Abstract
Black gram is one of the most indispensable components of the world food basket and the growth and health of the crop get influenced by biotic and abiotic factors. Beneficial phyto-microbes are one among them that influence the crop growth, more particularly the seed borne microbes are comparatively beneficial, that they pass from generation to generation and are associated with the plants from establishment to development. In the present study, twenty seed-borne yeasts were characterized and tested for growth promotion of black gram and their antagonism against black gram phytopathogens. Two yeasts, Pichia kudriavzevii POY5 and Issatchenkia terricola GRY4, produced indole acetic acid (IAA), siderophore, 1-amino cyclopropane-1-carboxylic acid deaminase (ACCD), and plant defense enzymes. They solubilized phosphate and zinc and fixed atmospheric nitrogen. Inoculation of these two yeast isolates and Rhizobium BMBS1 improved the seed germination, physiological parameters and yield of black gram. Inoculation of Rhizoctonia solani-challenged plants with plant growth-promoting yeasts, resulted in the synthesis of defense-related enzymes such as peroxidases (POD), chitinases, catalase (CAT), and polyphenol oxidases (PPO). Thus, the seed-borne yeasts, Pichia kudriavzevii POY5 and Issatchenkia terricola GRY4, could be used as plant probiotics for black gram.
1. Introduction
The rhizosphere is colonized by microbes that may be beneficial, pathogenic, or neutral in effect. The beneficial microorganisms and their bioactive molecules play a significant role in sustaining and improving soil fertility. They act as indices of plant and soil health. Inoculating plants with beneficial microorganisms influences plant growth by controlling plant pathogens, increasing inorganic fertilizer use efficiency, and improving resistance to abiotic stresses such as drought and salinity [1,2,3]. These plant growth-promoting characteristics and the immunity power to cope with the biotic and abiotic stresses due to climatic changes could be further enhanced by altering the rhizospheric microbial community with beneficial microbes and their bioactive molecules.
While bacteria and fungi are being exploited widely to promote plant growth, yeast also seems promising because of its flexibility in metabolism, wide adaptability, and plant health-promoting potential to a greater extent. Despite many industrial applications of yeasts, the potential role in plant growth promotion and combating various biotic stresses is under-exploited. More particularly, seed-borne yeasts have been the least studied. Since yeasts require simple nutrients, their population is generally higher in the rhizosphere than in the bulk soil [4,5]. Yeasts of the Ascomycota and Basidiomycota classes are symbiotic or mutualistic with the plant’s endosphere. They utilize plants’ sugars and amino acids and protect plants from stresses [6]. Yeasts are more suitable than bacterial and fungal bio-control agents for cultivation, storage duration, and survival inside the plant’s endosphere [7]. A diverse range of yeasts exhibit plant growth-promoting and bio-control characteristics [8,9,10]. They produce siderophores [10] and phytohormones [11]; solubilize inorganic phosphate [12,13]; oxidize nitrogen and sulfur [12]; stimulate mycorrhizal root colonization [13,14]. Organic phosphorus solubilization is mediated by phytases [15] and plant growth promotion with polyamines [16]. Yeasts also mitigate biotic stress by inducing systemic resistance (ISR) via the production of peroxidase (POD) and catalase (CAT) [17]. Candida sp., Pichia sp., Rhodotorula sp., Debaryomyces sp., and Metschnikowia sp. are known as antagonists to fungal phytopathogens [18]. Plant growth promoting yeasts from rice rhizosphere [16], Drosera rhizosphere [19] legume rhizosphere [20], maize rhizosphere [21], vine-yard soil [22] have been reported.
Black gram (Vigna mungo var., mungo (L.)) is a food legume crop predominantly grown in tropical and subtropical countries. India is the largest producer and consumer globally, followed by Myanmar and Pakistan [23]. However, black gram is exposed to many biotic and abiotic stresses that hinder its productivity. Key biotic constraints in the production are fungal, bacterial, viral, and nematode pathogens, which cause significant yield losses. Rhizoctonia bataticola (Pycnidial stage: Macrophomina phaseolina) is a highly destructive and major seed–soil-borne pathogen with a broad host range due to its aggressive nature. Common symptoms are root rot, seedling blight, leaf blight, stem canker, damping-off, and seed decay in black gram. This fungus produces various cell wall degrading enzymes, hydrolytic enzymes, and phytotoxins such as botryodiplodin and phaseolinone for damaging plant tissues [24]. The diseased plants can be easily pulled out. The affected plant carries black-colored microsclerotia that overwinters in the soil for up to 15 years as a saprophyte for infecting the next season’s crops [25]. Since it is a seed and soil-borne pathogen, the management of Rhizoctonia bataticola is complex with toxic agrochemicals [26].
In this present investigation, we address the plant growth promotion by probiotic yeasts and the bio-control of Rhizoctonia root rot in black gram by seed-borne yeasts as an alternative to fungal and bacterial bio-agents. We hypothesized that the seed-borne yeasts isolated from different sources have multifarious plant growth promotion effects through direct and indirect mechanisms. Secondly, yeast-mediated Induced Systemic Resistance (ISR) could minimize root rot incidence by producing extracellular enzymes, antioxidant enzymes, and defense-related enzymes, which help to improve a plant’s physiological parameters during stress.
2. Materials and Methods
2.1. Isolation of Seed-Borne Yeasts
Seed-borne yeasts were isolated from the seeds of grapes, pomegranate, tomato, and black gram. The seed samples were surface sterilized with 0.1% HgCl2, washed thrice with sterile distilled water, and ground with mortar and pestle. The ground samples were serially diluted (10−2, 10−3, 10−4) and were spread onto solid Yeast Extract Peptone Dextrose (YEPD) agar plates added with 250 µg/mL chloramphenicol with pH 6.5–6.7 [11]. The plates were incubated at 30 ± 2 °C for three days.
2.2. Morphological and Biochemical Characterization of the Seed-Borne Yeast Isolates
The morphological and physiological traits such as colony morphology, cell morphology, Gram staining, budding pattern, growth in liquid medium were studied as described by Kurtzman et al. [27]. The characteristics like texture, color, surface, elevation, margin, cell shape, and agar-grown colony were recorded. Gram’s reaction was performed as described by Gerhardt [28]. Further to this, Gram’s staining reaction was confirmed through the KOH-string test. The yeast isolates were tested for the budding pattern by smearing the cultures onto a clean glass slide and observing under 40× magnification. Budding was classified as polar, monopolar, bipolar, multilateral, fission, arthroconidia formed by fission, chlamydospores, endoconidia produced by budding, and blastoconidia formed on elongated conidiophores [29]. The pellicle and the sediment formation characteristic of the yeast isolates were studied in Yeast Extract Petone Dextrose (YEPD) broth as mentioned by Kreger-van Rij [30]. The yeast isolates were subjected to biochemical characteristics such as carbohydrate utilization [31], starch hydrolysis [32], citrate utilization [33], and carboxy methyl cellulose hydrolysis [34].
The activities of the extracellular enzyme such as chitinase and protease were evaluated. The chitinase activity of yeast was assessed as mentioned in Hsu and Lockwood [35]. The chitinolytic activity of yeast isolates was tested by preparing the chitinolytic agar medium supplemented with 0.1, 1.0, and 1.5 percent colloidal chitin. The yeast isolates were spot inoculated onto the medium and incubated at 30 ± 1 °C for seven days. The zone formation and colony growth were measured 3 and 7 days after inoculation.
Protease activity was quantified as per the procedure of Tsuchida et al. [36] with slight modification using 2 percent casein (Hammerstein casein, Merck, Germany) in 0.2 M carbonate buffer (pH 10) as substrate. One unit enzyme activity was correlated as the amount of enzyme that released 1 μg of tyrosine/mL/min under assay conditions.
