Abstract
Analysis of the omnidirectional energy spectrum from storm wave measurements provides valuable parameters for understanding the specific local conditions that wave energy converters would have to withstand. Partitioning the energy spectrum also helps to identify wave groups with low directional spread propagating in the direction of the dominant waves of the more energetic wave systems. This paper analyzes the partition of the Hurricane Wilma energy spectrum using single-point measurements obtained in shallow water. Hurricane Wilma generated simultaneous crossing wave systems with different significant wave heights and steepnesses. The maximum estimated significant height among the wave groups was 5.5 m. The corresponding height of the partitions and the omnidirectional energy spectrum were 11.0 m (swell) and 12 m, respectively. While linear superposition was the main mechanism responsible for driving the wave groups, at times, modulational instability produced nonlinear wave groups. This is a new finding, since modulational instability is usually considered an open-sea phenomenon. For shorelines with multidirectional wave groups, submerged and semi-submerged devices should be designed to account for changes in wave direction and wave height, although under extreme hurricane conditions, energy harvesting might have to be sacrificed for the benefit of device integrity.
1. Introduction
The capture of wave power and the survivability of energy-harvesting devices are key issues in the ongoing development of technologies that use wave resources efficiently [1]. The structural design of wave energy converters (WECs) and their modeling at the laboratory scale are determined by the extreme events they are likely to face. The loads produced by the breaking events and the extreme mooring tensions that are experienced by a WEC are the most critical conditions for study [2,3,4,5]. Extreme wave events can be physically and numerically simulated with focused wave groups to generate sea surface elevations of increasing steepness [6,7]. The motion of the WECs, the wavelength, the wave steepness, and the WEC distance relative to the wave breaking point are key variables associated with severe sea states. Accurate field measurements, taken in extreme conditions, are therefore vital to improving the mechanical and structural design of WECs.
The northeast of the Yucatan Peninsula is seen as an area with the potential for extracting wave energy using WECs [8,9]. However, the Yucatan Peninsula is frequently hit by hurricanes, so the resilience of WECs under different wave systems, driven simultaneously during storms, is crucial. While point-absorbing WECs appear to be the most viable technology to harness wave power in the Mexican Caribbean [10], the ability of a WEC to survive extreme waves [11] is the main factor determining the success of this technology. Thus, improvements in wave spectrum analysis are necessary in order to determine the operating conditions and structural stability of potential WECs that could be installed in the study area.
The sea state is a constantly changing surface, composed of several different wind-generated wave systems, observed within periods of less than 5 min [12]. Each wave system is formed in a different generation zone, and all have similar directions and wavelengths, with the same maximum (peak) energy in the wave spectrum. A wave spectrum often has several peaks because of the coexistence of the wind sea, driven by local wind conditions, and swells from remote meteorological systems. Therefore, wave conditions at sea are composed of mixed wind waves. For wave spectrum analysis, spectral partitioning allows the energy of the waves to be associated with the same peak frequency [13,14,15]. Each segment of the spectrum is taken to represent independent wave systems originating from different generation zones. As a storm approaches coastal waters, where storm-generated wave systems overlap with background wave systems, sudden changes in the sea state occur. The simultaneous crossing and opposing wave systems may threaten offshore structures, ships, and WEC arrays. Estimating the wave parameters associated with storm wave systems is now essential for the realistic reproduction of storm wave characteristics in numerical and experimental wave tanks.
Here, we use the wave measurements induced by Hurricane Wilma (2005) [16]. This Category 5 hurricane made landfall in Quintana Roo in October 2005 and had the lowest central pressure of any hurricane ever recorded in the Atlantic Basin [17]. Wilma began to form in the northwest Caribbean Sea and, in only 24 h, escalated from a tropical storm, with winds of 111 km/h, to a Category 5 hurricane with winds of 278 km/h [18]. During the period of intensification, the diameter of the hurricane’s eye dropped to 3.7 km, the smallest eye diameter ever observed at the National Hurricane Center [17]. However, the eye diameter of Hurricane Wilma grew considerably, and for most of its life, its eye diameter was 74–111 km. Wilma’s destructive effects as it passed across the Yucatan Peninsula included loss of vegetation, damage to infrastructure in urban and tourist centers, flooding, and severe beach erosion [19,20]. Infrastructure losses were valued at USD 3 billion in Mexico and USD 20.6 billion in the United States [18,19]. According to wave records, in the shallow waters of the northeast Yucatan Peninsula, the waves of Hurricane Wilma had monomodal and bimodal distributions in frequency and direction [16,21,22]. In deeper waters, the wave spectrum tended to be bimodal or trimodal in direction [23]. Before Wilma arrived, the wind sea had low energy, which increased during the storm. Swell was also generated by Wilma; therefore, wind sea and swell developed simultaneously, and the degree of wave grouping increased during the passage of Wilma. After the storm, there was no swell, only wind sea with more energy than it had prior to the storm. Although [22] considered there to be two wave partitions, they did not estimate the wave parameters for each partition.
Since wave groups with low directional spread may undergo significant nonlinear changes, which can be observed through the process of energy transfer, the steeper the wave, the more changes in the wave groups [24]. Hence, the focusing of wave energy over time and the resultant generation of large-amplitude waves in the middle of wave groups during storms (Benjamin–Feir instability) deserves attention.
The partition of the extreme wave spectrum of Wilma provided the significant wave height, the wave steepness, the spectral bandwidth, the peak direction, and the directional spread of different wind-generated wave systems. We consider the peak direction obtained at each partition to be the direction of the dominant waves. Since the superposition of wave trains of similar frequency propagating in the direction of the dominant waves form wave groups, the peak direction corresponds to the direction of the wave groups. A frequency spectrum can be estimated in this direction to assess the degree of wave grouping. It is a reasonable approach. The main aim of this article was to partition the directional wave spectrum of Hurricane Wilma to identify wave groups and thus estimate the spectral wave parameters in the direction of the dominant waves. These spectral parameters make it possible to determine whether WECs would be confronted with multidirectional wave groups of different heights and steepnesses simultaneously. This work offers local knowledge to those developing WECs, regarding the design of nearshore systems able to withstand harsh conditions, and to those estimating WEC performance in extreme wave conditions. The above parameters can be used by designers of WECs to simulate the interaction of devices with the wave groups, either numerically or in wave tanks, so that devices can be improved to survive extreme wave conditions. An array of WECs deployed in shallow water would be expected to experience crossing wave groups with low directional spread and different individual wave heights during intense storms. Wave spectra data from extreme events can improve decision making and thus minimize structural damage to WECs.
This article provides a novel means of determining the duration of Hurricane Wilma based on the wave energy spectrum, which can be applied to any storm. It also includes the description of the Benjamin–Feir index for shallow waters. The work is structured as follows: Section 2 describes the wave data and methodology used to estimate the spectral wave parameters in the direction of the dominant waves. In Section 3, the results are shown and discussed, and the overall conclusions are provided in Section 4.
2. Materials and Methods
2.1. Wave Data
A 1 MHz Nortek Acoustic Wave Current profiler (AWAC) was used to collect measurements of ocean waves in the shallow water at Puerto Morelos, Quintana Roo (Figure 1), from August to November 2005 [25]. The AWAC was deployed at a depth of 20.73 m [16,25] and recorded data using sensor pressure and acoustic surface tracking (AST). AST directly measured the sea surface using a narrow 1.7° vertical acoustic beam. The sampling frequency was 4 Hz, and the sampling frequency for the sensor pressure was 2 Hz. The AWAC recorded data every 2 h, to a total of 2048 samples. Further details can be found in [26].
Figure 1.
The study site and the region of interest (black box). (a) The Gulf of Mexico; (b) the northeast of the Yucatan Peninsula.
