Multi-Mode Switching Control Strategy for IWM-EV Active Energy-Regenerative Suspension Based on Pavement Level Recognition
Abstract
:1. Introduction
2. Dynamic Modeling
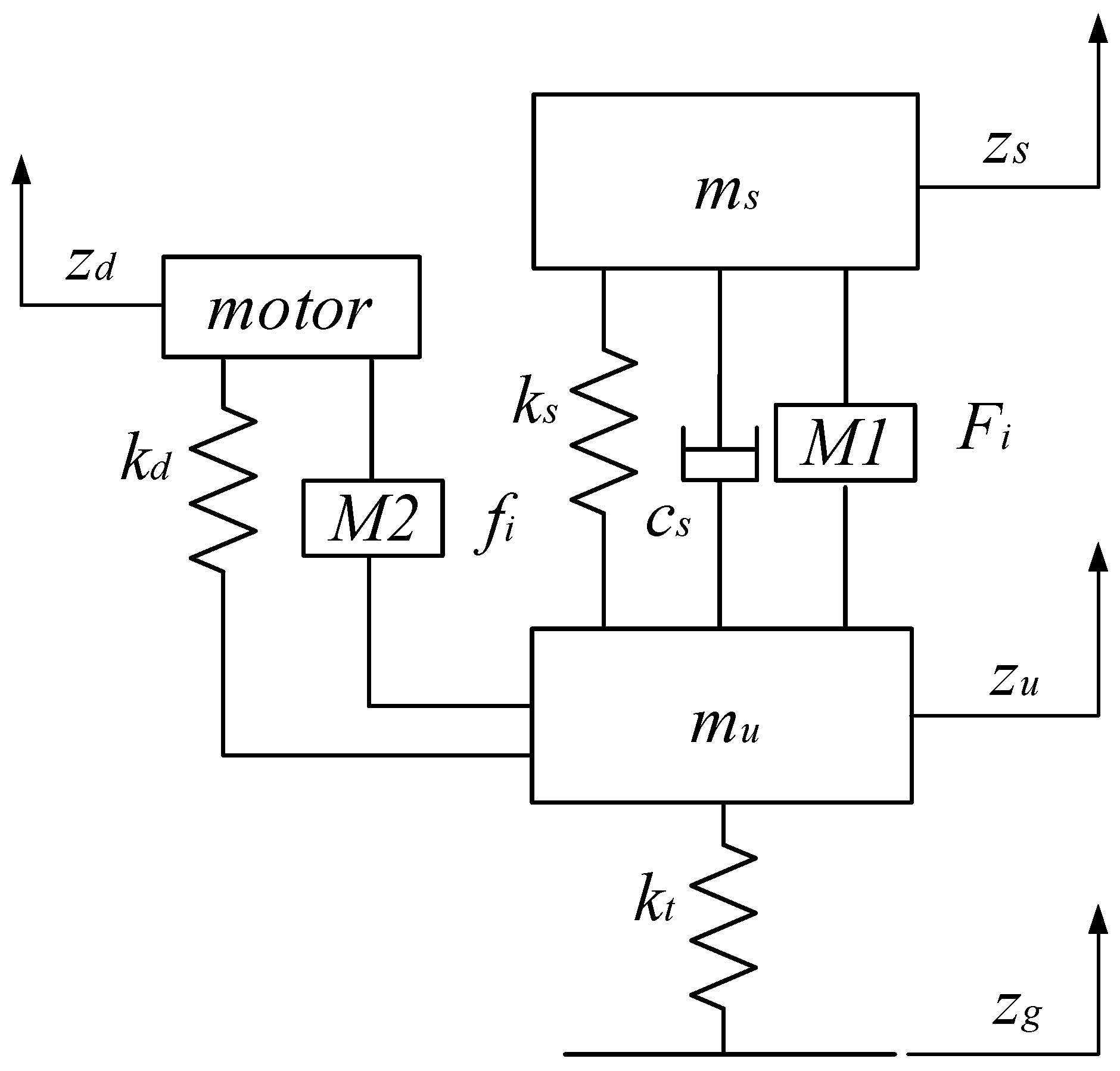
2.1. Active Energy-Regenerative Suspension Model
2.2. Motor Vertical Force Model
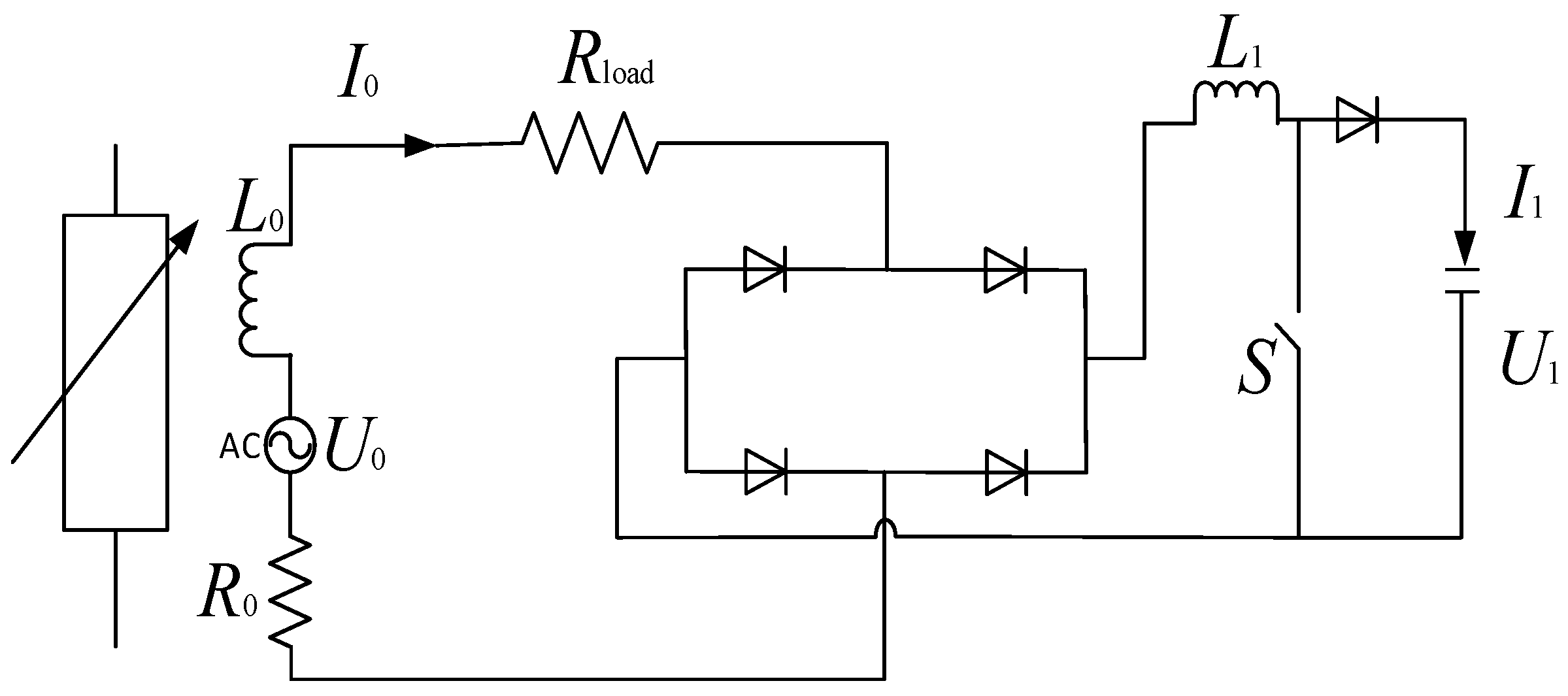
2.3. Active Suspension Energy-Regenerative Circuit Model
2.4. Improved CVD Skyhook Reference Model of Vehicle
3. The Active Control Strategy of Energy-Regenerative Suspension Based on Road Recognition
3.1. Design of Main Suspension Controller
3.2. Design of Secondary Suspension Controller
3.3. Road Recognition Model
3.4. Design of Working Mode Switching Strategy for Active Regenerative Suspension
4. Controller Parameter Optimization
4.1. Particle Swarm Optimization
4.2. Selection of Objective Functions
4.3. Controller Parameter Optimization Results
5. Simulation and Analysis
6. Conclusions
Author Contributions
Funding
Data Availability Statement
Conflicts of Interest
References
- Kulkarnl, A.; Ranjha, S.A.; Kapoor, A.A. quarter-car suspension model for dynamic evaluations of an in-wheel electric vehicle. Proc. Inst. Mech. Eng. Part D J. Automob. Eng. 2018, 232, 1139–1148. [Google Scholar] [CrossRef]
- Li, J.; Gao, X.; Wang, P.D. An Analysis on the Influence of Switched Reluctance Motor and Road on the Vibration of Electric Vehicle. Automot. Eng. 2018, 40, 411–416. [Google Scholar]
- Van Schalkwyk, D.; Kamper, M. Effect of hub motor mass on stability and comfort of electric vehicles. In Proceedings of the 2006 IEEE Vehicle Power and Propulsion Conference, Windsor, UK, 6–8 September 2006. [Google Scholar]
