Abstract
Recently, construction of many large-scale water conservancy projects, as well as the vegetation protection and restoration projects in the upper reaches of the Yellow River, have led to serious changes in water inflow processes, sediment inflow processes, and scour and silting situation in the Ningxia section of the Yellow River (NSYR). This study explored the relationship between the sediment scouring and the silting law of the sediment-laden rivers and the equilibrium fluvial facies in the NSYR. The double cumulative curves of the annual silting amounts and annual incoming sediment amounts in the Qingtongxia–Shizuishan section were then established. It has been previously proven the fluvial facies coefficient increases year by year with the increase in the silting amounts in the watercourse, which lead to the evolution of the watercourse toward the wandering reach. The fluvial facies relationships of their cross-sections under an equilibrium state in the NSYR were established using a Yalin fluvial facies method. The Fr values under an equilibrium state and the actual state were analyzed. The results showed the Xiaheyan section was in an equilibrium state, and the Qingtongxia and Shizuishan cross-section were in a scouring state. This conclusion was confirmed by the actual measured results for numerous years.
1. Introduction
It is known that sediment scouring and silting in natural sediment-laden rivers, along with the adjustments of the riverbed morphology, are closely related to the water and sediment conditions [1,2]. The mechanisms of water and sediment transportation and the evolution of scouring and silting in rivers are very complex. It has been found that uncoordinated relationships between water and sediment will lead to river silting, river-bed rising, and intense swings in river courses. These changes will potentially cause frequent changes in the fluvial facies, thereby seriously threatening the healthy development of ecological environments, and aggravate the severity of flood control situations along a river’s course. During the 1980s, large-scale dike construction and river regulation projects were gradually carried out in the Ningxia area, and the flood control engineering systems based on dikes and rivers was initially improved. At the same time, the environments of the main rivers and tributaries were also greatly altered. For example, the total amount of sediment entering the Yellow River decreased; the main channel and branches of the river experienced frequent rising and falling actions, and the relationship between the water and sediment remained uncoordinated. These factors had resulted in imbalance conditions between the sediment scour, silting, and river regime evolution in the Ningxia River Reach area [3,4]. In particular, during the recent completion and operation of a series of reservoirs, such as Qingtongxia, Liujiaxia, Longyangxia, the processes of water and sediment inflow in the Ningxia section of the Yellow River have experienced major changes. Although significant economic benefits have been achieved in the development and utilization of hydropower resources, local changes in the ecological environment of the Yellow River Basin have been observed. For example, due to the changes in the water and sediment conditions in the upper reaches of the Yellow River, the equilibrium state of the river which had been achieved after long-term adjustments has been destroyed. This resulted in the re-shaping of the river’s course. However, whether or not the changes in the river geomorphology can be correctly predicted is related to a large extent to the success or failure of the river regulation projects. Therefore, the examination of the river facies relationships of the Yellow River in Ningxia and Inner Mongolia can potentially reveal the evolution processes of a “balance-destruction-rebalance” cycle in these areas of the river. It is of great theoretical and practical significance that a thorough understanding of the river bed morphology of alluvial rivers is established to carry out accurate hydraulic calculations of these alluvial rivers and formulate effective river regulation plans.
In China, the main studies regarding water and sediment transport laws and fluvial facies have included the following research endeavors. Li Ziwen et al. analyzed the characteristics of floodwater and sediment in 2012 and discussed the influences of coarse sediment on river bottom adjustments by calculating bed-load discharge and comparing results of the changes in river bottom cross-sections [5]. Li Erhui et al. applied Mann–Kendall rank correlation tests, along with the flow duration and double cumulative curve methods, to systematically analyze the evolution processes of runoff at the Shan County Station and Hekou Town Station in the mainstream of the Yellow River from 1919 to 2010 [6]. In addition, based on the observed data of the hydrological stations in the Ningxiang-Inner Mongolia section of the upper reaches of the Yellow River from 1965 to 2004, Dong Zhandi et al. successfully analyzed the change processes of river cross-section morphology in detail, along with its response to incoming water and sediment [7]. In the studies conducted by Lin Xiuzhi et al., the response relationship between the changes in the scouring and silting and the combined factors of the water and sediment in the Bayangol–Sanhu Estuary and Sanhu Estuary–Toudaoguai sections of the Inner Mongolia areas of the Yellow River were thoroughly analyzed [8]. Zhang Houjun et al. analyzed the relationship between the scouring and silting characteristics and the scouring and silting efficiency of flood events and the water and sediment volumes in the Xiaheyan cross-section of Ningxia-Inner Mongolia River during flood seasons from 1973 to 2005 [9]. In another related study, Ran Dachuan et al. identified the dominant driving factors of runoff and sediment changes and quantitatively assessed the contribution rates of multi-factors to runoff and sediment changes in Toudaoguai of the upper reaches of the Yellow River [10] based on the measured data of runoff and sediment from 1950 to 2010, and successfully constructed a non-linear response model. Wu Baosheng et al. discussed the physical significance of incoming sediment coefficients from different perspectives [11]. Furthermore, Shi Hongling et al. used the measured annual runoff and sediment discharge data of the main hydrological stations in the main stream of the Yellow River over the past 60 years and adopted the M-K rank correlation test and rank-sum test method to study the variation trends of the incoming water and sediment of the main hydrological stations of the Yellow River, including the years in which jumps were observed [12]. Zhang Jinliang et al. established a two-dimensional model for the Huayankou–Aishanhe section located in the lower reaches of the Yellow River, and then adopted a measured data analysis and model calculation method to study the mechanisms of the water and sediment transportation in the lower reaches of the Yellow River [13]. Li Zhiwei et al. used the long series hydrological data of four hydrological stations at the source of the Yellow River, along with the meteorological data of ten representative meteorological stations, for the purpose of analyzing the variation laws of the annual runoff, annual sediment discharge, temperature, and precipitation in the source area of the Yellow River over the most recent 56 years. Then, the relationships between the water and sediment changes and the temperature changes in the area were explored [14]. In the studies conducted by Chen Hao and Zhou Jinxing, the influences of the environmental factors on the water and sediment variability and its causes in the middle reaches of the Yellow River basin were analyzed using a geographic environment factor method based on the data of observation stations on the controlled Level 1 tributary, which is located in the section from Hekou Town to Longmen in the middle reaches of the Yellow River [15].
