effective joint prevention and control measures.

1. Introduction

Spodoptera frugiperda (J.E. Smith, 1797) (Lepidoptera: Noctuidae), commonly known as the fall armyworm, is a migratory agricultural pest that originated from the tropical and subtropical regions of the Americas [1,2,3]. It primarily feeds on various crops, with maize being its main source of food. The pest mainly damages the leaves and seedlings of maize, leading to crop damage and a decrease in yield [4]. It has been reported that the destruction of S. frugiperda typically results in a 15%–73% reduction in maize yields, leading to significant economic losses [5]. Without preventive and control measures, S. frugiperda could cause annual losses of from 8.3 to 20.6 million tons in Africa, which is equivalent to from 21% to 53% of the three-year average maize production in these countries. This could result in potential economic losses ranging from USD 2481 million to 6187 million [5]. In addition, the migratory ability of S. frugiperda is noteworthy. The pest was initially reported in western Africa in early 2016 and had spread to countries in sub-Saharan Africa by early 2018 [6,7]. By mid-2018, it had also been found in the Middle East and India [8]. By early December 2018, it had spread from Myanmar to Yunnan Province in southern China, posing a significant threat to food crop production safety in China [9,10,11]. S. frugiperda has rapidly spread eastward to South Korea and Japan, southward to Southeast Asia, and reached Australia in early 2020 [12]. This poses a huge challenge to agricultural areas affected by the pest [13]. In China, S. frugiperda has also spread extremely rapidly. In April 2019, the pest infiltrated Hainan Province, where the tropical climate is similar to that of the pest’s origin. This invasion swiftly impacted almost all maize-planting areas, resulting in substantial losses [10,14]. S. frugiperda is highly adaptable to various environmental conditions, allowing it to survive and reproduce in different climates and habitats [15]. The adaptable ability of the pest to host plants is crucial for its successful survival [16,17]. Its strong reproductive, adaptive, and migratory abilities pose a formidable threat to global crop production [18,19].
Comprehensive efforts have been made to monitor, prevent, and control S. frugiperda in China due to its consequential impact on agriculture. These efforts encompass the utilization of agricultural control technology, biological control technology, physical control technology, and chemical control technology to mitigate the adverse effects of this pest on Chinese agricultural development [20]. Although S. frugiperda prefers Poaceae plants, it is a polyphagous pest that feeds on a wide range of plant taxa, including herbs, vines, and woody vegetation. Reports suggest that up to 353 species from 76 families could be potential hosts [21,22]. It is particularly concerning that, with improved agricultural control measures, this pest may become a major significant threat to forestry vegetation. During eight years of surveys in Brazil, Montezano et al. identified host plants for S. frugiperda and systematically arranged fragmented bibliographic information. They found various hosts, including woody species from families such as Arecaceae (Chamaerops humilis L., Cocos nucifera L.), Euphorbiaceae (Hevea brasiliensis Willd. ex A. Juss., Acalypha sp.), and Fabaceae (Acacia mearnsii De Willd., Cajanus cajan L. Millsp) [22]. Sun et al. investigated the growth suitability of S. frugiperda larvae feeding on tea trees and corn leaves. The authors hypothesized that S. frugiperda larvae are likely to cause further damage to tea trees if they mistakenly migrate into tea plantations and consume all the herbivorous weeds in the area [23]. However, there is still a gap in research regarding the specific adaptations of S. frugiperda to woody species.
Hainan Province has a tropical climate similar to the origin of this pest in the Americas. Six tree species, including Areca catechu L. (Arecales: Arecaceae), C. nucifera (Arecales: Arecaceae), H. brasiliensis (Malpighiales: Euphorbiaceae), Dalbergia odorifera T. Chen (Family: Fabaceae), Camellia oleifera Abel (Ericales: Theaceae), and Aquilaria sinensis (Lour.) Spreng (Malvales: Thymelaeaceae), have a long history of planting in Hainan and have been expanded for planting [24]. They support the development of characteristic industries, enhance ecological and environmental quality, and generate significant economic benefits [24]. However, they are susceptible to damage by Lepidoptera and Coleoptera pests [25,26]. More information on their main values and pests are provided in Table S1.
S. frugiperda is an omnivorous pest of the Lepidoptera order. Its potential impact on valuable trees raises concerns. This study aims to investigate the threat posed by S. frugiperda to the six economically significant tree species in Hainan Province. A thorough comprehension of the risk assessment related to the translocation of pests among different hosts will inform integrated pest management (IPM) strategies for S. frugiperda in both primary and alternate host plants.

2. Materials and Methods

2.1. Plants and Insects

Leaves from A. catechu, C. nucifera, D. odorifera, and A. sinensis were obtained from the Yazhou Base of Sanya Academy of Tropical Agricultural Sciences, Sanya, Hainan Province, China (18.390246° N, 109.164020° E). Meanwhile, leaves of C. oleifera and H. brasiliensis were sourced from Danzhou Campus of Hainan University (19.507783° N, 109.495946° E). The maize variety DK647 (Zea mays L. (Poales: Poaceae)), with seeds provided by Longping Biotech. Co., Ltd. (Sanya, China), was used as the control treatment. The Z. mays was cultivated in pots filled with nutrient soil (15 × 12 cm in diameter × height) in the greenhouse at the Yazhou Base of the Sanya Academy of Tropical Agricultural Sciences. The nutrient soil formula from Tianjiaoyuan Biotechnology Co., Ltd. (Heze, China) consisted of fermented cow manure, peat, vermiculite, perlite, and nitrogen–phosphorus–potassium fertilizer, which are all beneficial to plant growth. The collected leaves were fresh and free from pest damage.
The eggs of S. frugiperda were obtained from Longping Biotech. Co., Ltd. (Sanya, China), and were cultured in a climatic chamber at a temperature of 27 ± 1 °C, a relative humidity of 65 ± 3%, and with a light–dark cycle of 16:8 h. Initially, over 300 eggs were placed in square plastic boxes (17.0 × 11.8 × 4.8 cm in length × width × height) and covered with gauze to enhance insect respiration and prevent escape. They were then incubated for approximately 2–3 days. Newly hatched larvae were reared in rectangular plastic boxes for seven days. However, due to the destructive behavior of S. frugiperda after the third instar, each larva was individually transferred to cylindrical plastic boxes with lids (5.0 × 3.7 cm in diameter × height) fitted with pinholes. The lids were punctured to ensure proper air circulation while deterring the larvae from escaping. The larval stage lasts approximately 13–15 days before entering the pupal stage. After pupation, they were transferred to 100-mesh cages (Yiheng Scientific Instrument, Shanghai, China) measuring 75 × 75 × 75 cm (length × width × height) for emergence. This stage lasted about 7–9 days. Adults were provided with a 10% honey water solution to promote their survival and reproduction. The lifespan of adults is 8–12 days, and they typically begin laying eggs approximately 3–4 days after mating. Subsequently, over 1000 eggs were used to continue the culture in the same manner. Each generation lasts approximately 30 days. Maize leaves were cleaned and fed to the insects every 2–3 days to ensure a suitable environment for survival. For the experiment, a total of 381 third-instar larvae (7 days after hatching) that had been reared for more than three generations were randomly selected.

2.2. Feeding Patterns and Developmental Characteristics of Spodoptera frugiperda

The experiment consisted of seven treatments, which included six tropical tree species (A. catechu, C. nucifera, H. brasiliensis, D. odorifera, C. oleifera, A. sinensis) and Z. mays, which served as the control. The leaves from each treatment were washed and cut into 1 cm2 squares for convenient measurement of leaf area using the grid method [27]. The leaves were placed on a transparent coordinate paper with a 1 mm2 grid. The vacant squares within a 1 cm2 area were counted to determine the leaf area (mm2) consumed by the insects. Third-instar larvae from the same batch were individually reared in cylindrical plastic boxes (5.0 × 3.7 cm in diameter × height), each equipped with pinholes for respiration and escape prevention. One larva was placed per box, and 30 replicates were conducted for each treatment. Daily replacement of leaves and cleaning of insect excrement were carried out, with the amount of food adjusted based on consumption. Mortality rates and consumed leaf areas were recorded daily. Weight and length measurements were taken using electronic scales (d = 0.001) (PL203, Mettler Toledo, Greifensee, Switzerland) and an industrial microscope (SZX16, Olympus Corporation, Tokyo, Japan) as the larvae progressed to the pre-pupal stage. The eclosion time and gender of the adults were also recorded. The entire experiment was conducted in a climate chamber (27 ± 1 °C, 65 ± 3% RH, 16:8 h L:D).