- Hrovat, D. Influence of unsprung weight on vehicle ride quality. J. Sound Vib. 1988, 124, 497–516. [Google Scholar] [CrossRef]
- Chen, L.; Dong, H.L.; Li, L.M. A new type suspension design suitable for an in-wheel motor driving system. J. Vib. Shock 2015, 34, 174–180. [Google Scholar]
- Ma, Y.; Deng, Z.X.; Xie, D. Analysis and optimization of in-wheel motor suspension configuration. J. Cent. South Univ. (Sci. Technol.) 2014, 45, 3008–3014. [Google Scholar]
- Gao, Z.; Wong, P.K.; Zhao, J. Robust Switched H∞ Control of T–S Fuzzy-Based MRF Suspension Systems Subject to Input Saturation and Time-Varying Delay. IEEE Trans. Ind. Electron. 2023. early access. [Google Scholar] [CrossRef]
- Chen, X.; Wu, L.; Yin, J. Robust H∞ control design of an electromagnetic actuated active suspension considering the structure non-linearity. Proc. Inst. Mech. Eng. Part D J. Automob. Eng. 2019, 233, 1008–1022. [Google Scholar] [CrossRef]
- Yin, Z.; Su, R.; Ma, X. Dynamic Responses of 8-DoF Vehicle with Active Suspension: Fuzzy-PID Control. World Electr. Veh. J. 2023, 14, 249. [Google Scholar] [CrossRef]
- Bai, X.; Lu, L.; Zhang, C. Research on Height Adjustment Characteristics of Heavy Vehicle Active Air Suspension Based on Fuzzy Control. World Electr. Veh. J. 2023, 14, 210. [Google Scholar] [CrossRef]
- Huang, Y.; Na, J.; Wu, X. Robust adaptive control for vehicle active suspension systems with uncertain dynamics. Trans. Inst. Meas. Control 2018, 40, 1237–1249. [Google Scholar] [CrossRef]
- Ho, C.M.; Tran, D.T.; Ahn, K.K. Adaptive sliding mode control based nonlinear disturbance observer for active suspension with pneumatic spring. J. Sound Vib. 2021, 509, 116241. [Google Scholar] [CrossRef]
