Abstract
Hydrothermal carbonization is a promising strategy for the resource utilization of agricultural wastes. However, the effect of hydrochar on ameliorating saline–sodic soil remains unclear. In the present study, a novel hydrochar amendment was prepared from spent mushroom substrate (SMSHC), followed by an incubation study of saline–sodic soil samples with different pH values (A, pH 9.83; B, pH 8.98; C, pH 8.21). The results demonstrated that SMSHC reduced the adverse effects of saline–sodic soil effectively, and the best effect was obtained when 6% SMSHC was added. Soil pH and ESP decreased by 0.34–0.75 units and 1.0–13.0% at 6% SMSHC loading, respectively. The maximum percentage increase in the soil’s available N, available P, and DOC was 72.3, 221, and 408%, respectively. In the subsequent rice pot seedling experiment, decreased malondialdehyde (MDA) content and increased K+/Na+ ratio, proline, soluble sugar, total N, and total P in plant samples were observed. This study verifies hydrothermal carbonization as an alternative method, except for the widely used pyrolysis, to recycle biomass wastes into valuable products for soil remediation.
1. Introduction
The rapid development of the global edible mushroom industry has resulted in annual production of more than 60 million tons of spent mushroom substrates (SMS), necessitating the efficient utilization of this kind of biomass waste []. For direct utilization of SMS, composting is the most effective and economically feasible strategy, which provides composted products that are beneficial for soil quality and agronomic efficiency []. Another potential strategy for the valorization of SMS is to reuse it as new substrates in a new growth cycle of mushroom, though the raw materials and cultivation methods have to be carefully screened in this situation []. In addition, the well-developed microporous structure of SMS enables the potential to use it without chemical conversion for bioremediation of heavy metals [].
Thermal treatment is a generic solution for the indirect utilization of agricultural biomass including SMS. A previous study revealed that the exhaust gas emission related to thermal degradation could be controlled by changing the composition of biomass feedstock, thus verifying combustion as an alternative method for the sustainable use of biomass wastes []. In recent years, carbonization has received much attention, especially for pyrolysis. Biochar derived from SMS (SMSBC) has been prepared for the removal of Pd (II) [] and cationic dye []. As a raw material for carbonization, SMS is different from other biomasses since it is an excellent source of amino acids and other small-molecule organic compounds []. Consequently, SMSBC has also been successfully used as fertilizer [] or reused as a growth medium for mushroom cultivation []. However, despite the advanced utilization as adsorbent and fertilizer, limited studies have explored the potential of carbonized SMS in soil amelioration.
Hydrothermal carbonization is another well-documented method to generate carbon-rich material except for pyrolysis. Hydrochar, the product of hydrothermal carbonization, has been considered as a simple, cheap, and effective reagent for soil amendment. Poultry litter hydrochar has been prepared as an amendment for sandy soils [], while the positive effect of orange peel hydrochar on clay soil has been fully investigated []. A recent study indicated that hydrochar addition was an effective strategy to ensure grain yield in low-fertility soils with relatively controlled greenhouse gas (GHG) emissions []. Despite the successful utilization above, hydrochar could probably act as a promising amendment for saline–sodic soil. This is due to the lower pH and less cation concentration [], complex small-molecule acids [], and abundant surface oxygen-containing groups of hydrochar []. In a very recent study, hydrochar derived from cow manure has been used to promote peanut growth in a costal salt-effected soil []. Moreover, hydrochar was likely to act as an organic accessory amendment in rehabilitating highly saline–sodic soil []. Even then, a large knowledge gap persists in the hydrochar amendment in improving soil properties of saline–sodic soil and mitigating basicity/salinity-induced stress in plants grown in such soil.
In this study, we investigated the effect of hydrochar derived from spent mushroom substrate (SMSHC) on the chemical properties and nutrient status of soil with different levels of salinization. We also analyzed the growth performance of rice seedlings in SMSHC-amended soils. This study aimed to a) verify hydrothermal carbonization as an alternative way to recycle biomass wastes into products for soil remediation and b) clarify the effectiveness of hydrochar amendment in mitigating salt stress and promoting rice growth in the saline–sodic soil. This study may provide a valuable reference for the preparation of novel soil amendments from agricultural wastes and extend the utilization of hydrochar to new horizons apart from chemisorption and catalysis.
2. Materials and Methods
2.1. Soil Sample Collection
Soil samples were collected from Changling County, Northeast China (123°55′ E, 43°47′ N). This area is located at the heartland of Songnen Plain and has a temperate continental climate. The average annual temperature is 4.9 °C, and the average annual precipitation is 470 mm. Soil samples were randomly collected from the topsoil layer (0–20 cm) through the S-shaped sampling method. The soil type was aridisol (meadow alkali soil). Air-dried soil samples were powdered, sieved using a 2 mm sieve, and stored at room temperature for the incubation experiment. To gain a mechanistic understanding of the hydrochar effect, soil samples were classified as heavy saline–sodic (group A), moderate saline–sodic (group B), and light saline–sodic (C) based on their pH values (pH 9.83, group A; pH 8.98, group B; pH 8.21, group C).
