Abstract
In order to investigate the impact of moisture content on energy evolution, three types of rock samples with varying moisture contents were subjected to uniaxial compression tests. The study aimed to analyze the reasons behind the differences in energy during the deformation process of rocks with different moisture contents. The findings indicate that with increasing moisture content, the peak strength and elastic modulus of the samples decrease. However, the ratio of crack initiation strength σci to peak strength σf shows little effect, primarily because the characteristic strength ratio σci/σf is determined by external loads. The growth rate of elastic energy reaches its maximum value in the early stage of yield, while the proportion of elastic energy reaches its peak value in the later stage of yield. In the deformation and failure process of rocks with varying moisture contents, the increment in elastic performance is smallest in the initial compaction stage for saturated rocks, whereas it is the largest in the yield stage for dry rocks. Additionally, a damage evolution equation based on energy dissipation was established and validated.
1. Introduction
Water plays a significant role in influencing the stability of subsurface rock formations. The interaction between rocks and water involves intricate physical and chemical processes that impact the strength and deformation of the rocks when they are submerged [1,2]. Therefore, investigating this interaction is crucial for both theoretical research and practical engineering applications [3,4,5].
Numerous studies have been conducted to examine the effects of water on rocks, with particular emphasis on compressive strength [6,7,8], tensile strength [9,10,11], as well as triaxial tests and mechanical properties [12,13,14]. Masoumi [6] established a comprehensive set of empirical relationships for the effects of moisture contents on the mechanical properties of Gosford sandstone, which can be explained by some intrinsic strength parameters of rock samples. Zhou et al. [15] studied the regularity of compressive strength and tensile strength through a comparative test of sandstone with different moisture contents under static loading and dynamic loading, and found that pore water pressure and capillary effects have limited influence on mechanical properties. Tang [10] conducted uniaxial shear tests on coal rocks with different moisture contents and found that shear strength, shear displacement, cohesion, and internal friction angle all decrease with increasing moisture contents, which is described by the revised Mohr–Coulomb model for the case of water intrusion. Du et al. [16] quantified the shear fracture surface morphology of sandstones with different moisture contents by using the variogram parameters, sill and range, and found that the distribution of water in the sample directly affected the initiation and propagation of cracks and fracture morphology characteristics. Liu et al. [17] conducted systematic triaxial compression tests on three typical weakly cemented rocks (mudstone, sandstone, and sandy mudstone), and discussed the effects of confining pressure and moisture contents on rock mechanical behavior. These test results show that water has an irreversible effect on rock mechanical properties, and this effect is different for rocks with different moisture contents [18,19].
The deformation and failure of rock is essentially a non-equilibrium thermodynamic process, which generally goes through the stages of energy input, energy accumulation, energy dissipation and energy release during failure [20,21,22]. Energy dissipation causes damage to the rock mass, which leads to the deterioration of material properties and the loss of strength, while the release of energy causes the overall failure of rock. Many scholars have analyzed the process of rock damage and failure from the perspective of energy [23,24]. Zhang et al. [25] put forward a strain energy method under true triaxial compression (TTC), studied the variation law of strain energy characteristics of granite σ2 and σ3 under TTC, and explained the failure process of intact rock well via the energy principle. Meng et al. [26] discussed the influence of lithology and loading rate on energy evolution by using three kinds of rocks, put forward a linear evolution model, and revealed the law of the energy density growth factor changing with lithology and loading rate. Wang et al. [27] studied the influence of joint dip angle, length and confining pressure on energy conversion and evolution during rock failure. Li et al. [28] determined that the cracks formed by freeze–thaw in rocks were positively correlated with the number of cycles and the energy dissipated through multi-stage cyclic load tests on repeatedly freeze–thawed rocks. Wang et al. [29] used CT scanning technology to study the fracture mode of rocks during uniaxial compression, revealing the reason for the difference in energy dissipation and release of different joint rock crack morphologies.
The aforementioned research significantly enhances our understanding of the energy evolution law during the process of rock deformation and failure. However, these studies primarily concentrate on dry rocks and rarely consider rocks with high water contents. In practical construction scenarios, engineering rocks can exist in various states, including dry, wet, or water-saturated conditions. Yet, there is limited research on how water content affects energy changes in rock deformation and failure. Therefore, this article conducted uniaxial compression tests on sandstone samples with different water contents, including dry, natural, and saturated conditions. The mechanical strength and energy evolution characteristics of sandstone with different water contents during deformation and failure are thoroughly compared and analyzed. The findings from this study have significant practical implications for analyzing the failure mechanisms of engineering rock masses and assessing the stability of underground engineering in surrounding rocks.
