Abstract
Long-chain polyunsaturated fatty acids (LC-PUFAs) have multiple beneficial effects on human health, in particular docosahexaenoic acid (DHA, 22:6, n-3) and eicosapentaenoic acid (EPA, 20:5, n-3). A variety of microorganisms has been used for the commercial production of non-animal-source LC-PUFAs. The oomycetes of the Pythium family are promising EPA producers, and in this work, the optimization of Pythium irregulare growth using food industry by-products and wastes as cheap sources of nutrients was carried out. Sugar cane molasses (SCM), spent brewery yeast (SBY), cheese whey (CW), and expired orange juice (EFJ) were tested. A combination of SBY as a source of nitrogen and EFJ as a source of organic carbon resulted in the best outcome among the other sustainable media ingredients. The optimization of the new medium was conducted through a response surface methodology using EFJ and SBY as factors. The results show a significant positive impact of these factors on biomass productivity (p < 0.005), with an optimized biomass yield of 14.22 g L−1, a lipid yield of 2.23 g L−1, and an EPA concentration of 155 mg L−1.
1. Introduction
Omega-3 long-chain fatty acids (n3 LC-PUFAs) represent an important class of compounds from a nutritional point of view. These fatty acids are recognized to be fundamental elements in the human diet, with a series of health effects and for the treatment of cardiovascular diseases, schizophrenia, cancer, and Alzheimer’s syndrome [1]. In fact, PUFAs are essential components of cell membranes in neural and muscle tissues and precursors of signaling molecules (bioactive lipid mediators) [2].
The most important LC-PUFAs are: eicosapentaenoic acid (EPA, C20:5), docosapentaenoic acid (DPA, C22:5), and docosahexaenoic acid (DHA, C22:6). The main source of PUFAs for human consumption is fish oil from fatty fishes (i.e., salmon, tuna, herring, anchovies, and mackerel), but this source is not sustainable due to a reduction of global fish stocks, the presence of marine pollutants, and food allergens [3]. Microbial production of PUFAs (in particular from aquatic protists) is a viable alternative to fish oil and represents a sustainable source of DHA and EPA [1]. Therefore, many research groups in recent years have been studying new biotechnological routes to obtain PUFAs. However, the production costs to produce microbial PUFAs remain the main challenge to competing with fish oil [4,5,6]. In fact, in our previous study, we showed that the medium cost for the production of DHA producer Aurantiochytrium sp. accounts for 40% of the total operating costs, and using agro-food by-products and waste as substitutions for standard stock materials can significantly reduce the production costs of microbial fermentation [5].
Pythium irregulare (phylum Oomycota, kingdom Chromista) is an oleaginous Oomycete with a lipid content between 15 and 20% of dry weight [7,8]. This protist was primarily known as a plant pathogen, causing seedling damping-off and root rot [9,10]. Pythium sp. partly shows the lifestyle of fungi, but they are nowadays phylogenetically classified as Stramenopiles, along with brown algae and diatoms [11]. In fact, P. irregulare has demonstrated the potential for commercial PUFA production due to its ability to accumulate EPA with a high biomass growth rate [10,12,13].
P. irregulare has shown a high metabolic versatility to use different types of nutrients and grow with food waste-based media. They have been cultivated with corn thin stillage [14], biodiesel-derived crude glycerol [8], sweet whey permeate [15], rendered animal protein [16], soy meal wastewater [12], and soybean processing co-products [13]. Additionally, it was reported to be resistant to a variety of antifungal and antimicrobial compounds [17].
Brewery by-products and waste have shown great potential to replace the nitrogen source in the cultivation of microorganisms, most of all heterotrophic protists [18,19]. Moreover, dairy industry by-products, such as cheese whey, have been extensively studied in the last few years as a new nutrient source for the cultivation of many algae and protists [19,20]. In addition, the utilization of expired shelf date products offers the opportunity to set a circular-oriented bioprocess through their utilization as nutrient sources for new biotechnological processes [21]. An interesting source of nutrients for P. irregulare growth could be represented by the recycling of expired fruit juices, which are rich in sugars, vitamins, and organic acids [22]. However, the costs related to the pre-treatments of food waste can affect the economic advantage of using these by-products instead of bulk materials [5]. For this reason, P. irregulare could gain more interest due to its capacity to use different sources of organic carbon and nitrogen without any expensive pre-treatments.
To the best of our knowledge, the literature data concerning the growth kinetics of P. irregulare are scarce, and, as far as we know, the cultivation of this oomycete using fruit, dairy, and brewery waste as substrate has never been studied.
Therefore, the aim of this work was to research the best growth conditions for P. irregulare using a standard medium and alternative food-waste-based media in order to understand the potential to use low-cost nutrient sources for the cultivation of this biomass. Moreover, the EPA production of P. irregulare was studied and reported, comparing the standard medium with the new medium from food industry by-products.
2. Materials and Methods
2.1. Organisms and Culture Conditions
The oomycete Pythium irregulare (Leibniz Institute, Culture collection DSMZ, strain number DSM62956, transfer date 28 March 2021) was used for the experiments. For the maintenance of the cultures, V-8 JUICE AGAR was used as specified by the strain provider (see https://bacmedia.dsmz.de/medium/310 (accessed on 9 May 2022) for details). Agar plates were incubated at 24 °C and renewed every 15 d. Liquid cultures were performed by placing 4 mm2 of a petri dish culture in 1.5 mL of a 12-well plates using V-8 JUICE medium and modified YEP medium (20 g/L of glucose, 2 g/L of yeast extract, 2 g/L of peptone, 200 mg/L of K2HPO4, 5 mg/L of Fe-EDTA, and 1 mL/L of A5 trace element solution [19]). The pH of the medium was adjusted to 7.2 before autoclaving at 121 °C for 15 min. Modified YEP medium showed better growth results with respect to V-8 JUICE, with cleaner biomass production, so it was used as the standard medium.
For the following experiments of culture optimization, the biomass contents of each microwell, accounting for about 2 ± 0.2 mg of dry weight (DW), were inoculated in 50 mL Erlenmeyer flasks with 20 mL of modified YEP medium and placed in climatic chambers on an orbital shaker at 100 rpm.
