A New Type of Mineral Admixture and Its Impact on the Carbonation Resistance of EPS Concrete
Abstract
:1. Introduction
2. Experimental Overview
2.1. Materials
2.1.1. Microbeads
2.1.2. Other Materials
2.2. Specimen Preparation
2.3. Test Methods
2.3.1. Carbonization Test
2.3.2. Strength Test
2.3.3. Microstructure Analysis
3. Results and Discussion
3.1. Effect of Microbead Dosage on the Carbonization Depth
3.2. Effect of Carbonization on the Compressive Strength
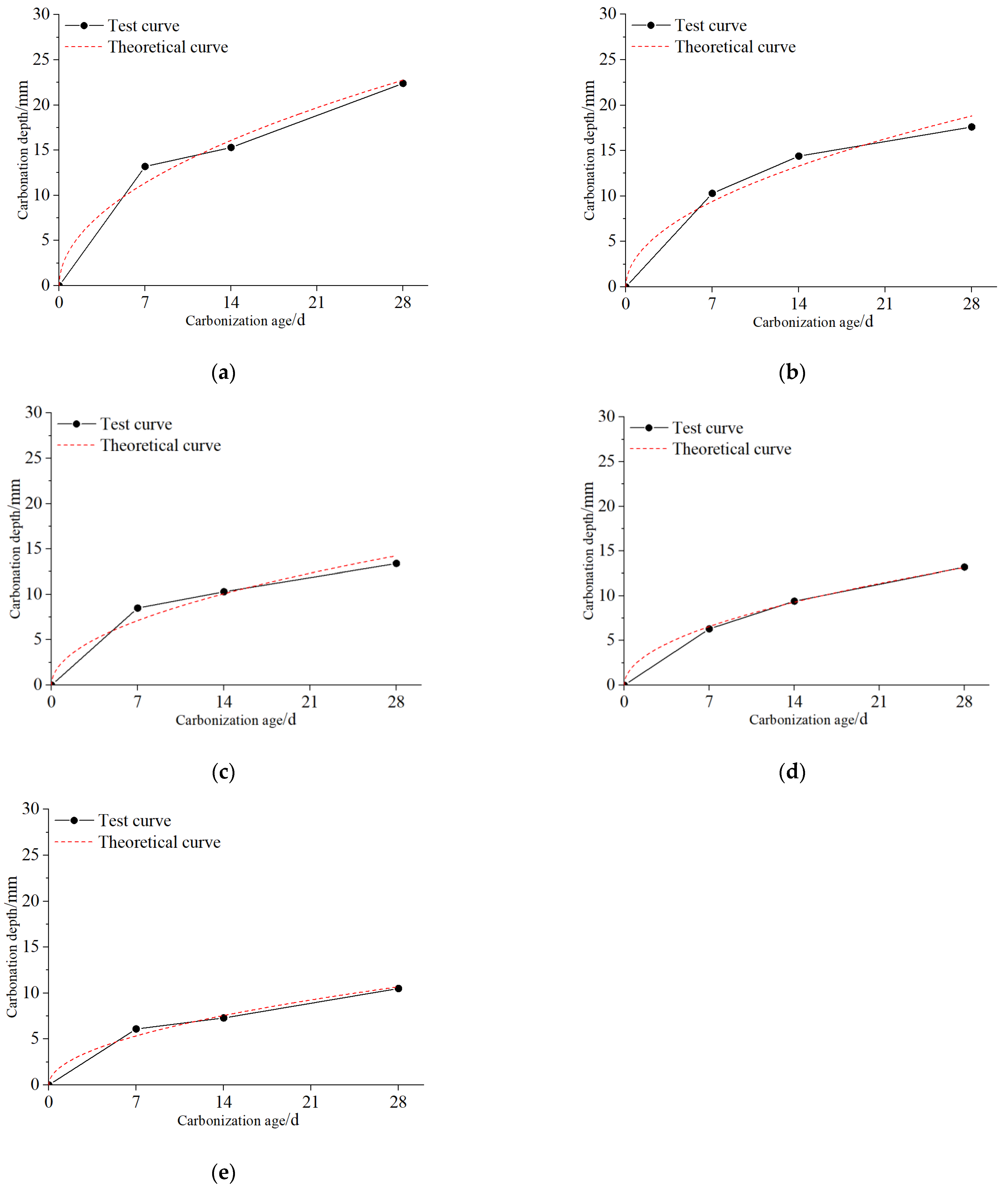
3.3. Predicting the Carbonation Depth of EPS Concrete
3.4. Microscopic Analysis
4. Conclusions
- The change of carbonation depth of EPS concrete is similar to that of ordinary concrete. The carbonation depth increases with the increasing carbonation age, but the carbonation rate slows down.