2.2. Carbonization
Spent mushroom substrate (SMS) was purchased from the Engineering Research Center of Edible and Medicinal Fungi at JLAU after Coprinus comatus harvesting. Air-dried SMS was mechanically crushed and passed through a 100-mesh sieve. The resulting powder and deionized water (1:10 w/v) were sealed using a 1000 mL Teflon-lined autoclave. The mixture was heated at 180 °C for 4 h. Later, the residue was filtered under vacuum, washed with deionized water, and dried at 80 °C to give hydrochar (SMSHC) products at 48–53% yield. In addition, biochar (SMSBC) derived from SMS was also prepared by employing a standard pyrolysis process (500 °C for 60 min) as described previously for the comparison of physicochemical properties [].
2.3. Incubation Study
The incubation experiment (60 days) with the objective of evaluating the effect of different dosages of SMSHC on soil properties of different saline–sodic soils were carried out in PVC pots (8 cm in diameter, 8 cm in depth). These pots were placed in a climatic chamber with a randomized block design. For each soil group, the experiment was composed of four treatments, which are (1) un-amended soil (0.3 kg), (2) soil (0.3 kg) amended with 2% SMSHC (w/w), (3) soil (0.3 kg) amended with 4% SMSHC (w/w), and (4) soil (0.3 kg) amended with 6% SMSHC (w/w), replicated three times each. The samples were labelled as “soil group + SMSHC dosage” (e.g., B2 represented soil B amended with 2% SMSHC). Deionized water was added to each pot around 2–4 times daily to maintain 40% soil moisture. After incubation, ameliorated soil samples were collected, air-dried, and softly crushed for the analysis of soil physicochemical properties and soil nutrients.
2.4. In Situ Rice Pot Seedling
Rice pot seedling experiments were carried out in SMSHC-amended soil samples A0, A2, A4, and A6. Rice seeds were purchased from JLAU Seed Co. Ltd. (Changchun, China), and the rice variety used in this study was Jinongda No.604. The rice seeds were sterilized using aqueous NaClO (5%) for 10 min and thoroughly rinsed with deionized water. These seeds were soaked in the dark for two days, and the seeds were allowed to germinate on moist bilayer filter paper in Petri dishes at 30 °C in the climatic chamber for another five days. Sprouted seeds were then transplanted to SMSHC-amended soil with the density of six plants/pot. Plant sample numbers coincided with corresponding soils (A0, A2, A4, and A6). Rice pot seedlings lasted for 28 days before the seedlings were harvested for physiological analysis. Rhizospheric soil of rice seedlings was collected and analyzed according to the same methods as soils.
2.5. Measurements
The elemental analysis was conducted under CHNS/O mode using an elemental analyzer (Elementar Vario EL III, Frankfurt, Germany). Surface morphologies were ascertained using scanning electron microscopy (SEM) instrument (TESCAN MIRA LMS, Brno, Czech) coupled with an energy dispersive spectroscopy (EDS) instrument (Xplore 30, Brno, Czech). FTIR spectra were recorded in a KBr pellet at ambient temperature on an FTIR spectrometer (PerkinElmer Spectrum 400, Waltham, USA). The specific surface area was calculated following the multipoint N2-Brunauer–Emmett–Teller (BET) method according to N2 adsorption analysis on the surface area analyzer (Micromeritics ASAP 2460 3.01, Norcross, USA). SMSHC was digested using conc. H2SO4 at 330 °C for 30 min to measure the concentration of Na, K, Ca, and Mg using ICP-OES (PerkinElmer 8300, Waltham, USA) [].
The pH and EC of the soil were measured in 1:5 soil/water solution (w/v) using pH meter (INESA PHS-3E) and EC meter (INESA DDS-307A, Shanghai, China), respectively. Soil cation exchange capacity (CEC) was evaluated by NH4OAc-flame photometry method []. Ion exchange using NH4Cl-ethanol was conducted before the measurement of exchangeable Na+/K+ contents using a flame photometer (INESA FP6400A, Shanghai, China) and exchangeable Ca2+/Mg2+ contents using atomic absorption spectrophotometer (INESA 4530F, Shanghai, China). The exchangeable sodium percentage (ESP) was calculated as the percentage of exchangeable Na+ in CEC. Available N was determined using the alkali diffusion method [], and available P (Olsen-P) was determined by Mo-Sb colorimetric method []. Soil-dissolved organic carbon was measured as described by Singh et al. []:
Biomass above the ground were calculated as the sum of six plants in each pot. Na+ and K+ concentrations in plant parts above the ground were quantified using a flame photometer (INESA FP6400A, Shanghai, China) after digesting the fresh plant samples with conc. HNO3 at 190 °C. Grounded root-cut rice seedlings were prepared for the sulfosalicylic acid-ninhydrin-spectrophotometry (520 nm) analysis to measure the proline content []. To determine the MDA and SOD content, corresponding detection kits (purchased from Nanjing Jiancheng Bio. Inst., Nanjing, China) were used as the manufacturer’s instruction. The root-cut rice seedlings were dried at 80 ˚C to a constant weight and the soluble sugar content was determined using the phenol-salicylic acid method []. Total N and total P in plant were measured as described by Zhao et al. [].
