Abstract
Background: In order to maximize the resiliency of Pinus halepensis in semiarid forests, we analyzed direct seeding methods to recover burned stands by simulating post-fire soil treatments. Methods: Seeding was done by installing spot seeding (100 seeds in a 50 × 50 cm plot), using five methods: (1) covering seeding with wood chips; (2) seeding in branch piles; (3) seeding along trunks on contour-felled logs (on the shaded side); (4) seeding next to grass (Stipa tenacissima); and (5) seeding on the bare ground (control). The experiment was replicated according to aspect (northern and southern aspects). The response variables were seed germination (%), and seedling survival after the summer (measured in autumn 2015 and 2016). Direct seeding was carried out in 32 plots with 160-spot seeding, and data were analyzed using general linear models, including nested random effects. Results: Wood chips as a surface-covering material represented the only treatment that significantly improved seed germination and seedling survival (by 12.4%, and 17.4 seedlings m−2 in year 2, respectively) compared with the control in the two topographic aspects. Conclusions: Covering seeding with wood chips, and thus chipping wood within the burned stand, form a recommended post-fire treatment to improve regeneration in Pinus halepensis semiarid stands.
1. Introduction
Fire is a determinant factor that plays a key role in vegetation distribution in the Mediterranean region [1,2,3]. In Mediterranean conifer species, a critical component of the regeneration strategy after forest fires is initial seedling recruitment in the burned stand [4,5,6]. Aleppo pine (Pinus halepensis Mill.) is a Mediterranean species that is well adapted to forest fires due to its cone characteristics, seed ecology, and physiology (it is a light-demanding species) [2]. However, in a semiarid climate characterized by extreme drought periods, unfavorable weather conditions when seeds spread (mainly in the first summer) may cause poor stand establishment [2,3,4,5] and, consequently, subsequent soil erosion and desertification risks. Semiarid Pinus halepensis woodlands that have experienced wildfire are particularly susceptible to erosion, as wildfires occur prior to precipitation in the fall [3].
In situations where erosion is a risk, it is possible to cushion the adverse effects of wildfires by applying emergency post-fire rehabilitation treatments [7,8,9]. The most frequent treatments include applying different types of covers or mulch on soil, such as straw [10,11,12] or wood chips [11]. Contour-felled log or log erosion barriers can be built to reduce erosion and runoff, where burned trees are cut down and delimbed boles are placed on the contour to trap runoff and sediment [7,8]. In addition, other secondary silvicultural treatments in the post-fire stage are also necessary. Removal of chipped dead wood is adequate to reduce the risk of xylophagous proliferation [13]. However, left on-site, coarse woody debris of crowns (piles of branches) can also be utilized to control erosion, eliminate dead or cut trees (“pile burning”), or provide a wildlife habitat [14]. In recent years, mechanical chipping or mastication has become a common silvicultural technique [15]. This treatment includes mulching by converting cut trees into wood chips that are spread on-site for both debris-elimination purposes and fire-mitigation procedures [15,16]. In traditional rehabilitations, performed using reforestation techniques used in Mediterranean areas, removal or clearing grass and shrubs is a post-fire treatment to improve soil water supply and to encourage more extensive seedling root development [17,18,19]. However, facilitating interactions between plants has been identified as one of the main processes affecting the plant community, and this process has been described mainly under harsh environmental conditions, like those which prevail at semiarid sites [20,21]. Thus, facilitative interactions should be used to introduce species under the canopy of others by stimulating successional processes [22]. The magnitude of this interaction depends on both the planted seedling species and the involved nurse shrub species [23,24].
Revegetation of burned areas is another emergency method if natural regeneration does not result in vegetation that meets stabilization objectives. Thus, direct seeding can also be an alternative when natural succession becomes more difficult. Although interest in direct seeding has declined in recent years due to lack of control of tree spacing and failure under unfavorable climatic conditions [25], it can be an adequate technique to regenerate small areas in post-fire stages at a low cost, and to also reforest large areas affected by wildfires [26]. Grass seeding has been applied on severely burned hill slopes to increase vegetal cover to reduce hill slope erosion [8,12]. Although the benefits of the seeding are apparent, an improvement could be seen in Mediterranean areas using native conifer species, as they are better adapted to drought conditions [12]. Clearly, artificial seeding performance can be considered as highly unpredictable in Mediterranean woodlands. Survival of established seedlings in the first year is critical after direct seeding [25], thus revegetation of severely-disturbed forests is often very low because of the complex interactions among seedlings and site and climatic factors [27].
Despite some possible disadvantages, artificial regeneration by seeding can favor forest succession in many Mediterranean areas by increasing the recruitment of early-successional stages [6,28,29]. The abiotic or biotic factors that influence seeding viability are those that limit pine recruitment [27]. On a global scale, the factors that affect pine recruitment in the Mediterranean Basin are more diverse and include changes in land use, forest succession, disturbance (fires), drought, gradients of light and nutrients, seed production, grazing pressure, or soil properties (for a review, see [29]). On a low scale, the studies that have focused on the recruitment dynamics of Mediterranean conifer species have found increasing seedling mortality in the summer [17,18,19,30,31,32]. Mediterranean ecosystems are characterized by long hot summers, with high irradiance and little, or no, precipitation, and these conditions strongly limit carbon assimilation [30,33]. Post-fire Pinus halepensis regeneration can also be partially attributed to rainfall during the first wet seasons after fire [34], but light is expected to influence seed germination and seedling performance [4,17,35,36]. Variations in post-fire regeneration patterns can also be related to post-dispersal seed predation [4,5,18,37].
While some post-fire rehabilitation treatments (e.g., contour-felled logs, or mulching) have been well studied and have proved effective in reducing sediment yields [7,9], very few studies have tested the effectiveness of these treatments to enhance seedling recruitment in natural conifer species. Information about emergency post-fire soil treatment effects on seedling emergence in Mediterranean ecosystems is still very scarce, and studies that have focused on direct Pinus halepensis seeding in semiarid woodlands are practically nonexistent (with the exception of research by Zagas et al. [6] with respect to the hot Mediterranean summer climate). Seeding specifications for emergency stabilization have not been sufficiently studied, and several questions remain about the technical, silvicultural and ecological aspects of direct seeding. The first main step when evaluating the degree of success of Pinus halepensis artificial regeneration in semiarid areas is to quantify the survival rate of this species [38].
In this context, we hypothesize that direct seeding would help to regenerate Pinus halepensis in semiarid burned forests, and that planning adequate post-fire management techniques will not only reduce the effects of wildfires on soil, but would also increase the initial establishment (recruitment) of pine seedlings. Thus, the aim of this research is twofold: to propose a direct seeding procedure to help the regeneration (initial pine recruitment) of this species in semiarid burned stands, while analyzing the effects of four post-fire treatments (wood chips cover on soil, contour-felled logs, piles of branches, and not clearing shrubs) on seed germination and seedling survival. This will allow us to make post-fire treatment recommendations to help improve the natural regeneration of this species in its harshest habitat.
2. Materials and Methods
2.1. Study Area
The research was conducted in the “Sierra de Los Donceles” mountains (municipality of Hellín, Castilla-La Mancha region, south Spain; Figure 1), burned in July 2012 (approximately 6500 hectares). This is one of the more unfavorable Pinus halepensis Mill. habitats worldwide due to scarce rainfall. The potential vegetation is an evergreen sclerophyllous forest (Rhamno lycioidis–Quercetum cocciferae S.; [39]). Kermes oak (Quercus coccifera L.) shrublands appear mainly on north slopes and compete with Aleppo pine. Due to fire and other human impacts however, Aleppo pine dominates current vegetation. In the open areas of pine stands, typical serial scrub species also appear, such as halfah grass (Stipa tenacissima), which forms a steppic grassland community with high cover.
