Abstract
The natural regeneration of Juglans mandshurica (Juglans mandshurica Maxim.) is challenging. To elucidate its regeneration patterns, we conducted a comparative analysis of the spatial distribution and regeneration indices of Juglans mandshurica seedlings across different habitats, from the forest edge to the inner forest, over a span of 1000 m. Our findings revealed significant differences in seedling growth and regeneration patterns among these habitats. The growth indicators of Juglans mandshurica seedlings were notably higher at the forest edge compared to other habitats. The proportion of Juglans mandshurica seedlings was lower than that of 1- and 2-year-old seedlings, with only 7% being young seedlings at the forest edge. Juglans mandshurica renewal seedlings were aggregated, with the degree of aggregation as follows: 15 m > forest edge > 60 m > 30 m. The regeneration index was highest at the forest edge (1.0) and decreased with distance: 15 m (0.62), 30 m (0.52), 60 m (0.42). Shrub species and other seedlings at the forest edge showed a significant negative correlation with the Juglans mandshurica seedling numbers (p < 0.05). At 15 m, tree species displayed a significant (p < 0.05) or highly significant (p < 0.01) negative correlation. Stand closure at 30 m exhibited a substantial (p < 0.05) or highly significant (p < 0.01) negative correlation with the Juglans mandshurica regeneration index. At 60 m, the tree species, number, and basal area at breast height showed a significant (p < 0.05) or highly significant (p < 0.01) negative correlation with the Juglans mandshurica regeneration index. The forest edge had the highest renewal index and effectiveness, making it a priority for the conservation and management of Juglans mandshurica renewal. This study provides a theoretical foundation for the conservation and sustainable management of Juglans mandshurica populations.
1. Introduction
The natural regeneration of forests is an important method for the self-reproduction and restoration of forest ecosystems. It is the basis for the maintenance of the dynamics of forest communities and is an important ecological process in the reproduction of forest resources in ecosystems [1]. The process of regeneration is influenced by a variety of biotic and abiotic factors, including the species characteristics, environmental conditions, natural and human disturbances, etc. Due to the heterogeneity of habitats resulting from differences in these factors, trees adopt different regeneration strategies to adapt to complex habitats to maximize access to growth and reproductive resources. Different habitats often determine the type, number, and distribution patterns of regenerating seedlings and play a key role in the formation of the next generation of forests [2]. Natural regeneration under the forest canopy plays a central role in the process of forest dynamics and is mainly focused on limiting factors, which vary with the tree species, forest type, and stand conditions [3]. The forest gap plays an important role in the natural regeneration process, including seed germination and seedling settlement, and is the main site of forest regeneration, but it is also affected by a combination of factors, such as the biological characteristics of the tree species itself, the size of the forest gap, the regeneration method, resource availability, and the relative position of the species in the forest gap. The influence of forest gaps on the regeneration of specific tree species can be amplified or reduced through the rational regulation of the above factors [2,4]. Although large areas of forest edge habitats resulting from landscape fragmentation are also gaining attention and importance, they are far less important than under-canopy and forest gaps [5,6]. The forest edge is a typical ecological transition zone for forest biodiversity and spatial heterogeneity, with significant and rapid gradients in environmental factors such as water, heat, light, and soil nutrients from the interior of the forest community to the forest edge. This makes the forest edge an important site for the maintenance and restoration of species diversity in forest communities [7]. Current research on forest edges has yielded promising results in terms of the forest edge effects, domains of influence, and impacts on biodiversity and spatial heterogeneity, but the effects of forest edges on natural regeneration, especially for specific tree species, are under-researched [8,9,10].
With an ancient origin, Juglans mandshurica is a second-grade rare species in China and a significant protected plant. It is a valuable timber species and a preferred native tree for carbon sink forestry in Northeast China. As a crucial germplasm resource, it plays a pivotal role in maintaining biodiversity in understory environments and supports both environmental protection and economic development in the region. However, years of logging and the neglect of its cultivation have resulted in a severe shortage of reserve resources for this species. At present, research on Juglans mandshurica focuses on its economic value, resource exploitation, genetic breeding, and cultivation techniques [11]. There are some important findings on the growth-limiting factors and growth strategies of Juglans mandshurica. Some studies have shown that larch aqueous extracts promote seed germination in Juglans mandshurica and that the chemosensory substance secreted by Juglans mandshurica during growth inhibits the growth of various tree species within the community, including Juglans mandshurica itself. Ma (2001) suggested that animal handling and gnawing and the dispersal distance limit the natural regeneration of Juglans mandshurica. Other research has found that extreme seed scarcity, difficulties in converting seedlings to young trees, and light intensity limit the natural regeneration of Juglans mandshurica and suggested that anthropogenic disturbances, damage by pests and diseases, and the large depression of Juglans mandshurica stands themselves are the main factors limiting its natural regeneration in the understory [12,13,14,15]. Wang Zhengquan (1999) showed that the seedlings and young trees of Juglans mandshurica had relatively strict requirements for soil nutrients and that increasing nitrogen and phosphorus could significantly increase the fine root biomass and nitrogen, which had a significant effect on the total biomass of above-ground parts and led to high growth in the current year. Wang et al. (2010) showed that seedlings of Juglans mandshurica showed some adaptability and plasticity to different light environments and had a wide ecological amplitude of light [16,17]. A further study showed that seedlings of Juglans mandshurica under the forest canopy responded significantly to the light intensity and fertilizer application and that the seedling morphology also changed adaptively, with the best growth occurring under high light conditions (64% of full light) and with the same application of nitrogen and phosphorus fertilizer [18]. Xu Liqing et al. (2020) showed that Juglans mandshurica seedlings adapted to different habitat changes in the forest edge, gap, and canopy by altering their root branching patterns to increase the efficiency of nutrient uptake by the root system [19]. A more consistent view is that the populations of Juglans mandshurica are in decline and promoting the natural regeneration of Juglans mandshurica and strengthening the nurturing efforts of young seedlings and trees are crucial for the development of Liriodendron peculiar populations [15]. However, the renewal characteristics and renewal mechanisms of Juglans mandshurica, and which habitats are more conducive to the natural renewal of Juglans mandshurica, remain unclear.