2.3. Molecular Characterization of Selected Seed-Borne Yeasts Isolates
The molecular characterization was performed by sequencing ITS 1/ITS 4. The genomic DNA from GRY4 and POY5 was isolated using the Hi-PurATM Yeast Genomic DNA Purification Kit (Hi-Media, Mumbai, India). Genomic DNA of the yeast isolates was amplified using ITS1 (5′-TCCGTAGGTGAACCTGCGG-3′) and ITS4 (5′-TCCTCCGCTTATTGATATGC-3′). The PCR-amplified product was excised, purified from the gel, and sequenced using the fluorescent dye terminator method (ABI prism equipment and a Bigdye TM Terminator cycle sequencing ready reaction kit V.3.1). Sequences were aligned and checked for closest neighbors using NCBI Basic Local Alignment Search Tool (BLAST) (https://blast.ncbi.nlm.nih.gov/Blast.cgi, accessed on 24 March 2022). Two promising isolates, one from seed surface of grapes GRY4 and one from seed surface of pomegranate POY5, were subjected for molecular characterization. The resulting sequence of GRY4 showed 98 percent similarities to the Issatchenkia terricola (363 bp) (NCBI accession No. MG547741), and POY5 showed 93 percent similarities to Pichia kudriavzevii (506 bp) (NCBI accession number MG547742) and were thus identified.
2.4. Functional Characterization of Seed-Borne Yeasts for Plant Growth Promotion Activity
2.4.1. IAA Production
Yeast isolates were inoculated in Yeast Extract Peptone Dextrose (YEPD) broth (one flask added with 1 percent tryptophan and another without tryptophan), incubated for 48 h at 30 ± 1 °C on a rotary shaker, and centrifuged at 10,000 rpm for 20 min. Further to this, 50 µL of ortho-phosphoric acid and 2 mL of Salkowski’s reagent were mixed with 2 mL of supernatant and incubated at 30 ± 1 °C for 25 min under dark conditions. The developed reddish-pink color indicated IAA production, and the absorbance was measured at 530 nm spectrophotometrically (UV-160 A, Shimadzu, Japan) against control. The quantitative estimation of IAA was conducted using a standard graph [37].
2.4.2. Phosphate Solubilization
One mL of yeast culture was inoculated to Pikovskaya’s broth and incubated at 30 ± 1 °C for three days. The contents were filtered, and the supernatant was analyzed for the phosphate content [38]. An uninoculated medium was used as a control.
2.4.3. Zinc Solubilization
A quantitative assay for zinc solubilization was performed in Bunt and Rovira medium [39] supplemented with 0.1 percent ZnO. One percent of overnight grown yeast cultures were grown in this medium for 72 h at 120 rpm at 28 ± 2 °C. Following the incubation, samples were withdrawn at different time intervals such as 24, 48, 72, 96, and 120 h and centrifuged at 10,000 rpm for 10 min. The concentration of Zn in the supernatant was quantified through Inductively Coupled Plasma Optical Emission Spectroscopy (ICP-OES).
2.4.4. 1-Aminocyclopropane-1-carboxylate Deaminase (ACCD) Activity
The yeast isolates were screened for their ability to metabolize 1-aminocyclopropane-1-carboxylate (ACC) as a sole source of nitrogen. The yeast isolates were spotted onto Petri plates of the modified nitrogen-free Dworkin and Foster medium (MDF) containing 0.3% ACC. Control plates without ACC were also spot inoculated. The plates were incubated for five days at 30 ± 2 °C. The ACC deaminase activity was estimated by measuring the amount of α-ketobutyrate produced and expressed as µm of α-ketobutyrate/mg/protein/h [40].
2.4.5. Biological Nitrogen Fixation Potential
The nitrogen fixation efficiency of the isolates was evaluated by acetylene reduction assay (ARA) in a gas chromatograph (GC). It was expressed as moles of ethylene formed/h/mg of protein [41].
2.4.6. Hydrogen Cyanide (HCN) Production
The yeast isolates were streak plated on Kings B medium supplemented with glycine (4.4 g/L). Whatman No.1 filter paper dipped in picric acid (2% sodium carbonate in 0.5% picric acid) was placed inside the lid of each Petri plate. The plates were sealed airtight with parafilm paper, incubated at 30 ± 1 °C for 4 days, and observed for change in filter paper color from deep yellow to reddish-brown [42].
2.4.7. Siderophore Production
The modified Chrome Azurol Sulphonate (CAS) agar assay was employed to test the ability of yeast isolates to produce siderophores [43]. CAS blue agar and YEPD were solidified onto Petri plates. YEPD agar was cut into halves, and one half was replaced by CAS blue agar. Yeast isolates were spotted onto YEPD agar halves near the borderline between the two media and were incubated in the dark at 30 ± 1 °C for 10 days. An uninoculated CAS agar plate was maintained as a control. Siderophore production was confirmed based on the color change of the CAS blue agar to yellow between the borderline [44].
2.5. Screening of Yeast Isolates for Antagonistic Activity against Phytopathogenic Fungi by Dual Culture Plate Method
The yeast isolates were screened for direct antagonism against Colletotrichum dematium MTCC 8652, Rhizoctonia solani MTCC 4633, Alternaria alternata MTCC 3656, Aspergillus niger 2724, and Fusarium oxysporum MTCC 2106 on Potato Dextrose Agar (PDA) plates by placing the pathogen in one half and yeast in the other half of the Petri plate and allowing to grow for seven days. The percent inhibition on the growth of the test pathogen was calculated using the formula as described in Rabindran and Vidhyasekaran [45].
2.6. Test for Compatibility of Seed-Borne Yeast Isolates with Rhizobium sp. BMBS1
Selected yeast isolates were tested with the Rhizobium strain for compatibility in terms of growth by cross streak assay in nutrient agar medium [46]. A single yeast colony was streaked vertically on a Petri plate containing nutrient medium followed by streaking Rhizobium sp. BMBS1 perpendicular to the yeast isolates. A control plate was maintained without Rhizobium.
2.7. Pot Culture Assay to Assess the Potential of the Seed-Borne Yeast Isolates in the Induction of Systemic Resistance against Rhizoctonia Solani MTCC 4633
A pot culture experiment was conducted in black gram (var. MDU. 1) with Completely Randomized Block Design (CRBD) with seven treatments replicated three times. The pots containing 10 kg soil (soil + FYM @ 4:1), had 183.02 kg N, 18.21 kg P2O5, and 342 kg K2O content with a pH 7.1 and EC 0.21 dSm−1. The black gram (var. MDU. 1) seeds were surface sterilized with 1% mercuric chloride for 3 min. and washed thrice with sterile distilled water. The rhizobial and yeast cultures were used at 5 mL each/kg of seed. Four seedlings were maintained per pot. One ml of R. solani fungal spore suspension (106 CFU/mL) was applied to the soil in each pot as per the treatments 20 days after sowing (DAS). The treatments were imposed as follows:
- T1—Issatchenkia terricola GRY4 + Rhizobium sp. BMBS 1 + Rhizoctonia solani MTCC 4633
- T2—Pichia kudriavzevii POY5 + Rhizobium sp. BMBS 1 + Rhizoctonia solani MTCC 4633
- T3—Issatchenkia terricola GRY4 + Rhizoctonia solani MTCC 4633
- T4—Pichia kudriavzevii POY5 + Rhizoctonia solani MTCC 4633
- T5—Rhizobium sp. BMBS1 + Rhizoctonia solani MTCC 4633
- T6—Rhizoctonia solani MTCC 4633, and
- T7—Uninoculated control
Germination percent in each pot was calculated 10 days after sowing (DAS). Bio-metric observations were recorded periodically, and yield was recorded at the time of harvest (65 DAS) and expressed in g/plant.
2.8. Effect of Seed-Borne Yeasts on the Induction of Defense-Related Enzymes in Blackgram upon Challenge Inoculation
Leaves from three-week-old plants infected with R. solani were collected on 0, 1, 2, 3, 4, and 5 days after challenge inoculation. The collected samples were analyzed for the defense enzymes. Peroxidase activity (POD) was assayed spectrophotometrically through an increase in optical density due to guaiacol’s oxidation to tetra-guaiacol. It was expressed as µmol tetra-guaiacol formed/min/g fresh weight [47]. Spectrophotometric polyphenol oxidase (PPO) enzyme assay measured pheomelanin formation from different phenolic substrates. It was expressed as a change in absorbance/min/g of leaf tissue [48]. Catalase (CAT) enzyme assay was performed as per Chaparro-Giraldo et al. [49]. Plant chitinase enzymes hydrolyze the chitin polymer consisting of N-acetyl glucosamine (GlcNAc) units and play antifungal activities against many fungi. They were expressed as nmol GlcNAc equivalent/min/g of leaf tissue [50].
2.9. Statistical Analysis
All the experiments were performed in triplicate and the average was subjected to further statistical analysis. Data were analyzed by SPSS version 26 and expressed as mean ± standard errors. Tukey’s HSD multiple comparisons were carried out to see the response of yeast isolates on each parameter [51].
