Drought-Induced Challenges and Different Responses by Smallholder and Semicommercial Livestock Farmers in Semiarid Limpopo, South Africa—An Indicator-Based Assessment
Abstract
:1. Introduction
2. Materials and Methods
2.1. Study Sites
2.2. Social Subsystem
2.3. Ecophysiological Subsystem
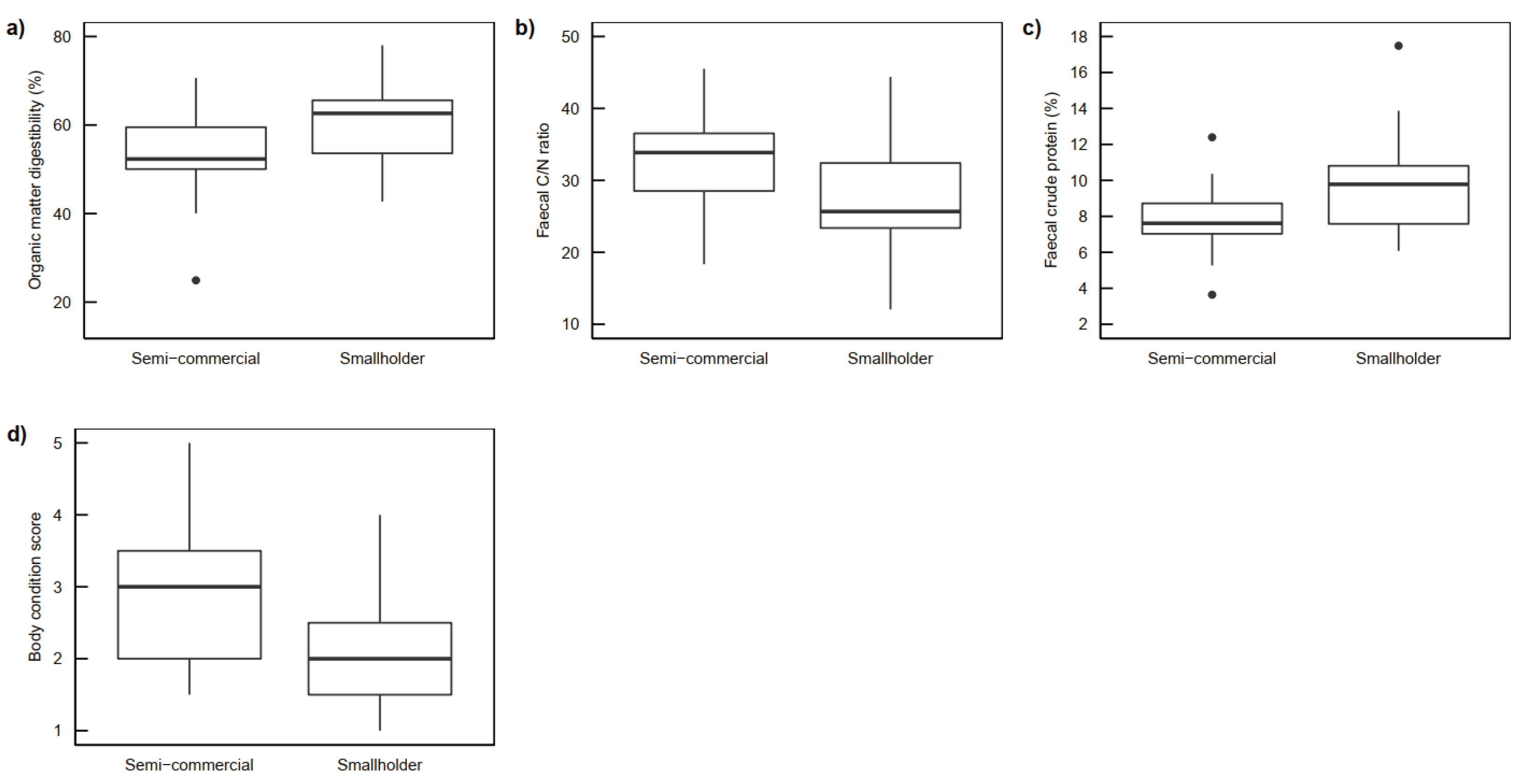
3. Results
3.1. Human Subsystem: Differential Challenges and Responses during Drought Feeding
‘The taps are almost always dry. For us to get the water in the morning, it can last maybe, if you’re lucky, three hours and […] many people don’t have boreholes, they’re just relying on this municipal water to make sure they feed water to the animals.’
