Abstract
The issue of population aging and imbalanced urban–rural development are two major economic realities and difficulties in China. They constitute important factors affecting the sustainable development of urban and rural areas. The main objective of this study is to analyze the impact of population aging on the consumption levels of urban and rural residents, including overall and subdivided. The secondary objective is to analyze whether this impact has spatial spillover effects so that the bias caused by ignoring the mutual influence between regions could be eliminated. We used global and local Moran’s I, the spatial SLM model, and the SEM model to econometrically analyze the provincial panel data of urban and rural areas obtained from 2010 to 2021. This study found that, first, the distributions of the total consumption and population aging levels of Chinese urban and rural areas are not random and all have obvious spatial dependence characteristics. More specifically, all distributions present significant H-H or L-L clustering phenomena in local space. In other words, high-level areas are surrounded by high-level areas, while low-level areas are surrounded by low-level areas. Second, population aging has a significant negative impact on the overall consumption levels of urban residents and positively increases the consumption level of rural residents, which indicates that population aging will eliminate the urban–rural consumption gap and balance regional economic development to a certain extent. Third, from the perspective of consumption structure, the negative impact of population aging on different consumption expenditure items of urban residents varies, and the effect on various consumption expenditure items of rural residents also shows heterogeneity. Fourth, in terms of the spatial spillover effect, the influence of population aging on the consumption level of urban residents has a significant negative spatial spillover effect; however, in the rural group, the spatial spillover effect caused by the population aging level on the consumption level is not significant. This study provides a new spatial perspective for studying aging and urban–rural consumption inequality behavior, and serves as a reference for the government to further promote the sustainable development of urban–rural consumption in the future.
Keywords:
population aging; urban–rural gap; consumption inequality; Moran’s I; SLM model; SEM model 1. Introduction
Population aging and the unbalanced nature of urban–rural development are important constraints that hinder the integrated development of urban and rural areas in China, as well as important factors that affect China’s comprehensive and sustainable economic and social development. As China’s marriage and birth rates continue to decline and the population growth rate continues to slow down, the crisis of social aging is becoming increasingly apparent within research.
On 11 May 2021, The Seventh National Census of the Main Data Situation released by the National Bureau of Statistics of China showed that the number of people within the population who were aged 60 years or older was 264.02 million, accounting for 18.70%. Among them, the number of people aged 65 years or older was 190.64 million, accounting for 13.50% [1]. Meanwhile, the dependency ratio of China’s elderly population has been consistently increasing, from 11.9% in 2010 to 20.8% in 2021 [2], which means that the number of working-age people who originally supported elderly people has decreased from 8.4 to 4.8. This evidence indicates that the degree of population aging in China has progressed, and China has become a strictly aging country and will continue to face pressure from a long-term imbalanced population development in the future. Unlike other aging countries, China’s population aging situation is typically characterized by a large population base and rapid development. In 2020, the number of elderly people in China aged 65 years or older reached 191 million, accounting for 13.5% of the total population, and there was one Chinese person for every four elderly people in the world. It is expected that, by 2057, those aged 65 years or older in China will reach a peak of 425 million individuals, accounting for 32.9–37.6% of the total population; in 2001, more than 7% of China’s population was over 65 years old, marking China’s entry into an aging society. It took 21 years for China to enter into the level of deep aging in 2021, when the proportion of people aged 65 years or older exceeded 14%, a shorter time frame than France’s 126 years, the United Kingdom’s 46 years, and Germany’s 40 years [3]. Consumers will inevitably face retirement issues in the process of “aging”, which is more prominent for urban residents in China, who usually have stable jobs [4]. For urban residents, if an individual does not choose to continue in the labor market after retirement, it means that his income will shift from being mainly based on wages to being mainly based on pensions. Due to the positive income elasticity of most residents’ consumption, it may lead to a decrease in consumption expenditure. For rural residents, as most people do not have a clear retirement age, the income change caused by pension policies is often weak. At present, China’s multi-level pension insurance system consists of three pillars: The first pillar is basic pension insurance, which includes basic pension insurance for urban employees and basic pension insurance for urban and rural residents, and is led by the government. The second pillar, namely enterprise annuity and occupational annuity, is a supplementary pension insurance related to professions. The third pillar includes personal savings pension insurance and commercial pension insurance, which are financial means for individuals to increase the supply of pension security [5]. On 21 May 2023, the General Office of the CPC Central Committee and General Office of the State Council issued the Opinions on Promoting the Construction of the Basic Pension Service System, pointing out that the country needed to improve the basic elderly care service system and better ensure the livelihood of the elderly population [6], which indicated that, with the advancement of population aging and the increasing pressure on the pensions of the whole of society, the improvement of China’s old age social security system was facing considerable challenges.
At the same time, as shown in Figure 1, China’s economy has developed considerably since the reform and opening-up policy in 1978. The final consumption rate has been maintained at around 55%. The rate of contribution of the final consumption expenditure to GDP still shows an overall trend of fluctuating downward, and the pulling effect of the final consumption expenditure on GDP growth has hovered at a relatively low level of 5% in recent years. The prevalence of the COVID-19 epidemic made the latter two reach the lowest value in 2020. As one of the troika driving economic growth, the increase in consumption rates is closely related to sustainable economic development. The Chinese government has issued a series of policies reaffirming the importance of promoting consumption growth and expanding domestic demand, and has made the promotion of consumption growth a strategic base for sustainable and healthy economic development practices in the new era. The CPC Central Committee formulated Suggestions on Formulating the 14th Five Year Plan for National Economic and Social Development and the Long Range Goals for 2035 to emphasize the fundamental role of consumption in relation to economic development [7]. The Report of the 20th National Congress of the CPC emphasizes the theme of promoting high-quality development, organically combining the implementation of the strategy of expanding domestic demands with the expansion of supply side structural reforms, in order to enhance the endogenous momentum and reliability of the domestic macrocycle [8].
Figure 1.
Consumption and GDP growth. Note: (1) source of data: the National Bureau of Statistics of China and http://www.stats.gov.cn/ (accessed on 1 January 2022). (2) The rate of contribution of the final consumption expenditure to GDP growth should be read using the right axis and the other two indicators using the left axis. (3) The rate of contribution of final consumption expenditure to GDP growth is calculated by multiplying the contribution of final consumption expenditure by the growth rate of GDP in the current period; the final consumption rate is the share of final consumption expenditure in the GDP obtained through the expenditure method; the rate of contribution of the final consumption expenditure to GDP is the ratio of incremental final consumption expenditure to incremental GDP using the expenditure approach.
Because of age differences and generational turnover rates in residents’ consumption behavior, the country’s overall consumption pattern is inevitably affected by its aging process. The expansion of the size and proportion of the aging population has had a significant impact on both the consumption capacity and consumption structure of residents, and, to a certain extent, has resulted in changes in China’s economic growth rate and development patterns. Under such basic facts, exploring the impact of population aging on the consumption levels of China’s urban and rural residents and mastering the changing rules will help us to coordinate regional development, expand national domestic demands, and ultimately drive the economy to achieve higher-quality sustainable development outcomes.
The urban–rural dual structure is an important feature of China’s economic landscape and, as shown in Figure 2, the aging levels in urban and rural areas are similarly considerably imbalanced. In 2011, with the exception of a handful of provinces, such as Liaoning, Jilin, Heilongjiang, and Qinghai, the dependency ratios of the rural elderly population are higher than those in urban areas. In 2021, after 10 years, except for Qinghai and Xinjiang, the dependency ratios of the rural elderly population in all provinces are higher than those in urban areas, and the gap between the two has widened even further. There is a large gap between the degree of population aging in urban and rural areas. Upon further observation of Figure 2, we can determined that there are obvious “peaks” and “valleys” in the line graph, i.e., there are uneven spatial distributions of the population aging levels in urban and rural areas, which should not be overlooked in this study.
Figure 2.
Dependency ratios of urban and rural elderly populations. Note: source of data: the China Statistical Yearbook of Population and Employment (2012–2022) and https://data.cnki.net/yearBook/single?id=N2023030104 (accessed on 1 January 2022); the China Statistical Yearbook (2012–2022) and https://data.cnki.net/yearBook/single?id=N2022110021 (accessed on 1 January 2022).
In contrast, the consumption gap between urban and rural residents is also obvious. Figure 3 shows the average gross consumption expenditure rate and its growth rate amongst urban and rural residents. It can be observed that, since 2011, although the average gross consumption expenditure ratio of urban and rural residents has declined in general, and the average gross consumption expenditure of rural residents shows a higher rate of growth, the ratio of the average gross consumption expenditure of urban and rural residents was higher than two in 2021, which shows that there is still a large gap between urban and rural residents’ consumption levels. Affected by COVID-19, the real growth rate of the average gross consumption expenditure of both urban residents and rural residents in 2021 reached the lowest level in the past decade. Moreover, some studies show that the spatial distribution of residents’ consumption levels is not uniform and there is evidence of an all-area positive correlation and low-value agglomeration phenomenon [9,10]. Consumption behavior is affected by spatial construction and distribution factors, and the difference between urban and rural consumption spaces leads to a greater heterogeneity of residents’ consumption behavior: first, the heterogeneity of consumption groups caused by the difference between urban and rural social formation mechanisms and, second, the heterogeneity of individual consumers caused by the inheritance of beliefs, perceptions, social hierarchies, and other family capital factors [11].