Figure 1.
Maps of the study area and research site. The perimeter of the “Sierra de los Donceles” wildfire (a: in Spain, and b: in the municipality of Hellín), automatic weather station (Meteodata) and experimental plots (c) are represented on the maps. UTM coordinates, ETRS89.
To define the local climate, meteorological information was recorded from the “Hellin” climatic station, owned by the State Meteorological Agency (AEMET) of Spain (UTM coordinates X: 612,321 m; Y: 4,260,580 m; 579 m.a.s.l.; data based on a series of 13 complete years: 2000–2012). This station is located within 5 km of the research area. The climate there is cold and semiarid, of type BSk according to the Köppen-Geiger classification [40]. High temperatures and dry summers with periodic storm events characterize the semiarid climate at the research site. Mean annual temperature and precipitation are 15.3 °C and 332.2 mm, respectively. The area is included in the sector of the Pinus halepensis Spanish distribution, with a semiarid ombrotype (annual rainfall < 350 mm). The dry period lasts all of July and August, and part of June and September. Extreme temperatures range from 42.1 °C (August) to −10.2 °C (January). According to the Thornthwaite method, potential evapotranspiration is 743 mm. In addition, an automatic weather station (Meteodata-3016C) recorded climatic data during the 3-year research period at the research site (Figure 2). The total precipitation values registered at the weather station were 325.5 mm and 324.4 mm (in 2015 and in 2016, respectively), with more precipitation falling in early spring at the beginning of seed germination (March 2015). However, as seen in Figure 2, seedling development was affected by the precipitation after seed germination (15 mm in April, 0 mm in May, and 8 mm in June 2015), and the scarce and irregular summer rainfall (58 mm in June–August) from a few storms in 2015. It was also affected by scarce rainfall in 2016 (only 8 mm in June–September).
Figure 2.
Climate diagram with the data recorded (research period October 2014–December 2016) at the weather station (Meteodata-3016C) in the experimental area. The diagram shows monthly precipitation (left ordinate, and bars) and average temperature (right ordinate, and line). Red arrows indicate the main observation dates: seeding, seed germination and two seedling inventories.
The geological materials in the study area mainly correspond to dolomitic limestones from the Jurassic (Dogger) [41]. Altitude at the research site ranges from 550–700 m.a.s.l., and pine stands are located in low areas mid-slope, with very few on ridges, bottom slopes and in gullies. Thus, the principal factor that defines site quality is the topographic aspect (northern or southern exposure), which can affect moisture conditions and light. This aspect could also provide different conditions for germination and seedling establishment in a semiarid climate. In order to study edaphic characteristics, soil sampling was carried out in the experimental area by taking random samples on the soil horizon (0–10 cm depth). To minimize inherent soil variability effects, each soil horizon sample was composed of a thorough mix of six subsamples (each one was approximately 200 g in weight) randomly collected in the sampling area. Samples were analyzed by taking three replicates in the laboratory, and the mean sample value was used. Sample data were comprised of 32 soil samples in accordance with the experimental design (1 sample per plot; 16 samples for each topographic aspect—north and south slopes; see Section 2.2). Characterization of soil parameters is shown in Table 1. For all respective soil parameters, no significant differences were observed between north and south slopes.
Table 1.
Mean (±SE) soil characteristics (0–10 cm depth) in the study area. Sample data n = 32 (1 sample per plot; 16 samples for each topographic aspect). Texture was determined with a Bouyoucos densimeter, pH with a pH meter, total organic C and organic matter (%) by the Walkley–Black method, total N (%) by the Kjeldahl method, and bioavailable P following the method of Olsen.
The analysis showed a very alkaline soil with clay content above 30% throughout the profile (Table 1). Given the amounts of clay, this soil has a high cation exchange capacity (CEC). High organic matter also contributed to increasing CEC. Phosphorous availability was low, and the amounts of nitrogen were normal (0.16% and 0.18% for the north-shading and southern aspects, respectively). There were no differences between soil parameters according to the topographic aspect due to the short time since the wildfire. Based on the edaphic and microclimatic properties, soil was classified as aridisol (Lithic Haplocalcids) according to USDA soil taxonomy [42]. They are calcic soils in which water is not available to mesophytic plants for long periods (<90 days). In general, they are found on the most recent deposits or erosion surfaces with a calcic horizon and lime throughout the profile.
2.2. Experimental Design
Experimental seeding was done by installing spot seeding (5 cm depth) with a hoe and dropping a predetermined number of seeds (100) on a 50 × 50 cm plot (hand seeding). Seeds were covered with a layer of withdrawn soil that did not exceed 1 cm. Although seed post-dispersal predation is a factor that could affect seedling development in Pinus halepensis [4], seeding was not protected to better simulate natural post-fire seedling recruitment conditions. The seeds used for direct seeding were collected from the study area (unburned stands; October 2014). Seeds had a good germination capacity (above 90%), and the larger-sized seeds were included in seed lots. Seeding was done in November 2014.
Five seeding strategies were analyzed in an attempt to simulate pine seedling recruitment according to post-fire treatments: (1) covering seeding by wood chips (homogenous distribution of chips, 1 cm deep; wood chips included all the tree components, mainly fragments of wood measuring approximately 2 cm × 0.5 cm × 0.5 cm; wood chips were made by a wood chipper coupled with a forest tractor); (2) seeding under crown debris (piles of burned branches, 40–50 cm high); (3) seeding along trunks arranged on contour felled-logs (on the shaded side), with logs placed perpendicularly to the slope (these hydrological structures were built with 2–3 logs and were 50–70 cm high); (4) seeding under regeneration of halfah grass Stipa tenacissima (to analyze the effects of a potential clearing grass treatment, or a “facilitation effect”); and (5) seeding on the bare ground in gaps (the control). The experiment was replicated according to site quality by analyzing the two main topographic aspect levels: northern and southern aspect.
The experimental area was composed of 32 plots (16 plots per topographic aspect; Figure 1), and each plot was subdivided into 5 experimental sub-plots (50 × 50 cm), where each sub-plot represented one seeding method (post-fire treatment). The five treatments were allotted randomly to the five experimental units. Each plot was spaced out enough to avoid pseudoreplication. The topographic slopes between all the plots were similar and characterized by gentle to moderate slopes (average 10°, range 3° to 20°), and elevations ranged from 550 m to 650 m.a.s.l. The aspect of each plot was selected according to the four cardinal directions.
2.3. Data Analysis
Initial seedling recruitment was assessed by two response variables measured in three data inventories along years 2015 and 2016 (Figure 2). The first response variable was seed germination (%): the proportion of seedlings that emerged from soil (with cotyledons and primary needles) at the beginning of spring (they were counted in plots in March–April 2015) in relation to the number of sown seeds. The second was seedling survival after the summer (seedlings): the number of living seedlings after the first two summers (at the end of the fall after growth cessation, November 2015 and December 2016). Equation (1) was used to test the effects of topographic aspect and the seeding method (treatment) on the seed germination:
where y is the response variable; μ is the overall mean; A is the topographic aspect (fixed factor with two levels: northern and southern aspect); and P(A) is the effect of the plots within each aspect. “Plot” was nested within aspect since different plots were given to each topographic site and was also considered a random factor since plots were a random sample from the total experimental site (randomized design, [43]). T represents treatment effects (seeding method; fixed factor with 5 levels); (A × T) the interaction effect between aspect and treatments; and ε is the random residual. The rest of the interactions were excluded from the full model for their minimum significance and were included in the error term. Equation (1) is a linear mixed-effects model with fixed and nested random effects [44].