‘There is a lot of people that are just ploughing the fields. The grazing fields are dwindling. Every year the grazing space is declining.’
3.2. Ecological Subsystem: Differential Severity of Feed Deficits
4. Discussion
5. Conclusions
Author Contributions
Funding
Institutional Review Board Statement
Informed Consent Statement
Data Availability Statement
Acknowledgments
Conflicts of Interest
References
- Niang, I.; Ruppel, O.C.; Abdrabo, M.A.; Essel, A.; Lennard, C.; Padgham, J.; Urquhart, P. Africa Climate Change 2014: Impacts, Adaptation, and Vulnerability. Part B: Regional Aspects. Contribution of Working Group II to the Fifth Assessment Report of the Intergovernmental Panel on Climate Change. In Climate Change 2014: Impacts, Adaptation and Vulnerability, Volume 2, Regional Aspects: Working Group II Contribution to the IPCC Fifth Assessment Report, IPCC ed.; Barros, V.R., Field, C.B., Dokken, D.J., Mastrandrea, M.D., Mach, K.J., Bilir, T.E., Chatterjee, M., Ebi, K.L., Estrada, Y.O., Genova, R.C., et al., Eds.; Cambridge University Press: Cambridge, UK, 2015; pp. 1199–1256. ISBN 9781107415386. [Google Scholar]
- Thornton, P.K.; Jones, P.G.; Owiyo, T.; Kruska, R.; Herrero, M.; Orindi, V.; Bhadwal, S.; Kristjanson, P.; Notenbaert, A.; Bekele, N.; et al. Climate change and poverty in Africa: Mapping hotspots of vulnerability. Afr. J. Agric. Resour. Econ. 2008, 30, 1–12. [Google Scholar] [CrossRef]
- Thornton, P.K.; van de Steeg, J.; Notenbaert, A.; Herrero, M. The impacts of climate change on livestock and livestock systems in developing countries: A review of what we know and what we need to know. Agric. Syst. 2009, 101, 113–127. [Google Scholar] [CrossRef]
- Godber, O.F.; Wall, R. Livestock and food security: Vulnerability to population growth and climate change. Glob. Chang. Biol. 2014, 20, 3092–3102. [Google Scholar] [CrossRef] [PubMed] [Green Version]
- Rojas-Downing, M.M.; Nejadhashemi, A.P.; Harrigan, T.; Woznicki, S.A. Climate change and livestock: Impacts, adaptation, and mitigation. Clim. Risk Manag. 2017, 16, 145–163. [Google Scholar] [CrossRef]
- Cattle Ownership and Production in the Communal Areas of the Eastern Cape, South Africa. Ainslie, A., Ed.; Programme for Land and Agrarian Studies, School of Government, University of the Western Cape: Cape Town, South Africa, 2002.
- Ainslie, A. The sociocultural contexts and meanings associated with livestock keeping in rural South Africa. Afr. J. Range Forage Sci. 2013, 30, 35–38. [Google Scholar] [CrossRef]
- Davenport, N.A.; Gambiza, J.; Shackleton, C.M. Use and users of municipal commonage around three small towns in the Eastern Cape, South Africa. J. Environ. Manag. 2011, 92, 1449–1460. [Google Scholar] [CrossRef]
- Vetter, S. Development and sustainable management of rangeland commons—Aligning policy with the realities of South Africa’s rural landscape. Afr. J. Range Forage Sci. 2013, 30, 1–9. [Google Scholar] [CrossRef]
- Twine, W. Multiple strategies for resilient livelihoods in communal areas of South Africa. Afr. J. Range Forage Sci. 2013, 30, 39–43. [Google Scholar] [CrossRef]
- Bell, L.W.; Moore, A.D.; Thomas, D.T. Integrating diverse forage sources reduces feed gaps on mixed crop-livestock farms. Animal 2018, 12, 1967–1980. [Google Scholar] [CrossRef] [Green Version]
- Descheemaeker, K.; Zijlstra, M.; Masikati, P.; Crespo, O.; Homann-Kee Tui, S. Effects of climate change and adaptation on the livestock component of mixed farming systems: A modelling study from semi-arid Zimbabwe. Agric. Syst. 2018, 159, 282–295. [Google Scholar] [CrossRef]
- Descheemaeker, K.; Llewellyn, R.; Moore, A.; Whitbread, A. Summer-growing perennial grasses are a potential new feed source in the low rainfall environment of southern Australia. Crop Pasture Sci. 2014, 65, 1033. [Google Scholar] [CrossRef]