In this study, we investigate the natural regeneration of Juglans mandshurica in different habitats from the forest edge to the forest interior, investigate which factors influence the natural regeneration of Juglans mandshurica in different habitats, reveal the natural regeneration pattern of Juglans mandshurica in different habitats, propose a basic model of the regeneration of Juglans mandshurica at the forest edge, and analyze the regeneration strategy of Juglans mandshurica. This study will provide a theoretical basis for the conservation and management of natural forest populations.
2. Materials and Methods
2.1. Study Area
The selected study area is the Zhuanshan Experimental Forest Farm (128°52′30″~129°6′40″ E, 45°46′1″~45°54′38″ N) in Founder County, Harbin, Heilongjiang Province, China, at an altitude of 180–491 m. The forestry field is located in the Changbai Mountain Range, on the western slope of Zhang Guangcai Ling, and at the northern foot of Lao Ye Ling in the low mountainous hilly area. It has a cold–temperate continental monsoon climate, with an annual average temperature of 2.7 °C, an extreme maximum temperature of 37 °C, an extreme minimum temperature of −42 °C, an annual cumulative temperature of 2500 °C, 2504 t sunshine hours, annual precipitation of 577 mm, a frost-free period of 125 d, and a plant growing period of about 120 d. The terrestrial soil is dark brown loam and the vegetation belongs to the Zhang Guangcai Ling flora, with the natural secondary hard broadleaved forest being the main forest type. The main broadleaved tree species are Fraxinus manchuria, Juglans mandshurica, Tiliaamurensis, Tiliamandshurica, Phellodendronamurense, Quercus mongolica, Ulmus pumila L., Populus davidiana, and Betula platyphylla, etc.; coniferous species mainly include Pinus koraiensis, Pinus sylvestris var. mongolica, and Larix olgensis; understory shrubs and lianas include Lespedeza bicolor, Corylus mandshurica, Acanthopanax senticosus, Syringa oblata var. alba, Actinidia kolomikta, Vitis amurensis, and Schisandra chinensis, etc.
2.2. Experimental Design
From 12 June to 19 June 2018, the first sample strip was set up by taking the north–south fire prevention road constructed in 2008 in the Zhuanshan Forestry Farm and the forest edge formed by the natural secondary hard broadleaf forest on the east side of the road as the starting point and then extending to the natural forest to set up the 1st sample strip; then, 10 m × 10 m sample squares were set up in each of the sample strips at 0 m, 15 m, 30 m, and 60 m with the average height multiples of the forest stands, respectively. The second, third, and fourth sample strips were designed in parallel with the first one. A total of 20 sample strips were designed, with a total sample area of 14 hm2 (Figure 1). Each sample plot in each strip was surveyed for its density, shrub species and cover, herbaceous cover, tree species, diameter at breast height, and surrounding trees. The number of seedlings and young trees of all tree species renewed under the forest canopy, including the rowan, was investigated in each sample plot. All seedlings (less than 4 cm in diameter at breast height) in the sample plot were measured, and the species name, seedling status, ground diameter, seedling height, age, and crown width were recorded (determining the age of the Juglans mandshurica seedlings by using the regular ring of bud scale marks formed by the annual shedding of bud scales from the terminal bud of the main stem of each Juglans mandshurica seedling) (Table 1).
Figure 1.
Sample plot setting of Zhuanshan Experimental Forest Farm in Harbin City, Heilongjiang Province.
Table 1.
General characteristics of the plots at different distances from the road at Harbin Zhuanshan Experimental Forest Farm.
2.3. Classification and Determination of Height Class, Ground Diameter Class, and Age Class
The height class, ground diameter class, and age class were divided and measured according to the characteristics and growth patterns of the species of rowan, combined with the diameter at breast height value (≤4 cm) (Table 2). Height classes I and II are for young seedlings, and classes III, IV, and V are for young trees. With the height exceeding 1.3 m, the indicator ‘diameter at breast height’ is available, while a further restriction of 4 cm diameter at breast height is combined to exclude the smaller individuals in adult trees [15].
Table 2.
Criteria for classification of height class, ground diameter class, and age class.
2.4. Calculation of Spatial Distribution Pattern Indicators
The strength of aggregation of populations was analyzed using the t-test of the variance/mean ratio method (C0), the negative binomial index (K), the Cassie index (CA), the Green index (GI), the mean crowding (m), the agglomeration index (PAI), and the clumping index (I). Here, we specify the clumping index (CI) and the ratio of mean crowding (MCI) as the mean (Mean), which has the advantage of being more credible as it only considers the nature of the spatial pattern itself [15].
A t-test (t-test) was used to test the deviation of the actual value from the predicted value:
The t-test critical value table was then queried and a confidence interval of 99% with n − 1 as the degree of freedom allowed for significance testing.
When four or more of the seven selected indicators agree, the result of the aggregation intensity analysis is the result of the population. The spatial distribution pattern of Juglans mandshurica seedlings and its patterns was studied by referring to the four aggregation calculation methods combined, and the following formulae were used to calculate the indicators to enable the scientific interpretation of the results.
where N is the number of samples, representing the number of mi young rowan seedlings or trees in a sample square, stands for the mean, stands for the average crowdedness, V is the variance, K is the negative binomial parameter, CA is the Cassie index, and I is the clumping index.
2.5. Calculation of Renewal Index
The evaluation index system for the autumn regeneration of walnut was constructed via a field survey of sample strips at different locations from the road, using the entropy method, from three aspects: distribution, growth, and age structure. Five indicators were selected, namely the number of plants per unit area (N), frequency (F), average seedling height (Hm), average ground diameter (Dg), and average seedling age (Am), to calculate the regeneration index. The weights of the five indicators were calculated using the entropy method (i.e., the proportion and importance of the five indicators to the regeneration of the forest edge). The original data were standardized using the linear transformation method.
where Xij is the de-quantified data, xmax is the original data for the ith sample of the jth indicator, and xmax is the maximum value for each indicator.