A fixed factor was added in Equation (1) (Y: year of seedling inventory, with 2 levels, 2015 and 2016) to test the effects of topographic aspect and the seeding method (treatment) on the seedling survival along the two years of the seedling inventory (Equation (2)):
Following Wennstrom et al. [45], factor effects on seedling survival for individual years were obtained simplifying Equation (2) (in this case, Equation (1) was applied). In all analysis, Fisher’s least significant difference (LSD procedure) was used to test the differences among the means of levels to isolate which groups differed from others (a multiple comparison procedure). The statistical analysis was performed by the general linear model procedure (including nested random effects) with the Statgraphics Centurion XVI® statistical package. To apply this statistical method, it is desirable for data to be normally distributed. This is not the case of proportions, which have values that range between zero and one. In addition, errors must be independent and normally distributed with constant variance. To ensure these assumptions, logarithmic transformations were used [46]: (1) [] for proportions “p” (seed germination); and (2) [ln(n + 1)] for the numeric variable (seedling survival). As transformations require numerical data above zero, a small number (0.5, 1, or 1.5) was added to the response variable before transformation. Finally, frequency histograms for the survived seedlings per spot seeding were done to study the distribution of number of living seedlings in the sub-plots (class size = 5 seedlings).
3. Results
3.1. Seed Germination (%)
The linear mixed model that was fitted to analyze the effects of aspect, plot, and treatment (seeding method or post-fire treatment) on seed germination (Equation (1)) was highly significant (F-ratio = 1.78; p = 0.01; R2 = 36.6%). Treatment was the only factor that significantly affected the percentage of seedling emergence (Table 2), and the aspect × treatment interaction had no significant effect. The effect of different levels of topographic aspect does not depend on what level of post-fire treatments is present (p = 0.78). As the “plot” factor had no significant effects, differences in seedling emergence can be attributed only to seeding method, regardless of the quality of the site or microsite. Because the interaction between the fixed factors was not statistically significant, the levels within the treatments factor can be compared to one another without considering the aspect factor.
Table 2.
Results of the multifactor ANOVA performed to test the statistical significance of each factor included in Equation (1) on seed germination (in log-transformed units) in the study area. The table represents the degrees of freedom (d.f.), F-ratio and p-values for the two fixed effects (and their interaction) and for the plot effect (random). Effects were considered significant when the p-value < 0.05 (95.0% confidence level). Sample data = 160 sub-plots (50 × 50 cm).
Figure 3 shows (in untransformed or conventional units; %) all the pair-wise multiple comparison procedures (Fisher’s LSD method) that correspond to the mean seed germination values for the two topographic aspects (pooled data; Equation (1)) and within aspects. In the pooled data (two aspects), the seeding cover with wood chips gave greater seedling emergence (18.2 ± 2.4%) than the other post-fire treatments (significant differences of 10.9%, 12.1%, 12.4%, and 16.9% with the seeding next to Stipa, in piles of branches, on the bare ground or the control, and in contour-felled logs, respectively. No significant differences were found for the remaining post-fire treatment levels (two homogeneous groups of means were formed). This occurred for the northern and southern aspects (a homogeneous group of means was formed at the northern aspect, including the wood chips and grass cover treatments). Thus, covering the seeding with wood chips proved the most favorable treatment to enhance seedling emergence.
Figure 3.
Mean values (±SE) of seed germination (untransformed units; %) depending on seeding method (treatment) and aspect for the study site. The bar chart shows the values for the two topographic aspects (pooled data) and within aspects (northern or southern aspects). For the two aspects, the means with the same capital letter were not significantly different, and the means within an aspect with the same lowercase letter were not significantly different (at the 0.05 level in all cases, according to the least significant difference (LSD) test). Sample data = 160 sub-plots (50 × 50 cm); 80 within each aspect.
3.2. Seedling Survival
The linear mixed model that was fitted to analyze the effects of year, aspect, plot, and post-fire treatment (seeding method) on seedling survival after the summer (Equation (2)) was highly significant (F-ratio = 6.34; p = 0.00; R2 = 50.3%). Year and treatment were the fixed factors that significantly affected seedling survival (Table 3). In this case the differences in living seedlings per spot seeding (sub-plot) can be partially attributed to microsite (random effect), which is inherent to semiarid Mediterranean woodlands. The interactions between treatment and the rest of fixed factors were not statistically significant.
Table 3.
Results of the multifactor ANOVA performed to test the statistical significance of each factor included into Equation (2) that relates seedling survival (in log-transformed units) to the predictive factors. The table represents the degrees of freedom (d.f.), F-ratio and p-values (p) for the fixed effects (and their interaction) and for the plot effect (random). Effects were considered significant when p-value < 0.05 (95.0% confidence level). Sample data = 160 sub-plots (50 × 50 cm).
Seedling survival after the summer was significantly higher in the treatment of wood chips cover on seeding in both inventories (autumn 2015 and 2016; Table 3 and Figure 4). This variable was significantly lower for all treatments in the fall 2016 (except for contour-felled logs, because seedling survival was close to zero in 2015) due to severe drought in summer 2016. Values of living seedlings in both inventories showed that seedling mortality in year 2016 ranged from 46.7% for the wood-chips treatment (the lowest) to 89.5% for the control (in the year 2015, mortality was 53.0% with the best treatment, which was the cover of wood chips, taking as previous data 18.2 emerged seedlings). Mortality also increased in the treatments of piles of branches (57.6%), and grass cover (74.1%). The summer of 2016 was an exceptionally dry season even for a semiarid climate, with only 8 mm of rainfall in the June–September period, as shown in Figure 2 (the annual average for this period is 82 mm, data no shown). Thus, cover seeding with wood chips is a form of treatment that can help attenuate severe drought in seedlings. In any case, the best overall treatment for initial seedling establishment in years 1 and 2 was seeding with the cover of wood chips, being the only form of treatment that significantly lowered mortality compared to the control in second inventory, during the most severe summer drought.
Figure 4.
Interaction plot for the year × treatment factor. The means (±SE) of living seedlings per sub-plot after the summer (autumn 2015 and 2016) are represented in function of treatment (seeding method). Sample data = 160 sub-plots (50 × 50 cm). Total seeded sub-plots per treatment (seeding method) = 32.
The results were similar analyzing seedling survival within the year (Table 3). The results in Figure 5 (using Fisher’s least significant difference LSD post hoc test; p < 0.05) show that a stronger response in seedling survival was observed in the seeding subjected to the wood chip cover (8.6 ± 1.3 living seedlings in 2015, and 4.6 ± 0.6 living seedlings in 2016), regardless of topographic aspect (pooled data). This treatment allowed more seedlings in the spot seeding to exist after summer than the control treatment (the seeding done on the bare ground; 2.4 ± 1.3 seedlings in 2015, and 0.2 ± 0.6 seedlings in 2016). In contrast, the seeding next to the contour-felled logs (on the shaded side) was the poorest treatment for promoting seedling survival (survival close to zero). At the second inventory (December 2016), the seeding with cover of wood chips showed significant differences of 3.2, 3.4, and 4.3 living seedlings compared to the seeding in piles of branches, next to grass and on contour-felled logs, respectively (for these treatments, the survival was very low in autumn 2016). When analyzing the within-aspect data, the obtained results were similar, and total seedling survival was significantly favored by covering the seeding with wood chips in both aspects and years.
Figure 5.
Mean values (±SE) of total seedling survival per sub-plot (in untransformed units; living seedlings) depending on the seeding method (treatment) and aspect (years 2015 and 2016). The bar chart shows the values for the two aspects (data-pooled) and within aspects (northern or southern). For the two aspects, the means with same capital letter were not significantly different, and the means within aspect with the same lowercase letter were not significantly different (at the 0.05 level according to the LSD test, in all cases). Sample data = 160 sub-plots (80 within each aspect). Total seeded sub-plots (50 × 50 cm) per treatment (seeding method) = 32.