2.3. Determination of Enzyme Activity

Superoxide dismutase (SOD) and peroxidase (POD) activities were measured using kits (A007, A001, and A084, respectively; Nanjing Jiancheng Bioengineering Institute, Nanjing, China). The assay samples comprised seven treatments, each with three samples. The enzyme activity of the S. frugiperda larvae was tested after they were fed on different plant leaves for 7 days in a climatic chamber (27 ± 1 °C, 65 ± 3% RH, 16:8 h L:D) due to the low survival rate of the third-instar larvae feeding on A. catechu, C. oleifera, and D. odorifera observed in the bioassay experiment. Larvae before the 3rd instar were reared with maize leaves.
Before collection, the larvae were firstly washed with ultrapure water, and any surface water was removed using lint-free paper. The larvae were then weighed and placed in centrifuge tubes, which were stored at −80 °C until testing. Mechanical grinding was performed on ice at 4 °C by mixing the insects with 0.9% saline in a 1:9 (w:v) ratio. After thorough grinding, the samples underwent centrifugation for 10 min at 2500 rpm. The resulting supernatant (10% homogenized supernatant) was used for enzyme analysis following the manufacturer’s instructions. Optical density (OD) values were measured using a SpectraMax ABS microplate spectrophotometer (Molecular Devices, San Jose, CA, USA), and enzyme activities were calculated using the corresponding formulas. The tests were carried out following the manufacturer’s instructions [28,29,30]. The corresponding formula is as follows:
P C ( g / L ) = O D A O D B O D S O D B × P S × N
where PC is the protein concentration; ODA, ODB, and ODS represent the OD values detected by the corresponding tubes (blank (B), standard (S), and assay (A)); Ps (protein standard solution) = 0.524 g/L; and N is the dilution time.
S O D   a c t i v i t y ( U m g p r o t ) = O D C O D A O D C ÷ 50 % × V F V S D ÷ P C
P O D   a c t i v i t y ( U m g p r o t ) = O D A O D C 12 × O p t i c a l   d i a m e t e r 1 c m × V F V S D ÷ T ( 30 m i n ) ÷ P C × 1000
where SOD activity (U/mgprot) is the quantity of SOD per mg of histone corresponding to 50% SOD inhibition in 1 mL of reaction solution and is one SOD viability unit (U); POD activity (U/mgprot) is the amount of enzyme, i.e., 1 mg of histone catalyzing 1 μg of substrate per minute at 37 °C. In the formula, ODC and ODA are the OD values detected by the corresponding tubes (control (C) and assay (A)); 235.65 = the reciprocal of the slope (instructions indicate direct use); VSD and VF are the volume of SD or final reaction liquid taken for experimental use; and T is the reaction time.

2.4. Feeding Preferences

Feeding preference experiments were carried out to investigate the dietary choices of S. frugiperda. Six different tree species were evaluated using the leaf disk method [27,31]. A petri dish (90 mm in diameter) was divided into six equal-area sectors. Leaves from various treatments were washed, cut into 1 cm2 squares, and then randomly placed at the end of the dividing lines within the dish. S. frugiperda caterpillars require minimal food when young but increase their consumption significantly by over 50 times after reaching the third stage, displaying significantly enhanced destructive abilities. Therefore, the third-instar larvae were chosen for experimentation [20]. A third-instar larva, starved for over 6 h (65 ± 3% RH, 16:8 h L:D), was placed in the center of each dish, which was then covered with a lid to prevent escape. The study measured the area of leaf disks consumed by the larvae on the different plants after 6 h using a counting grid method [27]. The preference index was used to quantify the larvae feeding preference for the different plants. This was calculated as the percentage of the area of a plant’s leaf disk consumed by the larvae relative to the total areas consumed. The preference performance was assessed with 50 insects at once and repeated three times. The experiments were conducted in a climate-controlled chamber at 27 ± 1 °C, 65 ± 3% RH, and 16:8 h L:D.

2.5. Data Analysis

The survival rates of S. frugiperda were analyzed using the Kaplan–Meier procedure and the log-rank test [32]. A full factorial LMER analysis [32] was used to analyze the consumed leaf area, incorporating random factors for different plant treatments, time (days of measurement), and replications. This study compared the A. catechu, A. sinensis, C. nucifera, C. oleifera, D. odorifera, H. brasiliensis, and Z. mays treatments using ANOVA with type III sum of squares (car package). Growth parameters, including pupation rate, eclosion rate, and female rate, were analyzed and compared using the chi-square test. The Kruskal–Wallis test and the Mann–Whitney U test were used to test the larval development time and pupal development time that did not adhere to a normal distribution [33]. Enzyme activity assay data that did not conform to normal distribution were transformed using the Blom normal score method. For the remaining data, which conformed to normality and homogeneity, one-way ANOVA and Tukey’s HSD test were used for analysis. The data are presented as mean ± standard error (SE). Statistical significance was determined using a significant level of p < 0.05. The data analysis was performed using R version 4.2.3.

3. Results

3.1. Variability in Spodoptera frugiperda Survival among Various Plant Species

A comprehensive analysis of survival percentages leading to eclosion of S. frugiperda revealed significant differences (χ2 = 187, p < 0.001) when fed on leaves from seven distinct plant species (Figure 1). No notable variations were observed in S. frugiperda survival within the A. sinensis group (χ2 = 0, p = 1) or the C. nucifera group (χ2 = 2.2, p = 0.1) compared to the maize control group. However, the survival rates of the A. catechu2 = 39.2, p < 0.001), C. oleifera2 = 48, p < 0.001), D. odorifera2 = 40.2, p < 0.001), and H. brasiliensis2 = 8.3, p = 0.004) groups were significantly lower than that of the control group (Figure 1).
The survival rates of S. frugiperda were significantly lower when fed C. oleifera leaves compared to the other groups (p < 0.001). Additionally, the survival rates of S. frugiperda were notably lower when fed A. catechu and D. odorifera leaves compared to the A. sinensis, C. nucifera, and H. brasiliensis groups (p < 0.01). Although the H. brasiliensis group had lower survival rates than the A. sinensis group (χ2 = 8.4, p = 0.004), it was not significantly different from C. nucifera2 = 0.9, p = 0.30). Furthermore, all the S. frugiperda individuals died within 10 days when consuming C. oleifera leaves, while those in the A. catechu and D. odorifera groups died after 21 days.

3.2. Leaves Consumption of Spodoptera frugiperda

Significant variability was observed in the daily leaf area consumption by S. frugiperda feeding on various plant leaves (χ2 = 114.727, p < 0.001) (Figure 2). The interaction between time and food treatment was also found to be significant (χ2 = 690.289, p < 0.001). Pairwise analyses were conducted for each food treatment separately. The overall trend of leaf area among the groups was as follows: Z. mays, H. brasiliensis, A. sinensis, C. nucifera, D. odorifera, A. catechu, and C. oleifera. The leaf area consumed by S. frugiperda in the Z. mays control group was significantly greater than that in the groups fed on leaves from other plants (p < 0.05). The A. sinensis and H. brasiliensis groups were not significantly different from each other (χ2 = 0.4046, p = 0.5247), but they exhibited significantly larger leaf areas compared to the other treatments except for the control (p < 0.05). There were no significant differences in the parameters of daily leaf area consumption between C. nucifera, D. odorifera, and C. oleifera (p > 0.05). However, these parameters were significantly greater than those of A. catechu, except for C. oleifera (p < 0.05) (Figure 2).