Calculation of the weight of the jth indicator (Pj):
Calculation of the information entropy (Ej) of the jth indicator:
where the constant K = 1/ln m and m is the corresponding quantity for each indicator.
The weight (Wj) of the jth indicator is
The renewal index is calculated using Equations (12) and (13).
It is worth noting that Uhi is the coefficient of the distribution status, growth status, and age structure corresponding to the criterion layer; h takes the values of 1, 2, and 3; Wj is the weight value of the jth evaluation indicator and Xij is the data of the jth evaluation indicator of the ith sample after de-quantization; n is the number of evaluation indicators corresponding to the hth criterion layer; and Gi is the renewal index to evaluate the renewal status of the stand [20].
2.6. Data Processing
The Excel 2016 software was used to count and calculate the spatial distribution pattern parameters and renewal index of Juglans mandshurica seedlings; Pearson correlation analysis in the SPSS22.0 software was used to correlate the relationships between the Juglans mandshurica renewal seedling indicators and stand factors; all graphs were plotted in the Origin 12.5 software.
3. Results and Analysis
3.1. Growth of Natural Regeneration Seedlings of Juglans mandshurica in Different Habitats
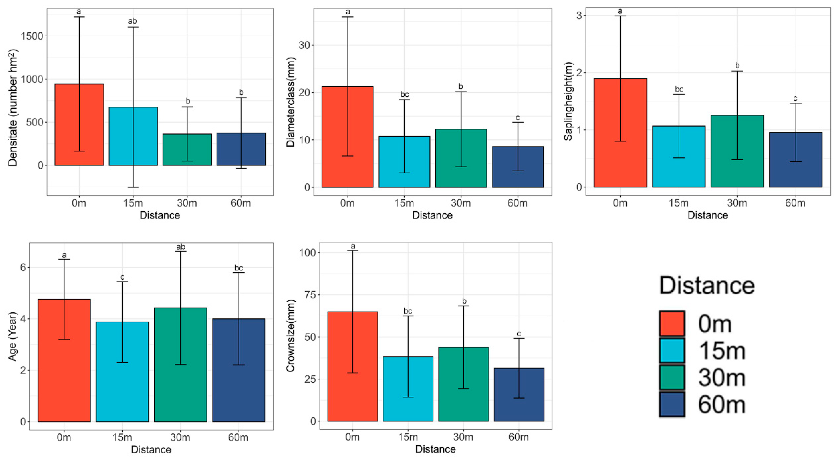
The average ground diameter, height, and crown width of Juglans mandshurica seedlings increased with the distance from the road, and the general trend was the same, with all three indicators being significantly higher at the forest edge than at other locations. At 15 m, these three indicators were slightly lower than at 30 m, but not significantly different; at 30 m, all three indicators were significantly higher than at 60 m (Figure 2). The number of rowan seedlings was higher at the forest edge than at other locations, not significantly different from 15 m, and significantly higher than at 30 m and 60 m. The average age of the rowan seedlings was higher at the forest edge than at other locations, but not significantly different from 30 m and significantly higher than at other locations; the average age at 15 m was significantly lower than at 30 m and also lower than at 60 m, but the difference was not significant.
Figure 2.
Density, ages, and growth indices of Juglans mandshurica seedlings at different distances from road (a, b, c represent three groups, ab, bc represent two combinations of two independent groups).
The height classes of the Juglans mandshurica seedlings at different locations from the road have a more consistent trend, except for the forest edge, where the number of class I seedlings (<0.7 m) is low (16%, 12%, and 31%, respectively) and the number of class II seedlings (0.7 m–1.3 m) is the highest (61%, 55%, and 49%, respectively). The number of seedlings decreases rapidly as the height class increases further. The number of class I seedlings was also lower at the forest edge (5%); the numbers of classes II, III (1.3 m–2.0 m), and IV seedlings (2.0 m–3.0 m) were comparable (28%, 27%, and 28%, respectively); and the number of class V seedlings decreased (12%). Class II was higher at 15 m than at other locations, but the difference was not significant, and height classes III, IV, and V (≥3.0 m) were all significantly greater at the forest edge than at other locations, with 66% of young trees at class III and above (≥1.3 m) at the forest edge; 23% at 15 m; 33% at 30 m; and 20% at 60 m (Figure 3).
Figure 3.
Diameter class, height class, and age class of Juglans mandshurica seedlings at different distances from road. (a, b represent two groups, ab represent two combinations of two independent groups; I, II, III, IV, V mean different Diameter classes and Height classes).
The diameter classes of the Juglans mandshurica seedlings at different locations from the road were distributed in an inverted ‘J’ pattern, except for the forest edge, with the largest number of class I (≤10 mm, 65%, 52%, and 72%, respectively) and II (10 mm–20 mm) seedlings starting to decrease (30%, 33%, and 24%, respectively), and those of III (20 mm–30 mm), IV (30 mm–40 mm), and V (>40 mm) decreasing sharply, with IV and V missing at 60 m. The number of III, IV, and V diameter classes decreases sharply, with IV and V missing at 60 m. The forest edge diameter classes show a distribution across all diameter classes, with the largest number of II classes (33%) and significantly higher than at 30 m and 60 m; at the forest edges, the numbers of the III, IV, and V diameter classes (26%, 7%, and 10% each at the forest edge) are significantly higher than at other locations (Figure 3).
The age classes of the Juglans mandshurica seedlings at different locations from the road showed a relatively consistent trend, with a low number of young seedlings (age 1 and 2) (7%, 21%, 22%, and 17%, respectively) and the largest number of age 3 and 4 seedlings (age 5 and 6 at the forest edge) (35%, 49%, 34%, and 49% of age 3 and 4, respectively), and with the number decreasing as the age class increased. The number of 5- and 6-year-old seedlings at the forest edge (48% of the forest edge) was significantly higher than at all other locations, while the differences between the same age classes at the remaining locations were not significant. At a distance of 15 m from the road, seedlings of age 8 and above were missing (Figure 3).