2.2. Determination of Growth Kinetics
The biomass dry weight (DW) was used as the main growth parameter. The Pythium biomass from each flask was harvested, vacuum-filtered using a Whatman no. 1 filter, and rinsed with deionized water in order to remove residual mineral salts from the culture medium. The biomass was then transferred to a pre-weighted plate and dried in a drying tunnel at 50 °C until constant weight.
2.3. Organic Carbon and Nitrogen Source Screening
For the determination of the carbon source metabolization performances of P. irregulare, seven different organic carbons were tested: glucose, lactose, sucrose, galactose, fructose, starch, and glycerol. The amount of C used for each compound was set at 12 g/L for all the trials, corresponding to the standard 30 g/L of glucose used in the control medium. A negative control was also used to evaluate the growth without the addition of any organic carbon.
To study the growth of P. irregulare with different sources of nitrogen, we used 6 nitrogen compounds: monosodium glutamate (MSG), ammonium sulfate ((NH4)2SO4), potassium nitrate (KNO3), urea, yeast extract, and peptone. The amount of N was the same for all the samples, 765 mg L−1, corresponding to the amount of nitrogen in the modified YEP medium used as the control medium. The organic carbon source used was glucose at 30 g/L.
2.4. Temperature Test and Saline Concentration Screening
To determine the optimal growth temperature, five different temperatures were tested: 17, 21, 25, 29, and 33 °C. The experiments were conducted in 50 mL Erlenmeyer flasks with modified YEP medium, the temperature was maintained by a climatic chamber, and shaking was provided by an orbital shaker set at 85 RPM. For the evaluation of saline concentrations on P. irregulare growth, different amounts of NaCl were added to the modified YEP medium, and experiments were performed at 25 °C. The concentrations of NaCl used were: 0, 4, 8, 16, and 32 g/L, supplementing the standard medium.
2.5. Food Waste Trials
In order to evaluate the utilization of various food by-products and waste (FBW), a screening test was carried out to replace the standard nutrients with a combination of different FBW. The food wastes used were: spent brewery yeast (SBY) from brewery manufacturing, cheese whey (CW) from mozzarella cheese production, sugar cane molasses (SCM), corn steep liquor (CSL), and expired orange juice (EFJ). The CW and SBY pre-treatments and proximal compositions were reported in our previous work [19]. The SBY was hydrolyzed following the standard autolysis in distilled water method reported by Jacob et al., 2019 [23], while the CW was neutralized at pH 7 and heated at 80 °C in order to separate the precipitate from the CW. The sugar cane molasses and CSL were purchased from Merck and used without any pretreatment. The EFJ was generously provided by a local market. The EFJ sugar composition was 141 ± 2 g L−1 of total sugars, of which 59% were non-reducing sugars (sucrose) and 41% were reducing sugars (glucose and fructose).
The food waste screening was performed with different combinations of FBW, in order to obtain the optimal combination of an organic carbon source (SCM, CW, EFJ, CSL) and a nitrogen source (SBY, CW, CSL). The selection of the FBW was conducted after our previous experience with these types of substrates on aquatic protist cultivation [19,24]. Specifically, we prepared four formulations: Medium A (TA), with 45 g L−1 of sugar cane molasses and 9.5 g L−1 of CSL; Medium B (TB), with 600 mL L−1 of CW (60% w/v) and 9.5 g L−1 CSL; Medium C (TC), with 230 mL L−1 of EFJ (43.3% w/v) and 7 g L−1 of SBY; Medium D (TD), with 45 g L−1 of SCM and 7 g L−1 of SBY. The formulations were made in order to obtain the same amount of organic carbon and nitrogen as the standard YEP medium.
In the preparation of the alternative media, deionized water was used; the solutions were adjusted to pH 7 and sterilized in an autoclave prior to their utilization.
2.6. Response Surface Methodology
The food waste medium was optimized using response surface methodology (RSM) as previously performed in other fermentation works [19,25,26,27,28]. This method was applied to formulate the optimal combination of EFJ and SBY as organic carbon and nitrogen source, respectively. SBY supplementation was expressed as g L−1 DW of dried extract.
The RSM was carried out by constructing a five-level full factorial central composite design (CCD). The design included star points, which represent extreme values (−α, α) for each input factor. The coded value of alpha depends on the number of factors and as such, = 1.414, considering that k corresponds to the number of factors used in this design. The mathematical relationship of the response (Y) to the significant independent variables X1 and X2 is given by the following quadratic polynomial Equation (1):
where Y is the predicted response; Xi and Xj are the coded values; β0 is the independent coefficient; βi,j is the linear coefficient associated with each independent factor (Xi,j), and βij and βii are the coefficients of the interaction and quadratic effects, respectively [19].
The experimental setup is reported in Table 1.
Table 1.
Experimental design and results of biomass growth optimization with supplementation of sugars from EFJ and SBY by central composite design.
2.7. Lipid Extraction and Fatty Acid Analysis
Lipid extraction and the transmethylation of fatty acids to obtain the methyl-esters of fatty acids were performed according to the method used by Russo et al. 2021 [19]. FAMEs were separated in a gas chromatography–mass spectrometer (GC-MS) using the method proposed by Conde et al. (2021) [29]. The equipment consisted of an Agilent 7890A gas chromatographer coupled to a Waters QUATTRO microTM mass spectrometer detector. The separation was performed on a DB-5MS (30 m × 0.25 mm; f.t. 0.25 µm) from Agilent Technologies (J&W Scientific, Folsom, CA, USA). The oven temperature was 58 °C for 2 min, 25 °C min−1 to 160 °C, 2 °C min−1 to 210 °C, 30 °C min−1 to 225 °C (held for 20 min). The MS detector was operated with an ionization energy of 70 eV and a scanning range of m/z 50–550 m/z. The conditions were helium as the carrier gas at 1.4 mL min−1, an inlet temperature of 220 °C, detector temperature of 230 °C, and 2 µL of injection volume (splitless). The data were analyzed using MassLynx version 4.1 (Waters, San Jose, CA, USA).
2.8. Statistical Analysis
All the analyses were carried out in triplicate, and the average values with standard deviation were reported. One-way ANOVA was applied using the raw data to test for significant differences among the samples (the significance level was always set at p < 0.05). Tukey’s test was used for post-hoc analysis when there were significant differences among the samples. The data were analyzed using IBM© SPSS© Statistics software Ver. 23 (SPSS, Inc., Chicago, IL, USA). RSM analysis was carried out using the Statistica 7.0 package (StatSoft, Tulsa, OK, USA).
