Real-Time Estimation of Tree Position, Tree Height, and Tree Diameter at Breast Height Point, Using Smartphones Based on Monocular SLAM
Abstract
1. Introduction
2. Protocols and Mechanism
2.1. Monocular SLAM Theory
2.2. Monocular Densification Reconstruction
3. Materials and Methodology
3.1. System Workflow
3.2. DBH and Tree Position Algorithm
3.3. Tree Height Algorithm
4. Test Cases
4.1. Research Area and Test Data
4.2. Plot Inventory Procedure
4.3. Accuracy Assessment and Evaluation
4.4. Experimental Results
4.4.1. Tree Position
4.4.2. Estimating DBH
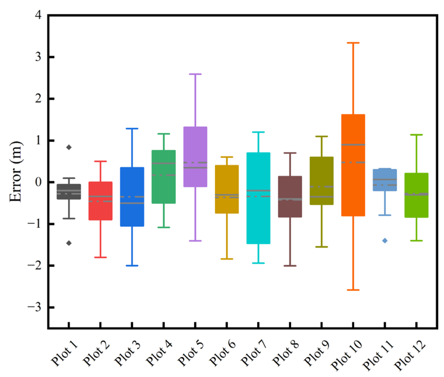
4.4.3. Estimating Tree Height
5. Discussion
5.1. Tree Position Measurement
5.2. DBH Measurement
5.3. Tree Height Measurement
6. Conclusions
Author Contributions
Funding
Data Availability Statement
Acknowledgments
Conflicts of Interest
References
- Brodribb, T.J.; Powers, J.; Cochard, H.; Choat, B. Hanging by a Thread? Forests and Drought. Science 2020, 368, 261–266. [Google Scholar] [CrossRef]
- Gauthier, S.; Bernier, P.; Kuuluvainen, T.; Shvidenko, A.Z.; Schepaschenko, D.G. Boreal Forest Health and Global Change. Science 2015, 349, 819–822. [Google Scholar] [CrossRef]
- McDowell, N.G.; Allen, C.D.; Anderson-Teixeira, K.; Aukema, B.H.; Bond-Lamberty, B.; Chini, L.; Clark, J.S.; Dietze, M.; Grossiord, C.; Hanbury-Brown, A.; et al. Pervasive Shifts in Forest Dynamics in a Changing World. Science 2020, 368, eaaz9463. [Google Scholar] [CrossRef]
- Trumbore, S.; Brando, P.; Hartmann, H. Forest Health and Global Change. Science 2015, 349, 814–818. [Google Scholar] [CrossRef]
- Brolly, G.; Kiraly, G.; Lehtomaki, M.; Liang, X. Voxel-Based Automatic Tree Detection and Parameter Retrieval from Terrestrial Laser Scans for Plot-Wise Forest Inventory. Remote Sens. 2021, 13, 542. [Google Scholar] [CrossRef]
- Fan, Y.; Feng, Z.; Shen, C.; Khan, T.U.; Mannan, A.; Gao, X.; Chen, P.; Saeed, S. A Trunk-Based SLAM Backend for Smartphones with Online SLAM in Large-Scale Forest Inventories. ISPRS-J. Photogramm. Remote Sens. 2020, 162, 41–49. [Google Scholar] [CrossRef]
- Liang, X.; Hyyppa, J.; Kaartinen, H.; Lehtomaki, M.; Pyorala, J.; Pfeifer, N.; Holopainen, M.; Brolly, G.; Pirotti, F.; Hackenberg, J.; et al. International Benchmarking of Terrestrial Laser Scanning Approaches for Forest Inventories. ISPRS-J. Photogramm. Remote Sens. 2018, 144, 137–179. [Google Scholar] [CrossRef]
- Panagiotidis, D.; Abdollahnejad, A.; Slavík, M. 3D Point Cloud Fusion from UAV and TLS to Assess Temperate Managed Forest Structures. Int. J. Appl. Earth Obs. Geoinf. 2022, 112, 102917. [Google Scholar] [CrossRef]
- Surový, P.; Almeida Ribeiro, N.; Panagiotidis, D. Estimation of Positions and Heights from UAV-Sensed Imagery in Tree Plantations in Agrosilvopastoral Systems. Int. J. Remote Sens. 2018, 39, 4786–4800. [Google Scholar] [CrossRef]