Figure 3.
Average gross consumption expenditure rates of urban and rural residents and real growth rate. Note: (1) source of data: the National Bureau of Statistics of China and http://www.stats.gov.cn/ (accessed on 1 January 2022). (2) Average gross consumption expenditure levels of urban and rural residents are calculated on the basis of the average resident population and deflated by the consumption level index for urban and rural residents, respectively, with 2011 serving as the base period.
On 31 July 2023, the National Development and Reform Commission of China formulated Measures on Restoring and Expanding Consumption to explicitly accelerate the construction of a new development pattern, focus on promoting high-quality development, and prioritize the restoration and expansion of consumption behavior in the country [12]. Scholars have conducted a considerable amount of research on population aging factors and urban–rural residents’ consumption levels; however, only a few articles pay attention to the fact that the regional distributions of population aging and urban–rural residents’ consumption behavior in China are uneven. The main research objective of this article is to explore the impact of aging on consumption expenditure in urban and rural areas, including overall and subdivided, to determine whether aging is an important factor leading to consumption inequality between urban and rural residents. The secondary objective is to examine whether this impact has spatial spillover effects. Spatial spillover effects, also known as indirect effects, are used to measure the impact of an explanatory variable in a “neighboring” region on the dependent variable in the region. Due to the trend of economic integration, the spatial correlation of economic data will become increasingly high. Therefore, in the processing of any economic data involving space or distance, it is necessary to consider and handle this spatial spillover effect, otherwise the estimation of the model will have bias. We re-examined the relationship between population aging and the imbalance between urban and rural consumption levels, with a view to providing a reasonable basis for boosting urban and rural consumption behavior, equalizing the imbalance between urban and rural development factors, and thus promoting sustainable and healthy economic development outcomes.
Compared with the existing literature, the marginal contributions of our study are the following: (1) This research faces the reality of the uneven regional distributions of China’s population aging and urban–rural residents’ consumption levels, and introduces the spatial factor, so as to more accurately understand the impact of population aging on urban–rural residents’ consumption levels. (2) This study uses both the spatial lag model (SLM) and spatial error model (SEM), as well as the geographic inverse distance matrix and the economic distance matrix for robustness testing, which considerably enhances the credibility of the measurement results we achieved. (3) Unlike the existing studies that mostly use uniform population age data obtained from urban and rural areas when conducting analyses of the relationship between urban and rural aging and consumption levels, this paper analyzes urban and rural areas in separate samples and does not assume that urban and rural aging levels are the same in the same province or region; therefore, the differences in the urban and rural population age structure are fully taken into account. (4) This paper also fully demonstrates the different directions and intensities of the impact of population aging on total consumption levels and the consumption levels of the expenditures of urban and rural residents; it also conducts a comparative analysis, which provides a new perspective for related research on the impact of population aging on the consumption structure of residents.
The subsequent sections of the article are arranged as follows: the second part of the article reviews the domestic and international studies conducted on the relationship between population aging and consumption levels and provides a brief commentary; the third part proposes a research design based on a theoretical analysis and conducts data processing tests; the fourth part utilizes inter-provincial panel data and establishes spatial econometric models to empirically analyze the impact of population aging on the overall consumption expenditure and consumption structure of urban and rural residents and its spatial spillover effects; and the fifth part summarizes the research conclusions, proposes policy implications for coping with population aging and coordinating the consumption gap between urban and rural residents, and finally analyzes the shortcomings and future research directions of this article.
2. Literature Review
The most important theoretical basis for the research conducted on the relationship between the age structure of a population and consumption levels is the life cycle hypothesis proposed by Modigliani and Brumberg [13]. According to this hypothesis, consumers optimally allocate their lifetime expected total income at different ages to maximize the intertemporal utility. Based on this theory, scholars at home and abroad have had multiple discussions, seeking to derive the relationship between aging and consumption or savings rates. In summary, population aging mainly affects consumption levels in the following ways: First, compared to their working income, elderly people will face a decrease in their disposable income, which will have a negative impact on the total consumption expenditure of retirees [14]. Rural consumers are not subject to the legal retirement age; however, due to the decline in income levels accompanied by the decline in physical strength and the lack of a pension industry, the consumption level will also decline to some extent. Second, elderly people may be constrained by traditional consumption habits, consumption concepts, and “bequest” motivation. They may suppress their own consumption needs, which will affect the improvement in their consumption levels. Third, from a household perspective, adult children in the family always provide a certain amount of support to the elderly in China. If the proportion of elderly people in the family population increases, consumers may reduce their current household consumption expenses to ensure the expenditure of supporting the elderly. In other words, the precautionary savings opportunities for the entire family will be strengthened. Therefore, the increase in the dependency ratio of the elderly population in households will suppress the level of household consumption. On the other hand, the aging population will also have a positive impact on consumption, including the increase in medical consumption demand with age, the compensatory consumption according to the life cycle theory, such as enthusiasm for tourism consumption, etc.
In terms of the empirical evidence present in the literature, domestic and international scholars have performed a considerable amount of studies on the impact of population aging on residents’ consumption behavior. The conclusions derived from the research can be divided into the following three categories: first, the inhibition theory, which suggests that population aging has a negative impact on residents’ consumption expenditure levels [15,16,17,18,19,20,21,22,23,24]; second, the promotion theory, which suggests that population aging can promote residents’ consumption behavior [25,26,27,28,29,30,31,32,33,34,35]; and, third, the dynamic impact theory, which suggests that the impact of population aging on consumption behavior is dynamic, which needs to be considered and analyzed more comprehensively in the literature [36,37,38,39,40,41]. Then, we organized the relevant studies according to each of the abovementioned three different theories.
The first type of research concerned population aging and how it inhibited residents’ consumption behavior; it was conducted by Modigliani and Cao by selecting China’s observation data from 1953 to 2000, and determined that the main reason for the existence of the phenomenon of a high savings rate in China was by quantitatively testing the correlation between population aging levels and savings rates in the country [15]. Subsequent studies conducted by Chinese scholars using macro- and micro-data yielded similar conclusions at the provincial, municipal, and household levels that increasing population aging levels had a significant negative impact on residents’ consumption levels [16,17,18,19,20,21,22,23,24]. Wang and Fu constructed a model for measuring Chinese residents’ consumption levels with the population age structure used as a variable, and they concluded that an aging population will lead to a decline in China’s consumption rate as well as consumption level in the future [16]. Li and Zhang constructed a dynamic macro-economics model and observed that the consumption behavior of China’s rural residents presented a strong stability outcome, and the coefficients of child support and old age support had a significant negative effect on their consumption behavior outcomes [17]. Based on panel data of provinces from 1996 to 2010, Mao et al. concluded that the continuous increase in the elderly dependency ratio will have a negative impact on residents’ consumption. The consumption expenditure level of urban residents decreased significantly with the aging of the population, while the consumption level of rural residents did not decrease significantly [18]. Other scholars also studied the correlation between the consumption levels of people in different regions and the age structure of the population, and similarly observed that there was a negative correlation between the old age support rate and consumption level [19,20,21,22,23,24].
The research conducted on the second type of literature suggests that the population aging factor can promote residents’ consumption behavior, and, in this regard, foreign scholars achieved useful results. Leff first used the empirical analysis method to argue in favor of the life cycle theory [25]. He used the macro-economic information data obtained from 74 countries in a quantitative test, and the results showed that the increased old and young population dependency ratio had a significant negative impact on the country’s savings rate. In other words, population aging has a boosting effect on consumption levels. Following the publication of Leff’s research results, many scholars used Leff’s empirical model for their analyses, and these studies strongly supported the life cycle theory [26,27]. Based on Modigliani and Brumberg’s life cycle theory and Friedman’s persistent income hypothesis, Ram, Bloom et al., and other scholars studied the impacts of population life expectancy and social security levels, the population dependency ratio, and other factors on the consumption levels and savings outcomes of residents [28,29,30]. In a study, Schultz used the panel data of 16 Asian countries during the period from 1952 to 1992 to empirically analyze the correlation between the age composition of the national population and the national savings rate through a multivariate panel regression technique, and concluded that the result was consistent with the life cycle theory; however, the impact of population aging on the savings rate was relatively weak [31]. Domestic scholars have also used China’s data to confirm the perspective that the increase in the support rate of China’s elderly population can improve the consumption levels of residents in some regions [32,33]; from the regional level, population aging has a different impact on the per capita consumption propensity of local residents, depending on the region [34,35].
