Abstract
In the last few decades, convenience has become one of the most important factors for consumers. Therefore, food products that take a short time to prepare are gaining in popularity. The aim of this study was to develop a gluten-free egg-pie product which is quick-frozen in pre-baked form and remains usable for a long time. Besides, it satisfies various consumer needs while remaining sustainable by not having a great impact on the environment. A dough containing rice, millet, and buckwheat flour was developed. The fillings also appeared in unflavored and flavored form (spinach onion, cheese) with and without increased egg white content. Acceptance of the product was measured by sensory test. Texture and dry matter content measurement, triangular test, and color measurement were performed to track changes through six months of frozen storage. The stored pies’ hardness declined for three months, then doubled the original value at the end of the frozen storage. The stored pies hardness declined for three months (from 10.76 ± 1.78 and 11.22 ± 1.47 N to 8.52 ± 1.74 and 9.91 ± 1.16 N), then doubled the original value at the end of the frozen storage (21.69 ± 2.55 and 19.62 ± 1.67 N). The dry matter content showed increasing tendency. Results of the triangular tests showed that the stored flavored pies were less distinguishable from freshly baked ones than the unflavored egg-pies. Color measurement showed that the fillings of the pies were darkening during the frozen storage. Consumer liking test showed values between 6.52 ± 1.76 and 7.56 ± 1.2 on a 9-point hedonic scale. Color measurement showed that the fillings of the pies were darkening during the frozen storage, and the lightness values decreased from 90.17 ± 0.06 and 90.53 ± 0.11 to 81.43 ± 0.41 and 83.22 ± 0.87 in six months. Results generated in this study suggest that consumers’ acceptance was high, though results of penalty analysis showed that more flavorings would increase the overall acceptability.
1. Introduction
1.1. Ready-to-Eat Products
The dynamics of global food production and consumption have grown fast in the last few decades [1]. As recent studies suggest, convenience is one of the most important factors for consumers, hence ready-to-eat products or food that requires a short preparation period are gaining more and more popularity [2]. Proper food processing is important to ensure a safe, diverse, abundant, and accessible food supply chain [3]. Highly processed food can be a risk because they might have poor dietary quality and may contribute to obesity, so some researchers advise against their consumption [4,5].
In a 2015 study, researchers classified food by level of convenience and defined three categories based on the amount of food preparation required by the consumer before eating. Products that require “cooking and/or preparation” are the least convenient and not typically consumed right after purchasing. Before being eaten or drunk, these products require additional input of the consumer’s time, culinary skill, energy, or attention to make them ready. These are, for example, boiling dry pasta, cooking raw meat or eggs, or chopping whole vegetables and/or fruits. The second group consists of “ready-to-heat” (RTH) or “requiring minimal preparation” products. These products are also not consumed as purchased, but do not require much of the consumer’s time and effort, and no culinary skill or attention are needed during their preparation. This group includes products which need heating, toasting, thawing, or adding water, such as frozen dinners or pizzas, frozen waffles, canned soups, hot dogs, instant oatmeals, canned or frozen vegetables, and powdered drink mixes. Ready-to-eat (RTE) products are the most convenient category, as they can be consumed immediately with no preparation. These are, for example, breads, premade cookies, salty snacks, candies, and ready-to-drink beverages [6].
1.2. Sustainability in Food Production
In the 21st century, the development of more sustainable eating habits will play a major role. According to the Food and Agriculture Organization of the United Nations’ (FAO, Rome, Italy) definition, a sustainable diet has a low impact on the environment and consists of foods that are safe. It is also important to serve the health of current consumers and future generations. In addition, socio-cultural and ecological aspects must be taken into account in the food production [7,8]. Sustainability considerations and challenges need to be taken into account in food development, as a third of food (1.3 billion tonnes) is wasted every year worldwide [9].
Consumers are key players in increasing the sustainability of the food chain. They can contribute to their role in recycling by favoring local food traders and reducing food waste. In addition, they can help the development of a more sustainable food industry by reducing the consumption of meat products, as excessive meat consumption has been identified as the food category with the highest environmental impact [10]. An excellent alternative could be egg products that contain high-quality proteins, unsaturated fatty acids, iron, phosphorus, trace minerals, and vitamins A, D, E, K, and B [11].
It is an accepted fact that the emission of anthropogenic greenhouse gas (GHG) changes the global atmospheric composition and also has an impact on climate stability [12]. According to various research [13,14], food production, distribution, and consumption may be responsible for 15–30% of GHG emissions, so researchers began to examine consumers’ eating habits and found that less meat containing diets are more sustainable. Pelletier et al. (2013) reported a carbon footprint analysis of the scale and distribution of GHG emissions in egg production and processing supply chains in the Midwestern United States. Egg production is an important part of general food production and a major stock-raising activity worldwide. It has been found that feed production is responsible for the largest peak of emissions during egg production. Feed use efficiency would greatly reduce total emissions, so the least-environmental cost feed sourcing is extremely important. The use of non-animal materials could reduce emissions. The GHG intensity is 5.0 kg CO2-e per kg eggs, but this could be reduced to 1.5 kg CO2-e per kg using non-animal by-products. This indicator is per kg of pork production at 3 kg CO2-e/liveweight kg produced, 14.5 kg CO2-e/liveweight kg of beef produced, and 1.7 kg CO2-e/liveweight kg of broiler poultry produced. Based on the values, it can be concluded that the egg is not the most sustainable, but its nutritional value is excellent [15]. Egg protein is of high nutritional quality and is therefore commonly used as a standard for comparing the different food proteins. Eggs have important and digestible animal proteins, and contain all of the necessary essential amino acids for the human body. The egg is one of the most affordable protein sources, and it is consumed by people of all religions and ethnic backgrounds around the world [16,17].
1.3. Gluten-Free Diet and Coeliac Disease
Coeliac disease (CD) is an immune-mediated systemic disorder in genetically susceptible individuals induced by the consumption of gluten and related prolamins. This disease is typified by the presence of a variable combination of gluten-dependent clinical manifestations and CD-specific antibodies, HLA-DQ2 or HLA-DQ8 haplotypes and enteropathy [18]. There is no treatment available currently for the coeliac disease, however, a lifelong gluten-free diet may help individuals to maintain their normal life [19]. Another type of unfavorable immunologic reaction to proteins contained in wheat or related grains is wheat allergy (WA). The difference in clinical presentations depends on the route of exposure. In this case, the inflammatory response to several allergenic proteins [alpha-amylase/trypsin inhibitor, non-specific lipid transfer protein (nsLTP), gliadins, HMW (high-molecular-mass) glutenins] is mediated by Immunoglobulin E (IgE) [20]. At the time, researchers still have to establish a complete definitive diagnostic flowchart for gluten-related disorders. The Non-Celiac Gluten Sensitivity (NCGS) is the third type of symptomatic response to gluten ingestion. The symptoms arise after the ingestion of gluten-containing food, and people living with NCGS reported a wide range of intestinal and extra-intestinal symptoms such as abdominal pain, bloating, fatigue, joint and muscle pain, etc. [21]. Currently, it is believed that the mechanism leading to the onset of NGCS is a non-autoimmune non-allergic process, whereas there are neither celiac-specific antibodies and villous atrophy, nor any allergy related processes, so it is not clearly understood yet [22,23,24].