3.3. Performance of Spodoptera frugiperda on Different Diets

The pupation rate of S. frugiperda feeding on various leaves varied significantly (χ2 = 128.75, p < 0.001) (Table 1). The pupation rate of the A. catechu, C. oleifera, D. odorifera, and H. brasiliensis groups was significantly lower than that of the Z. mays and A. sinensis groups (p < 0.05). Additionally, the A. catechu, C. oleifera, and D. odorifera groups were also significantly lower than the H. brasiliensis and C. nucifera groups (p < 0.05), but the H. brasiliensis and C. nucifera groups were not significantly different (p = 0.081). The eclosion rate of S. frugiperda varied significantly (χ2 = 110.34, p < 0.001) (Table 1). The groups with A. sinensis (83.33%) and Z. mays (83.33%) were identical (p = 1) and had significantly higher eclosion rates than the other groups (p < 0.05). The groups with C. nucifera (46.67%) and H. brasiliensis (46.67%) had higher eclosion rates than the other three groups with a 0% eclosion rate (A. catechu, C. oleifera, and D. odorifera groups) (p < 0.05).
A significant difference (U = 59.645, p < 0.001) was observed in the development time of the larvae (Table 1). The Z. mays group had the shortest larval development time, while the C. nucifera group had a relatively longer larval development time. The pupal development time also differed significantly between the groups (U = 38.268, p < 0.001). The pupal development time was significantly shorter in the C. nucifera group compared to the other groups (p < 0.006). The A. sinensis and H. brasiliensis groups had significantly longer pupal development times compared to the other groups (p < 0.001), whereas there were no significant differences between the A. sinensis and H. brasiliensis groups (p = 0.942). There was no significant difference found in pupal length (F (3,77) = 1.757, p = 0.163) when S. frugiperda consumed the various leaf diets (Table 1). This study found a significant difference in female pupal fresh weight among the different groups (F (3,34) = 13.248, p < 0.001). Female pupae in the H. brasiliensis group had a significantly higher fresh weight compared to the control Z. mays group (p = 0.02) and the C. nucifera group (p = 0.001). However, there were no statistically significant differences in male pupal fresh weight (F (3,42) = 2.496, p = 0.074). The results showed statistical significance in the mean fresh pupal weight (F (3,77) = 12.253, p < 0.001). The mean fresh pupal weight of the A. sinensis and H. brasiliensis groups differed significantly from that of the Z. mays group (p = 0.07 compared to the A. sinensis group; p = 0.032 compared to the H. brasiliensis group) and the C. nucifera group (p = 0.008 compared to the A. sinensis group; p = 0.039 compared to the H. brasiliensis group).
A significant difference in the sex ratio of successfully eclosed S. frugiperda was observed among the treatments (χ2 = 13.874, p = 0.0031) (Table 1). The highest male ratio was observed in the A. sinensis group (76%), followed by the H. brasiliensis (57.14%) and Z. mays (56%) groups. The male ratio of the C. nucifera group was significantly lower than that of the A. sinensis (p < 0.001), the H. brasiliensis (p = 0.048), and the Z. mays (p = 0.027) groups. Meanwhile, the male percentage was higher in the A. sinensis (p = 0.232) and the H. brasiliensis (p = 1) groups than in the Z. mays group, but the difference was not significant.

3.4. Enzyme Activity

Significant variations in superoxide dismutase (SOD) and peroxidase (POD) activities were observed in S. frugiperda when consuming leaves from the different plant species (SOD: F = 28.91, p < 0.001; POD: F = 22.58, p < 0.001).
The A. catechu, A. sinensis, C. nucifera, C. oleifera, D. odorifera, and H. brasiliensis groups displayed significantly higher SOD activities compared to the Z. mays control group (Figure 3A). The A. catechu group exhibited the highest SOD activity, significantly surpassing the other treatments (p < 0.05).
In the comparison of the POD activity (Figure 3B), the A. catechu group demonstrated a higher activity than the control group (p < 0.001) and the other treatments (p < 0.05). Conversely, the C. nucifera group showed a significantly lower activity than the Z. mays group (p < 0.001) and the other treatments (p < 0.05). No significant differences were observed between the remaining treatments in the pairwise comparisons (p > 0.05), except for these two groups.

3.5. Feeding Preference Results of Spodoptera frugiperda

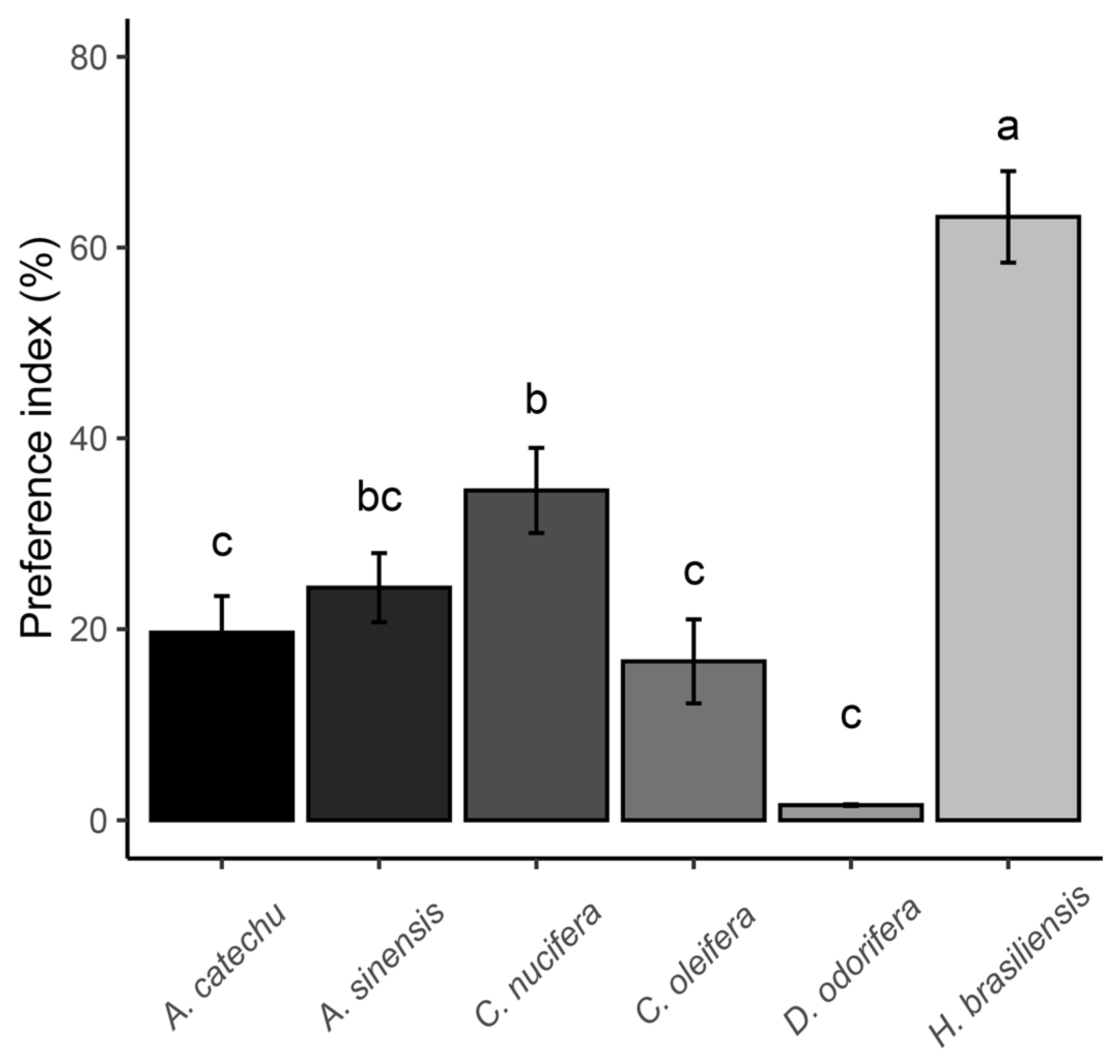
The feeding preference of third-instar S. frugiperda on the six plant species showed significant differences (F = 43.82, p < 0.001) (Figure 4). The overall trend observed was from large to small in the following order: H. brasiliensis, C. nucifera, A. sinensis, A. catechu, C. oleifera, and D. odorifera groups. The larvae’s preference index for H. brasiliensis leaves was significantly higher (p < 0.05) than for the other plants. C. nucifera exhibited a significantly greater preference than A. catechu, C. oleifera, and D. odorifera (p < 0.05) but did not differ significantly from A. sinensis (p > 0.05). There were no statistically significant differences between the groups of A. sinensis, A. catechu, C. oleifera, and D. odorifera (p > 0.05).

