Abstract
In the rapidly evolving platform economy, online platforms have emerged as pivotal providers of digital services to sellers. The paper investigates how online platforms optimize service strategies based on consumers’ purchase behavior, influencing sellers’ pricing and social welfare. Using a two-period Hotelling model and a cooperative game framework, we discover that the optimal service strategies of a platform with data collecting capabilities are collaborating with two sellers to offer to extend services to new consumers in the second period, maximizing profits for all sellers and platform. Applying Shapley value analysis, we determine the platform’s equitable service charge strategies. When sellers adopt behavior-based pricing (BBP), the pricing escalates in the first period, and the platform’s optimal service strategies also enhance the pricing of sellers. However, in the second period, BBP intensifies competition, leading to generally lower pricing. Our findings suggest that optimal pricing in the second period for new consumers should increase with enhanced quality perception, which is provided by the platform’s digital services and heightened by consumers’ privacy concerns, while decreasing for regular consumers. Lastly, we offer policy recommendations, exploring optimal regulatory scenarios—limiting or not limiting data collection—to maximize social welfare or consumer surplus, and the Mathematica software is used to identify distinct optimal policy intervals.
1. Introduction
With the rapid development of e-commerce, online platforms have become important intermediaries for seamless online transactions between consumers and sellers, thereby providing convenience for the use of digital technologies such as cookies to analyze consumer data and gain insights into personal characteristics and preferences [1,2]. This data-driven approach enables platforms to design a range of digital services, such as content promotion and search advertising; customizing content based on personal characteristics can enhance the relevance and influence of sellers’ products, attracting consumers to make purchases in various environments [3]. These services are seen as exogenous factors enhancing sellers’ product characteristics (e.g., capability, quality) [4]. For instance, Amazon’s Sponsored Search Ads allow sellers to bid on keywords, displaying ads in consumer search results, signaling product quality through user evaluations and other information. Consumers often associate sellers who advertise in search results with higher confidence and capability in providing quality products. Similarly, Taobao offers marketing services like personalized recommendations and online store decoration, enhancing the user shopping experience and, consequently, product perception and purchase likelihood [5].
Moreover, innovative technical services developed by platforms such as Taobao, Tmall, and JD.com leverage virtual reality (VR) and augmented reality (AR) technologies to create immersive shopping experiences. These virtually rendered showrooms eliminate the complexity and monotony of online shopping, allowing consumers to explore and purchase products in realistic environments like kitchens, living rooms, libraries, and wardrobes [6,7]. Such services not only increase consumer trust and satisfaction, but also attract more potential consumers for sellers, improving conversion rates and profits, making these services a crucial income source for platforms.
However, the means of providing services, what range of services should be provided to achieve high returns, and how to reasonably charge service fees are issues that still need research. A uniform service strategy may not be optimal, as sellers’ returns from a specific service can be influenced by other sellers’ use of that service [5]. For example, if the platform provides services to all sellers simultaneously so that all consumers of the sellers receive the same services, it will increase market competitiveness. If a seller accepts the service, it will require the seller to pay a certain fee on one hand, and on the other hand, due to increased competition pressure, the seller will still be afraid to set higher pricing to make up for their income, which may lead to a decrease in its market share, and instead reduce its final profit. So, this approach will undoubtedly affect the sellers’ satisfaction with the platform services, which will greatly affect the sellers’ decision to purchase and the sustainability of the platform [8]. Therefore, customized and differentiated services are crucial. By analyzing consumer purchasing behaviors through technologies like cookies, platforms can tailor service plans for sellers, identifying new and regular consumer groups and offering differentiated digital services based on these consumer characteristics. This approach not only meets consumers’ personalized needs and enhances sellers’ product conversion rates but also fosters closer seller–platform cooperation, ultimately boosting profits. In addition, charging for services is also a major challenge. Although sellers may consider purchasing services, setting a uniform charging pricing may make sellers with lower returns unwilling to purchase the service, thereby affecting the platform’s revenue. Therefore, it is particularly important to customize differentiated charges that satisfy all parties based on the situation of services provided and the range of services.
Yet, these behavior-based services necessitate consumer data collection, raising privacy concerns [9]. Consumers are increasingly questioning the fairness of online platform transactions, which has had a lasting adverse impact on platform operations and the market economy. So, balancing platform service innovation and consumer privacy concerns has become a focal point for governments formulating data privacy protection policies, such as the EU’s General Data Protection Regulation (GDPR) and the US’s California Consumer Privacy Act (CCPA) [10]. While existing literature explores privacy policy, mostly combining privacy regulations with pricing or quality discrimination strategies [9,11,12], few studies integrate a platform service strategy with data privacy control. Our research innovatively incorporates platform service strategy into the privacy regulation framework, examining how purchase behavior-based service strategies affect policy formulation.
In summary, considering privacy policy regulation, our research fully analyzes the mutual influence of strategies among sellers and platforms. This dual-pronged approach not only innovatively incorporates platform service strategies into the privacy regulation framework, examining how purchase behavior-based service strategies influence policy formulation, but also innovatively embeds the platform as a pivotal player in the game of sellers. By doing so, we establish a cooperative game model that captures the interplay among platform service strategies, privacy control measures, and sellers’ behavior. We examine how the online platform’s purchase behavior-based service strategies influence sellers’ behavior-based pricing (BBP) strategies, expanding BBP literature. We also investigate how platform and seller profits, consumer surplus, and social welfare are affected. Specifically, we address the following questions: Question 1: What service strategies should the platform formulate to maximize profits? Question 2: What strategies can sellers formulate to maximize profits, including whether to accept platform services and determining what pricing strategy to adopt? Question 3: How do the strategies of platform and sellers affect consumer surplus and total social welfare? Question 4: Should policy-makers limit data collection to maximize consumer surplus or total social welfare?
To answer these questions, we develop a two-period duopoly Hotelling game model involving a platform and two sellers trading on the platform. Before the two periods, the government decides whether to limit data collection, which affects the availability of platform services. If services can be provided, the platform can choose to cooperate with one or both sellers, forming a cooperative game. Sellers sell the same product in two periods and the products of the two sellers are homogeneous. They compete with each other by making pricing decisions. Consumers prefer the products of sellers who receive platform services, but they also have different intrinsic preferences for two sellers. Then, by building and solving the model, we analyze policy-makers’ strategies, the platform’s strategies, and sellers’ strategies in detail, advancing research on platform’s service strategies based on consumers’ purchase behavior. Importantly, our model and findings have practical implications for various market situations. For instance, through privacy control measures, policy-makers actively shape the competitive landscape, thereby facilitating healthier and more equitable competition. This strategic intervention allows platforms to influence market outcomes positively, promoting fairness and transparency while simultaneously unlocking new revenue streams and enhancing overall market efficiency. Furthermore, our model empowers platforms and sellers with a nuanced understanding of the intricate interplay among service strategies, pricing mechanisms, and collaborative relationships. In markets characterized by stringent privacy regulations, platforms can make well-informed decisions that harmonize service innovation with regulatory compliance, thereby mitigating legal risks and fostering trust among users. Conversely, in highly competitive environments, platforms can utilize our framework to devise service offerings that bolster seller competitiveness while maintaining a level playing field.
Ultimately, the practical significance of our research lies in its capacity to equip platforms, sellers, and policy-makers with a robust analytical tool that facilitates informed decision making. By embracing these innovative strategies, each party can navigate the complex terrain of modern markets with greater agility and foresight, fostering sustainable growth and enhancing the overall value proposition for all stakeholders involved.
The rest of the paper is organized as follows. Section 2 reviews the relevant literature. Section 3 explains the game sequence and model parameter settings of our main model. Section 4 is mainly about deriving the model. Section 5 is about the comparison of various benefits. Section 6 is the inspiration for policy and management. Section 7 is the summary of the article. In addition, Appendix A contains proofs not provided in the main text.
2. Literature Review
In the previous literature, studies on platform services have been a focal point, particularly how platforms maximize profits by offering services to sellers and how sellers adjust their business strategies in response to these service offerings. Bimpikis et al. [4] developed a bilateral platform model to explore how a platform’s information design services can attract high-quality suppliers and boost transaction volume, with digital experiments highlighting considerable impacts on platform revenue and consumer surplus. Yang et al. [5] conducted a detailed analysis of a platform’s marketing tools, offering insights into platform strategies and seller utilization of these tools, providing a baseline for evaluating targeted strategies. Li et al. [13] delved into when and why platforms provide auxiliary services to sellers, examining service pricing and the types of sellers who benefit, finding that while these services help small sellers, they reduce incentives for large sellers to invest, making platforms hesitant to provide such services. Other studies have considered the robustness of transactions on platforms. He et al. [14] addressed the threat of leakage, where consumers and suppliers may transact “off-platform” to avoid fees, finding that platforms can innovate and optimize services to curb leakage and ensure profits. Research has also explored platform mergers to provide a broader scope and degree of services [15]. Bettignies et al. [16] studied the optimal innovation level of innovators under different competition levels, finding that market-wide licensing is optimal under low competition, while targeted licensing is optimal under high competition. In addition, some studies examine the impact of government mechanisms on platform services. Liu et al. [17] proposed a governance mechanism to prevent service platforms from using big data for discriminatory pricing. Ma et al. [18] also investigated the role of government incentives in promoting the adoption and development of Industrial Internet platforms. Furthermore, some research focuses on the sustainability promoted by platform services. Rathor et al. [19] showed that Web 3.0 platform services enhance sustainability via decentralized transactions, reducing environmental impacts. Xie et al. [20] highlighted how digital platforms facilitate entrepreneurs’ sustainable growth through resource optimization and collaboration.