3. Results
3.1. Morphological and Biochemical Characterization of the Seed-Borne Yeast Isolates
Twenty morphologically different yeast isolates from the seeds of grapes, pomegranate, tomato, and black gram were selected. Most isolates from black gram, grapes, and tomato showed a sedimented growth in liquid medium. The majority of the yeast isolates showed a bipolar budding pattern except for the three from tomato TOY1, TOY 3, and TOY 4. The margin was irregular or entire in different isolates. Except for pomegranate isolate POY 1, which is elongate, all the cells were spherical. Biochemical characterization showed that all the isolates produced catalase. Most of them were positive for the starch test, and some isolates could utilize citrate. The sugar fermentation studies showed positive results with sucrose and glucose utilization, thus producing acid and gas. Only three isolates of black gram namely BGY2, 3, and 4, tested positive for lactose utilization.
3.2. Selection of Efficient Seed-Borne Yeasts through Evaluation of Different Plant Growth Promotion Traits
Among the twenty isolates, higher IAA production was recorded in POY5 (21.62 ± 0.061 µg/mL). Siderophore production was positive in POY4, POY5, TOY4, GRY4, and BGY2. Eight yeast isolates (POY1, POY5, TOY1, TOY4, TOY5, GRY4, GRY5, and BGY4) showed HCN production. ACCD activity was observed only in two yeast isolates, POY5 (2.69 ± 0.014 nmol α-ketobutyrate released/min/mg protein) and GRY4 (2.4 ± 0.002 nmol α-ketobutyrate released/min/mg protein) (Table 1).
Table 1.
Plant growth-promoting metabolites produced by the seed-borne yeast isolates.
Isolate POY5 exhibited higher nitrogen fixation potential compared to other isolates. All the 20 isolates showed phosphate (P) solubilization potential in the range of 0.19 to 0.42 g/L. Isolate POY5 showed the highest P release (0.46 ± 0.02 g/L). Tukey’s multiple comparisons showed no difference among the yeast isolates in P solubilization activity within 24 h, 48 h, and 72 h of inoculation. Tukey’s multiple comparisons tests showed that the yeast isolate POY5 recorded significantly higher Zn solubilization (181.40 ± 1.79 mg/L) on the fifth day of incubation. The amount of zinc solubilized increased with an increase in incubation time; the maximum Zn solubilization was recorded on the fifth day.
3.3. Extracellular Enzyme Production and Antagonistic Activity against Phytopathogenic Fungi of the Seed-Borne Yeast Isolates
Antifungal activity was tested in yeast isolates Issatchenkia terricola GRY4 and Pichia kudriavzevii POY5 against phytopathogenic fungi namely, Colletotrichum dematium MTCC 8652, R. solani, A. alternata, A. niger, and F. oxysporum. In this study, most yeast isolates exhibited chitin utilization and were higher at 1.5 percent colloidal chitin. All the tested isolates except GRY1 showed growth at all levels of colloidal chitin. All the isolates exhibited protease activity, and maximum activity was observed in POY5 (0.330 ± 0.035 U/mL) and GRY5 (0.348 ± 0.049 U/mL) against the lowest activity in GRY3 (0.135 ± 0.022 U/mL). However, the protease production among the isolates was non-significant at a 95 percent confidence interval. This study did not reveal any growth inhibition by the yeast isolates GRY4 and POY5 on the test pathogens. No inhibition in the growth of any of the tested fungal pathogens was noticed in dual culture with both the yeast isolates (POY5 and GRY4).
3.4. Reflections of the Seed-Borne Yeast Isolates on Growth and Yield of Black gram
In the experiment conducted with various treatments, in which plants were challenged with the pathogen Rhizoctonia solani MTCC 4633, maximum root length was observed in the treatment that received Pichia kudriavzevii POY5 (10.90–20.30 cm/plant), followed by Issatchenkia terricola GRY4 (8.90–16.90 cm/plant) with an increase of 53.50–81.30 percent and 25.30–50.90 percent, respectively, over the uninoculated control. The combined inoculation of I. terricola GRY4 recorded the maximum shoot length with an increase of 47.3, 70.2, and 31.80 percent over the uninoculated control at 30, 45, and 60 days of growth, respectively. P. kudriavzevii POY5 inoculation exhibited a higher number of leaves (43.7 ± 2.40) followed by GRY4 (40.9 ± 2.09) on 60 DAS than the control. The least number of leaves was recorded with the uninoculated control (32.5 ± 1.70) and R. solani-challenged plants (31.2 ± 0.30). The single inoculation with Pichia kudriavzevii POY5 (24.3 ± 0.55) and combined inoculation with Rhizobium sp. were among the yeast isolates. BMBS1(21.9 ± 0.01) resulted in a higher number of nodules in plants challenged with the pathogen R. solani, increasing 50.9 and 36.0 percent compared to the uninoculated control. The maximum pod yield (31.4 ± 0.22 pods/plant) and grain yield (13.5 ± 0.25 g/plant) were recorded in the single inoculation of Pichia kudriavzevii POY5. However, there were no significant differences among GRY4 co-inoculated with Rhizobium sp. BMBS1 (11.5 ± 0.15 g/plant), POY 5 co-inoculated with Rhizobium sp. BMBS 1 (10.8 ± 0.12 g/plant), and GRY4 alone (11.1 ± 0.14 g/plant) for the grain yield. The inoculation of Rhizobium sp. BMBS1 and yeast isolates increased the pod yield and grain yield of black gram significantly over the uninoculated control. In general, a single inoculation with I. terricola GRY4 or P. kudriavzevii POY5 combined with Rhizobium sp. BMBS1 recorded more pods and higher grain yields compared to the inoculation with Rhizobium sp. BMBS1 alone. A higher grain yield of 13.5 ± 0.25 g/plant was recorded with the inoculation of Pichia kudriavzevii POY5 challenged with Rhizoctonia solani MTCC 4633 followed by the inoculation with Issatchenkia terricola GRY4 + Rhizobium sp. BMBS1 was challenged with Rhizoctonia solani MTCC 4633 with a recorded yield of 11.5 ± 0.15 g/plant (Figure 1).
Figure 1.
Reflection of seed-borne yeast isolates on growth and yield of black gram treated with Rhizobium sp. BMBS 1 and challenged with R. solani. (a) Shoot length; (b) root length; (c) number of leaves; (d) number of nodules; (e) number of pods; (f) grain yield (values are the average of triplicates). DAS = Day after sowing T1—I.terricola GRY4 + Rhizobium sp. + R. solani MTCC 4633, T2—P. kudriavzevii POY5 + Rhizobium sp. + R. solani, T3—I. terricola GRY4 + R. solani, T4—P. kudriavzevii POY5 + R. solani MTCC 4633, T5—Rhizobium sp. BMBS1 + R. solani, T6—R. solani, and T7—uninoculated control.