- The introduction of microbeads has a significant effect on preventing the carbonation of EPS concrete, and the 28-day carbonation depth can be reduced by more than 50%.
- The relative compressive strength of EPS concrete after carbonation is modeled, and the strength of EPS concrete after carbonation increases by 18–56%. The model parameter values of relative compressive strength of EPS concrete with different microbead dosages are provided. The relative compressive model agrees well with the measured curves and provides a reference for the strength assessment of such EPS concrete after carbonation.
- Based on the relationship between the traditional carbonation depth and carbonation time, the carbonation depth prediction model of EPS concrete under different microbead substitution rates is established, and the experimental data of each group are compared with the calculated values of the carbonation depth prediction model. The error is small, and the degree of fitting is good.
- The effect of introducing microbeads on the carbonation resistance of EPS concrete is analyzed from the microscopic perspective, which is mainly attributed to the improvement of the interfacial transition zone and the matrix compactness of microbeads.
Author Contributions
Funding
Institutional Review Board Statement
Informed Consent Statement
Data Availability Statement
Conflicts of Interest
References
- Zhang, W.H.; Lv, Y.J.; Liu, P.Y. Review on the research progress of EPS concrete. Mater. Rep. 2019, 33, 2214–2228. [Google Scholar]
- Yuan, J.; Li, W.; Wang, L.; Wang, J.; Yang, H.; Zhang, W. Study on carbonation resistance of EPS concrete based on mix proportion design. In Proceedings of the 2021 7th International Conference on Hydraulic and Civil Engineering & Smart Water Conservancy and Intelligent Disaster Reduction Forum (ICHCE & SWIDR), Nanjing, China, 6–8 November 2021; IEEE: Piscataway, NJ, USA, 2021. [Google Scholar]
- Prasittisopin, L.; Termkhajornkit, P.; Kim, Y.H. Review of concrete with expanded polystyrene (EPS): Performance and environmental aspects. J. Clean. Prod. 2022, 366, 132919. [Google Scholar] [CrossRef]
- Meddage, D.P.P.; Chadee, A.; Jayasinghe, M.T.R.; Rathnayake, U. Exploring the applicability of expanded polystyrene (EPS) basedconcrete panels as roof slab insulation in the tropics. Case Stud. Constr. Mater. 2022, 17, e01361. [Google Scholar]
- Fernando, P.L.N.; Jayasinghe, C.; Jayasinghe, M.T.R. Structural feasibility of Expanded Polystyrene (EPS) based lightweight concrete sandwich wall panels. Constr. Build. Mater. 2017, 139, 45–51. [Google Scholar] [CrossRef]
- Babu, K.G.; Babu, D.S. Behaviour of lightweight expanded polystyrene concrete containing silica fume. Cem. Concr. Res. 2003, 33, 755–762. [Google Scholar] [CrossRef]
- Ferr, F.; García, E. Physical and mechanical characterization of Portland cement mortars made with expanded polystyrene particles addition (EPS). Mater. Constr. 2012, 62, 547–566. [Google Scholar]
- Dixit, A.; Pang, S.D.; Kang, S.H.; Moon, J. Lightweight structural cementcomposites with expanded polystyrene (EPS) for enhanced thermal insulation. Cem. Concr. Compos. 2019, 102, 185–197. [Google Scholar] [CrossRef]
- Dissanayake, D.M.K.W.; Jayasinghe, C.; Jayasinghe, M.T.R. A comparative embodied energy analysis of a house with recycled expanded polystyrene (EPS) based foam concrete wall panels. Energy Build. 2017, 135, 85. [Google Scholar] [CrossRef]
- Mohammed, H.J.; Zain, M. Experimental application of EPS concrete in the new prototype design of the concrete barrier. Constr. Build. Mater. 2016, 124, 312–342. [Google Scholar] [CrossRef]