3.2. Spatial Distribution Pattern of Natural Regeneration Seedlings of Juglans mandshurica in Different Habitats
The variance/mean (V/), mean crowding (m*), and agglomeration index (m*/) of Juglans mandshurica renewals at different distances from the forest edge were all greater than 1; the clumping index (I), negative binomial parameter (K), and Cassie index (CA) were all greater than 0. The results of the t-test were highly significant (tn − 1, 0.01 = 2.878), which indicated that the overall distribution of the renewed seedlings of Juglans mandshurica was aggregated, but the degree of aggregation varied, with the highest degree of aggregation at 15 m from the forest edge. When comparing all indicators, the aggregation intensity of Juglans mandshurica at different distances from the forest edge was 15 m > 0 m > 60 m > 30 m (Table 3).
Table 3.
Spatial distribution pattern of Juglans mandshurica seedlings at different distances from road.
3.3. Natural Regeneration Indices of Juglans mandshurica in Different Habitats
The evaluation index system for the renewal of Juglans mandshurica was constructed using the entropy method in three aspects: distribution, growth, and age. Five indicators were selected to calculate the renewal index: the number of plants per unit area, frequency, average height, average ground diameter, and average age (Table 4).
Table 4.
Standardization of survey data and parameters of regeneration index of Juglans mandshurica seedlings.
Based on the calculation of the weights, it can be seen that the main influence on the renewal status of Juglans mandshurica is growth, followed by the distribution (Table 5). The greatest weight is given to the number of plants per unit area, followed by the average ground diameter. The renewal index was obtained from the renewal evaluation correlation coefficients (Table 5) and reduced to 0.62 by 15 m, decreasing to 0.52 at 30 m as the distance from the road increased further, and was less than half the renewal index at 60 m (0.42) from the forest edge.
Table 5.
Correlation coefficients of regeneration evaluation index and regeneration index of Juglans mandshurica seedlings.
3.4. Analysis of Factors Affecting the Natural Regeneration of Juglans mandshurica in Different Habitats
The individual indicators of shrub species and other regeneration seedlings at the forest edge showed significant correlations with the regeneration of Juglans mandshurica seedlings; shrub species and other regeneration seedling species were significantly negatively correlated with the number of Juglans mandshurica seedlings; and the average height and average ground diameter area of other regeneration seedlings were significantly positively correlated with the average seedling height of Juglans mandshurica seedlings. Stand depression, herbaceous cover, and most of the regeneration indicators for trees and other regenerated seedlings did not correlate with the regeneration of Juglans mandshurica at the forest edge (Table 6).
Table 6.
Correlation coefficients between regeneration indices of Juglans mandshurica seedlings and influencing factors at different distances from road.
At 15 m from the road, stand depression, especially in the tree layer, began to show significant or highly significant correlations for the regeneration of Juglans mandshurica. Most indicators of regeneration in the shrub layer, herbaceous layer, and other regenerated seedlings did not correlate with regeneration of Juglans mandshurica. The tree species and number were significantly and negatively correlated with the mean ground diameter and height of Juglans mandshurica saplings, with the tree species also significantly and negatively correlated with the mean crown width of Juglans mandshurica saplings; the mean diameter at breast height and the mean height at breast height of trees were significantly or very significantly positively correlated with the mean ground diameter, height, and crown width of Juglans mandshurica saplings (Table 6).
At 30 m from the road, stand depression showed significant or highly significant negative correlations with all other growth indicators of Juglans mandshurica saplings, except for the number of Juglans mandshurica saplings, which was not correlated with the number of Juglans mandshurica saplings. Shrub species were significantly and positively correlated with the average ground diameter of Juglans mandshurica saplings; tree species were significantly and negatively correlated with the average crown width of Juglans mandshurica saplings. Other indicators, such as herbaceous cover, shrub cover, tree species, and other regenerated seedlings, did not correlate with the regeneration indicators of rowan (Table 6).
At a distance of 60 m from the road, the tree species, number of trees, area at breast height, and growth indicators of Juglans mandshurica showed significant or highly significant negative correlations, with the tree species showing highly significant positive correlations with all other regeneration indicators of Juglans mandshurica, except for the number of Juglans mandshurica. The stand densities were significantly and negatively correlated with the number of Juglans mandshurica seedlings; the herbaceous cover was highly significantly and positively correlated with the number of rowan seedlings; other regeneration species were significantly and negatively correlated with the number of Juglans mandshurica seedlings. Other shrubs, the tree diameter at breast height and cross-sectional area at breast height, and the number of other regenerated seedlings were not correlated with the number of regenerated Juglans mandshurica seedlings (Table 6).
4. Discussion
4.1. Analysis of Factors Affecting the Natural Regeneration of Juglans mandshurica in Different Habitats
The age class structure of populations visually reflects the distribution and configuration of the number of individuals of different sizes within the population, as well as the population renewal characteristics, especially for the analysis of the dynamics of endangered populations, which can help to analyze the causes of population changes and elucidate the endangerment mechanism [21]. In this study, the age class trends (Figure 3), based on the pyramid theory, indicate that the renewed populations of Juglans mandshurica at the forest edge and other locations show a declining type of age structure overall, which is consistent with the results of Ma Wanli’s study on Juglans mandshurica in the Changbai Mountain forest area [13]. Combined with the ground diameter class and height class (Figure 3), seedlings at the forest edge gradually enter the successional layer over time, while the ground diameter class and height class above habitat class III at 15 m, 30 m, and 60 m decline rapidly or even disappear as the distance from the forest edge increases, which limits the entry of Juglans mandshurica seedlings into the successional layer.