- Moore, A.D.; Bell, L.W.; Revell, D.K. Feed gaps in mixed-farming systems: Insights from the Grain & Graze program. Anim. Prod. Sci. 2009, 49, 736–748. [Google Scholar] [CrossRef]
- Feldt, T.; Antsonantenainarivony, O.; Schlecht, E. Feed selection on dry rangelands in southwestern Madagascar: Implications for ruminant nutrition in view of ecological and social challenge. J. Arid Environ. 2017, 144, 81–90. [Google Scholar] [CrossRef]
- Jordaan, A.J.; Sakulski, D.; Jordaan, A.D. Interdisciplinary drought risk assessment for agriculture: The case of communal farmers in the Northern Cape Province, South Africa. S. Afr. J. Agric. Ext. 2013, 41, 44–58. [Google Scholar] [CrossRef]
- Bahta, Y.T.; Jordaan, A.; Muyambo, F. Communal farmers’ perception of drought in South Africa: Policy implication for drought risk reduction. Int. J. Disaster Risk Reduct. 2016, 20, 39–50. [Google Scholar] [CrossRef]
- Ncube, B. Smallholder Farmer Drought Coping and Adaptation Strategies in Limpopo and Western Cape Provinces; WRC Report 2716/1/20. 2020. Available online: http://wrc.org.za/?mdocs-file=60673 (accessed on 15 May 2022).
- LDARD. Vote No. 04 Annual Report: 2018/2019 Financial Year. Polokwane; 2019. Available online: https://provincialgovernment.co.za/department_annual/804/2019-limpopo-agriculture-and-rural-development-annual-report.pdf (accessed on 15 May 2022).
- DAF. Animal Health and Disease Investigation: Animal Body Condition Scoring. Available online: https://www.daf.qld.gov.au/__data/assets/pdf_file/0015/53520/Animal-HD-Investigation-Condition-scores.pdf (accessed on 15 May 2022).
- Thomas, S.; Campling, R.C. Relationship between digestibility and faecal nitrogen in sheep and cows offered herbage ad libitum. Grass Forage Sci. 1976, 31, 69–72. [Google Scholar] [CrossRef]
- Lukas, M.; Südekum, K.-H.; Rave, G.; Friedel, K.; Susenbeth, A. Relationship between fecal crude protein concentration and diet organic matter digestibility in cattle. J. Anim. Sci. 2005, 83, 1332–1344. [Google Scholar] [CrossRef]
- Peripolli, V.; Prates, Ê.R.; Barcellos, J.O.J.; Neto, J.B. Fecal nitrogen to estimate intake and digestibility in grazing ruminants. Anim. Feed Sci. Technol. 2011, 163, 170–176. [Google Scholar] [CrossRef] [Green Version]
- Peyraud, J.L. Techniques for measuring faecal flow, digestibility and intake of herbage in grazing ruminants. In Proceedings of the IXth European Intake Workshop, North Wyke, UK, 18–20 November 1998. [Google Scholar]
- Schlecht, E.; Susenbeth, A. Estimating the digestibility of Sahelian roughages from faecal crude protein concentration of cattle and small ruminants. J. Anim. Physiol. Anim. Nutr. 2006, 90, 369–379. [Google Scholar] [CrossRef]
- Bartiaux-Thill, N.; Oger, R. The indirect estimation of the digestibility in cattle of herbage from Belgian permanent pasture. Grass Forage Sci. 1986, 41, 269–272. [Google Scholar] [CrossRef]
- Schmidt, L.; Weissbach, F.; Hoppe, T.; Kuhla, S. Untersuchungen zur Verwendung der Kotstickstoff-Methode für die Schätzung des energetischen Futterwertes von Weidegras und zum Nachweis der selektiven Futteraufnahme auf der Weide. Landbauforsch. Völkenrode 1999, 49, 123–135. [Google Scholar]
- Boval, M.; Xandé, A.; Peyraud, J.L.; Aumont, G.; Copry, O.; Calife, B. Evaluation of faecal indicators to predict voluntary intake of Dichantium sp by cattle in Guadeloupe. Ann. Zootech. 1994, 43, 33s–34s. [Google Scholar] [CrossRef]
- Boval, M.; Coates, D.; Lecomte, P.; Decruyenaere, V.; Archimède, H. Faecal near infrared reflectance spectroscopy (NIRS) to assess chemical composition, in vivo digestibility and intake of tropical grass by Creole cattle. Anim. Feed Sci. Technol. 2004, 114, 19–29. [Google Scholar] [CrossRef]