At the present time, the most commonly used methods in the world for solving river facies relationships are empirical methods, semi-empirical methods, stability theory methods, and extremum hypothesis methods. Yuan Ximin et al. applied a mathematical statistic regression analysis method to establish the corresponding relationships between the fluvial facies coefficients and the discharge of different units by taking the main channel, beach areas, and entire river course as the basic units. Then, after analyzing the obtained data, the variations in the river scouring and silting, and the evolution trends of fluvial facies coefficients were predicted [16]. Omengo et al. used the radioactive elements 137Cs and 210Pbex to predict the sediment deposition in the Tana River beach areas in Kenya [17]. Nitsche et al. studied the regional patterns and local variations of the sediment distributions in the Hudson River estuary by using high-resolution multi-beam sounding data and side-scan sonar data [18]. Ni Jinren et al. summarized and discussed the relationships among various research methods [19]. In the studies conducted by Zhao Huaxia et al., 106 peak periods were selected and the relationships between the water consumption for sediment transport and the sediment scouring and silting adjustments in the lower reaches of the Yellow River with different sediment concentrations in the Sanmenxia Reservoir during flood seasons were analyzed [20]. Jiang Ninglin used the measured water depths and discharge data of the Chengtong Reach area of the Yangtze River Estuary over many years to establish the fluvial facies relationships which accurately reflected the variations in a typical section area of the Chengtong Reach under the conditions of changes in the sediment concentrations and tidal currents [21]. By analyzing the obtained measured data, Yang Yanhua et al. introduced the hypothesis that the riverbed was relatively stable and its relative mobility was minimal under the conditions of sediment transport equilibrium, by combining a flow continuity equation, motion equation, and sediment transport equilibrium equation, which had effectively solved the fluvial facies elements to obtain a water depth-width ratio formula when the suspended sediment bed-formation prevailed. Then, the inherent mechanisms of the above-mentioned river facies characteristics were initially explained from a theoretical point of view [22]. Lu Qian et al. built a two-dimensional hydrodynamic and sediment transport generalized mathematical model by selecting the channel under-gate in the Sheyang River on the northern coast of Jiangsu as the prototype, and then simulated the silting processes of the channel under-gate on the silt coast [23]. Lacey G proposed an “equilibrium theory” using an induction method. In another related study [24], Leopold and Maddock T held that, in the quasi-equilibrium of natural rivers, there are also simple exponential relationships among the bed slope, river widths, water depths, and flow rates. In addition, based on the second law of thermodynamics and the Gibbs equation, Yalin et al. provided a calculation method for fluvial facies relationships and verified the rationality of the theory by comparing several sets of field and experimental data [25]. The core of Yalin’s equilibrium principle is the (Fr)min principle, which has the ability to further judge whether a river is in an equilibrium state.
At the present time, the research studies conducted by experts and scholars in the Ningxia section of the Yellow River have mainly been focused on the changes in the water and sediment within the section and the characteristics of the scouring and silting processes. However, few studies have been conducted regarding the equilibrium stability of the water channel in the Ningxia section. Therefore, to further explore the influence laws of the changes in the sediment scouring and silting processes and the evolution of the fluvial facies, this study selected the Ningxia section of the Yellow River as the research object and utilized the data of the three main hydrological stations in the Ningxia section of the Yellow River from 1950 to 2010 to calculate the sediment scouring and silting amounts by adopting a transport rate method. Then, the double cumulative curves between the annual sediment silting and annual sediment inflow in the Qingtongxia–Shizuishan Reach were successfully established. Furthermore, by taking the measured data into account, the three hydrological sections of Xiaheyan, Qingtongxia, and Shizuishan were chosen as typical sections for the purpose of examining the mechanisms of the water and sediment scouring and silting processes, and the stabilization of the Ningxia section of the Yellow River under the conditions of changing environments. The equilibrium fluvial facies relationships of the Ningxia section of the Yellow River were analyzed in-depth, and the equilibrium laws of the scouring and silting processes in the Ningxia section were further investigated. The results were found to provide a basis for the implementation of effective flood control and disaster reduction policies, as well as beneficial river regulations for the Ningxia section.
2. Research Area
The Yellow River is a world-famous natural sandy river, with a total length of approximately 5464 km, and a basin area measuring approximately 752,443 km2. It is the second-longest river in China. The Yellow River flows through nine provinces (autonomous regions) including Qinghai, Sichuan, Gansu, Ningxia, Inner Mongolia, Shaanxi, Shanxi, Henan, and Shandong, and then finally flows into the Bohai Sea. The Ningxia section of the Yellow River is located from Nanchangtan of Zhongwei City to Mahuanggou of Shizuishan City, with a total length of 397 km, as detailed in Figure 1. It accounts for approximately 1/14 of the total length of the Yellow River. The Ningxia section belongs to both the lower and upper reaches of the Yellow River, as shown in Figure 1. Since the 1980s, Ningxia has constructed 416 km of standardized dikes; more than 80 river regulation sites; more than 1400 dam buttresses; and 66 km of revetment. The project’s length is 186 km and basically conforms to the river flow. At the same time, large-scale afforestation and greening projects have been carried out along the line in recent years. As a result, the sediment entering the Yellow River from the tributaries along that line section has gradually reduced. During the same time frame, the Qingtongxia Hydropower Station began to operate in 1978, which greatly improved the flow conditions. Then, three hydrological stations, Xiaheyan, Qingtongxia, and Shizuishan, were set up along the Ningxia section of the Yellow River. The main observational tasks of these stations included the water level, discharge, sediment, water temperature, and ice conditions. The channel plane of the Ningxia Reach is characterized by a large ∩-shaped bend. Furthermore, such tributaries as the Qingshui River, Kushui River, and Hongliugou River converge into the Yellow River in the Ningxia area. The main sources of runoff come from the Jimai–Tangnaihai and Xunhua–Lanzhou sections upstream of Lanzhou. Meanwhile, sediment mainly originates from the tributaries, and the water and sediment have different known sources [3]. It has been observed that as the upper reaches flow through the edge of the Loess Plateau, the sediment content of the river water increases sharply, which results in sediment deposition, riverbed aggradation, gradual changes in the river body from narrow deep to wide shallow, overlapped beaches, and a gentle bed slope. The reach features in the Ningxia plain reaches of the Yellow River were shown in Table 1. Therefore, the Ningxia Reach of the Yellow River is the most complex river channel in the upper reaches of the Yellow River, with serious river siltation issues and frequent flood disaster occurrences.