Our research also considered the impact of platform service strategies on sellers’ BBP, which involves relevant BBP literature research. Prior research on BBP encompasses various facets, with horizontal product differentiation models being a classic approach. These models have elucidated the impact of BBP on corporate profits, consumer benefits, and social welfare. Fudenberg and Tirole [21] posited that widespread pricing discrimination intensifies competition, reducing profits but benefiting consumers. Chen [22] established a two-period competition model with horizontal differentiation, corroborating these findings. In vertical differentiation models, Gehrig et al. [23] analyzed BBP, considering both differentiation angles and market dominance. They found that sustaining a dominant position requires significant cost advantages, and BBP or uniform pricing does not alter position sustainability when entrants lack access to purchase histories. Rhee and Thomadsen [24] examined cost differences and discounts under vertical differentiation, revealing that competitively disadvantaged companies reward customers when consumers discount future periods, while significant cost differences prompt high-quality companies to reward existing customers. Jing [25] compared endogenous and exogenous quality differences under vertical differentiation, showing that BBP can decrease profits for efficient enterprises and increase for inefficient ones, while endogenous differences may augment profits for both. Li [26] studied pricing and quality discrimination, demonstrating that BBP attenuates first-period competition and intensifies second-period competition, whereas quality discrimination has the opposite effect. Extensions consider fairness constraints [27] and the observability of BBP implementation [28], highlighting the complexity and multidimensionality of BBP strategies.
Furthermore, the platform service strategies and seller pricing strategies involve data collection, making them associated with data privacy regulations. Data collection is pivotal and intricately linked to data privacy regulation. Privacy regulation can augment consumer surplus and maximize social welfare by constraining corporate conduct or empowering consumers. Scholarly work often contends that privacy regulation benefits consumers. Conti et al. [29] investigated the opt-in mechanism, revealing its positive impact on the consumer situation. Shi et al. [30] stressed effective privacy controls in IoT platforms for fair value sharing, protecting sensitive data and fostering trust. Matos and Adjerid [31] analyzed enhanced consent provisions within the GDPR, highlighting their effectiveness in bolstering consumer privacy protection. However, Sharma et al. [32] and Montes et al. [33] found that stricter privacy regimes can harm smaller publishers, advertisers, and consumers in some instances. Fainmesser et al. [34] advocated for a dual regulatory policy encompassing data collection and protection. Kumar and Garfinkel [35] proposed a two-pronged privacy protection model to address existing deficiencies. Research has also delved into privacy policy strength selection, with Shy and Stenbacka [11] establishing three scenarios and demonstrating that the relationship between privacy protection and industry profits is not monotonic. Ke and Sudhir [36] integrated data opt-in, erasure, and transfer rights into a dynamic model to examine the GDPR’s equilibrium impact, contributing to a more comprehensive understanding of the interplay between privacy regulation, platform services, and seller pricing.
However, despite the rich insights provided by previous research on platform service strategies and the BBP of the seller, there are still significant gaps in integrating them into the framework of privacy control, especially in platform service strategies, which are also key to our investigation. Although academic works on BBP have carefully studied various aspects, such as horizontal and vertical product differences, as well as endogenous and exogenous quality differences, they have largely overlooked the integration of BBP strategies and privacy control mechanisms. Furthermore, existing literature on privacy regulation has primarily focused on either restraining corporate conduct or empowering consumers with greater control over their privacy [29,30,31,32,33,34,35,36], neglecting the intricate interplay between platform service strategies and privacy control frameworks. To address this oversight, our research endeavors to bridge this gap by adopting a holistic approach that considers not only the influence of platform service strategies, rooted in purchasing behavior, on seller pricing dynamics, but also underscores the pivotal role of privacy control within this intricate process. This dual-pronged approach provides a novel lens to the existing research landscape. Specifically, we delve into the profound implications of privacy regulation in augmenting consumer surplus and optimizing social welfare, while also scrutinizing the ramifications of privacy policies on the welfare of platforms and sellers alike.
Moreover, our study introduces two groundbreaking innovations. Firstly, we integrate platform service strategies into the privacy control framework, an academic field few people have studied. This integration allows us to assess how platform services can be harmonized with privacy safeguards to foster a more balanced and consumer-centric ecosystem. Secondly, we incorporate the services provided by the platform into the strategic interactions among sellers; we focus on integrating a series of services provided by the platform to sellers into an exogenous factor that improves sellers’ product quality, that is, platform services generate positive incentives for sellers’ product quality. This is an aspect that has received scant attention in prior literature. By doing so, we elucidate how platform services can act as a catalyst in shaping seller behavior and pricing strategies within the context of privacy-conscious markets. Through this multifaceted exploration, we aim to fill the blanks in current research and accentuate the distinctive contribution of our study in seamlessly integrating platform service strategies with privacy control, thereby paving the way for a more nuanced understanding of the complex dynamics at play in modern digital marketplaces.
3. Model
3.1. Problem Description
This article mainly uses the two-period duopoly Hotelling game model. We first consider the control situation of the policy, which is divided into two situations, limited and unlimited data collection, and use the model that limits data collection and the model that does not limit data collection but does not provide services on the platform as the benchmark model (because the charge for providing services requires a comparison with the situation without providing services), and use the model in which the platform provides services as the main model to study the optimal profit strategies of the platform and sellers and their impact on consumer surplus and total social welfare, which are the starting points for policy-makers to decide whether to limit data collection. If policy-makers take social welfare as the starting point, their policies will inevitably be formulated in the direction of maximizing the overall social welfare. The same principle applies to starting from consumer surplus. Under supervision that limits data collection, platforms cannot use digital technologies such as cookies to collect more specific consumer preference information and cannot customize services. That is, under this policy, platforms can only act as transaction intermediaries, and sellers are also unable to collect data; thus, BBP cannot be implemented. Without limitations on data collection, platforms can use digital technologies such as cookies to collect more data, that is, to obtain more specific data, such as consumers’ personal privacy and preferences. Therefore, platforms can provide differentiation services for sellers based on consumers’ purchasing behavior, and sellers can also collect data to implement BBP. In addition, since most existing policies will still ensure the public’s right to know about data privacy, we assume in the model that if the platform and two seller enterprises reach an agreement, they must disclose their use of the collected data, that is, the scope of the service agreement and content must be made public. At the same time, the price-fixing issues that may be involved in the big alliance are regarded as cartel alliance behaviors that restrict competition or pricing manipulation, and are restricted by antitrust laws in most national legal systems. Therefore, this similar monopoly pricing model is not considered in our model. Finally, for the consumers, if a consumer makes a purchase at Seller A in the first period and still stays at Seller A to purchase in the second period, we call him or her a regular consumer of Seller A. If the consumer purchases from B in the first period and switches to Seller A in the second period, we call him or her a new consumer of Seller A. This also applies to Seller B.
3.2. Notation Description
Table 1 summarizes all abbreviation notations in our models.
Table 1.
Summary of explanations for abbreviation notations.
3.3. Model Setup
We consider that all consumers enter the market in the first period and stay in the two periods, and that consumers will only buy one product from Seller A or Seller B. We assume that all consumers are evenly distributed in [0, 1], with Seller A located at point 0 and Seller B at point 1. There is no essential difference between the products of the two sellers. Therefore, we standardize the original quality perception of the sellers’ products to 0, but consumers have different preferences for the product of the two sellers; the location of a customer on the line represents his or her taste, and a consumer incurs a mismatch disutility when he or she consumes a product that is not ideal. The mismatch disutility is captured by the distance from the consumers’ location to the sellers’ location, which means that the closer a consumer’s location is to 0, the smaller the mismatch disutility of the consumer for Seller A’s product; the closer the consumer’s position is to 1, the smaller the mismatch utility of the consumer for Seller B’s product. v represents the retention utility, and we assume that it is large enough that consumers will definitely choose one of the sellers to purchase. For the platform, we assume that when it provides services, the content of the services is consistent, but it can provide different ranges of services based on consumers’ purchasing behavior. Δq is the additional perception coefficient of consumers on the quality of the sellers’ products that is improved after the platform provides services, which is equivalent to a positive incentive effect for consumers towards the product. In order to prevent the additional quality perception coefficient from taking over the spotlight, we set 0 < Δq < 1. β represents the degree of consumer concern about privacy, such as the risk of identity theft, shame caused by exposing personal information, possible pricing discrimination, and being troubled by too many advertisements. Privacy concerns, on the other hand, typically remain latent until consumers are confronted with the need to evaluate information that is directly relevant to their current choices [37]. This phenomenon can be viewed as a non-monetary “cost of registration” that is intimately tied to consumer privacy concerns [38]. Therefore, we set privacy concerns as an exogenous negative incentive factor in the model. When data collection is allowed, firstly, consumer privacy is not exposed in the first period, so there is no such privacy concern. Then, consumers continue to purchase on the platform in the second period; since data such as purchasing behavior in the first period are collected, privacy concerns will be awakened, and the privacy concerns of all consumers in the second period are β. After a consumer purchases a product from the seller in the first period, if they continue to stay with the seller to make purchases in the second period, their personal privacy concerns will also be awakened. Therefore, the privacy concerns of regular consumers in the second period are 2β, and those of new consumers are β. In addition, since privacy concerns are always relatively limited under normal circumstances and are not so great as to prevent all consumers from purchasing, we set 0 < β < 1.
The timeline of the game is shown in Figure 1. We set the model such that before the first period, the government will first evaluate how the decision making of platforms and sellers under different privacy regulations affects consumer surplus and social welfare, and decide whether to set policy to limit data collection to interfere with the decision making of platforms and sellers. After the platform sees the policy, it determines whether it can provide services. If it can, it can cooperate with the seller to reach a service agreement and charge fees. Based on the service contract provided by the platform, the seller compares the profits after the services provided by the platform with the profits without services, and decides whether to reach an agreement with the platform and pay the fees accordingly. In the first period, since neither the seller nor the platform collects data, the two sellers set uniform pricing for their own consumers. Then, the consumers’ purchases are based on the pricing. For the second period, we need to consider the situation under two different policies.