- van Vliet, P.; Reijs, J.W.; Bloem, J.; Dijkstra, J.; de Goede, R. Effects of Cow Diet on the Microbial Community and Organic Matter and Nitrogen Content of Feces. J. Dairy Sci. 2007, 90, 5146–5158. [Google Scholar] [CrossRef] [Green Version]
- van Soest, P.J. Nutritional Ecology of the Ruminant; Cornell University Press: Ithaca, NY, USA, 1994; ISBN 9780801427725. [Google Scholar]
- Meyer, S.; Thiel, V.; Joergensen, R.G.; Sundrum, A. Relationships between feeding and microbial faeces indices in dairy cows at different milk yield levels. PLoS ONE 2019, 14, e0221266. [Google Scholar] [CrossRef] [Green Version]
- Sørensen, P.; Weisberg, M.R.; Lund, P. Dietary effects on the composition and plant utilization of nitrogen in dairy cattle manure. J. Agric. Sci. 2003, 141, 79–91. [Google Scholar] [CrossRef]
- Tieszen, L.L.; Senyimba, M.M.; Imbamba, S.K.; Troughton, J.H. The distribution of C3 and C4 grasses and carbon isotope discrimination along an altitudinal and moisture gradient in Kenya. Oecologia 1979, 37, 337–350. [Google Scholar] [CrossRef]
- Tieszen, L.L.; Hein, D.; Qvortrup, S.A.; Troughton, J.H.; Imbamba, S.K. Use of δ13C values to determine vegetation selectivity in East African herbivores. Oecologia 1979, 37, 351–359. [Google Scholar] [CrossRef]
- Vogel, J.C. Isotopic assessment of the dietary habits of ungulates. South Afr. J. Sci. 1978, 74, 298. [Google Scholar]
- Lamega, S.A.; Komainda, M.; Hoffmann, M.P.; Ayisi, K.K.; Odhiambo, J.J.O.; Isselstein, J. It depends on the rain: Smallholder farmers’ perceptions on the seasonality of feed gaps and how it affects livestock in semi-arid and arid regions in Southern Africa. Clim. Risk Manag. 2021, 34, 100362. [Google Scholar] [CrossRef]
- Hwang, Y.T.; Millar, J.S.; Longstaffe, F.J. Do δ 15 N and δ 13 C values of feces reflect the isotopic composition of diets in small mammals? Can. J. Zool. 2007, 85, 388–396. [Google Scholar] [CrossRef]
- Sponheimer, M.; Lee-Thorp, J.A.; DeRuiter, D.J.; Smith, J.M.; van der Merwe, N.J.; Reed, K.; Grant, C.C.; Ayliffe, L.K.; Robinson, T.F.; Heidelberger, C.; et al. Diets of Southern African Bovidae: Stable Isotope Evidence. J. Mammal. 2003, 84, 471–479. [Google Scholar] [CrossRef] [Green Version]
- Wittmer, M.; Auerswald, K.; Schönbach, P.; Schäufele, R.; Müller, K.; Yang, H.; Bai, Y.F.; Susenbeth, A.; Taube, F.; Schnyder, H. Do grazer hair and faeces reflect the carbon isotope composition of semi-arid C3/C4 grassland? Basic Appl. Ecol. 2010, 11, 83–92. [Google Scholar] [CrossRef] [Green Version]
- Steele, K.W.; Daniel, R.M. Fractionation of nitrogen isotopes by animals: A further complication to the use of variations in the natural abundance of 15 N for tracer studies. J. Agric. Sci. 1978, 90, 7–9. [Google Scholar] [CrossRef] [Green Version]
- Rötter, R.P.; Scheiter, S.; Hoffmann, M.P.; Pfeiffer, M.; Nelson, W.C.; Ayisi, K.; Taylor, P.; Feil, J.-H.; Bakhsh, S.Y.; Isselstein, J.; et al. Modeling the multi—functionality of African savanna landscapes under global change. Land Degrad. Dev. 2021, 32, 2077–2081. [Google Scholar] [CrossRef]
- Atkinson, D. Municipal commonage in South Africa: A critique of artificial dichotomies in policy debates on agriculture. Afr. J. Range Forage Sci. 2013, 30, 29–34. [Google Scholar] [CrossRef]
- Cousins, B. What is a ‘Smallholder’? Class-Analytic Perspectives on Small-Scale Farming and Agrarian Reform in South Africa; Working Paper; Routledge: London, UK, 2013. [Google Scholar]
- DAFF. A Framework for the Development of Smallholder Farmers through Cooperative Development; Department of Agriculture, Forestry and Fisheries: Pretoria, South Africa, 2012.