3.5. Effect of Seed-Borne Yeast Isolates on the Induction of Defense-Related Enzymes in Black Gram upon Challenge Inoculation
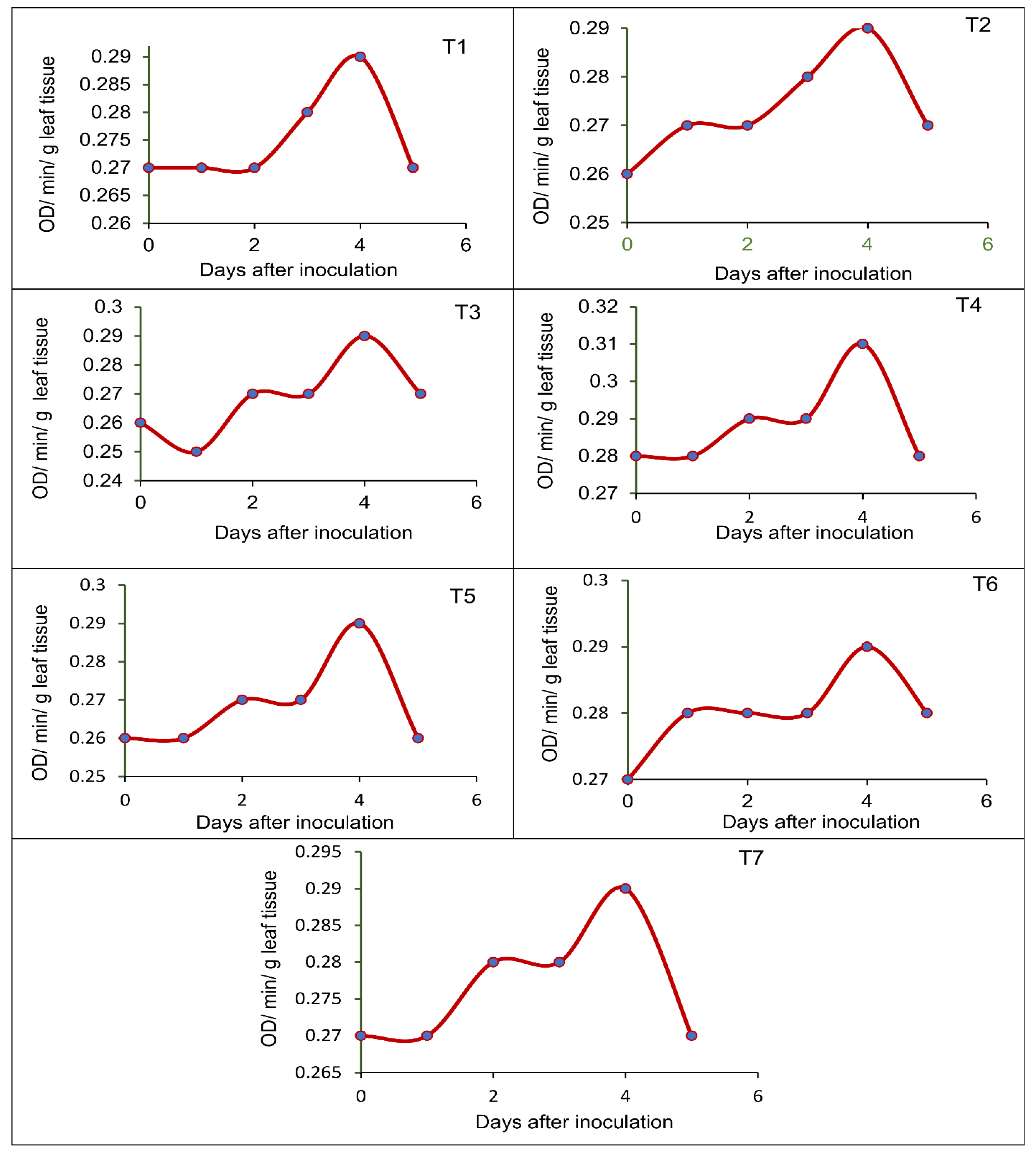
Higher peroxidase activity with absorbance change of 2.58 ± 0.07 units/min/g of leaf tissue was observed in the combined inoculation of yeast GRY4 (I. terricola) + Rhizobium sp. BMBS1 with challenged pathogen inoculation. This was a 55% increase in plants challenged with pathogen alone after four days of challenging (Figure 2). The PPO activity was higher on four days in plants that received Pichia kudriavzevii POY5 + R. solani MTCC 4633 compared to other treatments (Figure 3).
Figure 2.
Induction of POD activity in black gram inoculated with yeast, Rhizobium sp. and challenge inoculated with R. solani. T1—Issatchenkia terricola GRY4 + Rhizobium sp. + R. solani MTCC 4633, T2—P. kudriavzevii POY5 + Rhizobium sp. + R. solani, T3—I. terricola GRY4 + R. solani MTCC 4633, T4—Pichia kudriavzevii POY5 + R. solani MTCC 4633, T5—Rhizobium sp. BMBS1 + R. solani MTCC 4633, T6—R. solani MTCC 4633, and T7—uninoculated control.
Figure 3.
Induction of polyphenol oxidase in black gram inoculated with yeast, Rhizobium sp., and R solani. T1—Issatchenkia terricola GRY4 + Rhizobium sp. + R. solani MTCC 4633, T2—P. kudriavzevii POY5 + Rhizobium sp. + R. solani, T3—I. terricola GRY4 + R. solani MTCC 4633, T4—Pichia kudriavzevii POY5 + R. solani MTCC 4633, T5—Rhizobium sp. BMBS1 + R. solani MTCC 4633, T6—R. solani MTCC 4633, and T7—uninoculated control.
Catalase activity was higher in the combined inoculation of Pichia kudriavzevii POY5 + Rhizobium sp. BMBS1 along with R. solani (0.29 µM/min/g leaf tissue) compared to R. solani (0.27 µM/min/g leaf tissue) at day 4 of the challenge inoculation. The catalase enzyme activity was enhanced by yeast inoculation and a combination of yeast and Rhizobium sp. BMBS1 and pathogen challenge inoculation to the tune of 3.7–7.4% over inoculation of pathogens alone (Figure 4).
Figure 4.
Induction of CAT in black gram inoculated with yeast, Rhizobium sp. and challenge inoculation of Rhizoctonia solani. T1—Issatchenkia terricola GRY4 + Rhizobium sp. + R. solani MTCC 4633 T2—P. kudriavzevii POY5 + Rhizobium sp. + R. solani, T3—I. terricola GRY4 + R. solani MTCC 4633, T4—Pichia kudriavzevii POY5 + R. solani MTCC 4633, T5—Rhizobium sp. BMBS1 + R. solani MTCC 4633, T6—R. solani MTCC 4633, and T7—uninoculated control.
Maximum chitinases (PR proteins) were observed with the combined inoculation of yeast POY5 (P. kudriavzevii) and Rhizobium sp. BMBS1, which recorded a 6.3 percent increase over pathogen inoculation on day 4 (Figure 5). These defense enzymes were observed to be higher on day four and decreased on day 5 of the challenge inoculation.
Figure 5.
Induction of chitinase activity in black gram inoculated with yeast, Rhizobium sp. and R. solani. T1—Issatchenkia terricola GRY4 + Rhizobium sp. + R. solani MTCC 4633, T2—P. kudriavzevii POY5 + Rhizobium sp. + R. solani, T3—I. terricola GRY4 + R. solani MTCC 4633, T4—Pichia kudriavzevii POY5 + R. solani MTCC 4633, T5—Rhizobium sp. BMBS1 + R. solani MTCC 4633, T6—R. solani MTCC 4633, and T7—uninoculated control.
However, the PPO and chitinase activities were non-significant among all the treatments. In general, the enzyme activities were enhanced in all inoculated treatments compared to the uninoculated control. Inoculation of both the yeast isolates GRY4 and POY5 exhibited higher enzyme activities with and without Rhizobial inoculation under the conditions of Rhizoctonia solani inoculation.
4. Discussion
Identifying potential microbes from natural resources and deploying effective microbes for plant growth promotion is one of the underlying concepts for promoting next generation and sustainable agriculture. This research showed the multifarious potential of two seed-borne yeasts, Issatchenkia terricola GRY4 and Pichia kudriavzevii POY5, with plant growth and health-promoting potential. Plant growth-promoting yeasts namely, Kluyveromyces esculenta, Pichia caribbica, Candida tropicalis, Saccharomyces cerevisiae from Manihot esculenta, Zea mays, Cola acuminate, and Sorghum bicolor have been identified by earlier workers [52]. About 1035 epiphytic and endophytic yeast isolates from rice and sugarcane [53] tested for plant growth-promoting traits exhibited different morphological characteristics, and morphological variations in colony size, color, pigmentation, forms, margin, and elevation were observed among the other yeast isolates. The source of isolation may contribute to variations in cultural characteristics. Previous work reported different colony forms, dimorphic growth, hyphal development, and taxonomic traits [54]. The yeast colonies from palm wine varied from whitish cream to pink, and the surface texture was dry and wrinkled [55]. Saccharomyces cerevisiae strains exhibited morphological and physiological differences with rough and smooth colonies [56]. Biochemical characterization of yeast isolates indicated differences in carbon utilization patterns. Earlier reports explored the morphological and biochemical characteristics of yeast isolates namely, Candida ipomoeae, Candida famata, Candida succiphila, Rhodotorula mucilaginosa, Kodamaea anthophila, Debaryomyces hansenii, and Pichia lachancei from Jamun’s fruit surface. The yeast isolates were reported to utilize starch and gelatin and growth at 10 percent sucrose [57]. All the 81 yeast isolates were obtained from sugar silage fermented glucose, galactose, sucrose, methyl α-d glucosides, and raffinose. A few isolates fermented maltose and none fermented cellobiose. About 65 percent of isolates fermented lactose [58]. Most of the isolates from palmyra palm and sugar palm showed good growth at high concentrations of ethanol [59].