3. Results
3.1. Effect of Different Sources of Organic Carbon
The growth performances of P. irregulare cultivated with six different sources of organic carbon were determined, and the results are presented in Figure 1.
Figure 1.
Screening test for different types of organic carbon sources for P. irregulare cultivation. Different letters mean a significant difference (p < 0.05).
The highest biomass after 7 d of cultivation was obtained with the medium supplemented with glucose, lactose, sucrose, and starch, reaching a biomass DW of 8–8.2 g/L. Glucose is currently the monosaccharide of choice for P. irregulare cultivation. Nevertheless, our results suggest that lactose, sucrose, and starch can also be effectively used as substitutions for glucose without a significant difference in terms of biomass growth. In fact, lactose was used in another study with P. irregulare [15], which showed good growth performance with a lactose-based medium. Moreover, sucrose was successfully used for the cultivation of another Pythium specie (P. ultimum), which is in line with our experiment [30].
Pythium species (like all oomycetes species) are capable of degrading carbohydrate polymers, in particular, cellulose and starch from plant roots [31,32]. In fact, P. irregulare grew well with the corn starch used in our experiment, reaching a biomass DW of 8.22 g/L at the end of the cultivation time. This is in line with another study that evaluated the sucrose and starch catabolism by different species of Pythium and also reported a high number of carbohydrate-active enzymes, including polysaccharide lyases and glycoside hydrolases [31].
Instead, the medium with fructose and glycerol supplementation showed a significantly lower biomass (4.5–5.5 g/L of DW) with respect to the organic carbon mentioned above. Glycerol was also used in the work of Liang et al. (2012) [16] for the growth of P. irregulare, obtaining a dried biomass of 4.8 g/L and reporting, as in our study, significantly reduced biomass growth compared to the other media. Other authors also reported a lower growth of P. irregulare when cultivated with crude glycerol compared to glucose [8].
In other words, galactose did not show any significant growth with respect to the negative control (a medium without supplementation of organic carbon), which suggests an inability to metabolize this monosaccharide. In fact, O’ Brien et al. also reported that P. irregulare was unable to metabolize pure galactose [15].
Once the organic carbon screening was performed, the biomass conversion yield of glucose was assessed using increasing concentrations of glucose in the standard medium. Figure 2 shows the results of the growth performances at different concentrations of glucose with the relative efficiency of use.
Figure 2.
Biomass/carbon conversion rate and biomass dry weight of P. irregulare after 7 d of cultivation using different concentrations of glucose in standard medium.
The highest carbon/biomass conversion efficiency (41%) was achieved with 20 g L−1 of glucose. However, the dried biomass obtained was the lowest with respect to the other formulations. The highest biomass DW was obtained with 50 g L−1 of glucose, and further carbon additions did not show any significant improvement in growth performance. The conversion efficiency is an important factor to study in order to achieve the highest biomass obtainable at the lowest supplementation of organic carbon. This yield is mostly important for further scaling up in order to reduce production costs and thus avoid wasting resources [24]. In our case, the best compromise would be to use 30 g L−1 of glucose, thus obtaining a DW of about 10 g L−1, rather than using 50 g L−1 of glucose to obtain just an increased DW of 2 g L−1.
Thus, subsequent experiments were conducted using 30 g L−1 of glucose.
3.2. Evaluation of Different Sources of Nitrogen on Growth Performances
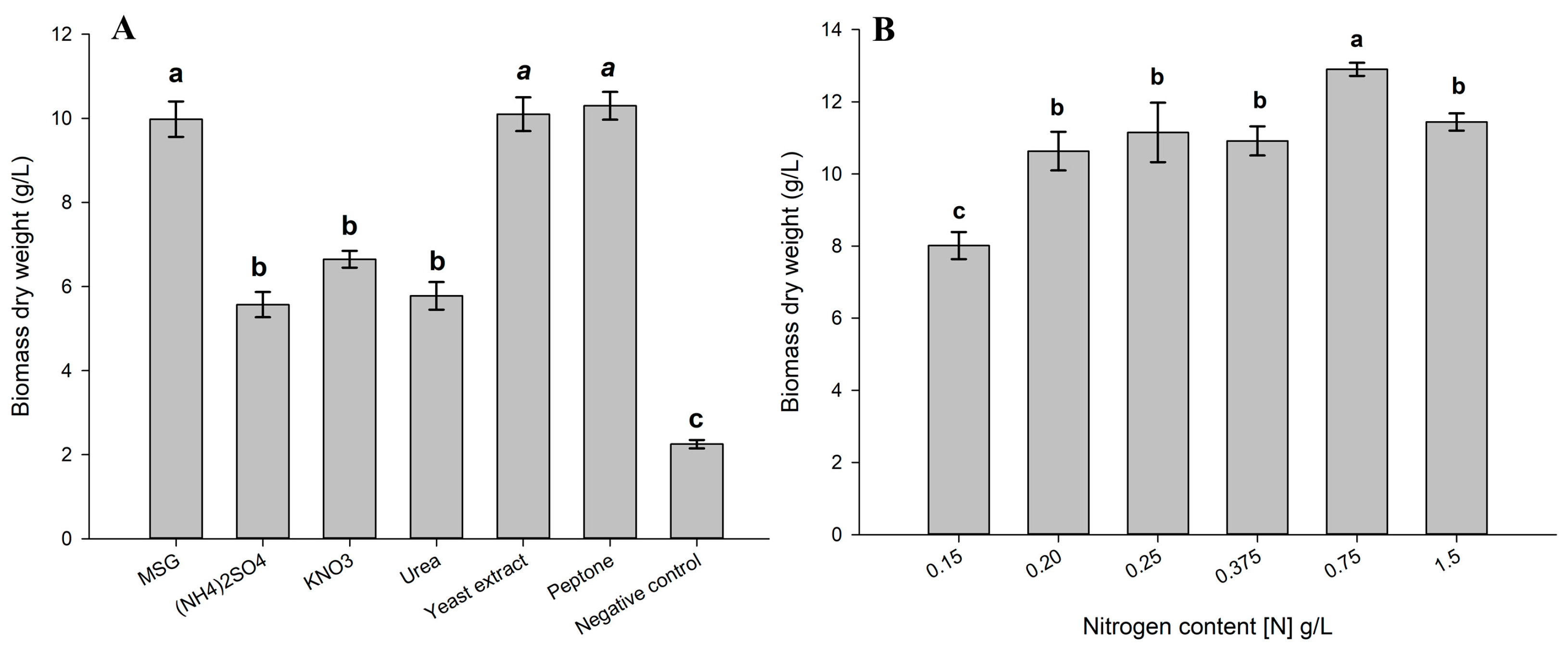
The results of the nitrogen source screening are reported in Figure 3.
