Abstract
The present study intended to examine the relationship between perceived teacher support, students’ ICT self-efficacy, and online English academic engagement in the blended learning setting, especially in mobile-assisted foreign language instruction contexts. A sample of 960 Chinese undergraduate and postgraduate students was recruited to participate in the online questionnaire. SPSS version 24.0 was used for descriptive, correlation, independent samples t-test, and mediation analysis of the three variables. The results showed that: (1) there is a significant correlation between perceived teacher support, students’ ICT self-efficacy, and online English academic engagement; (2) students’ ICT self-efficacy partially mediates the relationship between perceived teacher support and student online English academic engagement; (3) students’ ICT self-efficacies differed by sex and level of education, but not by major; (4) students’ sense of self-competence in ICT self-efficacy has a significant positive influence on engagement with online English learning. The findings reveal that students’ ICT self-efficacy positively impacts students’ online English learning, and perceived teacher support also affects students’ learning engagement. School administrators should encourage teachers to focus on students’ online self-efficacy, especially the sense of environmental control. Implications and further directions for future research are presented at the end.
1. Introduction
With the innovation of media information technology and the continuation of the COVID-19 pandemic, online learning, especially the blended teaching mode conducted with the help of mobile phones, iPad, or computers, has received unprecedented attention. Compared with traditional face-to-face teaching, blended learning presents more options in terms of the certainty of time and space venues, the diversity of teaching resources, and teacher–student–source interaction [1,2,3,4,5]. Blended learning is the reunion of online and offline teaching based on the continuous innovation of educational technology. Blending, in a broad sense, involves reconstructing teaching concepts, methods, and organizational forms [6,7], while blending, in the chivalric sense, focuses more on teaching and learning, both inside and outside the classroom [8,9,10]. Blended learning models provide learners with adaptive learning models based on individual situations [11], thus supporting and scaffolding students from various knowledge and understanding perspectives [12]. Due to flexibility, accessibility, and interaction [13], blended foreign language instruction via various apps and platforms is increasingly becoming an integral part of everyday teaching and learning in the global context. In recent years, digital tutorials based on smartphones and course platforms, such as U Campus’ Smart Teaching Platform and its accompanying textbook, APP, have become popular for college students to learn English in China due to the promotion and popularity of publishers’ digital textbooks. These have become objective factors in promoting blended teaching from technology and interaction. With the application of blended learning in foreign language learning contexts, a plethora of research has been undertaken to explore it from various perspectives. Blended learning is demonstrated as a means to enhance students language skills [14,15,16], student motivation and engagement [17,18,19], and improve the learning environment [18,20,21].
Technology has introduced more possibilities to the educational context, thus providing more choices for allocating educational resources and the personal development of teachers and students, objectively promoting the sustainability of the educational context and making independent and lifelong learning possible in the online learning environment [22]. The creation, storage, dissemination, and management of instructional information profoundly impact many aspects of foreign language teaching and learning. Information communication technology provides essential support for foreign language teaching and learning and serves as a crucial driving force for pedagogical reform. Given the continuous updating of information and communication technology (ICT), the traditional foreign language classroom has evolved from professorial teaching with a blackboard, chalk, and paper textbooks to the current, personalized, and intelligent teaching modes, which are supposed by the development of ICT and the improvement of people’s information literacy.
According to Bandura (1986), self-efficacy means “people’s judgments of their capabilities to organize and execute courses of action required attaining designated types of performances” [23] (p. 361). Just as Bandura’s classification (1997) [24], self-efficacy contains two styles: general and specific. ICT self-efficacy can be described as self-efficacy in the information and computer domain. “The concept of ICT self-efficacy is therefore used to describe students’ confidence in their capabilities to use the two media (computer and web) successfully” [25] (p. 104). ICT self-efficacy is closely related to teachers’ and students’ information literacy, the use of network resources, and attitudes toward use. It has a positive effect on students’ learning engagement and classroom climate. Technology enhances the learning and instruction environments, especially with the popularity of mobile phones and various mobile terminals.
Due to the accessibility and flexibility of mobile technology and the policy of Suspending Classes without Stopping Learning during the COVID-19 pandemic in China, there is a growing demand and prevalence of mobile access to online courses or instruction [26,27]. There have been theoretical reviews and practical investigations on ICT self-efficacy, teachers’ information literacy, and student engagement with blended foreign language teaching [25,28,29,30]. Hatlevik and Bjarnø (2016) evaluated teachers’ digital competence and the use of ICT in school contexts by examining teachers’ ICT self-efficacy and strategies [31]. Ye, Kuang, and Liu (2022) conducted an empirical study, which was conducted on the relationship between teachers’ ICT self-efficacy and their attitudes and usage of blended instruction [30]. Ashraf et al., (2022) found a strong and positive correlation between students’ ICT competence, the curriculum content, instructional materials, and teachers’ instruction strategies in blended learning [28]. However, only a few studies have yet extended this to the foreign language instruction domain in blended contexts to observe students’ ICT self-efficacy and students’ achievements. There is still a need for in-depth research on perceived teacher support, such as teachers’ online instructional strategies and the types of instructional activities and information exchange in mobile learning contexts. Furthermore, studies concerned about the impact of perceived teacher support through mobile technology on students in the EFL blended learning content are yet to be conducted. The present study explored the association between perceived teacher support, students’ ICT self-efficacy, and English online engagement in mobile-assisted foreign language learning contexts. The research will likely reveal a better understanding of the association between teacher support, student engagement, and students’ ICT self-efficacy and explore more effective pedagogical strategies in mobile learning contexts.
2. Literature Review
2.1. Teacher Support
The concept of teacher support is an essential component of social support theory. Social support refers to the help individuals receive from those they have social relationships with (family, peers, teachers, and friends) [32]. Social support theory explains the relationship between external stress and individuals’ physical or mental health. Teachers are an integral part of pedagogical contexts. From the perceived content perspective, Fraser et al., (1996) defined teacher support as the student’s perception of the teacher’s attention, friendliness, emotional care for the student, and problems that students encounter [33]. Teacher support was also defined as “to the extent which students believe teachers value and establish personal relationships with them.” Teacher support involves “characteristics such as caring, friendliness, understanding, dedication, and dependability” [34] (p. 440). In terms of variables, teacher support contains emotional, academic, and social perspectives [35]. Teacher support is a multifaceted construct that can be defined and illustrated from different perspectives.
The existing research demonstrated the indispensable role of teacher support in the pedagogical domain. Previous teacher support studies have involved research on students’ academic motivation, students’ academic engagement, students’ self-efficacy, and positive or negative affection aspects of learning. Marchant et al., (2001) found that a teacher’s positive responsiveness to students’ needs enhances students’ overall motivation, perceived self-efficacy, and encourages a better academic performance [36]. Schweder and Raufelder (2019) conducted research on the mediation function of teacher support in a self-directed learning context in adolescence [37]. Zhao and Yang (2022) investigated Chinese high school students to explore the relationship between perceived teacher support and students’ academic engagement as mediators of enjoyment and boredom in the EFL context [38].
