Abstract
Carbon sequestration technology offers a solution to mitigate excessive carbon dioxide emissions and sustainable development in the future. This study proposes a method for subsea carbon sequestration through the injection of cold seawater to promote CO2 hydrate formation. Using a self-developed simulator, we modeled and calculated the long-term sequestration process. The study focuses on analyzing the thermal regulation of the seabed following cold seawater injection, the multiphysical field evolution during CO2 injection and long-term sequestration, and the impact of seawater injection volumes on sequestration outcomes. The feasibility and leakage risks of this method were evaluated on a 100,000-year timescale. Results indicate that the injection of cold seawater significantly improves the pressure–temperature conditions of subsea sediments, facilitating early hydrate formation and markedly increasing the initial CO2 hydrate formation rate. Consequently, the distribution pattern of hydrate saturation changes, forming a double-layer hydrate shell. Over the long term, while cold seawater injection does not significantly reduce CO2 leakage, it does increase the safety margin between the hydrate layer and the seabed, enhancing the safety coefficient for long-term CO2 hydrate sequestration. Through detailed analysis of the behavior of CO2 components during sequestration, this study provides new theoretical insights into subsea CO2 hydrate storage.
1. Introduction
Global warming has emerged as one of the most critical challenges faced by modern society, primarily driven by the continuous increase in atmospheric carbon dioxide (CO2) concentrations [1]. Each year, the combustion of fossil fuels emits approximately 9.5 billion metric tons of carbon into the atmosphere. Since the onset of the industrial revolution, atmospheric CO2 levels have surged from 278 ppm to over 400 ppm today [2,3]. As a result, the global average temperature has risen by about 1.1 °C since the 19th century, and it is projected to increase by an additional 0.2 °C per decade [4]. The widespread use of fossil fuels has led to substantial CO2 emissions, exacerbating the greenhouse effect and resulting in profound impacts on the global climate system, such as frequent extreme weather events and rising sea levels [5]. Reducing carbon emissions and advancing carbon sequestration technologies have become shared global objectives for achieving sustainable development. To address this challenge, the international community has proposed various carbon sequestration strategies aimed at removing CO2 from the atmosphere and storing it for the long term to mitigate its impact on the climate. Carbon capture and storage (CCS) technology has thus become one of the key approaches for reducing CO2 emissions, effectively lowering the carbon footprint of fossil energy during the transition to cleaner energy sources [6].
Currently, the primary methods for CO2 sequestration include geological, oceanic, and mineral storage [7,8]. Among these, subsea storage has garnered significant attention due to its vast potential as a carbon sequestration method [9]. Hydrate, a clathrate compound formed under low-temperature and high-pressure conditions, is found extensively in subsea environments. Methane hydrate has been extensively studied as a potential future energy resource. Similarly, carbon dioxide can also form hydrate with water. Both compounds are clathrate structures, where water molecules encase gas molecules, exhibiting similar properties. The formation of these hydrates occurs in suitable regions of seabed sediments under specific temperature and pressure conditions at certain depths. The presence of methane hydrate in these environments has inspired a novel approach to CO2 storage through the formation of CO2 hydrate [10]. This technique involves injecting CO2 into the high-pressure, low-temperature conditions of the ocean, where it forms solid hydrates with seawater, enabling stable storage of CO2 in the form of hydrate within seabed sediments [11]. This method leverages the natural conditions of the deep ocean and forms a hydrate layer that can prevent the upward migration of CO2, offering long-term stability. However, it is also necessary to consider the potential leakage of dissolved CO2 into seawater resulting from this method. Over long-term geological sequestration, the dissolution of CO2 hydrate is another factor that must be taken into account.
In recent years, research into CO2 hydrate sequestration has made considerable progress. Koide et al. [12] first introduced the concept of CO2 storage in geological formations through hydrate formation. Subsequent studies have demonstrated that CO2 can form stable hydrate layers under the high-pressure, low-temperature conditions of the seabed, which act as a barrier to the upward migration of CO2, effectively reducing the risk of leakage [13]. According to research, the stability of carbon dioxide hydrate is influenced by multiple factors. The stability of CO2 hydrate layers is primarily determined by environmental factors such as temperature, pressure, and salinity, as well as the structural integrity of the surrounding sediments. Qanbari et al. [14] further investigated the dynamic changes in pressure and temperature caused by CO2 injection and hydrate formation, highlighting the potential upward movement of CO2 toward the seabed due to these changes. At the laboratory scale, Kim et al. [15] injected liquid CO2 into the base of fine sand sediments to study the process of hydrate formation, indirectly confirming the favorable strength and low permeability of hydrates. Yu et al. [16] used the TOUGH-hydrate simulator to model the morphology of hydrates formed at different locations in sandy sediments within a 400 mL reactor, demonstrating that hydrate formation speed and saturation were highest at the boundaries of the reactor, with the leading edge of CO2 diffusion controlling the hydrate distribution pattern. Building on these studies, Qureshi et al. [17] experimentally simulated the formation of CO2 hydrate on an artificial quartz sand bed at a seawater depth of 1000 m and examined its stability over a 14–30-day period, validating the feasibility of this carbon sequestration method.