Figure 3.
Screening test of different sources (A) and concentrations (B) of nitrogen on P. irregulare growth. The organic carbon source used in the experiment was glucose (30 g L−1). Different nitrogen concentrations in (B) were achieved using yeast extract. Data are expressed as mean ± SD. Different letters mean a significant difference (p < 0.05).
The optimal N sources for P. irregulare were MSG, yeast extract, and peptone, with a DW higher than 10 g L−1. Potassium nitrate, urea, and ammonium sulfate instead showed significantly lower biomass production with respect to the above-mentioned nitrogen sources. As for the organic carbon, no previous studies on Pythium irregulare have been found in the literature for the evaluation of the optimal nitrogen source. However, it was reported that nitrate, ammonium, and nitrite can be used as nitrogen sources by P. irregulare in the glutamate, glutamine, proline, and arginine pathways, which are derived from 2-oxoglutarate after the TCA cycle [32]. Nevertheless, minor expressions of nitrate reductase activity and ammonium transporters have been reported for similar oomycetes species [33,34], which could explain why nitrate showed significantly lower biomass production with respect to protein and amino acid nitrogen.
In the case of yeast extract, peptone, and MSG, the supplementation of hydrolyzed peptides and amino acids in the medium seemed to maximize biomass production. This suggests a faster uptake of organic nitrogen (in particular amino acids and small peptides) with respect to nitrate and ammonium. It was reported that during the early stages of growth, Pythium sp. showed an overexpression of genes associated with the ATP-binding cassette (ABC) and transmembrane transporters, including amino acid/auxin permeases (AAAP) [34].
With these assumptions, it is possible to explain the biomass growth differences between inorganic and organic nitrogen supplementations. In the case of urea, on the other hand, its utilization by P. irregulare resulted in less efficiency than other sources of organic nitrogen. In fact, in the literature, it was reported that most Pythium species have the necessary urease, but accessory proteins are poorly expressed, especially for P. irregulare and P. ultimum [35].
After this screening, we decided to use yeast extract as the optimal nitrogen source for P. irregulare.
The optimal nitrogen concentration to be supplied to the medium was also evaluated, and the results are reported in Figure 3. The highest biomass DW was obtained with a supplementation of 0.75 g/L of N, corresponding to 7 g L−1 of yeast extract. In general, we observed that the nitrogen requirement of P. irregulare was not high as the organic carbon source. In fact, even with the supplementation of 0.15 g L−1 of N, the biomass showed significant growth (8.1 g L−1 of DW). Moreover, significant growth of P. irregulare even with only 2 g L−1 of yeast extract was previously reported in another study [7]. This is a positive finding, as less nitrogen supplementation would reduce the production costs for biomass cultivation.
3.3. Effects of Temperature and Salinity on Biomass Growth
The effects of different temperatures were also investigated, and the results are reported in Figure 4.
Figure 4.
Effects of temperature (A) and NaCl supplementation (B) on growth performance of Pythium irregulare (control without NaCl supplementation). Data are expressed as mean (n = 3) ± SD. Different letters mean a significant difference (p < 0.05).
The best growth performances were obtained at 21 and 25 °C, with final biomass dry weights that were not statistically different, at 10.9 and 10.8 g L−1, respectively. According to the literature, Pythium sp. is able to grow at a high-temperature range (15–30 °C). Cold temperatures have been reported to be the best condition to maximize the PUFA contents in P. irregulare [14]. However, in our experiments, we obtained the highest biomass at 21 °C, while the culture growth at 17 °C was significantly lower than the cultures at 21 and 25 °C. Athalye et al. (2009) [8] reported P. irregulare grown at 25 °C, while in the work of O’ Brien et al. (1993) [15] the protist grew at 22 °C and 14 °C, reporting a significantly higher content of EPA at the low temperature. However, the authors reported that the carbon consumption and biomass production were 50% lower at cold temperatures, affecting the EPA productivity.
In a recent study on P. splendens RBB-5, the optimal growth temperature was 25 °C (in line with our study), but the authors reported lower lipid productivity in this condition [36]. In fact, it is well known that in aquatic protists and fungi, a cold temperature stimulates the expressions of elongase and desaturase enzymes [1,15,36]. However, in the case of P. irregulare, this is difficult to establish, as the growth conditions (growth medium composition, fermenters, shake flask, etc.) are often very different among the various published works.
To investigate the best growth conditions and with a view to using FBW-based media, we also evaluated the growth of P. irregulare at various saline concentrations. Figure 4 shows the growth performance of P. irregulare at different concentrations of NaCl. The control used was the standard medium without NaCl. We did not observe any significant differences between 0 g L−1 and 8 g L−1 of NaCl supplemented to the growth medium. However, a saline concentration higher than 8 g L−1 showed an inhibitory effect on the biomass growth. Nevertheless, P. irregulare showed a good level of robustness in terms of saline tolerance, as we observed growth of this oomycete even at 32 g L−1 of NaCl, which is almost the saline concentration of seawater. Tolerance to osmotic stresses is an important characteristic for an organism that needs to be grown on FBW. In fact, many FBWs have in common a high saline content, which is one of the main causes that make food processing wastewater hard to use for biotechnological purposes [1].
Knowing all these factors, P. irregulare seems to be a great candidate for using FBW as a new sustainable growth medium.
3.4. Screening of Food Waste Medium
Figure 5 shows the results of the new sustainable media from FBW.
Figure 5.
Growth performances of the new food-waste based media on P. irregulare. TA = medium with sugar cane molasses and corn steep liquor; TB = medium with cheese whey and corn steep liquor; TC = medium with expired fruit juice and spent brewery yeast; TD = medium with sugar cane molasses and spent brewery yeast. Data are expressed as mean ± SD. Different letters mean a significant difference (p < 0.05).