The SUV method was used for the processing of directional waves. The name of the SUV method takes the letter “S” from AST and “UV” from the horizontal velocity components. The SUV method uses AST data as well as instantaneously interpolated horizontal velocity components, vertically aligned with AST, to calculate the directional distribution of the directional wave spectrum [27]. This method is well-adapted for mounted-bottom measurements and moving platforms, as well as when waves are exposed to large mean currents. Spectral calculations were made using the optimized option in order to account for the pressure measurements when the AWAC software detected outliers in over 10% of the AST data. The AST data were not filtered, but a smoothing value of 64 was used to average each of the discrete frequencies of the spectra. This is the default value used to smooth wave measurements by the Nortek software at a maximum value of 128. The value selected specifies the number of fast Fourier transform bins used at each frequency. As the number of bins increases, the spectrum appears smoother. The number of bins selected does not change the total energy, but may slightly alter the distribution of energy. The frequency step was set to 0.01 Hz.
2.2. Spectral Wave Parameters
The flux of wave energy per unit along the crest width in kW/m was estimated from the total wave spectrum using
where the constant terms are the water density and the gravitational acceleration . The variable terms are the wave power or wave energy flux , the wave frequency , the direction of wave propagation , the water depth , the frequency-direction (total) wave spectrum , and the wave group speed . The wave group speed is given by
where is the wave number and is the wavelength. The latter is estimated using an accurate, explicit two-step solution [28]. The strength or intensity of the wave energy transport , the area under the wave power curve, is
where stands for the storm duration. The duration of Wilma was determined from the response of the sea surface to the high- and low-frequency components of the generated wave field. According to [29], higher-frequency wave components respond more quickly to changes in the wind field than lower-frequency wave components. Hence, we can apply a frequency band of 0.22 to 0.30 Hz as a tracer to detect the onset of Wilma, while frequencies in the range of 0.08–0.18 Hz serve to define the end of the storm disturbance. The wave frequencies used in this work to determine were 0.25 Hz and 0.10 Hz, in the latter case, when the spectral energy density reached the pre-storm value of ≤0.2 m2/Hz. Figure 2 shows how this criterion is applied to a cold front. Time marks divide the duration of the storm into three periods: (1) pre-storm, (2) storm passage, and (3) post-storm. The duration of this cold front was 34 h.
Figure 2.
UTC-hourly time series of wave power and nondirectional wave energy spectrum for a cold front. The dotted lines mark its duration.
The moments of the wave spectrum determine the statistical characteristics of the sea surface, defined as
These terms denote the nth-order moment of the total wave spectrum. The significant wave height was approximated as .
The spectral wave steepness , a measure of frequency dispersion, is based on the Miche steepness limit [30,31], calculated as
Here, is the wave number at the peak of the wave spectrum.
The superposition of linear and nonlinear wave trains at similar frequencies can form wave groups, and the factor (Goda’s parameter) estimates the degree of wave grouping [32,33]:
As the value of becomes higher, the spectrum shape becomes narrower, so the grouping of waves is better developed. Narrow-banded swells can reach values of , whereas fully developed wind seas have values of .
Narrow-band wave trains, in frequency or direction, with steep wave slopes can become unstable due to side-band perturbations (four-wave interactions) [34,35]. These nonlinear perturbations are known as modulation instability, or Benjamin–Feir instability, and lead to the focusing of wave energy in space and/or time and the presence of a large-amplitude wave in the middle of a wave group [34,36]. The Benjamin–Feir index () assesses the modulation instability of nonlinear waves by comparing nonlinear effects (spectral steepness) with dispersion effects (spectral bandwidth) [37]. As the wave field increases in steepness, the local energy concentration is more likely to cause the waves to break. The is also considered an indicator of the probability of very high waves resulting from nonlinearity in unidirectional wave fields . Nonlinearity gives rise to deviations from the Gaussian distribution for the wave field [38]. As the increases, so does the nonlinearity. The magnitude depends on depth, and in shallow waters, it can be expressed as
where is the Benjamin–Feir index extension to shallow water; is the first derivative with the wave number of the dispersion relation for surface gravity waves on water of finite depth (the group speed); , with denoting the angular frequency at the peak period; is the second derivative of dispersion relation, which is always negative for any value of the water depth; and is the nonlinear interaction coefficient for the narrow-band limit that takes into account the effects of the finite depth on modulation instability. The nonlinear interaction coefficient is given by
where , indicating the wave phase speed in shallow water. Finite-amplitude waves generate a current and cause changes in the mean sea level in shallow waters. This lessens the modulation instability and can reduce the development of very high waves. Hence, the first term in brackets accounts for the contribution of a term connected with the nonlinear dispersion relation for surface gravity waves, while the second term reflects the effects of the wave-induced current and corresponding deviations from the mean surface elevation [35]. When , the nonlinear interaction coefficient vanishes . When , is negative and the wave-induced current has a stabilizing effect because the nonlinear transfer of energy is small [34]. When , the term associated with the nonlinear dispersion relation (NLDRT) holds, and is positive . In this case, the wave-induced current tends to vanish, and therefore, the dominant wave trains are unstable. A uniform wave train is unstable to four-wave interactions when ; that is, when . In addition, a narrow-banded wave spectrum in a low-directional spreading sea state is unstable when . It is worth noting that the spectral bandwidth is expressed in terms of , which is a robust, narrow-band approximation [35]. The dispersion or dispersive effects cannot be fully derived from because it is not the nonlinear dispersion relation. We can only say whether or not the term associated with the nonlinear dispersion relation exceeds the term associated with the wave-induced current.
Sea states are characterized by the simultaneous occurrence of one or more wave systems (i.e., wind sea and swell with different energy levels). Spectral parameters estimated from the total or omnidirectional energy spectrum do not provide specific spectral parameters associated with wave groups in the direction of the dominant waves. WECs also experience the effects of multidirectional wave groups, which can be unstable and focus wave energy through the mechanism of modulational instability. These effects cannot be inferred from the omnidirectional energy spectrum, but by partitioning the omnidirectional energy spectrum to obtain a frequency spectrum in the direction of the dominant waves. While all WECs undergo the combined effects of all partitions, the study of the possible interaction of WECs with wave groups associated with severe storms is also relevant and worth considering.
To identify the various wave systems and to detect the wave groups driven by Wilma in shallow water, the total wave spectrum was partitioned according to [39] and using the software developed by [40]. The partition algorithm was carried out through the following eight steps. (1) Filter the measured energy spectrum using double convolution. A 3 × 3 smoothing filter was used to remove the small peaks in the measured spectrum, to avoid it being interpreted as a partition. (2) Identify all possible partitions using a watershed algorithm. (3) Identify and combine all wind-sea partitions using a wave age criterion. (4) Merge mutual swell partitions. (5) Select only partitions above noise level and below an energy threshold. (6) Merge remaining swell partitions that do not have a valley between them and are separated by less than 90°. (7) Keep only swell partitions with significant wave values above a default minimum. (8) Re-order partitions in terms of energy level in descending order. We used single-point measurements, recorded every two hours. The total wave spectrum was estimated from these wave measurements every two hours. These were the spectra used for the partition. We did not use any spectra at multiple stations for the partition. For each total spectrum, the partitioning scheme provided the number of wave systems, the peak frequency , the peak direction , the directional spread, and from the frequency spectrum of each wave system.