- Balsi, M.; Esposito, S.; Fallavollita, P.; Nardinocchi, C. Single-Tree Detection in High-Density LiDAR Data from UAV-Based Survey. Eur. J. Remote Sens. 2018, 51, 679–692. [Google Scholar] [CrossRef]
- Cabo, C.; Ordonez, C.; Lopez-Sanchez, C.A.; Armesto, J. Automatic Dendrometry: Tree Detection, Tree Height and Diameter Estimation Using Terrestrial Laser Scanning. Int. J. Appl. Earth Obs. Geoinf. 2018, 69, 164–174. [Google Scholar] [CrossRef]
- Liang, X.; Kankare, V.; Yu, X.; Hyyppa, J.; Holopainen, M. Automated Stem Curve Measurement Using Terrestrial Laser Scanning. IEEE Trans. Geosci. Remote Sens. 2014, 52, 1739–1748. [Google Scholar] [CrossRef]
- Kuekenbrink, D.; Marty, M.; Boesch, R.; Ginzler, C. Benchmarking Laser Scanning and Terrestrial Photogrammetry to Extract Forest Inventory Parameters in a Complex Temperate Forest. Int. J. Appl. Earth Obs. Geoinf. 2022, 113, 102999. [Google Scholar] [CrossRef]
- Wang, Y.; Lehtomaki, M.; Liang, X.; Pyorala, J.; Kukko, A.; Jaakkola, A.; Liu, J.; Feng, Z.; Chen, R.; Hyyppa, J. Is Field-Measured Tree Height as Reliable as Believed A Comparison Study of Tree Height Estimates from Field Measurement, Airborne Laser Scanning and Terrestrial Laser Scanning in a Boreal Forest. ISPRS-J. Photogramm. Remote Sens. 2019, 147, 132–145. [Google Scholar] [CrossRef]
- Gollob, C.; Ritter, T.; Wassermann, C.; Nothdurft, A. Influence of Scanner Position and Plot Size on the Accuracy of Tree Detection and Diameter Estimation Using Terrestrial Laser Scanning on Forest Inventory Plots. Remote Sens. 2019, 11, 1602. [Google Scholar] [CrossRef]
- Liang, X.; Jaakkola, A.; Wang, Y.; Hyyppa, J.; Honkavaara, E.; Liu, J.; Kaartinen, H. The Use of a Hand-Held Camera for Individual Tree 3D Mapping in Forest Sample Plots. Remote Sens. 2014, 6, 6587–6603. [Google Scholar] [CrossRef]
- Jurjevic, L.; Liang, X.; Gasparovic, M.; Balenovic, I. Is Field-Measured Tree Height as Reliable as Believed—Part II, A Comparison Study of Tree Height Estimates from Conventional Field Measurement and Low-Cost Close-Range Remote Sensing in a Deciduous Forest. ISPRS-J. Photogramm. Remote Sens. 2020, 169, 227–241. [Google Scholar] [CrossRef]
- Gollob, C.; Ritter, T.; Nothdurft, A. Forest Inventory with Long Range and High-Speed Personal Laser Scanning (PLS) and Simultaneous Localization and Mapping (SLAM) Technology. Remote Sens. 2020, 12, 1509. [Google Scholar] [CrossRef]
- Liang, X.; Kankare, V.; Hyyppa, J.; Wang, Y.; Kukko, A.; Haggren, H.; Yu, X.; Kaartinen, H.; Jaakkola, A.; Guan, F.; et al. Terrestrial Laser Scanning in Forest Inventories. ISPRS-J. Photogramm. Remote Sens. 2016, 115, 63–77. [Google Scholar] [CrossRef]
- Wilkes, P.; Lau, A.; Disney, M.; Calders, K.; Burt, A.; de Tanago, J.G.; Bartholomeus, H.; Brede, B.; Herold, M. Data Acquisition Considerations for Terrestrial Laser Scanning of Forest Plots. Remote Sens. Environ. 2017, 196, 140–153. [Google Scholar] [CrossRef]