The popularity of gluten-free diet (GFD) is increasing, and at this point, the gluten-related disorders are relevant in the clinical sector. The diet has benefits in patients with irritable bowel syndrome (IBS), as they can have advancement in their IBS symptoms as well as a decrease in intestinal antibody levels after 6 months of gluten-free diet [25]. A 2015 study found improvement in pain scores in women with endometriosis after 12 months of GFD [26]. Although, in the absence of CD, IBS, or WA, pieces of evidences show that the on-going trend in gluten elimination from the diet might be inappropriate. Gluten-free products can contain less protein, sodium, and fiber than conventional products, and also gluten-free alternatives are more expensive [27]. There are differences in clinical presentations among gluten-related disorders, and between them and other gastrointestinal disorders, and knowing these differences help clinicians in the process of differential diagnosis. To make an accurate diagnosis, the combination of clinical history, symptoms, and serological and histological tests are strongly required [28].
1.4. Gluten-Free Product Development
Wheat, rye, and barley contain gluten, and also, they have always had a big role in the diet of Western countries’ population, and in the last few decades, in Eastern countries populations’ diet as well, due to the progressive adoption of Western lifestyles. The global prevalence of gluten-related disorders is estimated around 5%, so they are epidemiologically relevant phenomena [29].
The recommended intake of nutrients must be considered, even though a gluten-free diet and attention of gluten avoidance are needed for patients to remain symptom-free. Additionally, to optimize the treatment of celiac patients, more educational strategies should be used, based on the relationship between nutrients, food, and human health [30]. A gluten-free diet is often considered as a lifestyle rather than an exact dietary treatment. Furthermore, the market share of gluten-free products is growing fast, with the latest European reports estimating a compound annual growth rate of 10.4% between 2015 to 2020 [31].
Traditional gluten-free dough ingredients are rice, corn, potato, buckwheat, millet, and chickpea [32]. Using these, many gluten-free products are poor in nutrients like proteins, micronutrients, and dietary fiber [33]. Egg pie products are possible alternatives to gluten-free pie products, as eggs have complex macro- and micronutrient compositions as well as high protein content [34]. Although, storage of bakery products often causes decline of the product quality, thus it is still a problem we need to solve [35].
1.5. Effects of Storage on Product Quality
Preservation of quality and storage of food products are important aspects of developing new products. Freezing is a common method for preserving quality and extending shelf life, which results in a minor change in food in comparison to the other preservative techniques, and products with outstanding sensory and nutritional properties can be produced [36,37]. The storage duration has a great role in eggs’ viscosity change, much higher than on pH or albumen and egg yolk index [38]. In a recent study, researchers measured the change in structural and foaming properties of individual egg white proteins, after several freeze–thaw processes. According to their statement, egg protein denaturation is one of the most important factors in establishing cake structure, thus alteration of albumen proteins and denaturation behavior can affect final properties of egg products. They found that structural modifications resulted in protein denaturation, dissociation, and possibly aggregation. In contrary, multiple freeze–thaw processes enhanced foaming properties of some individual albumen proteins and whole egg white [39].
In another study, the effects of freezing and temperature fluctuations during frozen storage on frozen dough and bread quality were investigated. Quality was defined as a combination of CO2 production rate, yeast viability, bread specific volume, and bread crumb firmness relative to fresh dough. Results showed that dough weight loss and bread crumb firmness increased with storage time. Additionally, constant storage conditions and good temperature control made no significant difference in the CO2 production rate for up to 112 days after freezing. Large fluctuations in temperature during frozen storage and storage at higher temperatures resulted in a significantly higher rapid loss of bread and dough quality than storage at constant and/or colder temperatures [40].
1.6. Consumer Sensory Product Development
The development and optimization of new food products are important activities for all food companies [41]. Consumer enjoyment has a great importance during product development. Consumer tests can be used to determine which product is liked the most by the consumers [42].
Hedonic tests are conducted with untrained (or naive) panelists because trained panels are trained to identify and quantify the product attributes (both positive and negative); hence they cannot be considered as average consumers [43,44]. The purpose of the hedonic tests is to determine whether the product will perform well on the market or whether the target group accepts it. It is possible to determine which features of the product are needed to be modified, before the product is launched, to increase consumer acceptance [45]. Hedonic tests require more participants than trained panel evaluations. The minimum is 60 consumers, but as far as possible, 100–150 consumers should be involved in consumer tests in order to ensure data reliability and to be able to handle individual differences [46].
During consumer tests, questions about the product and its attributes are used, which all aim at liking or any subjective opinion, e.g., willingness to buy, etc.: Participants have no prior knowledge of the product, so it is important to select the right scale type when compiling the questionnaires and to help understanding with subtitles and figures. Keeping in mind participants’ sensory organs fatigue, as it is necessary to avoid unnecessary questions. A maximum of six samples should be given to a consumer panelist at a time. As the number of samples decreases, the number of questions is shortened, so judges will not lose their interest [47].
The aim of this study was to develop a novel gluten-free egg pie product, which is quick-frozen in pre-baked form. In this form, the product can be stored for a long time. In order to determine the shelf-life, changes in texture and dry matter content were measured monthly during a six-months-long frozen storage. On a monthly basis, triangular tests were performed to determine if sensory panelists could distinguish frozen and then ready baked samples from freshly baked ones. The sensory characteristics of the two flavored products were measured with a consumer liking test, and further guidance in product development was defined by penalty analysis.
2. Materials and Methods
2.1. Products
Flavored (spinach-onion and cheese) and unflavored egg pies were formulated and prepared. The processing steps were the same for each sample. The exact amounts of components are given in Table 1.
Table 1.
Egg pie fillings, doughs, and whole samples composition.
Rice-, millet-, and buckwheat flour (all provided by Disvocery Bliss LLC, Csömör, Hungary) were mixed with margarine (60% fat content, Unilever Magyarország LLC, Budapest, Hungary), water, potato flakes (AGRODRUG LP, Budapest, Hungary), and table salt (Compex-Só LLC, Nyírtass, Hungary).