- Pienaar, L.; Traub, L.N. Understanding the smallholder farmer in South Africa: Towards a sustainable livelihoods classification. In Proceedings of the International Conference of Agricultural Economists, Milan, Italy, 9–14 August 2015. [Google Scholar]
- Blaikie, P.; Cannon, T.; Davis, I.; Wisner, B. At Risk: Natural Hazards, People’s Vulnerability and Disasters, 2nd ed.; Taylor and Francis: Hoboken, NJ, USA, 2004; ISBN 0-415-25215-6. [Google Scholar]
- Shively, G. Sampling: Who, How and How Many? In Measuring Livelihoods and Environmental Dependence: Methods for Research and Fieldwork; Angelsen, A., Ed.; Earthscan: London, UK, 2011; pp. 51–70. ISBN 9781849711333. [Google Scholar]
- Fischer, G.; van Velthuizen, H.T.; Shah, M.; Nachtergaele, F.O. Global Agro-Ecological Assessment for Agriculture in the 21st Century: Methodology and Results; IIASA/FAO Research, Report; IIASA: Laxenburg, Austria; FAO: Rome, Italy, 2002; Available online: http://pure.iiasa.ac.at/id/eprint/6667/ (accessed on 15 May 2022).
- HarvestChoice. AEZ Tropical (5-Class)|HarvestChoice. Available online: http://harvestchoice.org/node/4996 (accessed on 15 May 2022).
- HarvestChoice; IFPRI. Agro-Ecological Zones for Africa South of the Sahara. Harvard Dataverse. 2015. Available online: https://doi.org/10.7910/DVN/M7XIUB (accessed on 13 July 2022).
- DAFF. Livestock Census for 2015/2016; Department of Agriculture, Forestry and Fisheries: Polokwane, South Africa, 2017. [Google Scholar]
- Ankers, P.; Bishop, S.; Mack, S.; Dietze, K. Livestock-Related Interventions during Emergencies: The How-to-do-it Manual; Food and Agriculture Organization of the United Nations: Rome, Italy, 2016; ISBN 978-92-5-109325-2. [Google Scholar]
- FAO/WHO (Ed.) Energy and Protein Requirements: Report of a Joint FAO/WHO Ad Hoc Expert Committee; FAO Nutrition Meetings Report Series; FAO: Rome, Italy, 1973. [Google Scholar]
- Greenfield, H.; Southgate, D. Food Composition Data: Production, Management and Use, 2nd ed.; FAO: Rome, Italy, 2003; ISBN 9251049491. [Google Scholar]
- R Core Team. R: A Language and Environment for Statistical Computing; R Foundation for Statistical Computing: Vienna, Austria, 2021. [Google Scholar]
- Birkenholtz, T. Network political ecology. Prog. Hum. Geogr. 2012, 36, 295–315. [Google Scholar] [CrossRef]
- Linstädter, A.; Kuhn, A.; Naumann, C.; Rasch, S.; Sandhage-Hofmann, A.; Amelung, W.; Jordaan, J.; Du Preez, C.C.; Bollig, M. Assessing the resilience of a real-world social-ecological system: Lessons from a multidisciplinary evaluation of a South African pastoral system. Ecol. Soc. 2016, 21, 35. [Google Scholar] [CrossRef] [Green Version]
- Marandure, T.; Bennett, J.; Dzama, K.; Makombe, G.; Gwiriri, L.; Mapiye, C. Advancing a holistic systems approach for sustainable cattle development programmes in South Africa: Insights from sustainability assessments. Agroecol. Sustain. Food Syst. 2020, 44, 827–858. [Google Scholar] [CrossRef]