The third category concerns the latest research conducted on population aging and consumption levels, which is considered to present a dynamic change characteristic: the effect of population aging on consumption levels at the early stage presents a positive effect, at the middle stage it presents a negative effect, and at the late stage it has no effect at all. Yu and Sun argue that China is still in the primary stage of aging, and along with the proportion of China’s elderly population increasing each year, the proportion of children is also declining sharply. If the consumption index of the elderly population is higher than that of children, then the aging of China’s population has a positive effect on the consumption levels of the residents. Due to the accelerating process of population aging in China, the consumption demand of China’s residents will also be negatively affected to a certain extent [36]. The research conclusions reached by scholars using different empirical methods, such as input–output analyses and GMM system estimations, were not uniform [37,38]. The different samples and data selected by scholars for their studies also produced inconsistent conclusions [39,40,41].
In addition to the abovementioned three types of research, scholars have also focused on the impact and spatial correlation of population aging on consumption disparities. Regarding the research performed on the impact of population aging on the urban–rural consumption gap, some scholars used inter-provincial dynamic panel data and two-step difference generalized moment estimations to conduct their studies. They believed that population aging was beneficial for narrowing the urban–rural consumption gap, as its promoting effect on the rural consumption rate was higher than that of cities [42]. Some studies also suggest that the process of urbanization is beneficial for reducing the urban–rural consumption gap and, due to the positive correlation between urbanization and aging factors, aging plays a role as a partial intermediary variable between urbanization and the urban–rural consumption gap, and the level of economic development positively regulates this intermediary process [43]. There are also studies that present the opposite conclusion, believing that aging is an important factor in expanding the urban–rural consumption gap. After considering the aging factor, the impact of an advanced industrial structure on the urban–rural gap presents a reverse change [44]. In terms of the spatial factors affecting consumption levels caused by population aging, Fan et al. analyzed the consumption structure of urban residents from the perspective of these residents and observed that regional factors could affect the marginal consumption propensity and consumption structure of urban residents [45]. Ma et al. determined that areas with a higher per capita disposable income for urban residents also had higher per capita consumer spending results, while neighboring areas had similar per capita consumer spending results. There was also evidence of a similar relationship between the average per capita annual net income of rural households and the average per capita annual living consumption expenditure levels [46]. Sun found that farmers’ consumption levels had the characteristic of spatial agglomeration, and there was a significant spatial dependence and spatial autocorrelation between farmers’ income levels and the consumer price index. The existence of the spatial correlations previously mentioned in this study makes it necessary to include spatial factors for the establishment of appropriate economic models. Ignoring spatial correlations may lead to deviations in measurement results [47]. Traditionally, the use of national total time-series data for analytical purposes often masks the significant regional spatial differences mentioned above [48]. Although the panel data models can distinguish between the individual differences in different regions by setting individual fixed effects, the horizontal spatial impact between spatial individuals has still not been analyzed in the literature, and even within the mainstream framework of neoclassical economics, this spatial factor is ignored.
Based on the abovementioned theoretical analysis, it can be observed that the research conducted on the impact of population aging on residents’ consumption levels achieved beneficial results; however, due to the complex mechanism of the population age structure affecting different types of consumption expenditures and the scholars’ selection of different macro- and micro-data and research methodologies, the conclusions of the research tended to be somewhat divergent. In addition, when the existing studies analyzed the relationship between urban and rural aging and consumption levels, most of the studies combined the consumption levels of urban and rural residents, assuming that urban and rural aging levels were the same in the same province or region, which, to a certain extent, obscured the large consumption gap between urban and rural areas located in China and the differences in the age structure of the population. At the same time, the existing studies pay less attention to the distribution characteristics of urban and rural consumption activities in spatial regions and the horizontal influence between the regions, and most of the current empirical studies are based on the ordinary panel model, which ignores the spatial factors that may bias the results of the study. Therefore, our research introduced a spatial econometric model based on the consumption expenditure and age structure of China’s urban and rural residents, distinguished the data between urban and rural groups, and conducted an econometric analysis of the provincial panel data of urban and rural areas for the period 2010–2021, so as to more comprehensively and accurately examine the impact of population aging on the consumption levels of urban and rural residents in China, as well as the spatial spillover effects.
3. Method
There is evidence of significant spatial heterogeneity in population aging and residents’ consumption levels in China. The impact of population aging on residents’ consumption levels is not only limited by the level of economic development, but may also be influenced by spatial interaction; that is, the level of population aging in other regions may have an impact on the consumption levels of residents in this region. Therefore, our study constructed a spatial econometric model to explore the impact of population aging on the consumption levels of urban and rural residents.
3.1. Construction of Econometric Models
Without considering the factor of spatial correlation, the basic model is as follows:
In Formula (1), dependent variable C is the residents’ consumption levels, and the main explanatory variable, X, is the level of population aging; characterizes the impact of population aging on residents’ consumption levels; ∏ represents the control variables; ~ characterizes the impact of corresponding control variables on the residents’ consumption levels; and ε is a random interference term and follows a normal distribution.
On the basis of Formula (1), we referred to Anselin’s (1988) [49] research to construct two types of spatial econometric models, a spatial lag model (SLM) and a spatial error model (SEM), in order to determine the spatial geographic effects of population aging.
The spatial lag model is represented as follows:
In Formula (2), is the spatial lag term of dependent variable C, which reflects the spatial weighted average of residents’ consumption levels; ρ characterizes the impact of spatial lag on residents’ consumption levels.
The spatial error model is represented as follows:
In Formulas (3) and (4), is the spatial lag term (i.e., spatial error term) of the random interference term, ε, which reflects the spatial weighted average of random interference terms; λ characterizes the impact of the spatial lag term of a random interference on the residents’ consumption levels, and the higher the absolute value of λ, the higher the spatial impact on the residents’ consumption levels. The random interference term, υ, obeys a normal distribution.
3.2. Variable Selection and Description
3.2.1. Variable Selection
The explanatory variable is the level of residents’ consumption, which plays an important role in reflecting the economic development of a country or region and the quality of life of its people. The core explanatory variable is the level of population aging, which has been an important feature of Chinese society for a long period of time and has a profound impact on economic and social operations, and how to effectively cope with it is an important factor that the state must seriously consider when formulating various economic and social policies. Referring to the existing studies, the proportion of residents’ consumption expenditure levels to the current year’s GDP is selected as a proxy variable for the level of residents’ consumption; the old age dependency ratio is used as a proxy variable for the level of population aging; and the total residents’ consumption expenditure levels are expressed as the product of the total per capita consumption expenditure and the number of permanent residents living in the region [50,51]. According to the classification of the National Bureau of Statistics of China, residents’ consumption expenditure items include “food, tobacco and liquor expenditure”, “clothing and footwear expenditure”, “housing expenditure”, “household equipment, furnishings and services expenditure”, “transport and communications expenditure”, “education, culture and recreation expenditure”, “healthcare and medical services expenditure”, and “other goods and services expenditure”. Due to the lack of clarity concerning other goods and services expenditures, we did not study this type of consumption expenditure item in our study.
The control variables selected in this study included the following: (1) The first was residents’ income levels. Consumer economics show that income is the most fundamental variable that affects residents’ consumption behavior. Generally speaking, there is a positive correlation between residents’ income and consumption levels. (2) The second was the medical level. A sound medical security system can enhance consumer confidence and reduce precautionary savings [52,53]. (3) The third was the energy supply level. There is an inherent correlation mechanism between the energy supply and consumption levels of urban and rural residents [54,55]. (4) The fourth was price levels. Changes in price levels have a significant impact on the consumption structure and gap between urban and rural residents [56]. (5) The fifth was the fixed-assets investment level. The increase in fixed-assets investments can increase resident consumption rate by increasing employment rates [57]. (6) The sixth was the financial support for industry developments. The commercial circulation service industry plays a crucial role in promoting consumption behavior. It can directly encourage immediate, future, and potential consumption practices. The financial support for the development of the commercial service industry helps to encourage consumption behavior [58]. Financial support for the purpose of agriculture development can effectively improve the consumption levels of rural residents [59]. (7) The seventh was financial support for education. Financial support for education affects household consumption practices through savings rates [60]. (8) The eight was industrial structure. Upgrading the industrial structure can effectively narrow the urban–rural consumption gap; however, the effectiveness of this method varies across different periods and regions [61]. (9) The ninth was the urbanization level. Urbanization can promote the growth of urban consumption rates; however, if the urbanization speed is too rapid, it will hinder the increase in the consumption rate. Empirical evidence shows that there are significant differences in this relationship between different regions in China [62,63].