4. Discussion

The bio-experimentation in this study revealed significant differences in the performance of S. frugiperda across various tropical tree species. Notably, A. sinensis was the most vulnerable to S. frugiperda infestation, followed by H. brasiliensis and C. nucifera. In contrast, A. catechu, D. odorifera, and C. oleifera were at low risk of infestation by S. frugiperda.
A. sinensis is the primary source of incense in China. Currently, Aquilaria, an endangered species, is listed in Appendix II of the Convention on International Trade in Endangered Species of Wild Fauna and Flora (CITES) [34]. It is a valuable and essential medicinal herb with significant financial value [35]. A. sinensis is mainly affected by three pests: Heortia vitessoides Moore (Lepidoptera: Pyralidae), Dyspessa monticola Grum-Grshimailo (Lepidoptera: Cossidae), and Anoplophora chinensis Forster (Coleoptera: Cerambycidae) [36]. The choice of host plant significantly influences the growth and development of phytophagous insects. Suitable hosts lead to higher survival rates and shorter developmental periods [37]. The growth and development of S. frugiperda were influenced differently by the various host plants in the current study. The experiment showed that the daily survival rate, pupation rate (86.67%), eclosion rate (83.33%), and female rate (24%) of S. frugiperda with A. sinensis were not significantly different from those of the control group (maize). However, the leaf area consumption parameters, larval development time (14.36 ± 0.32 d), and pupal development time (10.72 ± 0.13 d) in the A. sinensis group were significantly lower than those in the maize group, but they performed well compared to the other tree groups. The feeding preference is determined by the selectivity induced by plant volatiles [38,39]. The preference index suggests that A. sinensis is the most vulnerable among the six tree species in terms of feeding preference. Therefore, we infer that A. sinensis is most likely to be victimized by S. frugiperda.
In contrast, H. brasiliensis (Euphorbiaceae) and C. nucifera (Arecaceae) exhibited varying levels of susceptibility. Although they did not perform as well as Z. mays, S. frugiperda feeding on the leaves of these two plants exhibited improved development. The female ratios of adults in the H. brasiliensis and C. nucifera groups did not differ significantly from those of the control and A. sinensis groups. The daily survival rate, pupation rate (50.00%), and eclosion rate (46.67%) of the H. brasiliensis group were significantly lower than those of the Z. mays and A. sinensis groups and did not differ from the C. nucifera group but were higher than those of the other three treatments. The parameter for leaf area consumption and larval development time (13.27 ± 0.57 days) and pupal development time (10.79 ± 0.21 days) was found to be significantly longer in the H. brasiliensis group compared to the Z. mays group but not significantly different from the A. sinensis group. However, it was shorter than in the C. nucifera group. Furthermore, the preference index (63.21 ± 4.80%) of H. brasiliensis was found to be significantly higher than that of the other five trees. The daily survival rate, pupation rate (76.67%), and eclosion rate (46.67%) in the C. nucifera group were similar to those of the H. brasiliensis group. However, they were inferior to the Z. mays group and A. sinensis group but superior to the other groups. The larval development time (16.13 ± 0.55 days), pupal development time (9.00 ± 0.15 days), and preference index (34.52 ± 4.46%) of the C. nucifera group were not as good as those of the H. brasiliensis group. In the A. sinensis groups, these two plants do not perform as well as the control. However, S. frugiperda can equally survive by feeding on them, indicating that they are potentially at risk of being victimized. Furthermore, the pronounced feeding preference of S. frugiperda for H. brasiliensis underscores its potential as a susceptible host. These results suggest that C. nucifera and H. brasiliensis also pose risks, albeit to a lesser extent.
Larval mortality is a crucial indicator of host suitability [40]. The A. catechu, C. oleifera, and D. odorifera groups had notably higher larval mortality rates, with a survival rate of 0%. As a result, there are no available data on pupal mean fresh weight, pupal development time, etc., indicating that these groups are unsuitable for S. frugiperda survival. Additionally, the pupation rate (0% or 3.33%), eclosion rate (0%), and daily leaf area consumption parameters were significantly lower. This suggests that A. catechu, C. oleifera, and D. odorifera are not suitable for the survival of S. frugiperda.
The evaluation of an organism’s physiological and biochemical responses to toxic substances is often based on the activity of protective enzymes in insects [41,42,43,44]. Superoxide dismutase (SOD) and peroxidase (POD) are crucial antioxidant enzymes that maintain cellular redox balance and protect the system from peroxidation [45]. Our study found significant differences in the SOD and POD activities in S. frugiperda consuming different plant leaves. The A. catechu treatment exhibited notably higher SOD and POD enzyme activities compared to the other treatments. Additionally, the other leaf treatments showed significantly higher SOD enzyme activities than the maize control treatment. However, except for the significantly lower POD enzyme activity observed in the C. nucifera treatment compared to the maize control treatment, no significant differences were found in the POD enzyme activity among the other leaf treatments. This study investigated the adaptability of S. frugiperda to different tree species by measuring the activities of SOD and POD enzymes in the bodies of insects while feeding on various leaves. The results indicate that apart from the strong toxicity of A. catechu to S. frugiperda, making it unsuitable for survival, the other tree species may serve as food sources for S. frugiperda, particularly C. nucifera.
Omnivorous pests have a tendency to shift to new host plants and establish themselves as dominant species. The Colorado potato beetle is a prime example of this, as it initially infested wild lycophytes but quickly transitioned to the potato as its primary host plant with the introduction of potato cultivation [46,47]. Other omnivorous pests, such as Polyphagotarsonemus latus Banks (Acariformes: Tarsonemidae), Lopholeucaspis japonica Cockerell (Homoptera: Diaspididae), and Buzura suppressaria Guenee (Lepidoptera: Geometridae), have been observed transitioning to tea trees after a period of acclimatization. This phenomenon is a significant concern for tea tree growers [48]. The mirid bug outbreak in China, which coincided with the widespread adoption of Bt cotton, serves as an example of the potential risks associated with the large-scale planting of genetically modified (GM) crops [49].
An in-depth study of insect host plants can aid in developing integrated management strategies. The fruit preference and age-stage, two-sex life table traits of Bactrocera dorsalis Hendel (Diptera: Tephritidae) were evaluated by researchers in the lab on guava (Psidium guajava L. (Myrtales: Myrtaceae)), papaya (Carica papaya L. (Brassicales: Caricaceae)), and banana (Musa acuminata Colla (Zingiberales: Musaceae)). The results showed that guava was the most suitable fruit and could be used to manage B. dorsalis during papaya and banana seasons [50]. A study was also conducted on Plutella xylostella L. (Lepidoptera: Plutellidae) using age-stage, two-sex life table parameters on napa cabbage (Brassica oleracea L. (Brassicales: Brassicaceae) var. napa), white cabbage (B. oleracea var. capitata), and cauliflower (B. oleracea var. botrytis) under laboratory conditions. This study suggested using cauliflower as a trap crop when cultivating napa cabbage and white cabbage to manage the pest population [51]. Muhammad et al. conducted a study on the biology and biometrics of Dysdercus koenigii Fabricius (Hemiptera: Pyrrhocoridae) on cotton (Gossypium hirsutum L. (Malvales: Malvaceae)), okra (Abelomoschus esculentus L. (Malvales: Malvaceae)), and simal (Bombax ceiba L. (Malvales: Malvaceae)) under laboratory conditions. The results showed that cotton showed better vigor compared to the other crops [52]. These findings can be used to develop effective IPM strategies. Research on the adaptability of pests to host plants can aid in the rational planning of plant cultivation. Effective management strategies can be formulated by exploiting the avoidance and adaptation behavior of pests to host plants.
S. frugiperda is recognized as an omnivorous pest and is documented by the Center for Agriculture and Bioscience International (CABI) as a host for 353 species across 76 plant families [53]. This extensive list, compiled by Montezano and others through a thorough literature review and a survey of the Brazilian ground [22], reveals the broad range of plants susceptible to infestation by this pest. Previous studies have identified C. nucifera and H. brasiliensis as host plants in Brazil [21,54,55], which is consistent with our findings. However, these plants have not been reported as host plants of S. frugiperda in China, indicating a lack of scientific investigation in the region. It is worth noting that our experiment revealed a specific adaptation of S. frugiperda to A. sinensis, which has not been documented in previous surveys. The reason for the omission may be that A. sinensis is an economically important evergreen tree species that is native to China [56]. Although there are no existing reports on whether S. frugiperda has attacked A. sinensis, the potential risk is still a cause for concern. Further investigation into the mechanisms of host adaptation is necessary, taking into account factors such as host plant defense mechanisms, insect–plant chemical interactions, and the role of genetic variability in shaping the pest’s ability to exploit various plant species. This study emphasizes the significance of considering host plant susceptibility in pest management strategies. Moving forward, research efforts should focus on elucidating the underlying mechanisms of host adaptation and developing integrated pest management approaches tailored to specific agricultural and forestry contexts.
Our investigation revealed an intriguing discovery: C. oleifera inhibited the growth and development of S. frugiperda, resulting in the mortality of all larvae within 10 days. Additionally, the survival rates were low in the A. catechu and D. odorifera treatments. This suggests that these trees may contain toxic substances with lethal effects on S. frugiperda. It is worth noting that many references report the presence of insecticidal substances in these trees. For example, A. catechu extracts contain several alkaloid components, including arecoline, arecaidine, guvacine, and guvacoline, which exhibit effective insecticidal activity against Lepidoptera pests, such as P. xylostella [57]. Similarly, C. oleifera produces tea saponin, which has a history of preventing and controlling Lepidoptera, Diptera, and other pests. Several studies have demonstrated that tea saponin has significant synergistic effects on various pesticides [58,59,60]. The survival rate of Lepidoptera pests may be affected by the water content of D. odorifera’s leaves and the production of secondary metabolites, such as tannins [61]. Investigating the toxic substances and mechanisms involved in this inhibition could aid in the development of sustainable pest control strategies.