The TC medium, which was based on EFJ and SBY, resulted in the best formulation, achieving a biomass of 12.11 g/L after 7 d of cultivation. The TB and TD media obtained results comparable to the standard control, while the worst growth performance was observed with the medium based on SCM and CSL (TA), which showed a significantly lower biomass with respect to the control and the other formulations. This difference in growth performance was probably due to the different sources of organic carbon and nitrogen. In fact, in the CW-based medium, lactose was the predominant organic carbon source, while in the case of EFJ and SCM, sucrose was the most present carbon. Nevertheless, significant biomass growth was observed in all tested media, further highlighting the ability of P. irregulare to grow with different types of nutrients. The SCM-based formulations, despite the presence of a large amount of sucrose in the molasses, reported lower growth performances with respect to the control. This was probably due to the high presence of calcium and magnesium ions within the molasses, which are known to suppress P. irregulare growth and sporulation [37]. Moreover, as we reported previously, a high saline content negatively affect the growth of this protist (Figure 4).
From this screening, it is evident that EFJ is a promising nutrient source to significantly increase the biomass productivity of P. irregulare. In Europe, it has been estimated that up to 8.8 million tons of food are wasted annually in the European Union due to date labeling [38]. Nevertheless, expired foods can be a valuable source of nutrients for biotechnological use, most of all for the growth of fungi and oomycetes [21]. The EFJ used in this study was very rich in sugars (mainly sucrose and fractions of glucose and fructose) that can be easily uptaken by P. irregulare, as we stated before. Moreover, the presence of ascorbic acid, folate, and organic acids present within the fruit juice [22] may be growth promoters for P. irregulare, which would explain the higher growth with respect to the control.
Costs related to feedstock and raw materials have a great impact on the overall economics of heterotrophic biomass cultivation, and finding cheaper sources of carbon and an optimal amount to supply is a necessary step to reducing production costs [5]. For this, the use of alternative sources of low-cost nutrients, such as waste and by-products from the food industry, would make the cultivation of protists and omega-3 production more economically sustainable [39].
3.5. Food-Waste Medium Optimization with RSM
The ANOVA results of RSM-CCD using EJF and SBY as factors are reported in Table 2.
Table 2.
Analysis of variance for biomass production using coded values and regression equation.
The RSM model previously described resulted significant to the analysis with p = 0.001. The variables analyzed were: the concentration of sugars from EFJ (expressed in g/L) and the concentration of SBY lysate supplemented to the medium. The lack of fit was not significant (p = 0.095) and the R2 was higher than 95%, proving the significance of the whole model and its robustness.
The experimental values obtained from the central composite design (CCD) were regressed using a quadratic polynomial equation, and the regression Equation (2), expressed in terms of the actual factors, is shown below.
The interaction between the factors did not show any significant impacts on biomass production (Table 2). However, since the individual effects of SBY and EFJ supplementation showed significant impacts on biomass productivity, one factor plot for these two factors was generated to better understand the results from the RSM analysis (Figure 6).
Figure 6.
Main effect plot of sugars from EFJ (left) and SBY supplementation (right) on biomass production of P. irregulare.
Based on Figure 6, the EFJ sugar increase from 20 g/L to 55 g/L had a positive influence on P. irregulare production. This is in line with our previous screening (Figure 2), confirming the optimal utilization of the sucrose present in EFJ by P. irregulare. However, the results show that an increase in the sugar concentration above 60 g/L was deleterious for biomass productivity, with a significant reduction in growth performance. This was most probably due to the inhibition of sporulation by a high concentration of mineral salts and sucrose, as already reported by our previous experiment and from the literature data [37,40]. In fact, a reduced sporulation rate directly affected the mycelium growth in some species of Pythium [40] This result suggests that SBY is a favorable nitrogen source in enhancing the biomass production of P. irregulare. Nevertheless, regarding the EFJ concentration, a high amount of SBY supplemented to the medium led to lower biomass productivity.
The effects of different concentrations of SBY have never been tested before on the growth of this protist. However, in our previous study, on the thraustochytrid Aurantiochytrium mangrovei, we also reported a positive effect of SBY supplementation on the culture medium [19]. In fact, in our previous study, we observed that SBY extracts can integrally substitute the standard nitrogen source for the cultivation of heterotrophic protists. This is also in agreement with P. irregulare.
Based on the regression analysis of the model equation for biomass production, the optimum levels of the variables were estimated. The optimum conditions were 52 g L−1 of the sugars from EFJ and 9.2 g L−1 of SBY (corresponding to 0.87 g L−1 of nitrogen) supplemented to the medium in order to obtain a dried biomass of 14.22 g L−1.
3.6. Effect of New Sustainable Medium on Fatty Acid Production
After the screening and optimization with alternative food waste media, we performed an analysis of the fatty acids of P. irregulare at the end of the cultivation time. The results are reported in Table 3.
Table 3.
Fatty acid profiles (g/100 g) on the lipids extracted from P. irregulare grown on EFJ medium and EFJ medium optimized after response surface.
The main components of the oil fraction analyzed were oleic acid (C18:1) and palmitic acid (C16:0). Some significant differences were detected between the samples, especially for the palmitic acid, myristic acid (C14:0), linoleic acid (C18:2), and EPA. The EPA obtained among all the samples ranged between 6.9% and 8.4% on the total fatty acids (TFAs).
P. irregulare EPA production was maximized when cultivated in the EFJ medium, obtaining a significantly higher yield with respect to the standard medium (176 mg L−1 vs. 96 mg L−1). This was probably due to the different sources of organic carbon and nitrogen with respect to the control. Additionally, between the two media, there was a different C/N ratio, which could have affected the biomass and lipid productivity. In fact, the standard YEP medium had a C/N of approximately 15, while the new optimized medium had a C/N ratio of 23. The effects of different C/N ratios on P. irregulare were studied in the work of [16]. The authors reported that despite a nitrogen starvation with a high C/N ratio, the oomycete did not demonstrate an increase in lipid productivity, as the lipid synthesis is species-specific. Moreover, they stated that a different amino acid quality of the growth medium significantly affected the lipid productivity of P. irregulare. In our case, the SBY used as the sole nitrogen source increased the biomass and EPA yield with respect to the standard medium.
The EPA yield found in our study was higher than in the study of Athalye et al. (2009), in which P. irregulare was cultivated using crude glycerol from biodiesel production [8]. In that case, the utilization of glycerol negatively affected biomass production, leading to a lower EPA production with respect to our work. In the study of Liang et al. (2011) [16], instead, the EPA production was comparable to ours despite the utilization of a different nitrogen source (rendered animal proteins).