In unidirectional sea states, the displacement of wave trains of similar frequency is aligned with the direction of the dominant waves, and groups of waves are formed. The wave groups driven by Wilma can be observed in the AST recordings. Since waves do not occur unidirectionally during storms, the frequency spectrum and were also estimated in the peak direction of each partition. We use the peak direction from the three more-energetic partitions to infer the properties associated with wave groups generated during Hurricane Wilma. For example, was estimated from for all frequencies, which means that wave energy from different partitions is included in the integration. The integration limits for considered the peak direction and the directional spread of each partition, enabling the estimation of moments for and . The typical mean directional spread for the first three partitions over the Wilma storm period was . In this study, we concentrated on the peak direction of the wind sea and the two most energetic swells to assess nonlinear focusing. Although the estimates do not evaluate the frequency spectrum of each wave system (partition), they are referred to as −partitions 1, 2, and 3 for ease of reference. Therefore, the emphasis is on groups of waves with low directional spread since their wave spectrums can become narrow-banded and unstable in the direction of the dominant wave.
The way in which swells interact with wind and wind waves is not considered here because no single-point wind measurements were taken at the measurement site. However, the interaction between swell and wind waves was taken into account through the formation of wave groups. The partitioning of the total wave spectrum was first used to obtain the direction of the dominant waves. Then, a frequency spectrum, in that direction, was estimated by integrating for all frequencies within the low directional spread obtained from the partitioning. The superposition of these frequencies to form wave groups in Wilma’s generation zone is also a way of considering how swells and wind waves interact. They interact to form groups of waves. The spectral steepness and bandwidth, as well as the , were estimated using the frequency spectrum in the direction of the dominant waves. Thus, by partitioning the omnidirectional energy spectrum to estimate de frequency spectrum in the direction of the dominant waves, the nonlinear interaction between swells and wind waves was estimated using the extension to shallow water of the Benjamin–Feir index It should be noted that by integrating in the direction of the dominant waves (the peak direction), swells and wind waves from different partitions (wave systems) were also considered.
3. Results and Discussion
3.1. Wave Power
Figure 3 shows the wave power time series for Hurricane Wilma. The maximum wave power reached an astonishing 814 kW/m, and the storm duration was 96 h, producing a wave energy power intensity of about 25 MW/m. This is roughly equivalent to the energy generated by a wind farm composed of eight wind turbines rated at 3 MW. The number of wave systems generated by Wilma ranged from one to five. Until around 14 h before the storm, there was only a wind-sea state, which is consistent with the results of [22]. In the post-storm period, up to four wave systems remained. Unlike [22], who found that the swell had completely disappeared by October 23, we found that the swell was still present after October 23. This is probably due to the different algorithms used to process the total energy spectrum, the frequency interval of the omnidirectional energy spectrum, and the partition schemes.
Figure 3.
UTC-hourly time series of wave power throughout the passage of Hurricane Wilma at the study site and the number of wave systems identified from the frequency–direction wave spectrum (small blue squares).
3.2. Partition of Wave Spectrum
The amount of energy generated by a WEC can vary considerably depending on the specific wave energy spectrum of the deployment site. In nondirectional wave fields, the energy harvested by a WEC farm can be uniform. In multidirectional wavefields, directional spreading can mean the predominance of certain degrees of freedom for independent motions of the floating bodies [41]. The hydrodynamic efficiency of a WEC and its resonance period are associated with the angle of incidence of the wave and thus the amount of energy harvested [42,43]. The time evolution of the wave spectrum indicates the different wave conditions that influence the harvesting performance and the ability of a WEC to survive onsite storms. WECs stop harvesting energy when a survivability threshold is reached (e.g., ) [44]. Even in these sea states, WECs must withstand storm conditions with minimal damage.
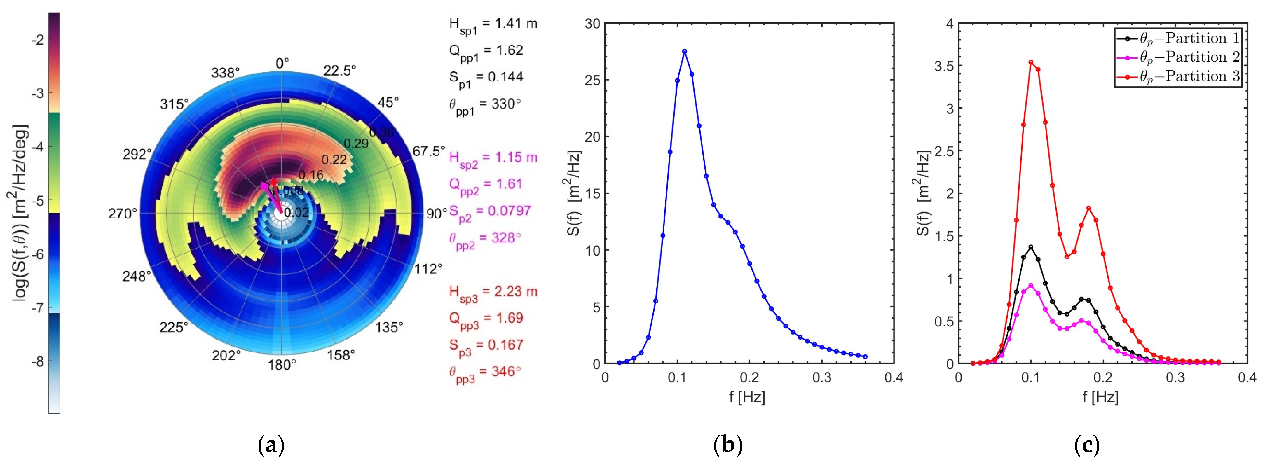
Figure 4a shows when Wilma hit a potential site for WEC deployment with at least two different wave systems; the results presented are in agreement with [21]. Wave groups were seen to come from three peak wae directions (64°, 124°, and 63°) simultaneously. The peak frequencies for these three −partitions were 0.090 Hz (11.1 s), 0.080 Hz (12.5 s), and 0.090 Hz (11.1 s), respectively. As such, −partitions 1 and 3 are likely the same wave system.
Figure 4.
The partition of the total wave spectrum on 21 October 2005 at 23:24 UTC. (a) The total wave spectrum; (b) the omnidirectional energy spectrum; (c) the frequency wave energy spectrum in the peak direction of each partition. For clarity, the frequency energy spectrum of −partition 3 was multiplied by a factor of 1.2. The wave directions indicate where the waves go. In the panel, each arrow with different color points to the peak direction for partition 1 (black), partition 2 (magenta), and partition 3 (red). The p1, p2, and p3 sub-indices in the spectral wave parameters refer to each wave partition. In the total wave spectrum, and the arrows in color black and red seem to overlap.
The method for the spectral partitioning of waves was designed to facilitate the analysis of distinct wind-sea and swell wave systems from the total wave spectrum [39]. The number of wave systems identified depends on both the wave frequency and the direction intervals. Hence, wave systems within the same storm source can be better resolved with a frequency step of less than 0.01 Hz.
The two wave systems were recorded two hours after the maximum wave power was reached. The wave power was 600 kW/m, with significant wave heights, estimated along the wave peak direction, exceeding 2 m. The directional spreading for the three partitions was, in respective order, 2.6°, 2.6°, and 2.8°. Although the sea state was close to a fully developed wind sea, and wave grouping was not well-developed, such relatively high waves could contribute to structural fatigue and the aging of the devices.