Figure 1.
Timeline of game.
Under the regulation of limiting data collection, neither the platform nor the sellers can collect any data about consumers, which is equivalent to consumers shopping anonymously to prevent any data leakage, which ensures absolute security of consumer privacy. At this time, there are no BBP or platform services in either period. We use this as a benchmark model.
Under the regulation of not limiting data collection, the platform collects and analyzes data in the first period based on the cooperation agreement reached before the first period, and based on the consumer’s purchasing behavior, develops services for the sellers’ new or regular consumers so that it improves consumers’ perception of the sellers’ product quality in the second period. Sellers then make BBP decisions, which means that they set different pricing for their new and regular consumers in the second period, and consumers decide which seller to buy from based on pricing and platform services.
In addition, as for the cost of services provided by the platform, since the research and development of the platform’s recommendation system and virtual technology are one-time expenses, the research and development costs in product innovation and infrastructure construction are generally fixed [26]. And the data can be automatically replaced by the platform’s system to achieve differentiated service customization, so we also set the platform to have a fixed cost, as long as it provides services, and standardize it to 0.
4. Analysis
Two-period games generally use the backward induction method, which is deduced from back to front and used to find the Nash equilibrium within the sub-game in the second period, then backtrack to the first period to determine the optimal decision of sellers for each period. Therefore, the research will start with a derivation from the sellers’ optimal pricing strategies in the second period, obtaining the sub-game equilibrium in the second period, and then deriving the sellers’ pricing strategies in the equilibrium of the first period. Next, the Mathematica software is used to assist in deriving formulas and finding solution spaces. In the following sections, we will analyze the Nash equilibrium results based on different data collection regulations.
4.1. Benchmark Model: Limiting Data Collection
Under limiting data collection regulation, since neither the platform nor the seller can collect consumer information, and distinguish between new and regular consumers, the seller cannot implement BBP at this time. The seller will set a uniform pricing for consumers in both periods, and the platform cannot provide services to increase consumption. The consumer’s perception of quality at this time is 0. Therefore, as shown in Figure 2, the second period is equivalent to repeating the process of the first period. At this time, the utility of Seller A’s consumer located in x in the first period is v − x − , and the utility of Seller A’s consumer located in x in the first period is v − (1 − x) − . Because v − − = v − (1 − ) − , we can obtain
and we can determine that the consumers in (0, ) will buy from Seller A, and the consumers in (, 1) will buy from Seller B. Then, the profit functions of the two sellers in the first period are given by
solving the first-order optimization conditions:
Figure 2.
Benchmark model without data collection.
Then, we have
Proposition 1.
Under regulation of limiting data collection, the equilibrium results of the two-period game are shown in Table 2.
Table 2.
Equilibrium results of the two-period game without data collection.
4.2. Benchmark Model: No Limitation of Data Collection (Without Platform Services)
Without limiting data collection, the platform and sellers can collect consumers’ data, which means that sellers can implement BBP to set different pricing for their new and regular consumers and the platform can provide services to enhance quality perception among different consumer groups of sellers. However, in order to obtain the optimal platform service strategies and seller strategies, and reasonably charge the platform service fees, we first analyze the parameters without platform services and use this as a benchmark model to conduct subsequent comparative analysis.
4.2.1. The Second Period without Platform Services
Under unlimited data collection policies, sellers can collect basic consumer data to differentiate between new and regular consumers. Therefore, after collecting data in the first period, BBP can be used in the second period. Since the situation of the platform providing services is not considered here, the situation of the platform participating in the game is not considered. For all consumers, continuing to trade on the platform in the second period will stimulate their concerns about their privacy, so all consumers have a privacy cost of β. And staying with the original seller and making repeated purchases will arouse concerns about one’s own data privacy, so regular consumers will have extra privacy cost β, but new consumers will not. Figure 3 shows the model. represents the marginal consumer in the first period, that is, for him or her, the utility of purchasing from Seller A or Seller B is the same; represents the marginal consumer in the second period, which means that the utility of staying with Seller A and purchasing in the second period is the same as switching to Seller B. also represents the marginal consumer in the second period, which means that the utility of staying with Seller B and purchasing in the second period is the same as switching to Seller A. From this, we can determine that the utility of Seller A’s regular consumer located in x is v − x − − 2β; the utility of Seller A’s new consumer located in x is v − (1 − x) − − β. Due to the consumers at having the same utility for staying with A and switching to B, that is, v − − − 2β = v − (1 − ) − − β, we have
and the utility of Seller B’s regular consumer located in x is v − (1 − x) − − 2β, and the utility of Seller A’s new consumer located in x is v − x − − β. In the same way, we have
and we can determine that in the second period, consumers between (0, ) and (, ) go to Seller A to purchase. Consumers between (, ) and (, 1) go to Seller B to buy. Therefore, the profit function of the two sellers in the second period is
Figure 3.
Benchmark model with data collection (without platform services).
Solving the first-order optimization conditions, we have
Solving the system of equations, we have
In the same way, solving the first-order optimization conditions, we have
We obtain
4.2.2. The First Period without Platform Services
The pricing set by the seller for new and regular consumers in the second period will influence the pricing in the first period. It is assumed that when consumers in the first period make decisions, they will also consider the utility of purchasing from the other seller in the second period. Specifically, for the consumer located in x, the utility of buying from Seller A in the first period and from Seller B in the second period is
and the utility of buying at Seller B in the first period and at Seller A in the second period is
Setting Equation (14) equal to (15), we have
and then, the total profit function of the two-period seller is
Solving the first-order conditions, we have
Then, we have
We finally obtain
Proposition 2.
When data collection is allowed and there is no platform service, the equilibrium results of the two-period game are shown in Table 3.
Table 3.
Equilibrium results of the two-period game with data collection (without platform services).
4.3. Main Model: No Limitation of Data Collection (With Platform Services)
Under policy regulations that do not limit data collection, platforms can provide services to sellers and charge fees to earn profits. Such services can improve consumers’ perception of product quality. Because the platform can collect more detailed consumer shopping behavior and personal preference information, it can reach an agreement on the scope of services with one or two sellers. Specifically, in the second period, the platform can only provide services to the seller’s new consumers or regular consumers, and also can provide these to all consumers of the seller. For the sellers, in terms of pricing, they can implement BBP; in terms of reaching an agreement, as long as the profit they receive after receiving the service is greater than if they did not receive the service, they have reason to accept this service, which will also constitute a cooperative game. We solve this cooperative game by calculating the contribution values of each player based on their contribution to the alliance and reasonably allocating the total revenue of the alliance, and making service fees based on this. Therefore, our research analyzes all possible strategies for an alliance between the platform and the sellers, and compares various allocation plans. For reasons of space, here we only take the example where both sellers choose to reach a service agreement with the platform to improve quality perception of their new consumers in the second period. The various parameters under this service strategy are as follows.
4.3.1. The Second Period with Platform Services
Under a policy regulation that does not limit data collection, the platform, as well as sellers, are able to collect consumers’ data. Therefore, after collecting data in the first period, sellers can use BBP in the second period, and the platform may also provide services to participate in the game, so consumers’ perception of product quality is Δq/0, as shown in Figure 4. Similarly, for consumers, there is a privacy cost β for regular consumers in the second period, but not for new consumers. All consumers purchase on the platform, so the cost of consumer privacy concerns will be extra β. Since the platform reaches a cooperation agreement with two sellers to provide services to the new consumers of each of the two sellers in the second period, the new consumers have an additional quality perception Δq. From this, we can determine that the utility of Seller A’s regular consumer located in x is v − x − − 2β; the utility of Seller A’s new consumer located in x is v − (1 − x) − + Δq − β. Because the consumer located in has the same utility between staying with A and switching to B, that is, v − − − 2β = v − (1 − ) − + Δq − β, we have
the utility of Seller B’s regular consumer located in x is v − (1 − x) − − 2β, and the utility of Seller A’s new consumer located in x is v − x − − β. In the same way, we have
Figure 4.
Main model (with platform services).
The profit functions of the two sellers in the second period are
Solving for the first-order conditions, we can obtain
4.3.2. The First Period with Platform Services
When consumers in the first period make decisions, they will also consider the utility of purchasing from another company in the second period. Specifically, for the consumer located in x, the utility of buying from Seller A in the first period and from Seller B in the second period is
and the consumer’s utility of buying from Seller B in the first period and from Seller A in the second period is
Setting Equation (27) equal to (28), we have
and the total profit function of the two-period seller is
Solving the first-order conditions, we have
Then, we can determine that when the platform provides services to the new consumers of the two sellers, the optimal incomes of the two sellers are:
Comparing it with the optimal profit when the platform does not provide services in the same regulation, it can be seen that:
According to Equation (34), we can determine that when the three-party alliance adopts the [New, New] plan, that is, when the platform cooperates with two sellers to provide services for each seller’s new consumers, the incomes of the sellers will be higher than if the platform does not provide services. It means that the platform is willing to reach an agreement and the sellers may also accept the platform’s alliance request. In addition, the maximum fee charged by the platform to each seller should not be greater than . In other words, after the platform reaches an agreement with two sellers, the total revenue of the two sellers will be divided, that is, .
In the same way, we find all the situations in which two sellers choose to improve product quality for other different consumer groups, as shown in Table 4:
Table 4.
Payoff matrix.