P. irregulare has been shown to be an excellent producer of EPA compared to other microbial sources, such as marine diatoms. For example, in the study of Wang et al. (2018) [41], the authors reported EPA yields of 62.55 and 27.32 mg L−1 for the diatoms Phaeodactylum tricornutum and Cylindrotheca fusiformis, respectively.
Nevertheless, the EPA yield obtained with P. irregulare in our work was significantly lower compared to another study on the oleaginous fungus Mortierella alpina (1.01 mg L−1) [42]. However, optimization of the lipid yield was not examined in our study; only that of biomass productivity on food waste-based medium was determined.
The composition of P. irregulare biomass highly depends on the nutrients used in the medium, as many authors have suggested [16,32]. Moreover, biosynthetic pathways leading to the formation of EPA and its metabolites in Pythium species still remain unclear [16]. However, in 2019, Fernandes et al. [32] reported the metabolic annotation of Pythium irregulare CBS 494.86, proving that this oomycete had biosynthetic fatty acid pathways similar to S. cerevisiae, Y. lipolytica, and M. alpine. In particular, the authors found a gene that encodes the ∆17 desaturase, an enzyme that can use fatty acids both from the acyl-CoA fraction and the phospholipids fraction as substrates for the synthesis of EPA [43]. This makes the protist an excellent candidate for an efficient producer of omega-3 fatty acids.
4. Conclusions
P. irregulare showed a high ability to grow using different sources of organic carbon and nitrogen. Most of all, FBWs were effectively used as alternative sources of nutrients, and the best formulations were those based on EFJ and SBY. To our knowledge, this is the first time that P. irregulare growth with FBW was optimized by RSM-CCD in order to maximize biomass production. The optimization showed that a medium based on 52 g L−1 of sugars from EFJ and 9.2 g L−1 of SBY led to a dried biomass of 14.22 g L−1 and an EPA yield of 176 mg L−1. In this way, it is possible to create new biotechnological processes aimed at using FBW as a low-cost nutrient source for the production of EPA and innovative biomass. Further studies will be needed to evaluate the scale-up of this new biotechnological process. Furthermore, the techno-economic advantages will have to be studied to make the production of microbial EPA by P. irregulare more economically sustainable.
Author Contributions
Conceptualization, G.L.R. and A.L.L.; methodology, A.L.L., V.V. and B.M.-G.; software, G.L.R.; validation, A.L.L., R.R., R.S., P.M. and V.V.; formal analysis, G.L.R., V.V., B.M.-G. and R.R; investigation, G.L.R. and A.L.L.; resources, P.M., R.R. and V.V.; data curation, G.L.R., B.M.-G. and V.V.; writing G.L.R. and A.L.L.; writing—review and editing, A.L.L., V.V., R.R. and P.M.; visualization, G.L.R.; supervision, A.L.L. and P.M.; project administration, P.M.; funding acquisition, P.M. All authors have read and agreed to the published version of the manuscript.
Funding
This study is part of ERA-Net SUSFOOD2 project SUSPUFA, ID 145, with funding provided by the Italian Ministry of Education, University and Research (MIUR) and the Spanish Ministry of Science, Education and Universities/Spanish State Research Agency-PCI2018-093178, and co-funding provided by the European Union’s Horizon 2020 Research and Innovation Program.
Institutional Review Board Statement
Not applicable.
Data Availability Statement
Not applicable.
Conflicts of Interest
The authors declare that they have no competing financial interest or personal relationships that could have appeared to influence the work reported in this paper.
References
- Russo, G.L.; Langellotti, A.L.; Oliviero, M.; Sacchi, R.; Masi, P. Sustainable production of food grade omega-3 oil using aquatic protists: Reliability and future horizons. New Biotechnol. 2021, 62, 32–39. [Google Scholar] [CrossRef] [PubMed]
- Calder, P.C. Very long-chain n-3 fatty acids and human health: Fact, fiction and the future. Proc. Nutr. Soc. 2018, 77, 52–72. [Google Scholar] [CrossRef] [PubMed]
- Kitessa, S.M.; Abeywardena, M.; Wijesundera, C.; Nichols, P.D. DHA-containing oilseed: A timely solution for the sustainability issues surrounding fish oil sources of the health-benefitting long-chain omega-3 oils. Nutrients 2014, 6, 2035–2058. [Google Scholar] [CrossRef] [PubMed]
- Chauton, M.S.; Reitan, K.I.; Norsker, N.H.; Tveterås, R.; Kleivdal, H.T. A techno-economic analysis of industrial production of marine microalgae as a source of EPA and DHA-rich raw material for aquafeed: Research challenges and possibilities. Aquaculture 2015, 436, 95–103. [Google Scholar] [CrossRef]
- Russo, G.L.; Langellotti, A.L.; Sacchi, R.; Masi, P. Techno-economic assessment of DHA-rich Aurantiochytrium sp. production using food industry by-products and waste streams as alternative growth media. Bioresour. Technol. Rep. 2022, 18, 100997. [Google Scholar] [CrossRef]
- Gupta, A.; Barrow, C.J.; Puri, M. Omega-3 biotechnology: Thraustochytrids as a novel source of omega-3 oils. Biotechnol. Adv. 2012, 30, 1733–1745. [Google Scholar] [CrossRef]