At other times, especially at the peak of the wave power, three distinct simultaneous wave peak directions were clearly observed, from 73°, 120°, and 162°, with wave heights of 2.0 m, 5.4 m, and 1.0 m, respectively. These peak direction characteristics were also noted by [22]. The corresponding peak frequencies were 0.150 Hz (6.7 s), 0.08 Hz (12.5 s), and 0.18 Hz (5.6 s). Wind-sea frequencies typically range from 5 Hz to 0.111 Hz (0.2 s to 9 s), while swell frequencies range from 0.111 Hz to 0.067 Hz (9 s to 15 s). Thus, the above peak frequencies of −partitions 1 and 3 correspond to the wind sea (shorter waves). By contrast, the peak frequencies of −partitions 1 and 3 shown in Figure 4a indicate swells (longer waves). The time series of (not shown) indicates these main features: (i) most of the first-partition frequencies are in the range of the wind-sea frequencies; (ii) most of the second-partition frequencies fall into the swell frequency range; (iii) most of the frequencies in the third partition match the range of wind-sea frequencies; and (iv) there are times when two or all of the partition frequencies overlap. While the frequencies for wind sea and swell are well-established, the range of frequencies may overlap if the wind speed is high enough, as occurred during Hurricane Wilma. When Wilma passed through the measurement site, the sea surface was actively forced by the wind, and nonlinear interactions may have merged with shorter and longer waves. Wind sea and swell developed continuously in the area of influence of Wilma. In fact, [23] found that wind-sea energy can propagate in alignment with the wind direction for frequencies similar to the swell. Therefore, the wind sea may have frequencies up to 0.067 Hz (15 s), and the swell may also have frequencies of about 0.500 Hz (2 s). The interaction between swell and wind waves was significant during Wilma. However, these complex nonlinear wave–wave interactions are not explicitly considered in the context of the ongoing work.
A finite-depth criterion for the onset of wave breaking is when [30]. The wave steepnesses measured in wave facilities for WEC testing range from 0.167 to 0.264 [2]. Hence, the estimated wave steepness shown in Figure 4a is insufficient to cause the waves to break.
The frequency spectra shown in Figure 4c are not the energy spectra of the first three partitions, and the energy of the peak values do not represent the energy resulting from the energy spectrum associated with the three partitions. This refers only to the maximum energy values obtained in a specific direction. Hence, these energy values should not be added together to obtain the energy value in Figure 4b. It should be noted that the frequency spectrum in the direction of the dominant waves takes into account the combined effects of several partitions.
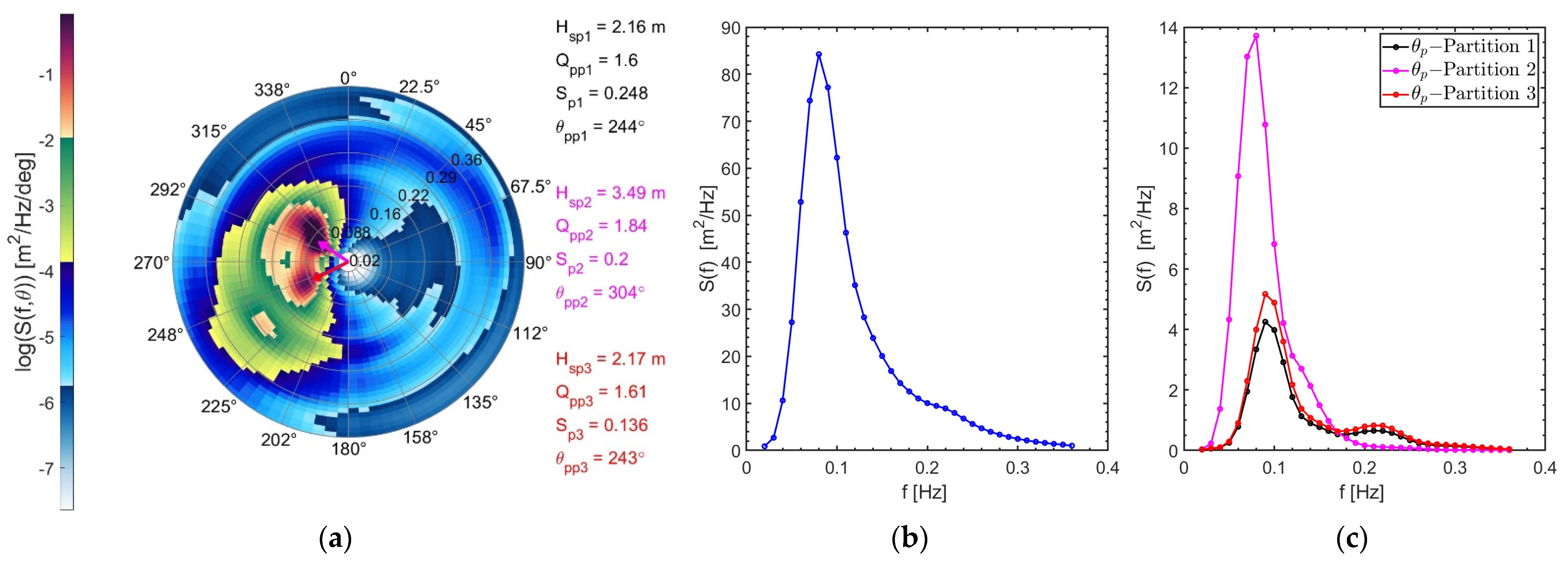
Figure 4b and Figure 5b show the unimodal distribution of the omnidirectional energy spectrum. The significant wave heights were 10.4 m (Figure 4b) and 6.5 m (Figure 5b). Figure 4c and Figure 5c show the unimodal and bimodal distribution of in the dominant wave direction of the three −partitions, obtained by integrating along the peak direction for all frequencies. The peak directions of −partitions 1 and 2 are almost the same (wave system), but shows a different area beneath the curve. The values of in Figure 4c and Figure 5c are roughly 0.010 Hz. However, the maximum energy observed at in the distribution of reflects the energy contributions of the other partitions in that direction.
The data shown in Figure 5 correspond to the time when the wave power decreased to 181 kW/m, 22 h after reaching its maximum value. Only three wave systems were identified (Figure 3). The peak directions (Figure 5a) are congruent with the area where the total spectrum displays its maximum energy. They represent the directions in which three-wave systems move. Since −partitions 1 and 2 represent the same wave system, it appears that the wave systems associated with partitions 1 and 3 traveled within an alignment of approximately 16°. In addition, the peak frequencies for both partitions 1 and 3 are the same (0.1 Hz). Nonlinear interactions likely resulted in energy transfer between the wind sea (high frequencies) and the swell (low frequencies) [45]. As a result, the two partitions had the same peak frequency. The significant wave height of partitions 1 and 3 derived from of each partition—i.e., not aligned in the peak direction—were 3.6 m and 2.2 m, respectively. Under these sea-state conditions, the significant wave height of the wind sea exceeds the respective swell contribution. This implies a sea swell energy ratio of .
Figure 5.
The partition of the total wave spectrum on 22 October 2005 at 17:24 UTC. (a) The total wave spectrum; (b) the omnidirectional energy spectrum; (c) the frequency wave energy spectrum in the peak direction of each partition. The frequency energy spectrum was not multiplied by any factor. In (a), the total wave spectrum, , and the arrows in color black and magenta seem to overlap. Other features are indicated in Figure 4.
Figure 5.
The partition of the total wave spectrum on 22 October 2005 at 17:24 UTC. (a) The total wave spectrum; (b) the omnidirectional energy spectrum; (c) the frequency wave energy spectrum in the peak direction of each partition. The frequency energy spectrum was not multiplied by any factor. In (a), the total wave spectrum, , and the arrows in color black and magenta seem to overlap. Other features are indicated in Figure 4.

3.3. Spectral Wave Parameters
An increasing linear trend is evident for the values of and (Figure 6). These wave parameters were estimated using along the of each partition (Figure 6a), the omnidirectional energy spectrum, and also the energy spectrum of each partition (Figure 6b).
Figure 6.
Scatter diagram of the significant wave height versus the significant wave steepness during the storm passage of Hurricane Wilma over the measurement site (a) in the direction of the dominant waves for each partition; (b) for each partition and the omnidirectional energy spectrum.