2.6. Statistical analysis
All experiments were carried out with three replicates, and data were expressed as “mean ± standard deviation (SD)”. All the data were performed using IBM SPSS Statistics version 23.0. The significance of differences between means was examined with the one-way analysis of variance (ANOVA) using Duncan’s multiple range test. Significant difference was assumed at p < 0.05.
3. Results
3.1. SMSHC Analysis
Physicochemical properties of SMSHC, SMSBC, and SMS are listed in Table 1. Despite the same kind of biomass feedstock, SMSHC had much lower pH and EC (pH 4.08 and EC 0.98 mS/cm) than that of SMSBC (pH 10.05 and EC 3.54 mS/cm). SMSHC was prepared in a higher yield (51% vs. 34%) with less ash content (9.9% vs. 21.3%) relative to SMSBC. Moreover, SMSHC had much more oxygen-containing groups than SMSBC, indicated by the distinct O/C ratio (0.61 vs. 0.05) in these two carbonized products.

Table 1.
Characteristics of the spent mushroom substrate (SMS) and its derived hydrochar (SMSHC) and biochar (SMSBC).
ABET: BET surface area. The scanning electron microscopy (SEM) assay revealed that SMSHC was more porous than SMS but less porous than SMSBC (Supplementary Figure S1). Energy dispersive spectroscopy (EDS) analysis demonstrated that the contents of Na, K, Mg, Ca, and P in SMSHC were much lower than those in SMSBC (Table 1, Supplementary Figure S2). Additionally, FTIR spectrometry analysis revealed the abundance of an -OH group on the surface of SMSHC (3441 cm−1) [], as this peak was much stronger in SMSHC than in SMSBC (Supplementary Figure S3). The characteristic peak associated with the C-H stretching vibration of methylene at 2928 cm−1 [] in SMSHC was also stronger than in SMSBC, which indicated SMSHC retained more aliphatic structures originating from cellulose in biomass feedstock (Supplementary Figure S3). These results indicated that SMSHC had more potential for the remediation of saline–sodic soil than SMS or SMSBC.
3.2. Soil Chemical Properties Ameliorated by SMSHC Addition
Preventing plant growth from salinity stress is the key functionality of an amendment for saline–sodic soil. Thus, the chemical properties of the soils were determined (Table 2). After 60 days of incubation, the final pH values of all the amended soils were negatively correlated with SMSHC dosage. The maximum reduction of pH value was 0.34, 0.63, and 0.74 units in groups A, B, and C, respectively. Exchangeable sodium percentage (ESP) of SMSHC-amended soils in groups B and C exhibited a marked alleviation of 1.2–6.5% and 3.9–13.0%, respectively. SMSHC addition contributed to a maximum reduction of soil electrical conductivity (EC) of 60 µS/cm and 9 µS/cm in groups A and B, respectively, while a gradual increase in the range of 13 µS/cm to 63 µS/cm in EC was observed in group C.

Table 2.
Soil pH, EC, and ESP measured on day 60 of the SMSHC amendment.
To investigate the possible interaction mechanism of SMSHC and soil, variations in pH and EC of A6, B6, and C6 were determined on 60 days of incubation (Figure 1). The outcomes of this analysis implied that the pH value in A6 touched the bottom (8.06) when SMSHC was added initially, and it could hardly reach equilibrium in 60 days. On the contrary, B6 and C6 acquired a stable pH value in approximately 20 and 50 days, respectively. EC in A6 decreased consistently in 60 days after SMSHC addition, and EC in B6 also decreased in the first 40 days and reached equilibrium. EC in C6 increased gradually by 24 μS/cm after falling to a minimum of 305 μS/cm at day 40.

Figure 1.
Variation of soil pH and EC in A6/B6/C6 during 60 days of incubation. Variation of soil pH (A) and EC (B) during 60 days of incubation. A6, soil A amended with 6% SMSHC; B6, soil B amended with 6% SMSHC; C6, soil C amended with 6% SMSHC.
Data represent mean value ± standard deviation (SD) of three replicates. The content of several cations and anions in A6, B6, and C6 after 60 days of the amendment was quantified (Table 3). In A6, the content of exchangeable K+, Ca2+, and Mg2+ increased by only 0.01, 0.11, and 0.06 coml/kg, respectively. Meanwhile, remarkable erosion (49.7%) of the content was observed in A6 along with an insignificant decrease in exchangeable Na+ (9.3%) and (4.5%) content. In B6, the exchangeable Ca2+ and Mg2+ increased by 41.4% and 22.6%, which were much more significant than those in A6. Meanwhile, the content of exchangeable Na+ in B6 remained stable during the incubation. Synchronous exhaustion of and along with slight increase in exchangeable Na+ (4.5%) was observed in C6. Furthermore, the content of exchangeable Ca2+ and Mg2+ in C6 significantly increased by 124% and 117%, resulting in the substantial growth of CEC (78%) in C6.

Table 3.
Detailed ionic composition in SMSHC-amended A6 and C6 on day 0 and day 60.