These studies, through both experimental and simulation approaches, have confirmed that the rate of CO2 hydrate formation and its stability are closely related to seabed temperature and pressure conditions. However, despite the progress made, CO2 hydrate sequestration still faces several challenges. First, the formation of hydrates during the sequestration process releases heat, which raises local temperatures and may inhibit further hydrate formation. Additionally, without external interventions, the upward migration of CO2 within seabed sediments is a common occurrence, increasing the risk of long-term leakage [18]. Furthermore, scaling up sequestration techniques presents difficulties, particularly in terms of the operational complexity of the injection process and the potential impacts on the seabed environment, which remain unresolved. Therefore, optimizing CO2 hydrate formation conditions, managing heat release, and reducing CO2 migration are central challenges in current research. To address these issues, researchers are exploring strategies such as adjusting injection methods and controlling temperature and pressure to improve sequestration efficiency.
In response to these challenges, this study proposes injecting cold seawater as a means to offset the heat generated during hydrate formation, thereby promoting hydrate stability. The aim is to accelerate the formation of CO2 hydrates by lowering temperatures and increasing pressure. The injection of cold seawater effectively counteracts the heat released during hydrate formation, enhancing the stability of the hydrate. Theoretically, this method can also improve the safety of long-term storage. A custom-built simulator was employed to develop a field reaction model to verify the feasibility of this approach. First, an improvement in reservoir temperature and pressure conditions through cold seawater injection was demonstrated. Next, the short-term multiphysical evolution and long-term storage effects (over 100,000 years) of CO2 sequestration in the form of hydrate were simulated. Finally, the study focused on the impact of cold seawater injection volumes on carbon sequestration efficiency, providing new theoretical insights and technical support for subsea CO2 hydrate sequestration.
2. Model Construction
2.1. Numerical Simulation Methods
Sequestering carbon dioxide in subsea sediments in the form of hydrate is a highly complex physico-chemical process involving multiphase, multicomponent flow, heat transfer, and chemical reactions across multiple physical fields. To simulate this process, this study employed the self-developed thermo-hydro-mechanical-chemical (THMC) coupled simulation software IGG-hydrate (https://gitee.com/geomech/hydrate (accessed on 30 July 2024)). This software has been validated across multiple scales, including laboratory experiments, classical models, and field conditions, with several related studies already published [19,20,21]. Fluid flow transports heat and CO2, which, in turn, alters local temperature and phase behavior. The specific details are as follows: The solution process begins with the application of the finite volume method to solve the flow field. By combining the flow and mass conservation equations, the flow rate is expressed in terms of pressure. These pressure equations are then converted into a linear system, which is solved to determine the pressures and flow rates in each grid. Next, the heat convection process is simulated by transferring the sensible heat of the fluids across the grid system based on flow rate and fluid temperature. Following this, heat conduction is addressed using the finite volume method, with the system of grid temperatures solved via a linear system. Finally, the dissociation and formation of methane hydrate are modeled. Changes in hydrate mass result in variations in temperature and pressure, which, in turn, influence hydrate dissociation and formation. The dichotomy method is employed to calculate the changes in methane hydrate, as well as to handle the dynamic equilibrium between water and ice.
The focus of this study is on the effects of cold seawater injection in improving the subsea environment, the formation of CO2 hydrate, the migration of CO2 components, and the changes in multiphysical fields caused by phase transitions. The physico-chemical processes involved in the model are broadly categorized into three parts: fluid phase flow, heat transfer, and phase transitions. The specific governing equations used in the model are as follows:
The flow of various components in the simulation model is critical throughout the simulation process. It is assumed that the flow of each fluid phase (gas, water, light oil, heavy oil) follows Darcy’s law, expressed as:
where is the Darcy velocity vector (m·s−1), is the intrinsic permeability (m2), is the relative permeability, which is the ratio of effective permeability to intrinsic permeability (dimensionless), is the fluid viscosity (Pa·s), is the fluid pressure (Pa), is the fluid density (kg·m−3), and is the gravitational vector (m·s−2). The subscript represents the corresponding fluid phase. For simplification, it is assumed that is a function of the saturation , while both density and viscosity are functions of fluid temperature and pressure.