Figure 1.
Location of the study area.
Table 1.
The reach features in the Ningxia plain reaches of the Yellow River.
3. Materials and Methods
3.1. Materials
In the present study, based on the data obtained from the three main hydrological stations in the Ningxia section of the Yellow River from 1950 to 2010, the variation process curves for the runoff and sediment discharge of the Xiaheyan hydrological stations during both flood seasons and non-flood seasons were established, as detailed in Figure 2 and Figure 3. It was observed that throughout the entire year, the average annual runoff from 1951 to 2010 was 29.637 billion m3, and was uneven during the wet and dry seasons of different years. For example, the runoff in 1967 was found to be the largest, reaching 509.113 billion m3. However, in 1997, the smallest runoff was observed at 188.66 billion m3, which indicated a difference of 2.70 times from that observed in the annual average sediment weight was 123 million tonnes and was found to vary greatly from year to year. Among the examined years 1967, the sediment discharge in 1959 was observed to be the largest, reaching 4410 million tonnes, while that in 2004 was the smallest at only 222 million tonnes. The difference between these years was 20.02 times, and the variation range of the annual sediment discharge was much larger than that of annual water discharge. The annual average sediment concentration was determined to be 3.99 × 103 mg/L. The highest value of 1.357 × 104 mg/L was reached in 1959, while the lowest value of 1.03 × 103 mg/L occurred in the difference between the highest and lowest sediment concentration was 13.17 times.
Figure 2.
Variations in the processes of the total annual, flood season, and non-flood season discharge of the Xiaheyan hydrological survey station. R indicates runoff volumes. Liujiaxia reservoir is located in Gansu Province, Longyangxia reservoir is located in Qinghai Province.
Figure 3.
Variations in the processes of the total annual, flood season, and non-flood season sediment load of the Xiaheyan hydrological survey station. S indicates sediment load. Liujiaxia reservoir is located in Gansu Province, Longyangxia reservoir is located in Qinghai Province.
It was found that the annual average runoff and sediment amounts of the Xiaheyan Station during the flood seasons varied greatly. The annual average runoff during the period ranging from 1951 to 2010 was determined to be 15.531 billion m3 2004, with a variation of 7.965 to 32.619 billion m3. Furthermore, the maximum value differed from the minimum value by 4.10 times. The annual average sediment discharge was determined to be 104 million tonnes, with a variation of 19 to 412 million tonnes, and the maximum value differed from the minimum value by 21.72 times. The annual average sediment content was found to be 6.37 × 103 mg/L, with a variation range of 1.69 to 22.81 × 103 mg/L, and the maximum value differed from the minimum value by 13.49 times. The variation range of the runoff and sediment during the non-flood season was observed to still be relatively large. The annual average runoff was 14.106 billion m3, which varied from 8.273 to 19.884 billion m3, with a difference of 2.40 times between the maximum and minimum values. The annual average sediment transport was 19 million tonnes, with observed variations from 3 to 85 million tonnes, and a difference of 28.21 times between the maximum and minimum values. The average sediment concentration was determined to be 1.39 × 103 mg/L, which varied from 0.23 to 535 × 103 mg/L, with a difference between the maximum and minimum values of up to 23.31 times, as detailed in Table 2.
Table 2.
Characteristic value of the actual water volume and sediment load of the Xiaheyan hydrological survey station.
3.2. Methods
The experiments conducted in this study were based on the obtained 60-year water and sediment data (1950 to 2012) of the three main hydrological stations (Xiaheyan, Qingtongxia, and Shizuishan) located in the main stream of the Ningxia section of the Yellow River. Furthermore, the sediment inflow and blown sand inflow data of the Qingshui River, Hongliu Trench, and Kushui River, as well as the data of six major cross-sections of the river (1993, 1999, 2001, 2009, 2011, and 2012) were taken into consideration in this study. Among the aforementioned, 51 silt measurement cross-sections were arranged in the Ningxia section in 1993, 1999, 2001, and 2009, respectively; 22 cross-sections were arranged at the end of the section located from Xiaheyan to the Qingtongxia Reservoir, and 29 cross-sections were arranged in the section from Qingtongxia to the Shizuishan Yellow River Bridge. The original arrangements of the cross-sections were densified in May of 2011, and the number of silt measurement cross-sections in the Ningxia section of the Yellow River was increased to 67 after the densification process was completed. Among those, there were 24 cross-sections at the end of the section from Xiaheyan to the Qingtongxia Reservoir, and there were 43 cross-sections in the section from Qingtongxia to the Shizuishan Yellow River Bridge, with an average spacing of 3.99 km.
In the present study, the scour and silting amounts of the watercourse were calculated according to a sediment transport continuity method, and the specific calculation formula was as follows:
where ∆WS is the scour and silting amount in the reach (100 millions of tonnes); WS1 indicates the incoming sediment of the reach (100 millions of tonnes); WS2 represents the amount of incoming sediment from the tributaries (100 millions of tonnes); WS3 is the sediment discharge of the drainage ditches in the sections (100 millions of tonnes); WS4 denotes the aeolian sand entering into the Yellow River (100 million tonnes); WS5 indicates the export sediment of the reach (100 millions of tonnes), and WS6 represents the sediment diversion in sections (100 million tonnes).