- Zhan, C.; SU, L. PID control strategy of active suspension based on particle swarm optimization. Sci. Technol. Eng. 2022, 22, 4180–4186. [Google Scholar]
- Pang, H.; Yang, J.J.; Liu, X. Sliding-mode fault tolerant controller design for vehicle active suspension systems based on ts fuzzy model. Eng. Mech. 2019, 36, 229–238. [Google Scholar]
- Chen, H.; Gong, M.; Zhao, D. Sensitivity Analysis and Adaptive Tracking Control of Electro-hydraulic Active Suspensions. China Mech. Eng. 2023, 34, 481. [Google Scholar]
- Zhang, Y.; Sun, S.Z.; Jin, X.J. Sliding mode control for active suspension of in-wheel-drive electric vehicles. J. Dyn. Control 2021, 19, 89–94. [Google Scholar]
- Zhou, B.; Wu, X.J.; Wen, G.L. Robust control research for full-car active suspension based on the μ synthesis algorithm. J. Vib. Eng. 2017, 30, 1029–1037. [Google Scholar]
- Chen, Y.; Song, P.; Zhang, J. μ-synthesis control for self-powered active suspension of vehicles. J. Southwest Jiao Tong Univ. 2012, 47, 974–981. [Google Scholar]
- Chen, S.A.; Guan, Y.L.; Ren, J.Y. Mechanical characteristics test and nonlinear active controller design of energy-regenerative actuator for suspension. J. Traffic Transp. Eng. 2022, 12, 232–243. [Google Scholar]
- Wang, P.; Song, P.Y.; Zhang, J.Y. Robust control for self-powered active suspension with time-delay in actuator. Control Theory Appl. 2013, 7, 1609–1615. [Google Scholar]
- Huang, K.; Yu, F.; Zhang, Y.C. Active control of energy-regenerative electromagnetic suspension based on energy flow analysis. J. Shanghai Jiaotong Univ. 2011, 45, 1068. [Google Scholar]