As can be seen, previous studies have illustrated the importance of teacher support for foreign language teaching. Furthermore, factors such as supportive teachers and students’ engagement or achievement, especially in the online educational environment, have also become points of concern in teacher support research [38,39,40,41,42]. What aspects of foreign language teacher support in online teaching specifically act on students’ foreign language learning and what aspects of teacher support are perceived differently by students with different IT literacy are questions that need further addressed.
2.2. Students’ ICT Self-Efficacy
The concept of self-efficacy originated from Bandura’s social cognitive theory, which refers to an individual’s perceived ability to complete a task or achieve a desired goal [24]. Compared to one’s competence, self-efficacy focuses more on the belief of what a person can do or learn. In the education domain, self-efficacy has proved to associate with student motivation, student preference, student engagement, and student achievement. Self-efficacious students seem more willing to accept challenging tasks and more likely to utilize strategies when they encounter problems or challenges [24,43]. Meanwhile, self-efficacy in specific contexts, such as writing revision tasks [44] and writing self-regulated strategies [45] in the English public speaking domain [27] or the flipped class [46], has also gained increasing attention. Høigaard et al., (2004) stated that self-efficacy contains self-beliefs about the degree of perceived self-control over future actions [47]. Students’ ICT self-efficacy belongs to specific self-efficacy. According to Papastergiou’s (2010) description, ICT self-efficacy is the individual’s perception of their ability to use ICT [48], which is similar to the definition proposed by Rohatgi, Scherer, and Hatlevik in 2016. All of them pointed out computer self-efficacy and web self-efficacy.
Previous research has shown that experience with computer and ICT use impacts an individual’s ICT self-efficacy. A positive relationship exists between students’ experience of ICT use and their ICT self-efficacy. Students’ attitudes towards IT use have a positive impact on students’ ICT self-efficacy, which teachers, the external environment, and encouragement by peers also moderate. Rohatgi et al. (2016) explored the role of ICT self-efficacy in students’ ICT use and their achievement in a computer and information literacy test [25]. Peechapol et al., (2018) developed a smartphone application to enhance self-efficacy for online learning. The study utilized the experimental group and control group to perform a pre-test and post-test design to identify the effect of the application [39]. The finding showed that the smartphone application significantly affected online learners’ self-efficacy. Luan et al., (2022) discussed the impact of different teacher support strategies on students’ online English learning engagement with an online environment and presented an outlook on the future of teaching and learning in terms of online teaching involvement, teacher–student feedback, and technology-enabled teaching innovation [41]. Previous studies have also shown sex differences in computer self-efficacy in some advanced skills and difficult tasks [49,50,51], but there was no significant difference in self-efficacies at the beginner level and after training [52].
Our study is concerned with whether ICT self-efficacies differ across students with different IC literacy levels in blended contexts and whether sex or major affect the types of learning tasks, students’ online learning engagement, and thus, task completion. Previous studies have demonstrated the mediating effect of self-efficacy on students’ perceived teacher support and engagement [19]. It was estimated that perceived teacher support could enhance students’ academic self-efficacy. In particular, self-competence, self-effort, and environmental control in terms of students’ ICT self-efficacy are explorative factors to be concerned with in our study. Further exploration of these factors in student online engagement will provide a better and more comprehensive understanding of the impact of information technology on students’ online engagement.
2.3. Academic Engagement
Different scholars have defined academic engagement as a multifaceted structure with different focuses and variations. Astin (1984) stated that students’ physical and psychological activity in the academic experience could be defined as academic involvement [53]. According to Axelson and Flick (2010), student engagement refers to students’ involvement or interest in learning and how they relate to their class, their institution, and each other [54]. Marks (2000) proposed a two-dimensional model of emotion and behavior engagement [55]. Fredricks et al., (2004) described engagement as having behavioral, emotional, and cognitive dimensions [56]. The three-dimensional model proposed by Fredricks et al., in 2004 was agreed upon and is recognized by researchers and widely used in the following research. Some scholars added new dimensions to the trichotomy model, such as student agentic involvement [57] or studying engagement [58]. Philp and Duchesne (2016) proposed the four-dimensional model of engagement, including behavioral, emotional, cognitive, and affective dimensions [59]. Thus, the conceptual framework of learning engagement has been innovated in explorations. Different scholars have developed conceptual frameworks of learning engagement to have three or four dimensions, which makes them multidimensional [40,59,60]. These dimensions are overlapped and dependent constructs instead of independent and isolated ones [59].
Technology-enabled online or blended learning on mobile terminals has become the new norm for teaching and learning, especially during the pandemic. The integration of mobile terminals and technology into language learning has been widely accepted in recent years due to portability, convenience, and flexibility, and so on, primarily focusing on user-centered or personalized functions. Ma et al., (2015) stated that online student engagement concerns the time and energy students spend engaged with online learning [61]. Jiang et al., (2021) stated the moderating roles of learner attitude and environmental support on inter-relationships between learners’ readiness and motivation and engagement with online English flipped learning [62]. Luan et al. (2021) examined models of English learners’ hardness and online English learning engagement. Online academic engagement, as an essential part of a student’s learning process and a presentation of students’ learning self-efficacy, plays a positive role in students’ academic achievement [63]. Wang et al., (2022) explored the association between online self-regulated learning and online English learning engagement among Chinese digitally capable, native students indifferent to an academic task who are not emotionally engaged with the task and or cooperative [64,65] It is necessary to conduct more empirical studies to examine the relationship between different dimensions to enhance learners’ engagement with the process of online learning [66].
3. Research Questions
To understand the current status and relationship between self-efficacy and online English learning engagement among college students in a blended learning environment, this study intended to examine whether teacher support effectively promotes students’ ICT self-efficacy and students’ online English academic engagement in mobile learning contexts. Based on the existing literature, this study draws on the concept of English learning engagement proposed by Philp et al. (2016) [59]. It analyzes online learning inputs for public English learning in Chinese universities under the influence of the pandemic and explores the students’ ICT self-efficacy who differ by sex, level of education, and majors.
This study aims to improve the quality of college students’ online engagement with English language learning and to enhance the quality of blended learning and their educational technology skills. Specifically, the research intended to solve the following research questions:
RQ1: What are the relationships between perceived teacher support, students’ ICT self-efficacy, and student online English academic engagement?
RQ2: Does students’ ICT self-efficacy mediate the relationship between perceived teacher support and student online English academic engagement?
RQ3: Are there differences in ICT self-efficacies among students in different categories (major, sex, and study section)?
RQ4: Do sense of self-competence, a sense of self-effort, and a sense of environmental control in students’ ICT self-efficacy affect students’ online English learning engagement?
4. Materials and Methods
4.1. Participants
The participants of this study were 960 undergraduate and postgraduate students at nine universities from seven provinces in China. Given the study’s focus on English learners in a blended learning context, we followed the principle of whether students use the digital platform and the textbook companion APP in and after their English classes or learning in questionnaires. We made it so that the questionnaire participants were learners using the U Campus Smart Platform for at least one semester, which means they used the U Campus Smart Platform, a course accompanying apps, and online learning systems such as writing, reading, and testing according to the teacher’s arrangement in or after class. Before data collection, participants were informed of the study purpose. A total of 960 students were informed and assured that their responses to the questionnaire only be used for research purposes and protected anonymously. As can be seen from Table 1, the final sample contains 736 (76.67%) female participants and 224 (23.33%) male ones. Sixty percent of the questionnaire respondents were from liberal arts majors, and forty percent were from science majors.