The fillings consisted of pasteurized liquid whole egg, egg white, egg yolk (Capriovus Ltd., Szigetcsép, Hungary), cream with 10% fat content (RAJO a.s., Bratislava, Slovakia), and table salt (Compex-Só LLC, Nyírtass, Hungary). The flavorings were spinach (Eisberg Hungary LLC, Gyál, Hungary), fried onion (Glatz Hungary LLC, Budapest, Hungary), and grated cheese (Sajt-Kalmár LLC, Nádudvar, Hungary) (Table 1).
Flavored and unflavored samples (50 g) were separately filled in baking cups (d = 70 mm, h = 3.5 mm) and then pre-baked at 180 °C for 8 min before the frozen storage. After each sampling, the samples were baked at 180 °C for 15 min. The samples that were tested freshly (M0) were baked at 180 °C for 23 min.
2.2. Sampling
Unpackaged samples were frozen in Nortech QCF 103 freezer to −30 °C with 3 m/s air speed. An Extech TH10 USB temperature logger was used for monitoring the storage temperature. Samples were put in polyethylene bags, then stored at −24 °C for 6 months. Sampling was done every month for texture analysis, dry matter content determination, and triangle tests, and sampling was before the frozen storage treatment and at the end of the six-month storage for the color measurement.
2.3. Sample Preparation
Sample preparation was conducted by one person. Flavored samples were labelled by using 3-digit random numbers. The samples were presented to the assessors on plastic trays at room temperature (22 °C). Between the evaluations of the products, noncarbonated mineral water was served to the assessors. Evaluations were performed under artificial daylight. Frozen samples were baked at 180 °C for 15 min. The samples were cooled at room temperature before the measurements. Whole unflavored pie samples were used for texture analysis, whole unflavored pie samples, then separated dough samples and unflavored filling samples were used for dry-matter content determination, unflavored filling samples were used for color measurement, and whole unflavored and flavored pie samples were used for the triangle tests. Storage tests were performed on product bases to see the changes before flavoring. Then triangle tests were performed to see if consumers can distinguish both stored unflavored and flavored egg pies from fresh ones or not. Focusing on the final product, two flavored samples were measured with sensory evaluation, and penalty analysis was used for the products’ further development.
2.4. Texture Analysis
Pie samples were cut into cuboids (20-mm height, 20-mm width and 50-mm length) and kept at room temperature for 30 min before applying Warner–Bratzler shear tests. The Warner–Bratzler blade was inserted in the Heavy Duty Platform. The samples were cut with the blade, using a speed of 2 mm/s and a blade displacement of 40 mm in order to cut all the way through the sample. The shear force was determined as the hardness (N), and the brittleness (mm) was determined as the distance penetrated at maximum force (the shorter the distance, the more brittle the pie) [48].
2.5. Dry-Matter Content Determination
Samples were dried to constant weight in an oven at 105 °C for about 3 h, then the amount of dry matter was calculated based on the method AOAC 935.29 [49].
2.6. Color Measurement
Color was measured at room temperature on the surface of the fillings, using a Chroma Meter CR-400 colorimeter (Minolta Co., Osaka, Japan), and CIE-LAB parameters were determined. Within the approximate uniform color space CIELAB, three color coordinates, redness, a *, and yellowness, b *, and lightness, L *, are defined. Coordinate a * positive values are reddish colors and negative values are greenish colors, while b * positive values are yellowish colors and negative values are the bluish colors. L * is a value of lightness between black and white, within the range 0–100. Euclidean distance was calculated according to Kim et al. [50] to compare the color change of each samples. The ranges of ΔE * were 0–0.5 (not noticeable), 0.5–1.5 (slightly noticeable), 1.5–3.0 (noticeable), 3.0–6.0 (well visible), and >6.0 (great), based on a former study [51].
2.7. Triangle Test
Triangle tests with 12 panelists were conducted on four different sample triplets (2 with and 2 without filling). Small portion of samples were served at room temperature. Ordinary room lighting was used throughout the tests. The assessors were students and staff members of the Department of Refrigeration and Livestock Products Technology, Faculty of Food Science, Szent István University; all of them had sufficient experience in sensory evaluation. The evaluation was conducted according to ISO 4120:2004 [52].
2.8. Consumer Test
Consumers were recruited from the Szent István University, Hungary, 80/20% females/males aged between 19 and 56 (m = 23.9) who were regular egg consumers, as they consumed egg products more than once a week. Prior to the sensory evaluation, consumers were instructed to provide proper reliability for the results. Consumers were asked to evaluate odor, texture, taste, color, and overall enjoyment on a 9-point hedonic scale (1 = “dislike extremely”, 9 = “like extremely”). The following attributes were evaluated using a 9-point just-about-right (JAR) scale: Egg odor, dough odor, global odor intensity, color, texture, dough taste, filling taste, global taste. The evaluation was conducted in the laboratory of Department of Refrigeration and Livestock Products Technology. Data of the session was evaluated using penalty analysis.
Penalty analysis was run on JAR data and consisted of three steps. Firstly, the JAR values were organized into three groups. Categories 1–2–3–4 were labelled as “not enough”, value 5 as “JAR”, and categories 6–7–8–9 as “too much”. Then the mean overall liking of samples was calculated. The penalties (or mean drops) were calculated as the differences between the mean of one of the non-JAR categories and the mean of the JAR category. These values were plotted against the respondent percentage of the non-JAR category, placing each response in a so-called mean drop plot. Data analysis was carried out using XL-Stat software (Addisonsoft, Paris, France).
2.9. Statistical Analysis
The Kolmogorov–Smirnov test was used to test the normality of the texture variables. Analysis of variance (ANOVA) along with Tukey post hoc test was used to compare the dry matter content of multiple samples, while, due to the lack of normality, the Mann–Whitney test was used to compare the consumer liking of two samples. A binomial test was used to analyze the results of the triangle test, while JAR data was evaluated by penalty analysis [53]. Data analyses were carried out using XL-Stat software (Addisonsoft, Paris, France).