- Caban, J.; Vrabel, J.; Górnicka, D.; Nowak, R.; Jankiewicz, M.; Matijošius, J.; Palka, M. Overview of Energy Harvesting Technologies Used in Road Vehicles. Energies 2023, 16, 3787. [Google Scholar] [CrossRef]
- Avesh, M.; Srivastava, R. Modeling simulation and control of active suspension system in Matlab Simulink environment. In Proceedings of the 2012 Students Conference on Engineering and Systems, Allahabad, India, 16–18 March 2012. [Google Scholar]
- Li, J.; Jia, C.W.; Cheng, L.H. Constrained state feedback H∞ control for active suspension of in-wheel motor electric vehicle. Automot. Eng. 2023, 9, 41–49. [Google Scholar]
- Zhang, Y.M.; Xue, Y.C.; Heng, X.D. A research on the vibration of an electric vehicle using switched reluctance motor as drive system. Automot. Eng. 2007, 29, 46–49. [Google Scholar]
- Li, Y.N.; Zhu, Z.W.; Zheng, L. Multi-objective control and optimization of active energy-regenerative suspension based on road recognition. J. Traffic Transp. Eng. 2021, 21, 129–137. [Google Scholar]
- Gong, D.; Zhou, J.; Sun, W. Vertical vibration control of flexible high-speed railway car body. Jixie Gongcheng Xuebao (Chin. J. Mech. Eng.) 2011, 47, 159–164. [Google Scholar] [CrossRef]
- Zhao, Y.Z.; Chen, S.Z. Investigation of sliding mode control for semi-active hydro-pneumatic suspension based on a full vehicle model. Trans. Beijing Inst. Technol. 2011, 31, 1168–1173. [Google Scholar]
- Li, M.; Li, J.; Li, G. Analysis of Active Suspension Control Based on Improved Fuzzy Neural Network PID. World Electr. Veh. J. 2022, 13, 226. [Google Scholar] [CrossRef]
- Preitl, S.; Precup, R. On the algorithmic design of a class of control systems based on providing the symmetry of open-loop Bode plots. Sci. Bull. UPT Trans. Autom. Control. Comput. Sci. 1996, 41, 47–55. [Google Scholar]