Then, based on the hydrological and sediment data, such as the incoming sediment of the hydrological stations along the Ningxia Reach of the Yellow River; silting of the tributaries, diversion canals, and reservoirs along the Ningxia Reach, and the data of the aeolian sand, the scouring and silting amounts of the Ningxia Reach area were calculated using Equation (1). The calculation results of the different reaches were also obtained using the sediment transport continuity method (Equation (1)). Then, the double cumulative curves of the annual sediment silting and annual incoming sediment in the Qingtongxia–Shizuishan Reach area were established based on the above results of the sediment transport rates, and the relationships between the annual sediment scouring and silting and the water-sediment conditions in the Qingshi Reach of the Yellow River in the Ningxia area was successfully analyzed. Based on the data of six large cross-sections of the watercourse, the fluvial facies coefficients were calculated using the empirical relationship of width-depth ratio as previously proposed by Γгушкoв BT [26] of the former Soviet Union, as shown in Equation (2).
where ζ is the fluvial facies coefficient along the reach (m−0.5); B indicates the average width of the cross-section at the bank full discharge (m), and H represents the average water depth of the cross-section at the bank full discharge (m).
Yalin et al. pointed out that when a characteristic quantity related to energy in a river reaches a minimum, the channel will tend to a stable state, and the Froude number Fr will be used as this characteristic [25]. By taking the three cross-sections of the Xiaheyan, Qingtongxia, and Shizuishan as typical examples, this study attempted to use the Yalin method to calculate the Froude number Fr under the equilibrium state of the Xiaheyan, Qingtongxia, and Shizuishan sections in the Ningxia section of the Yellow River. By comparing the Fr values under the equilibrium state and the Fr values under the actual state, whether the channel would tend to a stable state could be determined, as shown in Equations (3)–(5):
where (Fr)R is the Froude number; BR is the water surface width in the equilibrium state; Q is the bed-building discharge; V*cr is the critical friction velocity; hR is the water depth; SR is the bed slope; g is the gravity acceleration, and cR is the dimensionless chezy resistance coefficient.
According to the obtained data of the average bank full elevations or the smallest width–depth ratios of the channels along the elevation as the bank full elevation, the bed-building discharge Q was determined. BR, hR, and SR were calculated according to the steps provided by Yalin et al. [25].
For a specified granular material and fluid, (Fr)R can reduce into the curve family, as shown in Equations (6) and (8):
where is the function of Fr; η* is relative flow intensity; τ0 is flow shear stress; (τ0)cr is critical flow shear stress; N is the dimensionless specific flow rate, D is typical grain size (usually D50).
4. Results
4.1. Relationship between the Annual Amounts of Scouring and Silting and the Water and Sediment
This study took into account the basic balance of the annual sediment scouring and silting of the reach from Xiaheyan to Qingtongxia in the Ningxia section of the Yellow River, and calculated the measured data of the scouring and silting of the Qingtongxia–Shizuishan Reach using an annual sediment transport continuity method for the time range of 1952 to As a result, the double cumulative curves of the annual sediment silting and annual incoming sediment in the Qingtongxia–Shizuishan Reach was successfully obtained, as detailed in Figure 4. Then 2010, in accordance with the construction and operation times of the Liujiaxia, Longyangxia, and Qingtongxia Reservoirs, the data were divided into five recent year periods. It can be seen from the results that there was a good relationship between the accumulated sediment silting volume and the accumulated incoming sediment in the Qingtongxia–Shizuishan Reach. Moreover, with the exception of the relatively low correlation observed between 1961 and 1986, the correlation coefficient R2 of the other three periods, was found to be higher than 0.91. The concrete expressions of each period are detailed in Equations (9)–(13):
where W1 represents the accumulated annual incoming sediment of the Qingtongxia Station, excluding the incoming sediment from the Qingshi Section (109 t), and W2 is the accumulated annual silting in the Qingtongxia–Shizuishan Reach (109 t).
Figure 4.
The relationship of cumulative scouring and the silting amount and incoming sediment of the Qingtongxia–Shizuishan reach in the Ningxia plain reaches. W1 indicates the annual cumulative incoming sediment of the Qingtongxia hydrological survey station without the Qingtongxia–Shizuishan reach; W2 indicates the annual cumulative sediment load of the Qingtongxia–Shizuishan reach.
4.2. Variations in the Fluvial Facies Coefficients of the Cross-Section along the Line
Based on the measured cross-section data from 1979, 1993, 1999, 2002, 2009, and 2011, the variations in the fluvial facies coefficients of the cross-section along the line were obtained using the fluvial facies relation formula of the cross-section, as detailed in Figure 5.
Figure 5.
Variations of fluvial facies coefficients of previous years in Qingtongxia reach.
4.3. Equilibrium Fluvial Facies Relationship
4.3.1. Variations in the Average River Bottom Elevations in the Typical Sections
In the present study, based on the measured data of the cross-sections from 1960 to 2012, the change processes of the average river bottom elevations of Xiaheyan, Qingtongxia, and Shizuishan during the past 50 years were plotted. As shown in Figure 6a, the river-bed scouring and silting of the Xiaheyan cross-section was in an equilibrium state between 1960 and Since the river bottom elevation was generally higher than the mean value in the period ranging from 2008 to 2012, the Xiaheyan cross-section was observed to have transitioned to a slight siltation state in recent years. Therefore 1993, this station was considered to basically be in a slight siltation state according to the long series data. Figure 6b shows that the cross-section of the Qingtongxia had basically been in a slight siltation state before Then, with the successive operations of the power generating units of the Qingtongxia Hydropower Station from 1968 to 1978, the river channel had gradually deepened. As a result 1975, the river bottom elevation had gradually decreased, displaying a scouring state. However, due to serious sediment siltation issues, Qingtongxia has been transformed into a daily regulating runoff power station. In recent years, the river bottom elevation of the cross-section of the Qingtongxia has returned to its average elevation and is currently in an equilibrium state of scouring and silting. As shown in Figure 6c, there were no obvious changes observed in the Shizuishan section, which had basically displayed an equilibrium state of scouring and silting.
Figure 6.
Variation of river embankment average elevation of (a) Xiaheyan; (b) Qingtongxia; and (c) Shizuishan, reach in the Ningxia Plain Reaches of the Yellow River (NPRYR). H1 indicates the annual average elevation of the riverbed.