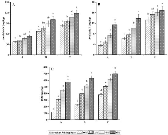
3.3. Soil Fertility Improved by SMSHC Addition
SMSHC may have the advantage over the inorganic chemicals, as it simultaneously fertilizes the soil and improves its physicochemical properties. To verify this hypothesis, the nutrient content of SMSHC was evaluated (Table 4), followed by an estimation of the nutrient level of SMSHC-amended soils after 60 days of incubation (Figure 2). SMSHC contained a high content of available N and dissolved organic carbon (DOC), whereas its available P content was similar to that of the unamended soils. SMSHC markedly enhanced the available N content in all treatments. The available N content increased by 11.8–41.3%, 13.8–49.9%, and 14.2–41.2% in groups A, B, and C, respectively. Meanwhile, available P (Olsen-P) content in groups A and B increased with increasing SMSHC dosage. The available P content increased by 221% and 124% in A6 and B6, respectively. However, 6% SMSHC dosage enhanced available P content in group C by only 27.4%. Additionally, DOC in all treatments improved markedly with increasing dosage of SMSHC. The DOC increased by 408, 179, and 83.8% in A6, B6, and C6, respectively.

Table 4.
Nutrients in SMSHC and unamended soils.

Figure 2.
Improvement in the soil nutrient content of post-amendment soil samples. Data represent mean value ± standard deviation (SD) of three replicates. Different lowercase letters indicate significant differences between different SMSHC treatments in the same soil (p < 0.05, Duncan’s test). (A) Available N content; (B) available P content; (C) dissolved organic carbon content.
3.4. Physiological Properties of Rice Seedlings Grown in SMSHC-Amended Soil
A rice pot seedings experiment (28 days) in SMSHC-ameliorated heavy saline–sodic soil (group A) was performed to further evaluate the efficiency of SMSHC in improving saline–sodic soil (Figure 3). It is worth mentioning that SOD, Pro, and SS values in A0 were aberrant, since rice seedlings in A0 nearly withered. SMSHC amendment in different concentrations had a positive impact on plant growth. Thus, the biomass of plants (six plants) above the ground in A2, A4, and A6 increased by 41.7, 159.2, and 270.2%, respectively (Supplementary Figure S4).

Figure 3.
Improvement of plant growth in SMSHC-amended soil. Data represent mean value ± standard deviation (SD) of three replicates. Different lowercase letters indicate significant differences between different SMSHC treatments in the same soil (p < 0.05, Duncan’s test). (A–C) Aboveground biomass, K+/Na+ ratio, MDA content in rice seedlings; (D–F) SOD activities, proline, and soluble sugar in rice seedlings; (G,H) TN and TP in in rice seedlings.
Several physiological properties of plant parts above the ground were also determined. The K+/Na+ ratio in the plant sample increased by 0.16 when SMSHC dosage increased from 0% to 6%. MDA content, which usually acts as an indicator of cell membrane damage induced by salinity stress, markedly decreased from 18.4 nmol/g in A0 to 11.0 nmol/g in A2, 9.7 nmol/g in A4, and 7.8 nmol/g in A6. In addition, except for A0, inhibition in the SOD activity was detected with increasing concentration of SMSHC amendment. The highest SOD activity (243 U/g) was observed in A2, and A6 exhibited the lowest activity (176 U/g). Proline (Pro) and soluble sugar (SS) are crucial compounds in balancing cellular osmotic pressure. SS and Pro content were remarkably low in A0 (Pro: 27.6 μg/g, SS: 1.8 mg/g) and high in A2 (Pro: 65.8 μg/g, SS: 2.8 mg/g). Gradual increase in SS (0.4 mg/g) and Pro (11.5 μg/g) content was observed with increasing SMSHC concentration until 6%.
The nutritional status in the aboveground parts of rice seedlings was also determined. Total N in aboveground parts of rice seedlings increased by 45.5, 206, and 340% in A2, A4, and A6, respectively. Total P in aboveground parts of rice seedlings also increased with increasing loading of SMSHC. The maximum percentage increase was 90.4% in A6.
3.5. Analysis of Rhizosphere Soil of Rice Seedling
To evaluate the possible interaction in SMSHC–soil–root system, the rhizospheric soil of the rice seedlings was analyzed (Figure 4). Rice seedlings further lowered the pH values of SMSHC-amended soils (A0: 9.79 to 9.75; A2: 9.71 to 9.62; A4: 9.58 to 9.39; A6: 9.45 to 9.25). Similarly, soil EC decreased by 1.6, 3.1, 8.6, and 12.3% in rhizospheric soil from A0, A2, A4, and A6, respectively. In addition, no significant decrease in exchangeable Na+ was observed in all the experimental groups.

Figure 4.
Analysis of rhizosphere soil of rice seedlings. Data represent mean value ± standard deviation (SD) of three replicates. Different lowercase letters indicate significant differences among different SMSHC treatments (p < 0.05, Duncan’s test). Different capital letters indicate significant differences between pre-seedling soil and rhizosphere soil under the same SMSHC treatment. (A) pH value; (B) soil electrical conductivity; (C) exchangeable Na+ content; (D) available N content; (E) available P content; (F) dissolved organic carbon.