- Liang, X.C.; Zhang, J.; Xu, R. Study of Road Reconstruction with Trigonometric Series Method. Chin. J. Automot. Eng. 2011, 6, 442–447. [Google Scholar]
- Guo, K.H.; Yu, X.J.; Zhang, X.J. Semi-active suspension adaptive control strategy. J. Hunan Univ. 2013, 40, 39–44. [Google Scholar]





















| Parameter | Numerical Value | Parameter | Numerical Value |
|---|---|---|---|
| ms/kg | 1400 | db/m | 2.23 |
| mu/kg | 45 | dr/m | 0.89 |
| ksi/(N·m−1) | 3.500 × 104 | dl/m | 0.89 |
| kti/(N·m−1) | 3.6 × 105 | Ix/(kg·m2) | 480 |
| kdi/(N·m−1) | 4.1 × 104 | Iy/(kg·m2) | 1800 |
| csi/(N·m−1) | 500 | ||
| df/m | 1.07 |
| Parameter | Te/(N·m) | a/(r/min) | R/m | r/m | i/A | Lmin | K | T/s | Nr |
| Numerical Value | 165 | 1540 | 0.05 | 0.047 | 1 | 4.95 | 82.50 | 0.0064 | 6 |
| Parameter | Ke (V·s·m−1) | Kf (V·s·m−1) | R0/Ω | R1/Ω |
| Numerical Value | 69 | 78 | 5 | 500 |
| Road Grade Coefficient (cm2·circle/m) | Road Grade |
|---|---|
| R ≤ 0.01 | A, B |
| 0.01 ≤ R ≤ 1 | C, D |
| R ≥ 1 | E, F |
| Speed | High-Speed 20–30 m/s | Medium-Speed 10–20 m/s | Low-Speed 5–10 m/s | |
|---|---|---|---|---|
| Road Grade | ||||
| A/B | Active mode 1 | Active energy feeding mode 1 | Energy feeding mode 1 | |
| Active mode 2 | Active energy mode 2 | Energy feeding mode 2 | ||
| C/D | Active mode 1 | Active mode 1 | Active energy feeding mode 1 | |
| Active mode 2 | Active mode 2 | Active energy feeding mode 2 | ||
| E/F | Active mode 1 | Active mode 1 | Active energy feeding mode 1 | |
| Active mode 2 | Active mode 2 | Active energy feeding mode 2 | ||