Earlier workers performed screening and characterization of yeast for various plant growth promotion traits. Most PGP organisms utilized L-tryptophan, which is secreted in root exudates as a precursor of IAA production. Hence, the ability to produce IAA varied with strains or types of microorganisms. IAA production was comparatively higher in yeast isolates than fungi and actinobacteria [60]. The yeast isolates from rice and sugarcane leaves were screened for plant growth-promoting traits, and Rhodotorula paludigenum DMKU-RP301 was found to be a better IAA producer, whereas Torulaspora globosa DMKU-RP31 was found to be a plant growth promoter by direct and indirect mechanisms and antagonistic to pathogens by producing volatile antifungal compounds [53].
Similarly, the soil yeast Candida tropicalis HY (CtHY) isolated from the rice rhizosphere showed little IAA production, higher ACC deaminase activity, polyamine production, and phytase production. It colonized rice seedlings and enhanced germination percentage, root and shoot length, and vigor index [16]. Endophytic yeast, Williopsis saturnus, isolated from maize seedlings, produced indole-3 acetic acid (IAA) and indole-3-pyruvic acid (IPA) acid in a medium amended with tryptophan. The yeast inoculation with indole precursor, tryptophan, modulated plant IAA, and IPA levels significantly increased root and shoot length and dry weight under glasshouse and gnotobiotic conditions [11]. Soil yeast Meyerozyma guilliermondii CC1 was an IAA producer, P solubilizer, and chitinolytic. IAA production in Rhodosporidium paludigenum DMKU RP301 was influenced by factors like carbon and nitrogen sources, temperature, presence of growth factors and tryptophan [61] Two strains of Rhodotorula mucilaginosa isolated from stems of hybrid poplar plants produced IAA hormone when amended with tryptophan and promoted plant growth [62]. Aureobasidium melanogenum SDBR-CMU-S1-10 and Papilio tremalaurentii SDBR-CMU-S1-02 isolates from Assam tea soil produced siderophore and exhibited plant growth promotion activity [63] The yeast Wickerhamomyces anomalus MSD1 from marine algae was reported to possess atmospheric nitrogen-fixing potential, solubilization of insoluble phosphate and zinc, siderophore production, and ACC deaminase activity [64]. With the result of the present and earlier works, it is well documented that yeast influences the growth of plants by nutrient solubilization and biomolecule production.
Soil yeast and yeast-like fungi produce diverse biologically active compounds, including an antimicrobial substance that reduces phytopathogenic infections [5,65]. Plant growth-promoting traits of grapes seed-borne Issatchenkia terricola GRY4 and pomegranate seed-borne Pichia kudriavzevii POY5 included chitinase and protease activity. The secretion and excretion of chitinase are some of the inherent characteristics of bio-control agents because of their potential to degrade the fungal cell wall [66]. Yeasts namely, Metschnikowia sp. [67], Tilletiopsis sp. [66], Saccharomycopsis schoenii [68] were potent bio-control agents through chitinase activity. The soil yeast Lachancea kluyveri SP132 exhibited antifungal activity by producing chitinase cellulase against Rhizoctonia solani [69]. Wickerhamomyces anomalus SDBR-CMU-S1-02 isolate from Assam tea plantation soil possessed protease activity [63]. Candida oleophila showed the ability to secrete chitinase, protease, and glucanase effectively against Penicillium digitatum [70]. Yeast isolates from grapes namely, Candida intermedia, Candida lusitaniae, and Debaryomyces hansenii were reported as active chitinase producers [22].
The reflections of these multifarious yeast isolates were realized with the plant assay wherein Issatchenkia terricola GRY4 and Pichia kudriavzevii POY5 influenced root length, shoot length, and yield of Rhizoctonia solani-challenged black gram. Pichia kudriavzevii POY5-inoculated black gram plants managed the pathogen challenge by increasing the root length by 123.07% and shoot length by 47.89%. The root structure of rice was greatly influenced by plant growth-promoting bacteria–Protist interaction, resulting in enhanced lateral root growth by 272.08–380.41% [71]. The increased root length is attributed to the IAA production by the yeast isolates, which is in line with the observations of earlier workers that lower concentrations of IAA stimulated primary root elongation and that of higher promoted lateral roots and root hairs [72,73]. An increased seed vigor index was observed in maize by replacing half of the chemical fertilizer with yeast inoculation, thus resulting in improved plant growth, biomass, cob yield, and uptake of calcium, magnesium, iron, manganese, and zinc [74]. Similarly, yeasts isolated from the phyllosphere of the carnivorous plant Drosera indica increased the number of lateral roots and root hairs due to IAA production via the up-regulation of auxin-inducible gene expression [75]. The bio-control agents activate plant defense genes of the phenylpropanoid pathways, namely encoding peroxidase (POX.), phenylalanine ammonia-lyase (PAL), and polyphenol oxidase (PPO) [76]. They are involved in lignin’s biosynthesis, which acts as a protective barrier for pathogen entry into plant tissues [77]. This study proved the activation of defense enzymes in R. solani-challenged black gram with the beneficial yeast isolates I. terricola GRY4 and P. kudriavzevii POY5. Co-inoculation of I. terricola GRY4 and Rhizobium sp. BMBS1 significantly activated peroxidase, whereas P. kudriavzevii POY5 and Rhizobium sp. BMBS1 enhanced catalase activity. As a powerful antioxidant, catalase plays a major role in signaling processes in plants during adverse conditions [78]. Furthermore, recently it was revealed that yeast assisted Rhizobium sp. in nodulation by producing unique signaling molecules that triggered the lectin pathway [79,80]. PGPRs namely, Lysinibacillus fusiformis, Bacillus subtilis, and Achromobacter xylosoxidans increased peroxidase and polyphenol oxidase in Alternaria solani-challenged tomato plants [81]. Though many reports stated defense enzyme productions by the bacterial antagonists [82,83,84,85,86,87,88], this may be the first report regarding enhancing defense enzymes through yeast inoculations, particularly seed-borne yeasts.
In summary, these two plant growth-promoting yeasts, Pichia kudriavzevii POY5 and Issatchenkia terricola GRY4, which possessed the capacity to release auxin, to transform fixed phosphorus and zinc to an available form, to fix atmospheric nitrogen, to produce siderophore, hydrogen cyanide, ACC deaminase, various extracellular enzymes, and defense-related enzymes for the plant growth promotion of black gram, could be further explored for their endophytic association. They could be developed into a formulation for promoting the growth and health of black gram.
Author Contributions
Conceptualization, J.P.B. and S.T.; formal analysis, H.S.M.; investigation, J.P.B. and D.P.; methodology, J.P.B., K.K. and S.T.; resources and supervision, K.K. and E.A.A.K.; validation, R.N.; writing—original draft, J.P.B., H.S.M. and D.P; writing—review and editing, J.P.B., E.A.A.K., S.T., F.A., P.P. and R.Z.S. funding acquisition, P.P. and F.A. All authors have read and agreed to the published version of the manuscript.
Funding
The APC was funded by University of Helsinki. This research was also funded by Researchers Supporting Project number (RSP-2021/364), King Saud University, Riyadh, Saudi Arabia.
Acknowledgments
The authors gratefully acknowledge the financial support from Tamil Nadu Agricultural University, Coimbatore, India, open access funding provided by University of Helsinki, Helsinki, Finland and Researchers Supporting Project number (RSP-2021/364), King Saud University, Riyadh, Saudi Arabia.
Conflicts of Interest
The authors declare no conflict of interest.