- Bennett, J.; Ainslie, A.; Davis, J. Contested institutions? Traditional leaders and land access and control in communal areas of Eastern Cape Province, South Africa. Land Use Policy 2013, 32, 27–38. [Google Scholar] [CrossRef]
- Lahiff, E.; Cousins, B. Smallholder Agriculture and Land Reform in South Africa. IDS Bull. 2005, 36, 127–131. [Google Scholar] [CrossRef] [Green Version]
- Martin, R.; Linstädter, A.; Frank, K.; Müller, B. Livelihood security in face of drought—Assessing the vulnerability of pastoral households. Environ. Model. Softw. 2016, 75, 414–423. [Google Scholar] [CrossRef]
- Vetter, S.; Goodall, V.L.; Alcock, R. Effect of drought on communal livestock farmers in KwaZulu-Natal, South Africa. Afr. J. Range Forage Sci. 2020, 37, 93–106. [Google Scholar] [CrossRef]
- Doreau, M.; Diawara, A. Effect of level of intake on digestion in cows: Influence of animal genotype and nature of hay. Livest. Prod. Sci. 2003, 81, 35–45. [Google Scholar] [CrossRef]
- Wassie, S.E.; Ali, A.I.M.; Korir, D.; Butterbach-Bahl, K.; Goopy, J.; Merbold, L.; Schlecht, E.; Dickhoefer, U. Effects of feed intake level on efficiency of microbial protein synthesis and nitrogen balance in Boran steers consuming tropical poor-quality forage. Arch. Anim. Nutr. 2019, 73, 140–157. [Google Scholar] [CrossRef]
- Ali, A.I.M.; Wassie, S.E.; Joergensen, R.G.; Korir, D.; Goopy, J.P.; Butterbach-Bahl, K.; Merbold, L.; Dickhoefer, U.; Schlecht, E. Feed Quality and Feeding Level Effects on Faecal Composition in East African Cattle Farming Systems. Animals 2021, 11, 564. [Google Scholar] [CrossRef]
- Doreau, M.; Michalet-Doreau, B.; Béchet, G. Effect of underfeeding on digestion in cows. Interaction with rumen degradable N supply. Livest. Prod. Sci. 2004, 88, 33–41. [Google Scholar] [CrossRef]
- Ali, A.I.M.; Wassie, S.E.; Korir, D.; Goopy, J.P.; Merbold, L.; Butterbach-Bahl, K.; Dickhoefer, U.; Schlecht, E. Digesta passage and nutrient digestibility in Boran steers at low feed intake levels. J. Anim. Physiol. Anim. Nutr. 2019, 103, 1325–1337. [Google Scholar] [CrossRef]
- Lapierre, H.; Lobley, G.E. Nitrogen Recycling in the Ruminant: A Review. J. Dairy Sci. 2001, 84, E223–E236. [Google Scholar] [CrossRef]
- Boval, M.; Archimède, H.; Fleury, J.; Xandé, A. The ability of faecal nitrogen to predict digestibility for goats and sheep fed with tropical herbage. J. Agric. Sci. 2003, 140, 443. [Google Scholar] [CrossRef]
- Stoorvogel, J.J.; Smaling, E.M.A.; Janssen, B.H. Calculating soil nutrient balances in Africa at different scales. Fertil. Res. 1993, 35, 227–235. [Google Scholar] [CrossRef] [Green Version]
- Pino, F.; Mitchell, L.K.; Jones, C.M.; Heinrichs, A.J. Comparison of diet digestibility, rumen fermentation, rumen rate of passage, and feed efficiency in dairy heifers fed ad-libitum versus precision diets with low and high quality forages. J. Appl. Anim. Res. 2018, 46, 1296–1306. [Google Scholar] [CrossRef]