| Road Grade | Controller Parameters | Vehicle Speed | ||
|---|---|---|---|---|
| High-Speed 25–30 m/s | Medium-Speed 10–25 m/s | Low-Speed 5–10 m/s | ||
| AB | cz | 59.0427 | 89.7925 | 63.2703 |
| cx | 35.6352 | 72.9580 | 56.2085 | |
| cy | 29.2819 | 29.5297 | 30.5650 | |
| Kd | 36.5386 | 91.3970 | 59.6403 | |
| Ki | 31.6952 | 69.1895 | 89.4170 | |
| Kd | 35.4991 | 27.6442 | 90.2060 | |
| CD | cz | 83.5590 | 83.7802 | 86.3358 |
| cx | 46.8541 | 43.3376 | 28.1757 | |
| cy | 57.3479 | 76.6079 | 34.2089 | |
| Kd | 72.4460 | 65.7413 | 49.9052 | |
| Ki | 22.0542 | 52.1048 | 24.6754 | |
| Kd | 88.1771 | 24.1279 | 62.4685 | |
| EF | cz | 93.5972 | 88.0484 | 99.0934 |
| cx | 28.2999 | 26.6679 | 24.3074 | |
| cy | 80.1341 | 47.6035 | 55.4561 | |
| Kd | 79.2126 | 43.5261 | 21.1017 | |
| Ki | 65.8949 | 80.7297 | 92.9954 | |
| Kd | 34.0715 | 20.7073 | 35.3321 | |
| Root Mean Square Value | Passive Suspension | Active Suspension | Optimized Active Energy-Regenerative Suspension | A (%) | B (%) |
|---|---|---|---|---|---|
| Vertical acceleration of the center of mass (m/s2) | 0.092 | 0.073 | 0.068 | −20.7 | −6.8 |
| Dynamic deflection of the suspension (m) | 0.00137 | 0.0011 | 0.0008 | −16.1 | −27.3 |
| Dynamic displacement of in-wheel motor (m) | 0.0032 | 0.0024 | 0.0021 | −25 | −12.5 |
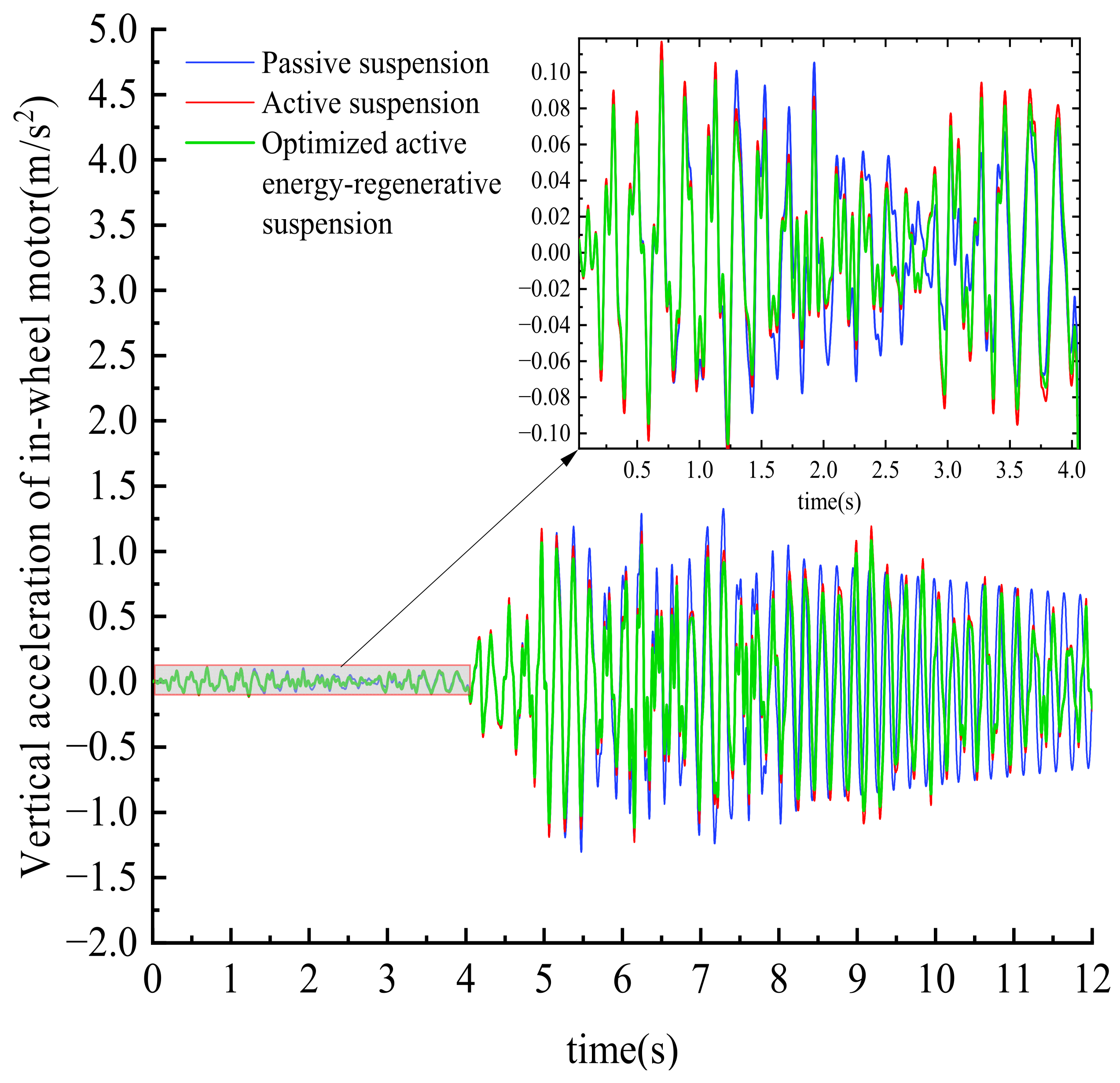
| Vertical acceleration of in-wheel motor (m/s2) | 0.07 | 0.051 | 0.048 | −27.1 | −5.9 |
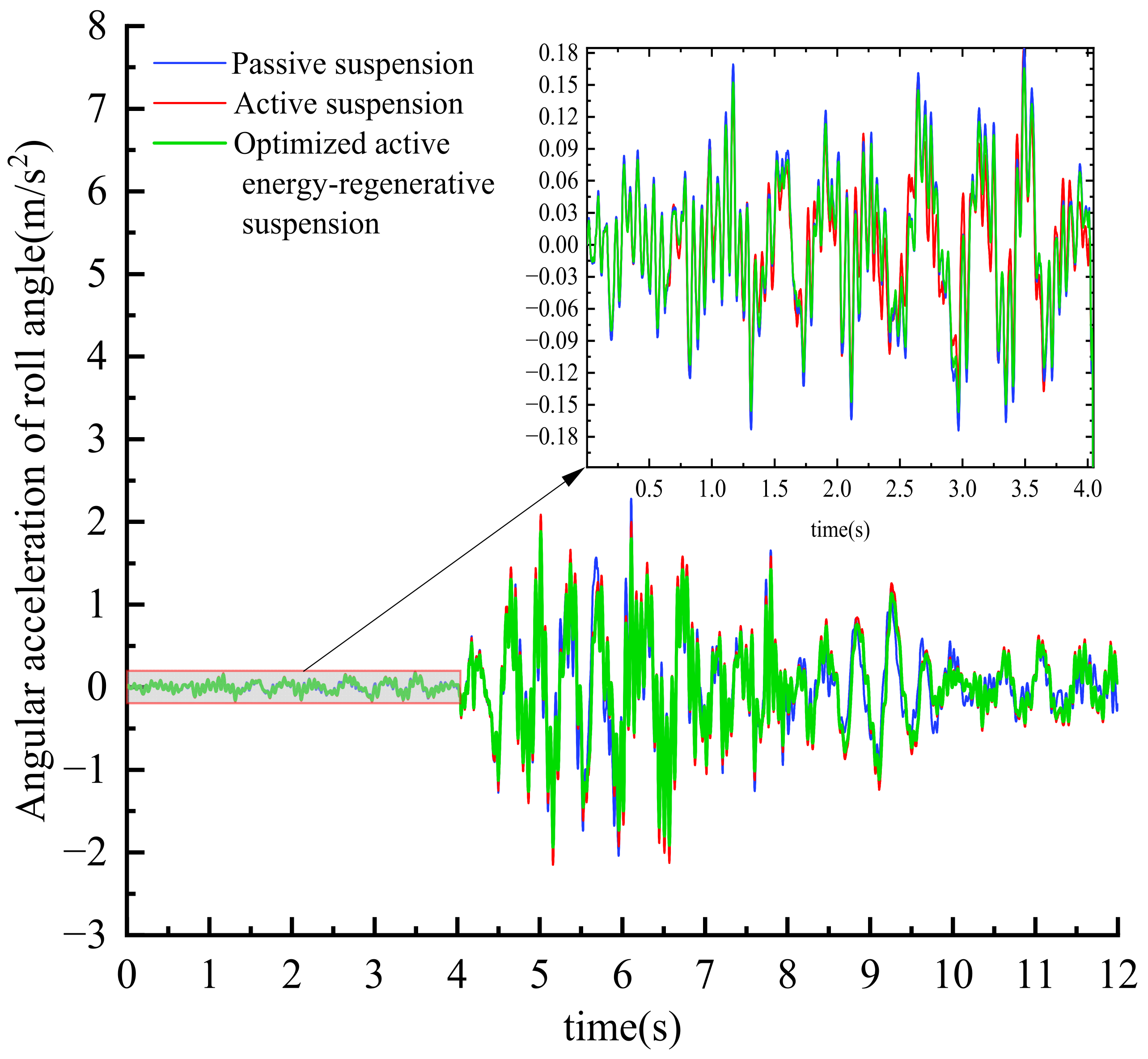
| Angular acceleration of roll angle (rad/s2) | 0.028 | 0.018 | 0.013 | −0.36 | −27.8 |
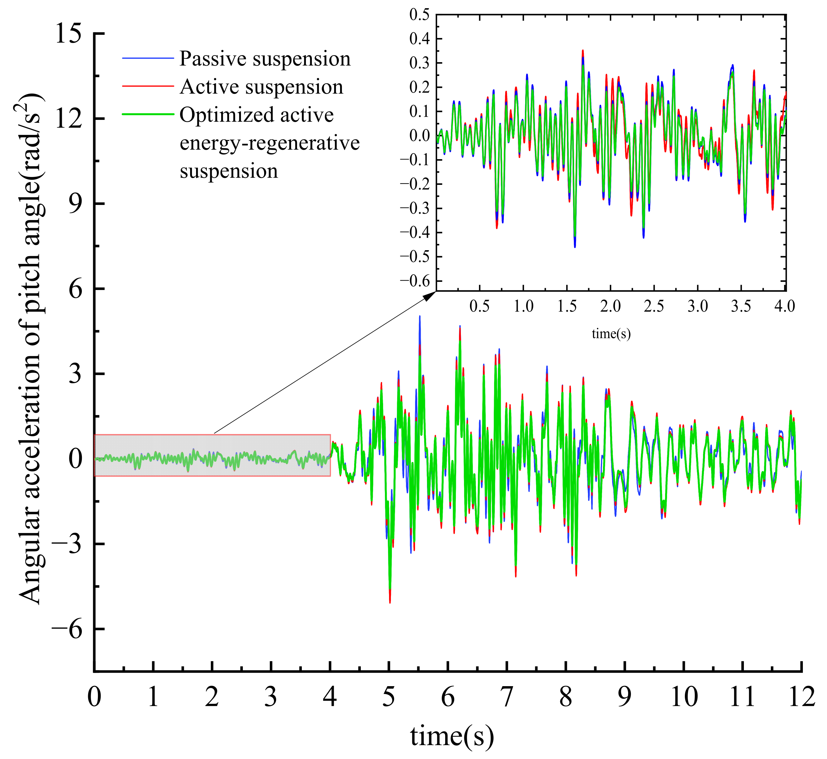
| Angular acceleration of pitch angle (rad/s2) | 0.18 | 0.0911 | 0.076 | −48.9 | −16.6 |