The maximum significant wave height of the dominant waves (5.5 m) was associated with the second −partition and a wave power of 703 kW/m. This occurred four hours before the wave power reached its maximum value. In contrast, the maximum estimated significant heights of the partitions and the omnidirectional energy spectrum were 11 m (swell) and 12 m, respectively.
The maximum wave steepness (1.007) shown in Figure 6a was related to the dominant waves of the third −partition and a significant wave height and a wave power of 2.0 m and 519 kW/m, respectively. This occurred six hours before the maximum wave power. The steepest wave trains () were primarily the result of wind sea and the second most energetic swell. It is likely that for the wave groups within (Figure 6a), the highest wave within the group was steeper and had already broken. The maximum wave steepness estimated from the omnidirectional energy spectrum was 1.141 (Figure 6b). It coincided with a significant wave height and a wave power of 11.3 m and 119 kW/m, respectively. This occurred 24 h after the wave power reached its maximum value (Figure 3).
The probability of wave breaking, called the breaker fraction (), can be estimated easily by [46], where is the mean wave steepness. The values of for each −partition in Figure 6a are, in respective order, 0.161, 0.129, and 0.204. As a result, the fractions of broken waves in the wave trains passing the measurement site were 0.0009, 0.0003, and 0.0034, respectively. The breaker fraction is an important parameter in studies on energy dissipation caused by depth-induced wave breaking in the surf zone, as it controls patterns of sediment transport [47]. Furthermore, the dissipation of wave energy reduces the amount of energy available for harnessing and affects the survival capacity of WECs [48]. However, these issues are beyond the scope of the current work.
The peak direction of the maximum significant wave height was 301°, while the peak direction of the maximum wave steepness was 261° (Figure 7). Wave trains of m were clustered at about 300°. Where two or more wave systems moving in different directions overlap, this is known as a crossing sea. WECs and other objects that float in the sea, such as buoys, will at some time be impacted by two or more wave systems arriving from different directions (Figure 4). In terms of the peak direction, we found that interactions with crossing seas became more common as the wave power increased. On 21 October 2015, between 01:24 UTC and 21:24 UTC (Figure 3), there were five periods of time when in at least two wave −partitions, and three sea states had quite different peak directions. It should be noted that this was obtained from .
Wave steepness is an indicator of the degree of nonlinearity of a wave field because, theoretically, a very steep wave may become steep enough to break. Furthermore, wave groups are prone to nonlinear changes as the individual waves become steeper. The higher the values, the narrower the shape of the energy spectrum and the higher the concentration of energy. Therefore, wave groups in sea states with narrow spectral bands induce nonlinear instabilities [49]. In the open sea, nonlinear instabilities, such as the Benjamin–Feir instability, can lead to the instability of a narrow-banded wave spectrum.
Figure 7.
Polar scatter diagram of the significant wave height, significant wave steepness, and the wave peak direction for all data in each −partition during the storm passage of Hurricane Wilma. Wave directions indicate where the waves went.
Figure 7.
Polar scatter diagram of the significant wave height, significant wave steepness, and the wave peak direction for all data in each −partition during the storm passage of Hurricane Wilma. Wave directions indicate where the waves went.

Overall, is expected to rise with increasing wave steepness. The degree of wave grouping with respect to the wave steepness is shown in Figure 8. The scatter of the points is significant, but there are not enough data for a robust linear trend. Following [50], the data were averaged over seven bins equal in size with respect to . The sea state is fully developed when . There were 80 points plotted below and 54 points above this value. A binned linear trend, with increasing with , is seen until a fully developed sea state is reached. This is the best we can do with the available data. The energy of the waves probably increased to develop wave groups and thus increased the wave steepness.
Figure 8.
Scatter diagram of the Goda parameter versus the significant wave steepness associated with each −partition during the storm passage of Hurricane Wilma. The blue triangles are all data binned into equally sized -bins. Each binned value is the average of all data within the bin.
Disregarding the insufficient data, the decreasing linear trend of , with the increase in for , suggests that nonlinear instabilities are not associated with the development of wave groups. It appears that the modulation instability will not lead to the splitting of a regular train of waves into wave groups. This negative trend was found in new pancake sea ice reported by [51]. The enhanced wave grouping in pancake ice, relative to open water, was attributed to the linear random superposition of neighboring frequency components in a wave field whose spectral bandwidth decreased. The site at which the waves generated by Hurricane Wilma were recorded was in shallow water, where the dominating effect of a wave-induced current would inhibit the modulation instability mechanism. Therefore, the increase in wave grouping, shown in Figure 8, was probably a result of the linear superposition of wave trains propagating in the direction of the dominant wave system.
The shape of the group of waves in the AST time series was more clearly observed at the start and end of the storm passage. In these periods, the wave power displayed its lowest values. When a wave group hits a WEC, the highest crest can come from the front, center, or rear of the group. Additionally, if individual waves in the group become sufficiently steep, they may break directly over the WEC. The variation in loads on a WEC and mooring tensions could be significant depending on the asymmetry of the wave groups relative to the highest crest [52].
We consider that the dominant waves exist as wave groups. A characteristic of wave groups is that the elevation envelope decays away from the highest individual wave, close to the center of the group. Figure 9a shows groups of waves recorded eight hours after the storm began, in which two wave systems were identified and the wave power was 24 kW/m (Figure 3). The wave groups were determined empirically, from the highest individual waves observed within the elevation record. The highest positive peak within a wave group was taken as a reference. Then, the decreasing peaks on both sides were followed until the smallest peaks in the wave group were found. The first and last individual waves were determined empirically, using the zero upward-crossing wave elevation method. The fifth wave in the highlighted wave group appeared to have dissipated its energy by breaking (Figure 9a). Since the breaking process is associated with individual waves [53], this wave did not remain coherent once it reached a critical steepness.
Figure 9.
Surface elevation records in shallow water on: (a) 20 October 2015 at 23:24 UTC; (b) 23 October 2015 at 13:24 UTC. The black crosses indicate the position of the crests of the group of waves highlighted in red.
In Figure 9b, the wave groups were recorded two hours before the storm ended. At that time, there were four wave systems with a wave power of 27 kW/m (Figure 3). The asymmetry of the wave groups was estimated following [49] as follows: . Here, is the number of crests within the group and is the index of the highest crest . If the highest crest is in the middle of the group, then , while indicates that the highest crest is toward the front of the group. For wave groups recorded in the open ocean, [49] found that symmetric wave groups tend to be most commonly in the range . In wave groups with the maximum crest near the front, , and in those with the maximum near the rear of the wave group, . In Figure 9a, , , and , and in Figure 9b, , , and . In both cases, the wave groups are almost symmetrical. On the other hand, the asymmetry of the extreme wave-crest and wave-trough elevation with respect to the still water level is of interest to designers of WECs for technical calculations (Figure 9a).
For most of the storm period, surface gravity waves of finite amplitude produced currents almost the same values as the corresponding values of the NLDRT. As a consequence, the nonlinear transfer of energy among the frequency components of the wave spectrum was low (Figure 10). The mechanism of modulation instability produced wave groups only in the first and third −partitions of the total wave spectrum (Figure 10a), most notably for and . The outlier at suggests the formation of a nonlinear wave group for which (Figure 6), which included an individual wave steep enough to break.
Figure 10.
The square of Benjamin–Feir’s extended index for shallow waters as a function of the (a) significant wave steepness; (b) degree of wave grouping.
Figure 10a also shows an increasing linear tendency in the index with at approximately and . The higher the , the larger the dominant effect of nonlinearity on the wave-induced current. Thus, in shallow waters under intense storm conditions with low directional spreads, nonlinearity could modify the steepness structure of the wave groups. The stabilizing effects of the wave-induced current on the modulation instability predominated in the −partition . Hence, the clear linear trend of with increases in shown in Figure 6 indicates linear wave groups. This is strengthened in Figure 10b, where most of the points in the second −partition for which demonstrated that .