3. Results and Discussion
3.1. Texture Analysis
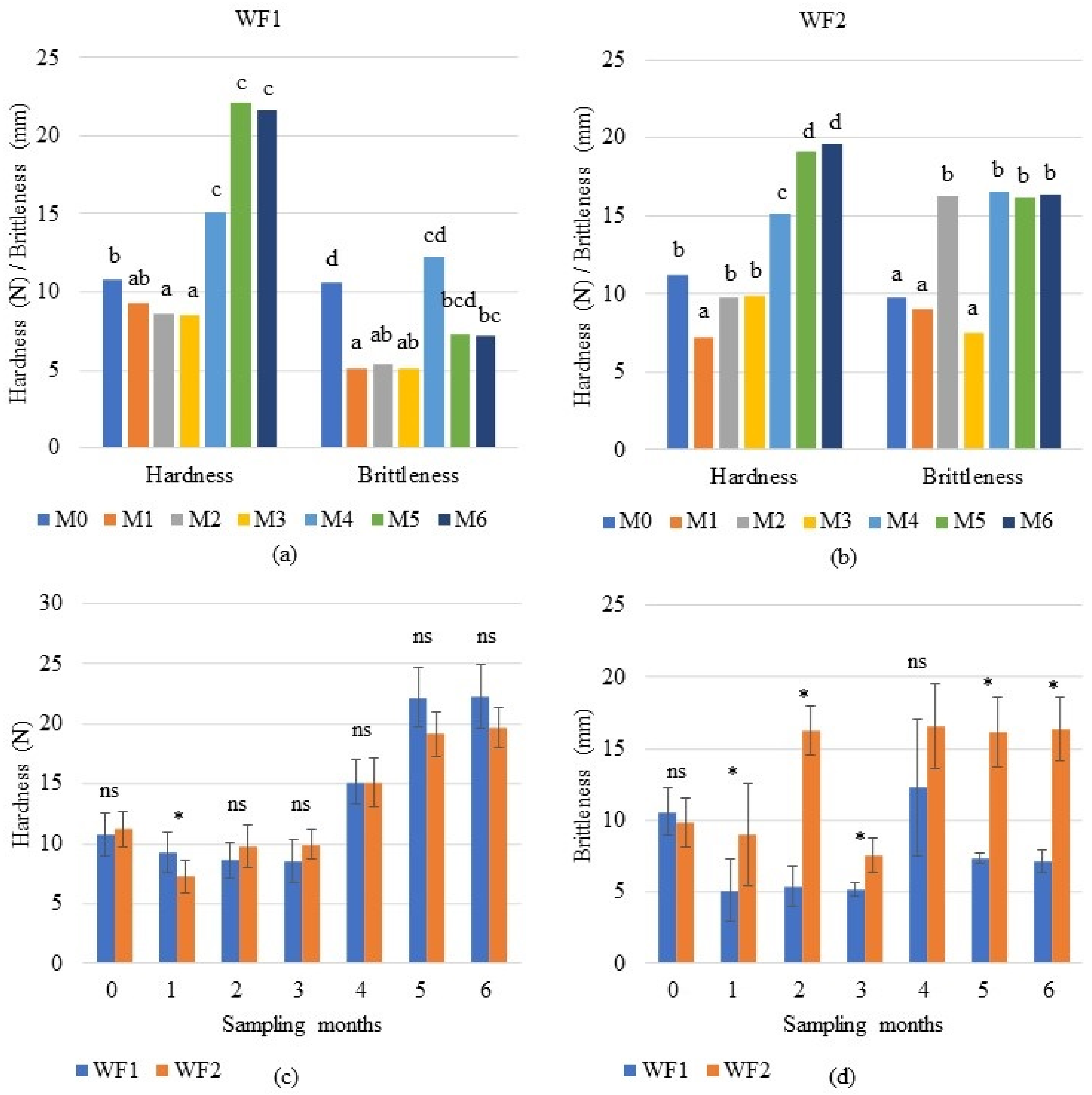
Texture plays a significant part in consumers’ acceptance of a new product. Figure 1 shows the results of texture analysis obtained in this study, where unflavored samples were measured during 6 months of frozen storage. There was no significant difference in the hardness values of egg pies with different fillings before the frozen storage (10.76 ± 1.78 N and 11.22 ± 1.47 N, respectively). As a result of the freezing, the hardness of the samples decreased significantly. During the six months of frozen storage, the hardness of the egg pies was increasing, in accordance with the results of other authors who measured gluten-free doughs [54,55]. Similar to our results, after six months of frozen storage, sponge cakes’ firmness approximately doubled their initial value [56].
Figure 1.
Results of texture analysis. (a,b) The effect of the storage time; M month; (c,d) difference between the samples; WF1 corresponds to the whole pie, unflavored filling, while WF2 to the whole pie, unflavored filling with high egg white content. Different letters show significant differences during the frozen storage within the same samples. * shows significant differences among samples at the same frozen storage time, while ns stands for not significant differences.
Concerning the brittleness, there was no significant difference between the brittleness values of the egg pies with different fillings before the frozen storage (10.59 ± 1.66 mm and 9.82 ± 1.70 mm respectively). During the storage, both products showed hectic brittleness results, but most of the time WF1 samples showed more brittle texture (ranged between 5.08 and 12.27 mm), while WF2 samples showed less brittle texture (ranged between 7.54 and 16.58 mm) than the original counterparts as the shorter distance means a more brittle texture. Regarding the components, redistribution of the water in the system can indicate differences in rheological properties during frozen storage. In gluten containing dough, the amount of freezable water was higher at a storage temperature of −15 °C than at −25 °C [57]. The changes in proteins can also cause differences in the rheological properties of products with gluten-free dough [58].
3.2. Dry-Matter Content Determination
Dry-matter contents of the unflavored samples are shown in Table 2. As expected, F2 samples had lower dry-matter content than F1 samples for the liquid egg white contained more water than the liquid whole egg. This difference remained apparent during the six months of frozen storage. P1 and P2, despite having the same recipe, showed significant differences (p < 0.05) in dry-matter content values most of the time. Other authors evaluated both intact and gelatinized granules of starch in the inner structure of non-fermented gluten-free doughs, and near the filling, gelatinization was more complete [59]. This assumes that fillings highly affect the gelatinization and thus the free water content of the products’ doughs. P1 and P2 samples’ dry-matter contents were ranged between 36.44 ± 0.30% and 64.14 ± 0.24%, and 43.43 ± 0.64% and 58.77 ± 0.34%, respectively, during the frozen storage. Dough near F2 (P2) showed lower dry-matter content than dough near F1 (P1), in relation to previous observation. Significantly lower (p < 0.05) dry-matter contents were detected in WF2 samples, than WF1 samples before and after the frozen storage, and this behavior met the previously described phenomena. According to Díaz-Ramírez et al. [56], 6 months of frozen storage caused a significant decrease in sponge cakes’ moisture content. Results of this study show a slightly increasing tendency in samples’ dry-matter content. These results are related to the increase of the hardness, which reduces the shelf life of the products as other authors reported [60].
Table 2.
Dry-matter content in samples during the frozen storage (%).