2. Energy Analysis Principle and Experimental Scheme
2.1. Energy Analysis Principle of Rock Failure Process
According to the laws of thermodynamics, the conversion of energy is at the core of the changes in physical characteristics, and the failure of rocks can be viewed as a state of instability driven by energy [30]. When a rock mass is subjected to external forces, it undergoes deformation. Assuming no heat exchange occurs with the surroundings, the total strain energy input from the external work can be absorbed by the rock, and the total absorbed energy U is
where U is the total strain energy, Ue is the elastic energy, and Ud is the dissipated energy.
Figure 1 illustrates the stress–strain relationship of rock mass unit i, where the total input energy U is represented by the area enclosed by the stress–strain curve and the coordinate axis. The shaded area, Uie, corresponds to the energy that can partly restore the deformation of the rock mass. On the other hand, the area enclosed by the curve and the unloading elastic modulus Ei, known as Uid, represents the energy used to generate internal damage and plastic deformation within the rock mass unit.
where Ei is the unloading elastic modulus. For the convenience of calculation, the initial elastic modulus E0 is generally used instead of Ei (The slope of the red line in Figure 1 is E0, and the slope of the green line is E1) [31].
Figure 1.
Energy variation diagram.
2.2. Experimental Scheme
The test samples were obtained from uniform and intact sandstone. Table 1 presents the mineral composition of the sample, highlighting the strong hydrophilicity of montmorillonite and illite, which is the main reason for the softening of red sandstone when exposed to water. The samples were processed into cylindrical shapes with a diameter of 50 mm and a height of 100 mm, following the required specifications. After processing, the surface of the samples was polished using sandpaper to ensure a flatness error of each end face within 0.02 mm. Rock samples with consistent wave velocity and stable waveform were selected using an RSM-SY5 sonic instrument which was invented by Wuhan Institute of Geotechnical Mechanics, Chinese Academy of Sciences.
Table 1.
Mineral composition of the red sandstone (%).
The tests considered three different moisture contents: dry, natural, and saturated. The rock samples were treated as follows:
- Drying samples—All processed samples were placed in a drying oven set to 108 °C. After drying for 8 h, the samples were weighed. This operation was repeated until the mass change was less than 0.01%, indicating that the sandstones were dry. Three of these samples were labeled as GJ1–GJ3, representing the dry samples;
- Natural sample—Three additional dried samples were taken out after the drying process and placed in a laboratory environment with a temperature of 29 °C and a humidity of 78% RH, which represents a relatively humid condition. These samples were weighed every 8 h, and this process was repeated until the mass change between consecutive weighing was less than 0.01%. This indicated that the sandstone had reached its natural state, and the samples were labeled as ZJ1–ZJ3;
- Saturated sample—Three more dried samples were taken out after the drying process and placed in a constant-humidity and constant-temperature curing box. They were weighed every 8 h, and this process was repeated until the mass change before and after weighing was less than 0.01%. This signified that the sandstone had reached a saturated state, and the samples were labeled as BJ1–BJ3.
To minimize the end effect, a uniform coating of butter was applied to the ends of the samples prior to the uniaxial compression test. In the uniaxial compression test, the displacement loading was applied at a rate of 0.002 mm/s. A picture of different moisture content samples is shown in Figure 2, and the sample parameters are shown in Table 2.
Figure 2.
Different moisture content samples.
Table 2.
Sample parameters.
3. Test Results and Analysis
3.1. Characteristics of Stress–Strain Curves of Sandstone with Different Moisture Contents
The stress–strain curves provide valuable information about the stress and deformation characteristics during the uniaxial compression failure of rock [32]. Based on the test results, the total stress–strain curves of sandstone with different moisture contents are illustrated in Figure 3. The deformation process of all samples can be divided into four stages: compaction, elasticity, yield, and failure. However, the stress–strain curves exhibit differences as moisture content increases, with the following characteristics:
Figure 3.
Stress–strain curves of samples with different moisture contents.
- The proportion of the compaction stage increases, while the proportion of the approximate linear elastic stage decreases;
- The peak strength and elastic modulus decrease, while the peak strain increases.