4.3.2. Variations in the Bank Full Channel Areas of the Typical Sections
According to the obtained data of the average bank full elevations or the smallest width–depth ratios of the channels along the elevation as the bank full elevation, the bed-building discharge amounts, channel widths, and channel heights were determined, and the annual variation curves of bank full channel area of the Xiaheyan, Qingtongxia, and Shizuishan Hydrological Stations in the Ningxia section of the Yellow River during the period ranging from 1965 to 2012 were determined. As detailed in Figure 7, the bank full channel area of the Xiaheyan cross-section had not changed significantly during the period ranging from 1965 to 1990, and the cross-section profile was observed to be stable. However, it should be noted that the data from 1990 to 2007 were incomplete. Then, after 2007, the profile gradually moved to the right bank. As a result, the river-bed elevation was greatly reduced, and the bank full channel became substantially shrunken. In 2012, floodwaters caused a steep increase in the bank full channel. As detailed in Figure 8b, the area of bank full channel in the Qingtongxia section increased year by year from 1965 to 1970, which was determined to have been mainly due to the construction of the Qingtongxia Hydropower Station. The mainstream closure increased the flow speed and scoured the river-bed, and the lowest elevation of the river-bed had decreased from 320 m above sea level to 300 m above sea level. Then, in 1970, the dike on the left bank was rebuilt. This increased the angle of the slope on the left bank, thus resulting in a sharp drop in the area of the bank full channel. In 1978, another deep trough was formed near the right bank. This gradually deepened, which increased the area of the bank full channel. It was observed that after 1985, the river-bed elevation on the right bank began to gradually decline, which resulted in the shrinkage of the bank full channel area to the level observed before 1967, before the construction of the dike. As can be seen in Figure 8c, there were no significant changes in the bank full channel area of the Shizuishan Section from 1965 to However, after 1990, the areas of the bank full channel in all of the sections decreased, which may have been related to the decreases in water volume. Then 1989, in 2012, a leap-forward increase was observed due to flooding.
Figure 7.
Variation of river embankment channel area of (a) Xiaheyan; (b) Qingtongxia; and (c) Shizuishan, reach in the NPRYR.
Figure 8.
Variation of bed-building discharge of Xiaheyan, Qingtongxia, and Shizuishan, reach in the NPRYR. Q indicates the annual average bed-building discharge of the reach.
4.3.3. Change Processes of the Bed-Building Discharge Over Time in the Typical Sections
The change processes of the bed-building discharge of the Xiaheyan, Qingtongxia, and Shizuishan cross-sections over time were plotted, as shown in Figure 8.
As can be seen in Figure 8, the bed-building discharge flow of the Xiaheyan, Qingtongxia, and Shizuishan cross-sections displayed basically the same variation trend and showed a decreasing trend on the whole. It was indicated that due to the influences of diversion irrigation of the Qingtongxia Reservoir and Qingtongxia and Shizuishan sections being located downstream of the Qingtongxia Reservoir, the bed-building discharges of the Qingtongxia and Shizuishan were a little smaller than that of the Xiaheyan. At the same time, the fluvial facies of the Xiaheyan, Qingtongxia, and Shizuishan cross-sections were established, as shown in Figure 9 and Figure 10.
Figure 9.
Relationship between river width and bed-building discharge of the Xiaheyan hydrological survey station. B indicates the annual average reach width.
Figure 10.
Relationship between river depth and bed-building discharge of the Xiaheyan hydrological survey station. H indicates the annual average reach depth.
The fluvial facies relationships of the Xiaheyan, Qingtongxia, and Shizuishan cross-sections in the Ningxia Reach of the Yellow River were successfully established in this study, as shown in Table 3.
Table 3.
Fluvial facies relation of the Xiaheyan, Qingtongxia, and Shizuishan hydrological survey station.
The equilibrium fluvial facies relationship in the Ningxia Reach of the Yellow River were preliminarily determined using the Yalin Method, and the bed-building discharge was successfully calculated. Then, the river width B, average water depth H, and bed slope s of the equilibrium river channel under these discharge conditions could be calculated using the Yalin Method. The equilibrium fluvial facies relationships in the Ningxia Reach were established in this study, as shown in Figure 11, and the form of (A indicating any characteristic value of the equilibrium river channel) was adopted.
Figure 11.
Relationship between (a) river width; (b) river depth; (c) bed slope, and bed-building discharge of the Xiaheyan hydrological survey station.
The fluvial facies relationships under the equilibrium state of the Xiaheyan, Qingtongxia, and Shizuishan cross-sections in the Ningxia Reach of the Yellow River were successfully established in this study, as shown in Table 4.
Table 4.
Fluvial facies relation of the Xiaheyan, Qingtongxia, and Shizuishan hydrological survey station in the equilibrium state.
From the results shown in Table 4, it may be concluded that the river widths and water depths were positively correlated with discharge flow and increased with the increase in the discharge flow. However, the sensitivity of the river widths to the discharge variations was observed to be much higher than that of the water depths. Meanwhile, the bed slope was found to be negatively weakly correlated with the discharge and was observed to be insensitive to the discharge variations. Since river equilibrium is basically only a theoretical concept, in practice, the equilibrium was considered to be relative, and the imbalance was an absolute. It could be seen in the Yalin equilibrium fluvial facies relationships that the core was a minimum power hypothesis. For example, when the discharge and particle sizes were known, the channel section resulting in the minimum Fr was considered to be the equilibrium channel. Then, by comparing the Fr values under the equilibrium state with the Fr values under the actual state, the state of the river could be preliminarily determined, and the development trends of the river could also be established.