The various possible profit alliances reached between the platform and the two sellers are as follows in Table 5.
Table 5.
Alliance of two sellers and platform.
In addition, the platform can also choose to reach an agreement with one seller, as shown in Table 6.
Table 6.
Alliance of one seller and platform.
Due to the unequal status of the players in different alliances, for example, if there is no platform, the two sellers’ alliance will have no additional income. Therefore, whether it is a two-party or a three-party alliance, we believe that it is fair and reasonable to distribute the benefits according to the marginal contribution rate of the members to the alliance, and in order to obtain the unique distribution value, we use the Shapley value [39], which is a value that allocates revenue based on the marginal contribution of players to the alliance to distribute the total revenue of all alliances (for specific solutions, please refer to Appendix A), and draw the following conclusions.
Proposition 3.
Whether the platform and sellers choose a two-party alliance or three-party alliance, they will always choose the strategies of maximizing total revenue under the same type of alliance.
According to Proposition 3, we compare all additional incomes in Table 5:
Among them, means the additional incomes after the platform provides services for part l of consumers of Seller A, and part v of consumers of Seller B. It can be seen that the plan with the largest income is [New, New], which means that under a three-party alliance, it is the optimal cooperation plan for the platform and two sellers to form an alliance to provide services to the two sellers’ new consumers. This will increase the total revenue, which is , of the three parties.
In addition, examining the additional total revenue of the two alliances , we can see that:
Among them, means that the platform provides services to part l of consumers of Sellers A and B (l = new, regular, all, null). Combining Equations (36)–(38), we can determine that when 0 < Δq ≤ and < β < 1 or < Δq < 1, the two parties’ largest profit plan is [All], that is, the platform cooperates with any seller to develop services for all its consumers, and the profit is . When 0 < Δq < and 0 < β < , the largest profit plan is [Regular], that is, the platform cooperates with any seller to develop services for its regular consumers, and the profit is . It can be seen from Proposition 3 that if the platform cooperates with a seller, the possible options are [Regular] or [All], and if they choose three-party cooperation, they will choose the [New, New] plan. Therefore, the cooperative game can be drawn as shown in Table 7:
Table 7.
Cooperative game.
The situation in the table represents the alliance combination of all different participants, that is, all possible alliance situations, A and B represent Sellers A and B, and P represents the platform. Profit 1 represents the incomes of different alliances when 0 < Δq ≤ and < β < 1 or < Δq < 1. Profit 2 represents the different alliance incomes when 0 < Δq < and 0 < β < . Using the Shapley value to solve this cooperative game, we can obtain the following conclusions.
Proposition 4.
When there is no limitation on data collection, the optimal decision for the platform and two sellers is to reach a three-party alliance and choose to provide services to each seller’s new consumers.
It shows that two sellers and the platform have reached a tripartite alliance to improve the quality perception of their new consumers, that is, choosing [New, New] in the cooperative game in Table 5 can maximize their own profits. According to this alliance plan and the analysis of the Shapley value, we can draw the following conclusions.
Proposition 5.
Without limitations on data collection, the equilibrium results of the two-period game are shown in Table 8.
Table 8.
Equilibrium results of the two-period game with data collection.
Proposition 6.
, (i = a, b).
Proposition 6 explains that under regulations that limit data collection, sellers will always charge higher pricing to consumers in the second period than in the case without limitations on data collection. This illustrates that when sellers can collect data to implement BBP, pricing competition will become more intense. On the one hand, sellers are worried about pricing wars between them, and on the other hand, in order to maintain consumers, both sellers should choose a certain degree of pricing reduction to maximize their own profits. At the same time, because the platform will provide services to new consumers of the two sellers when it is able to collect data, that is, it will complement the new consumers in terms of quality perception, the sellers can increase the pricing for new consumers, but they will still not exceed the pricing of limited data collection policy in the second period to attract enough new consumers and obtain optimal profits. For their own regular consumers, since the quality perception has not increased, a part of the pricing must be reduced as compensation.
Proposition 7.
If 0 < β < , . If 0 < β + Δq < , (i = a, b).
Proposition 7 explains that when data collection is allowed and the platform does not provide services, sellers implementing BBP will be affected by privacy concerns. When consumers’ privacy concerns are low, sellers will set lower pricing for their existing consumers who have higher privacy concerns than new consumers. When privacy concerns are significant, the situation is the opposite. When the platform provides services, sellers implementing BBP will consider the impact of quality perception more. If the quality perception and privacy concern of new consumers set by the platform for sellers are relatively low, in order to attract new consumers to purchase to a greater extent, sellers should lower the pricing for new consumers to enhance their attractiveness to new consumers. If Δq + β is large, that is, when privacy concerns or product quality perceptions are relatively large, the situation is exactly the opposite. If consumers have greater privacy concerns, since new consumers are not as concerned about privacy as regular consumers, in order to compensate for regular consumers, the pricing will be lower than that of new consumers. If the quality perception is large, it means that new consumers have enjoyed the platform’s services, so a higher pricing can be set for them than for regular consumers.
Proposition 8.
(i = a, b).
Proposition 8 shows that the BBP and platform services will increase the optimal pricing in the first period, that is, privacy concerns and quality perception will increase the pricing in the first period. This is because the sellers want to lower the pricing in the second period to attract consumers, so sellers will choose to increase the pricing in the first period. There are two major advantages to doing this. On the one hand, the larger pricing changes in the two periods can create a greater contrast, causing consumers to have a compensatory mentality, making consumers more willing to buy; on the other hand, sellers can make profits in the first period. Obtaining higher profits can maximize the total profits of the two periods.
5. Welfare Comparison
5.1. Sellers’ Profits
5.1.1. Sellers’ Optimal Incomes in the First Period
Proposition 9.
(i = a, b).
Proposition 9 illustrates that BBP will increase the optimal incomes of sellers in the first period. From Proposition 6 and Proposition 8, we know that the sellers consider lowering the pricing to attract consumers in the second period, so they need to increase the pricing as much as possible to obtain more income in the first period to ensure maximum profits in the two periods. And this trend will be promoted when the platform provides services for which sellers should charge higher fees in the first period to obtain additional profits to make up for the lost profits in the second period.
5.1.2. Sellers’ Optimal Incomes in the Second Period
Proposition 10.
If 0 < β < , . If < β < 1, (i = a, b).
Proposition 10 first explains that under regulations that limit data collection, the sellers’ optimal incomes in the second period are always the largest. From Proposition 6, we know that when data collection is limited, BBP will not occur in the second period, so sellers will not fall into pricing competition, which ensures that sellers’ income in the second period is the largest. The circumstances under regulations that do not limit data collection can be seen from Proposition 7. When privacy concerns are low enough and quality perception is low, if the platform provides services, sellers will compromise on pricing for regular consumers and increase the pricing for new consumers. However, at this time, the pricing for regular consumers is still at a high level, while the pricing for new consumers is relatively low. Although it attracts enough new consumers to buy, it will not be enough to make up for the revenue lost due to low pricing, so the platform provides services that minimize the optimal income for sellers in the second period. If the privacy concerns are large enough and the quality perception is large, when the platform provides services, the pricing for regular consumers will be greatly reduced and the pricing for new consumers will be greatly increased. Although this will attract new consumers in the second period, it is relatively limited. But the high pricing for new consumers will make up for the sellers’ losses, so the optimal incomes of sellers in the second period are the largest at this time. When either privacy concern or quality perception is greater, both situations may occur.
5.1.3. Sellers’ Optimally Total Incomes
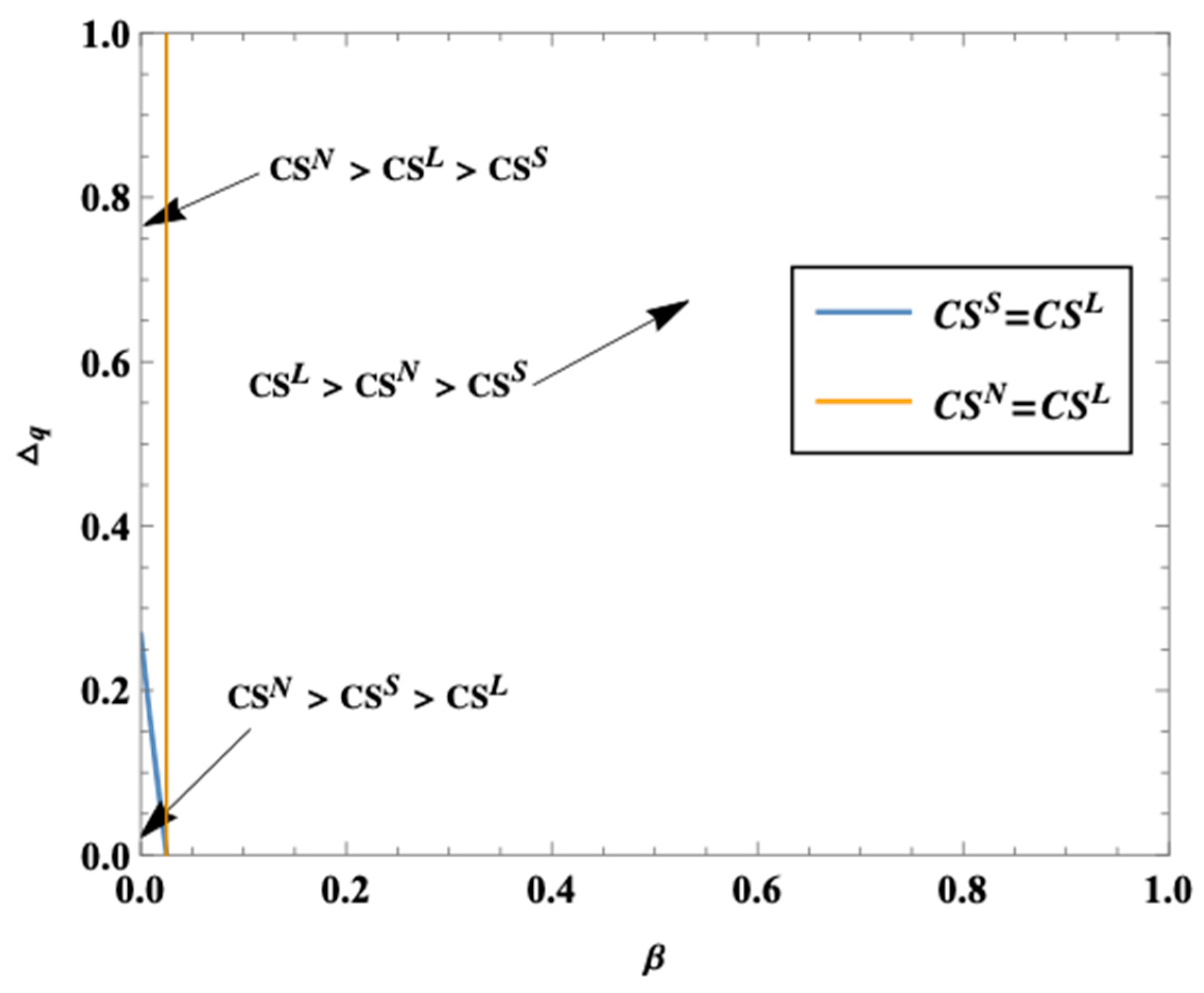
Proposition 11.