- Calders, K.; Adams, J.; Armston, J.; Bartholomeus, H.; Bauwens, S.; Bentley, L.P.; Chave, J.; Danson, F.M.; Demol, M.; Disney, M.; et al. Terrestrial Laser Scanning in Forest Ecology: Expanding the Horizon. Remote Sens. Environ. 2020, 251, 112102. [Google Scholar] [CrossRef]
- Chen, S.; Feng, Z.; Chen, P.; Khan, T.U.; Lian, Y. Nondestructive Estimation of the Above-Ground Biomass of Multiple Tree Species in Boreal Forests of China Using Terrestrial Laser Scanning. Forests 2019, 10, 936. [Google Scholar] [CrossRef]
- Raumonen, P.; Kaasalainen, M.; Akerblom, M.; Kaasalainen, S.; Kaartinen, H.; Vastaranta, M.; Holopainen, M.; Disney, M.; Lewis, P. Fast Automatic Precision Tree Models from Terrestrial Laser Scanner Data. Remote Sens. 2013, 5, 491–520. [Google Scholar] [CrossRef]
- Pitkanen, T.P.; Raumonen, P.; Kangas, A. Measuring Stem Diameters with TLS in Boreal Forests by Complementary Fitting Procedure. ISPRS-J. Photogramm. Remote Sens. 2019, 147, 294–306. [Google Scholar] [CrossRef]
- Balenovic, I.; Liang, X.; Jurjevic, L.; Hyyppa, J.; Seletkovic, A.; Kukko, A. Hand-Held Personal Laser Scanning—Current Status and Perspectives for Forest Inventory Application. Croat. J. For. Eng. 2021, 42, 165–183. [Google Scholar] [CrossRef]
- Cabo, C.; Del Pozo, S.; Rodriguez-Gonzalvez, P.; Ordonez, C.; Gonzalez-Aguilera, D. Comparing Terrestrial Laser Scanning (TLS) and Wearable Laser Scanning (WLS) for Individual Tree Modeling at Plot Level. Remote Sens. 2018, 10, 540. [Google Scholar] [CrossRef]
- Hyyppa, E.; Kukko, A.; Kaijaluoto, R.; White, J.C.; Wulder, M.A.; Pyorala, J.; Liang, X.; Yu, X.; Wang, Y.; Kaartinen, H.; et al. Accurate Derivation of Stem Curve and Volume Using Backpack Mobile Laser Scanning. ISPRS-J. Photogramm. Remote Sens. 2020, 161, 246–262. [Google Scholar] [CrossRef]
- Huncaga, M.; Chuda, J.; Tomastik, J.; Slamova, M.; Koren, M.; Chudy, F. The Comparison of Stem Curve Accuracy Determined from Point Clouds Acquired by Different Terrestrial Remote Sensing Methods. Remote Sens. 2020, 12, 2739. [Google Scholar] [CrossRef]
- Kuzelka, K.; Surovy, P. Mathematically Optimized Trajectory for Terrestrial Close-Range Photogrammetric 3D Reconstruction of Forest Stands. ISPRS-J. Photogramm. Remote Sens. 2021, 178, 259–281. [Google Scholar] [CrossRef]
- Mokros, M.; Mikita, T.; Singh, A.; Tomastik, J.; Chuda, J.; Wezyk, P.; Kuzelka, K.; Surovy, P.; Klimanek, M.; Zieba-Kulawik, K.; et al. Novel Low-Cost Mobile Mapping Systems for Forest Inventories as Terrestrial Laser Scanning Alternatives. Int. J. Appl. Earth Obs. Geoinf. 2021, 104, 102512. [Google Scholar] [CrossRef]
- Oveland, I.; Hauglin, M.; Gobakken, T.; Naesset, E.; Maalen-Johansen, I. Automatic Estimation of Tree Position and Stem Diameter Using a Moving Terrestrial Laser Scanner. Remote Sens. 2017, 9, 350. [Google Scholar] [CrossRef]