- Wang, Y.X. Application of Light Steel and Light Concrete Structure System in Small Island Resort Building; South China University of Technology: Guangzhou, China, 2017. [Google Scholar]
- Cahyono, D.B.; Adi, H.P.; Wahyudi, S.I. Lightweight concrete as covers on floating house platforms made from expanded polystyrene system (EPS) material. IOP Conf. Ser. Earth Environ. Sci. 2022, 955, 012012. [Google Scholar] [CrossRef]
- Yuan, J.; Wang, L.; Li, W.; Yang, H.; Wang, J.; Zhang, W.; Xiong, Z. A new EPS beads strengthening technology and its influences on axial compressive properties of concrete. Sci. Eng. Compos. Mater. 2022, 29, 50–64. [Google Scholar]
- Yuan, J.; Wang, L.; Li, W.; Wang, J.; Yang, H.; Zhang, W.; Xiong, Z. Experimental study on surface wrapping strengthening of EPS particles and its concrete performance. Sci. Eng. Compos. Mater. 2022, 29, 23–26. [Google Scholar]
- Yuan, J. Study on Design, Preparation and Properties of EPS Concrete Based on Modified Foam Particles; University of Science and Technology Beijing: Beijing, China, 2022. [Google Scholar]
- Cui, C.; Huang, Q.; Li, D.; Quan, C.; Li, H. Stress–strain relationship in axial compression for EPS concrete. Constr. Build. Mater. 2016, 105, 377–383. [Google Scholar] [CrossRef]
- Huang, Q.; Li, D.; Wang, J. Study on lightweight steel and lightweight concrete structures system. J. Build. Struct. 2016, 37, 1–9. [Google Scholar]
- JGJ383 JGJ383-2016; Technical Specification of Lightweight Steel and Lightweight Concrete Structures. Ministry of Construction of the People’s Republic of China: Beijing, China, 2016. (In Chinese)
- Vakhshouri, B.; Rasiah, S.R.; Nejadi, S. Analytical Study of the Drying shrinkage in Light-Weight Concrete Containing EPS Beads. Adv. Cem. Res. 2019, 31, 308–318. [Google Scholar] [CrossRef]
- Babavalian, A.; Ranjbaran, A.H.; Shahbeyk, S. Uniaxial and triaxial failure strength of fiber reinforced EPS concrete. Constr. Build. Mater. 2020, 247, 118617. [Google Scholar] [CrossRef]
- Gao, Q.Q.; Zhang, H.Y. Effect of concrete carbonation by elevating the concentration of CO2. Concrete 2007, 4, 17–19. [Google Scholar] [CrossRef]
- Li, G.; Yuan, Y.; Geng, O. Influences of climate conditions to the concrete carbonization rates. Concrete 2004, 11, 49–51. [Google Scholar] [CrossRef]
- GB/T18736-2017; Mineral Admixtures for High Strenth and High Performance Concrete. The General Administration of Quality Supervision, Inspection and Quarantine of the People’s Republic of China/China National Standardization Administration: Beijing, China, 2018. (In Chinese)
- GB/T 1596-2017; Fly Ash Used for Cement and Concrete. The General Administration of Quality Supervision, Inspection and Quarantine of the People’s Republic of China/China National Standardization Administration: Beijing, China, 2018. (In Chinese)
- GB/T50082-2009; Standard for Test Methods of Long-Term Performance and Durability of Ordinary Concrete. China Architecture and Building Press: Beijing, China, 2009. (In Chinese)
- GB/T50081-2009; Standard for Test Methods of Concrete Physical and Mechanical Properties. China Architecture and Building Press: Beijing, China, 2009. (In Chinese)
- Groves, G.W.; Rodway, D.I.; Richardson, I.G. The carbonation of hardened cement pastes. Adv. Cem. Res. 1990, 3, 117–125. [Google Scholar] [CrossRef]
- Dunster, A.M. An investigation of the carbonation of cement paste using trimethylsilylation. Adv. Cem. Res. 1989, 7, 99–106. [Google Scholar] [CrossRef]