In multiphase flow, relative permeability plays a crucial role in determining the flow resistance of each phase. The relative permeability for each phase is calculated using a modified Stone’s method [22]:
where is the residual saturation of the corresponding phase, and is the permeability decay exponent, determined by reservoir properties.
The mass conservation equation is given as:
where is the porosity, is time (s), and is the saturation of component , with the sum of saturations of all phases within the pore space equaling 1.
Heat transfer involves two fundamental processes: heat conduction and heat convection. Heat conduction refers to the transfer of heat due to temperature gradients, while heat convection is typically the primary mechanism involving the transport of heat by fluid movement, which also induces fluid flow. The heat transfer in this model incorporates both processes, expressed as:
where is the heat flux, is the specific heat capacity (J·kg−1·K−1), is the thermal conductivity (W·m−1·K−1), and is the temperature (K). According to the principle of energy conservation, the temperature change depends on heat transfer, expressed as:
where is the bulk density (kg·m−3), and is the specific heat capacity of the porous medium (J·kg−1·K−1). The use of an explicit method for reaction calculations avoids the need to consider latent heat from reactions when calculating heat transfer.
The phase transitions considered in the simulation include the transformation between CO2, water, and hydrate. It is generally understood that hydrate formation is controlled by fluid pressure and temperature, with a phase equilibrium curve existing in the pressure–temperature coordinate system. On one side of this equilibrium curve, CO2 and water exist in fluid form, while on the other side, they exist as CO2 hydrate. According to the model settings, dissolved CO2 is not allowed to convert into CO2 hydrate. Teng et al. [13] discussed that CO2 hydrate formation also operates on the assumption that CO2 dissolved in undersaturated conditions does not form hydrate. However, at pressures exceeding 10 MPa, undersaturated dissolved CO2 may potentially lead to unexpected hydrate formation. Nevertheless, there is currently insufficient quantitative data to fully substantiate this conclusion. As a result, our research focuses on discussing the risks of carbon sequestration within a more secure system framework. The hydrate phase equilibrium curve used in the simulator is based on the data provided by Larson [23]. In this context, we considered the inhibitory effect of salinity on hydrate formation [24]. Our setup involves real-time interpolation to modify the hydrate phase equilibrium curve based on salinity, with an initial salinity value of 0.0315 [25]. The solubility model for carbon dioxide, as a function of temperature and pressure, was interpolated using data from existing literature [26,27].
2.2. Model Concept
This study constructed a subsea reservoir model for CO2 sequestration using a horizontal well based on the developed simulator. To better investigate solute migration and the spatiotemporal evolution of multiphase flows, an isotropic model of subsea sediments was established. For the specific parameter settings, we referenced various methane-hydrate-rich subsea formations. Investigations indicate that natural gas hydrate zones are typically found at depths of over 1000 m in seawater, with hydrates occurring in sediments more than 200 m below the seafloor [28]. Zheng et al. [11] estimated the marine sequestration potential of carbon dioxide hydrate based on the occurrence of natural gas hydrates. Zheng et al. estimated the capacity to be around 221,000 GtCO2 (equivalent to 60,300 GtC) from this. Given that the oceans cover the largest area on Earth, the CO2 sequestration sites we have outlined are indeed considerable in scale. Based on these conditions, we assumed appropriate temperature and pressure conditions for the model. The pore pressure in the model is set to vary linearly with depth, and the formation temperature is calculated as the product of the depth and the geothermal gradient. Similarly, the model’s physical parameters, such as porosity and permeability, were reasonably set according to previous studies, as detailed in Table 1 [29,30,31,32]. Considering that horizontal permeability in formations is generally greater than vertical permeability, different permeability values were assigned for these two directions.
Table 1.
Model parameter settings.