- Cantrell, H.F.; Dowler, W.M. Effects of Temperature and pH on Growth and Composition of Pythium irregulare and Pythium vexans. Mycologia 1971, 63, 31. [Google Scholar] [CrossRef]
- Athalye, S.K.; Garcia, R.A.; Wen, Z. Use of Biodiesel-Derived Crude Glycerol for Producing Eicosapentaenoic Acid (EPA) by the Fungus Pythium irregulare. J. Agric. Food Chem. 2009, 57, 2739–2744. [Google Scholar] [CrossRef]
- Nguyen, H.D.T.; Dodge, A.; Dadej, K.; Rintoul, T.L.; Ponomareva, E.; Martin, F.N.; de Cock, A.W.A.M.; Lévesque, C.A.; Redhead, S.A.; Spies, C.F.J. Whole genome sequencing and phylogenomic analysis show support for the splitting of genus Pythium. Mycologia 2022, 114, 501–515. [Google Scholar] [CrossRef]
- Wu, L.; Roe, C.L.; Wen, Z. The safety assessment of Pythium irregulare as a producer of biomass and eicosapentaenoic acid for use in dietary supplements and food ingredients. Appl. Microbiol. Biotechnol. 2013, 97, 7579–7585. [Google Scholar] [CrossRef]
- Bělonožníková, K.; Hýsková, V.; Chmelík, J.; Kavan, D.; Čeřovská, N.; Ryšlavá, H. Pythium oligandrum in plant protection and growth promotion: Secretion of hydrolytic enzymes, elicitors and tryptamine as auxin precursor. Microbiol. Res. 2022, 258, 126976. [Google Scholar] [CrossRef] [PubMed]
- Cheng, M.H.; Walker, T.H.; Hulbert, G.J.; Raman, D.R. Fungal production of eicosapentaenoic and arachidonic acids from industrial waste streams and crude soybean oil. Bioresour. Technol. 1999, 67, 101–110. [Google Scholar] [CrossRef]
- Lio, J.; Wang, T. Pythium irregulare Fermentation to Produce Arachidonic Acid (ARA) and Eicosapentaenoic Acid (EPA) Using Soybean Processing Co-products as Substrates. Appl. Biochem. Biotechnol. 2013, 169, 595–611. [Google Scholar] [CrossRef] [PubMed]
- Liang, Y.; Zhao, X.; Strait, M.; Wen, Z. Use of dry-milling derived thin stillage for producing eicosapentaenoic acid (EPA) by the fungus Pythium irregulare. Bioresour. Technol. 2012, 111, 404–409. [Google Scholar] [CrossRef]
- O’Brien, D.; Kurantz, M.; Kwoczak, R. Production of eicosapentaenoic acid by the filamentous fungus Pythium irregulare. Appl. Microbiol. Biotechnol. 1993, 40, 211–214. [Google Scholar] [CrossRef]
- Liang, Y.; Garcia, R.A.; Piazza, G.J.; Wen, Z. Nonfeed Application of Rendered Animal Proteins for Microbial Production of Eicosapentaenoic Acid by the Fungus Pythium irregulare. J. Agric. Food Chem. 2011, 59, 11990–11996. [Google Scholar] [CrossRef] [PubMed]
- Petit, B.; Mitaine-Offer, A.-C.; Fischer, J.; Schüffler, A.; Delaude, C.; Miyamoto, T.; Tanaka, C.; Thines, E.; Lacaille-Dubois, M.-A. Anti-phytopathogen terpenoid glycosides from the root bark of Chytranthus macrobotrys and Radlkofera calodendron. Phytochemistry 2021, 188, 112797. [Google Scholar] [CrossRef] [PubMed]
- Ryu, B.-G.; Kim, K.; Kim, J.; Han, J.-I.; Yang, J.-W. Use of organic waste from the brewery industry for high-density cultivation of the docosahexaenoic acid-rich microalga, Aurantiochytrium sp. KRS101. Bioresour. Technol. 2013, 129, 351–359. [Google Scholar] [CrossRef]
- Russo, G.L.; Langellotti, A.L.; Verardo, V.; Martín-García, B.; Di Pierro, P.; Sorrentino, A.; Baselice, M.; Oliviero, M.; Sacchi, R.; Masi, P. Formulation of New Media from Dairy and Brewery Wastes for a Sustainable Production of DHA-Rich Oil by Aurantiochytrium mangrovei. Mar. Drugs 2021, 20, 39. [Google Scholar] [CrossRef]
- Humhal, T.; Kronusová, O.; Kaštánek, P.; Potočár, T.; Kohoutková, J.; Brányik, T. Influence of nitrogen sources on growth of thraustochytrids in waste water from the demineralization of cheese whey. Czech J. Food Sci. 2019, 37, 383–390. [Google Scholar] [CrossRef]
- Sarris, D.; Philippoussis, A.; Mallouchos, A.; Diamantopoulou, P. Valorization of low-cost, carbon-rich substrates by edible ascomycetes and basidiomycetes grown on liquid cultures. FEMS Microbiol. Lett. 2020, 367, fnaa168. [Google Scholar] [CrossRef]
- Chanson-Rolle, A.; Braesco, V.; Chupin, J.; Bouillot, L. Nutritional Composition of Orange Juice: A Comparative Study between French Commercial and Home-Made Juices. Food Nutr. Sci. 2016, 7, 252–261. [Google Scholar] [CrossRef]
- Jacob, F.F.; Striegel, L.; Rychlik, M.; Hutzler, M.; Methner, F.-J. Spent Yeast from Brewing Processes: A Biodiverse Starting Material for Yeast Extract Production. Fermentation 2019, 5, 51. [Google Scholar] [CrossRef]
- Russo, G.L.; Langellotti, A.L.; Blasco, T.; Oliviero, M.; Sacchi, R.; Masi, P. Production of Omega-3 Oil by Aurantiochytrium mangrovei Using Spent Osmotic Solution from Candied Fruit Industry as Sole Organic Carbon Source. Processes 2021, 9, 1834. [Google Scholar] [CrossRef]
- Yu, X.-J.; Yu, Z.-Q.; Liu, Y.-L.; Sun, J.; Zheng, J.-Y.; Wang, Z. Utilization of High-Fructose Corn Syrup for Biomass Production Containing High Levels of Docosahexaenoic Acid by a Newly Isolated Aurantiochytrium sp. YLH70. Appl. Biochem. Biotechnol. 2015, 177, 1229–1240. [Google Scholar] [CrossRef] [PubMed]
- Nazir, Y.; Shuib, S.; Kalil, M.S.; Song, Y.; Hamid, A.A. Optimization of Culture Conditions for Enhanced Growth, Lipid and Docosahexaenoic Acid (DHA) Production of Aurantiochytrium SW1 by Response Surface Methodology. Sci. Rep. 2018, 8, 8909. [Google Scholar] [CrossRef] [PubMed]