Benjamin–Feir instability is primarily a deep-water phenomenon. Interestingly, this type of instability occurred a few times in the shallow water studied here, specifically in the peak direction of the first and third −partitions (Figure 10b). This indicates nonlinear changes in the wave groups. The values suggest that nonlinear interactions were associated with both relatively wide-banded and narrow-banded wave spectra. The spectral bandwidth , a measure of energy concentration, was calculated as [33]. Since high-order moments of the spectrum are sensitive to noise in the high frequencies of the spectrum, this expression is less sensitive to high-frequency components because it depends on low-order moments [33]. The data for which were separated to plot as a function of (Figure 11a). As the spectral bandwidth decreases, the degree of wave grouping increases, indicating the development of nonlinear wave groups. Most of the points that correspond to the third −partition had a broad bandwidth, suggesting dynamic conditions that were probably evolving toward a fully developed sea state. In contrast, most of the points of the first −partition had a relatively narrow bandwidth and , which means that the nonlinear wave groups were more developed. Figure 11b illustrates the nonlinear trend of bandwidth decreasing as the wave grouping factor increases throughout the storm passage period. The wave groups become more narrow as the degree of wave grouping increases.
Wave groups are considered a superposition of linear or nonlinear wave trains of similar frequency propagating in the direction of the dominant waves. The superposition can combine many elementary waves with random amplitudes and phases. We have estimated the frequency spectrum in the direction of the dominant waves via the partition of the omnidirectional energy spectrum. This is a reasonable approach to inferring wave groups from spectral parameters. A narrow wave spectrum has a sharp peak, which corresponds to a pronounced group structure. As increases in the direction of the dominant waves, the spectrum becomes narrower. As decreases, the spectrum becomes narrower. It is expected that, as increases, should decrease. Indeed, we have estimated both and in the direction of the dominant waves. The relation between and is therefore meaningful. Hence, the relation between the degree of wave grouping and the spectral bandwidth shown in Figure 11 is the expected result.
Figure 11.
The spectral bandwidth as a function of the degree of wave grouping. (a) The dataset with from Figure 10b; (b) the whole dataset during the passage of Hurricane Wilma over the measurement site.
Figure 11.
The spectral bandwidth as a function of the degree of wave grouping. (a) The dataset with from Figure 10b; (b) the whole dataset during the passage of Hurricane Wilma over the measurement site.

Linear superposition was the primary mechanism responsible for the formation of wave groups during Hurricane Wilma. At times, from the superposition of weakly nonlinear waves, wave groups developed in shallow water through the mechanism of modulation instability. The nonlinear mechanism of wave group formation emerged as the effect of the wave-induced current was surpassed by the NLDRT. As far as we are aware, this is a novel result since modulational instability is usually considered an open-sea phenomenon. The wave field changed continuously during the storm passage period, and nonlinearity increased as the wave groups became steeper.
In addition, for a specific depth ( m), the nonlinear term in Equation (8) is a function of the wavenumber. A significant reduction in the nonlinear transfer of energy was expected around . Then, as long as the wavenumbers remained below this theoretical limit value, the NLDRT did not have a pronounced effect on the stabilizing effect of the wave-induced current. The NLSDT was dominant in wavenumbers ranging between 0.1164 and 0.4986 . The modulation instability was triggered in shallow water because the threshold for instability was exceeded (). Hence, during severe storms in shallow waters, the NLDRT can override the stabilizing effect of the wave-induced current.
The survivability and reliability of WECs are an issue, particularly during storms, where devices should not be subject to significant damage or loss of functionality. The partitioning of Hurricane Wilma’s extreme spectrum provided parameters of multidirectional wave groups. In general, for shorelines with multidirectional waves, submerged and semi-submerged devices should accommodate changes in wave direction and wave height. However, under extreme hurricane conditions, energy harvesting should have to be sacrificed in favor of device integrity. The estimation of the spectral wave steepness in the direction of the dominant waves associated with breaking wave groups is helpful for improving the design of WECs. Since the spectral parameters are estimated at specific times, it is possible to see the elevation wave record at those specific times. This is important for assessing the response of WEC to wave slamming due to breaking waves, because the magnitude of the mooring loads depends on the location of the breaking. In this way, the durability of key structural components when hit by extreme wave groups can be improved. When the extreme event is over, the devices may return to an acceptable operational level. Overall, the extreme wave conditions generated by Wilma represent a step towards improving the ability of WECs to survive storms.
Another issue regards the ability of WECs to continue operating under specific wave conditions. Hurricane Wilma was an extreme tropical cyclone. However, there are storm events that are not as severe as Wilma when they approach the shore. Although WECs are usually turned into a secure mode during storms, a challenge for WECs is whether they can capture the wave energy of relatively low-energy storms: for example, squall lines, trough lines, atmospheric frontal systems, and some tropical cyclones. Submerged and semi-submerged WECs can probably be optimized to operate in stormy conditions. This could reduce the amount of energy lost in harnessing wave energy. The extreme wave conditions generated by Wilma illustrate the wave conditions that the above devices would face. However, the harvesting of wave energy driven by individual storms may be worth testing.
4. Conclusions
In this paper, a robust method of estimating the duration of Hurricane Wilma was introduced, which is applicable to other storms. The reason for partitioning the directional wave energy spectrum driven by Wilma was to obtain extreme spectral wave parameters, especially in the direction of the dominant waves. The findings demonstrate the importance of analyzing the wave groups of severe local sea states. The maximum values of wave steepness were relatively close to those of the onset of wave breaking due to the bottom effect (finite depth). Individual waves in the wave groups seen in the surface elevation records showed signatures of wave breaking. Crossing wave groups, with low directional spread and different wave heights and steepnesses, were also identified.
The most notable features of the spectral parameters were as follows:
- i
- The spectral wave steepness and bandwidth in the direction of the dominant waves ranged from 0.007 to 0.596 and from 0.157 to 0.850, respectively;
- ii
- The increase in the degree of wave grouping with decreasing bandwidth;
- iii
- The increase in the degree of wave grouping with increasing steepness for ;
- iv
- The decrease in the degree of wave grouping with increasing steepness for , implying the development of wave groups;
- v
- The increase in modulation instability with increasing steepness for .
It is also worth noting that the sea state aligned in the direction of the dominant waves was unimodal and bimodal in frequency. Such extreme wave conditions are possible in the northeast of the Yucatan Peninsula, so any WEC deployed there could experience them.
The limitations of this study included the lack of single-point wind measurements, the interval between measurements (2 h), and the discrete sampling of wave directions and frequencies (4° and 0.01 Hz). Future directions include analyzing currents, wave groups in the elevation records, and identifying the signatures of individual breaking waves within groups. The assessment of wave energy dissipation by depth-induced breaking would enable the estimation of the reduction in available wave energy that could be harnessed by WECs. It would also be worthwhile to search for modulational instability in records of other shallow-water storms.
For the optimal design of WECs and their moorings on the ground, it is essential to take into account the effect of multidirectional wave groups. The structural response of WECs to wave groups with varying individual wave heights and steepnesses is crucial when assessing the extreme motions and loads they will face. Survivability assessments should take into account real extreme wave conditions in the area where they are to be deployed. In this way, the values of the spectral wave parameters provided in this paper are helpful to those working in the development of WECs, particularly in evaluation areas such as survivability and reliability.
Author Contributions
Conceptualization, M.U.; methodology, M.U.; software, M.U.; formal analysis, M.U., R.S. and I.M.-T.; investigation, M.U.; resources, R.S.; writing—original draft preparation, M.U.; writing—review and editing, M.U., R.S. and I.M.-T.; visualization, M.U.; funding acquisition, M.U. and R.S. All authors have read and agreed to the published version of the manuscript.