Table 1.
Social and demographic frequencies of the sample (N = 960).
4.2. Instruments
4.2.1. Perceived Teacher Support
Perceived teacher support was measured through the Perceived Teacher Support Scale developed by Patrick et al., (2007) [67] based on Tardy’s social support model (1985) [68] and created by Ryan and Patrick (2001) [34]. Responses were measured on a five-point Likert scale ranging from fully compliant to completely incompatible. The scale in the study was adapted and modified to the four perspectives (i.e., emotional, instrumental, appraisal, and informational support) to adjust the blended learning contexts. The perceived teacher supports related to blended learning were added and mentioned in our study as online assignments (question 6), use of web platforms, online resources and devices (questions 11 and 15), and online learning (question 19). The current study’s internal consistency was adequate (Cronbach’s alpha = 0.966).
4.2.2. ICT Self-Efficacy
ICT self-efficacy was measured as web self-efficacy or computer self-efficacy. Cassidy and Eachus (2002) developed a 30-item computer user self-efficacy scale (CUSE) to assess adult students’ computer self-efficacy [51]. The ICT self-efficacy scale was based on CUSE scale items and the web user self-efficacy scale developed by Xie et al., (2011) [69]. Responses were measured on a five-point Likert scale ranging from fully compliant to completely incompatible. The dimensions of ICT self-efficacy contain the sense of self-competence (e.g., one’s perception of one’s own online learning goals), the sense of self-effort (e.g., one’s ability to focus on online learning), and the sense of environmental control (e.g., one’s feelings about the online learning environment). The scale in our study showed a high internal consistency (Cronbach’s alpha = 0.943).
4.2.3. Online English Academic Engagement
Online English academic engagement was viewed as a multi-dimensional construct, including emotional, cognitive, behavioral, and social dimensions [41]. The Online English Academic Engagement questionnaire was adapted from the Math and Science Engagement Scales developed by Wang et al., (2016) [70] and Luan et al., (2022)’s online English academic engagement scale [41]. With a five-point Likert scale ranging from fully compliant to completely incompatible, this questionnaire contains 21 items and three dimension, i.e., a sense of emotion engagement, a sense of behavior engagement, a sense of cognitive engagement, and a sense of social engagement. The Online English Academic Engagement Scale focuses on interactivity in English learning in web-based contexts. The scale in this part indicated a high internal consistency (Cronbach’s alpha = 0.977).
4.3. Procedure and Data Analysis
All questionnaires were distributed to students by their English instructors via WeChat. This questionnaire was released on 5 November 2022. It was finalized for release after going through questionnaire predictions and revisions and soliciting the understanding of the students and instructor surveyed on the question formulation and other aspects. Nine volunteer instructors posted the questionnaire to the class WeChat group between lecture sessions. In daily learning and instruction, all students learned how to use English mobile terminals and network platforms. A total of nine teachers were willing to help to distribute our online questionnaires to obtain consent from university directors. These teachers explained the purpose of our study and invited students to fill out the online questionnaires during the class break. Students who agreed to participate could also finish it in their spare time. They were selected according to a convenience sampling strategy via Wenjuanxing software, a professional online questionnaire platform from China.
The questionnaire data were collected over one week in early November 2022, and 960 questionnaires were returned, with a 100% completion rate. They were able to participate according to their will and were encouraged to respond truthfully. Responses that were the same for all the items in the questionnaire and ones that were completed in less than the one minute were deleted. The collected data were inputted into SPSS24 for processing. We removed the missing data items and meaningless data (malicious identical options). After data checking, descriptive, correlation, independent samples t-test, and mediation analysis were conducted.
5. Results
Concerning the first research question, descriptive analyses and Pearson correlation analyses were performed via SPSS to explore the association between perceived teacher support, students’ ICT self-efficacy, and online English academic engagement. A summary of the Pearson correlation, mean, standard deviations, and correlation for the three variables is presented in Table 2.
Table 2.
Descriptive statistics results and correlation analysis between variables (N = 960).
As can be seen from Table 2, the reliabilities of three variables were calculated with Cronbach’s alpha, which were 0.966, 0.943, and 0.977, respectively, which was satisfactory for our study (i.e., a > 0.7). The absolute values for kurtosis and skewness for all variables were not greater than 3, indicating that the study data were normally distributed. The results also showed a significant correlation between perceived teacher support, students’ ICT self-efficacy, and online English academic engagement. Perceived teacher support was positively related to students’ ICT self-efficacy (r = 0.521, p < 0.01). It also showed a positive correlation with student online English academic engagement (r = 0.582, p < 0.01). In addition, students’ ICT self-efficacy was positively related to online English academic engagement (r = 0.821, p < 0.01).
To understand the responses to the second research question, a regression analysis was performed to explore the mediating role of students’ ICT self-efficacy between perceived teacher support and online English academic engagement. According to Judd and Kenny’s (1981) [71] and Baron and Kenny’s (1986) stepwise testing method [72], considering the effect of the independent variable, perceived teacher support, on the dependent variable, online English academic engagement, if perceived teacher support affects online English academic engagement by influencing the variable students’ ICT self-efficacy, then students’ ICT self-efficacy is the mediating variable. According to Table 3, Table 4 and Table 5, the finding indicated that students’ ICT self-efficacy plays a role as a partially mediating factor of perceived teacher support and online English learning engagement.
Table 3.
ANOVA for perceived teacher support and online English academic engagement.
Table 4.
ANOVA for student’s ICT self-efficacy and perceived teacher support.
Table 5.
ANOVA for the three variables.
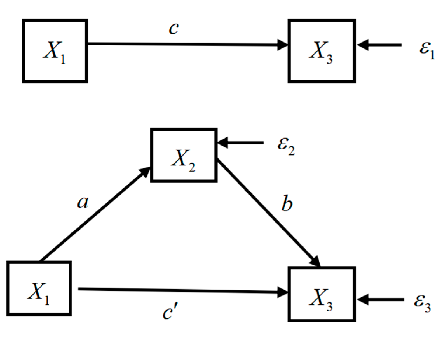
Table 3 shows the linear regression results of online English learning engagement and perceived teacher support, F = 490.881 at p = 0.000, indicating that the regression model is significant. The result of the perceived teacher support t-test = 22.156 at p-value = 0.000, the regression coefficient is significant, and the standardized regression coefficient (Beta) is 0.582. This refers to model X3 = cX1 + e1, c = 0.582. (X3: online English academic engagement; X1: perceived teacher support.)
In Table 4, we can see the linear regression results of students’ ICT self-efficacy and perceived teacher support, F = 356.525 at p = 0.000, indicating that the regression model is meaningful. The result of the t-test of students’ network self-efficacy = 17.385 at p value = 0.000, the regression coefficient is significant, standardized regression coefficient (Beta) is 0.521. This refers to, model X2 = aX1 + e2, a = 0.521. (X2: students’ ICT self-efficacy.)