- Bauwens, S.; Bartholomeus, H.; Calders, K.; Lejeune, P. Forest Inventory with Terrestrial LiDAR: A Comparison of Static and Hand-Held Mobile Laser Scanning. Forests 2016, 7, 127. [Google Scholar] [CrossRef]
- Liang, X.; Kukko, A.; Hyyppa, J.; Lehtomaki, M.; Pyorala, J.; Yu, X.; Kaartinen, H.; Jaakkola, A.; Wang, Y. In-Situ Measurements from Mobile Platforms: An Emerging Approach to Address the Old Challenges Associated with Forest Inventories. ISPRS-J. Photogramm. Remote Sens. 2018, 143, 97–107. [Google Scholar] [CrossRef]
- Cernava, J.; Mokros, M.; Tucek, J.; Antal, M.; Slatkovska, Z. Processing Chain for Estimation of Tree Diameter from GNSS-IMU-Based Mobile Laser Scanning Data. Remote Sens. 2019, 11, 615. [Google Scholar] [CrossRef]
- Mur-Artal, R.; Montiel, J.M.M.; Tardos, J.D. ORB-SLAM: A Versatile and Accurate Monocular SLAM System. IEEE Trans. Robot. 2015, 31, 1147–1163. [Google Scholar] [CrossRef]
- Mur-Artal, R.; Tardos, J.D. ORB-SLAM2: An Open-Source SLAM System for Monocular, Stereo, and RGB-D Cameras. IEEE Trans. Robot. 2017, 33, 1255–1262. [Google Scholar] [CrossRef]
- Kukko, A.; Kaijaluoto, R.; Kaartinen, H.; Lehtola, V.V.; Jaakkola, A.; Hyyppa, J. Graph SLAM Correction for Single Scanner MLS Forest Data under Boreal Forest Canopy. ISPRS-J. Photogramm. Remote Sens. 2017, 132, 199–209. [Google Scholar] [CrossRef]
- Chen, S.; Liu, H.; Feng, Z.; Shen, C.; Chen, P. Applicability of Personal Laser Scanning in Forestry Inventory. PLoS ONE 2019, 14, e0211392. [Google Scholar] [CrossRef]
- Hyyppa, E.; Hyyppa, J.; Hakala, T.; Kukko, A.; Wulder, M.A.; White, J.C.; Pyorala, J.; Yu, X.; Wang, Y.; Virtanen, J.-P.; et al. Under-Canopy UAV Laser Scanning for Accurate Forest Field Measurements. ISPRS-J. Photogramm. Remote Sens. 2020, 164, 41–60. [Google Scholar] [CrossRef]
- Fan, Y.; Feng, Z.; Yan, F.; Shen, C.; Guan, T.; Su, J. Design and Experiment of Monocular SLAM Augmented Reality Tree Measurement System. Trans. Chin. Soc. Agric. Mach. 2023, 54, 259–266. [Google Scholar]
- Hyyppa, J.; Virtanen, J.-P.; Jaakkola, A.; Yu, X.; Hyyppa, H.; Liang, X. Feasibility of Google Tango and Kinect for Crowdsourcing Forestry Information. Forests 2018, 9, 6. [Google Scholar] [CrossRef]
- Gollob, C.; Ritter, T.; Krassnitzer, R.; Tockner, A.; Nothdurft, A. Measurement of Forest Inventory Parameters with Apple iPad Pro and Integrated LiDAR Technology. Remote Sens. 2021, 13, 3129. [Google Scholar] [CrossRef]
- Tomastik, J.; Salon, S.; Tunak, D.; Chudy, F.; Kardos, M. Tango in Forests—An Initial Experience of the Use of the New Google Technology in Connection with Forest Inventory Tasks. Comput. Electron. Agric. 2017, 141, 109–117. [Google Scholar] [CrossRef]
- Fan, Y.; Feng, Z.; Mannan, A.; Khan, T.U.; Shen, C.; Saeed, S. Estimating Tree Position, Diameter at Breast Height, and Tree Height in Real-Time Using a Mobile Phone with RGB-D SLAM. Remote Sens. 2018, 10, 1845. [Google Scholar] [CrossRef]