Decrease in soil-available N, available P, and DOC was observed in rhizospheric soil, but the changing amplitudes were quite different. Available P decreased after rice seedlings by 12.7, 30.0, 45.2, and 48.8% in A0, A2, A4, and A6, respectively. Nevertheless, available N in rhizospheric soil decreased by significantly smaller portions ranging from 5.4% to 23.8%. The decline of DOC was significant only in A6, which led to a reduction of 46.3 mg/kg in DOC of rhizospheric soil of rice seedlings.
4. Discussion
4.1. Soil pH and EC
In this study, SMSHC induced a more significant decrease in soil pH compared to the similar studies using biochar []. Irrespective of C6, the reduction of / in A6 was not in line with the abundance of exchangeable Ca2+/Mg2+, and the decrease of was much more significant than that of (Table 3). These results indicated that the lowered pH value in SMSHC-amended soil should be attributed to direct H+ release from SMSHC rather than indirect H+ production from hydrolysis of Ca2+/Mg2+ []. Furthermore, an additional decrease in pH was determined in the rhizospheric soil of rice seedlings, which indicated that SMSHC promoted H+ release from plant roots in the SMSHC–soil–root system []. It is noteworthy that this H+ exchange hardly relied on Na+ uptake, since there was no significant variation of Na+ concentration in rhizospheric soil (Figure 4).
The effects of biochar on soil EC were contradictory in previous studies []. In this study, the decreasing trend of soil EC was consistent with that of pH value before pH equilibrium was attained (Figure 1, 0–60 days in A6, 0–20 days in C6), which suggested a correlation between reduced EC and / quenching. Meanwhile, the final elevation of soil EC in C6 could be ascribed to the remarkable increase of Ca2+/Mg2+ in soil colloids []. On the other hand, as Na+ uptake of plant samples was resisted, the further reduction of soil EC in rhizospheric soil should be associated with the promotion of other macronutrients’ uptake induced by SMSHC.
4.2. ESP and Exchangeable Na+, Ca2+, Mg2+
The effects of biochar in pot experiments have been mainly associated with reduced Na+ uptake of plants rather than reduced Na+ concentration in soils []. This may be due to the absence of Na+ leaching in such an experimental mode. Similarly, no significant change in exchangeable Na+ was observed in this study (Table 3). The reduced ESP in incubated soils with moderate/light salinization (Table 2, group B and group C) could be attributed to a remarkable increase in Ca2+ and Mg2+. Previous studies have revealed that biochar could be employed for supplying Ca2+/Mg2+ in acidic soil []. However, total Ca/Mg content in SMSHC was insufficient to meet the increased concentration of exchangeable Ca2+/Mg2+, especially in C6 (Table 1 vs. Table 3). It suggested that there could be indirect interaction between SMSHC and exchangeable Ca2+/Mg2+ in the soil. SMSBC probably served as an acidic organic amendment to promote partial neutralization and facilitate biological reactions that mobilized Ca2+/Mg2+ from calcareous soil []. Thus, the increase of Ca2+/Mg2+ was much less significant in A6 than that in C6 (Table 3) since high concentrations of / would have substantially inhibited this cationic exchange [].
4.3. Soil Nutrients
Irrespective of soil organic matter, SMSHC served as an excellent supplement to soil DOC. It may be due to a low-temperature hydrothermal reaction that provides charring products with a more humid, acid-like structure on the surface of SMSHC []. In the context of the low available P content, SMSHC improved soil P availability probably by dissolving phosphate crystal phases []. A possible explanation for the poor improvement of available P in light saline–sodic soil (Figure 2B) could be due to the negative effect of Ca2+ on P availability. Previous studies demonstrated biochar amendment could be used in saline–sodic soil to enhance N retention []. In the current study, however, available N dramatically increased in all treatments rather than simple retention. These results may originate from nature that SMSHC is an excellent source of available N due to the extensive amino acids in its raw material SMS [].
Soil-available N, available P, and DOC all decreased after rice pot-seedling experiments, and this could be attributed to the nutrient demands for plant growth. However, the decrease in available P is much more significant than those in available N and DOC. The substantial consumption of available P after planting rice seedlings in rhizospheric soil was consistent with a recent study []. These results further implied that there could be continuous release of available N and DOC from SMSHC to soil, but the effect of SMSHC on soil-available P was not constant.
4.4. Physiological Properties of Rice Seedlings
In this study, SMSHC efficiently improved rice seedling growth in heavy saline–sodic soil, indicated directly by increased biomass (Figure 3). Na+ accumulation and K+ depletion are major plant growth determinants in saline–sodic soil []. The outcomes of this study illustrated that SMSHC addition improved the K+/Na+ uptake ratio and decreased the damage of cellular membranes induced by Na+ accumulation verified by MDA content []. Furthermore, SMSHC addition contributed to lowered SOD activity in rice seedlings in this study, indicating that SMSHC reduced the oxidative and osmotic stresses induced by saline–sodic soil. This result was in line with previous literature []. These findings indicated that the improvement of plant growth in SMSHC-amended soils could be attributed to the activation of osmotic pressure-adjusting substances induced by SMSHC addition. []. Furthermore, the nutritional status of rice seedlings has been improved, indicated by the significant increase in TN and TP in the plant samples. These results were consistent with previous studies [], which implied SMSHC could not only fertilize the saline–sodic soil but enhance the nutrient uptake of plants grown in such soil as well.