3.2. Mechanical Properties of Sandstone with Different Moisture Contents
To compare the mechanical characteristics of sandstone with different moisture contents, characteristic strength values were adopted: The maximum stress value at the elastic stage, known as the crack initiation strength σci, represents the point at which crack propagation begins. The peak strength at the failure stage, denoted as σf, characterizes the maximum compressive strength of the sample. Figure 4 displays the characteristic strength of sandstone with varying moisture content. It can be observed that the average crack initiation strength of the natural samples is 91.56 MPa, and the average peak strength is 107.86 MPa. In comparison, the corresponding average strength of the dry samples increases by 19.83% and 13.58%, respectively, while the average strength of the saturated samples decreases by 21.96% and 15.29%, respectively. This demonstrates that moisture content affects the characteristic strength of rock, with the characteristic strength decreasing as the moisture content increases.
Figure 4.
Relationship between the characteristic strengths of samples with different moisture contents.
To further explore the relationship between σci and σf, the ratio of characteristic strength σci/σf of sandstone with different moisture contents is fitted. The fitting results are presented in Figure 4, where it can be observed that the ratio of characteristic strength σci/σf is less affected by moisture content. This is because the characteristic strength represents the stress state of the rock, which is influenced by external load and environmental factors. In contrast, the ratio of characteristic strength σci/σf is a mechanical expression of the internal structure of the rock. It is primarily affected by differences in rock type, internal particle morphology, and internal structure, rather than changes in external conditions and stress environment [33,34].
3.3. Energy Evolution Characteristics and Distribution Law of Sandstone under Uniaxial Compression
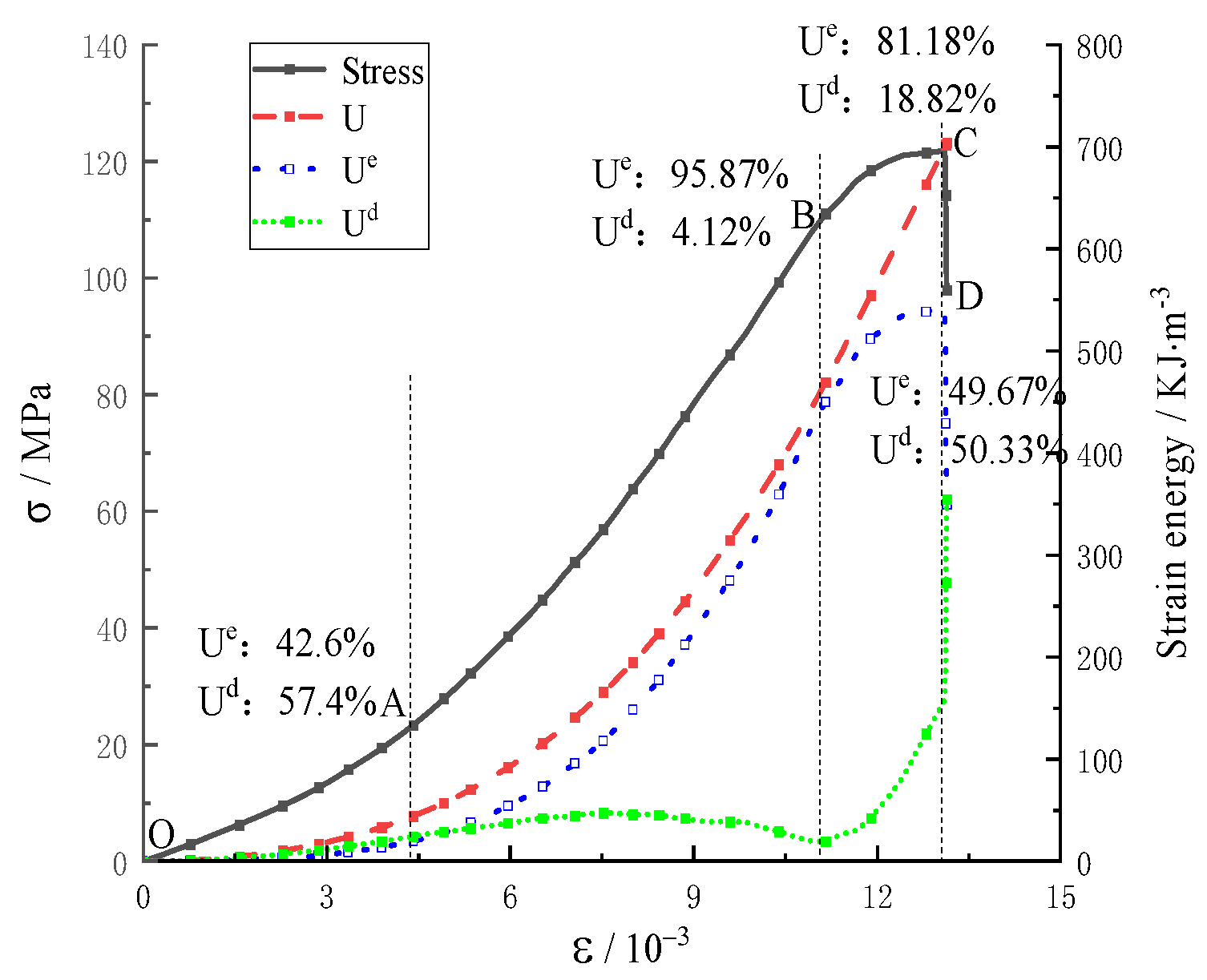
Material failure under force is an energy-driven instability phenomenon, including the processes of energy input, elastic energy accumulation, energy dissipation and energy release [35]. Taking the dried sample GJ-1 as an example, the energy evolution process diagram is drawn according to the data collected in the test process. Figure 5 shows the relationship between stress, energy and strain during uniaxial compression, and Figure 6a,b show the relationship of elastic energy, dissipated energy growth rate and proportion with the increase in strain in the process of uniaxial compression, respectively.