Consequently, in December 2016, i.e., after the second summer drought, the mean seedling density for the seeded sub-plots with a wood chip cover was 18.4 seedlings m−2, as compared to a mean density of 1.0 seedlings m−2 in the seeded sub-plots on the bare ground (not the post-fire treatment), which was significantly less. These results add to the growing weight of evidence that woodchip mulch applications are effective in promoting the initial seedling recruitment in the post-fire stage, while the other treatments were ineffective because of the limited increase in plant cover that they brought about compared to the control (no post-fire treatment, seeding on the bare ground).
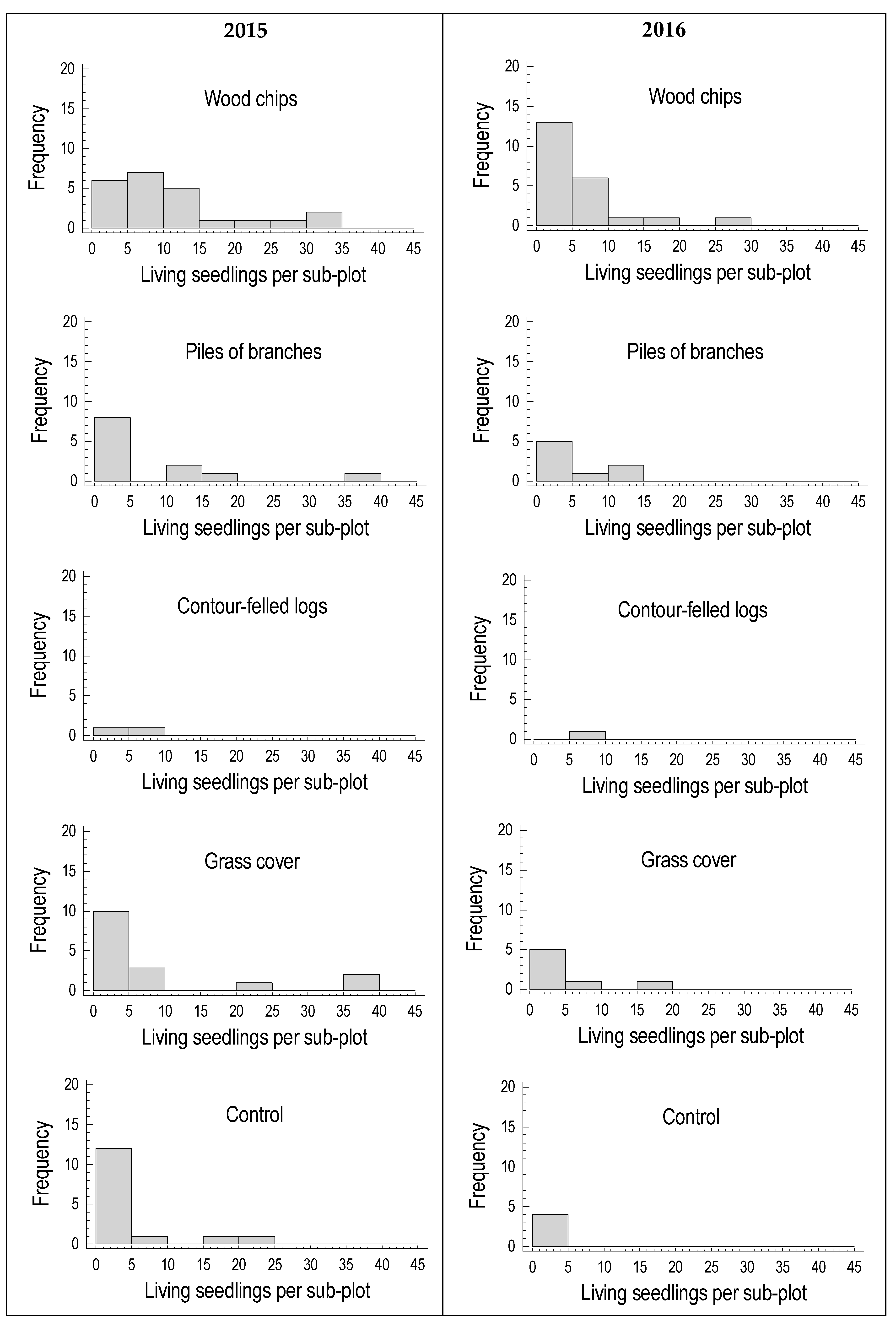
Finally, Figure 6 shows that seeding with the cover of wood chips also promoted a better distribution of living seedlings when compared to the rest of the treatments. Specifically, 23 sub-plots under the cover of wood chips resulted in at least 1 living seedling in the year 2015 (71.9% of total of 32 sub-plots), and 22 in the year 2016 (68.8%), whereas without post-fire treatment (control), 15 resulted in living seedlings in the year 2015 (46.9%), and only 4 in autumn 2016 (12.5%). In the rest of treatments, the number of sub-plots with live seedlings was (in autumn 2016): 1 in contour-felled logs (3.1%), 7 in grass cover (21.9%), and 8 in piles of branches (25.0%). For the wood chip treatment, the highest percentage of sub-plots with living seedlings was obtained for the class “0–5 living seedlings” at the end of the research (13 sub-plots, 40.6% of total). In this class, a mean (±SE) of 3.0 ± 0.2 seedlings was obtained (6.6 ± 1.4 seedlings of total spot seeding with living seedlings).
Figure 6.
Frequency histograms for the living seedlings per sub-plot in each treatment (years 2015 and 2016). Each bar represents the number of sub-plots (frequency) in each class of “living seedlings” (class size = 5 seedlings).
4. Discussion
Although direct seeding has been defined as a difficult regeneration tool in severely drought-affected areas [25,26] our results show that this revegetation method can help to recover burned Pinus halepensis stands, and that the wood chips as a surface-covering material form a post-fire treatment that improves both seed germination and seedling survival compared with seeding on the bare ground. The application of organic elements to soil in a post-fire stage has been shown to be an emergency soil treatment method in semiarid areas; e.g., the authors of [10,12] created mulching straw with combined seeding (herb seed mixture of grasses and legumes) to promote seedling establishment and erosion control. The application of a layer of organic fragments in the form of wood chips has an effect similar to mulching as it lowers soil temperature and evaporation (especially in summer), and increases soil moisture, results that favor germination and seedling development [31,47]. The layer of wood chips also increases soil nitrogen availability by year 3 [16,47] by providing a nutrient reserve for future seedlings. Breton et al. [31] added that the relevant role of wood chip amendments helps avoid removal of seeds by water, and to maintain soil moisture conditions. During year 1 and 2, we noted that wood chips remained in the experimental plots.
Wood mulching treatments add an irregular layer of woody fragments to the O horizon with a variable depth on the ground. In this sense, wood chip layer depth can be an important factor because seedlings can be capable of germinating and emerging. Although other studies have applied a deeper layer of wood chips (e.g., the authors of [16] used 8 cm, and in [47] 2–4 cm was used), our findings demonstrate that seedling emergence and survival are possible if seeds are covered with only 1 cm of wood chips. In contrast, in Pinus ponderosa semiarid stands, woodchip additions with deeper layers have been associated with significantly lower species diversity and overall plant cover [16]. Suppression of seedling emergence and growth could occur at deeper wood chip depths, and Wolk et al. [48] suggested that stands covered by an average depth of 7.5 cm wood chips reduced the total understory cover by half.