5. Discussion
5.1. Relationship between the Cumulative Scouring and Silting and the Incoming Sediment in the Qingshi Section of the Ningxia Area
From the results shown in Figure 4, it can be concluded that the relationship curves of the different periods displayed different slopes, which indicated that the scouring and silting conditions, as well as the speed of the scouring and silting processes, differed during the different periods. It was observed that silting rates during the period ranging from 1987 to 2003 were the highest, with a slope of 0.287 (equaling a silting rate of 28.7%). This indicated that 28.7% of the total incoming sediment was silted in the river course. The silting rate for the period ranging from 1952 to 1959 was also considered to be high, with a silting rate of 24.3%. However, the silting rate during the period ranging from 1969 to 1986 was determined to be the lowest, with a slope of 0.040. This meant that the silting rate for that period had been only 4.0%. Then, from 1960 to 1968, the scour degree had been slight and the slope was −0.110, with a scouring rate of 11.0%. This indicated that the river course scouring sediment during the sediment transportation process reached 11.0% of the incoming sediment. The scouring was found to be aggravated from 2004 to 2010, with a slope of 0.390, which meant that the scouring rate was 39.0%. The main reason for these results was determined to be that the upstream incoming water and sediment, along with the construction of large-scale water control projects, had resulted in different scouring and silting speeds during some of the periods. For example, in 1968, the Liujiaxia Reservoir was put into operation. In addition, in 1987, the Longyangxia Reservoir was put into operation, which altered the conditions of the incoming water and sediment in the section to a certain extent. However, with the passage of time, the Qingshi Reach in Ningxia displayed a trend of siltation. It was observed that with the onset of operations of the Liujiaxia and Longyangxia Reservoirs, the reduction in water and sediment displayed certain stage characteristics. Additionally, the reduction in water and sediment showed obvious regularity during both the flood and non-flood seasons, and the reductions in water and sediment mainly occurred during the flood seasons. However, there were no obvious trend changes in water and sediment during the non-flood seasons. Furthermore, the reduction range of the sediment was observed to be smaller than that of the water.
5.2. Variations in the Fluvial Facies Coefficients of the Cross-Sections along the Line
Figure 5 shows that from 1993 to 2011, with the exception of individual sections, the fluvial facies coefficients of the Qingshi Reach generally displayed a trend of increasing year by year. These findings indicated that the cross-section of the Lower Qingshi Reach remained relatively narrow and deep. Meanwhile, that of the Qingshi Reach indicated that the main channel became increasingly silted year by year, and the section became wider and shallower. At the same time, as shown in Figure 4, the Qingshi section of the Yellow River in Ningxia experienced silting from 1952 to 2010, which was basically consistent with the analysis results of the cumulative scouring and silting volumes and the cumulative incoming sediment of the Qingshi section. Therefore, the increases in the silting volumes of the channel indicated that the fluvial facies coefficients also increased year by year, and the cross-sections became wider and shallower. As a result, the channel gradually displayed wandering characteristics.
5.3. Relationships Related to the Stability of the Equilibrium Fluvial Facies
This section may be divided by subheadings. It should provide a concise and precise description of the experimental results, their interpretation as well as the experimental conclusions that can be drawn.
From the analysis results shown in Figure 6a,c and Figure 7a,c, it was concluded that the area and width of the middle channel in the Xiaheyan and Shizuishan sections experienced little change overall, and silting only occurred at the bottom of the channel. It was observed that from 1965 to 1970, the Xiaheyan section greatly changed, and the main channel became obviously oscillated. As shown in Figure 7b, the Qingtongxia Hydrological Station was located in the lower reaches of Qingtongxia. It was found that, due to the influences of the sand transport and location migration of the reservoir, the section experienced major changes. For example, the area and width of the middle channel significantly decreased. As detailed in Figure 6c, the Shizuishan Station underwent alternate changes in scouring and silting from 1965 to Overall, there had been a slight silting state and shrinking of the overflowing section in that area. Figure 8 shows that the variation trends of the bed-building discharge along the Xiaheyan 1990, Qingtongxia, and Shizuishan sections were basically the same, and a decreasing trend could be observed. From the perspective of the changes in the annual average discharge series, there were found to be periodic alternate changes during the wet and dry seasons. For example, in the 1960s, the runoff was relatively large. Then, during the 1970s, a dry season had been entered, and in the 1980s, the runoff was once again relatively large. It could be seen from the obtained data that after 1986, the combined regulation effects of the established reservoirs resulted in significant decreases in the bed-building discharge and shrinkages of the cross-sections.
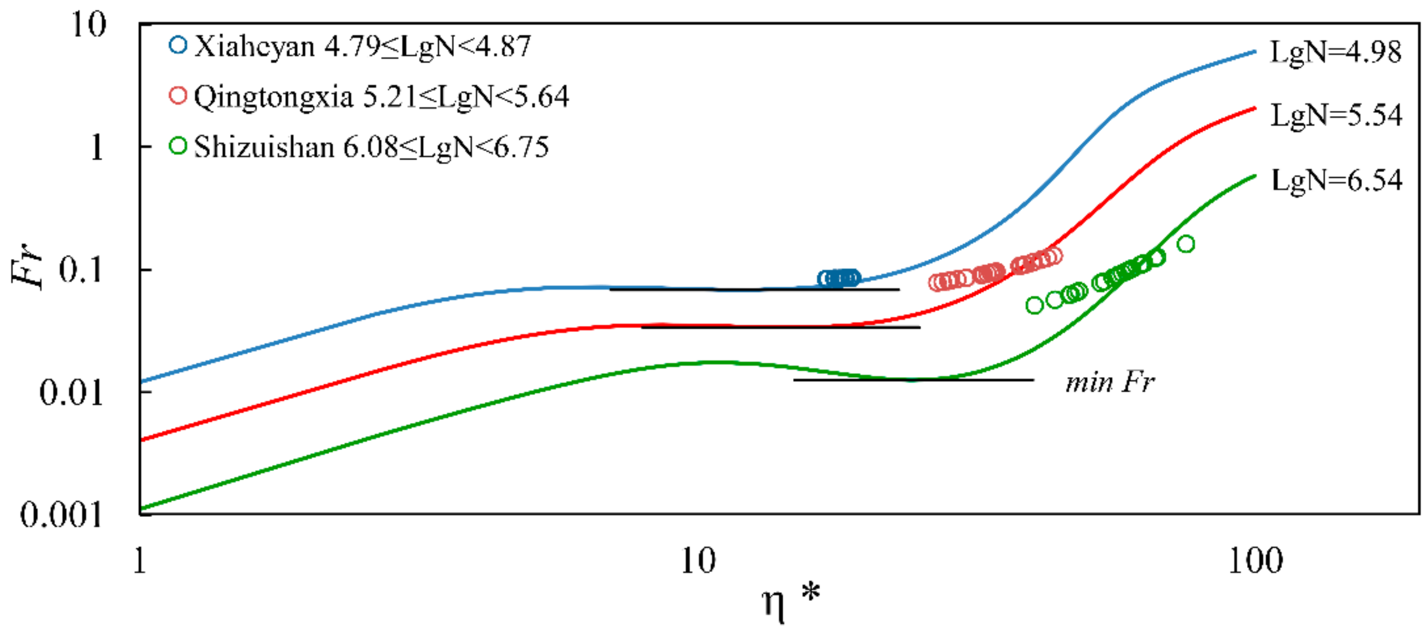
In accordance with the results shown in Figure 11 and Table 4, the relationship between relative flow intensity η* and Fr under the equilibrium river width (log–log coordinate) was successfully established in this study. η* is the abscissa, each “Fr-curve” corresponds to a constant value of dimensionless specific flow rate N. The larger is N, the lower is its Fr-curve. As shown in Figure 12, it can be seen the actual Fr values of the Xiaheyan section were found to be close to the minimum Fr value of the section under the condition of equilibrium river width. Therefore, it was determined that the profile of the Xiaheyan section had allowed for the quick discharge of the upstream incoming water and sediment, which had basically achieved a state of equilibrium between the scouring and silting processes. The actual Fr values of the Qingtingxia and Shizuishan sections were found to be larger than the minimum Fr value under the condition of equilibrium river width. This was determined to be due to the long-term silting of the cross-section. It was observed that when Q was constant, the flow velocity u continuously increased, which led to increases in the flow energy resulting in deviations from the principle of minimum power. As flow velocity u increases further, these sections might be in a scouring state. It was determined that only when the two sections underwent the process of flooding had the flow velocity increased, and only when the channel became deepened was it possible for this section to return to a quasi-equilibrium range.