5. Conclusions

The study investigated the suitability of various tropical tree species as hosts for S. frugiperda, revealing significant differences in infestation levels among species. A. sinensis, H. brasiliensis, and C. nucifera were identified as likely hosts, while A. catechu, D. odorifera, and C. oleifera showed lower susceptibility. Additionally, C. oleifera exhibited inhibitory effects on S. frugiperda, suggesting its potential as a natural insecticide. This research enhances the understanding of the ecological dynamics between S. frugiperda and tropical trees, with implications for pest management. Future studies should focus on the mechanisms of host susceptibility and explore new pest control methods. Overall, the findings underscore the importance of ongoing research into herbivorous pest behavior amid evolving agricultural practices and genetically modified crops, aiming to prevent further harm and implement effective prevention and control measures across agriculture and forestry.

Supplementary Materials

The following supporting information can be downloaded at: https://www.mdpi.com/article/10.3390/f15040701/s1, Table S1: The main pests and economic values of “six trees”; File S1: Performance of Spodoptera frugiperda on different diets.; File S2: The daily leaf area consumption (mm2) by S. frugiperda feeding on leaves from different plants; File S3: The preference index of third-instar S. frugiperda on six plant species; File S4: The R code for this study.

Author Contributions

Y.Y. and Y.C. designed the study, and J.X. conducted the experiments. Y.Y., Y.C. and J.X. analyzed the data and drafted the original manuscript. J.X. made the figures, and X.K., R.J., X.J., J.G. and Y.G. provided the experimental materials. All authors contributed to the drafting of the final manuscript. All authors have read and agreed to the published version of the manuscript.

Funding

This project was supported by the Hainan Provincial Natural Science Foundation of China (323QN196), the China Scholarship Council (No. 202107565020), the Funding for Postdoctoral Research Projects in Hainan Province in 2022 (307044), and the Project of Sanya Yazhou Bay Science and Technology City (SCKJ-JYRC-2023-69).

Data Availability Statement

All data presented in this manuscript are available in Supplementary Materials.

Acknowledgments

We would like to thank Isabella Zani (FiBL) for assisting in language editing of the manuscript.

Conflicts of Interest

The authors declare no conflict of interest.