According to Table 5 above, we can see the correlation between students’ ICT self-efficacy and perceived teacher support and students’ online English learning input, namely, the analysis results of model X3 = c’X1 + bX2 + e3 (F = 1144.644; p = 0.000), indicating the significance of the regression model. The p values of perceived teacher support and students’ ICT self-efficacy were less than 0.05, indicating that the regression coefficient was significant; c’ = 0.212; b = 0.711. The proposed mediation model in our study supports the above results (Figure 1).
Figure 1.
The mediation model.
It can be seen from the model above that the mediating effect of the independent variable “perceived teacher support” on the dependent variable “online English academic engagement” is not entirely influenced by the mediating variable “ICT self-efficacy”. “Perceived teacher support” had a partial direct effect on “online English academic engagement,” and the contribution rate of the mediating effect to the total effect was: effect M = ab/c = 0.521 × 0.711/0.582 = (63.65%). It can be seen that ICT self-efficacy has a noticeable mediating effect on students’ online English academic involvement, which is a problem that cannot be ignored in exploring students’ English learning involvement. Therefore, the influence of different components of ICT self-efficacy on online English academic engagement becomes the next problem to be solved.
To answer the third question, the independent samples t-test was conducted to explore students’ ICT self-efficacy under different taxonomic samples. Table 6 shows that students’ ICT self-efficacies were different between undergraduate students and postgraduate students (t(958) = 4.663, p < 0.05). The average ICT self-efficacy of postgraduates (2.2655) is higher than that of undergraduate students (1.9626). Table 7 indicates no significant difference in ICT self-efficacies between arts and science students (t = 0.163, p > 0.05). Table 8 shows a difference in ICT self-efficacies between female and male students (t = −3.205, p < 0.05).
Table 6.
Comparison of different students’ ICT self-efficacy.
Table 7.
Comparison of different major students’ ICT self-efficacy.
Table 8.
Comparison of different gender student in ICT self-efficacy.
Concerning the fourth research question, a multiple regression analysis was performed. A multicollinearity test was conducted before the regression analysis. As can be seen from Table 9, the toleration values in the table were all above 0.1, and the variance inflation factor values were no more than 10. So, there is no multicollinearity problem. Student’s online English performance was significant.
Table 9.
Summary of multiple linear regression.
The results of the SPSS multiple linear regression analysis showed that the regression equation was significant (F = 807.552; p < 0.001), where a sense of environmental control (b = 0.225; β = 0.356; p < 0.001), a sense of self-competence (b = 0.161; β = 0.167; p < 0.001), and a sense of self-effort (b = 0.411; β = 0.405; p < 0.001) significantly and positively predicted online English academic engagement. Together, these variables explained 71.6% of the variance in student online English academic engagement.
6. Discussion
When it comes to online English learning, most non-English majors in Chinese colleges and universities use the intelligent platform learning system, which is supported by digital textbooks. If we take the surveyed students as an example, for both undergraduates and postgraduates, most public English textbooks they are currently learning from are the learning platforms and apps supporting digital textbooks. It can be seen that digital learning has become a part of their English learning. Therefore, whether students perceive teachers’ support and students’ ICT self-efficacy through technology and the classroom became the focus of our first research question. From the description of question 1, it is easy to see a close relationship between the three variables. The results of question 1 are also consistent with previous studies [36,37,38]. There is a correlation between perceived teacher support and student involvement in foreign language learning in an E-learning environment. Luan et al. (2020) studied the relationship between students’ perceived online social support and academic involvement in the online learning environment during the COVID-19 pandemic [40]. The study showed that students who received more support from teachers were more inclined to actively engage in English learning. Teacher support does improve students’ behavioral involvement in academic activities. This is also consistent with Zhao and Yang’s (2022) study on the influence of perceived teacher support on students’ learning engagement with foreign language learning [38]. Our findings show a positive correlation between perceived teacher support and students’ online English academic participation. This is also consistent with the conclusions of previous studies. It shows that the influence of teacher support on students’ online English learning cannot be ignored in the mixed teaching situation. Students’ perception of teacher support affects their performance in online English learning.
To further observe the relationship between perceived teacher support, students’ ICT self-efficacy, and online English learning engagement, the second question verifies whether students’ ICT self-efficacy plays a mediating role. According to relevant data, the contribution rate of the mediating effect to the total effect was 63.65%. It can be seen that ICT self-efficacy has a solid mediating effect on students’ online English learning involvement, which is a problem that cannot be ignored in exploring students’ English learning involvement. Just as in the foundation of Ashraf et al. (2022)’s research, a significant correlation exists between students’ ICT competence and teachers’ instruction strategies in blended learning [28]. In Bettayeb et al.’s review essay (2020) [73], the effectiveness of mobile learning was discussed. Due to the ease of access to mobile phones currently, based on the results of previous empirical studies, self-efficacy has a positive impact on student’s performance and learning motivation in a blended context [25,50].
Self-efficacy is a hotly debated topic in academia. In a blended learning scenario, especially with the aid of digital aids apps and various teaching platforms, students’ information literacy, or the use of information technology for communication and learning, has become an emerging factor that must be considered in foreign language teaching and learning. The strong mediating role of students’ ICT self-efficacy in this study also illustrates the effective role of educational information technology in foreign language teaching and learning today. How can we enhance the effective and rational use of educational information technology so that it can promote deep learning and thinking among students? If information technology is merely a tool for presenting and storing information, then technology is only a fleeting instrument that provides a bundled experience for students. Technology that is truly accessible to students, used by students, and appreciated by students is what education and teachers really need. ICT self-efficacy dimensions of students’ ability and cognitive and environmental dimensions were investigated in more depth and detail to examine students’ information exchange and learning in a blended learning environment, thus further exploring the relationship between information technology and students’ online learning and teacher support.
In previous studies of student self-efficacy, teacher–student interaction, student motivation, academic emotions, learning engagement, and academic achievement have been the topics of interest for researchers. As Cassidy and Eachus (2002) stated, there is a correlation between computer users’ self-efficacy and their computer abilities and experiences [51]. The ICT self-efficacy of learners in a blended learning environment is correlated with their use of information technology. Questions 3 and 4 in this study point to different dimensions and classifications of students’ ICT self-efficacy. It is easy to see the differences in students’ ICT self-efficacy in various categories of data.
From the perspective of majors, unlike the findings of Xie et al. (2011), which tested the online self-efficacy of 564 college students in six universities in Guangdong, the study revealed that the self-efficacies of science majors were higher than those of liberal arts students [69]. Thongsri et al. (2019) examined the differences between STEM and non-STEM students’ perceptions and behaviors in an E-learning environment [74]. The study’s results showed that STEM students’ computer self-efficacy, perceived ease of use, and behavioral intention to use E-learning tools were higher than those of non-STEM students. While self-efficacy in the above two studies focused on using the Internet and computer technology, ICT self-efficacy in this study tended to focus more on information communication technology.