3.3. Color Measurement
Color properties of the unflavored fillings are shown in Figure 2. According to the results, the 6-month long frozen storage reduced L * values significantly for both F1 and F2. There was a significant difference between L * values of samples before and after the storage as well, indicating that the frozen storage resulted in a darker product. Regarding the values, fillings were more greenish before the frozen storage, and became reddish at the end of the frozen storage. There was no significant difference in the a * and b * values of F1 and F2, not before the frozen storage nor after the frozen storage. As a result of the frozen storage, total color difference (ΔE *) was great in both samples, and well visible between the two different samples before and after the frozen storage [48]. Other authors observed that the freezing–thawing cycle reduced L* value significantly. The color changes in egg due to freezing was explained by water state change from available water to frozen water that occurred in the concentration of micro-particles and other ingredients of the liquid egg. Larger colloidal parts are stated to be important in this behavior of light [61].
Figure 2.
Results of color measurements. (a) Lightness (L *); (b) yellowness (b *); (c) redness (a *); (d) Euclidean distance (ΔE *); F1—unflavored filling, F2—unflavored filling with high egg white content, M—month. The horizontal lines (d) represent the ranges of ΔE *. Grey line—upper limit of “not noticeable; yellow line—upper limit of “slightly noticeable”; brown line—upper limit of “noticeable”, red line—upper limit of “well visible”; different letters show significant differences among samples (p < 0.05).
3.4. Triangle Test
Triangle tests were performed to observe if consumers can distinguish unflavored and flavored egg pies, after frozen storage, from fresh ones or not. Table 3 shows the p-values of the binomial test applied on the results of triangle test. Panelists were able to significantly distinguish between fresh and the stored samples on several occasions, but not in the case of WF3 samples with spinach-onion filling repeatedly after 1, 3, and 6 months of frozen storage. In all probability, the spinach-onion filling concealed the differences in the texture, taste, color, and odor, although not adequately to hide the differences under all circumstances. It also can be seen in Table 3 that the pies with flavors were less distinguishable after freezing and baking from freshly baked fresh pies than the natural egg-pies. According to the panelists’ comments, stored samples were creamier than the fresh ones in the cases of unflavored samples and samples with cheese filling. In accordance with these comments, other authors observed that freezing affects texture properties and contributes to gelation of egg proteins [62,63]. Instrumental measurements also proved significant changes in texture properties of the unflavored samples during six months of frozen storage.
Table 3.
p-values of the binomial test applied on the results of triangle test. Each value is calculated as the difference between the fresh and the stored samples.
3.5. Consumer Test
Results of consumer sensory evaluation are shown in Table 4. Focusing on the final products, flavored samples were measured in consumer tests. Both WF3 and WF4 samples obtained comparable scores for taste, texture, and OA (Overall Acceptability), which were between 6.52 and 6.85, respectively. WF3 samples obtained higher scores to texture and OA, but lower scores to taste than WF4 samples. WF3 samples gained significantly higher score to odor and color compared to WF4 samples: 7.32 ± 1.51 and 7.65 ± 1.2 for WF3, 6.62 ± 1.66 and 7.15 ± 1.34 for WF4, respectively. Color has a great role on consumers’ expectations, and naturalness is generally considered as a key attribute behind food choices [64,65]. The more “egg-like” white and yolk composition and the use of spinach-onion filling may have affected the odor and color liking of WF3 samples positively, compared to WF4 samples with higher egg-white content and cheese filling.
Table 4.
Summary results of the consumer liking test (mean ± s.d.).
Figure 3 shows the penalty analysis mean drop plot for WF3 and WF4. On the y-axis of the plot, the mean drops’ values express the average decrease of overall liking if a given attribute was rated by the consumers, while x-axis represents the number of consumers who rated the attributes. The “+” signs before the attributes mean that the given attribute was too intense (or too much, depending on the nature of the attribute). Based on these, the mean drop plot of WF3 (Figure 2, left) shows that more than 40% of the consumers rated overall taste and dough taste intensity as not intense enough (“−” sign before the attributes), and these attributes caused 1.6 and 1.3 point loss of overall liking, respectively. These mean that attributes located in the upper right corner of the plot of WF3 should be addressed to achieve higher consumer acceptance. Overall taste and dough taste intensity are linked with each other, and their perceived weakness probably came from the low salt content [66]. In WF4 samples, the overall taste and too weak egg odor were in the upper right corner, but mean drops in overall liking were lower than in case of WF3 samples. Enhanced egg white content may have altered the egg odor and affected the overall liking of the samples. Based on the results, the following changes were recommended. Taste can be enriched by using 25% or 50% more salt, but also herbs are often recommended to avoid change in overall liking due to salt reduction [67,68]. In the case of WF4 samples, using 5%, 10%, or 15% more liquid egg yolk is recommended to enhance egg odor.
Figure 3.
Penalty analysis mean drop plot of WF3—Whole pie, Filling 3 (a) and WF4—Whole pie, Filling 4 (b). Red “+” corresponds to the “too much”, while blue “−” corresponds to the “not enough” of the just-about-right (JAR) scale.
It has to be mentioned that WF4 showed generally lower mean drop values, meaning that consumers had less problem with this variant. Additionally, we need to mention that even if there are some attributes with surprisingly high mean drop values (WF3, +overall taste and +filling taste), these were rated only by a low number of consumers (less than 10%); hence these should be neglected.
4. Conclusions
The number of gluten-free food products present on the market is low due to several reasons. Food for people with celiac disease should be produced with significantly more care, and strict directions should be followed in order to maintain consumer safety. Furthermore, the market share of these products is rather small compared to regular food products. Consequently, people living with celiac disease have a smaller variety of products and varieties (e.g., flavorings); hence new alternatives are warmly welcomed by them.
In our research project, we aimed fulfill this goal and to develop a gluten-free egg-pie “base”, and additionally, we tested some flavorings as well. As egg-based products are microbiologically sensitive, freezing, as a conservation method, was tested over a six-month period. Increased values of hardness were observed along with fluctuating brittleness values, as expected. Based on the results of texture measurements, the recommended shelf life of these products is four months in frozen form. The color of the fillings showed noticeable changes during the six-month frozen storage, L* showed decreasing tendency, while a* and b* increased, but only the darkening was noticeable. The results of sensory triangle test series showed that in the case of WF3, stored samples were hardly differentiated from fresh samples, which may be due to its spinach content because spinach is mainly bought in frozen by the assessors. Furthermore, flavored pies were less distinguishable after freezing and baking from freshly baked fresh pies than the natural egg-pies. Consumer sensory tests showed high consumer acceptance, overall liking of a spinach and a cheese flavored product proved to be over six points on a 10-point scale. In order to highlight the possible weaknesses of the products, a penalty analysis was run, which showed that too weak egg odor and overall taste influenced overall liking the most.
Taking into account these results, a new product alternative can be introduced to people with celiac disease to present higher varieties of products with the beneficial nutritional characteristics of eggs.