References

  1. Sparks, A.N. A Review of the Biology of the Fall Armyworm. Fla. Entomol. 1979, 62, 82–87. [Google Scholar] [CrossRef]
  2. Shi, W.P. How greedy are the fall armyworm? J. Plant Prot. 2020, 47, 687–691. [Google Scholar] [CrossRef]
  3. Kenis, M. Prospects for Classical Biological Control of Spodoptera frugiperda (Lepidoptera: Noctuidae) in Invaded Areas Using Parasitoids from the Americas. J. Econ. Entomol. 2023, 116, 331–341. [Google Scholar] [CrossRef] [PubMed]
  4. Kumar, R.M.; Gadratagi, B.-G.; Paramesh, V.; Kumar, P.; Madivalar, Y.; Narayanappa, N.; Ullah, F. Sustainable Management of Invasive Fall Armyworm, Spodoptera frugiperda. Agronomy 2022, 12, 2150. [Google Scholar] [CrossRef]
  5. Day, R.; Abrahams, P.; Bateman, M.; Beale, T.; Clottey, V.; Cock, M.; Colmenarez, Y.; Corniani, N.; Early, R.; Godwin, J.; et al. Fall Armyworm: Impacts and Implications for Africa. Outlook Pest Manag. 2017, 28, 196–201. [Google Scholar] [CrossRef]
  6. Goergen, G.; Kumar, P.L.; Sankung, S.B.; Togola, A.; Tamò, M. First Report of Outbreaks of the Fall Armyworm Spodoptera frugiperda (J.E. Smith) (Lepidoptera, Noctuidae), a New Alien Invasive Pest in West and Central Africa. PLoS ONE 2016, 11, e0165632. [Google Scholar] [CrossRef] [PubMed]
  7. Early, R.; González-Moreno, P.; Murphy, S.T.; Day, R. Forecasting the Global Extent of Invasion of the Cereal Pest Spodoptera frugiperda, the Fall Armyworm. NeoBiota 2018, 40, 25–50. [Google Scholar] [CrossRef]
  8. Ganiger, P.C.; Yeshwanth, H.M.; Muralimohan, K.; Vinay, N.; Kumar, A.R.; Chandrashekara, K.J. Occurrence of the New Invasive Pest, Fall Armyworm, Spodoptera frugiperda (J.E. Smith) (Lepidoptera: Noctuidae), in the Maize Fields of Karnataka, India. Curr. Sci. 2018, 115, 621–623. [Google Scholar] [CrossRef]
  9. Tang, J.; Lu, B.; Lu, H.; Ji, X.; Yang, P.; Su, H.; Cai, B. Investigation and Preliminary Study of Biological Characteristic of Parasitic Wasps of Spodoptera frugiperda in Hainan. Chin. J. Trop. Crop. 2020, 41, 1189–1195. [Google Scholar] [CrossRef]
  10. Liu, J.; Jiang, Y.Y.; Wu, Q.L.; Zhao, S.Y.; Li, H. Characteristics of Spodoptera frugiperda infestation in winter and spring and its trend in the second half of the year in China. China Plant Prot. 2019, 39, 36–38+49. [Google Scholar] [CrossRef]
  11. Zhang, L.; Liu, B.; Jiang, Y.Y.; Liu, J.; Wu, K.M.; Xiao, Y.T. Molecular characterization analysis of fall armyworm populations in China. Plant Prot. 2019, 45, 20–27. [Google Scholar] [CrossRef]
  12. Tay, W.T.; Rane, R.V.; James, W.; Gordon, K.H.J.; Downes, S.; Kim, J.; Kuniata, L.; Walsh, T.K. Resistance Bioassays and Allele Characterization Inform Analysis of Spodoptera frugiperda (Lepidoptera: Noctuidae) Introduction Pathways in Asia and Australia. J. Econ. Entomol. 2022, 115, 1790–1805. [Google Scholar] [CrossRef] [PubMed]
  13. Tay, W.T.; Meagher, R.L.; Czepak, C.; Groot, A.T. Spodoptera frugiperda: Ecology, Evolution, and Management Options of an Invasive Species. Annu. Rev. Entomol. 2023, 68, 299–317. [Google Scholar] [CrossRef] [PubMed]
  14. Jiang, Y.Y.; Liu, J.; Xie, M.C.; Li, Y.H.; Yang, J.J.; Zhang, M.L.; Qiu, K. Observation on law of diffusion damage of Spodoptera frugiperda in China in 2019. Plant Prot. 2019, 45, 10–19. [Google Scholar] [CrossRef]
  15. Zacarias, D.A. Global Bioclimatic Suitability for the Fall Armyworm, Spodoptera frugiperda (Lepidoptera: Noctuidae), and Potential Co-Occurrence with Major Host Crops under Climate Change Scenarios. Clim. Chang. 2020, 161, 555–566. [Google Scholar] [CrossRef]
  16. Fiteni, E.; Durand, K.; Gimenez, S.; Meagher, R.L.; Legeai, F.; Kergoat, G.J.; Nègre, N.; d’Alençon, E.; Nam, K. Host-Plant Adaptation as a Driver of Incipient Speciation in the Fall Armyworm (Spodoptera frugiperda). BMC Ecol. Evol. 2022, 22, 133. [Google Scholar] [CrossRef]
  17. Gouin, A.; Bretaudeau, A.; Nam, K.; Gimenez, S.; Aury, J.-M.; Duvic, B.; Hilliou, F.; Durand, N.; Montagné, N.; Darboux, I.; et al. Two Genomes of Highly Polyphagous Lepidopteran Pests (Spodoptera frugiperda, Noctuidae) with Different Host-Plant Ranges. Sci. Rep. 2017, 7, 11816. [Google Scholar] [CrossRef] [PubMed]
  18. Sun, X.; Hu, C.; Jia, H.; Wu, Q.; Shen, X.; Zhao, S.; Jiang, Y.; Wu, K. Case Study on the First Immigration of Fall Armyworm, Spodoptera Frugiperda Invading into China. J. Integr. Agric. 2021, 20, 664–672. [Google Scholar] [CrossRef]
  19. Wu, K.M. Management strategies of fall armyworm (Spodoptera frugiperda) in China. Plant Prot. 2020, 46, 1–5. [Google Scholar] [CrossRef]
  20. Fen, R.S. Characteristics of the Occurrence and Control Measures of Spodoptera frugiperda. Seed Sci. 2023, 41, 116–118. [Google Scholar] [CrossRef]
  21. Casmuz, A.; Juárez, M.L.; Socías, M.G.; Murúa, M.G.; Prieto, S.; Medina, S.; Willink, E. Revisión de los hospederos del gusano cogollero del maíz, Spodoptera frugiperda (Lepidoptera: Noctuidae). Rev. Soc. Entomol. Arg. 2010, 69, 3–4. Available online: http://www.scielo.org.ar/scielo.php?script=sci_arttext&pid=S0373-56802010000200007&lng=es&tlng=es (accessed on 26 December 2023).
  22. Montezano, D.G.; Specht, A.; Sosa-Gómez, D.R.; Roque-Specht, V.F.; Sousa-Silva, J.C.; Paula-Moraes, S.V.; Peterson, J.A.; Hunt, T.E. Host Plants of Spodoptera frugiperda (Lepidoptera: Noctuidae) in the Americas. Afr. Entomol. 2018, 26, 286–300. [Google Scholar] [CrossRef]
  23. Sun, R.; Gao, L.; Mi, Z.; Zheng, Y.; Li, D. CnMADS1, a MADS Transcription Factor, Positively Modulates Cell Proliferation and Lipid Metabolism in the Endosperm of Coconut (Cocos nucifera L.). Planta 2020, 252, 83. [Google Scholar] [CrossRef] [PubMed]
  24. Li, M. Planting the Six Trees and Finding the Power Points. Hainan Daily. 2022, p. A05. Available online: http://news.hndaily.cn/html/2022-04/27/content_58468_14759402.htm (accessed on 9 September 2023).
  25. Wu, C.B.; Ren, C.C.; Zhu, M.J.; Du, R.K.; Yan, C.Z.; Han, S.; Rui, K.; Lu, C.J. Efficacy of a combination of carbofuran and azoxystrobin against red-veined spike borer of betel nut. China Plant Prot. 2022, 42, 83–85. [Google Scholar] [CrossRef]
  26. Meng, X.L.; Song, W.W.; Tang, Q.H.; Niu, X.Q.; Li, C.X.; Zhong, B.Z.; Lv, C.J.; Huang, S.C.; Qin, W.Q. Advances in Main Diseases and Insect Pests of Areca Palm. Chin. J. Trop. Crop. 2021, 42, 3055–3065. [Google Scholar] [CrossRef]
  27. Tang, Q.B.; Wang, C.Z. Leaf disctest used in caterpillar feeding preference study. Chin. Bull. Entomol. 2007, 44, 912–915. [Google Scholar] [CrossRef]
  28. Yong, Z.; Hao-Ru, T.; Ya, L. Variation in Antioxidant Enzyme Activities of Two Strawberry Cultivars with Short-Term Low Temperature Stress. World J. Agric. Sci. 2008, 4, 458–462. Available online: https://www.idosi.org/wjas/wjas4(4)/8.pdf (accessed on 27 December 2023).
  29. Loh, K.P.; Qi, J.; Tan, B.K.H.; Liu, X.H.; Wei, B.G.; Zhu, Y.Z. Leonurine Protects Middle Cerebral Artery Occluded Rats Through Antioxidant Effect and Regulation of Mitochondrial Function. Stroke 2010, 41, 2661–2668. [Google Scholar] [CrossRef] [PubMed]
  30. Li, H.-X.; Xiao, Y.; Cao, L.-L.; Yan, X.; Li, C.; Shi, H.-Y.; Wang, J.-W.; Ye, Y.-H. Cerebroside C Increases Tolerance to Chilling Injury and Alters Lipid Composition in Wheat Roots. PLoS ONE 2013, 8, e73380. [Google Scholar] [CrossRef]
  31. Su, X.N.; Li, C.Y.; Xu, Y.J.; Huang, S.H.; Liu, W.L.; Liao, Z.X.; Zhang, Y.P. Feeding preference and adaptability of fall armyworm Spodoptera frugiperda on five species of host plants and six weeds. J. Environ. Entomol. 2022, 44, 263–272. [Google Scholar] [CrossRef]
  32. Chen, Y.; Romeis, J.; Meissle, M. Performance of Daphnia Magna on Flour, Leaves, and Pollen from Different Maize Lines: Implications for Risk Assessment of Genetically Engineered Crops. Ecotoxicol. Environ. Saf. 2021, 212, 111967. [Google Scholar] [CrossRef] [PubMed]
  33. McKnight, P.E.; Najab, J. Mann-Whitney U Test. In The Corsini Encyclopedia of Psychology; John Wiley & Sons, Ltd.: Hoboken, NJ, USA, 2010; p. 1. ISBN 978-0-470-47921-6. [Google Scholar]
  34. CITES. Convention on International Trade in Endangered Species of Wild Fauna and Flora. Available online: https://www.cites.org/eng/disc/what.php (accessed on 27 December 2023).
  35. Song, J.; Zhang, L.N.; Zhang, Z.H.; Zhou, Z.Z.; Liang, J.F.; Lu, J.K. High-throughput Sequencing Analysis of Fungal Diversity in Agar-wood Wound Locations. Chin. J. Trop. Crop. 2020, 42, 3358–3368. [Google Scholar] [CrossRef]
  36. Zhou, Y.K.; Qiao, H.L.; Zhan, Q.Q.; Zhao, X.S.; Lu, L.L.; Chen, J. Occurrence and Control of the Disease and Pests Damage on Aquilaria Siensis in Hainan. Mod. Chin. Med. 2017, 19, 1102–1105. [Google Scholar] [CrossRef]
  37. Silva, D.M.D.; Bueno, A.D.F.; Andrade, K.; Stecca, C.D.S.; Neves, P.M.O.J.; Oliveira, M.C.N.D. Biology and Nutrition of Spodoptera frugiperda (Lepidoptera: Noctuidae) Fed on Different Food Sources. Sci. Agric. 2017, 74, 18–31. [Google Scholar] [CrossRef]
  38. Carrasco, D.; Larsson, M.C.; Anderson, P. Insect Host Plant Selection in Complex Environments. Curr. Opin. Insect Sci. 2015, 8, 1–7. [Google Scholar] [CrossRef] [PubMed]
  39. Lu, W.; Hou, M.L.; Wen, J.H.; Li, J.W. Effects of plant volatiles on herbivorous insects. Plant Prot. 2007, 33, 7–11. [Google Scholar] [CrossRef]
  40. Moreau, J.; Benrey, B.; Thiéry, D. Grape Variety Affects Larval Performance and Also Female Reproductive Performance of the European Grapevine Moth Lobesia Botrana (Lepidoptera: Tortricidae). Bull. Entomol. Res. 2006, 96, 205–212. [Google Scholar] [CrossRef]
  41. Chen, Y.; Gao, Y.; Zhu, H.; Romeis, J.; Li, Y.; Peng, Y.; Chen, X. Effects of Straw Leachates from Cry1C-Expressing Transgenic Rice on the Development and Reproduction of Daphnia Magna. Ecotoxicol. Environ. Saf. 2018, 165, 630–636. [Google Scholar] [CrossRef] [PubMed]