- Fan, Y. Research on Key Technologies of Portable RGB-D SLAM Tree Measurement System. Ph.D. Thesis, Beijing Forestry University, Beijing, China, 2021. [Google Scholar]
- Qin, T.; Li, P.; Shen, S. VINS-Mono: A Robust and Versatile Monocular Visual-Inertial State Estimator. IEEE Trans. Robot. 2018, 34, 1004–1020. [Google Scholar] [CrossRef]
- Goesele, M.; Snavely, N.; Curless, B.; Hoppe, H.; Seitz, S.M. Multi-View Stereo for Community Photo Collections. In Proceedings of the IEEE 11th International Conference on Computer Vision, Rio de Janeiro, Brazil, 14–21 October 2007; IEEE: New York, NY, USA, 2007; pp. 1–8. [Google Scholar]
- Merrell, P.; Akbarzadeh, A.; Wang, L.; Mordohai, P.; Frahm, J.-M.; Yang, R.; Nister, D.; Pollefeys, M. Real-Time Visibility-Based Fusion of Depth Maps. In Proceedings of the IEEE 11th International Conference on Computer Vision, Rio de Janeiro, Brazil, 14–21 October 2007; IEEE: New York, NY, USA; pp. 1–8. [Google Scholar]
- Liang, X.; Hyyppa, J. Automatic Stem Mapping by Merging Several Terrestrial Laser Scans at the Feature and Decision Levels. Sensors 2013, 13, 1614–1634. [Google Scholar] [CrossRef] [PubMed]




















| Plot | Tree Number | Dominant Species | DBH (cm) | Tree Height (m) | ||||||
|---|---|---|---|---|---|---|---|---|---|---|
| Mean | SD | Min | Max | Mean | SD | Min | Max | |||
| 1 | 13 | Pinus tabuliformis | 19.1 | 2.1 | 16.5 | 24.6 | 9.6 | 1.9 | 6.8 | 13.2 |
| 2 | 15 | Pinus tabuliformis | 18.2 | 2.5 | 13.3 | 22.2 | 10.3 | 2.0 | 5.9 | 14.5 |
| 3 | 12 | Populus tomentosa | 26.5 | 9.6 | 8.3 | 44.2 | 19.4 | 6.0 | 8.1 | 26.9 |
| 4 | 18 | Styphnolobium japonicum | 16.7 | 2.0 | 13.8 | 21.3 | 16.0 | 2.4 | 12.0 | 21.2 |
| 5 | 18 | Populus tomentosa | 23.6 | 3.0 | 19.8 | 30.0 | 22.3 | 2.3 | 18.5 | 27.2 |
| 6 | 11 | Ginkgo biloba | 22.4 | 4.5 | 15.8 | 29.6 | 14.4 | 1.7 | 11.6 | 17.4 |
| 7 | 15 | Salix matsudana | 21.9 | 4.3 | 12.7 | 27.2 | 18.1 | 3.3 | 10.2 | 23.0 |
| 8 | 16 | Styphnolobium japonicum | 21.6 | 4.4 | 16.5 | 31.5 | 16.6 | 3.8 | 10.4 | 23.3 |
| 9 | 14 | Salix matsudana | 23.5 | 4.7 | 16.6 | 36.5 | 12.7 | 2.7 | 9.0 | 16.0 |
| 10 | 17 | Populus tomentosa | 28.5 | 6.5 | 16.2 | 43.8 | 25.0 | 4.8 | 7.7 | 30.0 |
| 11 | 14 | Ginkgo biloba | 17.0 | 4.3 | 12.8 | 30.2 | 10.1 | 2.5 | 8.1 | 18.1 |
| 12 | 19 | Ginkgo biloba | 22.8 | 3.4 | 16.8 | 30.9 | 14.7 | 1.7 | 11.1 | 17.7 |
| Plot | X-BIAS (m) | Y-BIAS (m) | X-RMSE (m) | Y-RMSE (m) |
|---|---|---|---|---|
| 1 | 0.09 | 0.09 | 0.12 | 0.14 |
| 2 | 0.02 | 0.07 | 0.05 | 0.12 |
| 3 | 0.16 | −0.01 | 0.18 | 0.03 |
| 4 | −0.04 | −0.05 | 0.06 | 0.09 |
| 5 | −0.11 | −0.01 | 0.13 | 0.08 |
| 6 | −0.11 | −0.07 | 0.15 | 0.1 |
| 7 | −0.08 | 0.03 | 0.13 | 0.1 |
| 8 | −0.08 | 0.01 | 0.16 | 0.09 |
| 9 | 0 | 0.03 | 0.08 | 0.16 |
| 10 | 0.07 | 0.15 | 0.1 | 0.17 |