In our study, seed germination and seedling survival were certainly low in all treatments. These results were expected in part because first post-fire summer is by far the most crucial period for the survival of seedlings in Aleppo pine, with mortalities of even 90% of individuals [49]. Related studies on the regeneration of burned Aleppo pine forests have shown that the natural regeneration of this pine in a post-fire stage is sometimes very difficult; e.g., the authors of [34] measured a maximum density of emerged Aleppo pine seedlings of 4.2–4.6 seedlings m−2 in the post-fire stage. In southern France, Trabaud et al. [50] reported a low seedling density value (0.1 seedlings m−2) in the post-fire stage, which correlated with burned pine tree density. In southeast Spain, Herranz et al. [2] inventoried a maximum density of 0.66 seedlings m−2 at 9 months after a fire (and 0.24 seedlings m−2 at 39 months after a fire), while Pausas et al. [51] also recorded low seedling density in eastern Spain (0.45–0.27 seedlings m−2 at 8 months and 2.5 years after a fire, respectively). The results we obtained with the best treatment (cover of wood chips) represent values of 73 germinated seed m−2 and 18.4 living seedlings m−2 in the autumn of the second year (2016). Consequently, these seedling development values can be considered significantly higher than those provided by a natural soil seed bank in several initial post-fire stages. The authors of [52] indicated that a seed bank in burned soils can vary vastly (150–405 seeds m−2), but at the end of the rainy season, this can drop dramatically to 0–4 seeds m−2. Low-intensity fire favors resprouting (Quercus) instead of Aleppo pine seed germination, and zero seedlings at two years were observed by [5]. In consequence, the proposed seeding method with cover of wood chips should be considered as an emergency aid to a regeneration tool. Zagas et al. [6] obtained the best results in Aleppo pine two years after seeding in a treatment of seeding in patches, with a final density of 1.4 seedlings per m2. This was also significantly lower than that found in our results. Although direct seeding can be conditioned by adverse factors, this forest management can favor forest succession in many small areas, and can thus favor the initial recruitment of Pinus halepensis on a large scale [28].
Referring to drought, previous studies have shown that the scarce summer rainfall should be considered the first cause of low emergence and early seedling mortality in Mediterranean areas [18,30,32]. In our research, the scarce precipitation after seed germination (8 mm in May–June 2015) and the first summer drought affected the initial survival rate of revegetation. The authors of [23,49] indicated that the first summer after planting is the main mortality factor for seedling survival, and plant mortality rarely occurs in subsequent summer droughts [6,31]. However, in our study, seedling mortality continued in the year 2016 due to drought severity. The summer 2016 was an exceptionally dry season (even for a semiarid climate) with a decrease in rainfall for the June–September period of 90.3% (with respect to mean annual series). Our results confirm that seeding success in Mediterranean areas depends on rainfall intensity, amounts and timing, as indicated in [8]. In any case, the mulching treatment was the only one that significantly lowered mortality under the most severe drought. We hypothesized that no differences were observed in seedling development depending on aspect due to drought severity. Zagas et al. [6] obtained similar results for the “aspect” in Aleppo pine seeding, so these authors also analyzed seedling success independently of topographic conditions. In addition, our soil sampling results revealed that there were no differences between soil parameters depending on aspect because soils need a long time to recover normal activity after a fire [53].
It is well-known that when revegetation occurs from seeding, the seedlings that appear depend firstly on the capacity of soil to supply water, and also on the amount of light that reaches seedlings [27]. Very small amounts of water (2–3 times the weight of seeds) are necessary to stimulate seed germination, but progressively more water must be absorbed by seedlings for them to develop [27]. During our study period, only 8 mm of rainfall were recorded in the 2 months following the germination, and seedlings had to endure two extreme drought seasons, but initial seedling recruitment was severely affected by drought in all treatments equally. Hence, other causes of seeding failures in the different treatments must be found. We hypothesize that the effects of each treatment on seeding are well related to similar situations to those that occur during vegetal succession (initial recruitment), and these conditions can be summarized with improved soil conditions, intolerance to shade, seed predation, and facilitation (or competence) effects of grass.
Pinus halepensis is a very shade-intolerant conifer species [2], but seeds require low illumination to germinate [4,35,52], and even shading can favor earlier germination [4,35]. Thus direct seeding methods (or post-fire treatments) that cover seeds (e.g., wood chips), or that provide partial shading (piles of branches, grass), should not directly affect the germination process. However, light is essential in the post-germinate stage [27]. The results of Adili et al. [17] in stone pine have demonstrated that seed germination and seedling emergence do not need a high light level, whereas subsequent seedling survival and growth are determined mainly by light. Consequently, the advantage of utilizing wood chip covers in seeding is to protect Aleppo pine seeds from desiccation by promoting their germination without intercepting light in early seedling development stages.
Contrary to seeding under wood chips, seed germination on contour-felled logs was very poor and seedling survival was practically inexistent. Although this post-fire emergence treatment may be effective in reducing water flow energy by promoting sediment collection, hardly any significant improvement in species establishment was noted [7]. Removal or exposure of seeds (seed desiccation) by water (run off) [54], temporal soil inundation (flooding) which could deprive seeds of oxygen [27], seed predation favored next to shaded and moist areas (“fertility island” [25]), and fungi attack [55], can be factors that influence low germination in this treatment. Our results also suggest that Pinus halepensis seedlings were unable to tolerate the shady conditions created by contour-felled logs (high seedling mortality). In semiarid areas, shade was able to enhance the impacts of drought due to a disequilibrium between water and the carbon uptake balance, because conifer plants would need to allocate more C to aboveground components, and less to the belowground biomass, which would thus increase water stress [30,56,57]. As a result, our findings are in line with previous studies, which have demonstrated that shade reduces drought resistance [33,58], and this effect is probably more important in a species that is non-tolerant to shade, such as Pinus halepensis. Analyzing tolerance to shade is decisive when carrying out forest management because if the aim is to maintain an intolerant species such as Pinus halepensis, we should provide sunlight conditions in post-fire treatments.
In line with this, the seeds sown in piles of branches also reduced (but not completely) the incidence of light on seedlings, which resulted in a poor treatment for Aleppo pine regeneration by seeding. In this treatment we also observed abundant predated seeds (neat piles of seed hulls) in several plots. Hence, we can assume that seed predation increased in piles of branches. We hypothesize that seed removal was consistently high in all treatments, but the combination of adding seeds on branches (shaded cover) could increase predation on seeding. In general, rodents are the main predators of P. halepensis seeds in burned areas [4]. It is known that branch piles can attract a wide variety of wildlife species, and several rodents carry seeds to protective covers, such as branch piles [25]. To this end, piles of coarse woody debris are left on-site to support wildlife habitat [14], but at these “microsites” seed predation can increase [59]. In burned areas in early successional stages (1–3 post-fire years), the reduced vegetation cover increases rodent predation [60,61] and total abundance, and the species diversity of forest-floor small mammals can become higher in piles of branches than in dispersed coarse woody debris [59]. Birds are also potential predators of pine seeding because they consume seeds either by swallowing them whole or shattering the seed coat and removing the endosperm [25]. The increased forage and the cover provided by dead standing trees may also favor bird colonization (especially granivorous) in recently burned Aleppo pine areas [62]. Hence, post-dispersal seed predation is considered one of the main factors determining seed survival in Mediterranean forests because small mammal communities rapidly recover after fire [4]. High seed predation has been observed in other conifers in specific regeneration experiments [18]. Optimal temperatures for Aleppo pine seed germination are between 15 and 20 °C [4], and this range of temperatures prevailed in the 2 first months of the rainy season (March and April). In our research, seeding was applied in the fall of 2014, but little germination was observed until the following spring. Perhaps sowing for spring depredation could have been reduced because seeds are subject to numerous hazards when left on the ground for lengthy periods [26].