- Shen, Q.Z. Micro Structure Evolution and Predicition Model of Cementitious Materials under Carbonation and Loading Coupling Effects; Southeast University: Nanjing, China, 2018. [Google Scholar]
- Wu, Z.W.; Lian, H.Z. High Performance Concrete; Chinese Raiway Publishing House: Beijing, China, 1999. [Google Scholar]
- Li, S.W.; Li, G. Carbonation performance test of self-compacting concrete with different curing age mineral admixtures. Concrete 2019, 3, 27–29. [Google Scholar] [CrossRef]
- Li, G.; Shen, X.; Zou, Y.; Gao, B. Durability of aeolian sand powder concrete under mechanism of aeolian sand blowing erosion and carbonization. Trans. Chin. Soc. Agric. Eng. 2018, 34, 158–166. [Google Scholar]
- Yao, L.K. Experimental Research on Compressive Strength and Carbonation Performance of Aeolian Sand Concrete in Northern Shaanxi; Xi’an University of Science and Technology: Xi’an, China, 2020. [Google Scholar]
- Niu, D.T. Durability and Life Prediction of Concrete Structure; Beijing Science Press: Beijing, China, 2003. [Google Scholar]
- Huang, K. Reinforcement Corrosion and Protection in Reinforced Concrete Structures; China Architecture and Building Press: Beijing, China, 1983. [Google Scholar]
- Chen, L.T. Research on Concrete Carbonation Model and Its Parameters; Xi’an University of Architecture and Technology: Xi’an, China, 2007. [Google Scholar]
- Papadakis, V.G.; Vayenas, C.G.; Fardis, M.N. Fundamental modeling and experimental investigation of concrete carbonation. Mater. J. 1991, 88, 363–373. [Google Scholar]
- Lindvall, A. Duracrete-Probabilistic Performance Based Durability Design of Concrete Structures. In Proceedings of the 2nd fib International PhD Symposium in Civil Engineering, Budapest, Hungary, 28–30 May 1999. [Google Scholar]
- FIB. Model Code 2010: Final Draft, Vol. 1; FIB Bulletin No. 66; FIB: Lausanne, Switzerland, 2012. [Google Scholar]
- Liu, F.; Wei, K.; Yang, F. Experimental investigation on performance of polyvinyl alcohol fiber modified EPS concrete. J. Funct. Mater. 2021, 52, 12055–12060. [Google Scholar]
- Li, B.X.; Wang, Z.W.; Su, L.Y.; Faguang, L. Experimental Study on Matching Process to Reduce the Shrinkage Properties of EPS Concrete. Mater. Rep. 2021, 35, 16021–216027. [Google Scholar]
- Wang, H.G. Drying Shrinkage and Cabronation of Pavement Concrete with Nano-Particles; Northeast Forestry University: Harbing, China, 2012. [Google Scholar]
- Zhang, M.H. Life-Cycle Performance of Nano-Pavement Concrete; Harbing Institute of Technology: Harbing, China, 2007. [Google Scholar]
- Ji, Y.J. Characterization on Molecular Structure of Polycarboxylate Superplasticizer and Its Interaction with Cementitious Components; South China University of Technology: Guangzhou, China, 2011. [Google Scholar]





















| Chemical Composition (%) | SiO2 | CaO | MgO | Al2O3 | Fe2O3 | Na2O | K2O | SO3 | TiO2 |
|---|---|---|---|---|---|---|---|---|---|
| Microbeads | 56.52 | 4.85 | 1.33 | 26.54 | 5.36 | 1.42 | 3.28 | 0.65 | 0.02 |
| Cements | 22.93 | 58.42 | 1.81 | 6.93 | 3.43 | 0.37 | 1.13 | 3.75 | 0.48 |
| Fly ash | 34.48 | 4.62 | 0.60 | 42.35 | 9.88 | 0.48 | 1.42 | 2.15 | 2.51 |
| Number | Cement/kg | Fly Ash/kg | EPS Beads/L | Water/kg | Water Reducing Agent/kg | Microbead/ kg | Cementitious Material Substitution Rate |
|---|---|---|---|---|---|---|---|
| A1 | 370 | 370 | 580 | 252 | 3.5 | 0 | 0% |
| A2 | 370 | 333 | 580 | 252 | 3.5 | 37 | 5% |
| A3 | 370 | 296 | 580 | 252 | 3.5 | 74 | 10% |
| A4 | 370 | 259 | 580 | 252 | 3.5 | 111 | 15% |
| A5 | 370 | 222 | 580 | 252 | 3.5 | 148 | 20% |
| Number | Carbonation Depth of EPS Concrete at Different Carbonation Ages/mm | ||