Funding
This research was funded by the Fondo de Sustentabilidad CONACYT-SENER (Consejo Nacional de Ciencia y Tecnología-Secretaría de Energía) through the Centro Mexicano de Innovación en Energías del Océano (CEMIE-Océano), grant number 249795.
Data Availability Statement
The raw data supporting the conclusion of this article will be made available by the authors without undue reservation.
Acknowledgments
The authors also acknowledge the reviewers for their comments, which helped improve the manuscript.
Conflicts of Interest
The authors declare no conflict of interest. The funders had no role in the design of the study; in the collection, analyses, or interpretation of data; in the writing of the manuscript; or in the decision to publish the results.
References
- Hodges, J.; Henderson, J.; Ruedy, L.; Soede, M.; Weber, J.; Ruiz-Minguela, P.; Jeffrey, H.; Bannon, E.; Holland, M.; Maciver, R.; et al. An International Evaluation and Guidance Framework for Ocean Energy Technology; International Energy Agency-Ocean Energy Systems: Lisbon, Portugal, 2021. [Google Scholar]
- Hann, M.; Greaves, D.; Raby, A. Snatch loading of a single taut moored floating wave energy converter due to focused wave groups. Coast. Eng. 2015, 96, 258–271. [Google Scholar] [CrossRef]
- Qiao, D.; Haider, R.; Yan, J.; Ning, D.; Li, B. Review of Wave Energy Converter and design of mooring system. Sustainability 2020, 12, 8251. [Google Scholar] [CrossRef]
- Xu, S.; Wang, S.; Guedes Soares, C. Experimental investigation on hybrid mooring systems for wave energy converters. Renew. Energy 2020, 158, 130–153. [Google Scholar] [CrossRef]
- Gomes, R.P.F.; Gato, L.M.C.; Henriques, J.C.C.; Portillo, J.C.C.; Howey, B.D.; Collins, K.M.; Hann, M.R.; Greaves, D.M. Compact floating wave energy converters arrays: Mooring loads and survivability through scale physical modelling. Appl. Energy 2020, 280, 115982. [Google Scholar] [CrossRef]
- Santo, H.; Taylor, P.H.; Carpintero Moreno, E.; Stansby, P.; Eatock Taylor, R.; Sun, L.; Zang, J. Extreme motion and response statistics for survival of the three-float wave energy converter M4 in intermediate water depth. J. Fluid Mech. 2017, 813, 175–204. [Google Scholar] [CrossRef]
- Musiedlak, P.-H.; Ransley, E.J.; Hann, M.; Child, B.; Greaves, D.M. Time-splitting coupling of WaveDyn width OpenFoam by fidelity limit identified from a WEC in extreme wave. Energies 2020, 13, 3431. [Google Scholar] [CrossRef]
- Felix, A.; Mendoza, E.; Chávez, V.; Silva, R.; Rivillas-Ospina, G. Wave and wind energy potential including extreme events: A case study of Mexico. J. Coastal. Res. 2018, 85, 1336–1340. [Google Scholar] [CrossRef]
- Hernández-Fontes, J.V.; Felix, A.; Mendoza, E.; Rodríguez Cueto, Y.; Silva, S. On the marine energy resources of Mexico. J. Mar. Sci. Eng. 2019, 7, 191. [Google Scholar] [CrossRef]
- Díaz-Maya, M.; Ulloa, M.; Silva, R. Assessing wave energy converters in the Gulf of Mexico using a multi-criteria approach. Front. Energy Res. 2022, 10, 929625. [Google Scholar] [CrossRef]
- Guo, B.; Ringwood, J.V. A review of wave energy technology from a research and commercial perspective. IET Renew. Power Gener. 2021, 15, 3065–3090. [Google Scholar] [CrossRef]
- Ardhuin, F.; Stopa, J.E.; Chapron, B.; Collard, F.; Husson, R.; Jensen, R.E.; Johannessen, J.; Mouche, A.; Passaro, M.; Quarly, G.D.; et al. Observing sea states. Front. Mar. Sci. 2019, 6, 124. [Google Scholar] [CrossRef]
- Waters, J.; Wyatt, L.R.; Wolf, J.; Hines, A. Data assimilation of partitioned HF radar wave data into Wavewatch III. Ocean Model. 2013, 72, 17–31. [Google Scholar] [CrossRef]
- Ailliot, P.; Maisondieu, C.; Monbet, V. Dynamical partitioning of directional ocean wave spectra. Probabilistic Eng. Mech. 2013, 33, 95–102. [Google Scholar] [CrossRef]
- Wyatt, L.R.; Green, J.J. Swell and wind-sea partitioning of HF radar directional spectra. J. Oper. Oceanogr. 2022. [Google Scholar] [CrossRef]
- Silva-Casarin, S.; Mendoza-Baldwin, E.; Escalante-Mancera, E.; Mariño-Tapia, I.; Ruiz-Rentería, F. Oleaje inducido por el huracán Wilma en Puerto Morelos, Quintana Roo, México. Ing. Hidraul. Mex. 2009, XXIV, 93–109. [Google Scholar]
- Pasch, R.J.; Blake, E.S.; Cobb, H.D.; Roberts, D.P. Tropical Cyclone Report Hurricane Wilma, 25 October, 2005; National Hurricane Center: Miami, FL, USA, 2006.
- Beven II, J.L.; Avila, L.A.; Blake, E.S.; Brown, D.P.; Franklin, J.L.; Knabb, R.D.; Pasch, R.J.; Rhome, J.R.; Stewart, S.R. Atlantic hurricane season of 2005. Mon. Weather Rev. 2008, 136, 1109–1173. [Google Scholar] [CrossRef]
- Silva Casarin, R.; Ruiz Martinez, G.; Mariño-Tapia, I.; Posada Venegas, G.; Mendoza Baldwin, E.; Escalante Mancera, E. Manmade vulnerability of the Cancun Beach System: The case of Hurricane Wilma. CLEAN Soil Air Water 2012, 40, 911–919. [Google Scholar] [CrossRef]
- Rivera-Monroy, V.H.; Farfán, L.M.; Brito-Castillo, L.; Cortés-Ramos, J.; González-Rodríguez, E.; D’Sa, E.J.; Euan-Avila, J.I. Environmental impacts along karstic coastal regions (Yucatan Peninsula, Mexico). Appl. Sci. 2020, 10, 5815. [Google Scholar] [CrossRef]
- Mariño Tapia, I.; Silva Casarin, R.; Enríquez Ortiz, C.; Mendoza Baldwin, E.; Escalante Mancera, E.; Ruíz Rentería, F. Extreme Conditions Induced by Hurricane Wilma in Intermediate Water Depth at Puerto Morelos, Quintana Roo, México. In Proceedings of the 31st International Conference on Coastal Engineering, Hamburg, Germany, 31 August–5 September 2008; p. 5128. [Google Scholar] [CrossRef]
- Martell-Dubois, R.; Silva-Casarin, R.; Mendoza-Baldwin, E.G.; Muñoz-Pérez, J.J.; Cerdeira-Estrada, S.; Escalante-Mancera, E.; Laiz, I. Spectral bimodality of waves produced by hurricanes in the Caribbean coastal zone off Mexico. Cienc. Mar. 2018, 44, 33–48. [Google Scholar] [CrossRef]
- Esquivel-Trava, B.; Ocampo-Torres, F.J.; Osuna, P. Spatial structure of directional wave spectra in hurricanes. Ocean Model. 2015, 65, 65–76. [Google Scholar] [CrossRef]
- Adcock, T.A.A.; Taylor, P.H.; Draper, S. On the shape of large wave-groups on deep water -The influence of bandwidth and spreading. Phys. Fluids 2016, 28, 106601. [Google Scholar] [CrossRef]