4.2. Forest Edge Regeneration Characteristics of Juglans mandshurica
Audrey et al. showed that forest roads differ in their material, grade, orientation, time of construction, degree of use, and human disturbance, resulting in a wide range of edge effects [22]. Further studies have shown that the edge effect is most pronounced at around 6 m, showing a positive edge effect, and Ding et al. suggested that the positive edge effect provides sufficient nutrient space for the growth of forest trees, creating an obvious vertical structure and especially a good regeneration layer [23,24]. In this study, a forest road of about 8 years old, oriented in a north–south direction, with a road width of 6 m and low utilization and human disturbance, had a forest edge depression of 0.66 and was characterized by a positive edge effect, which was conducive to tree growth and regeneration. The growth index of the regenerated seedlings of Juglans mandshurica located at the forest edge was significantly higher than that at other locations within the forest, with the highest regeneration index and the best regeneration effect. This is because the edge of the road has the advantages of open space, sufficient light, and good microclimate conditions, while the edge effect can increase the solar energy use efficiency and net primary productivity (NPP) per unit area [24]. The biological effect of the forest edge broadens the ecological niche of the population and increases the diversity and stability of the community, and the ecological effect of the forest edge optimizes the combination of environmental factors and improves the circulation of nutrients, which is conducive to the proliferation of species such as Juglans mandshurica [25,26].
4.3. Distribution Pattern of Natural Regeneration of Juglans mandshurica in Different Habitats
In this study, we found that the degree of aggregation of Juglans mandshurica seedlings was related to the overall number of seedlings, the number of seedlings, and young trees; the greater the number of seedlings, the stronger the aggregation, and the intensity of aggregation gradually decreased as the number of young trees increased (Table 2), which is consistent with the distribution and changing trend of renewed seedlings of Juglans mandshurica in Beijing Songshan National Nature Reserve [15]. A study by Ma Wanli et al. that selected Juglans mandshurica stands in the eastern part of Northeast China showed that the distribution pattern of Juglans mandshurica of different ages showed an aggregated distribution [13]. Ma Shuangjiao et al. (2019) used a point pattern study at the same location as this study to show that Juglans mandshurica is aggregated at the 10 m scale [27]. The aggregated distribution of many natural populations at small scales is conducive to the formation of community effects, which facilitate their adaptation to the environment and enhance interspecific competitiveness, promoting normal population growth. The large and heavy fruits of Juglans mandshurica tend to be concentrated around the mother tree, and the light-loving nature of Juglans mandshurica leads to the rapid emergence of large numbers of seedlings in ‘blank’ areas, which is the main reason for the aggregated distribution of populations under natural conditions. In general, the degree of aggregation tends to decrease with the increasing diameter class. The clustered distribution is conducive to community renewal, and populations that are clustered are more adaptable to the environment, have more stable populations, and can maintain a certain number of individuals in the community [28].
4.4. Effect of Stand Vertical Structure on Natural Regeneration of Juglans mandshurica in Different Habitats
The vertical structure plays an important role in the process of population regeneration, as different vertical structures lead to differences in the distribution of resources such as light, temperature, and humidity within the stand, promoting the formation of heterogeneous microhabitats [29,30]. The life cycle of a stand, from seedling emergence to settlement, is a relatively vulnerable stage of survival, so changes caused by the vertical structure can have an impact on seedling regeneration to some extent [31]. In this study, shrub species and other regenerating seedling species were significantly negatively correlated with the number of Juglans mandshurica seedlings, indicating that shrub species and other regenerating seedling species were the main limiting factors for the regeneration of Juglans mandshurica at the forest edge. It has also been shown that the understory is an important ecological filter and that its abundance influences the distribution and abundance of seedlings, and, to some extent, understory plants can modify the microhabitat conditions, such as the temperature, soil moisture, and the distribution of zooplankton. The intervention of the understory in seedling emergence and settlement not only directly creates direct competition for resources but also indirectly influences the behavior of seed predators and thus seedling settlement; the cutting of scrub, which facilitates seedling growth, will promote stand regeneration [32,33,34].
From the forest edge to 15 m, the stand structure influence factor starts to change, with the stand depression increasing from 0.6 to 0.8, which is often detrimental to seedling colonization and regeneration for sunny species [35]. The results of the ANOVA show that the species and number of trees at 15 m are the main factors limiting the growth of regenerating seedlings of Juglans mandshurica. Some studies have shown that the abundance of species and increased depression in the tree layer increase the environmental resistance to the survival and growth of seedlings of light-loving species; others have shown that the tree species composition and stand density directly lead to spatial heterogeneity in ecological factors such as light, heat, moisture, and soil physical and chemical properties in the understory and directly affect the growth of young seedlings in the understory [35,36]. The density of the stand is mainly a function of light, heat, water, and the soil properties. The stand density primarily affects the light conditions, and the extent to which the stand density affects light within a stand in natural forests is also strongly related to the proportion of plants allocated by diameter class. In this study, the diameter at breast height and height at breast height sections of trees were significantly or very significantly positively correlated with the growth of Juglans mandshurica seedlings [37]. According to the regeneration characteristics and factors influencing the growth of Juglans mandshurica saplings, the adoption of selective felling management measures, changing the stand density, increasing the area at breast height, moderately spreading the canopy, increasing light, and changing the local microhabitat will facilitate the natural regeneration of young seedlings [38].
At 30 m and 60 m from the forest edge, the regeneration index of the growth of Juglans mandshurica saplings decreases sharply and the regeneration potential is insufficient [39]. Seedling and young tree regeneration is the basis for the sustainable development of a population, and only when seedlings and young trees have a certain number or are adapted to the environment can the population develop sustainably. Stand depression is the main limiting factor for the growth of Juglans mandshurica saplings at 30 m and is also significantly and negatively correlated with the number of Liriodendron saplings at 60 m. Most of the naturally regenerating species can complete their regeneration between 0.2 and 0.9 degrees of depression, and as the stand becomes more depressed, regeneration becomes more restricted. Too much depression or an overly open environment can be detrimental to seedling growth and seedling regeneration; 0.4 to 0.7 degrees of depression is favorable for most of the forest [40,41]. Different degrees of density lead to changes in factors such as light, nutrients, and temperature in the forest, which in turn affect the quality and quantity of natural regeneration. The effect of natural regeneration is significantly different at different levels of depression, and growth indicators such as the tree height, ground diameter, and number of seedlings can also vary significantly [42].