- Jagaba, A.H.; Kutty, S.R.M.; Abubakar, S.; Birniwa, A.H.; Lawal, I.M.; Umaru, I.; Usman, A.K.; Yaro, N.S.A.; Al-Zaqri, N.; Al-Maswari, B.M.; et al. Synthesis, Characterization, and Performance Evaluation of Hybrid Waste Sludge Biochar for COD and Color Removal from Agro-Industrial Effluent. Separations 2022, 9, 258. [Google Scholar] [CrossRef]
- Jagaba, A.H.; Kutty, S.R.M.; Naushad, M.; Lawal, I.M.; Noor, A.; Affam, A.C.; Birniwa, A.H.; Abubakar, S.; Soja, U.B.; Abioye, K.J.; et al. Removal of nutrients from pulp and paper biorefinery effluent: Operation, kinetic modelling and optimization by response surface methodology. Environ. Res. 2022, 214, 114091. [Google Scholar] [CrossRef]
- Conde, T.A.; Couto, D.; Melo, T.; Costa, M.; Silva, J.; Domingues, M.R.; Domingues, P. Polar lipidomic profile shows Chlorococcum amblystomatis as a promising source of value-added lipids. Sci. Rep. 2021, 11, 4285. [Google Scholar] [CrossRef]
- Gandhi, S.R.; Weete, J.D. Production of the polyunsaturated fatty acids arachidonic acid and eicosapentaenoic acid by the fungus Pythium ultimum. J. Gen. Microbiol. 1991, 137, 1825–1830. [Google Scholar] [CrossRef]
- Zerillo, M.M.; Adhikari, B.N.; Hamilton, J.P.; Buell, C.R.; Lévesque, C.A.; Tisserat, N. Carbohydrate-Active Enzymes in Pythium and Their Role in Plant Cell Wall and Storage Polysaccharide Degradation. PLoS ONE 2013, 8, e72572. [Google Scholar] [CrossRef] [PubMed]
- Fernandes, B.S.; Dias, O.; Costa, G.; Kaupert Neto, A.A.; Resende, T.F.C.; Oliveira, J.V.C.; Riaño-Pachón, D.M.; Zaiat, M.; Pradella, J.G.C.; Rocha, I. Genome-wide sequencing and metabolic annotation of Pythium irregulare CBS 494.86: Understanding Eicosapentaenoic acid production. BMC Biotechnol. 2019, 19, 41. [Google Scholar] [CrossRef] [PubMed]
- Abrahamian, M.; Ah-Fong, A.M.V.; Davis, C.; Andreeva, K.; Judelson, H.S. Gene Expression and Silencing Studies in Phytophthora infestans Reveal Infection-Specific Nutrient Transporters and a Role for the Nitrate Reductase Pathway in Plant Pathogenesis. PLoS Pathog. 2016, 12, e1006097. [Google Scholar] [CrossRef] [PubMed]
- Ah-Fong, A.M.V.; Shrivastava, J.; Judelson, H.S. Lifestyle, gene gain and loss, and transcriptional remodeling cause divergence in the transcriptomes of Phytophthora infestans and Pythium ultimum during potato tuber colonization. BMC Genomics 2017, 18, 764. [Google Scholar] [CrossRef]
- Krajaejun, T.; Rujirawat, T.; Kanpanleuk, T.; Santanirand, P.; Lohnoo, T.; Yingyong, W.; Kumsang, Y.; Sae-Chew, P.; Kittichotirat, W.; Patumcharoenpol, P. Biochemical and genetic analyses of the oomycete Pythium insidiosum provide new insights into clinical identification and urease-based evolution of metabolism-related traits. PeerJ 2018, 6, e4821. [Google Scholar] [CrossRef]
- Ren, L.; Zhou, P.; Zhu, Y.; Zhang, R.; Yu, L. Improved eicosapentaenoic acid production in Pythium splendens RBB-5 based on metabolic regulation analysis. Appl. Microbiol. Biotechnol. 2017, 101, 3769–3780. [Google Scholar] [CrossRef]
- Dorrance, A.E.; Wallhead, M.W.; Austin, G.D.; Lipps, P.E.; Paul, P.A.; Mullen, R.W.; Broders, K.D. Association of soil chemical and physical properties with pythium species diversity, community composition, and disease incidence. Phytopathology 2009, 99, 957–967. [Google Scholar] [CrossRef]
- FUSION. Estimates of European Food Waste Levels; European Union: Brussels, Belgium, 2016; ISBN 9789188319012. [Google Scholar]
- Ende, S.S.W.; Noke, A. Heterotrophic microalgae production on food waste and by-products. J. Appl. Phycol. 2019, 31, 1565–1571. [Google Scholar] [CrossRef]
- Al-Sadi, A.M.; Al-Masoudi, R.S.; Al-Habsi, N.; Al-Said, F.A.; Al-Rawahy, S.A.; Ahmed, M.; Deadman, M.L. Effect of salinity on pythium damping-off of cucumber and on the tolerance of Pythium aphanidermatum. Plant Pathol. 2010, 59, 112–120. [Google Scholar] [CrossRef]
- Wang, H.; Zhang, Y.; Chen, L.; Cheng, W.; Liu, T. Combined production of fucoxanthin and EPA from two diatom strains Phaeodactylum tricornutum and Cylindrotheca fusiformis cultures. Bioprocess Biosyst. Eng. 2018, 41, 1061–1071. [Google Scholar] [CrossRef]
- Huang, M.; Chen, H.; Tang, X.; Lu, H.; Zhao, J.; Zhang, H.; Chen, Y.; Chen, W. Two-stage pH control combined with oxygen-enriched air strategies for the highly efficient production of EPA by Mortierella alpina CCFM698 with fed-batch fermentation. Bioprocess Biosyst. Eng. 2020, 43, 1725–1733. [Google Scholar] [CrossRef] [PubMed]
- Xue, Z.; He, H.; Hollerbach, D.; MacOol, D.J.; Yadav, N.S.; Zhang, H.; Szostek, B.; Zhu, Q. Identification and characterization of new Δ-17 fatty acid desaturases. Appl. Microbiol. Biotechnol. 2013, 97, 1973–1985. [Google Scholar] [CrossRef] [PubMed]
Disclaimer/Publisher’s Note: The statements, opinions and data contained in all publications are solely those of the individual author(s) and contributor(s) and not of MDPI and/or the editor(s). MDPI and/or the editor(s) disclaim responsibility for any injury to people or property resulting from any ideas, methods, instructions or products referred to in the content. |
© 2023 by the authors. Licensee MDPI, Basel, Switzerland. This article is an open access article distributed under the terms and conditions of the Creative Commons Attribution (CC BY) license (https://creativecommons.org/licenses/by/4.0/).