Figure 12.
The relationship between η* and Fr in the equilibrium state (double logarithm coordinate). η* indicates the relative flow intensity; Fr indicates Froude number; N indicates dimensionless specific flow rate.
5.4. Suggestion on Future Flood Control and Sustainable Development
The results serve to provide a basis for the implementation of effective flood control and disaster reduction policies, as well as beneficial river regulations for the Ningxia section. The scouring and silting law of the river was explored by analyzing the equilibrium fluvial facies relationship, and the scouring and silting status in NSYR was analyzed. The scouring and silting status in NSYR was covered in the Comprehensive Planning of the Yellow River Basin (2020–2030). Meanwhile, the siltation of the river was fully considered in the flood control project design of NSYR, and the design flood level of engineering was raised.
The results also serve to provide a basis for the implementation of effective control of the deterioration of the river regime and regional sustainable development. The local government should carry out river improvement projects and local river dredging. The implementation of regional soil and water conservation measures should be further increased. Comprehensive management of forests, lakes, and grasses in landscape fields should be fully promoted by combining water control, sand control, and wetland restoration.
Although the research area of this paper is the Ningxia reach of the Yellow River, its research methods and conclusions could be applied to the study of the sediment scouring and silting law in some alluvial rivers. The methodology could be applied to other non-braiding (“single-channel”) streams. The regime formation by braiding, i.e., by splitting of the original channel into a multitude of channels, would not apply to this methodology.
6. Conclusions
(1) In the present study, based on the series data of the three main hydrological stations in the Ningxia section of the Yellow River from 1950 to 2012, the sediment scouring and silting amounts were calculated using a sediment transport continuity method. In addition, the double cumulative curves between the annual sediment silting amounts and the annual incoming sediment of the Qingtongxia–Shizuishan sections were successfully established. The Qingshi section of Ningxia displayed a trend of sediment silting. Additionally, with the onset of the operations of the Liujiaxia and Longyangxia Reservoirs, the reductions in the sediment amounts indicated certain stage characteristics.
(2) In the present study, based on the measured cross-section data from 1979, 1993, 1999, 2002, 2009, and 2011, the variations in the fluvial facies coefficients of the cross-sections along the line were analyzed using the fluvial facies relationships of the cross-sections. It was found that with the increases in the amounts of river silting, the fluvial facies coefficients showed an annually increasing trend, in which the cross-sections became wider and shallower, and the river channel gradually displayed wandering characteristics.
(3) The three typical cross-sections of Xiaheyan, Qingtongxia, and Shizuishan were selected, and the fluvial facies relationships under an equilibrium state for the Xiaheyan, Qingtongxia, and Shizuishan sections in the Ningxia Reach of the Yellow River were established using the Yalin fluvial facies method. The Fr values under the equilibrium state and in the actual state were compared and analyzed. The actual Fr values of the Xiaheyan section were observed to be close to the minimum Fr values of the section under the equilibrium river width condition. Therefore, it was concluded that the cross-section was in an equilibrium state. Additionally, it was found that the Fr values of the Qingtongxia and Shizuishan sections were bigger than the minimum Fr value of the section under the condition of equilibrium river width, which basically indicated a scouring state.
Author Contributions
Conceptualization, X.Y. and Z.Y.; methodology, F.T.; software, F.T.; validation, X.Y., Z.Y. and F.T.; formal analysis, L.C.; investigation, T.S.; resources, L.C.; data curation, F.T.; writing—original draft preparation, F.T.; writing—review and editing, L.C.; visualization, F.T.; supervision, X.Y.; project administration, X.Y.; funding acquisition, X.Y. All authors have read and agreed to the published version of the manuscript.
Funding
This research was funded by the National Key R&D Program of China, grant number 2018YFC1508403; the Innovation Team Fund of the Ministry of Science and Technology in Major Field, grant number 2014RA4031; the Science Fund for Creative Research Groups of the National Natural Science Foundation of China, grant number 51621092; and the Program of Introducing Talents of Discipline to Universities, grant number B14012.
Acknowledgments
The authors would also like to thank Xinjun Wang of the Ningxia Water Conservancy Department for providing data information and instructive research ideas.
Conflicts of Interest
The authors declare no conflict of interest.