3.2.2. Data Sources and Data Processing
This research is based on a sample of 341 observations from 31 provinces in China (excluding Hong Kong, Macao, and Taiwan) in 2011–2021, divided into two samples of urban and rural groups. The data sources and the basic meanings and formulas of each variable are presented in Table 1, with the missing values filled in with interpolation. The software used for data processing and empirical analysis in this article is Stata 16.0. The data obtained for the consumption and income levels are deflated based on the CPI, with 2011 as the base period, and the rest of the economic data are deflated based on the GDP index, with 2011 as the base period. To unify the dimensions and reduce the impact of heteroscedasticity, logarithmic processing was performed on all the data.
Table 1.
Descriptions of variables and data sources.
3.2.3. Descriptive Statistics
Table 2 presents the descriptive statistics for the population aging, total consumption, consumption levels of each item of expenditure and per capita disposable income for urban and rural residents living in China from 2011 to 2021. Overall, the average value of population aging in rural areas exceeds 18%, while the average value of population aging in urban areas is only approximately 12.5%, and on average, the aging of the population in rural groups is much higher than that in urban areas. The overall consumption level for each item of expenditure of urban residents is much higher than that in rural areas, of which the average value of the total consumption of urban residents is approximately 32.7%, while that of rural residents is only approximately 11.4%. The average total consumption level in urban areas is approximately 32.7%, while in rural areas it is only approximately 11.4%.
Table 2.
Descriptive statistics.
At the same time, there are considerable differences in the consumption levels of urban and rural residents and the levels of population aging among China’s regions. For urban areas in all provinces, the lowest value for total consumption was 12.0153% and the highest value was 57.70103%; the lowest value for population aging was 4.76% and the highest value was 24.28%. For the rural areas in the provinces, the lowest value for total consumption was 1.44479% and the highest value was 24.39691%; the lowest value of population aging was 7.05% and the highest value was 45.8%.
In terms of specific consumption expenditure items, for urban residents, the expenditure on “food, tobacco and liquor”, “housing”, “transport and communications”, “education, culture and recreation”, “clothing and footwear”, “healthcare and medical services”, and “household equipment, furnishings and services” were ranked from high to low. For rural residents, the expenditure on “food, tobacco, and liquor”, “housing”, “transport and communications”, “education, culture and recreation”, “healthcare and medical services”, “clothing and footwear”, and “household equipment, furnishings and services” were ranked from high to low.
From the comparison of per capita disposable income in urban and rural areas, on average, the per capita disposable income of urban residents is 2.5 times that of rural residents, and the income gap between urban and rural residents is relatively huge. This indicates a significant gap in the consumption capacity of urban and rural residents. From Figure 3, we know that from 2011 to 2021, the average total consumption expenditure of urban residents decreased from nearly 4 times that of rural residents to about 2 times that of rural residents. During the same period, the per capita disposable income of urban residents decreased from 2.9 times that of rural residents to 2.5 times that of rural residents. It can be inferred that the narrowing of the income gap has effectively improved the consumption capacity of rural residents and reduced the inequality of urban and rural consumption. From the standard deviation and maximum and minimum values, the regional gap in per capita disposable income is equally significant.
Through the comparison of these data, we further speculated that the urban and rural populations comprised different age structures, the consumption habits of the main consumer groups were different, and the impact of population aging on the consumption habits of urban and rural residents was not necessarily entirely consistent. At the same time, there were significant regional differences in the levels of population aging, consumption, and per capita disposable income, suggesting that we needed to incorporate spatial factors into our research.
4. Empirical Results and Analysis
4.1. Spatial Autocorrelation Test for the Main Variables
4.1.1. Global Moran’s I
In order to determine the spatial characteristics of the distribution of the main variables of the 31 provinces, we referred to global Moran’s I proposed by Moran (1950) [64] based on the geographic inverse distance square matrix of the 31 provinces. The global Moran’s index takes the range of [−1, 1], with positive values indicating the existence of positive spatial correlations and negative values indicating the existence of negative spatial correlations.
As can be observed in Table 3, from 2011 to 2021, except for the years 2014 and 2021 for the overall consumption level in urban areas and the years 2011–2014 for the population aging level, the global Moran’s I of the overall consumption and aging levels in both urban and rural areas are all positive and pass the test of significance, which indicates that the spatial distributions of the total consumption levels in urban and rural areas and the level of population aging in each province are not random, but positively correlated. That is to say, the total consumption and population aging levels in Chinese urban and rural areas all have an obvious spatial dependence.
Table 3.
Global Moran’s I for residents’ consumption and population aging levels.
It is worth noting that the global Moran’s I of the total consumption levels in urban and rural areas both presented a decreasing trend, shifting from 0.110 in 2011 to 0.066 in 2021 in urban areas and from 0.328 in 2011 to 0.292 in 2021 in rural areas; the global Moran’s I of the population aging levels in urban and rural areas presented an opposite trend, shifting from 0.034 in 2011 to 0.252 in 2021 in urban areas and from 0.228 in 2011 to 0.162 in 2021 in rural areas. This indicates that the spatial positive correlation of the total consumption levels of residents in both urban and rural areas is weakening, and the gap between the regions is narrowing; the spatial positive correlation of the population aging levels in urban areas is increasing and the gap between the regions is widening, with the opposite trend being evident in the rural areas. It is necessary to introduce spatial geographic factors to analyze the impact of population aging on the consumption levels of rural and urban residents.
4.1.2. Local Moran’s I
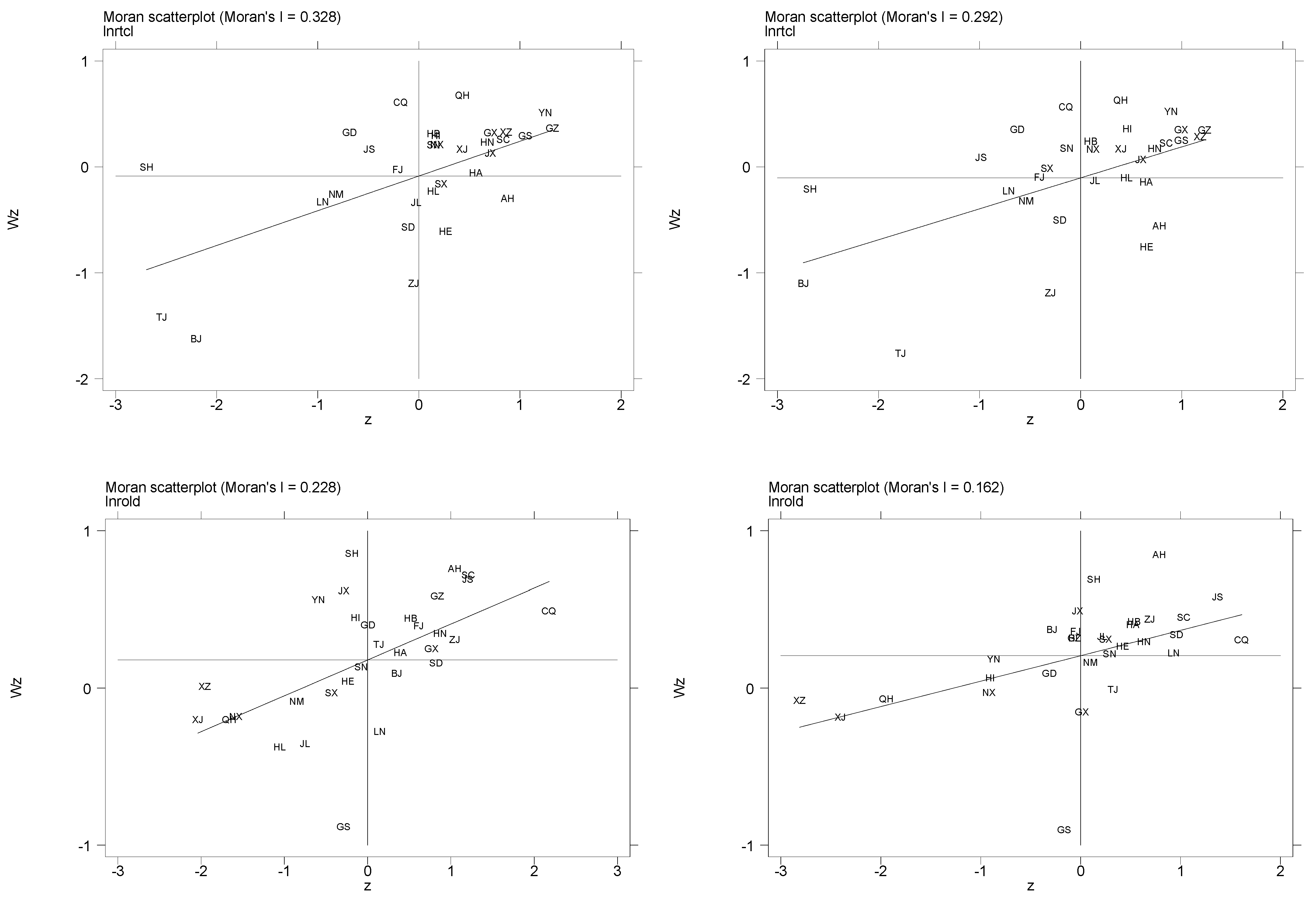
The local Moran’s I can perform spatial structure testing on regions with spatial autocorrelations, examining the spatial autocorrelations between regions, within a region, and their neighboring regions. To examine the spatial correlation of a specific region, we drew a local Moran scatter diagram of the total consumption and population aging levels of urban and rural residents. A local Moran scatter diagram is a two-dimensional quadrant map that can comprehensively and intuitively reflect the spatial clustering and distribution characteristics of attribute values in different regions. The four quadrants are the first-quadrant high–high clustering area (H-H), the second-quadrant low–high clustering area (L-H), the third-quadrant low–low clustering area (L-L), and the fourth-quadrant high–low clustering area (H-L). Among them, the local Moran’s I in the first and third quadrants is positive, indicating a positive spatial clustering relationship, while the local Moran’s I in the second and fourth quadrants is negative, indicating a negative spatial clustering relationship.