Author Contributions
Conceptualization, J.C., I.C.N.-Z. and K.P.-H.; Data curation, I.C.N.-Z.; formal analysis, K.I.H.; investigation, J.C.; methodology, I.C.N.-Z. and G.H.; project administration, K.I.H., A.V. and J.C.; supervision, L.F., K.P.-H., J.F. and A.G.; validation, K.I.H., G.H. and A.G.; visualization, B.A. and O.F.; writing—original draft, K.I.H. and A.V.; writing—review & editing, K.I.H., A.V., J.C., L.F. and A.G. All authors have read and agreed to the published version of the manuscript.
Funding
This project was Supported BY the ÚNKP-16-2 New National Excellence Program of the Ministry of Human Capacities. A.G. thanks the support of the Premium Postdoctoral Researcher Program of the Hungarian Academy of Sciences and National Research, Development, and Innovation Office of Hungary (OTKA, contract No. K134260). The authors thank the support of VEKOP-2.3.3-15-2017-00022. The Project is supported by the European Union and co-financed by the European Social Fund (grant agreement no. EFOP-3.6.3-VEKOP-16-2017-00005).
Acknowledgments
The authors are grateful to Capriovus Ltd., Hungary, and Csaba Németh, who provided the liquid whole egg, liquid egg white and liquid egg yolk for this study, respectively.
Conflicts of Interest
The authors declare no conflict of interest. The funders had no role in the design of the study; in the collection, analyses, or interpretation of data; in the writing of the manuscript, or in the decision to publish the results.
References
- Santeramo, F.G.; Carlucci, D.; De Devitiis, B.; Seccia, A.; Stasi, A.; Viscecchia, R.; Nardone, G. Emerging trends in European food, diets and food industry. Food Res. Int. 2018, 104, 39–47. [Google Scholar] [CrossRef] [PubMed]
- Silberbauer, A.; Schmid, M. Packaging Concepts for Ready-to-Eat Food: Recent Progress. J. Packag. Technol. Res. 2017, 1, 113–126. [Google Scholar] [CrossRef]
- Sgarbossa, F.; Russo, I. A proactive model in sustainable food supply chain: Insight from a case study. Int. J. Prod. Econ. 2017, 183, 596–606. [Google Scholar] [CrossRef]
- Martínez Steele, E.; Popkin, B.M.; Swinburn, B.; Monteiro, C.A. The share of ultra-processed foods and the overall nutritional quality of diets in the US: Evidence from a nationally representative cross-sectional study. Popul. Health Metr. 2017, 15, 6. [Google Scholar] [CrossRef] [PubMed]
- Monteiro, C.A.; Moubarac, J.-C.; Levy, R.B.; Canella, D.S.; da Costa Louzada, M.L.; Cannon, G. Household availability of ultra-processed foods and obesity in nineteen European countries. Public Health Nutr. 2018, 21, 18–26. [Google Scholar] [CrossRef] [PubMed]
- Poti, J.M.; Mendez, M.A.; Ng, S.W.; Popkin, B.M. Is the degree of food processing and convenience linked with the nutritional quality of foods purchased by US households? Am. J. Clin. Nutr. 2015, 101, 1251–1262. [Google Scholar] [CrossRef]
- Food and Agriculture Organization of the United Nations (FAO UN). Dietary guidelines and sustainability. In Sustainable Diets and Biodiversity; FAO UN: Rome, Italy, 2010. [Google Scholar]
- Voinea, L.; Popescu, D.V.; Bucur, M.; Negrea, T.M.; Dina, R.; Enache, C. Reshaping the Traditional Pattern of Food Consumption in Romania through the Integration of Sustainable Diet Principles. A Qualitative Study. Sustainability 2020, 12, 5826. [Google Scholar] [CrossRef]
- Economist Intelligence Unit Fixing Food. Towards a More Sustainable Food System. Available online: https://foodsustainability.eiu.com/wp-content/uploads/sites/34/2016/11/Barilla-Fixing-Food.pdf (accessed on 22 July 2020).
- Ranganathan, J.; Vennard, D.; Waite, R.; Dumas, P.; Lipinski, B.; Searchinger, T. Shifting Diets for a Sustainable Food Future; World Resources Institute: Washington, DC, USA, 2011; 90p. [Google Scholar]
- Chambers, J.R.; Zaheer, K.; Akhtar, H.; Abdel-Aal, E.-S.M. Chicken Eggs. In Egg Innovations and Strategies for Improvements; Hester, P., Ed.; Academic Press: Cambridge, MA, USA, 2016; pp. 3–11. [Google Scholar]
- Rignot, E.; Allison, I.; Bindoff, N.L.; Bindschadler, R.A.; Cox, P.M.; de Noblet, N.; England, M.H.; Francis, J.E.; Gruber, N.; Haywood, A.M. The Copenhagen Diagnosis, 2009: Updating the World on the Latest Climate Science; The University of New South Wales Climate Change Research Centre (CCRC): Sydney, Australia, 2011. [Google Scholar]
- Garnett, T. Where are the best opportunities for reducing greenhouse gas emissions in the food system (including the food chain)? Food Policy 2011, 37, 463–466. [Google Scholar] [CrossRef]
- Irz, X.; Leroy, P.; Réquillart, V.; Soler, L.G. Welfare and sustainability effects of dietary recommendations. Ecol. Econ. 2016, 130, 139–155. [Google Scholar] [CrossRef]
- Pelletier, N.; Ibarburu, M.; Xin, H. A carbon footprint analysis of egg production and processing supply chains in the Midwestern United States. J. Clean. Prod. 2013, 54, 108–114. [Google Scholar] [CrossRef]
- Guha, S.; Majumder, K.; Mine, Y. Egg Proteins. In Encyclopedia of Food Chemistry; Melton, L., Shahidi, F., Varelis, P., Eds.; Elsevier: Oxford, UK, 2019; pp. 74–84. [Google Scholar]
- Msarah, M.; Alsier, A. Protein digestibility and amino acid content of Malaysian local egg protein prepared by different methods. Environ. Ecosyst. Sci. 2018, 2, 7–9. [Google Scholar] [CrossRef]
- Bartoloni, E.; Alunno, A.; Bistoni, O.; Cavagna, L.; Nalotto, L.; Baldini, C.; Priori, R.; Picarelli, G.; Fischetti, C.; Franceschini, F.; et al. THU0268 Prevalence and features of celiac disease in patients with systemic autoimmune diseases: Results of a large multicenter study. Ann. Rheum. Dis. 2017, 76, 305. [Google Scholar] [CrossRef]
- Syage, J.A.; Murray, J.A.; Green, P.H.R.; Khosla, C. Latiglutenase Improves Symptoms in Seropositive Celiac Disease Patients While on a Gluten-Free Diet. Dig. Dis. Sci. 2017, 62, 2428–2432. [Google Scholar] [CrossRef] [PubMed]
- Cianferoni, A. Wheat allergy: Diagnosis and management. J. Asthma Allergy 2016, 9, 13–25. [Google Scholar] [CrossRef]
- Lebwohl, B.; Ludvigsson, J.F.; Green, P.H.R. Celiac disease and non-celiac gluten sensitivity. BMJ 2015, 351. [Google Scholar] [CrossRef]
- Igbinedion, S.O.; Ansari, J.; Vasikaran, A.; Gavins, F.N.; Jordan, P.; Boktor, M.; Alexander, J.S. Non-celiac gluten sensitivity: All wheat attack is not celiac. World J. Gastroenterol. 2017, 23, 7201–7210. [Google Scholar] [CrossRef]