Unlike the facilitation hypothesis [21], the seeding next to Stipa tenacissima did not significantly improve seedling establishment versus the control treatment. Previous studies conducted in Mediterranean environments have confirmed a “facilitation effect” between grass or shrubs and pine seedlings, either by buffering edaphic-microclimatic conditions or protecting seedlings from herbivores [21,22,23,63,64]. These models justify that facilitation should increase across gradients of stress [20,38]. However, our results suggest that in a very intense summer drought, grass does not facilitate pine seedlings. Recently, the facilitation hypothesis and the stress-gradient hypothesis have been discussed because if environmental conditions become very severe, facilitation can collapse [30,32,65]. In a severe drought scenario, the effects of grass on Pinus halepensis seedlings might include reduced soil water availability, which may not be counterbalanced by improvements in microclimate or shade [38]. In addition, the “trade-off hypothesis” predicts that shade can increase the negative effect of drought [30,33]. Effects of grass or shrubs on pine seedling can also vary with canopy cover because under open canopies (similar to the open stands in our experiments), a negative net effect can be observed [66]. Adili et al. [17] have also demonstrated that understory woody vegetation does affect the survival of stone pine seedlings over 1 year through competition for soil moisture and nutrients. In Pinus nigra, Tiscar et al. [30] have suggested low facilitation at the driest site, competition at the wettest site, and high facilitation at mid-dry sites. Lucas-Borja et al. [32] have shown that shrub cover affects Pinus nigra seedling emergence, but only in drier years and at moderate basal areas, whereas in wetter years shrub cover favors seedling survival with no basal area influence. Thus facilitation may prove optimal at intermediate levels rather than under harsh or severe drought summer. Evidently, our results refer to the interaction between two specific species (Pinus halepensis and Stipa tenacissima) with a severe climate, and multiple combinations of species and situations (drought intensity, canopy, light) can be studied. Pugnaire et al. [24] concluded that facilitation effects are not equal for all species and situations, and the facilitation-competition balance is not fully understood.
5. Conclusions
Traditionally, the most negative aspect of utilizing direct seeding has been inconsistent seedling emergence and survival. However, distribution of wood chips to the soil surface as a mulching treatment significantly improves Pinus halepensis’ artificial regeneration (initial recruitment) in semiarid environments.
The obtained results permit us to recommend how this approach might be used in restoration efforts. First, the wood chip mulch should be applied after seeding the spot (100 seeds; plot of 50 × 50 cm). This is an easy, inexpensive procedure because no soil preparation is required. Considering some densities of the mature Aleppo pine forests in the study area, reaching densities of 300–600 pines per hectare could be sufficient for restoration purposes. We can estimate the number of spot seedings needed to achieve adequate stand density in function of number of spot seeding with seedlings, and living seedlings per spot. We predict that on installing 400-spot seeding ha−1 (data from 2016: 31.2% spot seeding with mortality 100%, and three living seedlings per spot) a similar density to a plantation should be obtained (826 saplings ha−1), which is well above the final density, and it allows us to obtain a security number of trees for future mortalities. Even if two or more trees remain per spot seeding, the pine forest structure is maintained because trees in these Aleppo pine stands often appear grouped at the best microsites (two or three pine trees). Of course, estimates should be done for each site and climate. We consider that the adequate tree density could be also achieved very easily by mastication of woody debris on-site. However, this issue should be addressed in further research.
Anyway, the novelty of our results lies in the expected positive effect of the wood chip cover for Pinus halepensis regeneration by both direct seeding and post-fire silvicultural management (chipping dead wood in burned stands). The proposed treatment that favors germination is the same as that which favors seedling development, and under all topographic aspects. In all cases, supplying wood chips increases the establishment of young plants, and limits mortality rates compared to not planning any treatment on the ground in the post-fire stage. We consider that the treatments which provide gains in plant survival terms can be decisive for future regeneration strategies, especially when extreme climatic events occur. Finally, we hope that our study can help forest managers to extend their knowledge about silvicultural tools, which can enhance forest regeneration, and thus promote the resilience and persistence of Pinus halepensis forests in the most unfavorable climatic distribution.
Acknowledgments
This work has been supported by the Spanish Ministry of Economy and Competitiveness with co-funding from European Development Regional Fund (MINECO/FEDER, UE; Project AGL2014-55658-R, FORESTRENGTH), by the Education, Culture and Sports Department of the Castilla-La Mancha Regional Council, with co-funding from the European Development Regional Fund (FEDER) (Project PEIC-2014-002-P, ECOFLUX III), and by funds provided by the Castilla-La Mancha University to the Environment and Forest Resources Research Group. Costs of publishing in open access have been covered with funds from these projects. Eduardo Martínez-García would like to acknowledge the financial support from the Spanish Ministry of Education (FPU grant, AP2009-0055). The authors thank the Regional Forestry Service of Castilla-La Mancha (especially Elena Gómez and José Luis Fernández) for providing the area of research and assisting in conducting treatments.
Author Contributions
F.A.G.-M. and F.R.L.-S. conceived and designed the experiments; F.A.G.-M., E.M.-G., M.A.-A. and E.R.C. carried out the data inventory; F.A.G.-M., E.M.-G., H.M. and F.R.L.-S. analyzed the data; F.A.G.-M. wrote the manuscript; M.A.-A. and E.R.C. revised the data analysis and improved the manuscript.
Conflicts of Interest
The authors declare no conflict of interest.
References
- Thonicke, K.; Venevsky, S.; Sitch, S.; Cramer, W. The role of fire disturbance for global vegetation dynamics: Coupling fire into a dynamic global vegetation model. Glob. Ecol. Biogeogr. 2001, 10, 661–677. [Google Scholar] [CrossRef]
- Herranz, J.; Martinez Sanchez, J.; Marin, A.; Ferrandis, P. Postfire regeneration of Pinus halepensis Miller in a semi-arid area in Albacete Province (Southeastern Spain). Ecoscience 1997, 4, 86–90. [Google Scholar] [CrossRef]
- Pausas, J.; Llovet, J.; Rodrigo, A.; Vallejo, R. Are wildfires a disaster in the Mediterranean basin?—A review. Int. J. Wildland Fire 2008, 17, 713–723. [Google Scholar] [CrossRef]
- Broncano, M.; Rodrigo, A.; Retana, J. Post-dispersal seed predation in Pinus halepensis and consequences on seedling establishment after fire. Int. J. Wildland Fire 2008, 17, 407–414. [Google Scholar] [CrossRef]
- Ferrandis, P.; de las Heras, J.; Martinez-Sanchez, J.; Herranz, J. Influence of a low-intensity fire on a Pinus halepensis Mill. forest seed bank and its consequences on the early stages of plant succession. Isr. J. Plant Sci. 2001, 49, 105–114. [Google Scholar] [CrossRef]
- Zagas, T.; Ganatsas, P.; Tsitsoni, T.; Tsakaldimi, M. Post-fire regeneration of Pinus halepensis Mill. stands in the Sithonia Peninsula, Northern Greece. Plant Ecol. 2004, 171, 91–99. [Google Scholar] [CrossRef]
- Wagenbrenner, J.; MacDonald, L.; Rough, D. Effectiveness of three post-fire rehabilitation treatments in the Colorado Front Range. Hydrol. Process. 2006, 20, 2989–3006. [Google Scholar] [CrossRef]