| 11 | −0.02 | 0.03 | 0.12 | 0.13 |
| 12 | 0.05 | 0.02 | 0.1 | 0.07 |
| total | −0.01 | 0.03 | 0.12 | 0.11 |
| Plot | BIAS (cm) | relBIAS (%) | RMSE (cm) | relRMSE (%) |
|---|---|---|---|---|
| 1 | 0.61 | 3.22 | 1.01 | 5.3 |
| 2 | −0.02 | −0.05 | 0.59 | 3.29 |
| 3 | −0.78 | −2.73 | 1.21 | 4.23 |
| 4 | −0.12 | −0.54 | 0.53 | 3.11 |
| 5 | 0.12 | 0.5 | 0.66 | 2.81 |
| 6 | −0.03 | 0.04 | 0.46 | 2.33 |
| 7 | −0.65 | −2.98 | 0.83 | 3.66 |
| 8 | −0.21 | −0.91 | 0.7 | 2.91 |
| 9 | 0.26 | 1.03 | 0.74 | 3.11 |
| 10 | −0.78 | −2.79 | 1.24 | 4.46 |
| 11 | 0.04 | −0.49 | 0.97 | 4 |
| 12 | −0.31 | −1.46 | 0.71 | 3.2 |
| total | −0.17 | −0.65 | 0.83 | 3.59 |
| Plot | BIAS (m) | relBIAS (%) | RMSE (m) | relRMSE (%) |
|---|---|---|---|---|
| 1 | −0.28 | −2.63 | 0.58 | 4.99 |
| 2 | −0.46 | −3.97 | 0.73 | 6.37 |
| 3 | −0.35 | −1.78 | 1 | 4.85 |
| 4 | 0.17 | 1.13 | 0.75 | 4.51 |
| 5 | 0.47 | 1.87 | 1.27 | 5.49 |
| 6 | −0.36 | −2.34 | 0.8 | 5.4 |
| 7 | −0.34 | −1.73 | 1.14 | 5.82 |
| 8 | −0.42 | −2.58 | 0.8 | 4.93 |
| 9 | −0.1 | −1.11 | 0.71 | 5.89 |
| 10 | 0.47 | 1.69 | 1.84 | 6.85 |
| 11 | −0.07 | 0 | 0.48 | 3.68 |
| 12 | −0.27 | −1.7 | 0.72 | 4.9 |
| total | −0.1 | −0.95 | 0.99 | 5.38 |
Disclaimer/Publisher’s Note: The statements, opinions and data contained in all publications are solely those of the individual author(s) and contributor(s) and not of MDPI and/or the editor(s). MDPI and/or the editor(s) disclaim responsibility for any injury to people or property resulting from any ideas, methods, instructions or products referred to in the content. |
© 2024 by the authors. Licensee MDPI, Basel, Switzerland. This article is an open access article distributed under the terms and conditions of the Creative Commons Attribution (CC BY) license (https://creativecommons.org/licenses/by/4.0/).
Share and Cite
Su, J.; Fan, Y.; Mannan, A.; Wang, S.; Long, L.; Feng, Z. Real-Time Estimation of Tree Position, Tree Height, and Tree Diameter at Breast Height Point, Using Smartphones Based on Monocular SLAM. Forests 2024, 15, 939. https://doi.org/10.3390/f15060939
Su J, Fan Y, Mannan A, Wang S, Long L, Feng Z. Real-Time Estimation of Tree Position, Tree Height, and Tree Diameter at Breast Height Point, Using Smartphones Based on Monocular SLAM. Forests. 2024; 15(6):939. https://doi.org/10.3390/f15060939
Chicago/Turabian StyleSu, Jueying, Yongxiang Fan, Abdul Mannan, Shan Wang, Lin Long, and Zhongke Feng. 2024. "Real-Time Estimation of Tree Position, Tree Height, and Tree Diameter at Breast Height Point, Using Smartphones Based on Monocular SLAM" Forests 15, no. 6: 939. https://doi.org/10.3390/f15060939
APA StyleSu, J., Fan, Y., Mannan, A., Wang, S., Long, L., & Feng, Z. (2024). Real-Time Estimation of Tree Position, Tree Height, and Tree Diameter at Breast Height Point, Using Smartphones Based on Monocular SLAM. Forests, 15(6), 939. https://doi.org/10.3390/f15060939