5. Conclusions
In this study, hydrochar (SMSHC) was prepared from the spent mushroom substrate (SMS) as a novel amendment for saline–sodic soil. Pot experiments in soil samples with different levels of salinization were also performed to verify the effectiveness of SMSHC in ameliorating saline–sodic soil. The outcomes of this study demonstrated that SMSHC amendment accounted for a series of significant improvements, including soil chemical properties (pH, EC, and ESP) and soil fertility (available N, available P, and DOC). Generally, SMSHC amendment was more efficient in improving the chemical properties and nutrient levels in light saline–sodic soil. An experiment with rice pot seedlings in SMSHC-amended heavy saline–sodic soil was also conducted to validate that SMSHC improved plant growth and mitigated saline–alkali stress. Based on the outcomes of this study, we propose that SMSHC–soil interaction is possibly comprised of direct release (H+, DOC, available N) and indirect exchange (Ca2+, Mg2+, available P). This study indicates that hydrochar is a promising agent in ameliorating saline–sodic soil, except for widely used biochar, which provides a new horizon for the chemistry of recycling biomass wastes into valuable products.
Supplementary Materials
The following supporting information can be downloaded at: https://www.mdpi.com/article/10.3390/su142012958/s1, Figure S1: Scanning electron microscopy (SEM) assay; Figure S2: Energy dispersive spectrometer (EDS) analysis; Figure S3: FTIR spectra; Figure S4: Harvested rice seedlings from SMSHC-amended soil (group A) on day 28.
Author Contributions
Investigation, Z.S. and J.Y.; project administration, G.C.; supervision, M.L.; validation, B.H.; writing—original draft, Y.C.; writing—review and editing, Y.S. All authors have read and agreed to the published version of the manuscript.
Funding
This research was funded by the Education Department of Jilin Province (grant number JJKH20210323KJ), the National Key Research and Development Project (grant number 2018YFD0300208), and the Open Research Fund of Key Laboratory of Straw Comprehensive Utilization and Black Soil Conservation (grant number klos2020-004).
Institutional Review Board Statement
Not applicable.
Informed Consent Statement
Not applicable.
Data Availability Statement
The data presented in this study are available in the article and Supplementary Materials. Further inquiries are available on request from the corresponding authors.
Acknowledgments
The authors would like to thank Shiyanjia lab (www.shiyanjia.com, accessed on 26 July 2022) for the support of SEM and BET tests.
Conflicts of Interest
The authors declare no conflict of interest.
References
- Atallah, E.; Zeaiter, J.; Ahmad, M.N.; Leahy, J.J.; Kwapinski, W. Hydrothermal carbonization of spent mushroom compost waste compared against torrefaction and pyrolysis. Fuel Process. Technol. 2021, 216, 106795. [Google Scholar] [CrossRef]
- Hanafi, F.H.M.; Rezania, S.; Taib, S.M.; Din, M.F.M.; Yamauchi, M.; Sakamoto, M.; Hara, H.; Park, J.; Ebrahimi, S.S. Environmentally sustainable applications of agro-based spent mushroom substrate (SMS): An overview. J. Mater. Cycles Waste Manag. 2018, 20, 1383–1396. [Google Scholar] [CrossRef]
- Noonsong, V.; Puttakun, N.; Tinsirisuk, M.; Seephueak, P. Recycling of spent Pleurotus compost for production of the Agrocybe cylindracea. Mycosphere 2016, 7, 36–43. [Google Scholar] [CrossRef]
- Frutos, I.; Garcia-Delgado, C.; Garate, A.; Eymar, E. Biosorption of heavy metals by organic carbon from spent mushroom substrates and their raw materials. Int. J. Environ. Sci. Technol. 2016, 13, 2713–2720. [Google Scholar] [CrossRef]
- Miranda, T.; Nogales, S.; Román, S.; Montero, I.; Arranz, J.I.; Sepúlveda, F.J. Control of Several Emissions during Olive Pomace Thermal Degradation. Int. J. Mol. Sci. 2014, 15, 18349–18361. [Google Scholar] [CrossRef] [PubMed]
- Wu, Q.; Xian, Y.; He, Z.; Zhang, Q.; Wu, J.; Yang, G.; Zhang, X.; Qi, H.; Ma, J.; Xiao, Y.; et al. Adsorption characteristics of Pb(II) using biochar derived from spent mushroom substrate. Sci. Rep. 2019, 9, 15999. [Google Scholar] [CrossRef] [PubMed]