Figure 5.
Variation curve of stress and energy with strain.
Figure 6.
(a) Relation curve between the growth rate of Ue, Ud and strain. (b) Relation curve between the proportion of Ue, Ud and strain.
- Compaction stage OA: At the initial stage of axial loading, cracks and open structural planes are compressed as the strength of the rock gradually increases. The corresponding stress–strain curve exhibits an upward concave shape. The energy parameters U, Ue, and Ud increase slowly with strain. At point A, Ue, and Ud account for 42.6% and 57.4% of U, respectively, indicating that the energy stored in elastic strain is equal to the energy dissipated due to rock fracture compaction and particle friction.
- Elastic stage AB: During this stage, the rock’s stress and strain increase approximately linearly. The energy parameters U and Ue increase rapidly with little difference in their increments, while Ud increases slowly, reaching a regional maximum and then slowing down. At point B, Ue and Ud account for 95.87% and 4.12% of U, respectively, indicating that the input energy during this stage is primarily stored as rock elastic energy. The development and expansion of rock fractures are slow, and may even stagnate in the later part of the elastic stage.
- Yield stage BC: When the axial force exceeds the crack initiation strength, cracks start to rapidly develop from their stagnation state, resulting in a decrease in the slope of the stress–strain curve. Plastic deformation occurs, and its proportion increases. During this stage, Ud increases rapidly, and the significant increase in the ratio of Ud to U indicates accelerated crack propagation, coalescence, and intensified damage. Ue at point C represents the limit of rock energy storage.
- Failure stage CD: At point D, microcracks form a macroscopic failure surface, and severe damage occurs within the sample. The bearing capacity of the sample rapidly decreases, leading to a sharp drop in the corresponding stress–strain curve. The stored elastic energy Ue is rapidly converted into block kinetic energy, surface energy, and frictional heat energy. Meanwhile, Ud is dissipated in the development of the fracture surface and shear deformation of the slip surface.
From Figure 6a,b, it can be observed that in the initial loading stage, the growth rate and proportion of elastic energy are lower than the dissipated energy density. This indicates that behaviors such as the closure of internal microcracks, micro defects, and frictional sliding of the rock sample consume more energy compared to the elastic energy stored in the rock.
As the rock deforms to approximately 37% of the maximum strain, the growth rate of elastic energy density starts to increase exponentially, and the proportion of elastic energy begins to exceed the dissipated energy. When the rock continues to deform to the strain corresponding to the crack initiation strength (about 85% of the maximum strain), the proportion of elastic energy density reaches its maximum value.
Upon entering the yield stage, the proportion of elastic energy density begins to decrease, while the growth rate of elastic energy still increases until it reaches its maximum before decreasing. This can be explained by dividing the yield stage into two phases: the early-stage BF, which is characterized by stable crack development, and the late-stage FC, which is marked by accelerated crack expansion. In the early stage of the yield stage, the rock crack starts to develop from its near-stagnation state, and the rock deformation transitions from elasticity to plasticity. During this period, elastic deformation still dominates. Hence, the growth rate of elastic energy continues to increase until crack propagation enters the acceleration stage. At this point, the rock deformation shifts to plastic deformation, resulting in a decrease in the growth rate of elastic energy.
3.4. Effect of Moisture Content on Energy Evolution
When rock is subjected to loading and undergoes damage, its energy absorption, release, and dissipation processes can be macroscopically represented through anisotropic deformation. The different distribution laws of these three energies determine the characteristic deformation values of the rock. To investigate the dynamic proportional relationship of strain energy increments in sandstone with different moisture contents in each deformation stage, the strain energy data before the peak strength in each stage are statistically analyzed, as presented in Table 3 (the negative sign in the table indicates a decrease compared to the previous stage, but does not represent a value).