The number and species of trees at 60 m were more negatively correlated with the regeneration index of Juglans mandshurica seedlings than at 15 m. In addition, the area at breast height of trees at 60 m was significantly negatively correlated with the regeneration index of Juglans mandshurica seedlings, while the number and species of trees at 60 m were the highest and the average diameter at breast height and area at breast height of trees were the lowest compared to other locations [43]. The stand density has an important influence on natural regeneration, and this effect varies according to the species, stand age, and region [44]. It has been shown that a large number of tree species reduce the occupancy of environmental resources by understory regeneration seedlings and increase the competition for light, nutrients, and space, resulting in insufficient space for understory regeneration seedlings and a poor understory regeneration capacity. The appropriate interplanting of denser stands can promote natural regeneration [45,46].
Herbaceous cover at 60 m was highly significantly and positively correlated with the number of Juglans mandshurica seedlings, and the herbaceous layer was indicative of the forest ecology; environments suitable for understory herbaceous growth are generally also suitable for seedling growth [47]. The herbaceous layer contributes positively to the growth of seedlings in the understory in terms of complementary resources, water retention, energy flow, nutrient cycling, the mediation of the surface temperature, and the improvement of the understory microenvironment. However, other studies have shown that the herbaceous layer has an inhibitory effect on seedling regeneration due to restricted seed dispersal, competition for light and soil nutrients, and chemosensory effects, and the exact mechanisms of influence need to be further investigated [25,48,49].
5. Conclusions
In this study, natural regeneration seedlings of Juglans mandshurica were used as the object of study, and four regeneration indices, namely the density, ground diameter, age, and crown width, were compared and analyzed from the forest edge to the forest interior using spatial pattern analysis and the calculation of the regeneration index, to reveal the differences in the growth, distribution patterns, and regeneration patterns of Juglans mandshurica seedlings in different habitats. The study found the following.
- The natural regeneration of Juglans mandshuric in different habitats showed an overall declining trend, with a low number of individuals in the lower age classes and insufficient resources for population follow-up. As time passes, seedlings from the forest edge formed by the road and the forest will gradually enter the successional layer; as the distance from the forest edge increases, the entry of Juglans mandshuric seedlings into the successional layer within the forest is restricted.
- The response of the regeneration of rowan in natural forests to the forest edge is positive, and this positive response decreases with increasing distance from the forest edge to the forest interior. In the future, the forest edge formed by the road and the forest can be used as a key site for the regeneration of rowan.
- Depending on the regeneration characteristics of the different habitats of Juglans mandshurica, different forestry measures should be taken to promote natural regeneration, taking into account the differences in the factors affecting the stand. The edge of the stand can be treated by cutting and irrigation, and the increase in the distance along the edge of the stand towards the forest can be treated by selective felling or interfering according to the stand density. For the conservation of native tree species such as rowan, it is not advisable to use traditional crude and monotonous forestry measures, and different forestry measures should be adopted according to the laws of natural regeneration.
Author Contributions
D.C.: conceptualization, methodology, formal analysis, visualization, software, writing—original draft. Q.W.: conceptualization, writing—review and editing, supervision, funding acquisition, project administration, resources. S.M.: data collection, software. Y.Z.: validation, writing—review and editing. L.X.: software, methodology. L.Y.: software, writing—review and editing. All authors have read and agreed to the published version of the manuscript.
Funding
This study was supported by the Provincial Financial Forestry Research Special Fund Project of Heilongjiang Province (Construction of Heilongjiang Sustainable Forest Management Experimental Demonstration Zone) (201522).
Data Availability Statement
Data will be made available on request.
Conflicts of Interest
The authors declare no conflicts of interest.
References
- Szwagrzyk, J.; Szewczyk, J.; Bodziarczyk, J. Dynamics of Seedling Banks in Beech Forest: Results of a 10-Year Study on Germination, Growth and Survival. For. Ecol. Manag. 2001, 141, 237–250. [Google Scholar] [CrossRef]
- Raich, J.W.; Khoon, G.W. Effects of Canopy Openings on Tree Seed Germination in a Malaysian Dipterocarp Forest. J. Trop. Ecol. 1990, 6, 203–217. [Google Scholar] [CrossRef]
- Chazdon, R.L.; Guariguata, M.R. Natural Regeneration as a Tool for Large-Scale Forest Restoration in the Tropics: Prospects and Challenges. Biotropica 2016, 48, 716–730. [Google Scholar] [CrossRef]