The improvement of mobile terminals and communication technologies, especially in the development of online platforms and smartphones, has led to the development and improvement of information communication technologies in educational technology. In-depth examination and research on ICT self-efficacy can continue. Relevant data from our study show that there is no significant difference in ICT self-efficacies between the students of arts and science subjects. The reasons for analyzing the correlation are as follows: On the one hand, different empirical studies collected samples from different geographic regions. On the other hand, the ICT self-efficacy of students is a subjective assessment of individual differences. In general, science students have better network information technology than arts students do. However, due to the popularity of cell phones and mobile terminals in blended teaching, intelligent and convenient operation is optional in computer information technology.
With the current means of information exchange and dissemination, the Internet and mobile terminals have become indispensable ways for students to obtain information. Information sharing and various exchanges have become more effective ways for students to solve their learning difficulties and find learning resources, all of which require students to have a high level of ICT self-efficacy. In terms of academic segments, undergraduate students scored higher for ICT self-efficacy than the graduate students did. This is related to the time and effort invested in English language learning in the relevant academic segments. Rohatgi et al. (2016) found a positive contribution of ICT use on computer- and information-oriented students and students’ ICT self-efficacy through their study [25]. Undergraduates face final exams and College English Tests 4 and 6 (English proficiency qualification level exams) during their undergraduate studies, motivating students to actively engage in English language learning. Regarding sex, the results of this study regarding ICT self-efficacy of male and female students were that there was no significant difference between them. This is consistent with the findings of Busch (1995), who found no sex-specific differences in computer attitudes and self-efficacy through a survey of students of different sexes who completed simple computer tasks [75]. However, in previous studies on sex differences in self-efficacy and attitudes toward computers, there are also previous studies that showed different results. He and Freeman (2010) noted that in terms of gender and computer self-efficacy, women are relatively less confident and feel more anxious about using computers than men are [76].
Similar to the professional comparison above, computer self-efficacy is more focused on the ability to operate and use computers. ICT self-efficacy is concerned with using technology on the web and mobile devices. Just as Torkzadeh and Koufteros (1994) also found, there were no sex differences in self-efficacy at the beginner level of computer skills [52]. Information technology communication is inseparable from the Internet and computers, but various intelligent terminals for information technology communication are also being facilitated and reduce the operational difficulties. A sense of self-effort and a sense of self-competence are among those factors that have received more attention. From the data in question four, it is easy to see that students’ sense of self-competence in ICT self-efficacy significantly influences their engagement with online English learning [18,74]. Students with a higher sense of ICT self-competence will be more confident, more willing to help and share, have more motivation, and tend to achieve more academic success. In a blended learning environment, these students will show more confidence and be more engaged with classroom interactions, completing classroom exercises and participating in classroom activities [77]. Previous related studies would have focused more on self-efficacy’s cognitive and psychological aspects [25,36,41,62,64]. However, according to the research result, the factor of a sense of environmental control also positively impacts students’ online English learning, which is worthy of our consideration.
There were various criticisms of large-scale online classes during the pandemic. The lack of a classroom atmosphere and poor classroom interactions caused problems for learners. These are related not only to the student’s effort, proficiency in using the equipment, and ICT ability, but also to the sense of control of the environment. Learners’ perceptions of the learning environment and their control over their learning behaviors can be understood as a sense of control over the environment. Blended teaching based on the Internet and mobile terminals improves the scene, time, and space for foreign language learning. The blended learning environment provides learning scenarios that allow mutual learning and assessment and traceability, where students and teachers become a learning community with technical support. It provides more diversified choices in terms of resources and participation and evaluation methods. The diversified, personalized, and accurate push functions provide immediate and stage data feedback for both students’ learning observation and teaching and research. Above all, their learning achievements, and their emotional perceptions of the blended learning environment in specific education and teaching practices are closely related to students’ online learning engagement and enhance the sustainable development of EFL learners, teachers, and contexts [22,78].
From the data in the questions, it is easy to see that all three aspects of students’ ICT self-efficacy (a sense of competence, a sense of effort, and a sense of environmental control) significantly impact students’ engagement with online English learning. After the sense of self-effort, the sense of environmental control has the second most important impact on online English academic engagement. A sense of environment in the online learning environment can refer to both the learner’s perception of the external environment, including the objective external environment, and the student’s perception of the online virtual learning environment. The interaction between learners and the outside world, technology, and others (teachers, peers, and technicians) are all topics we have studied in previous research. In the study of students’ learning engagement and learning effectiveness in different learning environments, previous studies have focused on perceived social support, such as teacher support and peer support [38,40,79]; on students’ self-efficacy and learning effectiveness by different technological means [51,63,73]; on the factors influencing different dimensions of online learning engagement [41,79], etc. However, in terms of the factors influencing students’ online learning engagement, especially in the virtual learning environment, such as current mobile phone terminal interactions, whether the research on students’ ICT self-efficacy under different environmental control factors will provide new insights into the study of students’ online learning engagement under blended learning deserves further analysis and consideration.
7. Limitations
Some limitations of the present study should be considered for illustrating the current findings. First, since data collection is dependent on participants’ self-report scales, it is impossible to avoid social desirability bias. Second, our study data were mainly sourced from questionnaires and quantitative data, and there was a lack of qualitative research data on the variability aspects of the study variables. Based on the principle of triangulation, the collection of multivariate data and the use of multiple data observation methods can be applied in future studies to allow a more in-depth study of students’ ICT self-efficacy and online learning engagement and reveal the impact of teacher support on the technical, academic, and emotional aspects of students’ online learning. Third, this study focused on different dimensions of students’ ICT self-efficacy regarding the research variables. In future studies, studies can adopt scales with more items to evaluate other variables.
8. Conclusions and Implications
This study focuses on the relationship between students’ involvement in online English learning, perceived teacher support, and ICT self-efficacy in a blended learning environment. Given that in the mixed learning environment, students often use various mobile phones and apps to carry out English learning and hand in English homework. The online and offline interactions between teachers and students facilitated by technology empowerment is closely related to students’ perception of teachers’ support and the use of ICT technology. This paper focuses on the relationship between the above three variables and explores the influence of different students’ ICT self-efficacy on online English learning engagement, which investigates the influencing factors of online English learning engagement from different aspects. The effects of gender, education level, and profession on ICT self-efficacy were also observed. This study provides supporting evidence for the mediating role of students’ ICT self-efficacy in the influence of perceived teacher support on student online English engagement.
The study has significant theoretical and practical implications. Theoretically, this study enriches the theoretical aspects of exploring students’ perceived teacher support and ICT self-efficacy in English online learning; in particular, we analyzed different dimensions of students’ ICT self-efficacy. It enriches the analysis of the dimensions and related influences on students’ academic engagement with English online. While previous studies have mostly correlated students’ ICT self-efficacy with computer literacy, ICT use, and academic achievement, this study highlights the role of specific self-efficacy in blended teaching scenarios.