References
- Yang, J.; Kloepper, J.W.; Ryu, C.M. Rhizosphere bacteria help plants tolerate abiotic stress. Trends Plant Sci. 2009, 14, 1–4. [Google Scholar] [CrossRef] [PubMed]
- Martínez-Viveros, O.; Jorquera, M.A.; Crowley, D.E.; Gajardo, G.; Mora, M.L. Mechanisms and practical considerations involved in plant growth promotion by rhizobacteria. J. Soil Sci. Plant Nutr. 2010, 10, 293–319. [Google Scholar] [CrossRef]
- Kim, Y.C.; Glick, B.; Bashan, Y.; Ryu, C.M. Enhancement of plant drought tolerance by microbes. In Plant Responses to Drought Stress; Aroca, R., Ed.; Springer: Berlin/Heidelberg, Germany, 2013; pp. 383–413. [Google Scholar]
- Cloete, K.J.; Valentine, A.J.; Stander, M.A.; Blomerus, L.M.; Botha, A. Evidence of symbiosis between the soil Yeast Cryptococcus laurentii and a Sclerophyllous Medicinal Shrub, Agathosma betulina(Berg.). Pillans. Microb Ecol. 2009, 57, 624–632. [Google Scholar] [CrossRef] [PubMed]
- Botha, A. The importance and ecology of yeasts in soil. Soil Biol. Biochem. 2011, 43, 1–8. [Google Scholar] [CrossRef]
- Doty, S.L. Symbiotic Plant-Bacterial Endospheric Interactions. Microorganisms 2018, 6, 28. [Google Scholar] [CrossRef]
- Joubert, P.M.; Doty, S.L. Endophytic yeasts, biology, ecology and applications. In Endophytes of Forest Trees; Pirttila, A.M., Frank, A.C., Eds.; Springer International Publishing AG: Cham, Switzerland, 2018; pp. 3–14. [Google Scholar]
- El-Tarabily, K.A. Suppression of Rhizoctonia solani diseases of sugar beet by antagonistic and plant growth-promoting yeasts. J Appl. Microbiol. 2004, 96, 69–75. [Google Scholar] [CrossRef]
- El-Tarabily, K.A.; Sivasithamparam, K. Potential of yeasts as bio-control agents of soil-borne fungal plant pathogens and as plant growth promoters. Mycoscience 2006, 47, 25–35. [Google Scholar] [CrossRef]
- Sansone, G.; Rezza, I.; Calvente, V.; Benuzzi, D.; Tosetti, M.I.S.D. Control of Botrytis cinerea strains resistant to iprodione in apple with rhodotorulic acid and yeasts. Postharvest Biol. Tech. 2005, 35, 245–251. [Google Scholar] [CrossRef]
- Nassar, A.H.; El-Tarabily, K.A.; Sivasithamparam, K. Promotion of plant growth by an auxin-producing isolate of the yeast Williopsis saturnus endophytic in maize (Zea mays L.) roots. Biol. Fertil. Soils 2005, 42, 97–108. [Google Scholar] [CrossRef]
- Falih, A.M.; Wainwright, M. Nitrification, S-oxidation and P-solubilization by the soil yeast Williopsis californica and by Saccharomyces cerevisiae. Mycol. Res. 1995, 99, 200–204. [Google Scholar] [CrossRef]
- Alonso, L.M.; Kleiner, D.; Ortega, E. Spores of the mycorrhizal fungus Glomus mossae host yeasts that solubilize phosphate and accumulate polyphosphates. Mycorrhiza 2008, 18, 197–204. [Google Scholar] [CrossRef] [PubMed]
- Vassileva, M.; Azcon, R.; Barea, J.M.; Vassilev, N. Rock phosphate solubilization by free and encapsulated cells of Yarowia lipolytica. Process. Biochem. 2000, 35, 693–697. [Google Scholar] [CrossRef]
- Nakamura, Y.; Fukuhara, H.; Sano, K. Secreted phytase activities of yeasts. Biosci. Biotechnol. Biochem. 2000, 64, 841–844. [Google Scholar] [CrossRef]
- Amprayn, K.O.; Rose, M.T.; Kecskes, M.; Pereg, L.; Nguyen, H.T.; Kennedy, I.R. Plant growth promoting characteristics of soil yeast (Candida tropicalis H.Y.) and its effectiveness for promoting rice growth. Appl. Soil Ecol. 2012, 61, 295–299. [Google Scholar] [CrossRef]
- De Tenorio, D.A.; de Medeiros, E.V.; Lima, C.S.; da Silva, J.M.; de Barros, J.A.; Neves, R.P.; Laranjeira, D. Biological control of Rhizoctonia solani in cowpea plants using yeast. Trop. Plant Pathol. 2019, 44, 113–119. [Google Scholar] [CrossRef]
- Ferraz, P.; Cássio, F.; Lucas, C. Potential of yeasts as biocontrol agents of the phytopathogen causing cacao Witches’ Broom Disease. Is microbial warfare a solution. Front. Microbiol. 2019, 10, 1766. [Google Scholar] [CrossRef] [PubMed]
- Fu, S.F.; Sun, P.F.; Lu, H.Y.; Wei, J.Y.; Xiao, H.S.; Fang, W.T.; Cheng, B.Y.; Chou, J.Y. Plant growth promoting traits of yeasts isolated from the phyllosphere and rhizosphere of Drosera spathulata Lab. Fungal Biol. 2016, 120, 433–448. [Google Scholar] [CrossRef]
- Ignatova, L.V.; Brazhnikova, Y.V.; Berzhanova, R.Z.; Mukasheva, T.D. Plant growth-promoting and antifungal activity of yeasts from dark chestnut soil. Microbiol. Res. 2015, 175, 78–83. [Google Scholar] [CrossRef]
- Sarabia, M.; Cazares, S.; Gonzalez-Rodríguez, A.; Mora, F.; Carreón-Abud, Y.; Larsen, J. Plant growth promotion traits of rhizosphere yeasts and their response to soil characteristics and crop cycle in maize agroecosystems. Rhizosphere 2018, 6, 67–73. [Google Scholar] [CrossRef]
- Fernandez-San Millan, A.; Farran, I.; Larraya, L.; Ancin, M.; Arregui, L.M.; Veramendi, J. Plant growth-promoting traits of yeasts isolated from Spanish vineyards: Benefits for seedling development. Microbiol. Res. 2020, 237, 126480. [Google Scholar] [CrossRef]
- Kaewwongwal, A.; Kongjaimun, A.; Somta, P.; Chankaew, S.; Yimram, T.; Srinives, P. Genetic diversity of the black gram [Vigna mungo (L.) Hepper] gene pool as revealed by S.S.R. markers. Breed. Sci. 2015, 565, 127–137. [Google Scholar] [CrossRef]
- Kaur, S.; Dhillon, G.S.; Brar, S.K.; Vallad, G.E.; Chand, R.; Chauhan, V.B. Emerging phytopathogen Macrophomina phaseolina, biology, economic importance and current diagnostic trends. Crit. Rev. Microbiol. 2012, 38, 136–151. [Google Scholar] [CrossRef] [PubMed]
- Ajayi-Oyetunde, O.; Bradley, C.A. Rhizoctonia solani: Taxonomy, population biology and management of Rhizoctonia seedling disease of soybean. Plant Pathol. 2018, 67, 3–17. [Google Scholar] [CrossRef]
- Pandey, A.K.; Burlakoti, R.R.; Rathore, A.; Nair, R.M. Morphological and molecular characterization of Macrophomina phaseolina isolated from three legume crops and evaluation of mungbean genotypes for resistance to dry root rot. Crop Prot. 2020, 127, 104962. [Google Scholar] [CrossRef]
- Kurtzman, C.P.; Fell, J.W.; Boekhout, T. The Yeasts; Elsevier: Amsterdam, The Netherlands, 2011; p. 11. [Google Scholar]
- Gerhardt, P. Manual of Methods for General Bacteriology; American Society for Microbiology: Washington, DC, USA, 1981. [Google Scholar]
- Kurtzman, C.P.; Fell, J.W.; Boekhout, T.; Robert, V. Methods for isolation, phenotypic characterization and maintenance of yeasts. In The Yeasts, a Taxonomic Study; Kurtzman, C.P., Fell, J.W., Boekhout, T., Eds.; Elsevier: Amsterdam, The Netherlands, 2011; pp. 87–110. [Google Scholar]
- Kreger-van Rij, N.J.W. The Yeasts: A Taxonomic Study; Elsevier: Amsterdam, The Netherlands, 1984. [Google Scholar]
- Wickerham, L.J.; Burton, I.C.N. Carbon assimilation tests for the classification of yeasts. J. Bacteriol. 1948, 56, 363–371. [Google Scholar] [CrossRef] [PubMed]