- Maciel-Nájera, J.F.; Hernández-Velasco, J.; González-Elizondo, M.S.; Hernández-Díaz, J.C.; López-Sánchez, C.A.; Antúnez, P.; Bailón-Soto, C.E.; Wehenkel, C. Unexpected Spatial Patterns of Natural Regeneration in Typical Uneven-Aged Mixed Pine-Oak Forests in the Sierra Madre Occidental, Mexico. Glob. Ecol. Conserv. 2020, 23, e01074. [Google Scholar] [CrossRef]
- Harper, K.A.; Macdonald, S.E.; Burton, P.J.; Chen, J.; Brosofske, K.D.; Saunders, S.C.; Euskirchen, E.S.; Roberts, D.; Jaiteh, M.S.; Esseen, P.-A. Edge Influence on Forest Structure and Composition in Fragmented Landscapes. Conserv. Biol. 2005, 19, 768–782. [Google Scholar] [CrossRef]
- Meza-Elizalde, M.C.; Armenteras-Pascual, D. Edge Influence on the Microclimate and Vegetation of Fragments of a North Amazonian Forest. For. Ecol. Manag. 2021, 498, 119546. [Google Scholar] [CrossRef]
- Brokaw, N.V.L. Gap-Phase Regeneration in a Tropical Forest. Ecology 1985, 66, 682–687. [Google Scholar] [CrossRef]
- Meeussen, C.; Govaert, S.; Vanneste, T.; Calders, K.; Bollmann, K.; Brunet, J.; Cousins, S.A.O.; Diekmann, M.; Graae, B.J.; Hedwall, P.-O.; et al. Structural Variation of Forest Edges across Europe. For. Ecol. Manag. 2020, 462, 117929. [Google Scholar] [CrossRef]
- Marozas, V.; Grigaitis, V.; Brazaitis, G. Edge Effect on Ground Vegetation in Clear-Cut Edges of Pine-Dominated Forests. Scand. J. For. Res. 2005, 20, 43–48. [Google Scholar] [CrossRef]
- Parra-Sanchez, E.; Banks-Leite, C. The Magnitude and Extent of Edge Effects on Vascular Epiphytes across the Brazilian Atlantic Forest. Sci. Rep. 2020, 10, 18847. [Google Scholar] [CrossRef]
- Zhu, H.; Zhao, Y.; Lin, S.; Yang, Y.; Zhao, S.; Song, L.; Jiang, Y.; Xu, B.; Liang, H.; Geng, L. The Progress of Juglans mandshurica Maxim. Chin. Agric. Sci. Bull. 2011, 27, 1–4. [Google Scholar]
- Yang, L. Study of Larch Allelopathy on Manchurian Walnut. Master’s Thesis, Northeast Forestry University, Harbin, China, 2006. [Google Scholar]
- Wanli, M.; Tao, J.; Kujansuu, J. The Dynamics of Seed Rain and Seed Bank of Juglans mandshurica Population in the Changbai Mountain. J. Beijing For. Univ. Chin. Ed. 2001, 23, 70–72. [Google Scholar]
- Zhang, M. Factors Influencing Natural Regeneration of Majortree Species in Mixed Broad-Leaved Forests InMaoershan Forest Farm, Heilongjiang Province. Master’s Thesis, Northeast Forestry University, Harbin, China, 2012. [Google Scholar]
- Zheng, C. Plant Diversity and Evaluation of Seedling and Sapling Regeneration for the Juglans Mandsfiurica in Songshan. Master’s Thesis, Beijing Forestry University, Beijing, China, 2017. [Google Scholar]
- Zhengquan, W.; Yandong, Z.; Qingcheng, W. Effects of Nitrogen and Phosphorus on Root Growth of Juglans Mandshurica. J. Northeast For. Univ. 1999, 27, 1–4. [Google Scholar]
- Wang, K.; Zhu, J.; Yu, L.; Sun, Y.; Zhang, J. Effects of Light Environment on Juglans mandshurica Seedlings Growth and Photosynthesis. Chin. J. Appl. Ecol. 2010, 21, 821–826. [Google Scholar]
- Zhang, S.; Wang, Q.; Hao, L.; Li, W.; Wang, C. Effects of Light and Fertilization on the Growth of Fraxinus Mandshurica and Juglans mandshurica Seedlings under the Canopy of Betula Platyphylla Secondary Forest. For. Eng. 2015, 31, 51–56. [Google Scholar]
- Xu, L.-Q.; Cui, D.-H.; Wang, Q.-C.; Zhang, Y.; Ma, S.-J.; Zhu, K.-Y.; Hu, J.-W.; Li, H.-L. Root Architecture and Fine Root Characteristics of Juglans mandshurica Saplings in Different Habitats in the Secondary Forest on the West Slope of Zhangguangcailing, China. Ying Yong Sheng Tai Xue Bao J. Appl. Ecol. 2020, 31, 373–380. [Google Scholar]
- Wei, Y.; Zhang, Q. Forest Edge Renewal of Larix Gmelinii and Its Response to the Environment. J. Nanjing For. Univ. 2020, 44, 165. [Google Scholar]
- Gurevitch, J.; Scheiner, S.M.; Fox, G.A. The Ecology of Plants; Sinauer Associates: Sunderland, MA, USA, 2002. [Google Scholar]
- Alignier, A.; Deconchat, M. Variability of Forest Edge Effect on Vegetation Implies Reconsideration of Its Assumed Hypothetical Pattern. Appl. Veg. Sci. 2011, 14, 67–74. [Google Scholar] [CrossRef]
- Zhou, T.; Peng, S.; Wu, J.; Liu, J.; Wu, K. COS 99-6: Edge Effects of Roads on Forest Plant Diversity and Ecosystem Properties: A Case Study from Southern China. In Proceedings of the 95th ESA Annual Meeting, Pittsburgh, PA, USA, 1–6 August 2010. [Google Scholar]
- Baoyong, D.; Xiangwei, C.; Lu, W.; Qiang, L.; Jie, X. A Preliminary Study on Forest Edge Effect and Application. J. Northeast For. Univ. 1991, 2, 17–23. [Google Scholar] [CrossRef]
- Li, X.-S.; Liu, W.-Y.; Chen, J.-W.; Tang, C.Q.; Yuan, C.-M. Regeneration Pattern of Primary Forest Species across Forest-Field Gradients in the Subtropical Mountains of Southwestern China. J. Plant Res. 2010, 123, 751–762. [Google Scholar] [CrossRef]
- De Smedt, P.; Baeten, L.; Proesmans, W.; Van de Poel, S.; Van Keer, J.; Giffard, B.; Martin, L.; Vanhulle, R.; Brunet, J.; Cousins, S.A.; et al. Strength of Forest Edge Effects on Litter-Dwelling Macro-Arthropods across Europe Is Influenced by Forest Age and Edge Properties. Divers. Distrib. 2019, 25, 963–974. [Google Scholar] [CrossRef]
- Ma, S. Effect of Thinning on Stand Structure, Natural Regeneration and Plant Diversity of Fraxinus Mandshurica Natural Forest. Master’s Thesis, Northeast Forestry University, Harbin, China, 2019. [Google Scholar]