Due to space limitations, only the results for 2011 and 2021 are reported in our study. Table 4 presents the abbreviations of the provinces involved in this study. From Figure 1 and Figure 2, it can be observed that the points corresponding to the Moran’s index of the total consumption and population aging levels of residents in each province are mostly distributed in the first and third quadrants, indicating that the levels of both residents’ consumption and population aging in each province present significant H-H or L-L clustering phenomena in the local space, which are the same as the test results achieved from the global Moran’s I. Therefore, local spatial positive correlation features are significant, and spatial factors should also be considered to select an appropriate econometric model.
Table 4.
Abbreviations of provinces in China.
4.2. Selection Test for the SLM and SEM Models
For a comparative analysis, this section conducted spatial effect testing on the urban- and rural-related data. By conducting spatial correlation tests based on the OLS of the ordinary static panel regression, including LMlag (Lagrange multiplier of spatial lag model) and R-LMlag (Lagrange multiplier of robust spatial lag model) tests as well as LMerr (Lagrange multiplier of spatial error model) and R-LMerr (Lagrange multiplier of robust spatial error model) tests, the type of spatial effect was determined and the appropriate model form was selected. Table 5 and Table 6 present the regression results obtained for the urban and rural areas, respectively. The regression results for models (1) to (8) are based on the explained variables of total consumption, “food, tobacco and liquor” consumption, “clothing and footwear” consumption, “housing” consumption, “household equipment, furnishings and services” consumption, “transport and communications” consumption, “education, culture and recreation” consumption, and “healthcare and medical services” consumption levels.
Table 5.
Tests for spatial geographic effects on urban areas.
Table 6.
Tests for spatial geographic effects on rural areas.
As shown in Table 5, for the models related to urban areas, LMlag only failed the test in models (2), (3), and (7), while R-LMlag only failed the test in models (2) and (3). LMerr only passed the test in models (1) and (4), while R-LMerr only failed the test in model (2), and the statistics of the spatial lag model were generally better than those of the spatial error model. Therefore, for urban areas, using a spatial lag model was more optimal.
As shown in Table 6, for the models related to rural areas, LMlag and LMerr only failed the test in models (2), (3), and (8); R-LMlag only passed the significance test in model (7), R-LMerr only failed the test in models (2), (3), (7), and (8), and the statistics of the spatial error model were generally better than those of the spatial lag model. Therefore, for rural areas, using a spatial error model was more optimal.
Although the SLM model was better in urban areas and the SEM model was better in rural areas, according to the results presented in Table 7, Table 8, Table 9 and Table 10, the within-R2 and Log-L statistics in the results of the SEM models in urban areas and SLM models in rural areas were not significantly different from that of the SLM models in urban areas and SLM models in rural areas. Therefore, the explanatory power of SEM models in urban areas and SLM models in rural areas could not be ignored in our study. Furthermore, in order to enhance the robustness of the measurement results and better explore the spatial spillover effect of population aging on the consumption levels of urban and rural residents, our study used both SLM and SEM models with fixed-time and individual effects to validate both the urban and rural areas.
Table 7.
Impact of population aging on residents’ consumption levels in urban areas (SLM model).
Table 8.
Impact of population aging on residents’ consumption levels in urban areas (SEM model).
Table 9.
Impact of population aging on residents’ consumption levels in rural areas (SLM model).
Table 10.
Impact of population aging on residents’ consumption levels in rural areas (SEM model).
4.3. Analysis of the Empirical Results
4.3.1. Test of the Effect of Population Aging on Narrowing the Consumption Gap between Urban and Rural Residents
This section describes an empirical test of the effect of population aging levels on narrowing the consumption gap between urban and rural residents, with the level of population aging (old) as the main explanatory variable. In view of the test of the urban–rural correlation model presented in the previous section, the effects of population aging levels on urban and rural residents’ consumption levels mainly refer to the test results obtained from the SLM and SEM models, respectively. The regression results obtained for SLM model (1), presented in Table 7, show that the regression coefficient of the population aging level is −0.1524, and it is significant at the 1% level, which indicates that the increase in the population aging level significantly reduces the consumption level of the urban residents under the condition that the other conditions remain unchanged. Every 1% increase in the level of population aging leads to a 0.1524% decrease in the consumption level of urban residents. Moreover, the regression result obtained for SEM (1), presented in Table 10, shows that the regression coefficient of population aging is 0.1622, and it is significant at the 1% level, which indicates that, under the condition of the other conditions remaining unchanged, the increase in the level of population aging has a significant promotion effect on the consumption level of rural residents. Every 1% increase in the level of population aging leads to a 0.1622% increase in the consumption level of rural residents. The diametrically opposed effects of population aging on the consumption levels of rural and urban residents have the effect of narrowing the gap between rural and urban residents’ consumption levels. The difference in retirement income between urban and rural residents may explain this result. The pension system in China varies among residents of different professions and genders, with a particularly large gap between urban and rural areas. Urban residents enjoy a wider and more generous pension, but compared to their salary income, their retirement salary is significantly lower. Therefore, retirement will bring a decrease in total income, which will lead to a decrease in their consumption. However, the income of rural residents has not been significantly reduced by “retirement”. On the contrary, they may receive an additional disposable income due to national pension subsidies.
The following step was to analyze the impacts of the level of population aging on the consumption levels of urban and rural residents’ expenditure items. In general, the direction of the impact of the population aging level on the consumption levels of urban and rural residents’ expenditure items was consistent with the total consumption levels of urban and rural residents. This can be observed in Table 7, except for the result of the “housing” consumption level, which is not significant. The impact of the population aging level on the consumption level of urban residents’ expenditure items were all negative; according to the absolute value of the coefficients, they were, in order, the consumption levels of “education, culture and recreation” (−0.3161), “healthcare and medical services” (−0.2514), “food, tobacco and liquor” (−0.1902), “clothing and footwear” (−0.1888), “household equipment, furnishings and services” (−0.1302), and “transportation and communications” (−0.1218). It can be observed in Table 10 that the impacts of the population aging level on rural residents’ consumption levels of “housing”, “household equipment, furnishings and services” and “transportation and communications” are not significant, and the impact on other consumption levels is positive, according to the absolute value of the coefficients, in the order of consumption levels of “healthcare and medical services” (0.5626), “clothing and footwear” (0.2783), “education, culture and recreation” (0.2385), and “food, tobacco and liquor” (0.1697). Under the influence of the aging population level, the “education, culture, and recreation” consumption level of urban residents was the most affected, while the “healthcare and medical services” consumption level of rural residents was the most affected, reflecting the fact that urban and rural residents were at different stages of development in the consumption structure and had different consumption habits. The impact of population aging on rural residents’ “healthcare and medical services” consumption levels was considerable, with a coefficient of 0.5626, which was significant at the 5% level, i.e., if the population aging level increased by 1%, rural residents’ “healthcare and medical services” consumption level would also increase by 0.5626%. It is worth noting that the increase in the population aging level had a negative impact on the “healthcare and medical services” consumption level of urban residents, which occurred due to the considerable difference between urban and rural healthcare security systems, with urban residents enjoying much better medical conditions and coverage than rural residents, and that, in the context of healthcare insurance cost control, there was no inevitable relationship between aging and the sharp increase in the level of consumption of healthcare costs.
As for the control variables, in urban areas, as shown in Table 7, the impacts of the per capita disposable income on the total consumption levels of urban residents for “food, tobacco and liquor” and “education, culture and recreation” were not significant; however, the impacts on the consumption levels of “household equipment, furnishings and services”, “transportation and communications”, “healthcare and medical services”, “housing”, and “clothing and footwear” were significantly positive, with coefficients of 1.1610, 1.1151, 0.8955, 0.8085, and 0.8049, respectively. The level of “healthcare and medical services” had a significantly negative impact on the total consumption level of urban residents and passed the test of significance at the 5% level, with a coefficient of −0.0825. The energy supply level had a weaker impact on the total consumption level of urban residents, which was significant at the level of only 10%. The levels of price and fixed-assets investments, the strength of financial support received for industrial development, and the strength of educational support had weaker impacts on the consumption level of urban residents and were not significant in all models, except for some subdivided consumption levels. The industrial structure and level of urbanization had a greater impact on urban residents’ consumption level, with a 1% increase in the former leading to a 1.6941% decrease in the total consumption level of urban residents, and a 1% increase in the latter leading to a 0.2804% increase in their total consumption level.