The injected cold seawater was taken from the seafloor, with a temperature of 275.65 K. This seawater, when injected into the reservoir at a certain depth, can reduce the temperature due to the geothermal gradient. The same well was used for both cold seawater and CO2 injection, a design that could significantly reduce costs in practical engineering applications. The horizontal well is located 150 m below the seafloor. Considering the symmetry of the model, the lateral extent of the study area was set to 300 m. Based on the temperature and pressure gradients along with the boundary conditions, the boundary of our hydrate phase equilibrium zone is located 165 m below the seabed. Therefore, to facilitate the rapid formation of injected carbon dioxide hydrates, we selected an injection well position at 150 m beneath the seafloor. Deeper well locations would result in a greater proportion of the injected CO2 dissolving into the aqueous phase, preventing the formation of carbon dioxide hydrate and potentially leading to increased leakage. Conversely, shallower injection well positions would place the hydrate formation too close to the seafloor, introducing safety concerns. Furthermore, based on our preliminary trial-and-error calculations, a lateral extension distance of 300 m is sufficient for this CO2 sequestration model, as larger simulation settings have minimal impact on the computational results. A conceptual schematic of the model is shown in Figure 1. As illustrated in Figure 2, the CO2 sequestration model during the simulation includes three distinct phases: the water injection phase (0–10 years), the CO2 injection phase (10–30 years), and long-term evolution (30–100,000 years). The following sections will focus on different aspects of the physical fields during each of these phases.
Figure 1.
Schematic representation of the numerical simulation domain used for CO2 sequestration and hydrate formation modeling. The domain dimensions are 300 m in the horizontal (x) direction and 300 m in the vertical (z) direction. The top boundary corresponds to the seafloor and is set to be isothermal and at constant pressure. Cool water and CO2 are injected at a depth of 150 m. This model follows the symmetry setting.
Figure 2.
Timeline of the injection and evolution stages during the CO2 sequestration process. The simulation begins with a water injection stage lasting for 10 years, where cool water is injected into the reservoir to induce hydrate formation and precondition the environment for CO2 injection. This is followed by the CO2 injection stage, which spans from year 10 to year 30, during which CO2 is injected into the formation to form CO2 hydrates. After the injection processes are completed, the system enters a long-term evolution stage that extends up to 100,000 years, focusing on the long-term stability and evolution of CO2 hydrates and associated environmental impacts within the reservoir.
3. Results
3.1. Water Injection Process
First, we focused on observing the effects of the water injection phase on the temperature field of the reservoir. As shown in Figure 3, the diagram clearly illustrates the changes in temperature distribution within the subsea sediments following the injection of cold seawater. It can be observed that after the injection, the cooling zone gradually expands outward from the injection point. At year 3, the cooling effect is concentrated around the injection point. As time progresses, by year 6, the cooling zone extends to deeper sediment layers and spreads horizontally, with a noticeable enhancement in the cooling effect. By year 9, the volume of the cooling zone has significantly increased, indicating that the cold seawater injection has a sustained and profound impact on the temperature field of the sediments.
Figure 3.
Temperature distribution within the hydrate reservoir at different times during the water injection stage. The plots represent temperature profiles at (a) 3 years, (b) 6 years, and (c) 9 years after the start of cool water injection. The color bar indicates the temperature scale ranging from 275 K (blue, cooler regions) to 285 K (red, warmer regions).
Figure 4 further quantifies the evolution of the cooling zone over time. The cooling area is defined as the area in a two-dimensional cross-section perpendicular to the horizontal well, where the temperature has decreased by 1 K compared with the initial temperature. The results show a nearly linear growth trend in the cooling area, demonstrating that the cooling effect of cold seawater injection continuously expands over the 10-year period. By year 10, the cooling area exceeds 5000 square meters, indicating that long-term cold seawater injection effectively cools a large volume of sediments.
Figure 4.
Evolution of the cooling area over time. The cooling area is defined as the region where the temperature has decreased by 1 K relative to the original temperature.
From the temperature distribution maps and the cooling area evolution curve, it can be concluded that cold seawater injection exhibits a strong cooling capacity in subsea sediments, and the cooling effect increases linearly with injection time. This significant reduction in the temperature of the sediments provides favorable conditions for the stable formation of hydrate.