  42. Kumar, A.; Vajpayee, P.; Ali, M.B.; Tripathi, R.D.; Singh, N.; Rai, U.N.; Singh, S.N. Biochemical Responses of Cassia Siamea Lamk. Grown on Coal Combustion Residue (Fly-Ash). Bull. Environ. Contam. Toxicol. 2002, 68, 675–683. [Google Scholar] [CrossRef]
  43. Marciniak, B.; Grabowicz, W.; Ferenc, T. Evaluation of Micronuclei in Mice Bone Marrow and Antioxidant Systems in Erythrocytes Exposed to A-Amanitin. Toxicon 2013, 63, 147–153. [Google Scholar] [CrossRef]
  44. Vuleta, A. Adaptive Flexibility of Enzymatic Antioxidants SOD, APX and CAT to High Light Stress: The Clonal Perennial Monocot Iris Pumila as a Study Case. Plant Physiol. Biochem. 2016, 100, 166–173. [Google Scholar] [CrossRef] [PubMed]
  45. Ismaiel, M.M.S.; El-Ayouty, Y.M.; Piercey-Normore, M. Role of pH on Antioxidants Production by Spirulina (Arthrospira) Platensis. Braz. J. Microbiol. 2016, 47, 298–304. [Google Scholar] [CrossRef] [PubMed]
  46. Alyokhin, A.; Benkovskaya, G.; Udalov, M. Chapter 4—Colorado Potato Beetle. In Insect Pests of Potato, 2nd ed.; Alyokhin, A., Rondon, S.I., Gao, Y., Eds.; Academic Press: Cambridge, MA, USA, 2022; pp. 29–43. ISBN 978-0-12-821237-0. [Google Scholar] [CrossRef]
  47. Jernelöv, A. The Colorado (Potato) Beetle. In The Long-Term Fate of Invasive Species: Aliens Forever or Integrated Immigrants with Time? Jernelöv, A., Ed.; Springer International Publishing: Cham, Switzerland, 2017; pp. 105–116. ISBN 978-3-319-55396-2. [Google Scholar] [CrossRef]
  48. Chen, Z.M. Chemical Ecology of Tea Tree Pests; Shanghai Scientific & Technical Publishers: Shanghai, China, 2013. [Google Scholar]
  49. Lu, Y.; Wu, K.; Jiang, Y.; Xia, B.; Li, P.; Feng, H.; Wyckhuys, K.A.G.; Guo, Y. Mirid Bug Outbreaks in Multiple Crops Correlated with Wide-Scale Adoption of Bt Cotton in China. Science 2010, 328, 1151–1154. [Google Scholar] [CrossRef] [PubMed]
  50. Jaleel, W.; Tao, X.; Wang, D.; Lu, L.; He, Y. Using Two-Sex Life Table Traits to Assess the Fruit Preference and Fitness of Bactrocera dorsalis (Diptera: Tephritidae). J. Econ. Entomol. 2018, 111, 2936–2945. [Google Scholar] [CrossRef] [PubMed]
  51. Jaleel, W.; Saeed, S.; Saeed, Q.; Naqqash, M.N.; Sial, M.U.; Aine, Q.U.; Yanyuan, L.; Rui, Z.; He, Y.; Lu, L. Effects of Three Different Cultivars of Cruciferous Plants on the Age-Stage, Two-Sex Life Table Traits of Plutella xylostella (L.) (Lepidoptera: Plutellidae). Entomol. Res. 2019, 49, 151–157. [Google Scholar] [CrossRef]
  52. Naqqash, M.; Saeed, S.; Jaleel, W.; Zaka, M.; Saeed, Q. Effect of Host Plants on Life History Traits of Dysdercus Koenigii (Hemiptera: Pyrrhocoridae). J. Biodivers. Environ. Sci. 2014, 4, 187–194. [Google Scholar]
  53. Rwomushana, I. Spodoptera Frugiperda (Fall Armyworm). CABI Compend. 2019, 29810. [Google Scholar] [CrossRef]
  54. Heppner, J.B. Lepidoptera of Florida, Part 1: Introduction and Catalog. Arthropods Fla. Neighboring Land Areas 2007, 17, 1–670. [Google Scholar]
  55. Silva, A.G.A.; Goncalves, C.R.; Galvão, D.M.; Gonçalves, A.J.L.; Gomes, J.; Silva, M.N.; Simoni, L.; Silva, R.; Galvao, D.; Gonçalves, M. Quarto Catálogo Dos Insetos Que Vivem Nas Plantas Do Brasil. Seus Parasitos e Predadores: Parte 2, Tomo 1o, Insetos, Hospedeiros e Inimigos Naturais—ScienceOpen; Ministério da Agricultura: Rio de Janeiro, Brazil, 1968. [Google Scholar]
  56. Wang, Z.; Cao, H. The Complete Mitochondrial Genome Sequence of Aquilaria Sinensis. Mitochondrial DNA Part B Resour. 2021, 6, 381–383. [Google Scholar] [CrossRef]
  57. Zheng, M. Identification of Insecticidal Activity of Areca Nut Alkaloids Components and Their Formulation Study. Master’s Thesis, Yangzhou University, Yangzhou, China, 2021. [Google Scholar]
  58. Cui, C.; Yang, Y.; Zhao, T.; Zou, K.; Peng, C.; Cai, H.; Wan, X.; Hou, R. Insecticidal Activity and Insecticidal Mechanism of Total Saponins from Camellia oleifera. Molecules 2019, 24, 4518. [Google Scholar] [CrossRef]
  59. Wang, X.Y.; Huang, B.Q. Determination of the synergistic effect of tea saponins on several pesticides. J. South China Agric. Univ. 1999, 20, 32–35. [Google Scholar] [CrossRef]
  60. Hao, W.N.; Zeng, Y.; Hu, M.Y.; Li, F.; Ji, D.Q. Progress of tea saponins in pesticide applications. Pesticides 2010, 49, 90–93+96. [Google Scholar] [CrossRef]
  61. Kong, D.L. A Study on the Resistance of Five Species of Dalbergia to Plecoptera oculata Moore. Master’s Thesis, South China Agricultural University, Guangzhou, China, 2022. [Google Scholar]
Figure 1. The survival rate (%) of Spodoptera frugiperda when fed on leaves from seven plant species until eclosion (n = 30). The data were analyzed using the Kaplan–Meier procedure and log-rank test. Significant differences among subgroups are indicated.
Figure 1. The survival rate (%) of Spodoptera frugiperda when fed on leaves from seven plant species until eclosion (n = 30). The data were analyzed using the Kaplan–Meier procedure and log-rank test. Significant differences among subgroups are indicated.
Forests 15 00701 g001
Figure 2. The daily mean leaf area consumption (mm2) by S. frugiperda feeding on leaves from different plants was subjected to a comprehensive LMER analysis. Random factors were considered for distinct plant treatments, time (days), and replications. Treatment comparisons were assessed using the ANOVA function with type III sum of squares (car package). Significance levels (p < 0.05) are indicated by letters following subgroups.
Figure 2. The daily mean leaf area consumption (mm2) by S. frugiperda feeding on leaves from different plants was subjected to a comprehensive LMER analysis. Random factors were considered for distinct plant treatments, time (days), and replications. Treatment comparisons were assessed using the ANOVA function with type III sum of squares (car package). Significance levels (p < 0.05) are indicated by letters following subgroups.
Forests 15 00701 g002
Figure 3. The enzyme activities of SOD (A) and POD (B) in S. frugiperda when fed on different plant species, with Z. mays serving as the control treatment. Tukey’s HSD test was used for analysis. Different letters indicate significant differences (p < 0.05). Bars indicate mean ± SE.
Figure 3. The enzyme activities of SOD (A) and POD (B) in S. frugiperda when fed on different plant species, with Z. mays serving as the control treatment. Tukey’s HSD test was used for analysis. Different letters indicate significant differences (p < 0.05). Bars indicate mean ± SE.
Forests 15 00701 g003
Figure 4. The feeding preference of third-instar S. frugiperda on six plant species was assessed using the preference index, calculated as the percentage of the larval consumed area on leaf discs from one plant relative to the total feeding area from all leaf discs. The index ranges from 0 to 100%, with ≤1/6 indicating no preference for feeding. Statistical analysis was performed using the Tukey HSD test, where different letters indicate significant differences (p < 0.05). Bars indicate mean ± SE.
Figure 4. The feeding preference of third-instar S. frugiperda on six plant species was assessed using the preference index, calculated as the percentage of the larval consumed area on leaf discs from one plant relative to the total feeding area from all leaf discs. The index ranges from 0 to 100%, with ≤1/6 indicating no preference for feeding. Statistical analysis was performed using the Tukey HSD test, where different letters indicate significant differences (p < 0.05). Bars indicate mean ± SE.
Forests 15 00701 g004
Table 1. Performance of Spodoptera frugiperda on different diets.
Table 1. Performance of Spodoptera frugiperda on different diets.
ParameterZ. maysH. brasiliensisA. sinensisC. nuciferaD. odoriferaA. catechuC. oleifer
Pupation rate (%) a90.00 (30) a50.00 (30) b86.67 (30) a76.67 (30) ab0 (30) c3.33 (30) c0 (30) c
Eclosion rate (%) a83.33 (30) a46.67 (30) b83.33 (30) a46.67 (30) b0 (30) c0 (30) c0 (30) c
Larval development time (d) b10.18 ± 0.21 (27) a13.27 ± 0.57 (15) b14.36 ± 0.32 (26) bc16.13 ± 0.55 (23) c-14 (1) -
Pupal development time (d) b10.04 ± 0.12 (25) a10.79 ± 0.21 (14) b10.72 ± 0.13 (25) b9.00 ± 0.15 (14) c---
Pupal length (mm) c15.34 ± 0.20 (25) a16.11 ± 0.38 (14) a15.81 ± 0.23 (25) a15.38 ± 0.27 (14) a-12.00 (1)-
Female pupal fresh weight (mg) c120.72 ± 2.84 (11) a150.00 ± 6.06 (6) b130.50 ± 5.08 (6) ab111.67 ± 4.00 (12) a ---
Male pupal fresh weight (mg) c131.00 ± 3.18 (14) a133.00 ± 7.94 (8) a143.47 ± 3.00 (19) a127.00 ± 3.00 (2) a---
Pupal mean fresh weight (mg)126.48 ± 3.17 (25) a140.29 ± 5.56 (14) b140.36 ± 3.70 (25) b113.86 ± 0.3.73 (14) a
Females rate (%) a44.00 (25) a42.86 (14) a24.00 (25) a85.71 (14) a---
Life table parameters (±SE) of S. frugiperda larvae when fed exclusively with different tree leaves. Number of replicates is given in parentheses. The means in the same rows followed by the same letters denoted no significant difference between the treatments. Due to limitations in the sample size, larval development time and pupal length for the A. catechu group were not compared with those of other groups. a Chi-square test (significance values have been adjusted by the Bonferroni correction for multiple tests). b Kruskal–Wallis’s test with Mann–Whitney’s U test (significance values have been adjusted by the Bonferroni correction for multiple tests). c One-way ANOVA with Tukey’s honestly significant difference (HSD) test.
Disclaimer/Publisher’s Note: The statements, opinions and data contained in all publications are solely those of the individual author(s) and contributor(s) and not of MDPI and/or the editor(s). MDPI and/or the editor(s) disclaim responsibility for any injury to people or property resulting from any ideas, methods, instructions or products referred to in the content.