If 0 < β ≤ and 0 < Δq ≤ , . If 0 < β ≤ and < Δq < 1, . If < β < 1, (i = a, b). The solution space is shown in Figure 5.
Figure 5.
Strategic solution space for sellers’ optimal incomes.
Proposition 11 compares the sellers’ optimal incomes under different circumstances. When data collection is allowed and the platform provides services, the sellers’ maximum incomes are always greater than the incomes when the platform does not provide services. This is because when the platform provides services, the sellers also increase the perception of product quality of new consumers, which prompts sellers to set the highest possible pricing in the first period. So the incomes obtained in the first period are enough to ensure the maximum total incomes. When privacy concerns and quality perception are low, limiting data collection will maximize the sellers’ incomes. This is because when both are low, the sellers will charge a lower fee in the second period to attract new consumers to buy, and the sellers will also set the price for regular consumers no higher than the condition of limiting data collection. When privacy concerns are relatively low and quality perception is relatively large, since the sellers’ first-period pricing and second-period pricing for new consumers increase monotonically as quality perception increases, the overall incomes will be greatly increased. Although the pricing for regular consumers will be reduced, the overall smaller privacy concern will allow sellers to maintain pricing for regular consumers at a higher level. Overall, the sellers’ incomes with the platform providing services will be the largest. When privacy concerns are greater, if data collection is not limited, the sellers’ pricing in the first period will be greater than when data collection is not allowed. And the excess income is sufficient to compensate for the loss of income due to the competition in the second period; therefore, the total income under the policy allowing data collection is greater than that under the policy limiting data collection.
5.1.4. Sellers’ Optimally Total Profits
Proposition 12.
. If 0 < β ≤ , . If 0 < β ≤ and 0 < Δq < , (i = a, b). The solution space is shown in Figure 6.
Figure 6.
Strategic solution space for sellers’ optimal profits.
Proposition 12 compares the sellers’ final profits. It can be seen that when data collection is allowed, the final profits of the sellers after the platform provides services are always greater than the final profits in the case of only BBP (no platform services). Like Proposition 11, this is because, in addition to setting up BBP, the platform provides services that increase the perception of product quality among new consumers of both sellers. This leads to higher pricing for sellers in the first period, resulting in a much higher profit for sellers in the first period after the platform provides services than when no services are provided. Ultimately, this leads to a larger total profit for sellers in both periods after the platform provides services. In addition, when privacy concerns are low, BBP will deprive sellers of profits, because BBP intensifies competition between two sellers in the second period, resulting in overall low pricing. However, smaller privacy concerns make sellers worry that if the first period is set too high, it will lead to a decrease in their market share and total profit. Therefore, the first period will not set a very high pricing, and the overall profit of the two periods is relatively low. The platform’s services will curb this trend, as quality perception will prompt sellers to set higher pricing in the first period to compensate for the shortfall in total profits. But when the coefficient of quality perception is also low, the profit set by the seller in the first period will also be low, so it is not enough to compensate for the total profit of the two periods. At this time, limiting data collection will ensure the sellers’ total profits and maximize them.
5.2. Consumer Surplus
Proposition 13.
> . If 0 < β < 20 − , > . If 0 < β < 20 − and 0 < Δq < 2 − β − , > . The solution space is shown in Figure 7.
Figure 7.
Strategic solution space for consumer surplus.
Proposition 13 explains that platform services will promote sellers’ welfare for exploiting consumers. Although platform services can increase consumer welfare, they also increase the pricing of sellers in the first period and maintain a higher level of pricing for new consumers in the second period. Therefore, the overall situation will exploit consumer welfare, making the overall welfare of consumers inferior to the situation where there is only BBP (no platform services). Secondly, we know from Proposition 8 that BBP will also increase sellers’ pricing in the first period. Although BBP will allow sellers to compromise on pricing in the second period when consumers have greater privacy concerns, it is still not enough to make up for the lost benefits, so the implementation of BBP by sellers will exploit the welfare of consumers. On the contrary, when consumers have lower privacy concerns and there are no platform services, sellers who implement BBP without platform services can make up for this loss and retain consumers’ welfare. If the platform provides services with lower privacy concerns and quality perception coefficient, although the platform’s services will only partially compensate for consumer welfare, the pricing in the first period will not be set very high due to low quality perception, so the overall exploitation of consumers will not be significant. Overall, consumer welfare is still higher than when data collection is limited.
5.3. Social Welfare
Proposition 14.
> , > . If 0 < β < and < Δq < 1, > . The solution space is shown in Figure 8.
Figure 8.
Strategic solution space for social welfare.
Proposition 14 first explains that BBP without platform services will still make the overall social welfare the lowest. From Propositions 12 and 13, we can determine that when privacy concerns are low, BBP without platform services will make the sellers’ profit the smallest. Although consumers can obtain greater profits, it is not enough to make up for the sellers’ lost profits, so the social welfare is smallest at this time. When privacy concerns are greater, the platform’s services will make the sellers’ profits still greater than implementing BBP without platform services. At the same time, only implementing BBP without platform services will exploit the welfare of consumers, which maximizes social welfare when data collection is limited. Overall, when only implementing BBP without platform services, the total social welfare is minimal. When privacy concerns are relatively low and quality perception is not very low, providing services on the platform will maximize social welfare. This is because, although providing services on the platform in this situation will greatly exploit the welfare of consumers, the welfare of sellers will be maximized, which is enough to compensate for the loss of consumer welfare and maximize the overall social welfare. In other cases, due to the difficulty of maximizing the total profit of sellers, the social welfare after the platform provides services will not be maximized.
5.4. Sensitivity Analysis
Proposition 15.
> 0, > 0. > 0, > 0, < 0, < 0. > 0, > 0, > 0. < 0, < 0. < 0. (i = a, b; m = 1, 2).
Proposition 15 illustrates that the sellers’ pricing for regular consumers in the second period under BBP decreases monotonically as privacy concerns increase. The rest of the pricing increases monotonically as privacy concerns increase. This is because under BBP, regular consumers will have more privacy concerns than first-period consumers and second-period new consumers, and in order to retain these regular consumers, they will be charged lower pricing when privacy concerns are greater, and accordingly charge higher pricing from the remaining consumer groups. Secondly, for the profits of the sellers and the platform, it can be noted that the final profits of sellers increase monotonically with the increase in privacy concerns. This is because, except for the low pricing charged by regular consumers in the second period, the pricing of the other consumer groups increases with the increase in privacy concern. Therefore, the increase in privacy concerns leads to an overall increase in total profits. The final profit of the platform is determined by the two-period profits of the sellers, so having a greater privacy concern can also result in a greater share of the final profit. In addition, the consumer surplus in both periods decreases monotonically as privacy concerns increase. It is obvious that the disutility caused by privacy concerns will exploit consumers’ utility. Finally, when the seller only implements BBP without platform services, the greater the privacy concerns, the smaller the total social welfare. As shown in Proposition 14, in this case, consumer surplus will be greatly exploited. Although the sellers’ profits may increase, it is still not enough to make up for it. However, when the platform provides services, such an intuitive conclusion cannot be drawn due to the increased quality perception of new consumers.
Proposition 16.
> 0, > 0, < 0. > 0, > 0. < 0. > 0. (i = a, b).
Proposition 16 illustrates that when the platform provides services, the sensitivity of pricing and privacy concerns is the same. Except for the second period of regular consumers, which will decrease with the increase in quality perception, other consumer groups will increase with quality perception. This is because, in the second period, quality perception services are only provided to new consumers, so they can be charged higher pricing. Correspondingly, in order to compensate for regular consumers, lower pricing will be set accordingly. And because the overall pricing in the second period will be lower, the higher the quality perception, the higher the pricing will be set in the first period to make up for the overall profits. Then, the final profits of both sellers and the platform increase with the quality perception. This is also because the higher the quality perception, except for the regular consumers in the second period who set the pricing very low, the other consumer groups will set higher pricing, so the sellers’ total profits are compensated, which makes the sellers’ final profits increase, and the platform’s profit depends on the profit distribution of the sellers, so the platform can also obtain higher profits. Consumer surplus decreases as quality perception increases. This is because although the platform services improve the utility of new consumers in the second period and reduce the pricing of regular consumers, they also greatly increase the pricing of other consumers, which will make it so that the overall consumer surplus is exploited. Finally, the overall social welfare increases with the increase in quality perception, which is easy to explain. Although consumer surplus will decrease when quality perception increases, the total profits of the sellers and platform will increase even more, which makes the overall social welfare increase.