For rural areas, as shown in Table 10, the impacts of per capita disposable income on the consumption level of rural residents’ “food, tobacco and liquor”, “housing”, and “household equipment, furnishings and services” were insignificant; however, the impacts on the total rural residents’ consumption levels of “clothing and footwear”, “transportation and communications”, “education, culture and recreation”, and “healthcare and medical services” were more significant, with coefficients of 0.3226, 0.9795, 0.6260, 2.7877, and 1.4579, respectively. The price, medical care, and financial and industrial support levels had a positive impact on the total consumption level of rural residents, with coefficients of 1.8692, 0.0601, and 0.1110, respectively. Except for the results obtained for the consumption levels of some subdivided expenditures, which were not significant, the impacts of the energy supply level, the investments in fixed assets, and the structure of the industry on the total consumption level of rural residents and other subdivided expenditures were significantly negative. The effects of the urbanization and education support on the consumption level of rural residents were not significant.
4.3.2. Test of the Spatial Effect of Population Aging on the Consumption Levels of Urban and Rural Residents
The spatial spillover effect of population aging on urban and rural residents’ consumption levels refers to the results obtained with the SLM and SEM models at the same time. According to Table 7 and Table 8, in the empirical results of SLM model (1) and SEM model (1) for urban residents, the spatial regression coefficients (ρ) are significant at the 1% level, which indicates that the level of total consumption of urban residents forms a significant spatial spillover effect between provinces. According to Table 9 and Table 10, in the empirical results of SLM model (1) and SEM model (1) for rural residents, the spatial regression coefficients of the former are only significant at the 10% level, and the spatial regression coefficients of the latter are insignificant, which indicates that the spatial spillovers of the total consumption level of rural residents are not obvious between provinces.
Since the spatial lag model explains the spatial economic correlation between provinces, its parameter estimation results do not directly reflect the real effect of the direct and spatial spillover effects. The coefficient of the impact of population aging on the residents’ consumption level was decomposed into direct, indirect, and total effects, with reference being made to the partial differentiation method proposed by LeSage and Pace [65]. As shown in model (1) in Table 7, the direct, indirect, and total effects of population aging on urban areas are all negative and pass the 1% significance level test, indicating that the aging level of the population in this province not only has a negative impact on the total consumption level of urban residents in this province, but also has a significant spatial spillover effect, which means it has a negative effect on the total consumption level of urban residents in the neighboring areas. If the interactive influence of spatial factors is ignored, the inhibitory effect of population aging on urban residents’ consumption levels will be underestimated. As shown in Table 9, the direct and total effects of population aging in rural areas are significantly positive, while the indirect effect is not significant, further indicating that population aging has a positive effect on the consumption level of rural residents in this province; however, the spatial spillover effect on neighboring provinces is not significant. In summary, it can be concluded that the impact of population aging on urban residents’ consumption levels has a significant negative spatial geographic effect, which is mainly manifested as a significant spatial dependence effect, while the spatial spillover effect of population aging on rural areas is not significant.
Reviewing Figure 4 and Figure 5 helps us to understand the abovementioned results. As shown in Figure 4 and Figure 5, the Moran’s I of the population aging level in urban areas increases from 0.034 in 2011 to 0.252 in 2021. Eleven years later, more provinces shift to the first and third quadrants, i.e., the “high–high” and “low–low” phenomena of agglomeration were more significant. Since urban areas are areas where the economic activities of a province are concentrated, the laws of economics show that the population always transfers to areas with higher economic levels, and the existence of the spatial spillover effect of the population aging level in urban areas reflects, to a certain extent, the phenomenon of inter-provincial population mobility driven by the development of the regional economy. The Moran’s I of the population aging level in rural areas declined from 0.228 in 2011 to 0.162 in 2021 but remained at a high level overall, with most provinces still clustered in the first and third quadrants. The effect of the level of population aging in rural areas on the consumption levels of neighboring rural areas was not significant, indicating that the population in rural areas shifted to towns and cities in the same province or urban areas in other provinces, which was consistent with the logic of urbanization. According to the China Census Yearbook 2020 released by the National Bureau of Statistics, we found that Jiangsu province is a typical example. In the rural population of Jiangsu, over 30% of the elderly are aged 60 and above, and correspondingly, in the urban population of Jiangsu, young urban residents aged 15–34 account for nearly 30% of the total urban population. This indicates a strong migration of the local labor force, which reflects the viewpoint we mentioned above. This was further confirmed by the fact that, among the control variables, urbanization had a significant positive impact on the consumption level of urban residents, while it was not significant in rural areas. This implies, to some extent, that geospatial proximity facilitates the role of population aging as a driver of inter- or intra-provincial population mobility, and that provinces that are geographically close to high levels of aging are more susceptible to population mobility, which can negatively affect the consumption levels of residents.
Figure 4.
Consumption (top) and population aging (bottom) levels of urban residents in 2011 (left) and 2021 (right).
Figure 5.
Consumption (top) and population aging (bottom) levels of rural residents in 2011 (left) and 2021 (right).
4.4. Robustness Tests
In order to better test the impact of population aging on the consumption levels of urban and rural residents and to ensure the robustness of the results, we replaced the geographic inverse distance square matrix of the previous model with the geographic inverse distance matrix and the economic distance matrix, , to conduct the robustness test.
As shown in Table 11 and Table 12, the impact coefficients of population aging on residents’ total consumption levels in urban areas are all negative, while in rural areas, they are all positive. Furthermore, all of them pass the 1% significance level test, further confirming the opposite impact of population aging on the consumption levels of urban and rural residents. The significance of the spatial regression coefficients and indirect effect coefficients in urban and rural areas confirm the reliability of the analysis of spatial effects mentioned above.
Table 11.
Robustness tests (geographic inverse distance matrix).
Table 12.
Robustness tests (economic distance matrix).
5. Conclusions, Policy Recommendations, Shortcomings, and Prospects
5.1. Conclusions
This research empirically examined the impact of population aging on residents’ consumption levels and its spatial geographic effects by constructing spatial econometric models (including SLM and SEM models) based on the spatial correlation perspectives for two symmetrical samples, urban and rural areas, using the economic panel data of 31 provinces obtained from 2011 to 2021. The main conclusions include the following:
(1) The distributions of the total consumption and population aging levels in Chinese urban and rural areas are not random, but all display obvious spatial dependence characteristics. More specifically, both the residents’ consumption and population aging levels in each province present significant H-H or L-L clustering phenomena in the local space.
(2) On the whole, population aging has a significant negative impact on the consumption level of urban residents, while it positively promotes the consumption level of rural residents, which indicates that population aging will eliminate the urban–rural consumption gap, to a certain extent.
(3) The direction of the impact of the population aging level on the consumption level of urban and rural residents’ expenditure items is the same as that of the total consumption levels of urban and rural residents; however, the magnitude and order of the coefficient of the impact of the subdivided expenditure are not consistent, indicating that urban and rural residents are in different stages of consumption development and have different consumption habits. As for the control variables, the per capita disposable income, healthcare level, and urbanization level are the priority. Their impact on the consumption level of urban and rural residents is not consistent.
(4) The impact of population aging on the consumption level of urban residents has a significant negative spatial spillover effect; that is to say, the level of population aging in this province not only has a negative impact on the consumption level of urban residents in one province, but also has an inhibitory effect on the consumption level of urban residents in neighboring provinces, while in the rural group, the spatial spillover effect of the impact of the population aging level on the consumption level of residents is not significant. This paper, to some extent, supports inter-provincial population mobility as a possible explanatory mechanism; for the urban areas in provinces, geospatial proximity is conducive to the population aging process to play a role in the promotion of inter-provincial or intra-provincial population mobility. Geographically neighboring provinces with a high level of aging are more likely to be affected by the impact of population mobility, which, in turn, negatively affects the consumption level of residents; the insignificant effect of the aging level of the population in rural areas on the consumption level of neighboring rural areas is due to the fact that the population in rural areas moves to towns and cities in the same province or to urban areas in other provinces. This research verifies the robustness of the empirical results by replacing the spatial matrix.