- Mendoza, E.; Velasco, M.; Velasco-Herrera, G.; Martell, R.; Silva, R.; Escudero, M.; Ocampo-Torres, F.J.; Mariño-Tapia, I. Spectral analysis of sea surface elevations produced by big storms: The case of hurricane Wilma. Reg. Stud. Mar. Sci. 2020, 39, 101390. [Google Scholar] [CrossRef]
- Escalante-Mancera, E.; Silva-Casarín, R.; Mendoza-Baldwin, E. Análisis de la variación del nivel del mar y de las corrientes inducidas por el huracán Wilma frente a Puerto Morelos, Quintana Roo, México. Ing. Hidraul. Mex. 2009, XXIV, 111–126. [Google Scholar]
- Pedersen, T.; Siegel, R. Wave Measurements from Subsurface Buoys. In Proceedings of the IEEE Ninth Working Conference on Curent Measurement Technology, Charleston, SC, USA, 17–19 March 2008. [Google Scholar] [CrossRef]
- Vatankhah, A.R.; Aghashariatmadari, Z. Improved explicit approximation of linear dispersion relationship for gravity waves: Comment on another discussion. Coast. Eng. 2013, 81, 30–31. [Google Scholar] [CrossRef]
- Van de Voorde, N.E.; Dinnel, S.P. Observed directional wave spectra during a frontal passage. J. Coastal. Res. 1998, 14, 337–346. [Google Scholar]
- Chawla, A.; Kirby, T. Monochromatic and random wave breaking at blocking points. J. Geophys. Res. 2002, 107, 3067. [Google Scholar] [CrossRef]
- Zippel, S.; Thomson, J. Surface wave breaking over sheared currents: Observations from the mouth of the Columbia River. J. Geophys. Res. Oceans 2017, 122, 3311–3328. [Google Scholar] [CrossRef]
- Goda, Y. Random Seas and Design of Maritime Structures, 1st ed.; University of Tokyo Press: Tokyo, Japan, 1985; pp. 235–239. [Google Scholar]
- Saulnier, J.-B.; Clément, A.; Falcao, A.F.O.; Pontes, T.; Prevosto, M.; Ricci, P. Wave groupiness and spectral bandwidth as relevant parameters for the performance assessment of wave energy converters. Ocean Eng. 2011, 38, 130–147. [Google Scholar] [CrossRef]
- Janssen, P.A.E.M.; Onorato, M. The intermediate water depth limit of the Zakharov equation and consequences for wave prediction. J. Phys. Oceanogr. 2007, 37, 2389–2400. [Google Scholar] [CrossRef]
- Janssen, P.A.E.M.; Bidlot, J.-R. On the Extension of the Freak Wave Warning System and Its Verification (ECMWF Technical Memorandum); European Centre for Medium-Range Weather Forecasts: Reading, UK, 2009. [Google Scholar]
- Serio, M.; Onorato, M.; Osborne, A.R.; Janssen, P.A.E.M. On the computation of the Benjamin-Feir Index. Nuovo Cimento 2005, 28, 893–903. [Google Scholar] [CrossRef]
- Slunyaev, S.; Didenkulova, I.; Pelinovsky, E. Rogue waters. Contemp. Phys. 2011, 52, 571–590. [Google Scholar] [CrossRef]
- Janssen, P.A.E.M. Nonlinear four-wave interactions and freak waves. J. Phys. Oceanogr. 2003, 33, 863–884. [Google Scholar] [CrossRef]
- Hanson, J.L.; Phillips, O.M. Automated analysis of ocean surface directional wave spectra. J. Phys. Oceanogr. 2001, 18, 278–293. [Google Scholar] [CrossRef]
- Douglas, C.; Voulgaris, G. WavePART v1.1: MATLAB(r) Software for the Partition of Directional Ocean Wave Spectra; Zenodo: Genève, Switzerland, 2019. [Google Scholar] [CrossRef]
- Faraggiana, E.; Chapman, J.; Masters, I. Influence of directional wave spreading on a WEC device. Int. Mar. Ener. J. 2022, 5, 227–242. [Google Scholar] [CrossRef]
- Medina Rodríguez, A.A.; Silva Casarín, R.; Blanco Ilzarbe, J.M. The influence of oblique waves on the hydrodynamic efficiency of an onshore OWC wave energy converter. Renew. Energy 2022, 183, 687–707. [Google Scholar] [CrossRef]
- Medina Rodríguez, A.A.; Posada Venegas, G.; Silva Casarín, R.; Mendoza Baldwin, E.G.; Vega Serratos, B.E.; Puc Cutz, F.E.; Mangas Che, E.A. Experimental investigation of the hydrodynamic performance of land-fixed nearshore and onshore oscillating water column systems with a thick front wall. Energies 2022, 15, 2364. [Google Scholar] [CrossRef]
- Maisondieu, C. WEC survivability threshold and extractable wave power. In Proceedings of the 11th European Wave and Tidal energy Conference, Nantes, France, 11 September 2015. [Google Scholar]
- Hu, J.; Chen, Q. Directional spectra of hurricane-generated waves in the Gulf of Mexico. Geophys. Res. Lett. 2011, 38, L19608. [Google Scholar] [CrossRef]
- Brown, A.; Thomson, J.; Ellenson, A.; Rollano, F.T.; Özkan-Haller, H.T.; Haller, M.C. Kinematics and statistics of breaking waves observed using SWIFT Buoys. IEEE J. Oceanic Eng. 2019, 44, 1011–1023. [Google Scholar] [CrossRef]
- Stringari, C.E.; Power, H.E. The fraction of broken waves in natural surf zones. J. Geophys. Res. Oceans 2019, 124, 9114–9140. [Google Scholar] [CrossRef]
- Saincher, S.; Banerjee, J. Influence of wave breaking on the hydrodynamics of wave energy converters: A review. Renew. Sust. Energy Rev. 2016, 58, 704–717. [Google Scholar] [CrossRef]
- Gemmrich, J.; Thomson, J. Observations of the shape and group dynamics of rogue waves. Geophys. Res. Lett. 2017, 44, 1823–1830. [Google Scholar] [CrossRef]
- Gemmrich, J.; Mudge, T.; Thomson, J. Long-term observations of the group structure of surface waves in ice. Ocean Dynam. 2021, 71, 343–356. [Google Scholar] [CrossRef]
- Thomson, J.; Gemmrich, J.; Rogers, W.E.; Collins, C.O.; Ardhuin, F. Wave groups observed in pancake sea ice. J. Geophys. Res. Oceans 2019, 124, 7400–7411. [Google Scholar] [CrossRef]
- Adcock, T.A.A.; Taylor, P.H.; Draper, S. Nonlinear dynamics of wave-groups in random seas: Unexpected walls of water in the open ocean. Proc. R. Soc. A 2015, 471, 20150660. [Google Scholar] [CrossRef]
- Babanin, A.; Chalikov, D.; Young, I.; Savelyev, I. Predicting the breaking onset of surface water waves. Geophys. Res. Lett. 2007, 34, L07605. [Google Scholar] [CrossRef]
Disclaimer/Publisher’s Note: The statements, opinions and data contained in all publications are solely those of the individual author(s) and contributor(s) and not of MDPI and/or the editor(s). MDPI and/or the editor(s) disclaim responsibility for any injury to people or property resulting from any ideas, methods, instructions or products referred to in the content. |
© 2023 by the authors. Licensee MDPI, Basel, Switzerland. This article is an open access article distributed under the terms and conditions of the Creative Commons Attribution (CC BY) license (https://creativecommons.org/licenses/by/4.0/).