Share and Cite

MDPI and ACS Style

Xue, J.; Chen, Y.; Kong, X.; Jia, R.; Jiang, X.; Guo, J.; Guo, Y.; Yang, Y. The Potential Threats of Spodoptera frugiperda on Six Economic Tree Species in the Tropical Region. Forests 2024, 15, 701. https://doi.org/10.3390/f15040701

AMA Style

Xue J, Chen Y, Kong X, Jia R, Jiang X, Guo J, Guo Y, Yang Y. The Potential Threats of Spodoptera frugiperda on Six Economic Tree Species in the Tropical Region. Forests. 2024; 15(4):701. https://doi.org/10.3390/f15040701

Chicago/Turabian Style

Xue, Jiabao, Yi Chen, Xiangyi Kong, Ruizong Jia, Xiaoqi Jiang, Jingyuan Guo, Yunling Guo, and Yan Yang. 2024. "The Potential Threats of Spodoptera frugiperda on Six Economic Tree Species in the Tropical Region" Forests 15, no. 4: 701. https://doi.org/10.3390/f15040701

APA Style

Xue, J., Chen, Y., Kong, X., Jia, R., Jiang, X., Guo, J., Guo, Y., & Yang, Y. (2024). The Potential Threats of Spodoptera frugiperda on Six Economic Tree Species in the Tropical Region. Forests, 15(4), 701. https://doi.org/10.3390/f15040701

Note that from the first issue of 2016, this journal uses article numbers instead of page numbers. See further details here.

Article Metrics

Back to TopTop