5.2. Policy Recommendations
Based on the research results and empirical conclusions obtained in this research, we propose the following policy recommendations: First, population aging not only signifies a change in consumers’ own consumption habits, but also represents a change in consumers’ structures. Therefore, we should pay attention to the enhancement of the purchasing power of the elderly population, so as to convert the “silver economy” into a new economic growth point. Firstly, it is necessary to improve the elderly care security system and promote the “aging friendly” reform of the medical insurance system, so that we could weaken aging residents’ precautionary savings motivation. Secondly, we need to use big data and the internet to empower the old-age industry and accelerate the development of the supporting industries for the aging population. Therefore, the participation of the elderly population in economic, political, social, and cultural activities can be expanded. Thirdly, it is necessary to expand channels for secondary employment for elderly people. This can avoid the waste of human capital and effectively stimulate the consumption of the elderly population.
Second, income is still the basic factor determining residents’ consumption levels. A large gap still exists between the income level of rural residents and that of urban residents, and it is necessary to increase the income of rural residents through multiple channels. On the one hand, we should consider buttressing the rural revitalization strategy, strengthening rural infrastructure constructions, and continuing to revitalize the rural economy, thus achieving an increase in rural residents’ income; on the other hand, we should accurately identify the potential and vulnerability of the rural residents group and provide appropriate assistance. Firstly, we should adopt fiscal policies to increase precise investment in public human capital for impoverished families, providing effective support to low-income families in rural areas such as education. Secondly, there is still a large gap between the level of security for the aged and the medical service in rural areas and that in urban areas. Therefore, it is necessary to continue to promote the integration of the “New Rural Cooperative”, “New Rural Insurance”, and “Urban Residents’ Medical Insurance” to incorporate commercial insurance into the social security system and to reduce rural residents’ motivation for precautionary savings.
Third, the spatial spillover effect of population aging on consumption and the spatial correlation that exists between the two derive, to some extent, from the imbalance in the level of regional economic development. To promote the coordinated development of the regional economy, it is necessary to break the household registration restriction on labor mobility, promoting the free flow and high-quality transformation of the factors of the labor force. In the capital market, developing inclusive finance is an effective measure to solve the problem of “financial exclusion” in rural areas.
To sum up, the reality of China’s aging society is difficult to reverse. We must take effective measures to implement various policies and measures in line with China’s national conditions, open up new consumer demand areas, and ultimately realize the aging society pension goals and the synergistic development of the economy to achieve a joint realization of such goals.
5.3. Shortcomings and Prospects
In this study, the impact of population aging on urban and rural residents’ consumption levels was studied in a more systematic manner, and, at the same time, the bias of this method that may have occurred when dealing with the data containing spatial information was effectively avoided through the use of the spatial measurement method; however, many issues still need to be investigated in depth. In future research, consideration should be given to collecting more household micro-data and integrating household micro-information to a greater level, to successfully explore the micro-motivation involved in population aging’s effects on the consumption levels of urban and rural residents. Field research and other methods were used to successfully obtain the micro-data concerning the age structure of the population and its aging status, and to analyze the results in a comprehensive manner with the regional data, to form the conclusions of this study in a more comprehensive and accurate manner.
Author Contributions
Conceptualization, X.S. and Y.Y.; methodology, X.S. and Y.Y.; software, Y.Y.; validation, X.S. and Y.Y.; formal analysis, X.S.; investigation, X.S. and Y.Y.; resources, X.S. and Y.Y.; data curation, Y.Y.; writing—original draft preparation, X.S. and Y.Y.; writing—review and editing, X.S. and Y.Y. All authors have read and agreed to the published version of the manuscript.
Funding
This research received no external funding.
Institutional Review Board Statement
Not applicable.
Informed Consent Statement
Not applicable.
Data Availability Statement
The data presented in this study are available within the article.
Acknowledgments
The authors are grateful to the editors and the anonymous reviewers for their insightful comments and suggestions.
Conflicts of Interest
The authors declare no conflict of interest.
References
- National Bureau of Statistics of China. Major Figures on 2020 Population Census of China. Available online: http://www.stats.gov.cn/sj/pcsj/rkpc/d7c/ (accessed on 26 November 2021).
- National Bureau of Statistics of China. China Population and Employment Statistical Yearbook. 2022. Available online: https://data.cnki.net/yearBook/single?id=N2023030104 (accessed on 1 December 2022).
- Ren, Z. China Aging Research Report. Available online: https://finance.sina.com.cn/zl/china/2023-02-07/zl-imyewiyr5155477.shtml (accessed on 7 February 2023).
- Huang, W.; Ren, C.; Zhou, Y. Retirement Policies, Labor Supply and Income-Consumption Dynamics. Econo. Res. J. 2023, 58, 141–157. [Google Scholar]
- Central People’s Government. Supporting the Third Pillar of Pension Insurance. Available online: https://www.gov.cn/xinwen/2021-01/11/content_5578690.htm (accessed on 11 January 2021).
- General Office of the Central Committee of the Communist Party of China; General Office of the State Council. Opinions on Promoting the Construction of Basic Elderly Care Service System. Available online: https://www.gov.cn/zhengce/202305/content_6875434.htm (accessed on 21 May 2023).
- CPC Central Committee. Suggestions on Formulating the 14th Five Year Plan for National Economic and Social Development and the Long Range Goals for 2035. Available online: http://www.mofcom.gov.cn/article/zt_sjjwzqh/fuzhu/202012/20201203021505.shtml (accessed on 4 November 2020).
- Xi, J. Report to the 20th National Congress of the CPC. Available online: http://www.qstheory.cn/yaowen/2022-10/25/c_1129079926.htm (accessed on 25 October 2022).
- Wu, Y.; Chen, Z. Spatial Correlation and Regional Convergence Analysis of Residents’ Consumption Levels. World Econ. Pap. 2009, 5, 76–89. [Google Scholar]
- Yin, X.; Sun, H. Resident Consumption, Spatial Dependence and Conditional Convergence—A Research Based on Spatial Panel Data. Chin. Econ. Stud. 2011, 4, 47–59. [Google Scholar]
- Shi, M.; Liu, X. Space, Consumption Stickiness and the Low Consumption Ratio Puzzle. J. Renmin Univ. China 2015, 3, 46–56. [Google Scholar]
- National Development and Reform Commission of China. Measures to restore and expand consumption. Available online: https://www.gov.cn/zhengce/content/202307/content_6895599.htm (accessed on 31 July 2023).
- Modigliani, F.; Brumberg, R. Utility Analysis and the Consumption Function: An Interpretation of Cross-section Data. J. Post Keynes Econ. 1954, 01, 388–436. [Google Scholar]
- Liu, Z.; Song, Z. The Retirement Consumption Puzzle: Evidence from China Urban Household. Chin. J. Popul. Sci. 2013, 13, 94–103. [Google Scholar]
- Modigliani, F.; Cao, S.L. The Chinese Saving Puzzle and the Life Cycle Hypothesis. J. Econ. Lit. 2004, 42, 145–170. [Google Scholar] [CrossRef]
- Wang, J.; Fu, X. Taking into Account Changes in the Age Structure of the Population Econometric Analysis of Consumption Function in China—Also Discusses the Impact of Aging Chinese on Consumption. Popul. Res. 2006, 1, 29–36. [Google Scholar]
- Li, C.; Zhang, J. The Effect of the Transformation of Chinese Population Structure on the Consumption of the Rural Residents. Chin. J. Popul. Sci. 2009, 4, 14–22. [Google Scholar]
- Mao, Z.; Sun, W.; Hong, T. Comparative Analysis on the Relationship between Population Age Structure and Household Consumption in China. Popul. Res. 2013, 3, 82–92. [Google Scholar]