At the same time, the dimensions of self-efficacy found in the study provide educational administrators and teachers with references for instructional policy preparation and activity design. How to stimulate students’ perceptions of their environment and ICT self-efficacy levels and enhance their satisfaction and engagement with online learning are concerns. This, in turn, guides instructors to better motivate students’ interest and initiative in creating online learning scenarios and activities. In addition, the types of online English learning courses and learning activities that students with different ICT self-efficacies are more willing to participate in and their preferences for different learning environments have implications for specific teaching practices.
Although previous studies have verified that self-efficacy significantly affects students’ online English academic engagement, systematic and in-depth research must be conducted on the specific factors, how to influence the path and degree of influence, and specific targets and environments. There needs to be more theoretical guidance and practical examples for specific teaching practice activities and targets. Research on students’ ICT self-efficacy, peer support, and the influence on online English engagement and student learning achievement is also positive. The influence of peer and technology dimensions in student learning in a blended learning environment is an aspect that cannot be disregarded. Future studies can also be expanded to include perceived social support and a more diverse view of students’ ICT self-efficacy and engagement with online English learning. These elements could be taken a step further to include empirical case studies based on the ICT self-efficacy dimension. In-depth studies of these components can help to construct the dimensions of self-efficacy measurement and improve self-efficacy measures in a more focused manner. In particular, in ICT, there are a series of expressions such as digital information literacy, network information literacy, and information communication literacy. It is worthwhile for researchers to further explore whether there are differences in teacher–student interaction and academic engagement with foreign language education scenarios empowered by different mobile technologies. Furthermore, research on students’ and teachers’ perceptions of online learning effectiveness and learning achievement and self-regulated learning in the sustainable development of foreign language education in blended learning environments also deserve more attention.
Author Contributions
Conceptualization, L.F.; methodology, L.F.; software, L.F.; data curation, J.D.; writing—original draft preparation, L.F.; writing—review and editing, L.H.; visualization, J.D.; supervision, L.H.; project administration, L.H.; funding acquisition, L.F. All authors have read and agreed to the published version of the manuscript.
Funding
This research was funded by the National Social Science Fund of China, grant number 20BYY110.
Institutional Review Board Statement
Ethnical review and approval was no required for the study on human participants in accordance with the local legislation and institutional requirements. Written informed consent to participate in this study was provided by the participants’ legal guardian/next of kin.
Informed Consent Statement
Written informed consent was obtained from the students to publish this paper.
Data Availability Statement
The raw data supporting the conclusion of this article will be made available by the authors, without undue reservation.
Conflicts of Interest
The authors declare no conflict of interest.
References
- Bliue, A.M.; Goodyear, P.; Ellis, R.A. Research focus and methodological choices in studies into students’ experiences of blended learning in higher education. Internet High. Educ. 2007, 10, 231–244. [Google Scholar] [CrossRef]
- Garrison, D.R.; Kanuka, H. Blended learning: Uncovering its transformative potential in higher education. Internet High. Educ. 2004, 7, 95–105. [Google Scholar] [CrossRef]
- Harvey, S. Building effective blended learning programs. Educ. Technol. 2003, 43, 51–54. [Google Scholar]
- Romiszowski, A.J. How’s the e-learning baby? Factors leading to success or failure of an educational technology innovation. Educ. Technol. 2004, 44, 5–27. [Google Scholar]
- Singh, H. Building effective blended learning programs. In Challenges and Opportunities for the Global Implementation of E-Learning Frameworks; IGI Global: Hershey, PA, USA, 2021; pp. 15–23. [Google Scholar] [CrossRef]
- Bersin & Associates. Blended Learning: What works? An Industry Study of the Strategy Implementation and Impact of Blended Learning; Bersin & Associates: Oakland, CA, USA, 2003. [Google Scholar]
- Driscoll, M. Blended learning: Let’s get beyond the hype. E-Learning 2002, 1, 1–4. [Google Scholar]
- Krasnova, T.; Sidorenko, T. Blended Learning in teaching foreign languages. Conference Proceedings. ICT for Language Learning; Libreriauniversitaria. It Edizioni. 2013. Available online: https://books.google.com.au/books?hl=zh-TW&lr=&id=1gZZBAAAQBAJ&oi=fnd&pg=PA45&dq=Blended+learning+in+teaching+foreign+languages.+&ots=POyGt0CVfy&sig=K_L8LN_f7CA5WxR7q4F8CAg71tw&redir_esc=y#v=onepage&q=Blended%20learning%20in%20teaching%20foreign%20languages.&f=false (accessed on 14 February 2023).
- Rooney, J.E. Knowledge Infusion how associations are pursuing blended learning opportunities to enhance educational programming and meetings. Assoc. Manag.-Wash. 2003, 55, 26–32. [Google Scholar]
- Sands, P. Inside outside, upside downside: Strategies for connecting online and face-to-face instruction in hybrid courses. Teach. Technol. Today 2002, 8, 12–23. [Google Scholar]
- Alamri, H.A.; Watson, S.; Watson, W. Learning technology models that support personalization within blended learning environments in higher education. TechTrends 2021, 65, 62–78. [Google Scholar] [CrossRef]
- Alam, S.; Albozeidi, H.F.; Al-Hawamdeh, B.O.; Ahmad, F. Practice and principle of blended learning in ESL/EFL pedagogy: Strategies, techniques and challenges. Int. J. Emerg. Technol. Learn. 2022, 17, 225. [Google Scholar] [CrossRef]
- Zhang, W.; Zhu, C. Comparing learning outcomes of blended learning and traditional face-to-face learning of university students in ESL courses. Int. J. E-Learn. 2018, 17, 251–273. [Google Scholar]
- Adas, D.; Bakir, A. Writing difficulties and new solutions: Blended learning as an approach to improve writing abilities. Int. J. Hunit. Soc. Sci. 2013, 3, 254–266. [Google Scholar]
- Grgurovic, M. Blended learning in an ESL class: A case study. Calico J. 2011, 29, 100–117. [Google Scholar] [CrossRef]