- Sewu, D.D.; Boakye, P.; Jung, H.; Woo, S.H. Synergistic dye adsorption by biochar from co-pyrolysis of spent mushroom substrate and Saccharina japonica. Bioresour. Technol. 2017, 244, 1142–1149. [Google Scholar] [CrossRef]
- Lou, Z.; Sun, Y.; Bian, S.; Ali Baig, S.; Hu, B.; Xu, X. Nutrient conservation during spent mushroom compost application using spent mushroom substrate derived biochar. Chemosphere 2017, 169, 23–31. [Google Scholar] [CrossRef]
- Liu, Y.; Ma, R.; Li, D.; Qi, C.; Han, L.; Chen, M.; Fu, F.; Yuan, J.; Li, G. Effects of calcium magnesium phosphate fertilizer, biochar and spent mushroom substrate on compost maturity and gaseous emissions during pig manure composting. J. Environ. Manag. 2020, 267, 110649. [Google Scholar] [CrossRef]
- Lam, S.S.; Lee, X.Y.; Nam, W.L.; Phang, X.Y.; Liew, R.K.; Yek, P.N.; Ho, Y.L.; Ma, N.L.; Rosli, M.H. Microwave vacuum pyrolysis conversion of waste mushroom substrate into biochar for use as growth medium in mushroom cultivation. J. Chem. Technol. Biotechnol. 2019, 94, 1406–1415. [Google Scholar] [CrossRef]
- Mau, V.; Arye, G.; Gross, A. Poultry litter hydrochar as an amendment for sandy soils. J. Environ. Manag. 2020, 271, 110959. [Google Scholar] [CrossRef]
- Kalderis, D.; Papameletiou, G.; Kayan, B. Assessment of Orange Peel Hydrochar as a Soil Amendment: Impact on Clay Soil Physical Properties and Potential Phytotoxicity. Waste Biomass Valorization 2019, 10, 3471–3484. [Google Scholar] [CrossRef]
- Hou, P.F.; Feng, Y.F.; Wang, N.; Petropoulos, E.; Li, D.T.; Yu, S.; Xue, L.H.; Yang, L.Z. Win-win: Application of sawdust-derived hydrochar in low fertility soil improves rice yield and reduces greenhouse gas emissions from agricultural ecosystems. Sci. Total Environ. 2020, 748, 142457. [Google Scholar] [CrossRef] [PubMed]
- Kang, S.; Li, X.; Fan, J.; Chang, J. Characterization of Hydrochars Produced by Hydrothermal Carbonization of Lignin, Cellulose, d-Xylose, and Wood Meal. Ind. Eng. Chem. Res. 2012, 51, 9023–9031. [Google Scholar] [CrossRef]
- Cao, X.; Ro, K.S.; Chappell, M.; Li, Y.; Mao, J. Chemical Structures of Swine-Manure Chars Produced under Different Carbonization Conditions Investigated by Advanced Solid-State 13C Nuclear Magnetic Resonance (NMR) Spectroscopy. Energy Fuels 2011, 25, 388–397. [Google Scholar] [CrossRef]
- Fang, J.; Zhan, L.; Ok, Y.S.; Gao, B. Minireview of potential applications of hydrochar derived from hydrothermal carbonization of biomass. J. Ind. Eng. Chem. 2018, 57, 15–21. [Google Scholar] [CrossRef]
- Sun, R.X.; Zheng, H.; Yin, S.J.; Zhang, X.; You, X.W.; Wu, H.Y.; Suo, F.Y.; Han, K.X.; Cheng, Y.D.; Zhang, C.S.; et al. Comparative study of pyrochar and hydrochar on peanut seedling growth in a coastal salt-affected soil of Yellow River Delta, China. Sci. Total Environ. 2022, 833, 155183. [Google Scholar] [CrossRef] [PubMed]
- Chávez-García, E.; Siebe, C. Rehabilitation of a highly saline-sodic soil using a rubble barrier and organic amendments. Soil Tillage Res. 2019, 189, 176–188. [Google Scholar] [CrossRef]
- Zhao, Y.; Wang, S.; Li, Y.; Liu, J.; Zhuo, Y.; Chen, H.; Wang, J.; Xu, L.; Sun, Z. Extensive reclamation of saline-sodic soils with flue gas desulfurization gypsum on the Songnen Plain, Northeast China. Geoderma 2018, 321, 52–60. [Google Scholar] [CrossRef]
- Pansu, M.; Gautheyrou, J. Handbook of Soil Analysis: Mineralogical, Organic and Inorganic Methods; Springer: Berlin/Heidelberg, Germany, 2006. [Google Scholar]
- Singh, R.; Mavi, M.S.; Choudhary, O.P. Saline Soils Can Be Ameliorated by Adding Biochar Generated from Rice-Residue Waste. CLEAN Soil Air Water 2019, 47, 1700656. [Google Scholar] [CrossRef]
- He, K.; He, G.; Wang, C.; Zhang, H.; Xu, Y.; Wang, S.; Kong, Y.; Zhou, G.; Hu, R. Biochar amendment ameliorates soil properties and promotes Miscanthus growth in a coastal saline-alkali soil. Appl. Soil Ecol. 2020, 155, 103674. [Google Scholar] [CrossRef]
- Wang, X.; Huang, J. Principles and Techniques of Plant Physiological Biochemical Experiment; Higher Education Press: Beijing, China, 2015. [Google Scholar]
- Zhao, W.; Zhou, Q.; Tian, Z.; Cui, Y.; Liang, Y.; Wang, H. Apply biochar to ameliorate soda saline-alkali land, improve soil function and increase corn nutrient availability in the Songnen Plain. Sci. Total Environ. 2020, 722, 137428. [Google Scholar] [CrossRef]