- Fangliang, H.; Legendre, P.; LaFrankie, J.V. Distribution Patterns of Tree Species in a Malaysian Tropical Rain Forest. J. Veg. Sci. 1997, 8, 105–114. [Google Scholar] [CrossRef]
- Hao, Z.; Zhang, J.; Song, B.; Ye, J.; Li, B. Vertical Structure and Spatial Associations of Dominant Tree Species in an Old-Growth Temperate Forest. For. Ecol. Manag. 2007, 252, 1–11. [Google Scholar] [CrossRef]
- Song, B.; Chen, J.; Williams, T. Spatial Relationships between Canopy Structure and Understory Vegetation of an Old-Growth Douglas-Fir Forest. For. Res. 2014, 3, 168–177. [Google Scholar] [CrossRef]
- Li, Q.; Ma, K. Factors Affecting Establishment of Quercus Liaotungensis Koidz. under Mature Mixed Oak Forest Overstory and in Shrubland. For. Ecol. Manag. 2003, 176, 133–146. [Google Scholar] [CrossRef]
- Yao, J.; Bachelot, B.; Meng, L.; Qin, J.; Zhao, X.; Zhang, C. Abiotic Niche Partitioning and Negative Density Dependence across Multiple Life Stages in a Temperate Forest in Northeastern China. J. Ecol. 2020, 108, 1299–1310. [Google Scholar] [CrossRef]
- Denslow, J.S.; Newell, E.; Ellison, A.M. The Effect of Understory Palms and Cyclanths on the Growth and Survival of Inga Seedlings. Biotropica 1991, 23, 225–234. [Google Scholar] [CrossRef]
- Duclos, V.; Boudreau, S.; Chapman, C.A. Shrub Cover Influence on Seedling Growth and Survival Following Logging of a Tropical Forest. Biotropica 2013, 45, 419–426. [Google Scholar] [CrossRef]
- Makana, J.-R.; Thomas, S.C. Effects of Light Gaps and Litter Removal on the Seedling Performance of Six African Timber Species. Biotropica J. Biol. Conserv. 2005, 37, 227–237. [Google Scholar] [CrossRef]
- Magee, L.; Wolf, A.; Howe, R.; Schubbe, J.; Hagenow, K.; Turner, B. Density Dependence and Habitat Heterogeneity Regulate Seedling Survival in a North American Temperate Forest. For. Ecol. Manag. 2021, 480, 118722. [Google Scholar] [CrossRef]
- Long, J.; Tang, M.; Chen, G. Influence of Strata-Specific Forest Structural Features on the Regeneration of the Evergreen Broad-Leaved Forest in Tianmu Mountain. PLoS ONE 2021, 16, e0247339. [Google Scholar] [CrossRef] [PubMed]
- Aussenac, G. Interactions between Forest Stands and Microclimate: Ecophysiological Aspects and Consequences for Silviculture. Ann. For. Sci. 2000, 57, 287–301. [Google Scholar] [CrossRef]
- Gelasso, M.; Li, J. Structure and Regeneration Status of Woody Species in the Munessa Forest, Southern Ethiopia. J. For. Res. 2021, 32, 493–501. [Google Scholar] [CrossRef]
- Mountford, E.P.; Savill, P.S.; Bebber, D.P. Patterns of Regeneration and Ground Vegetation Associated with Canopy Gaps in a Managed Beechwood in Southern England. Forestry 2006, 79, 389–408. [Google Scholar] [CrossRef]
- Jaloviar, P.; Kucbel, S.; Blahut, P. Response of Height Increment of Sessile Oak (Quercus Petraea Mattusch) Natural Regeneration to Irradiation Intensity. Zprávy Lesn. Vỳzkumu 2014, 59, 184–189. [Google Scholar]
- Borja, M.E.L.; Van Stan, J.T.; Plaza-Álvarez, P.A.; Manso, R. Simultaneous Estimation of Pinus Nigra Arn. Ssp. Salzmannii Natural Regeneration Emergence and Survival through Lifetime Analysis. For. Ecol. Manag. 2021, 499, 119613. [Google Scholar] [CrossRef]
- Yang, X.; Yan, D.; Liu, C. Natural Regeneration of Trees in Three Types of Afforested Stands in the Taihang Mountains, China. PLoS ONE 2014, 9, e108744. [Google Scholar] [CrossRef]
- Bing, K.; De-xiang, W.; Hong-an, C.; Wei-zhi, D.; Yan-ling, D. Regeneration Characteristics and Related Affecting Factors of Pinus Tabulaeformis Secondary Forests in Qinling Mountains. Yingyong Shengtai Xuebao 2011, 22, 1659–1667. [Google Scholar]
- Olson, M.G.; Meyer, S.R.; Wagner, R.G.; Seymour, R.S. Commercial Thinning Stimulates Natural Regeneration in Spruce–Fir Stands. Can. J. For. Res. 2014, 44, 173–181. [Google Scholar] [CrossRef]
- Yu, F.; Wang, D.; Shi, X.; Yi, X.; Huang, Q.; Hu, Y. Effects of Environmental Factors on Tree Seedling Regeneration in a Pine-Oak Mixed Forest in the Qinling Mountains, China. J. Mt. Sci. 2013, 10, 845–853. [Google Scholar] [CrossRef]
- Caccia, F.D.; Ballaré, C.L. Effects of Tree Cover, Understory Vegetation, and Litter on Regeneration of Douglas-Fir (Pseudotsuga menziesii) in Southwestern Argentina. Can. J. For. Res. 1998, 28, 683–692. [Google Scholar] [CrossRef]
- Gilliam, F.S. The Ecological Significance of the Herbaceous Layer in Temperate Forest Ecosystems. BioScience 2007, 57, 845–858. [Google Scholar] [CrossRef]
- De Lombaerde, E.; Blondeel, H.; Baeten, L.; Landuyt, D.; Perring, M.P.; Depauw, L.; Maes, S.L.; Wang, B.; Verheyen, K. Light, Temperature and Understorey Cover Predominantly Affect Early Life Stages of Tree Seedlings in a Multifactorial Mesocosm Experiment. For. Ecol. Manag. 2020, 461, 117907. [Google Scholar] [CrossRef]
Disclaimer/Publisher’s Note: The statements, opinions and data contained in all publications are solely those of the individual author(s) and contributor(s) and not of MDPI and/or the editor(s). MDPI and/or the editor(s) disclaim responsibility for any injury to people or property resulting from any ideas, methods, instructions or products referred to in the content. |
© 2024 by the authors. Licensee MDPI, Basel, Switzerland. This article is an open access article distributed under the terms and conditions of the Creative Commons Attribution (CC BY) license (https://creativecommons.org/licenses/by/4.0/).