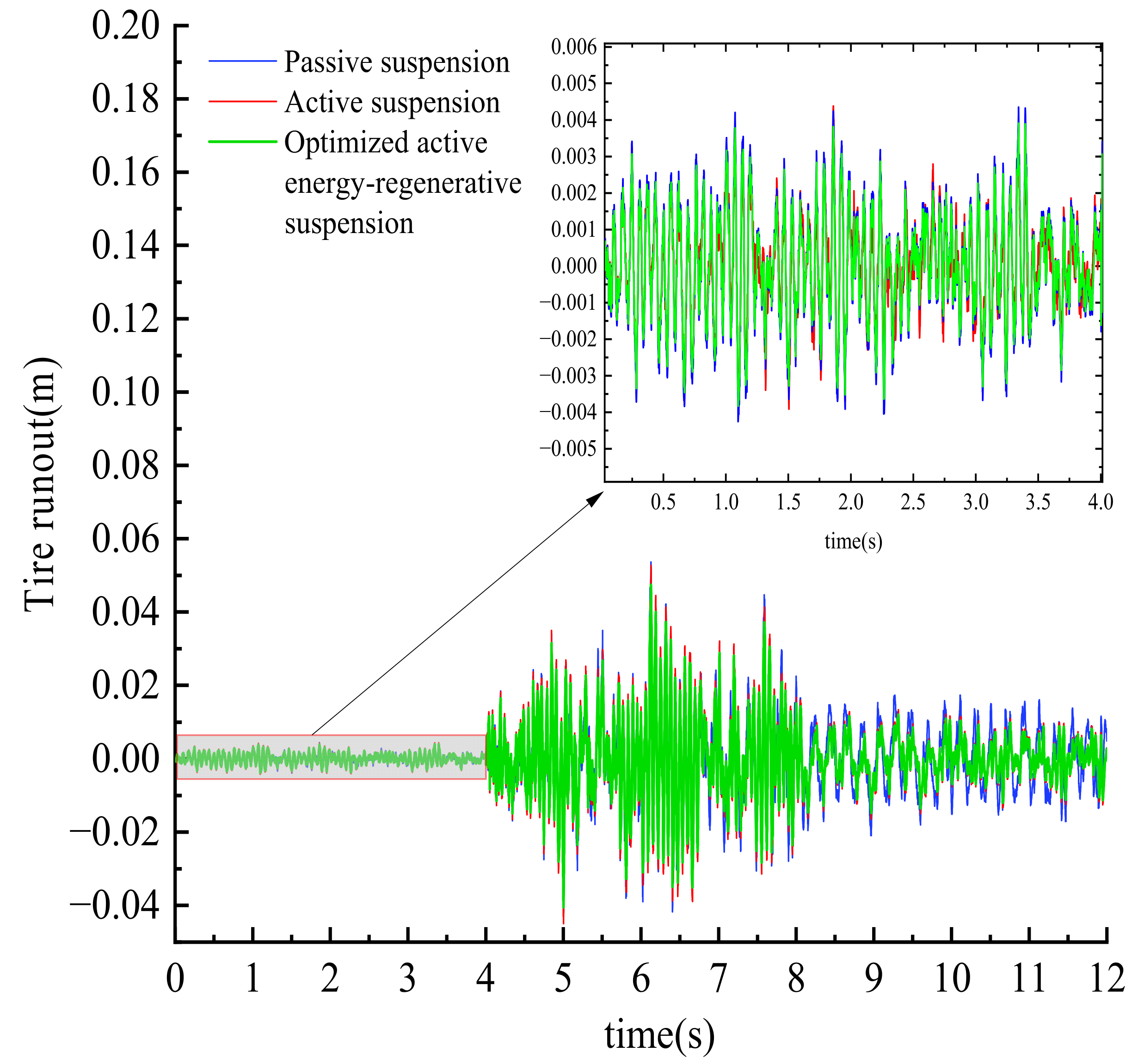
| Tire runout (m) | 0.0012 | 0.001 | 0.0007 | −16.7 | −30 |
| Root Mean Square Value | Passive Suspension | Active Suspension | Optimized Active Energy-Regenerative Suspension | A (%) | B (%) |
|---|---|---|---|---|---|
| Vertical acceleration of the center of mass (m/s2) | 0.281 | 0.277 | 0.251 | −1.4 | −5.1 |
| Dynamic deflection of the suspension (m) | 0.011 | 0.0098 | 0.0088 | −10.9 | −10.2 |
| Dynamic displacement of in-wheel motor (m) | 0.024 | 0.0223 | 0.018 | −7.1 | −19.3 |
| Vertical acceleration of in-wheel motor (m/s2) | 0.527 | 0.461 | 0.431 | −12.5 | −6.5 |
| Angular acceleration of roll angle (rad/s2) | 0.1154 | 0.0884 | 0.06652 | −23.4 | −24.8 |
| Angular acceleration of pitch angle (rad/s2) | 0.138 | 0.132 | 0.121 | −4.3 | −8.3 |
| Tire runout (m) | 0.0114 | 0.0111 | 0.01 | −2.6 | −9.9 |
| Energy-regenerative efficiency (m/s2) | - | - | 17% | - | - |
| Root Mean Square Value | Passive Suspension | Active Suspension | Optimized Active Energy-Regenerative Suspension | A (%) | B (%) |
|---|---|---|---|---|---|
| Vertical acceleration of the center of mass (m/s2) | 0.143 | 0.121 | 0.091 | −15.4 | −24.8 |
| Dynamic deflection of the suspension (m) | 0.0046 | 0.0044 | 0.0037 | −4.3 | −15.9 |
| Dynamic displacement of in-wheel motor (m) | 0.0104 | 0.0098 | 0.0088 | −5.8 | −10.2 |
| Vertical acceleration of in-wheel motor (m/s2) | 0.24 | 0.203 | 0.162 | −15.4 | −20.2 |
| Angular acceleration of roll angle (rad/s2) | 0.099 | 0.095 | 0.088 | −4.04 | −7.4 |
| Angular acceleration of pitch angle (rad/s2) | 0.063 | 0.056 | 0.044 | −11.1 | −21.4 |