- Wang, T.; Zhai, Y.; Zhu, Y.; Peng, C.; Xu, B.; Wang, T.; Li, C.; Zeng, G. Acetic Acid and Sodium Hydroxide-Aided Hydrothermal Carbonization of Woody Biomass for Enhanced Pelletization and Fuel Properties. Energy Fuels 2017, 31, 12200–12208. [Google Scholar] [CrossRef]
- Wang, T.; Zhai, Y.; Zhu, Y.; Gan, X.; Zheng, L.; Peng, C.; Wang, B.; Li, C.; Zeng, G. Evaluation of the clean characteristics and combustion behavior of hydrochar derived from food waste towards solid biofuel production. Bioresour. Technol. 2018, 266, 275–283. [Google Scholar] [CrossRef]
- Saifullah; Dahlawi, S.; Naeem, A.; Rengel, Z.; Naidu, R. Biochar application for the remediation of salt-affected soils: Challenges and opportunities. Sci. Total Environ. 2018, 625, 320–335. [Google Scholar] [CrossRef]
- Wang, Z.; Liu, G.; Zheng, H.; Li, F.; Ngo, H.H.; Guo, W.; Liu, C.; Chen, L.; Xing, B. Investigating the mechanisms of biochar’s removal of lead from solution. Bioresour. Technol. 2015, 177, 308–317. [Google Scholar] [CrossRef] [PubMed]
- Hinsinger, P.; Plassard, C.; Tang, C.X.; Jaillard, B. Origins of root-mediated pH changes in the rhizosphere and their responses to environmental constraints: A review. Plant Soil 2003, 248, 43–59. [Google Scholar] [CrossRef]
- Yuan, J.; Shengzhe, E.; Che, Z. Base cation-enhancing role of corn straw biochar in an acidic soil. Soil Use Manag. 2022, 38, 1322–1336. [Google Scholar] [CrossRef]
- Qadir, M.; Oster, J.D. Crop and irrigation management strategies for saline-sodic soils and waters aimed at environmentally sustainable agriculture. Sci. Total Environ. 2004, 323, 1–19. [Google Scholar] [CrossRef]
- Song, C.F.; Shan, S.D.; Yang, C.; Zhang, C.; Zhou, X.Q.; Ma, Q.; Yrjala, K.; Zheng, H.B.; Cao, Y.C. The comparison of dissolved organic matter in hydrochars and biochars from pig manure. Sci. Total Environ. 2020, 720, 137423. [Google Scholar] [CrossRef] [PubMed]
- Prendergast-Miller, M.T.; Duvall, M.; Sohi, S.P. Biochar–root interactions are mediated by biochar nutrient content and impacts on soil nutrient availability. Eur. J. Soil Sci. 2014, 65, 173–185. [Google Scholar] [CrossRef]
- Chang, K.L.; Chen, X.M.; Sun, J.; Liu, J.Y.; Sun, S.Y.; Yang, Z.Y.; Wang, Y. Spent mushroom substrate biochar as a potential amendment in pig manure and rice straw composting processes. Environ. Technol. 2017, 38, 1765–1769. [Google Scholar] [CrossRef]
- Liu, J.; Zhu, J.K. Proline accumulation and salt-stress-induced gene expression in a salt-hypersensitive mutant of Arabidopsis. Plant Physiol. 1997, 114, 591–596. [Google Scholar] [CrossRef]
- Hafez, Y.; Attia, K.; Alamery, S.; Ghazy, A.; Al-Doss, A.; Ibrahim, E.; Rashwan, E.; El-Maghraby, L.; Awad, A.; Abdelaal, K. Beneficial Effects of Biochar and Chitosan on Antioxidative Capacity, Osmolytes Accumulation, and Anatomical Characters of Water-Stressed Barley Plants. Agronomy 2020, 10, 630. [Google Scholar] [CrossRef]
- Ibrahim, M.E.H.; Ali, A.Y.A.; Zhou, G.S.; Elsiddig, A.M.I.; Zhu, G.L.; Nimir, N.E.A.; Ahmad, I. Biochar application affects forage sorghum under salinity stress. Chil. J. Agric. Res. 2020, 80, 317–325. [Google Scholar] [CrossRef]
- Nehela, Y.; Mazrou, Y.S.A.; Alshaal, T.; Rady, A.M.S.; El-Sherif, A.M.A.; Omara, A.E.; Abd El-Monem, A.M.; Hafez, E.M. The Integrated Amendment of Sodic-Saline Soils Using Biochar and Plant Growth-Promoting Rhizobacteria Enhances Maize (Zea mays L.) Resilience to Water Salinity. Plants 2021, 10, 1960. [Google Scholar] [CrossRef]
- Inal, A.; Gunes, A.; Sahin, O.; Taskin, M.B.; Kaya, E.C. Impacts of biochar and processed poultry manure, applied to a calcareous soil, on the growth of bean and maize. Soil Use Manag. 2015, 31, 106–113. [Google Scholar] [CrossRef]
Publisher’s Note: MDPI stays neutral with regard to jurisdictional claims in published maps and institutional affiliations. |
© 2022 by the authors. Licensee MDPI, Basel, Switzerland. This article is an open access article distributed under the terms and conditions of the Creative Commons Attribution (CC BY) license (https://creativecommons.org/licenses/by/4.0/).