- Chaokaur, A.; Nishida, T.; Phaowphaisal, I.; Sommart, K. Effects of feeding level on methane emissions and energy utilization of Brahman cattle in the tropics. Agric. Ecosyst. Environ. 2015, 199, 225–230. [Google Scholar] [CrossRef]
- Gabel, M.; Pieper, B.; Friedel, K.; Radke, M.; Hagemann, A.; Voigt, J.; Kuhla, S. Influence of Nutrition Level on Digestibility in High Yielding Cows and Effects on Energy Evaluation Systems. J. Dairy Sci. 2003, 86, 3992–3998. [Google Scholar] [CrossRef] [Green Version]
- Cerling, T.E.; Harris, J.M. Carbon isotope fractionation between diet and bioapatite in ungulate mammals and implications for ecological and paleoecological studies. Oecologia 1999, 120, 347–363. [Google Scholar] [CrossRef] [PubMed]
- Cerling, T.E.; Harris, J.M.; Passey, B.H. Diets of East African bovidae based on stable isotope analyses. J. Mammal. 2003, 84, 456–470. [Google Scholar] [CrossRef] [Green Version]
- Sponheimer, M.; Robinson, T.; Ayliffe, L.; Passey, B.; Roeder, B.; Shipley, L.; Lopez, E.; Cerling, T.; Dearing, D.; Ehleringer, J. An experimental study of carbon-isotope fractionation between diet, hair, and feces of mammalian herbivores. Can. J. Zool. 2003, 81, 871–876. [Google Scholar] [CrossRef]
- Sare, D.T.J.; Millar, J.S.; Longstaffe, F.J. Tracing dietary protein in red-backed voles (Clethrionomys gapperi) using stable isotopes of nitrogen and carbon. Can. J. Zool. 2005, 83, 717–725. [Google Scholar] [CrossRef]
- Makkar, H. Effects and fate of tannins in ruminant animals, adaptation to tannins, and strategies to overcome detrimental effects of feeding tannin-rich feeds. Small Rumin. Res. 2003, 49, 241–256. [Google Scholar] [CrossRef]
- Lamega, S.; Komainda, M.; Hoffmann, M.; Odhiambo, J.; Ayisi, K.; Isselstein, J. Closing Feed Gaps by Winter Forage Production in Limpopo: What Is the Potential? In Sustainable Use of Grassland and Rangeland Resources for Improved Livelihoods, Proceedings of the XXIV International Grassland Congress/XI International Rangeland Congress, Lexington, KY, USA, 25–29 October; National Organizing Committee of 2021 IGC/IRC Congress, Ed.; Kenya Agricultural and Livestock Research Organization: Nairobi, Kenya, 2021; pp. 803–806. [Google Scholar]
- Hawu, O.; Ravhuhali, K.E.; Mokoboki, H.K.; Lebopa, C.K.; Sipango, N. Sustainable Use of Legume Residues: Effect on Nutritive Value and Ensiling Characteristics of Maize Straw Silage. Sustainability 2022, 14, 6743. [Google Scholar] [CrossRef]
- Brown, D.; Ngambi, J.W.; Norris, D. Level of Inclusion of Acacia karroo Leaf Meal in Setaria verticillata-Based Diets on Feed Intake, Digestibility and Live Weight Gain of Indigenous Pedi Goats. In Proceedings of the 10th International Rangeland Congress, Saskatoon, SK, Canada, 22 July 2016; on behalf of the 2016 International Rangeland Congress Organizing Committee. Iwaasa, A., Lardner, H.A., Schellenberg, M., Willms, W., Larson, K., Eds.; pp. 351–353. Available online: http://2016canada.rangelandcongress.org (accessed on 13 July 2022).