| Tire runout (m) | 0.005 | 0.0048 | 0.0044 | −4 | −8.3 |
Disclaimer/Publisher’s Note: The statements, opinions and data contained in all publications are solely those of the individual author(s) and contributor(s) and not of MDPI and/or the editor(s). MDPI and/or the editor(s) disclaim responsibility for any injury to people or property resulting from any ideas, methods, instructions or products referred to in the content. |
© 2023 by the authors. Licensee MDPI, Basel, Switzerland. This article is an open access article distributed under the terms and conditions of the Creative Commons Attribution (CC BY) license (https://creativecommons.org/licenses/by/4.0/).
Share and Cite
Zhou, Z.; Shi, Z.; Ding, X. Multi-Mode Switching Control Strategy for IWM-EV Active Energy-Regenerative Suspension Based on Pavement Level Recognition. World Electr. Veh. J. 2023, 14, 317. https://doi.org/10.3390/wevj14110317
Zhou Z, Shi Z, Ding X. Multi-Mode Switching Control Strategy for IWM-EV Active Energy-Regenerative Suspension Based on Pavement Level Recognition. World Electric Vehicle Journal. 2023; 14(11):317. https://doi.org/10.3390/wevj14110317
Chicago/Turabian StyleZhou, Zhigang, Zhichong Shi, and Xinqing Ding. 2023. "Multi-Mode Switching Control Strategy for IWM-EV Active Energy-Regenerative Suspension Based on Pavement Level Recognition" World Electric Vehicle Journal 14, no. 11: 317. https://doi.org/10.3390/wevj14110317
APA StyleZhou, Z., Shi, Z., & Ding, X. (2023). Multi-Mode Switching Control Strategy for IWM-EV Active Energy-Regenerative Suspension Based on Pavement Level Recognition. World Electric Vehicle Journal, 14(11), 317. https://doi.org/10.3390/wevj14110317