- Robichaud, P.; Lillybridge, T.; Wagenbrenner, J. Effects of postfire seeding and fertilizing on hillslope erosion in north-central Washington, USA. Catena 2006, 67, 56–67. [Google Scholar] [CrossRef]
- Robichaud, P.R.; Beyers, J.L.; Neary, D.G. Rocky Mountain Research Station (Fort Collins, Colo.). In Evaluating the Effectiveness of Postfire Rehabilitation Treatments; U.S. Department of Agriculture, Forest Service, Rocky Mountain Research Station: Fort Collins, CO, USA, 2000; 85p. [Google Scholar]
- Bautista, S.; Bellot, J.; Vallejo, V. Mulching treatment for postfire soil conservation in a semiarid ecosystem. Arid Soil Res. Rehabilit. 1996, 10, 235–242. [Google Scholar] [CrossRef]
- Leon, J.; Echeverria, M.; Badia, D.; Marti, C.; Alvarez, C. Effectiveness of wood chips cover at reducing erosion in two contrasted burnt soils. Z. Geomorphol. 2013, 57, 27–37. [Google Scholar] [CrossRef]
- Badia, D.; Marti, C. Seeding and mulching treatments as conservation measures of two burned soils in the Central Ebro Valley, NE Spain. Arid Soil Res. Rehabil. 2000, 14, 219–232. [Google Scholar]
- Martinez-Sanchez, J.; Ferrandis, P.; de las Heras, J.; Herranz, J. Effect of burnt wood removal on the natural regeneration of Pinus halepensis after fire in a pine forest in Tus Valley (SE Spain). For. Ecol. Manag. 1999, 123, 1–10. [Google Scholar] [CrossRef]
- Peterson, D.; Dodson, E.; Harrod, R. Post-fire logging reduces surface woody fuels up to four decades following wildfire. For. Ecol. Manag. 2015, 338, 84–91. [Google Scholar] [CrossRef]
- Battaglia, M.A.; Rocca, M.E.; Rhoades, C.C.; Ryan, M.G. Surface fuel loadings within mulching treatments in Colorado coniferous forests. For. Ecol. Manag. 2010, 260, 1557–1566. [Google Scholar] [CrossRef]
- Miller, E.; Seastedt, T. Impacts of woodchip amendments and soil nutrient availability on understory vegetation establishment following thinning of a ponderosa pine forest. For. Ecol. Manag. 2009, 258, 263–272. [Google Scholar] [CrossRef]
- Adili, B.; El Aouni, M.; Balandier, P. Unravelling the influence of light, litter and understorey vegetation on Pinus pinea natural regeneration. Forestry 2013, 86, 297–304. [Google Scholar] [CrossRef]
- Lucas-Borja, M.E.; Fonseca, T.; Parresol, B.R.; Silva-Santos, P.; Garcia-Morote, F.A.; Tiscar-Oliver, P.A. Modelling Spanish black pine seedling emergence: Establishing management strategies for endangered forest areas. For. Ecol. Manag. 2011, 262, 195–202. [Google Scholar] [CrossRef]
- Del Cerro Barja, A.; Lucas-Borja, M.E.; Martinez Garcia, E.; Lopez Serrano, F.R.; Andres Abellan, M.; Garcia Morote, F.A.; Navarro Lopez, R. Influence of stand density and soil treatment on the Spanish black pine (Pinus nigra Arn. ssp. salzmannii) regeneration in Spain. Investig. Agrar. Sist. Recur. For. 2009, 18, 167–180. [Google Scholar] [CrossRef]
- Bertness, M.; Callaway, R. Positive interactions in communities. Trends Ecol. Evolut. 1994, 9, 191–193. [Google Scholar] [CrossRef]
- Bruno, J.; Stachowicz, J.; Bertness, M. Inclusion of facilitation into ecological theory. Trends Ecol. Evolut. 2003, 18, 119–125. [Google Scholar] [CrossRef]
- Gasque, M.; Garcia-Fayos, P. Interaction between Stipa tenacissima and Pinus halepensis: Consequences for reforestation and the dynamics of grass steppes in semi-arid Mediterranean areas. For. Ecol. Manag. 2004, 189, 251–261. [Google Scholar] [CrossRef]
- Gomez-Aparicio, L.; Zamora, R.; Gomez, J.; Hodar, J.; Castro, J.; Baraza, E. Applying plant facilitation to forest restoration: A meta-analysis of the use of shrubs as nurse plants. Ecol. Appl. 2004, 14, 1128–1138. [Google Scholar] [CrossRef]
- Pugnaire, F.; Armas, C.; Maestre, F. Positive plant interactions in the Iberian Southeast: Mechanisms, environmental gradients, and ecosystem function. J. Arid Environ. 2011, 75, 1310–1320. [Google Scholar] [CrossRef]
- Barnett, J.P. Direct Seeding Southern Pines: History and Status of a Technique Developed for Restoring Cutover Forests; General Technical Report SRS-GTR-187; USDA-Forest Service, Southern Research Station: Asheville, NC, USA, 2014. [Google Scholar]
- Duryea, M.L.; Dougherty, P.M. Forest Regeneration Manual; Kluwer Academic Publishers: Dordrecht, The Netherlands; Boston, MA, USA, 1991; 433p. [Google Scholar]
- Kozlowski, T. Physiological ecology of natural regeneration of harvested and disturbed forest stands: Implications for forest management. For. Ecol. Manag. 2002, 158, 195–221. [Google Scholar] [CrossRef]
- Urbieta, I.; Garcia, L.; Zavala, M.; Maranon, T. Mediterranean pine and oak distribution in Southern Spain: Is there a mismatch between regeneration and adult distribution? J. Veg. Sci. 2011, 22, 18–31. [Google Scholar] [CrossRef]
- Carnicer, J.; Coll, M.; Pons, X.; Ninyerola, M.; Vayreda, J.; Penuelas, J. Large-scale recruitment limitation in Mediterranean pines: The role of Quercus ilex and forest successional advance as key regional drivers. Glob. Ecol. Biogeogr. 2014, 23, 371–384. [Google Scholar] [CrossRef]
- Tiscar, P.; Linares, J. Large-scale regeneration patterns of Pinus nigra subsp. salzmannii: Poor evidence of increasing facilitation across a drought gradient. Forests 2014, 5, 1–20. [Google Scholar] [CrossRef]
- Breton, V.; Crosaz, Y.; Rey, F. Effects of wood chip amendments on the revegetation performance of plant species on eroded marly terrains in a Mediterranean mountainous climate (Southern Alps, France). Solid Earth 2016, 7, 599–610. [Google Scholar] [CrossRef]
- Lucas-Borja, M.E.; Candel-Perez, D.; Garcia Morote, F.A.; Onkelinx, T.; Tiscar, P.A.; Balandier, P. Pinus nigra Arn. ssp. salzmannii seedling recruitment is affected by stand basal area, shrub cover and climate interactions. Ann. For. Sci. 2016, 73, 649–656. [Google Scholar]
- Valladares, F.; Pearcy, R. Drought can be more critical in the shade than in the sun: A field study of carbon gain and photo-inhibition in a Californian shrub during a dry El Niño year. Plant Cell Environ. 2002, 25, 749–759. [Google Scholar] [CrossRef]
- Daskalakou, E.; Thanos, C. Postfire regeneration of Aleppo pine—The temporal pattern of seedling recruitment. Plant Ecol. 2004, 171, 81–89. [Google Scholar] [CrossRef]
- Broncano, M.; Riba, M.; Retana, J. Seed germination and seedling performance of two Mediterranean tree species, holm oak (Quercus ilex L.) and Aleppo pine (Pinus halepensis Mill.): A multifactor experimental approach. Plant Ecol. 1998, 138, 17–26. [Google Scholar] [CrossRef]
- Eugenio, M.; Lloret, F. Fire recurrence effects on the structure and composition of Mediterranean Pinus halepensis communities in Catalonia (Northeast Iberian Peninsula). Ecoscience 2004, 11, 446–454. [Google Scholar] [CrossRef]
- Lucas-Borja, M.E.; Fonseca, T.; Linares, J.C.; Garcia Morote, F.A.; Lopez Serrano, F.R. Does the recruitment pattern of Spanish black pine (Pinus nigra Arn. ssp. salzmannii) change the regeneration niche over the early life cycle of individuals? For. Ecol. Manag. 2012, 284, 93–99. [Google Scholar] [CrossRef]
- Maestre, F.; Valladares, F.; Reynolds, J. Is the change of plant-plant interactions with abiotic stress predictable? A meta-analysis of field results in arid environments. J. Ecol. 2005, 93, 748–757. [Google Scholar] [CrossRef]
- Rivas Martínez, S. Mapa de Series de Vegetación de España: 1:400.000; ICONA: Madrid, Spain, 1987. [Google Scholar]
- Kottek, M.; Grieser, J.; Beck, C.; Rudolf, B.; Rubel, F. World map of the Köppen-Geiger climate classification. Meteorol. Z. 2006, 15, 259–263. [Google Scholar] [CrossRef]
- Instituto Geológico y Minero de España; García Domingo, A. Isso. Material Cartográfico: Mapa Geológico de España E. 1:50.000, 1st ed.; Ministerio de Industria y Energía, Servicio de Publicaciones: Madrid, Spain, 1986. [Google Scholar]
- United States Department of Agriculture Natural Resources Conservation Service. Soil Taxonomy: A Basic System of Soil Classification for Making and Interpreting Soil Surveys, 2nd ed.; U.S. Department of Agriculture: Washington, DC, USA, 1999; 869p.