- Ghazizadeh, T.; Fatemipour, H. The effect of blended learning on EFL learners’ reading proficiency. J. Lang. Teach. Res. 2017, 8, 606–614. [Google Scholar] [CrossRef]
- Banditvilai, C. Enhancing Students’ Language Skills through Blended Learning. Electron. J. E-Learn. 2016, 14, 220–229. [Google Scholar]
- Marsh, D. Blended Learning: Creating Learning Opportunities for Language Learners; Cambridge University Press: New York, NY, USA, 2012. [Google Scholar]
- Liu, R.D.; Zhen, R.; Ding, Y.; Liu, Y.; Wang, J.; Jiang, R.; Xu, L. Teacher support and math engagement: Roles of academic self-efficacy and positive emotions. Educ. Psychol. 2018, 38, 3–16. [Google Scholar] [CrossRef]
- Akbarow; Gönen, K.; Aydoğan, H. Students’ attitudes toward blended learning in EFL context. Acta Didact. Napoc 2018, 11, 61–68. [Google Scholar] [CrossRef]
- Hodges, C.B. Self-efficacy in the context of online learning environments: A review of the literature and directions for research. Perform. Improv. Q. 2008, 20, 7–25. [Google Scholar] [CrossRef]
- Peng, J.-E.; Xie, X. English-Medium Instruction as a Pedagogical Strategy for the Sustainable Development of EFL Learners in the Chinese Context: A Meta-Analysis of Its Effectiveness. Sustainability 2021, 13, 5637. [Google Scholar] [CrossRef]
- Bandura, A. The explanatory and predictive scope of self-efficacy theory. J. Social. Clin. Psychol. 1986, 4, 359–373. [Google Scholar] [CrossRef]
- Bandura, A. Self-efficacy: Toward a unifying theory of behavioral change. Psychol. Rev. 1977, 84, 191. [Google Scholar] [CrossRef]
- Rohatgi, A.; Scherer, R.; Hatlevik, O.E. The role of ICT self-efficacy for students’ ICT use and their achievement in a computer and information literacy test. Comput. Educ. 2016, 102, 103–116. [Google Scholar] [CrossRef]
- Alshurideh, M.; Bataineh, A.; Alkurdi, B.; Alasmr, N. Factors affect mobile phone brand choices–Studying the case of Jordan universities students. Int. Bus. Res. 2015, 8, 141–155. [Google Scholar] [CrossRef]
- Zhang, X.; Ardasheva, Y.; Austin, B.W. Self-efficacy and English public speaking performance: A mixed method approach. Engl. Specif. Purp. 2020, 59, 1–16. [Google Scholar] [CrossRef]
- Ashraf, M.A.; Iqbal, J.; Arif, M.I.; Asghar, M.Z. Fostering ICT competencies in blended learning: Role of curriculum content, material, and teaching strategies. Front. Psychol. 2022, 13, 758016. [Google Scholar] [CrossRef]
- Lin, Y.J.; Wang, H.; Krasnova, T.; Sidorenko, T. Using virtual reality to facilitate learners’ creative self-efficacy and intrinsic motivation in an EFL classroom. Educ. Inf. Technol. 2013, 26, 4487–4505. [Google Scholar] [CrossRef]
- Ye, L.; Kuang, M.; Liu, S. ICT Self-Efficacy, Organizational Support, Attitudes, and the Use of Blended Learning: An Exploratory Study Based on English Teachers in Basic Education. Front. Psychol. 2022, 13, 941535. [Google Scholar] [CrossRef] [PubMed]
- Hatlevik, O.E.; Bjarnø, V. Examining the relationship between resilience to digital distractions, ICT self-efficacy, motivation, approaches to studying, and time spent on individual studies. Teach. Teach. Educ. 2021, 102, 103326. [Google Scholar] [CrossRef]
- Caplan, G. Support Systems and Community Mental Health: Lectures on Concept Development; Behavioral Publications: New York, NY, USA, 1974. [Google Scholar]
- Fraser, B.J.; Fisher, D.L.; McRobbie, C.J. Development, Validation, and Use of Personal and Class Forms of a New Classroom Environment Instrument. In Proceedings of the Annual Meeting of the American Educational Research Association, New York, NY, USA, 8–12 April 1996. [Google Scholar]
- Ryan, A.M.; Patrick, H. The classroom social environment and changes in adolescents’ motivation and engagement during middle school. J. Ameri. Educ. Reser. 2001, 38, 437–460. [Google Scholar] [CrossRef]
- Malecki, C.K.; Demaray, M.K. Measuring perceived social support: Development of the child and adolescent social support scale (CASSS). Psychol. Sch. 2002, 39, 1–18. [Google Scholar] [CrossRef]
- Marchant, G.J.; Paulson, S.E.; Rothlisberg, B.A. Relations of middle school students’ perceptions of family and school contexts with academic achievement. Psychol. Sch. 2001, 38, 505–519. [Google Scholar] [CrossRef]
- Schweder, S.; Raufelder, D. Positive emotions, learning behavior and teacher support in self-directed learning during adolescence: Do age and gender matter? J. Adolesc. 2019, 73, 73–84. [Google Scholar] [CrossRef] [PubMed]
- Zhao, Y.; Yang, L. Examining the relationship between perceived teacher support and students’ academic engagement in foreign language learning: Enjoyment and boredom as mediators. Front. Psychol. 2022, 13, 987554. [Google Scholar] [CrossRef]
- Peechapol, C.; Na-Songkhla, J.; Sujiva, S.; Luangsodsai, A. Development of Smartphone Application Based on the Theory of Planned Behaviour to Enhance Self-Efficacy for Online Learning. Int. J. Interact. Mob. Technol. 2018, 12, 135–151. [Google Scholar] [CrossRef]
- Luan, L.; Hong, J.-C.; Cao, M.; Dong, Y.; Hou, X. Exploring the role of online EFL learners’ perceived social support in their learning engagement: A structural equation model. Interact. Learn. Environ. 2020, 1–12. [Google Scholar] [CrossRef]
- Luan, L.; Dong, Y.; Liu, J. The influence of teacher support strategies on college students’ online learning engagement. Mod. Educ. Technol. 2022, 3, 119–126. [Google Scholar]
- Wang, J.; Zhang, X.; Zhang, L.J. Effects of teacher engagement on students’ achievement in an online English as a Foreign Language classroom: The mediating role of autonomous motivation and positive emotions. Front. Psychol. 2022, 13, 950652. [Google Scholar] [CrossRef]
- Zimmerman, B.J. Attaining self-regulation: A social cognitive perspective. In The Handbook of Self-Regulation; Boekerts, M., Pintrich, P.R., Zeidner, M., Eds.; Academic Press: London, UK, 2000; pp. 13–39. [Google Scholar]
- Chen, J.; Zhang, L.J. Assessing student-writers’ self-efficacy beliefs about text revision in EFL writing. Assess. Writ. 2019, 40, 27–41. [Google Scholar] [CrossRef]
- Sun, T.; Wang, C. College students’ writing self-efficacy and writing self-regulated learning strategies in learning English as a foreign language. System 2020, 90, 102221. [Google Scholar] [CrossRef]
- Namaziandost, E.; Çakmak, F. An account of EFL learners’ self-efficacy and gender in the Flipped Classroom Model. Educ. Inf. Technol. 2020, 25, 4041–4055. [Google Scholar] [CrossRef]
- Høigaard, R.; Kovač, V.B.; Øverby, N.C.; Haugen, T. Academic self-efficacy mediates the effects of school psychological climate on academic achievement. Sch. Psychol. Q. 2014, 30, 64. [Google Scholar] [CrossRef]
- Papastergiou, M. Enhancing physical education and sport science students’ self-efficacy and attitudes regarding information and communication technologies through a computer literacy course. Comput. Educ. 2010, 54, 298–308. [Google Scholar] [CrossRef]