Table 3.
Energy relationship of sandstone with different moisture contents in each stage.
It can be seen from Table 3 that the energy increments in stages OA, AB, and BC decrease with increasing moisture content. The largest decrease in the total strain energy increment and percentage occurs in stage BC with increasing moisture content, while the decrease in total strain energy increment in stage AB is the smallest, and the decrease in total strain energy increment in stage OA is also relatively small. Therefore, the yield stage is the main stage that affects the energy increment of sandstone with different moisture contents. The total strain energy reflects a combination of elastic energy and dissipated energy. Analyzing the elastic energy and dissipated energy in different stages reveals the following:
- In stage OA, the increment of elastic energy for natural and saturated samples relative to dry samples decreases by 5.48 and 6.93, respectively. The increment of dissipated energy for natural and saturated samples relative to dry samples decreases by 0.81 and 1.18, respectively. This indicates that in the compaction stage, sandstone with a higher moisture content has lower strength, and the stored elastic energy and dissipated energy for compacting pores are lower than those of dry samples. However, the influence of moisture content on this stage may be limited due to the high strength of the sandstone;
- In stage AB, the increment of elastic energy for natural and saturated samples relative to dry samples decreases by 15.8 and 47.31, respectively. The increment of dissipated energy for natural and saturated samples relative to dry samples decreases by 2.7 and 5.42, respectively. This indicates that in the elastic stage, moisture content begins to affect the increment of elastic strain energy, and the higher the moisture content of the sample, the greater the decrease in the increment of elastic strain energy. In this stage, the development and closure of rock pores are less, resulting in a small increment of dissipated energy;
- In stage BC, the increment of elastic energy for natural and saturated samples relative to dry samples decreases by 35.28 and 45.95, respectively. The increment of dissipated energy for natural and saturated samples relative to dry samples decreases by 49.2 and 69.01, respectively. This indicates that when entering the yield stage, the influence of moisture content on the energy increment of the rock starts to accelerate. Additionally, the expansion and connection of cracks inside the rock also accelerates at this stage, leading to the maximum degradation of energy storage in rock with a higher moisture content. Consequently, the increment in elastic strain energy and dissipated energy for natural and saturated samples decreases the most.
4. Damage Evolution Analysis of Sandstone with Different Moisture Contents
According to the laws of thermodynamics, the instability failure of rock is a comprehensive reflection of the energy transformation process, which signifies the continuous development of internal defects in the rock and the weakening and loss of strength. Therefore, the energy dissipation during the rock failure process is directly related to the damage and strength, and the amount of dissipation reflects the degree of attenuation of the original strength. The damage variable can be defined as [36]:
where Wc is the critical energy dissipation value of rock mass element strength loss, and is the material constant, which has nothing to do with the stress state and can be determined by test.
It is also known that the rock damage state equation can be expressed as [37]:
where Y is the conjugate variable associated with D1, also known as damage energy dissipation rate.
Based on the test data and Equations (5) and (6), the values of the damage variable and damage energy dissipation rate of samples during uniaxial loading can be calculated. The damage evolution of rock can also be calculated using the theoretical formula. The two results are compared below. The damage evolution equation of rock can be expressed as:
where B, n, and Y0 are the material parameters of the rock, which depend on the material properties of the rock. Before the test, it was assumed that the rock sample had no initial damage, i.e., Y0 = 0. We can take two logarithms from both sides of Equation (7) to obtain
We can also set
Then, Equation (8) develops a linear relationship
A set of data for x and y can be obtained through the experiment. Linear fitting analysis can be used to determine whether x and y are linearly correlated. If there is a linear correlation between x and y, the coefficients and can be used to calculate and :
Figure 7 presents the fitting results of the damage evolution in sandstone with different moisture contents. The linear correlation between x and y is excellent, indicating the existence of a linear relationship between them. This confirms that the rock damage evolution equation (Equation (10)) is consistent with the experimental results. Figure 8 illustrates the theoretical and experimental results of the damage evolution equation in sandstone with different moisture contents. Under the same damage variable, the rate of damage energy dissipation decreases with increasing moisture content. This implies that the presence of moisture content accelerates the fracture damage and failure of rock samples.
Figure 7.
Linear fitting of damage evolution equation for sandstone.
Figure 8.
Damage evolution equation curve of sandstone.