5.5. Policy Implications
The government formulates different policies based on different starting points. In this study, we examine optimal policy regulation ideas from two different starting points.
5.5.1. Only Considering Social Welfare
Only considering social welfare, that is, taking the maximization of social welfare as the starting point, referring to Proposition 14, we can obtain that when 0 < β < and < Δq < 1, the optimal regulation is the policy of not limiting data collection (NL). In other cases, the optimal regulation should be the policy of limiting data collection (L). The solution space is shown in Figure 9.
Figure 9.
Optimal regulation strategy space concentrating on social welfare.
5.5.2. Only Considering Consumer Surplus
In the same way, when only considering consumer surplus, taking the maximum consumer surplus as the starting point for formulating policies, referring to Proposition 13, we can obtain that when 0 < Δq < 2 − β − , the optimal regulation is the policy of not limiting data collection (NL). When 2 − β − < Δq < 1, the optimal regulation should be the policy of limiting data collection (L). The solution space is shown in Figure 10.
Figure 10.
Optimal regulation strategy space concentrating on consumer surplus.
6. Implications
The study focuses on the impact of the service strategies of online platforms, and analyzes it from the perspectives of policy-makers, platforms, and sellers. Our main contributions are as follows. First, our study provides several policy recommendations for policy-makers. Our research insight is that completely limiting or not limiting data collection may not necessarily achieve the best results. This is relevant to our previous research on integrating BBP into privacy regulation frameworks [12]. However, it contradicts the research of Shy et al. [11], whose conclusion is that in scenarios without specific switching costs, strengthening privacy regulations will increase consumer surplus and social welfare. This does not mean that someone’s research has been wrong. From our final optimal solution space, it can be seen that limiting data collection means strengthening privacy regulation, which is in many cases a better choice. The reason why our research supports not limiting data collection for the policy-makers in a few cases is that platform service strategies provide consumers with additional quality perception, which in some cases increases consumer surplus or social welfare. Therefore, sometimes, weaker privacy regulation may be a better choice for policy-makers. In addition, our previous research has considered the factor of switching cost, which is consistent with the conclusion of Shy et al. after considering the factor of switching cost. Thus, according to our research, policy-makers should first evaluate consumers’ privacy concerns and the quality perception of the services provided by the platform before formulating policies. If the starting point is to maximize total social welfare, when privacy concerns are low and the quality perception coefficient is not very low, the policy should not limit data collection. In other cases, data collection should be limited. When the consumer surplus is the main perspective, data collection should only be unlimited when both are relatively low; otherwise, data collection should be limited to protect consumer profits.
Second, we focus on the platform’s service strategies based on purchasing behavior. We find that the optimal service strategies for the platform are to reach a cooperative agreement with the two sellers to provide services to their respective second-period new consumers, because this will maximize the profit allocated to the platform in the end. This means that improving the sellers’ new consumers’ perception of product quality is the best, which is different from the research of Li et al. [26] and our previous research [9]. These studies focus on the behavior-based quality discrimination of sellers when quality is an endogenous factor, and show that sellers should give regular consumers higher quality to compensate for the exploitation in pricing. This indicates that when quality perception is determined by different factors, exogenous or endogenous, it can lead to different forms of quality discrimination towards consumers. Our research starts from the perspective of exogenous factors of platform services, and provides new research ideas and insights on atypical quality discrimination situations.
Finally, the study also provides certain management decision-making suggestions for sellers and enterprise managers. We set two benchmark models to compare the optimal strategies of seller enterprises in various situations. We found that only in the case of BBP, that is, when seller enterprises can implement BBP and the platform does not provide services, seller enterprises must set higher pricing in the first period. This is because sellers anticipate that BBP in the second period will intensify competition and take measures to ensure profits. In addition, the setting of the optimal pricing in the first period should be monotonically increasing with the intensity of privacy concern. At the same time, the optimal pricing in the second period is lower than that in the case of limiting data collection due to pricing competition, and the optimal pricing for new consumers is also monotonically increasing with the privacy concern coefficient, while the optimal pricing for regular consumers must be monotonically decreasing with the privacy concern coefficient. These conclusions are consistent with our previous research on integrating BBP into privacy regulation frameworks [12]; under the platform service situation, we have some new insights. When a seller enterprise can implement BBP and the platform provides quality perception services, our research finds that the seller enterprise will be motivated to reach a cooperation agreement with the platform and the other seller enterprise to improve the quality perception of each new consumer, because this is the choice of maximizing the final distribution of profits for the seller. At the same time, the pricing of two seller enterprises in the first period will be the highest, because BBP and platform services will intensify the competition in the second period, making it more beneficial for the seller to set a higher pricing in the first period, and the pricing should be proportional to privacy concerns and quality perception. In the second period, the optimal pricing set by the seller enterprises will not exceed the pricing under the limitation of data collection due to intensified competition. At the same time, the optimal pricing for new consumers should be monotonically increasing with privacy concern and quality perception, while the optimal pricing for regular consumers should be monotonically decreasing with both. Our research findings fill the gap in previous studies on integrating platform services into the seller game framework under privacy regulations, and provide innovative decision-making recommendations for sellers in similar real-life scenarios.
7. Conclusions
With the swift advancements in online platforms, the strategic choices regarding service offerings based on purchasing behavior hold profound implications, not only for the platforms’ profitability but also for the decision-making processes of sellers and policy-makers. Hence, our study initially categorizes policy regulations into two types, based on the extent of limitations imposed on data collection. By introducing platform services as an exogenous variable, we integrate the platform into the game of sellers, building a cooperative game, examining their decisions under varying degrees of data collection to derive the ultimate choices of all participants. For a meticulous comparative analysis, we use Mathematica numerical simulation to simulate and analyze, and our main results arrive at the following key research conclusions:
- (1)
- Platform’s Strategic Positioning: When the platform is capable of collecting data, it ultimately reaches an agreement with two sellers to formulate quality-perceived services tailored for all new consumers in the second period. This strategic alignment maximizes the platform’s profit potential.
- (2)
- Sellers’ Collaborative Advantage: Sellers, when able to establish an agreement with the platform on service cooperation, also agree to collaborate in order to maximize their own profits. Furthermore, under policies permitting data collection (BBP), sellers must consider privacy concerns and quality perception in their optimal pricing strategies. Specifically, pricing for all consumers in the first period and new consumers in the second period should exhibit a monotonic increase with privacy concerns and quality perception, while pricing for existing consumers in the second period should decrease monotonically with these factors.
- (3)
- Policy Implications and Regulatory Intensity: Policy-makers should determine the intensity of data collection regulation based on the ultimate objective: whether to prioritize consumer surplus or total social welfare. Considerations of privacy concerns and quality perception are crucial. When maximizing total social welfare is the priority, data collection should not be limited if privacy concerns are low and the quality perception coefficient is not overly low. Conversely, if consumer surplus is the focus, data collection should only be unlimited when both privacy concerns and quality perception are relatively low; in other scenarios, data collection should be limited.
In summary, our research contributes to bridging the knowledge gap in platform service strategies based on consumer purchasing behavior. We construct a cooperative game framework between the platform and sellers, offering valuable insights and recommendations for government, platforms, and sellers in making informed decisions within this context. This study further enriches the discourse on platform economics.
However, this study also has limitations. When setting the privacy intensity, we only considered the condition of data collection, but in practice, data sharing often occurs. The platform can provide sellers with more specific data to enable sellers to make personalized settings, so data sharing can be included in the scope of research in the future. Secondly, the premise of the study is to assume that the collected consumer information is true and reliable, but in reality, there may be a type of strategic consumer who will provide false information to mislead the platform and sellers in order to protect their own interests. Therefore, incorporating the heterogeneity of consumers into the scope of the study will further improve the research on this topic.
Author Contributions
Conceptualization, X.L. and T.S.; methodology, X.L. and T.S.; software, H.L.; validation, H.L. and H.Z.; formal analysis, H.L.; investigation, H.L. and H.Z.; resources, X.L.; data curation, H.L.; writing—original draft preparation, T.S.; writing—review and editing, X.L.; visualization, T.S.; supervision, X.L.; project administration, T.S.; funding acquisition, X.L. All authors have read and agreed to the published version of the manuscript.
Funding
This research was funded by the National Natural Science Foundation of China (No. 71991461, 72471155).
Institutional Review Board Statement
Not applicable.
Informed Consent Statement
Not applicable.
Data Availability Statement
The original contributions presented in the study are included in the article, further inquiries can be directed to the corresponding author.
Acknowledgments
The authors sincerely thank the Editor-in-Chief and anonymous reviews for the constructive comments, which have improved the paper significantly.
Conflicts of Interest
The authors declare no conflicts of interest.
Appendix A
Proof of Proposition 1.
Substituting Equation (5) into Equations (1)–(4), we can obtain the pricing and profits set by the sellers. Consumer surplus under the regulation of limiting data collection is
and similarly, by substituting the obtained pricing, we can obtain
The total social welfare is producer surplus plus consumer surplus, so is
and substituting into Equation (A2), we obtain
□
Proof of Proposition 2.
We also substitute Equation (20) back into the previous equations, and then we can determine the pricing set by the sellers in the two periods, the profits of the sellers in the two periods, and the total profits in the two periods. Consumer surplus is
Similarly, substituting the equation, we can obtain
total social welfare = + + , then substitute it into the equation:
□
Proof of Proposition 3.