References
- Cao, W.H. Relationship between variation of sediment carrying flows and readjustment of riverbed in the lower reaches of Yellow River. J. Hydraul. Eng. 2004, 35, 1–6. [Google Scholar]
- Chang, W.H.; Hou, S.Z.; Wang, P.; Hu, T. Flood influence on deposition-scouring in Inner Mongolia reach of Yellow River. Yellow River 2010, 32, 62–63. [Google Scholar]
- Yue, Z.C.; Ma, X.Y. Flow profile of the Ningxia reach in Yellow River with 2012 flood. J. Sediment. Res. 2016, 1, 36–39. [Google Scholar]
- Wang, X.J.; Yue, Z.C. The impact of flood on the river regime of the Yellow River in 2012. J. Agric. Sci. 2015, 36, 45–48. [Google Scholar]
- Li, Z.W.; Qin, Y.; Chen, X.X.; Wang, W.H.; Wu, Q.Q. Effects of the coarse sediment movement in the flood on Inner Mongolia Reach of Yellow River in 2012. Adv. Water Sci. 2016, 9, 687–695. [Google Scholar]
- Li, Z.W.; Wang, Z.Y.; Tian, S.M.; Zhang, C.D. Variation of streamflow and sediment discharge rate and relationship with temperature change in Yellow River source area. J. Sediment. Res. 2014, 6, 28–32. [Google Scholar]
- Dong, Z.D.; Hu, H.H.; Ji, Z.W.; Wang, D.W. Responses of cross-section shapes to the variations of income water and sediment in Ningxia-Inner Mongolia Reach of the Yellow River. J. Sediment. Res. 2015, 4, 20–25. [Google Scholar]
- Lin, Z.X.; Su, L.S.; Li, T. Critical condition of erosion or deposition during flood season in Inner Mongolia reach of the Yellow River. J. Sediment. Res. 2015, 4, 26–30. [Google Scholar]
- Zhang, H.J.; Lu, J.; Zhou, L.Y.; Qian, S. Analysis of Law of Scour and Fill in Ning-Mong Reach of the Yellow River During Floods. Yellow River 2011, 33, 27–29. [Google Scholar]
- Ran, D.; Yao, W.; Shen, Z.; Ni, Y.; Dong, F. Analysis on the contribution rate of driving factors for the annual water and sediment variations at the Toudaoguai hydrological station in the Yellow River. Adv. Water Sci. 2015, 26, 769–778. [Google Scholar]
- Wu, B.S.; Shen, G.Q. Discussion on the physical meaning of the coefficient of incoming sediment. Yellow River 2008, 30, 15–16. [Google Scholar]
- Shi, H.L.; Hu, C.H.; Wang, Y.G.; Hu, J. Analysis on Variation Trends of Runoff and Sediment of the Yellow River Basin and Reasons Discussion. Yellow River 2014, 36, 1–5. [Google Scholar]
- Zhang, J.L.; Liu, J.X.; Luo, Q.S.; Chen, C.X. Study on the Operation Mechanism of Runoff and Sediment in the Lower Yellow River Under Different Governance Modes. Yellow River 2018, 40, 1–4. [Google Scholar]
- Li, E.H.; Mu, X.M.; Zhao, G.J. Temporal changes in annual runoff and influential factors in the upper and middle reaches of Yellow River from 1919—2010. Adv. Water Sci. 2014, 3, 155–163. [Google Scholar]
- Chen, H.; Zhou, J.X.; Lu, Z.C.; Chen, J.R. Impact of environmental factors on runoff and sediment variations in middle reaches of the Yellow River. Geogr. Res. 2002, 3, 179–187. [Google Scholar]
- Yuan, X.M.; Tian, F.C.; Wang, X.J.; Liu, Y.; Chen, M.-T. Small-scale sediment scouring and siltation laws in the evolution trends of fluvial facies in the Ningxia Plain Reaches of the Yellow River (NPRYR). Quat. Int. 2018, 476, 14–25. [Google Scholar] [CrossRef]
- Omengo, F.O.; Geeraert, N.; Bouillon, S. Sediment deposition patterns in a tropical floodplain, Tana River, Kenya. Catena 2016, 143, 57–69. [Google Scholar] [CrossRef]
- Nitsche, F.O.; Ryan, W.B.F.; Carbotte, S.M.; Bell, R.E.; Slagle, A.; Bertinado, C.; Flood, R.; Kenna, T.; McHugh, C. Regional patterns and local variations of sediment distribution in the Hudson River Estuary. Estuar. Coast. Shelf Sci. 2007, 71, 259–277. [Google Scholar] [CrossRef]
- Ni, J.R.; Zhang, R. Methods and their relationships in studies of regime relations. Acta Geogr. Sin. 1992, 7, 368–375. [Google Scholar]
- Zhao, H.X.; Chen, J.J.; Chen, J.W.; Li, Y.B. On the water volume required for transporting sediment and the fluvial processes in the Lower Yellow River. J. Sediment. Res. 1997, 9, 57–61. [Google Scholar]
- Jiang, N.L. Analysis of riverbed evolution trend of Chengtong reach in terms of river facies relation. Port Waterw. Eng. 2013, 8, 131–138. [Google Scholar]
- Yang, Y.H.; Le, P.J.; Zhang, M.J. A prominent characteristic of hydraulic geometry relation in Yellow River and its preliminary study. J. Waterw. Harb. 2015, 4, 126–130. [Google Scholar]
- Liu, Q.; Gong, Z.; Zhou, Z.; Zhang, C. Hydro-geometric relation of tidally-influenced channels downstream of floodgates along muddy coasts. Adv. Water Sci. 2016, 27, 751–762. [Google Scholar]
- Lacey, G. Stable Channels in Alluvium. Minutes Proc. Inst. Civ. Eng. 1930, 229, 259–292. [Google Scholar]
- Yalin, M.S.; Da Silva, A.F. Fluvial Processes; Delft: Amsterdam, The Netherlands, 2001. [Google Scholar]
- Ming, Z.F. Morphology relations of fluvial rivers. J. Sediment. Res. 1983, 4, 75–84. [Google Scholar]
© 2020 by the authors. Licensee MDPI, Basel, Switzerland. This article is an open access article distributed under the terms and conditions of the Creative Commons Attribution (CC BY) license (http://creativecommons.org/licenses/by/4.0/).