5. Conclusions
In this study, uniaxial compression tests were conducted on sandstone samples with different moisture contents. The influence of moisture content on rock mechanical properties and energy evolution was analyzed, leading to the following conclusions:
- Moisture content has an impact on the mechanical properties of rocks. As the moisture content decreases, the peak strength and elastic modulus increase, while the peak strain decreases. The ratio of crack initiation strength σci to peak strength σf is less affected by water–rock interactions, as it is mainly influenced by external loads;
- During the initial loading stage, the growth rate and proportion of elastic energy are smaller than those of dissipated energy. As the loading progresses into the elastic stage, the growth rate and proportion of elastic energy start to increase rapidly. The growth rate of elastic energy reaches its maximum in the early stage of the yield stage, while the proportion of elastic energy reaches its maximum in the late stage of the yield stagel
- With increasing moisture content, the elastic energy and dissipated energy of the sample decrease, but the extent of decrease varies at different stages. In the compaction and elastic stages, the decrease in elastic energy is greater than the decrease in dissipated energy. However, in the yield stage, the decrease in elastic energy is less than the decrease in dissipated energy;
- By establishing equations related to rock damage variables and damage energy dissipation rate, it is observed that under the same damage variable, the damage energy dissipation rate decreases with an increasing moisture content. The calculations confirm that the rock damage evolution equation based on energy dissipation analysis effectively describes the damage evolution process of sandstone with different moisture contents.
Author Contributions
Conceptualization, Y.L.; methodology, Y.L.; software, Y.L. and B.F.; validation, B.F.; formal analysis, Y.L. and B.F.; investigation, B.F.; resources, F.Z. and Q.W.; data curation, Y.L.; writing—original draft preparation, Y.L.; writing—review and editing, F.Z. and Q.W.; visualization, Y.L.; supervision, F.Z.; project administration, F.Z. and Z.T.; funding acquisition, F.Z. and Z.T. All authors have read and agreed to the published version of the manuscript.
Funding
The work was supported by the National Natural Science Foundation of China (Grant Nos. 51674116 and No. 51904101), and Natural Science Foundation of Hunan Province (Grant Nos. 2020JJ4311 and 2020JJ5188).
Institutional Review Board Statement
Ethical review and approval were waived for this study not involving humans or animals. Approval for the study was not required in accordance with local/national legislation.
Informed Consent Statement
Informed consent was obtained from all subjects involved in the study.
Data Availability Statement
The data presented in this study are available on request from the corresponding author. The data are not publicly available as we derived them in the laboratory.
Conflicts of Interest
Author Zhenqi Tang was employed by the company Construction Fifth Engineering Bureau Co. The remaining authors declare that the research was conducted in the absence of any commercial or financial relationships that could be construed as a potential conflict of interest.
References
- Wu, Q.H.; Yang, Y.; Zhang, K.X.; Li, J.; Chen, W.; Liu, Z. Study on the mechanical properties and deterioration mechanism of sandstones under different humidity conditions. J. Cent. South Univ. 2023, 30, 4252–4267. [Google Scholar] [CrossRef]
- Sun, B.; Li, X.; Cui, K.; Hong, J.; Chen, R.; Jia, C.; Peng, N. Experimental study on the effects of hydrochemistry and periodic changes in temperature and humidity on sandstone weathering in the Longshan Grottoes. Heritage Sci. 2023, 11, 173. [Google Scholar] [CrossRef]