- Beisher, L. Microbiology in Practice, a Self-Instructional Laboratory Course; Harper Collins, Inc.: New York, NY, USA, 1991; pp. 53–131. [Google Scholar]
- Simmons, J.S. A culture medium for differentiating organisms of typhoid-colon aerogenes groups and for isolation of certain fungi. J. Infect. Dis. 1926, 39, 209. [Google Scholar] [CrossRef]
- Zitomer, S.W.; Eveleigh, D.E. Cellulase screening by iodine staining: An artifact. Enzym. Microb. Technol. 1987, 9, 214–216. [Google Scholar] [CrossRef]
- Hsu, S.C.; Lockwood, J.L. Powdered chitin agar as a selective medium for enumeration of actinomycetes in water and soil. Appl. Microbiol. 1975, 29, 422–426. [Google Scholar] [CrossRef]
- Tsuchida, O.; Yamagata, Y.; Ishizuka, T.; Arai, T.; Yamada, J.; Takeuchi, M.; Ichishima, E. An alkaline proteinase of an alkalophilic Bacillus sp. Curr. Microbiol. 1986, 14, 7–12. [Google Scholar] [CrossRef]
- Gordon, S.A.; Weber, R.P. Colorimetric estimation of indole acetic acid. Plant Physiol. 1951, 26, 192–195. [Google Scholar] [CrossRef]
- Murphy, J.; Riley, J.P. A modified single solution method for the determination of phosphate in natural waters. Anal. Chim. Acta. 1962, 27, 31–36. [Google Scholar] [CrossRef]
- Bunt, J.S.; Rovira, A.D. Microbiological studies of some sub antartic soils. J. Soil Sci. 1955, 6, 119–128. [Google Scholar] [CrossRef]
- Penrose, D.M.; Glick, B.R. Methods for isolating and characterizing A.C.C. deaminase-containing plant growth-promoting rhizobacteria. Plant Physiol. 2003, 118, 10–15. [Google Scholar] [CrossRef] [PubMed]
- Bergersen, F.J. The quantitative relationship between nitrogen fixation and the acetylene-reduction assay. Aust. J. Biol. Sci. 1970, 23, 1015–1026. [Google Scholar] [CrossRef]
- Bakker, A.W.; Schippers, B. Microbial cyanide production in the rhizosphere in relation to potato yield reduction and Pseudomonas spp-mediated plant growth-stimulation. Soil Biol. Biochem. 1987, 19, 451–457. [Google Scholar] [CrossRef]
- Milagres, A.M.F.; Napoleao, D.; Machuca, A. Detection of siderophore production from several fungi and bacteria by a modification of chrome azurol S (C.A.S.) agar plate assay. J. Microbiol. Methods 1999, 37, 1–6. [Google Scholar] [CrossRef]
- Schwyn, B.; Neilands, J. Universal chemical assay for the detection and determination of siderophores. Anal. Biochem. 1987, 160, 47–56. [Google Scholar] [CrossRef]
- Rabindran, R.; Vidhyasekaran, P. Development of a formulation of Pseudomonas fluorescens PfALR2 for management of rice sheath blight. Crop Prot. 1996, 15, 715–721. [Google Scholar] [CrossRef]
- Anandraj, B.; Delapierre, A.L.R. Studies on influence of bioinoculants (Pseudomonas flourescens, Rhizobium sp., and Bacillus megaterium) in green gram. J. Bischi. Tech. 2010, 1, 95–99. [Google Scholar]
- Castillo, F.J.; Penel, C.; Greppin, H. Peroxidase release induced by ozone in Sedum album leaves. Plant Physiol. 1984, 74, 846–851. [Google Scholar] [CrossRef]
- Mayer, A.M.; Harel, E.; Ben-Shau, l.R. Assay of catechol oxidase-a critical comparison of methods. Phytochemistry 1966, 5, 783–789. [Google Scholar] [CrossRef]
- Chaparro-Giraldo, A.; Barata, R.M.; Chabregas, S.M.; Azevedo, A.; Silva-Filho, M.C. Soybean leghemoglobin targeted to potato chloroplasts influences growth and development of transgenic plants. Plant Cell Rep. 2000, 19, 961–965. [Google Scholar] [CrossRef] [PubMed]
- Boller, T.; Mauch, F. Colorimetric assay for chitinase. In Methods in Enzymology; Wood, W.A., Kellogg, S.T., Eds.; Academic Press: Cambridge, MA, USA, 1988; p. 161. [Google Scholar]
- I.B.M. Corp. Released 2019. IBM SPSS Statistics for Windows, Version 26.0; I.B.M. Corp: Armonk, NY, USA, 2019. [Google Scholar]
- Ebabhi, A.M.; Adekunle, A.A.; Okunowa, W.O.; Osuntoki, A.A. Isolation and characterization of yeast strains from local food crops. J. Yeast Fungal Res. 2013, 4, 38–43. [Google Scholar]
- Nutaratat, P.; Srisuk, N.; Arunrattiyakorn, P.; Limtong, S. Plant growth-promoting traits of epiphytic and endophytic yeasts isolated from rice and sugar cane leaves in Thailand. Fungal Biol. 2014, 118, 683–694. [Google Scholar] [CrossRef]
- Romero, M.C.; Gatti, M.E.; Córdoba, S.; Cazau, M.C.; Arambarri, A.M. Physiological and morphological characteristics of yeasts isolated from waste oil effluents. World J. Microbiol. Biotechnol. 2000, 16, 683–686. [Google Scholar] [CrossRef]
- Okerentugba, P.O.; Ataikiru, T.L.; Ichor, T. Isolation and characterization of hydrocarbon utilizing yeast isolates from palm wine. Am. J. Mol. Biol. 2016, 6, 63–70. [Google Scholar] [CrossRef]
- Reis, V.R.; Bassi, A.P.; da Silva, J.C.; Ceccato-Antonini, S.R. Characteristics of Saccharomyces cerevisiae yeasts exhibiting rough colonies and pseudohyphal morphology with respect to alcoholic fermentation. Braz. J. Microbiol. 2013, 44, 1121–1131. [Google Scholar] [CrossRef]
- Ghosh, S.K. Study of yeast flora from fruit of Syzygium cumini (Linn.) skeel. Agric. Biol. J. N. Am. 2011, 2, 1166–1170. [Google Scholar] [CrossRef]
- Avila, C.L.S.; Martins, C.E.C.B.; Schwan, R.F. Identification and characterization of yeasts in sugarcane silages. J. Appl. Microbiol. 2010, 10, 1677–1686. [Google Scholar]
- Artnarong, S.; Masniyom, P.; Maneesri, J. Isolation of yeast and acetic acid bacteria from palmyra palm fruit pulp (Borassus flabellifer Linn.). Int. Food Res. J. 2016, 23, 1308–1314. [Google Scholar]
- Khamna, S.; Yokota, A.; Peberdy, J.F.; Lumyong, S. Indole3-acetic acid production by Streptomyces sp. isolated from some Thai medicinal plant rhizosphere soils. Eur. J. Biosci. 2010, 4, 23–32. [Google Scholar] [CrossRef]
- Nutaratat, P.; Amsri, W.; Srisuk, N.; Arunrattiyakorn, P.; Limtong, S. Indole-3-acetic acid production by newly isolated red yeast Rhodosporidium paludigenum. J. Gen. Appl. Microbiol. 2015, 61, 1–9. [Google Scholar] [CrossRef] [PubMed]
- Xin, G.; Glawe, D.; Doty, S.L. Characterization of three endophytic, indole-3-acetic acid-producing yeasts occurring in Populus trees. Mycol. Res. 2009, 113, 973–980. [Google Scholar] [CrossRef]
- Kumla, J.; Nundaeng, S.; Suwannarach, N.; Lumyong, S. Evaluation of multifarious plant growth promoting trials of yeast isolated from the Soil of Assam Tea (Camellia sinensis var. assamica) plantations in Northern Thailand. Microorganisms 2020, 8, 1168. [Google Scholar]
- Srinivasan, R.; Krishnan, S.R.; Ragunath, K.S.; Ponni, K.K.; Balaji, G.; Prabhakaran, N.; Chelliappan, B.; Narayanan, R.L.; Gracy, M.; Latha, K. Prospects of utilizing a multifarious yeast (MSD1), isolated from South Indian coast as an Agricultural input. Biocatal. Agric. Biotechnol. 2022, 39, 1022–1032. [Google Scholar] [CrossRef]