Based on the Shapley allocation method and referring to Table A1, Table A2, Table A3 and Table A4 (please refer to Proof of Proposition 4.), we can find the following rules. Let us first assume that the total profit of any one of the two-party cooperation options is x, and the total profit of any one of the three-party cooperation options is y. The final distribution in the two-party cooperation is V2m(a) = V2m(b) = V2m(p) = . Due to > 0, (m = 1, 2; y = a, b, p), it can be determined that the profits of each player increase monotonically with the total profit x. Therefore, when the two parties cooperate, if they choose the cooperation plan with the greater total profit, the profits of each participant will be greater. This also means that the platform will always provide the service plan with the largest total profit, and the sellers will also accept this plan. In tripartite cooperation, we can determine that V3m(a) = V3m(b) = , V3m(p) = . Due to > 0, (m = 1, 2; y = a, b, p), the cooperation plan that can obtain the largest total profit will be chosen, and the profit of each participant will also be greater. This also means that the platform will always provide a service plan with the largest total profit, and the two sellers will also accept this plan. □
Proof of Proposition 4.
When 0 < Δq ≤ and < β < 1 or < Δq < 1, that is the condition of profit 1. Now, assuming that the platform reaches an agreement with Seller A, we calculate the marginal contribution of the cooperation between the two parties in this case, as shown in Table A1.
Table A1.
The marginal contribution of two players in profit 1.
Table A1.
The marginal contribution of two players in profit 1.
| Orders | Players | |
|---|---|---|
| A | P | |
| A, P | 0 * | 855(Δq)2 + 480Δq * |
| P, A | 855(Δq)2 + 480Δq * | 0 * |
*. All values in the table are numerators with 4608 as the denominator.
Ignoring the original denominator of the value, the order A, P in the table means that Seller A and the platform join the alliance sequentially. When there is only Seller A, the profit is 0. When the platform joins, there are a total profits of 855(Δq)2 + 480Δq. At this time, the participation of the platform generates all the profits, so the platform has these weights. The same applies to P, A. The average value of each column, that is, each player, is the Shapley value. V21(a) = , V21(p) = , V11(b) = 855(Δq)2 − 480Δq. In the same way, if the platform and Seller B reach an alliance, then V11(a) = 855(Δq)2 − 480Δq, V21(p) = , V21(b) = . Among them, for Vnm(y), n represents the situation where there is an n-party alliance, m represents the case of profit m, y represents player y (n = 1, 2, 3; m = 1, 2; y = a, b, p). In addition, when all three parties are in a single alliance, V11(y) = 0 (y = a, b, p).
Now, assuming that the platform reaches an agreement with two sellers, we calculate the marginal contribution of the three-party alliance in this case, as shown in Table A2.
Table A2.
The marginal contribution of three players in profit 1.
Table A2.
The marginal contribution of three players in profit 1.
| Orders | Players | ||
|---|---|---|---|
| A | B | P | |
| A, B, P | 0 * | 0 * | 1024(Δq)2 + 2048Δq + 2048βΔq * |
| A, P, B | 0 * | 169(Δq)2 + 1568Δq + 2048βΔq * | 855(Δq)2 + 480Δq * |
| B, A, P | 0 * | 0 * | 1024(Δq)2 + 2048Δq + 2048βΔq * |
| B, P, A | 169(Δq)2 + 1568Δq + 2048βΔq * | 0 * | 855(Δq)2 + 480Δq * |
| P, A, B | 855(Δq)2 + 480Δq * | 169(Δq)2 + 1568Δq + 2048βΔq * | 0 * |
| P, B, A | 169(Δq)2 + 1568Δq + 2048βΔq * | 855(Δq)2 + 480Δq * | 0 * |
*. All values in the table are numerators with 4608 as the denominator.
Taking the order of A, P, B as an example, it means that Seller A, the platform, and Seller B join the alliance sequentially. The total profit of the alliance is 1024(Δq)2 + 2048Δq + 2048βΔq. When there is only Seller A, its additional income is 0. After the platform joined, a total of 169(Δq)2 + 1568Δq + 2048βΔq was added, so the platform occupied this part of the profit. When Seller B subsequently joined, Seller B’s addition increased the total profit by 169(Δq)2 + 1568Δq + 2048βΔq, so Seller B occupies this part of the weight. The other orders are obtained in the same way. And the average value of each column, that is, each player, is the Shapley value. Then, we obtain V31(a) = , V31(b) = , V31(p) = . Further, we obtain
According to Equation (A8), we can deduce V31(p) > V31(a) = V31(b) > V21(p) > V11(p) = 0 and V31(a) = V31(b) > V11(i) (i = a, b). This shows that the profit distributed by each member under the big alliance is larger than that under different double alliances and single alliances, which satisfies individual rationality; at the same time, the collective benefits under the big alliance are higher than those under other different alliances, so it satisfies collective rationality. This proves that the major league allocation plan is Pareto superior for each player. The three-party alliance has very high enthusiasm and good stability, so the optimal strategy in this case is the three-party alliance.
When 0 < Δq < and 0 < β < , in the same way, profit 2 can be obtained. When the two alliances still assume the marginal contribution of the platform, alliance A is as shown in Table A3.
Table A3.
The marginal contribution of two players in profit 2.
Table A3.
The marginal contribution of two players in profit 2.
| Orders | Players | |
|---|---|---|
| A | P | |
| A, P | 0 * | 263(Δq)2 + 736Δq − 512βΔq * |
| P, A | 263(Δq)2 + 736Δq − 512βΔq * | 0 * |
*. All values in the table are numerators with 4608 as the denominator.
The average value of each column, that is, each player, is the Shapley value. V22(a) = , V22(p) = , V12(b) = 263(Δq)2 − 1760Δq − 512βΔq. In the same way, if the platform and Seller B reach a two-person alliance, then V22(b) = , V22(p) = , V12(a) = 263((Δq)2 − 1760Δq − 512βΔq. In addition, when all three parties are in a single alliance, V12(y) = 0 (y = a, b, p).
Now, assuming that the platform reaches an agreement with two sellers, we calculate the marginal contribution of the three-party alliance in this case, as shown in Table A4.
Table A4.
The marginal contribution of three players in profit 2.
Table A4.
The marginal contribution of three players in profit 2.
| Orders | Players | ||
|---|---|---|---|
| A | B | P | |
| A, B, P | 0 * | 0 * | 1024(Δq)2 + 2048Δq + 2048βΔq * |
| A, P, B | 0 * | 761(Δq)2 + 1312Δq + 2560βΔq * | 263(Δq)2 + 736Δq − 512βΔq * |
| B, A, P | 0 * | 0 * | 1024(Δq)2 + 2048Δq + 2048βΔq * |
| B, P, A | 761(Δq)2 + 1312Δq + 2560βΔq * | 0 * | 263(Δq)2 + 736Δq − 512βΔq * |
| P, A, B | 263(Δq)2 + 736Δq − 512βΔq * | 761(Δq)2 + 1312Δq + 2560βΔq * | 0 * |
| P, B, A | 761(Δq)2 + 1312Δq + 2560βΔq * | 263(Δq)2 + 736Δq − 512βΔq * | 0 * |
*. All values in the table are numerators with 4608 as the denominator.
Solving the Shapley value of each column, we obtain V32(a) = , V32(b) = , V32(p) = . Then, we can draw the following conclusion:
According to Equations (A8) and (A9), V32(p) > V32(a) = V32(b) > V22(p) > V12(p) = 0 ≥ V12(i) (i = a, b), which also satisfies the conditions of individual rationality and collective rationality. It still proves that the distribution plan of the three-party alliance is a Pareto superior plan for every player. The three-party alliance has very high enthusiasm and good stability, so the optimal strategy in this case is the three-party alliance.
So, when 0 < Δq < 1 and 0 < β < 1, the three-party alliance is the optimal strategy that can maximize the profits of all parties. That is, during cooperation, the platform reaches an agreement with two sellers to provide product quality to their new consumers in the second period, which is the optimal solution. □
Proof of Proposition 5.
Substituting Equation (32) into the previous equations, we can obtain the pricing at each period and the incomes of the sellers. When 0 < Δq ≤ and < β < 1 or < Δq < 1, the sellers’ profits after paying fees are , (m = 1, 2; i = a, b).
The platform’s profit is as follows:
When 0 < Δq < and 0 < β < :
Consumer surplus is
and solving Equation (A10), we can obtain
the total social welfare can also be obtained by = + + , and then we can substitute it into the equations:
□
Proof of Proposition 7.
If 0 < β < , < 0. If < β < 1, > 0. When 0 < β + Δq < , > 0. When < β + Δq < 1, < 0 (i = a, b). □
Proof of Proposition 10.
If 0 < β < , . (i = a, b).
In the same way, if < β < 1,
□
Proof of Proposition 11.
If 0 < β ≤ and 0 < Δq ≤ ,
If 0 < β ≤ and < Δq < 1,
, . If < β ≤ 1, , . (i = a, b). □
Proof of Proposition 12.
If 0 < β ≤ , . If 0 < β ≤ and 0 < Δq ≤ ,
□
Proof of Proposition 13.
. If 0 < β < 20 − ,
If 0 < β < 20 − , 0 < Δq < 2 − β − ,
□
Proof of Proposition 14.
If 0 < β < 1 and 0 < Δq < 1,
If 0 < β ≤ and < Δq < 1,
If 0 < Δq < ,
□
Proof of Proposition 15.
= = = = > 0. = = < 0. > 0, > 0, > 0, > 0, > 0 (i = a, b).