- Puccetti, A.; Saverino, D.; Opri, R.; Gabrielli, O.; Zanoni, G.; Pelosi, A.; Fiore, P.F.; Moretta, F.; Lunardi, C.; Dolcino, M. Immune Response to Rotavirus and Gluten Sensitivity. J. Immunol. Res. 2018, 2018, 1–26. [Google Scholar] [CrossRef]
- Branchi, F.; Aziz, I.; Conte, D.; Sanders, D.S. Noncoeliac gluten sensitivity: A diagnostic dilemma. Curr. Opin. Clin. Nutr. Metab. Care 2015, 18, 508. [Google Scholar] [CrossRef]
- Gibson, P.R.; Varney, J.; Malakar, S.; Muir, J.G. Food Components and Irritable Bowel Syndrome. Gastroenterology 2015, 148, 1158–1174.e4. [Google Scholar] [CrossRef]
- Marziali, M.; Capozzolo, T. Role of Gluten-Free Diet in the Management of Chronic Pelvic Pain of Deep Infiltranting Endometriosis. J. Minim. Invasive Gynecol. 2015, 22, S51–S52. [Google Scholar] [CrossRef]
- Missbach, B.; Schwingshackl, L.; Billmann, A.; Mystek, A.; Hickelsberger, M.; Bauer, G.; König, J. Gluten-free food database: The nutritional quality and cost of packaged gluten-free foods. PeerJ 2015, 3, e1337. [Google Scholar] [CrossRef] [PubMed]
- Elli, L.; Branchi, F.; Tomba, C.; Villalta, D.; Norsa, L.; Ferretti, F.; Ronconi, L.; Bardella, M.T. Diagnosis of gluten related disorders: Celiac disease, wheat allergy and non-celiac gluten sensitivity. World J. Gastroenterol. WJG 2015, 21, 7110–7119. [Google Scholar] [CrossRef] [PubMed]
- Valenti, S.; Corica, D.; Ricciardi, L.; Romano, C. Gluten-related disorders: Certainties, questions and doubts. Ann. Med. 2017, 49, 569–581. [Google Scholar] [CrossRef] [PubMed]
- Vici, G.; Belli, L.; Biondi, M.; Polzonetti, V. Gluten free diet and nutrient deficiencies: A review. Clin. Nutr. 2016, 35, 1236–1241. [Google Scholar] [CrossRef] [PubMed]
- MarketsandMarkets. Gluten-Free Products Market Worth 7.59 Billion USD by 2020. Available online: https://www.marketsandmarkets.com/PressReleases/gluten-free-products.asp (accessed on 20 June 2018).
- Gliszczyńska-Świgło, A.; Klimczak, I.; Rybicka, I. Chemometric analysis of minerals in gluten-free products. J. Sci. Food Agric. 2018, 98, 3041–3048. [Google Scholar] [CrossRef] [PubMed]
- Matos, M.E.; Rosell, C.M. Understanding gluten-free dough for reaching breads with physical quality and nutritional balance. J. Sci. Food Agric. 2015, 95, 653–661. [Google Scholar] [CrossRef]
- Deeming, D.C.; Reynolds, S.J. Nests, Eggs, and Incubation: New Ideas about Avian Reproduction; Oxford University Press: Oxford, UK, 2015. [Google Scholar]
- Rosell, C.M. Processing, Quality and Storage of Part-Baked Products. In Minimally Processed Foods; Springer: Berlin/Heidelberg, Germany, 2015; pp. 173–192. [Google Scholar] [CrossRef]
- Grunert, T.; Stephan, R.; Ehling-Schulz, M.; Johler, S. Fourier Transform Infrared Spectroscopy enables rapid differentiation of fresh and frozen/thawed chicken. Food Control. 2016, 60, 361–364. [Google Scholar] [CrossRef]
- Degner, B.M.; Chung, C.; Schlegel, V.; Hutkins, R.; McClements, D.J. Factors Influencing the Freeze-Thaw Stability of Emulsion-Based Foods. Compr. Rev. Food Sci. Food Saf. 2014, 13, 98–113. [Google Scholar] [CrossRef]
- Kumbár, V.; Nedomová, Š.; Strnková, J.; Buchar, J. Effect of egg storage duration on the rheology of liquid egg products. J. Food Eng. 2015, 156, 45–54. [Google Scholar] [CrossRef]
- Duan, X.; Li, J.; Zhang, Q.; Zhao, T.; Li, M.; Xu, X.; Liu, X. Effect of a multiple freeze-thaw process on structural and foaming properties of individual egg white proteins. Food Chem. 2017, 228, 243–248. [Google Scholar] [CrossRef]
- Phimolsiripol, Y.; Siripatrawan, U.; Tulyathan, V.; Cleland, D.J. Effects of freezing and temperature fluctuations during frozen storage on frozen dough and bread quality. J. Food Eng. 2008, 84, 48–56. [Google Scholar] [CrossRef]
- Bruzzone, F.; Vidal, L.; Antúnez, L.; Giménez, A.; Deliza, R.; Ares, G. Comparison of intensity scales and CATA questions in new product development: Sensory characterisation and directions for product reformulation of milk desserts. Food Qual. Prefer. 2015, 44, 183–193. [Google Scholar] [CrossRef]
- Reis, F.; Alcaire, F.; Deliza, R.; Ares, G. The role of information on consumer sensory, hedonic and wellbeing perception of sugar-reduced products: Case study with orange/pomegranate juice. Food Qual. Prefer. 2017, 62, 227–236. [Google Scholar] [CrossRef]
- Lease, H.; Hendrie, G.A.; Poelman, A.A.M.; Delahunty, C.; Cox, D.N. A Sensory-Diet database: A tool to characterise the sensory qualities of diets. Food Qual. Prefer. 2016, 49, 20–32. [Google Scholar] [CrossRef]
- Cornelis, M.C.; Tordoff, M.G.; El-Sohemy, A.; van Dam, R.M. Recalled taste intensity, liking and habitual intake of commonly consumed foods. Appetite 2017, 109, 182–189. [Google Scholar] [CrossRef] [PubMed]
- Stolzenbach, S.; Bredie, W.L.P.; Christensen, R.H.B.; Byrne, D.V. Understanding Liking in Relation to Sensory Characteristics, Consumer Concept Associations, Arousal Potential and “Appropriateness for Use” Using Apple Juice as an Application. J. Sens. Stud. 2016, 31, 135–142. [Google Scholar] [CrossRef]
- Næs, T.; Brockhoff, P.B.; Tomic, O. Statistics for Sensory and Consumer Science; John Wiley & Sons: Chichester, UK, 2011. [Google Scholar]
- Ares, G.; Varela, P. Trained vs. consumer panels for analytical testing: Fueling a long lasting debate in the field. Food Qual. Prefer. 2017, 61, 79–86. [Google Scholar] [CrossRef]
- Bratzler, L.J. Measuring the Tenderness of Meat by Use of the Warner-Bratzler Method. Ph.D. Thesis, Kansas State College, Manhattan, KS, USA, 1932. [Google Scholar]
- AOAC International. Official Methods of Analysis, 16th ed.; AOAC International: Arlington, VA, USA, 1995. [Google Scholar]
- Kim, E.J.; Purswell, J.L.; Evans, J.D.; Branton, S.L. Production characteristics of Hy-Line W36 laying hens hatched from white and tinted eggs. Poult. Sci. 2014, 93, 2123–2128. [Google Scholar] [CrossRef]
- Cserhalmi, Z.; Sass-Kiss, Á.; Tóth-Markus, M.; Lechner, N. Study of pulsed electric field treated citrus juices. Innov. Food Sci. Emerg. Technol. 2006, 7, 49–54. [Google Scholar] [CrossRef]
- ISO 4120:2004—Sensory Analysis—Methodology—Triangle Test. (n.d.). Available online: https://www.iso.org/standard/33495.html (accessed on 12 July 2018).