- Miura, I.T. The relationship of computer self-efficacy expectations to computer interest and course enrollment in college. Sex Roles 1987, 16, 303–311. [Google Scholar] [CrossRef]
- Murphy, C.A.; Coover, D.; Owen, S.V. Development and validation of the computer self-efficacy scale. Educ. Psychol. Meas. 1989, 49, 893–899. [Google Scholar] [CrossRef]
- Cassidy, S.; Eachus, P. Developing the computer user self-efficacy (CUSE) scale: Investigating the relationship between computer self-efficacy, gender and experience with computers. J. Educ. Comput. Res. 2002, 26, 133–153. [Google Scholar] [CrossRef]
- Torkzadeh, G.; Koufteros, X. Factorial validity of a computer self-efficacy scale and the impact of computer training. Educ. Psychol. Meas. 1994, 54, 813–821. [Google Scholar] [CrossRef]
- Astin, A.W. Student involvement: A developmental theory for higher education. J. Coll. Stud. Pers. 1984, 25, 297–308. [Google Scholar]
- Axelson, R.D.; Flick, A. Defining student engagement. Chang. Mag. High. Learn. 2010, 43, 38–43. [Google Scholar] [CrossRef]
- Marks, H.M. Student engagement in instructional activity: Patterns in the elementary, middle, and high school years. Amer. Educ. Resear. J. 2000, 37, 153–184. [Google Scholar] [CrossRef]
- Fredricks, J.A.; Blumenfeld, P.C.; Paris, A.H. School engagement: Potential of the concept, state of the evidence. Rev. Educ. Res. 2004, 74, 59–109. [Google Scholar] [CrossRef]
- Reeve, J.; Lee, W. Students’ classroom engagement produces longitudinal changes in classroom motivation. J. Educ. Psychol. 2014, 106, 527. [Google Scholar] [CrossRef]
- Appleton, J.J.; Christenson, S.L.; Kim, D.; Reschly, A.L. Measuring cognitive and psychological engagement: Validation of the student engagement instrument. J. Sch. Psychol. 2006, 44, 427–445. [Google Scholar] [CrossRef]
- Philp, J.; Duchesne, S. Exploring engagement in tasks in the language classroom. Annu. Rev. Appl. Linguist. 2016, 36, 50–72. [Google Scholar] [CrossRef]
- Xu, G.F.; Fang, Y.M. Learner engagement from a social cognitive perspective. Forein Language Teach. 2019, 5, 39–56. [Google Scholar]
- Ma, J.; Han, X.; Yang, J.; Cheng, J. Examining the necessary condition for engagement in an online learning environment based on learning analytics approach: The role of the instructor. Internet High. Educ. 2015, 24, 26–34. [Google Scholar] [CrossRef]
- Jiang, L.; Meng, H.; Zhou, N. English learners’ readiness for online flipped learning: Interrelationships with motivation and engagement, attitude, and support. Lang. Teach. Res. 2021. [Google Scholar] [CrossRef]
- Luan, L.; Yi, Y.; Liu, J. Modelling the relationship between English language learners’academic hardiness and their online learning engagement during the COVID-19 Pandemic. In Proceedings of the 29th International Conference on Computers in Education Conference, ICCE 2021, Bangkok, Thailand, 22–26 November 2021; pp. 516–520. [Google Scholar]
- Wang, X.; Hui, L.; Jiang, X.; Chen, Y. Online English learning egagement among digital natives: The mediating role of self-regulation. Sustainability 2022, 14, 15661. [Google Scholar] [CrossRef]
- Pekrun, R.; Linnenbrink-Garcia, L. Academic emotions and student engagement. In Handbook of Research on Student Engagement; Springer: Boston, MA, USA, 2012; pp. 259–282. [Google Scholar] [CrossRef]
- Sun, G.; Bin, S. Construction of learning behavioral engagement model for MOOCs platform based on data analysis. Educ. Sci. Theory Pract. 2018, 18. [Google Scholar] [CrossRef]
- Patrick, H.; Ryan, A.M.; Kaplan, A. Early adolescents’ perceptions of the classroom social environment, motivational beliefs, and engagement. J. Educ. Psychol. 2007, 99, 83. [Google Scholar] [CrossRef]
- Tardy, C.H. Social support measurement. Am. J. Commun. Psychol. 1985, 13, 187. [Google Scholar] [CrossRef]
- Xie, Y.R.; Liu, C.H.; Zhu, J.J.; Yin, R. A study on the structure, influencing factors and cultivation strategies of university students’ self-efficacy in online learning. Res. Electro-Chem. Educ. 2011, 10, 30–34. [Google Scholar] [CrossRef]
- Wang, M.T.; Fredricks, J.A.; Ye, F.; Hofkens, T.L.; Linn, J.S. The math and science engagement scales: Scale development, validation, and psychometric properties. Learn. Instr. 2016, 43, 16–26. [Google Scholar] [CrossRef]
- Judd, C.M.; Kenny, D.A. Process analysis: Estimating mediation in treatment evaluations. Eval. Rev. 1981, 5, 602–619. [Google Scholar] [CrossRef]
- Baron, R.M.; Kenny, D.A. The moderator–mediator variable distinction in social psychological research: Conceptual, strategic, and statistical considerations. J. Personal. Soc. Psychol. 1986, 51, 1173–1182. [Google Scholar] [CrossRef] [PubMed]
- Bettayeb, H.; Alshurideh, M.T.; Al Kurdi, B. The effectiveness of mobile learning in UAE Universities: A systematic review of motivation, self-efficacy, usability and usefulness. Int. J. Control Autom. 2020, 13, 1558–1579. [Google Scholar]
- Thongsri, N.; Shen, L.; Bao, Y. Investigating factors affecting learner’s perception toward online learning: Evidence from ClassStart application in Thailand. Behav. Inform. Technol. 2019, 38, 1243–1258. [Google Scholar] [CrossRef]
- Busch, T. Gender differences in self-efficacy and attitudes toward computers. J. Educ. Comput. Res. 1995, 12, 147–158. [Google Scholar] [CrossRef]
- He, J.; Freeman, L.A. Understanding the formation of general computer self-efficacy. Commun. Assoc. Inf. Syst. 2010, 26, 12. [Google Scholar] [CrossRef]
- Crippen, K.J.; Biesinger, K.D.; Muis, K.R.; Orgill, M. The role of goal orientation and self-efficacy in learning from web-based worked examples. J. Interact. Learn. Res. 2009, 20, 385–403. [Google Scholar]
- Han, J.; Geng, X.; Wang, Q. Sustainable Development of university EFL learners’ engagement, satisfaction, and self-efficacy in online learning environments: Chinese experiences. Sustainability 2021, 13, 11655. [Google Scholar] [CrossRef]
- An, F.; Yu, J.; Xi, L. Relations between perceived teacher support and academic achievement: Positive emotions and learning engagement as mediators. Curr. Psychol. 2022. [Google Scholar] [CrossRef]
Disclaimer/Publisher’s Note: The statements, opinions and data contained in all publications are solely those of the individual author(s) and contributor(s) and not of MDPI and/or the editor(s). MDPI and/or the editor(s) disclaim responsibility for any injury to people or property resulting from any ideas, methods, instructions or products referred to in the content. |
© 2023 by the authors. Licensee MDPI, Basel, Switzerland. This article is an open access article distributed under the terms and conditions of the Creative Commons Attribution (CC BY) license (https://creativecommons.org/licenses/by/4.0/).