- Li, X.; Wang, C.; Lv, M. Structure of Population Age and Consumption of Rural Residents Theoretical Mechanism and Empirical Inspection. Jianghai Acad. J. 2010, 2, 93–98. [Google Scholar]
- Zhang, L.; Lei, L. An Analysis of the Relation of the Regional Population Age Structure and the Household Consumption in China. Popul. Econ. 2011, 1, 16–21. [Google Scholar]
- Fan, Z.; Zhou, S. The impact of urbanization, population age structure on residents’ consumption and regional differences. Cons. Econ. 2016, 4, 21–25. [Google Scholar]
- Sheng, L.; Fang, X.; Feng, Y.; Liu, H. Study on the Impact of Changes in Household Population Composition on Household Consumption: An Analysis Based on Micro Household Panel Data. Stat. Res. 2021, 11, 35–46. [Google Scholar]
- Tu, Q. A Study on the Threshold Effect of Population Aging on Urban Residents’ Consumption. J. Com. Econ. 2018, 18, 36–39. [Google Scholar]
- Pan, H.; Tang, Y. Research on the Impact of Population Aging on Residents’ Consumption Rate. Jiangxi Soc. Sci. 2021, 1, 51–60. [Google Scholar]
- Leff, N.H. Dependency rates and savings rates. Am. Econ. Rev. 1969, 59, 886–896. [Google Scholar]
- Horioka, C.Y. A Cointegration Analysis of the Impact of the Age Structure of the Population on the Household Saving Rate in Japan. Rev. Econ. Stat. 1997, 79, 511–516. [Google Scholar] [CrossRef]
- Higgins, M. Demography, National savings, and International Capital Flows. Int. Econ. Rev. 1998, 39, 343–369. [Google Scholar] [CrossRef]
- Ram, R. Dependency Rates and Aggregate Savings: A New International Cross-section Study. Am. Econ. Rev. 1982, 72, 537–544. [Google Scholar]
- Bloom, D.E.; Canning, D.; Bryan, G. Longevity and Life-cycle Savings. Scand. J. Econ. 2003, 105, 319–338. [Google Scholar] [CrossRef]
- Bloom, D.E.; Canning, D.; Mansfield, R.K.; Moore, M. Demographic Change Social Security Systems, and Savings. J. Monet. Econ. 2007, 54, 92–114. [Google Scholar] [CrossRef] [PubMed]
- Schultz, T.P. Demographic Determinants of Savings: Estimating and Interpreting the Aggregate Association in Asia. Chin. Econ. Quart. 2005, 7, 991–1017. [Google Scholar] [CrossRef]
- Wang, Y. A Study on the Impact of Population Aging on the Consumption Behavior of Urban Residents in China. Chin. J. Popul. Sci. 2011, 1, 64–73. [Google Scholar]
- Huang, Y.; Zhang, C.; Tian, S. The Influencing Mechanisms of Population Age Structure and Housing Price on Household Consumption in Urban China. Popul. Res. 2019, 4, 17–35. [Google Scholar]
- Tan, J.; Yang, Y. Population Outflow, Aging and Rural Household Consumption. Popul. J. 2012, 6, 9–15. [Google Scholar]
- Yi, X.; Jian, Q. An Empirical Study on Population Aging and Household Average Propensity of Consumption in China. Cons. Econ. 2019, 2, 3–12. [Google Scholar]
- Yu, X.; Sun, M. A Study of the Impact of the Aging of Population in China on Consumption. Jilin Univ. J. 2012, 1, 141–147. [Google Scholar]
- Ni, H.; Li, S.; He, J. Impacts of Demographic Structure Change on Economic Structure in China: An Analysis Based on Input-Output Model. Stud. Lab. Econ. 2014, 3, 63–76. [Google Scholar]
- Xu, G.; Liu, L. Statistical Testing of China’s Aging Population and Residents’ Consumption Structure. Stat. Dec. 2016, 1, 91–94. [Google Scholar]
- Shi, B. An Empirical Research of Elderly Consumption in Urban and Rural China: With Analysis of “Retirement-Consumption Puzzle”. Popul. Res. 2017, 3, 53–64. [Google Scholar]
- Shi, M.; Jiang, Z.; Qiu, X. How Aging Effects Household Consumption—Evidences from China household Survey Data. Econ. Theory Bus. Manag. 2019, 4, 62–79. [Google Scholar]
- Wang, W.; Liu, Y. Population Aging and Upgrading of Household Consumption Structure—An Empirical Study Based on CFPS2012 Data. J. Shandong Univ. Philo. Soc. Sci. 2017, 5, 84–92. [Google Scholar]
- Wang, J. Research on the Influence of Population Aging on the Consumption Disparity of Chinese Rural and Urban Residents—Based on the Empirical Analysis of Provincial Dynamic Panel Data. Mod. Econ. Sci. 2015, 37, 109–115. [Google Scholar]
- Wang, J.; Zhao, K. Urbanization, Aging, Urban-Rural Gap and Economic Development in China—A Moderated Mediation Model. Cont. Econ. Manag. 2020, 42, 49–58. [Google Scholar]
- Zhang, D.; Chen, J. Does Aging in the Changing Industrial Structure Widen the Gap between Urban and Rural Areas? Empirical Analysis based on China’s Provincial Panel Data. J. Chongqing Univ. Tech. Soc. Sci. 2021, 35, 70–82. [Google Scholar]
- Fan, M.; Ren, R. An Empirical Study on the Consumption Structure of Urban Residents in China. Stat. Res. 2006, 12, 23–26. [Google Scholar]
- Ma, L.; Sun, J. A Spatial Autoregressive Model Study on the Relationship between Consumption and Income of Chinese Residents. J. Manag. World 2008, 1, 167–168. [Google Scholar]
- Sun, A. Spatial econometric analysis of farmers’ consumption in provincial areas of China. Rura. Econ. 2009, 8, 52–56. [Google Scholar]
- Wang, H.; Shen, L. Panel Analysis of China’s Economic Growth and Energy Consumption Space. J. Quant. Tech. Econ. 2007, 2, 98–107. [Google Scholar]
- Anselin, L. Spatial Econometrics: Methods and Models; Kluwer Academic Publishers: Dordrecht, The Netherlands, 1988; pp. 160–162. ISBN 978-90-247-3735-2. [Google Scholar]
- Wang, C.; Li, L.; Xue, H. The Influence of Population Age Structure and Basic Old—Age Insurance for Urban and Rural Residents on Rural Residents’ Consumption Rate—Based on the Empirical Analysis of China’s Provincial Panel Data from 2010 to 2017. Soc. Secur. Stud. 2020, 3, 85–93. [Google Scholar]
- Li, C.; Zhou, Y. Influence of Digital Inclusive Finance on Rural Consumption: Based on Spatial Econometric Model. Econ. Geog. 2021, 41, 177–186. [Google Scholar]
- Bai, C.; Li, H.; Wu, B. Health Insurance and Consumption: Evidence from China’s New Cooperative Medical Scheme. Econ. Res. J. 2012, 47, 41–53. [Google Scholar]
- Hong, M.; Wang, J.; Tian, M. Rural Social Security, Precautionary Savings, and the Upgrading of Rural Residents’ Consumption Structure in China. Sustainability 2022, 14, 12455. [Google Scholar] [CrossRef]
- Tong, J.; Zhao, M.; Ma, J.; Yang, Z. A Study on the Impact of Regional Resident Spending on Energy Consumption in the Progress of Urbanization. East Chin. Econ. Manag. 2018, 32, 86–91. [Google Scholar]
- Zhou, Z.; Zhang, C.; Peng, C.; Kong, X. Agricultural mechanization and farmers’ income: Evidence from the subsidy policy for the purchase of agricultural machinery. Chin. Rural. Econ. 2016, 2, 68–82. [Google Scholar]
- Zhang, D.; Sun, H. On the Relationship between Price Volatility and Economic Growth: In the Prospective of Urban-rural Consumption Inequality. Econ. Rev. 2010, 2, 16–23. [Google Scholar]
- Qi, H.; Liu, Y.; Huang, B. Changes in consumption, investment and employment in China and policy choices. Inq. Econ. Issue 2018, 8, 9–17. [Google Scholar]
- Research Group of the Institute of Financial Strategy, Chinese Academy of Social Sciences; Song, Z. China’s commercial and trade circulation service industry Strategic research. Rev. Econ. Res. 2012, 32, 3–48. [Google Scholar]
- Xu, S.; Wang, G. Can Fiscal Support for Agriculture Effectively Increase the Consumption Level of Rural Residents? Empirical Evidence from Zhejiang Province. Chin. Collec. Econ. 2022, 31, 22–24. [Google Scholar]
- Ding, Y.; Si, Y. Research on the Relationship between Government Educational Expenditure and Household Savings. Collect. Essays Financ. Econ. 2019, 2, 30–36. [Google Scholar]
- Xu, M.; Jiang, Y. Can the China’s Industrial Structure Upgrading Narrow the Gap Between Urban and Rural Consumption. J. Quan. Tech. Econ. 2015, 32, 3–21. [Google Scholar]
- Lei, X.; Gong, L. The Effect of Urbanization on the Household Consumption Rate: Theoretical and Empirical Analysis. Econ. Res. J. 2014, 49, 44–57. [Google Scholar]
- Hong, T.; Yu, N.; Mao, Z.; Zhang, S. Government-driven urbanisation and its impact on regional economic growth in China. Cities 2021, 117, 103299. [Google Scholar] [CrossRef]
- Moran, P.A.P. Notes on Continuous Stochastic Phenomena. Biometrika 1950, 37, 17–23. [Google Scholar] [CrossRef]
- LeSage, J.; Pace, R.K. Introduction to Spatial Econometrics; CRC Press: New York, NY, USA, 2009; ISBN 978-1-420-06424-7. [Google Scholar]
Disclaimer/Publisher’s Note: The statements, opinions and data contained in all publications are solely those of the individual author(s) and contributor(s) and not of MDPI and/or the editor(s). MDPI and/or the editor(s) disclaim responsibility for any injury to people or property resulting from any ideas, methods, instructions or products referred to in the content. |
© 2023 by the authors. Licensee MDPI, Basel, Switzerland. This article is an open access article distributed under the terms and conditions of the Creative Commons Attribution (CC BY) license (https://creativecommons.org/licenses/by/4.0/).