- Lapuente Mercadal, M.P.; Cuchí Oterino, J.A.; Auqué Sanz, L.F. Compatibility Assessment in the Replacement of Damaged Sandstone Used in the Cathedral of Huesca (Spain). Heritage 2024, 7, 896–912. [Google Scholar] [CrossRef]
- Zhu, Y.-G.; Wu, Y.; Li, A.-Q.; Zhang, S. Research on Mechanical Properties of Rock Mass with Tiny Cracks under FTCs Conditions. Symmetry 2024, 16, 234. [Google Scholar] [CrossRef]
- Yu, F.; Tong, K.; Fu, Z.; Dai, Z.; Li, J.; Huang, K. Experimental Study on Gaseous Moisture Absorption and Swelling of Red-Bed Mudstone in Central Sichuan, China under Different Relative Humidity Environments. Sustainability 2023, 15, 12063. [Google Scholar] [CrossRef]
- Masoumi, H.; Horne, J.; Timms, W. Establishing empirical relationships for the effects of water content on the mechanical behavior of Gosford sandstone. Rock Mech. Rock Eng. 2017, 50, 2235–2242. [Google Scholar] [CrossRef]
- Wu, Q.-H.; Weng, L.; Zhao, Y.-L.; Feng, F. Influence of infilling stiffness on mechanical and fracturing responses of hollow cylindrical sandstone under uniaxial compression tests. J. Cent. South Univ. 2021, 28, 2485–2498. [Google Scholar] [CrossRef]
- Li, H.; Shen, R.; Li, D.; Jia, H.; Li, T.; Chen, T.; Hou, Z. Acoustic emission multi-parameter analysis of dry and saturated sandstone with cracks under uniaxial compression. Energies 2019, 12, 1959. [Google Scholar] [CrossRef]
- Wu, Q.; Wang, X.; Tang, H.; Liu, C.; Jiang, Y.; Xu, Y.J.R.; Mechanics, S. Shear property and water-induced deterioration of discontinuities between different types of rocks in Badong formation. Rock Soil Mech. 2019, 40, 1881–1889. [Google Scholar] [CrossRef]
- Tang, C.; Yao, Q.; Li, Z.; Zhang, Y.; Ju, M. Experimental study of shear failure and crack propagation in water-bearing coal samples. Energy Sci. Eng. 2019, 7, 2193–2204. [Google Scholar] [CrossRef]
- Wu, Q.-H.; Xie, C.-L.; Xie, Y.-S.; Zhao, Y.-L.; Li, X.-F.; Liu, J.; Weng, L. Extending application of asymmetric semi-circular bend specimen to investigate mixed mode I/II fracture behavior of granite. J. Cent. South Univ. 2022, 29, 1289–1304. [Google Scholar] [CrossRef]
- Chen, G.-Q.; Jian, D.-H.; Chen, Y.-H.; Wan, Y.; Lin, Z.-H. Experimental study of acoustic emission characteristics during shearing process of sandstone under different water contents. Chin. J. Geotech. Eng. 2021, 43, 661–669. [Google Scholar] [CrossRef]
- Wang, Y.; Han, J.; Song, Z.; Zhu, C. Macro-meso failure behavior of pre-flawed hollow-cylinder granite under multi-level cyclic loads: Insights from acoustic emission and post-test CT scanning. Eng. Fract. Mech. 2021, 258, 108074. [Google Scholar] [CrossRef]
- Feng, X.-T.; Gao, Y.; Zhang, X.; Wang, Z.; Zhang, Y.; Han, Q. Evolution of the mechanical and strength parameters of hard rocks in the true triaxial cyclic loading and unloading tests. Int. J. Rock Mech. Min. Sci. Géoméch. Abstr. 2020, 131, 104349. [Google Scholar] [CrossRef]
- Zhou, Z.; Cai, X.; Cao, W.; Li, X.; Xiong, C. Influence of Water Content on Mechanical Properties of Rock in Both Saturation and Drying Processes. Rock Mech. Rock Eng. 2016, 49, 3009–3025. [Google Scholar] [CrossRef]
- Du, C.; Sun, L.; Qin, B.; Xu, J. Shear Behavior and Anisotropy Characteristics of the Fracture Morphology of Sandstone with Different Water Contents. Geofluids 2020, 2020, 4543719. [Google Scholar] [CrossRef]
- Liu, H.; Zhang, D.; Zhao, H.; Chi, M. Behavior of Weakly Cemented Rock with Different Moisture Contents under Various Tri-Axial Loading States. Energies 2019, 12, 1563. [Google Scholar] [CrossRef]
- Zhou, Z.L.; Cai, X.; Zhao, Y.; Chen, L.; Xiong, C.; Li, X.B. Strength characteristics of dry and saturated rock at different strain rates. Trans. Nonferrous Met. Soc. China 2016, 26, 1919–1925. [Google Scholar] [CrossRef]
- Jiang, J.; Xu, J. Investigation of Energy Mechanism and Acoustic Emission Characteristics of Mudstone with Different Moisture Contents. Shock. Vib. 2018, 2018, 2129639. [Google Scholar] [CrossRef]
- Zhang, Z. Energy Evolution Mechanism during Rock Deformation and Failure. Ph.D. Thesis, China Mining University, Xuzhou, China, 2013. [Google Scholar]