|---|---|---|---|
| 7 d | 14 d | 28 d | |
| A1 | 13.22 | 15.34 | 22.42 |
| A2 | 10.35 | 14.46 | 17.61 |
| A3 | 8.53 | 10.36 | 13.42 |
| A4 | 6.31 | 9.41 | 13.23 |
| A5 | 6.12 | 7.37 | 10.58 |
| Number | Compressive Strength/MPa | Relative Compressive Strength /MPa | ||||||
|---|---|---|---|---|---|---|---|---|
| 0 d | 7 d | 14 d | 28 d | 0 d | 7 d | 14 d | 28 d | |
| A1 | 7.09 | 9.4 | 9.4 | 9.2 | 1.00 | 1.33 | 1.33 | 1.30 |
| A2 | 7.18 | 9.3 | 9.7 | 11.2 | 1.00 | 1.30 | 1.35 | 1.56 |
| A3 | 9.96 | 11.4 | 11.8 | 13.6 | 1.00 | 1.14 | 1.18 | 1.37 |
| A4 | 9.85 | 12.9 | 12.0 | 12.0 | 1.00 | 1.31 | 1.22 | 1.22 |
| A5 | 10.87 | 12.9 | 11.6 | 12.9 | 1.00 | 1.19 | 1.07 | 1.19 |
| Number | a | b | c | R2 |
|---|---|---|---|---|
| A1 | −0.0011 | 0.0414 | 1.0262 | 0.8918 |
| A2 | −0.0006 | 0.0345 | 1.0235 | 0.958 |
| A3 | −0.00007 | 0.00146 | 1.0112 | 0.9781 |
| A4 | −0.0009 | 0.0307 | 1.0376 | 0.6688 |
| A5 | −0.0005 | 0.0211 | 1.0188 | 0.8301 |
| Group | A1 | A2 | A3 | A4 | A5 | |
|---|---|---|---|---|---|---|
| Fitting Parameters | ||||||
| K | 4.30002 | 3.55636 | 2.69253 | 2.48342 | 2.02069 | |
| R2 | 0.98448 | 0.98025 | 0.97301 | 0.99906 | 0.98838 | |
| Number | Carbonation 7 d | Carbonation 14 d | Carbonation 28 d | ||||||
|---|---|---|---|---|---|---|---|---|---|
| Measure Value/mm | Calculated Value/mm | Error/% | Measure Value/mm | Calculated Value/mm | Error/% | Measure Value/mm | Calculated Value/mm | Error/% | |
| A1 | 13.22 | 11.38 | 13.92 | 15.34 | 16.09 | −4.89 | 22.42 | 22.75 | −1.47 |
| A2 | 10.35 | 9.41 | 9.08 | 14.46 | 13.31 | 7.95 | 17.61 | 18.82 | −6.87 |
| A3 | 8.53 | 7.12 | 16.53 | 10.36 | 10.07 | 2.80 | 13.42 | 14.25 | −6.18 |
| A4 | 6.31 | 7.12 | −12.84 | 9.41 | 10.07 | −7.01 | 13.23 | 14.25 | −7.71 |
| A5 | 6.12 | 5.35 | 12.58 | 7.37 | 7.56 | −2.58 | 10.58 | 10.69 | −1.04 |
Disclaimer/Publisher’s Note: The statements, opinions and data contained in all publications are solely those of the individual author(s) and contributor(s) and not of MDPI and/or the editor(s). MDPI and/or the editor(s) disclaim responsibility for any injury to people or property resulting from any ideas, methods, instructions or products referred to in the content. |
© 2023 by the authors. Licensee MDPI, Basel, Switzerland. This article is an open access article distributed under the terms and conditions of the Creative Commons Attribution (CC BY) license (https://creativecommons.org/licenses/by/4.0/).
Share and Cite
He, H.; Wang, Y.; Yuan, J.; Xu, K.; Wang, S.; Qiao, H.; Wu, T.; Yang, J.; Liu, J.; Yu, J.; et al. A New Type of Mineral Admixture and Its Impact on the Carbonation Resistance of EPS Concrete. Sustainability 2023, 15, 7233. https://doi.org/10.3390/su15097233
He H, Wang Y, Yuan J, Xu K, Wang S, Qiao H, Wu T, Yang J, Liu J, Yu J, et al. A New Type of Mineral Admixture and Its Impact on the Carbonation Resistance of EPS Concrete. Sustainability. 2023; 15(9):7233. https://doi.org/10.3390/su15097233
Chicago/Turabian StyleHe, Haijie, Yuxuan Wang, Ji Yuan, Ke Xu, Shifang Wang, Hongxia Qiao, Tao Wu, Jie Yang, Junding Liu, Jing Yu, and et al. 2023. "A New Type of Mineral Admixture and Its Impact on the Carbonation Resistance of EPS Concrete" Sustainability 15, no. 9: 7233. https://doi.org/10.3390/su15097233
APA StyleHe, H., Wang, Y., Yuan, J., Xu, K., Wang, S., Qiao, H., Wu, T., Yang, J., Liu, J., Yu, J., & Wang, B. (2023). A New Type of Mineral Admixture and Its Impact on the Carbonation Resistance of EPS Concrete. Sustainability, 15(9), 7233. https://doi.org/10.3390/su15097233