- Ravhuhali, K.E.; Mudau, H.S.; Moyo, B.; Hawu, O.; Msiza, N.H. Prosopis Species—An Invasive Species and a Potential Source of Browse for Livestock in Semi-Arid Areas of South Africa. Sustainability 2021, 13, 7369. [Google Scholar] [CrossRef]
- Mudau, H.S.; Mokoboki, H.K.; Ravhuhali, K.E.; Mkhize, Z. Nutrients Profile of 52 Browse Species Found in Semi-Arid Areas of South Africa for Livestock Production: Effect of Harvesting Site. Plants 2021, 10, 2127. [Google Scholar] [CrossRef] [PubMed]
- Mapiye, C.; Chikwanha, O.C.; Chimonyo, M.; Dzama, K. Strategies for Sustainable Use of Indigenous Cattle Genetic Resources in Southern Africa. Diversity 2019, 11, 214. [Google Scholar] [CrossRef] [Green Version]
- Osumba, J.J.L.; Recha, J.W.; Oroma, G.W. Transforming Agricultural Extension Service Delivery through Innovative Bottom–Up Climate-Resilient Agribusiness Farmer Field Schools. Sustainability 2021, 13, 3938. [Google Scholar] [CrossRef]
- Norström, A.V.; Cvitanovic, C.; Löf, M.F.; West, S.; Wyborn, C.; Balvanera, P.; Bednarek, A.T.; Bennett, E.M.; Biggs, R.; de Bremond, A.; et al. Principles for knowledge co-production in sustainability research. Nat. Sustain. 2020, 3, 182–190. [Google Scholar] [CrossRef]
- Müller, B.; Schulze, J.; Kreuer, D.; Linstädter, A.; Frank, K. How to avoid unsustainable side effects of managing climate risk in drylands—The supplementary feeding controversy. Agric. Syst. 2015, 139, 153–165. [Google Scholar] [CrossRef]
- Cousins, B. Invisible capital: The contribution of communal rangelands to rural livelihoods in South Africa. Dev. South. Afr. 1999, 16, 299–318. [Google Scholar] [CrossRef]
- Reynolds, J.F.; Smith, D.M.S.; Lambin, E.F.; Turner, B.L.; Mortimore, M.; Batterbury, S.P.J.; Downing, T.E.; Dowlatabadi, H.; Fernández, R.J.; Herrick, J.E.; et al. Global desertification: Building a science for dryland development. Science 2007, 316, 847–851. [Google Scholar] [CrossRef] [Green Version]
- Thornton, P.K.; Herrero, M. Adapting to climate change in the mixed crop and livestock farming systems in sub-Saharan Africa. Nat. Clim. Chang. 2015, 5, 830–836. [Google Scholar] [CrossRef]
- Boelens, R.; Hoogesteger, J.; Swyngedouw, E.; Vos, J.; Wester, P. Hydrosocial territories: A political ecology perspective. Water Int. 2016, 41, 1–14. [Google Scholar] [CrossRef] [Green Version]
- Hristov, A.N.; Bannink, A.; Crompton, L.A.; Huhtanen, P.; Kreuzer, M.; McGee, M.; Nozière, P.; Reynolds, C.K.; Bayat, A.R.; Yáñez-Ruiz, D.R.; et al. Invited review: Nitrogen in ruminant nutrition: A review of measurement techniques. J. Dairy Sci. 2019, 102, 5811–5852. [Google Scholar] [CrossRef] [PubMed] [Green Version]





| Farm Class | Grazing Resource | Number of Farms | Stocking Density |
|---|---|---|---|
| Semicommercial | Fenced ranch <500 ha <1000 ha ≥1000 ha | Total: 11 5 3 3 | Min.: 0.06 LSU/ha Max.: 1.85 LSU/ha |
| Smallholder | Communal rangelands | Total: 19 |
Publisher’s Note: MDPI stays neutral with regard to jurisdictional claims in published maps and institutional affiliations. |
© 2022 by the authors. Licensee MDPI, Basel, Switzerland. This article is an open access article distributed under the terms and conditions of the Creative Commons Attribution (CC BY) license (https://creativecommons.org/licenses/by/4.0/).
Share and Cite
Klinck, L.; Ayisi, K.K.; Isselstein, J. Drought-Induced Challenges and Different Responses by Smallholder and Semicommercial Livestock Farmers in Semiarid Limpopo, South Africa—An Indicator-Based Assessment. Sustainability 2022, 14, 8796. https://doi.org/10.3390/su14148796
Klinck L, Ayisi KK, Isselstein J. Drought-Induced Challenges and Different Responses by Smallholder and Semicommercial Livestock Farmers in Semiarid Limpopo, South Africa—An Indicator-Based Assessment. Sustainability. 2022; 14(14):8796. https://doi.org/10.3390/su14148796
Chicago/Turabian StyleKlinck, Leonhard, Kingsley K. Ayisi, and Johannes Isselstein. 2022. "Drought-Induced Challenges and Different Responses by Smallholder and Semicommercial Livestock Farmers in Semiarid Limpopo, South Africa—An Indicator-Based Assessment" Sustainability 14, no. 14: 8796. https://doi.org/10.3390/su14148796
APA StyleKlinck, L., Ayisi, K. K., & Isselstein, J. (2022). Drought-Induced Challenges and Different Responses by Smallholder and Semicommercial Livestock Farmers in Semiarid Limpopo, South Africa—An Indicator-Based Assessment. Sustainability, 14(14), 8796. https://doi.org/10.3390/su14148796