- Ma, J.; Zhao, J.; Lin, Y.; Liang, J.; Chen, J.; Chen, W.X.; Huang, L. Study on Tamped Spherical Detonation-Induced Dynamic Responses of Rock and PMMA Through Mini-chemical Explosion Tests and a Four-Dimensional Lattice Spring Model. Rock Mech. Rock Eng. 2023, 56, 7357–7375. [Google Scholar] [CrossRef]
- Ma, J.; Chen, J.; Chen, W.; Huang, L. A coupled thermal-elastic-plastic-damage model for concrete subjected to dynamic loading. Int. J. Plast. 2022, 153, 103279. [Google Scholar] [CrossRef]
- Zhao, Z.; Lu, R.; Zhang, G. Analysis on energy transformation for rock in the whole process of deformation and fracture. Min. Res. Dev. 2006, 26, 8–11. (In Chinese) [Google Scholar]
- Xie, H.; Ju, Y.; Li, L. Criteria for strength and structural failure of rocks based on energy dissipation and energy release principles. Chin. J. Rock Mech. Eng. 2005, 24, 3003–3010. [Google Scholar]
- Zhang, Y.; Xia-Ting, F.; Zhang, X.; Wang, Z.; Sharifzadeh, M. A Novel Application of Strain Energy for Fracturing Process Analysis of Hard Rock Under True Triaxial Compression. Rock Mech. Rock Eng. 2019, 52, 4257–4272. [Google Scholar] [CrossRef]
- Meng, Q.; Zhang, M.; Zhang, Z.; Han, L.; Pu, H. Research on non-linear characteristics of rock energy evolution under uniaxial cyclic loading and unloading conditions. Environ. Earth Sci. 2019, 78, 650. [Google Scholar] [CrossRef]
- Wang, G.-L.; Cao, T.-C.; Fan, S.; Wen, X.-X.; Liang, Z. Study on the Meso-Energy Damage Evolution Mechanism of Single-Joint Sandstone under Uniaxial and Biaxial Compression. Adv. Mater. Sci. Eng. 2021, 2021, 5245402. [Google Scholar] [CrossRef]
- Li, X.; Wang, Y.; Xu, S.; Yang, H.; Li, B. Research on Fracture and Energy Evolution of Rock Containing Natural Fractures under Cyclic Loading Condition. Geofluids 2021, 2021, 9980378. [Google Scholar] [CrossRef]
- Wang, Y.; Tan, W.H.; Liu, D.Q.; Hou, Z.Q.; Li, C.H. On Anisotropic Fracture Evolution and Energy Mechanism During Marble Failure Under Uniaxial Deformation. Rock Mech. Rock Eng. 2019, 52, 3567–3583. [Google Scholar] [CrossRef]
- Xie, H.; Peng, R.; Ju, Y. Energy dissipation of rock deformation and fracture. Chinese journal of rock mechanics and engineering. Chin. J. Rock Mech. Eng. 2004, 23, 3565–3570. [Google Scholar] [CrossRef]
- Zhang, L.; Gao, S.; Wang, Z.; Cong, Y. Analysis of marble failure energy evolution under loading and unloading conditions. Chin. J. Rock Mech. Eng. 2013, 32, 1572–1578. [Google Scholar]
- Cai, M. Rock Mechanics and Engineering; Science Press: Beijing, China, 2002. [Google Scholar]
- Shen, H.; Li, Q. Laboratory experiment and numerical simulation on brittle failure characteristics of Longmaxi formation shale in Southern Sichuan under different stress conditions. Rock Soil Mech. 2018, 39, 254–262. [Google Scholar] [CrossRef]
- Liao, A.; Meng, L. Experimental study on anisotropic layered sandstone under the thermal-mechanical action. Chin. J. Rock Mech. Eng. 2019, 39, 2593–2602. [Google Scholar] [CrossRef]
- Xie, H.; Ju, W. Energy mechanism of deformation and failure of rock masses. Chin. J. Rock Mech. Eng. 2008, 27, 1729–1740. [Google Scholar]
- Xie, H.; Peng, R. On energy analysis of rock failure. Chin. J. Rock Mech. Eng. 2005, 24, 2603–2608. [Google Scholar] [CrossRef]
- Xie, H. Damage Mechanics of Rock and Concrete; China Mining University Press: Xuzhou, China, 1990. [Google Scholar]
Disclaimer/Publisher’s Note: The statements, opinions and data contained in all publications are solely those of the individual author(s) and contributor(s) and not of MDPI and/or the editor(s). MDPI and/or the editor(s) disclaim responsibility for any injury to people or property resulting from any ideas, methods, instructions or products referred to in the content. |
© 2024 by the authors. Licensee MDPI, Basel, Switzerland. This article is an open access article distributed under the terms and conditions of the Creative Commons Attribution (CC BY) license (https://creativecommons.org/licenses/by/4.0/).