- Hoshmand, H.R. Design of Experiments for Agriculture and the Natural Sciences Second Edition, 2nd ed.; Champan & Hall/CRC: New York, NY, USA, 2006; p. 437. [Google Scholar]
- Neter, J.; Kutner, M.; Wasserman, W.; Nachtsheim, C. Applied Linear Statistical Models, 4th ed.; McGraw-Hill-Irwin: Chicago, IL, USA, 1996. [Google Scholar]
- Wennstrom, U.; Bergsten, U.; Nilsson, J. Seedling establishment and growth after direct seeding with Pinus sylvestris: Effects of seed type, seed origin, and seeding year. Silva Fenn. 2007, 41, 299–314. [Google Scholar] [CrossRef]
- Sabin, T.E.; Stafford, S.C. Assessing the Need for Transformation of Response Variables; Volume Special Publication 20; Forestry Publications Office, Oregon State University: Corvallis, OR, USA, 1990. [Google Scholar]
- Rhoades, C.; Battaglia, M.; Rocca, M.; Ryan, M. Short- and medium-term effects of fuel reduction mulch treatments on soil nitrogen availability in Colorado conifer forests. For. Ecol. Manag. 2012, 276, 231–238. [Google Scholar] [CrossRef]
- Wolk, B.; Rocca, M. Thinning and chipping small-diameter ponderosa pine changes understory plant communities on the Colorado Front Range. For. Ecol. Manag. 2009, 257, 85–95. [Google Scholar] [CrossRef]
- Castro, J.; Zamora, R.; Hodar, J.; Gomez, J. Use of shrubs as nurse plants: A new technique for reforestation in Mediterranean mountains. Restor. Ecol. 2002, 10, 297–305. [Google Scholar] [CrossRef]
- Trabaud, L.; Michels, C.; Grosman, J. Recovery of burnt Pinus-halepensis Mill. forests. 2. Pine reconstitution after wildfire. For. Ecol. Manag. 1985, 13, 167–179. [Google Scholar] [CrossRef]
- Pausas, J.; Ouadah, N.; Ferran, A.; Gimeno, T.; Vallejo, R. Fire severity and seedling establishment in Pinus halepensis woodlands, eastern Iberian Peninsula. Plant Ecol. 2003, 169, 205–213. [Google Scholar] [CrossRef]
- Daskalakou, E.; Thanos, C. Aleppo pine (Pinus halepensis) postfire regeneration: The role of canopy and soil seed banks. Int. J. Wildland Fire 1996, 6, 59–66. [Google Scholar] [CrossRef]
- Hedo, J.; Lucas-Borja, M.; Wic, C.; Andres-Abellan, M.; de Las Heras, J. Soil microbiological properties and enzymatic activities of long-term post-fire recovery in dry and semiarid Aleppo pine (Pinus halepensis M.) forest stands. Solid Earth 2015, 6, 243–252. [Google Scholar] [CrossRef]
- Bochet, E. The fate of seeds in the soil: A review of the influence of overland flow on seed removal and its consequences for the vegetation of arid and semiarid patchy ecosystems. Soil 2015, 1, 131–146. [Google Scholar] [CrossRef]
- Baskin, C.C.; Baskin, J.M. Seeds: Ecology, Biogeography, and Evolution of Dormancy and Germination; Academic Press: San Diego, CA, USA, 2001. [Google Scholar]
- Garcia Morote, F.A.; Lopez Serrano, F.R.; Andres, M.; Rubio, E.; Gonzalez Jimenez, J.L.; de las Heras, J. Allometries, biomass stocks and biomass allocation in the thermophilic Spanish juniper woodlands of Southern Spain. For. Ecol. Manag. 2012, 270, 85–93. [Google Scholar] [CrossRef]
- Smith, T.; Huston, M. A theory of the spatial and temporal dynamics of plant-communities. Vegetatio 1989, 83, 49–69. [Google Scholar] [CrossRef]
- Aranda, I.; Pardos, M.; Puertolas, J.; Jimenez, M.; Pardos, J. Water-use efficiency in cork oak (Quercus suber) is modified by the interaction of water and light availabilities. Tree Physiol. 2007, 27, 671–677. [Google Scholar] [CrossRef] [PubMed]
- Sullivan, T.; Sullivan, D.; Lindgren, P.; Ransome, D. If we build habitat, will they come? Woody debris structures and conservation of forest mammals. J. Mammal. 2012, 93, 1456–1468. [Google Scholar] [CrossRef]
- Sutherland, E.; Dickman, C. Mechanisms of recovery after fire by rodents in the Australian environment: A review. Wildl. Res. 1999, 26, 405–419. [Google Scholar] [CrossRef]
- Doherty, T.; Davis, R.; van Etten, E.; Collier, N.; Krawiec, J. Response of a shrubland mammal and reptile community to a history of landscape-scale wildfire. Int. J. Wildland Fire 2015, 24, 534–543. [Google Scholar] [CrossRef]
- Saracino, A.; Pacella, R.; Leone, V.; Borghetti, M. Seed dispersal and changing seed characteristics in a Pinus halepensis Mill. forest after fire. Plant Ecol. 1997, 130, 13–19. [Google Scholar] [CrossRef]
- Castro, J.; Zamora, R.; Hodar, J.; Gomez, J.; Gomez-Aparicio, L. Benefits of using shrubs as nurse plants for reforestation in Mediterranean mountains: A 4-year study. Restor. Ecol. 2004, 12, 352–358. [Google Scholar] [CrossRef]
- Gomez-Aparicio, L.; Zamora, R.; Castro, J.; Hodar, J. Facilitation of tree saplings by nurse plants: Microhabitat amelioration or protection against herbivores? J. Veg. Sci. 2008, 19, 161–172. [Google Scholar] [CrossRef]
- Michalet, R.; Brooker, R.; Cavieres, L.; Kikvidze, Z.; Lortie, C.; Pugnaire, F.; Valiente-Banuet, A.; Callaway, R. Do biotic interactions shape both sides of the humped-back model of species richness in plant communities? Ecol. Lett. 2006, 9, 767–773. [Google Scholar] [CrossRef] [PubMed]
- Rodriguez-Garcia, E.; Ordonez, C.; Bravo, F. Effects of shrub and canopy cover on the relative growth rate of Pinus pinaster Ait. seedlings of different sizes. Ann. For. Sci. 2011, 68, 337–346. [Google Scholar] [CrossRef]
© 2017 by the authors. Licensee MDPI, Basel, Switzerland. This article is an open access article distributed under the terms and conditions of the Creative Commons Attribution (CC BY) license (http://creativecommons.org/licenses/by/4.0/).