- Gere, A.; Szabó, Z.; Pásztor-Huszár, K.; Orbán, C.; Kókai, Z.; Sipos, L. Use of JAR-Based Analysis for Improvement of Product Acceptance: A Case Study on Flavored Kefirs. J. Food Sci. 2017, 82, 1200–1207. [Google Scholar] [CrossRef]
- Mezaize, S.; Chevallier, S.; Le-Bail A de Lamballerie, M. Gluten-free frozen dough: Influence of freezing on dough rheological properties and bread quality. Food Res. Int. 2010, 43, 2186–2192. [Google Scholar] [CrossRef]
- Leray, G.; Oliete, B.; Mezaize, S.; Chevallier, S.; de Lamballerie, M. Effects of freezing and frozen storage conditions on the rheological properties of different formulations of non-yeasted wheat and gluten-free bread dough. J. Food Eng. 2010, 100, 70–76. [Google Scholar] [CrossRef]
- Díaz-Ramírez, M.; Calderón-Domínguez, G.; Ma de la Paz, S.-C.; Chanona-Pérez, J.J.; Andraca-Adame, J.A.; Ribotta, P.D. Sponge cake microstructure, starch retrogradation and quality changes during frozen storage. Int. J. Food Sci. Technol. 2016, 51, 1744–1753. [Google Scholar] [CrossRef]
- Bot, A. Differential Scanning Calorimetric Study on the Effects of Frozen Storage on Gluten and Dough. Cereal Chem. 2003, 80, 366–370. [Google Scholar] [CrossRef]
- Torbica, A.; Hadnađev, M.; Dapčević, T. Rheological, textural and sensory properties of gluten-free bread formulations based on rice and buckwheat flour. Food Hydrocoll. 2010, 24, 626–632. [Google Scholar] [CrossRef]
- Lorenzo, G.; Zaritzky, N.E.; Califano, A.N. Rheological characterization of refrigerated and frozen non-fermented gluten-free dough: Effect of hydrocolloids and lipid phase. J. Cereal Sci. 2009, 50, 255–261. [Google Scholar] [CrossRef]
- Karaoglu, M.M. Part-Baked Products. In Minimally Processed Food; Springer: Berlin/Heidelberg, Germany, 2015; pp. 151–172. [Google Scholar] [CrossRef]
- Dadashi, S.; Kiani, H.; Rahimi, H.; Mousavi, S.M. Effect of Freezing-Thawing and Stabilizers on the Phase Behavior of Egg Micro-Particles and Quality Attributes of Liquid Egg. J. Agric. Sci. Technol. 2017, 19, 821–834. [Google Scholar]
- Au, C.; Acevedo, N.C.; Horner, H.T.; Wang, T. Determination of the Gelation Mechanism of Freeze–Thawed Hen Egg Yolk. J. Agric. Food Chem. 2015, 63, 10170–10180. [Google Scholar] [CrossRef]
- Liu, J.; Lv, Y.; Mo, X.; Duan, S.; Tong, Q. Effects of freezing and thawing treatment on the rheological and textural characteristics and micro-structure of heat-induced egg yolk gels. J. Food Eng. 2018, 216, 144–150. [Google Scholar] [CrossRef]
- Spence, C. On the psychological impact of food colour. Flavour 2015, 4, 21. [Google Scholar] [CrossRef]
- Paakki, M.; Sandell, M.; Hopia, A. Consumer’s Reactions to Natural, Atypically Colored Foods: An Investigation Using Blue Potatoes. J. Sens. Stud. 2015, 31, 78–89. [Google Scholar] [CrossRef]
- Antúnez, L.; Giménez, A.; Ares, G. A consumer-based approach to salt reduction: Case study with bread. Food Res. Int. 2016, 90, 66–72. [Google Scholar] [CrossRef] [PubMed]
- Anderson, C.A.; Cobb, L.K.; Miller, E.R.; Woodward, M.; Hottenstein, A.; Chang, A.R.; Appel, L.J. Effects of a behavioral intervention that emphasizes spices and herbs on adherence to recommended sodium intake: Results of the SPICE randomized clinical trial. Am. J. Clin. Nutr. 2015, 102, 671–679. [Google Scholar] [CrossRef] [PubMed]
- Ghawi, S.K.; Rowland, I.; Methven, L. Enhancing consumer liking of low salt tomato soup over repeated exposure by herb and spice seasonings. Appetite 2014, 81, 20–29. [Google Scholar] [CrossRef] [PubMed]
Publisher’s Note: MDPI stays neutral with regard to jurisdictional claims in published maps and institutional affiliations. |
© 2020 by the authors. Licensee MDPI, Basel, Switzerland. This article is an open access article distributed under the terms and conditions of the Creative Commons Attribution (CC BY) license (http://creativecommons.org/licenses/by/4.0/).