□
Proof of Proposition 16.
= = > 0, = < 0. > 0, > 0 (i = a, b).
□
References
- Li, K.J. Behavior-based pricing in marketing channels. Mark. Sci. 2018, 37, 310–326. [Google Scholar] [CrossRef]
- Kim, J.; Yum, K. Enhancing Continuous Usage Intention in E-Commerce Marketplace Platforms: The Effects of Service Quality, Customer Satisfaction, and Trust. Appl. Sci. 2024, 14, 7617. [Google Scholar] [CrossRef]
- Binlibdah, S. Investigating the Role of Artificial Intelligence to Measure Consumer Efficiency: The Use of Strategic Communication and Personalized Media Content. J. Media 2024, 5, 1142–1161. [Google Scholar] [CrossRef]
- Bimpikis, K.; Papanastasiou, Y.; Zhang, W. Information provision in two-sided platforms: Optimizing for supply. Manag. Sci. 2024, 70, 4533–4547. [Google Scholar] [CrossRef]
- Yang, B.; Yang, S.; Dutta, S. Platform service offering to business customers: Strategic considerations in engendering seller use of marketing tools. Mark. Sci. 2022, 41, 361–379. [Google Scholar] [CrossRef]
- Shravani, D.; Prajwal, Y.R.; Atreyas, P.V.; Shobha, G. VR supermarket: A virtual reality online shopping platform with a dynamic recommendation system. In Proceedings of the 2021 IEEE International Conference on Artificial Intelligence and Virtual Reality (AIVR), Taichung, Taiwan, 15–17 November 2021; pp. 119–123. [Google Scholar]
- Huang, Y.C.; Liu, S.Y. Virtual reality online shopping (vros) platform. In HCI in Business, Government and Organizations, Proceedings of the 7th International Conference, HCIBGO 2020, Held as Part of the 22nd HCI International Conference, HCII 2020, Copenhagen, Denmark, 19–24 July 2020; Springer International Publishing: Berlin/Heidelberg, Germany, 2020; pp. 339–353. [Google Scholar]
- Monsalve-Obreque, P.; Vargas-Villarroel, P.; Hormazabal-Astorga, Y.; Hochstetter-Diez, J.; Bustos-Gómez, J.; Diéguez-Rebolledo, M. Proposal to improve the E-commerce platform development process with an exploratory case study in Chile. Appl. Sci. 2023, 13, 8362. [Google Scholar] [CrossRef]
- Lin, X.; Huang, X.; Liu, S.; Li, Y.; Luo, H.; Yu, S. Competitive price-quality strategy of platforms under user privacy concerns. J. Theor. Appl. Electron. Commer. Res. 2022, 17, 571–589. [Google Scholar] [CrossRef]
- Jia, J.; Jin, G.Z.; Wagman, L. The short-run effects of the general data protection regulation on technology venture investment. Mark. Sci. 2021, 40, 661–684. [Google Scholar] [CrossRef]
- Shy, O.; Stenbacka, R. Customer privacy and competition. J. Econ. Manag. Strategy 2016, 25, 539–562. [Google Scholar] [CrossRef]
- Lin, X.; Huang, X.; Liu, S.; Li, Y.; Luo, H.; Yu, S. Social welfare analysis under different levels of consumers privacy regulation. J. Theor. Appl. Electron. Commer. Res. 2021, 16, 2943–2964. [Google Scholar] [CrossRef]
- Li, J.; Pisano, G.; Xu, Y.; Zhu, F. Marketplace scalability and strategic use of platform investment. Manag. Sci. 2023, 69, 3958–3975. [Google Scholar] [CrossRef]
- He, E.J.; Savin, S.; Goh, J.; Teo, C.P. Off-platform threats in on-demand services. Manuf. Serv. Oper. Manag. 2023, 25, 775–791. [Google Scholar] [CrossRef]
- Liu, Y.; Wang, X.; Gilbert, S.; Lai, G. On the participation, competition and welfare at customer-intensive discretionary service platforms. Manuf. Serv. Oper. Manag. 2023, 25, 218–234. [Google Scholar] [CrossRef]
- Liu, Z.; Zhang, D.J.; Zhang, F. Information sharing on retail platforms. Manuf. Serv. Oper. Manag. 2021, 23, 606–619. [Google Scholar] [CrossRef]
- Liu, W.; Long, S.; Xie, D.; Liang, Y.; Wang, J. How to govern the big data discriminatory pricing behavior in the platform service supply chain? An examination with a three-party evolutionary game model. Int. J. Prod. Econ. 2021, 231, 107910. [Google Scholar] [CrossRef]
- Ma, L.; Hu, W.; Liang, R. The Impact of the Industrial Internet on the Innovation and Development Level of China’s Manufacturing Industry: Under the Perspective of Government Incentives. Sustainability 2024, 16, 3935. [Google Scholar] [CrossRef]
- Rathor, S.; Zhang, M.; Im, T. Web 3.0 and Sustainability: Challenges and Research Opportunities. Sustainability 2023, 15, 15126. [Google Scholar] [CrossRef]
- Xie, F.; Guan, X.; Peng, X.; Wang, C.; Zeng, Y.; Wang, Z.; Bai, R. Exploration of the Deep Impact of Digital Platforms on Innovation and Entrepreneurship Activities of Entrepreneurs under the Information Management Framework. Sustainability 2024, 16, 3919. [Google Scholar] [CrossRef]
- Fudenberg, D.; Tirole, J. Customer poaching and brand switching. RAND J. Econ. 2000, 31, 634–657. [Google Scholar] [CrossRef]
- Chen, Y. Paying customers to switch. J. Econ. Manag. Strategy 1997, 6, 877–897. [Google Scholar] [CrossRef]
- Gehrig, T.; Shy, O.; Stenbacka, R. Market Dominance and Behavior-Based Pricing under Horizontal and VERTICAL Differentiation; Working paper; University of Freiburg: Freiburg, Germany, 2008. [Google Scholar]
- Rhee, K.E.; Thomadsen, R. Behavior-based pricing in vertically differentiated industries. Manag. Sci. 2017, 63, 2729–2740. [Google Scholar] [CrossRef]
- Jing, B. Behavior-based pricing, production efficiency, and quality differentiation. Manag. Sci. 2017, 63, 2365–2376. [Google Scholar] [CrossRef]
- Li, K.J. Behavior-based quality discrimination. Manuf. Serv. Oper. Manag. 2021, 23, 425–436. [Google Scholar]
- Cohen, M.C.; Elmachtoub, A.N.; Lei, X. Price discrimination with fairness constraints. Manag. Sci. 2022, 68, 8536–8552. [Google Scholar] [CrossRef]
- Li, X.; Li, K.J.; Wang, X. Transparency of behavior-based pricing. J. Mark. Res. 2020, 57, 78–99. [Google Scholar] [CrossRef]
- Conti, C.; Reverberi, P. Price discrimination and product quality under opt-in privacy regulation. Inf. Econ. Policy 2021, 55, 100912. [Google Scholar] [CrossRef]
- Shi, X.; Zhang, Y.; Wang, Z. Sustainable Value-Sharing Mechanisms of the Industrial Internet of Things Platforms: A Case Study of Haier’s Service-Oriented Transformation. Sustainability 2024, 16, 4814. [Google Scholar] [CrossRef]
- Godinho de Matos, M.; Adjerid, I. Consumer consent and firm targeting after GDPR: The case of a large telecom provider. Manag. Sci. 2022, 68, 3330–3378. [Google Scholar] [CrossRef]
- Sharma, P.; Sun, Y.; Wagman, L. The Differential Effects of New Privacy Protections on Publisher and Advertiser Profitability; Working Paper; Illinois Institute of Technology: Chicago, IL, USA, 2019. [Google Scholar]
- Montes, R.; Sand-Zantman, W.; Valletti, T. The value of personal information in online markets with endogenous privacy. Manag. Sci. 2019, 65, 1342–1362. [Google Scholar] [CrossRef]
- Fainmesser, I.P.; Galeotti, A.; Momot, R. Digital privacy. Manag. Sci. 2023, 69, 3157–3173. [Google Scholar] [CrossRef]
- Kumar, R.; Gopal, R.; Garfinkel, R. Freedom of privacy: Anonymous data collection with respondent-defined privacy protection. INFORMS J. Comput. 2010, 22, 471–481. [Google Scholar] [CrossRef]
- Ke, T.T.; Sudhir, K. Privacy rights and data security: GDPR and personal data markets. Manag. Sci. 2023, 69, 4389–4412. [Google Scholar] [CrossRef]
- Marreiros, H.; Tonin, M.; Vlassopoulos, M.; Schraefel, M.C. “Now that you mention it”: A survey experiment on information, inattention and online privacy. J. Econ. Behav. Organ. 2017, 140, 1–17. [Google Scholar] [CrossRef]
- Morath, F.; Münster, J. Online shopping and platform design with ex ante registration requirements. Manag. Sci. 2018, 64, 360–380. [Google Scholar] [CrossRef]
- Shapley, L.S. A value for n-person games. In Contribution to the Theory of Games; Princeton University Press: Princeton, NJ, USA, 1953. [Google Scholar]
Disclaimer/Publisher’s Note: The statements, opinions and data contained in all publications are solely those of the individual author(s) and contributor(s) and not of MDPI and/or the editor(s). MDPI and/or the editor(s) disclaim responsibility for any injury to people or property resulting from any ideas, methods, instructions or products referred to in the content. |
© 2024 by the authors. Licensee MDPI, Basel, Switzerland. This article is an open access article distributed under the terms and conditions of the Creative Commons Attribution (CC BY) license (https://creativecommons.org/licenses/by/4.0/).