- Perez-Montano, F.; Alias-Villegas, C.; Bellogín, R.A.; del Cerro, P.; Espuny, M.R.; Jiménez-Guerrero, I.; López-Baena, F.J.; Ollero, F.J.; Cubo, T. Plant growth promotion in cereal and leguminous agricultural important plants: From microorganism capacities to crop production. Microbiol. Res. 2014, 169, 325–336. [Google Scholar] [CrossRef]
- Zajc, J.; Gostincar, C.; Cernosa, A.; Gunde-Cimerman, N. Stress-tolerant yeasts: Opportunistic pathogenicity versus biocontrol potential. Genes 2019, 10, 42. [Google Scholar] [CrossRef]
- Pretscher, J.; Fischkal, T.; Branscheidt, S.; Jager, L.; Kahl, S.; Schlander, M.; Thines, E.; Claus, H. Yeasts from different habitats and their potential as biocontrol agents. Fermentation 2018, 4, 31. [Google Scholar] [CrossRef]
- Junker, K.; Chailyan, A.; Hesselbart, A.; Forster, J.; Wendland, J. Multi-omics characterization of the necrotrophic mycoparasite Saccharomycopsis schoenii. PLoS Pathog. 2019, 15, e1007692. [Google Scholar] [CrossRef]
- Sripodok, C.; Thammasittirong, S.; Thammasittirong, A. Antifungal activity of soil yeast (Lachancea kluyveri SP132) against rice pathogenic fungi and its plant growth promoting activity. J. Int. Soc. Southeast Asian Agric. Sci. 2019, 25, 55–65. [Google Scholar]
- Bar Shimon, M.; Yehuda, H.; Cohen, L.; Weiss, B.; Kobeshnikov, A.; Daus, A.; Goldway, M.; Wisniewski, M.; Droby, S. Characterization of extracellular lytic enzymes produced by the yeast biocontrol agent Candida oleophila. Curr. Genet. 2004, 45, 140–148. [Google Scholar] [CrossRef] [PubMed]
- Chandarana, K.A.; Pramanik, R.S.; Amaresan, N. Interaction between ciliate and plant growth promoting bacteria influences the root structure of rice plants, soil PLFAs and respiration properties. Rhizosphere 2022, 21, 1004–1066. [Google Scholar] [CrossRef]
- Patten, C.L.; Glick, B.R. Role of Pseudomonas putida indoleacetic acid in development of the host plant root system. Appl. Environ. Microbiol. 2002, 68, 3795–3801. [Google Scholar] [CrossRef] [PubMed]
- Remans, R.; Beebe, S.; Blair, M.; Manrique, G.; Tovar, E.; Rao, I.; Croonenborghs, A.; Torres-Gutierrez, R.; El-Howeity, M.; Michiels, J.; et al. Physiological and genetic analysis of root responsiveness to auxin-producing plant growth-promoting bacteria in common bean (Phaseolus vulgaris L.). Plant Soil. 2008, 302, 149–161. [Google Scholar] [CrossRef]
- Nakayan, P.; Hameed, A.; Singh, S.; Young, L.; Hung, M.; Young, C. Phosphate-solubilizing soil yeast Meyerozyma guilliermondii CC1 improves maize (Zea mays L.) productivity and minimizes requisite chemical fertilization. Plant Soil 2013, 373, 301–315. [Google Scholar] [CrossRef]
- Sun, P.F.; Fang, W.T.; Shin, L.Y.; Wei, J.Y.; Fu, S.F.; Chou, J.Y. Indole-3-Acetic Acid-producing yeasts in the phyllosphere of the carnivorous plant Drosera indica L. PLoS ONE 2014, 9, e114196. [Google Scholar] [CrossRef]
- Nandakumar, R.; Babu, S.; Viswanathan, R.; Raguchander, T.; Samiyappan, R. Induction of systemic resistance in rice against sheath blight disease by Pseudomonas fluorescens. Soil Biol. Biochem. 2001, 33, 603–612. [Google Scholar] [CrossRef]
- Mohamaddi, M.; Kazemi, H. Changes in peroxidase and polyphenol oxidase activities in susceptible and resistant wheat heads inoculated with Fusarium graminearum and induced resistance. Plant Sci. 2002, 162, 491–498. [Google Scholar] [CrossRef]
- Palma, J.M.; Mateos, R.M.; López-Jaramillo, J.; Rodríguez-Ruiz, M.; González-Gordo, S.; Lechuga-Sancho, A.M.; Corpas, F.J. Plant catalases as NO and H2S targets. Redox Biol. 2020, 34, 101525. [Google Scholar] [CrossRef]
- Thanuja, K.G.; Annadurai, B.; Thankappan, S.; Uthandi, S. Non-rhizobial endophytic (N.R.E.) yeasts assist nodulation of Rhizobium in root nodules of blackgram (Vigna mungo L.). Arch. Microbiol. 2020, 10, 2739–2749. [Google Scholar] [CrossRef]
- Annadurai, B.; Thangappan, S.; Kennedy, Z.J.; Uthandi, S. Co- inoculant response of plant growth promoting non-rhizobial endophytic yeast Candida tropicalis VYW1 and Rhizobium sp. VRE1 for enhanced plant nutrition, nodulation, growth and soil nutrient status in Mungbean (Vigna mungo L.,). Symbiosis 2021, 83, 115–128. [Google Scholar] [CrossRef]
- Attia, M.S.; El-Sayyad, G.S.; El-kodous, M.A.; El-Batal, A.I. The effective antagonistic potential of plant growth-promoting rhizobacteria against Alternaria solani causing early blight disease in tomato plant. Sci. Hortic. 2020, 266, 109289. [Google Scholar] [CrossRef]
- Shaikh, S.S.; Wani, S.J.; Sayyed, R.Z.; Thakur, R. Gulati, A. Production, purification and kinetics of chitinase of Stenotrophomonas maltophilia isolated from rhizospheric soil, Indian. J. Exp. Biol. 2021, 56, 274–278. [Google Scholar]
- Sayyed, R.Z.; Seifi, S.; Patel, P.R.; Shaikh, S.S.; Jadhav, H.P.; Enshasy, H.E. Siderophore production in groundnut rhizosphere isolate, Achromobacter sp. RZS2 influenced by physicochemical factors and metal ions. Environ. Sustain. 2019, 1, 295–301. [Google Scholar] [CrossRef]
- Sagar, A.; Sayyed, R.Z.; Ramteke, P.W.; Sharma, S.; Marraiki, N.; Elgorban, A.M.; Syed, A. ACC deaminase and antioxidant enzymes producing halophilic Enterobacter sp. PR14 promotes the growth of rice and millets under salinity stress. Physiol. Mol. Biol. Plants. 2020, 26, 1847–1854. [Google Scholar] [CrossRef] [PubMed]
- Khan, I.; Awan, S.A.; Ikram, R.; Rizwan, M.; Akhtar, N.; Yasmin, H.; Sayyed, R.Z.; Ali, S.; Ilyas, N. Effects of 24-Epibrassinolide regulated antioxidants and osmolyte defense and endogenous hormones in two wheat varieties under drought stress. Physiol. Planta. 2020, 172, 696–706. [Google Scholar] [CrossRef] [PubMed]
- Basu, A.; Prasad, P.; Das, S.N.; Kalam, S.; Sayyed, R.Z.; Reddy, M.S.; El Enshasy, H. Plant Growth Promoting Rhizobacteria (PGPR) as Green bioinoculants: Recent developments, constraints, and prospects. Sustainability. 2021, 13, 1140. [Google Scholar] [CrossRef]
- Hamid, B.; Zaman, M.; Farooq, S.; Fatima, S.; Sayyed, R.Z.; Baba, Z.A.; Sheikh, T.A.; Reddy, M.S.; El Enshasy, H.; Gafur, A.; et al. Bacterial plant biostimulants: A sustainable way towards improving growth, productivity, and health of crops. Sustainability. 2021, 21, 2856. [Google Scholar] [CrossRef]
- Kusale, S.P.; Attar, Y.C.; Sayyed, R.Z.; Malek, R.A.; Ilyas, N.; Suriani, N.L.; Khan, N.; Enshasy, H.E. Production of plant beneficial and antioxidants metabolites by Klebsiella variicola under salinity stress. Molecules. 2021, 26, 1894. [Google Scholar] [CrossRef]
Publisher’s Note: MDPI stays neutral with regard to jurisdictional claims in published maps and institutional affiliations. |
© 2022 by the authors. Licensee MDPI, Basel, Switzerland. This article is an open access article distributed under the terms and conditions of the Creative Commons Attribution (CC BY) license (https://creativecommons.org/licenses/by/4.0/).