3.2. CO2 Injection Process
During the 20-year process of CO2 injection into subsea sediments, we focused on the evolution of CO2 hydrate formation and associated thermodynamic changes. Figure 5 illustrates the cumulative mass of CO2 hydrate over the period from year 10 to year 30, alongside the ratio of carbon dioxide required for hydrate formation to the injected carbon dioxide. The curve representing the cumulative mass of carbon dioxide hydrate shows a clear nonlinear growth trend: in the early stages of injection, hydrate mass increases rapidly, but as the system approaches a new equilibrium, the growth rate slows down. By the end of year 30, the CO2 hydrate mass within a 1 m thick layer perpendicular to the horizontal well exceeds 250 tons. This trend indicates that in the early injection stage, favorable thermodynamic conditions and an ample supply of water and CO2 promote rapid hydrate formation. As hydrate accumulates, the system experiences diffusion limitations, such as reduced diffusion of CO2 and water to the surrounding area and the exothermic nature of hydrate formation, which collectively lead to a slowdown in reaction kinetics. Due to the more favorable seafloor environment for the formation of carbon dioxide hydrates in the early stages, the initial conversion rate of carbon dioxide hydrate is relatively high. However, as carbon dioxide hydrates continue to form, the kinetics of the reversible reaction diminish under the influence of negative feedback effects, resulting in a sustained decrease in the conversion rate of the hydrates. By the end of the injection phase, the conversion rate of carbon dioxide hydrates stabilizes at approximately 0.2.
Figure 5.
Evolution of CO2 hydrate mass and conversion ratio of CO2 hydrate over time during CO2 injection. The conversion ratio of carbon dioxide hydrate represents the ratio of the amount of carbon dioxide required for the formation of carbon dioxide hydrate to the amount of injected carbon dioxide.
Figure 6 presents the spatial distribution of the hydrate mass fraction within the reservoir at years 15, 20, and 30. At year 15, hydrate is primarily concentrated near the injection zone. Over time, CO2 hydrate continues to spread outward from the injection point. By year 30, the hydrate formation zone has significantly expanded, but the hydrate mass fraction decreases with increasing distance from the injection point. The highest concentration remains near the injection area, highlighting the importance of continuous cold seawater injection to maintain the low-temperature conditions required for hydrate formation. Meanwhile, there is a slight decrease in hydrate content around the injection well.
Figure 6.
CO2 hydrate mass fraction distribution at different time points during the CO2 injection process. The plots represent CO2 hydrate mass fraction profiles at (a) 15 years, (b) 20 years, and (c) 30 years. The color bar indicates the hydrate mass fraction scale ranging from 0 to 0.3.
Figure 7 shows the temperature distribution within the reservoir at years 15, 20, and 30 during the CO2 injection period. By the end of year 10, cold seawater injection has reduced temperatures around the injection well. By year 15, five years after CO2 injection began, a noticeable increase in temperature is observed around the wellbore. This warming is due to the combined effects of 290 K liquid CO2 injection and the exothermic heat release from hydrate formation. At the same time, a clear cooling front can be seen around the periphery of the warming zone. At this stage, the warming zone is still smaller than the initial cooling region. As time progresses, the cooling front gradually dissipates. The warming zone within the reservoir correlates closely with the hydrate formation zone.
Figure 7.
Temperature distribution at different time points during the CO2 injection process. The plots represent temperature profiles at (a) 15 years, (b) 20 years, and (c) 30 years. The color bar indicates the temperature scale ranging from 275 to 285.
The analysis of the injection phase indicates that the pre-injection of cold seawater followed by CO2 sequestration leads to the formation of a significant amount of hydrate within the reservoir. Hydrate mass continues to increase over time, with localized high hydrate saturation near the injection well, indicating effective hydrate conversion within a limited radius. The cooling zone plays a crucial role in this process. By the end of the simulation period, the system gradually stabilizes, and the hydrate formation rate slows down.
3.3. Long-Term Storage Process
During the long-term evolution following CO2 injection (100,000 years), we focused on the evolution of liquid CO2, dissolved CO2, CO2 hydrate, and CO2 leakage. Figure 8 illustrates the changes in the temperature field within the sediment layer during CO2 storage over time. The three panels represent temperature distributions at 50, 100, and 500 years, respectively. At year 50, the temperature increase caused by ongoing hydrate formation is still significant. Over time, the surrounding strata that are farther from the wellbore gradually return to their original formation temperatures. By year 500, the temperature field stabilizes.
Figure 8.
Temperature distribution at different time points over the long-term process. The plots represent temperature profiles at (a) 50 years, (b) 100 years, and (c) 500 years. The color bar indicates the temperature scale ranging from 275 to 285.
Figure 9 shows the changes in the mass fraction of liquid CO2 at various times following cold seawater injection. At year 30, right after CO2 injection ceased, liquid CO2 is highly concentrated around the wellbore. As time progresses, liquid CO2 gradually diffuses, and its mass fraction decreases. By year 100, the concentration of liquid CO2 has significantly diminished, with some of it having converted into hydrate or dissolved in pore water. By year 300, the mass fraction of liquid CO2 further decreases, with its distribution range shrinking and only a small amount of liquid CO2 remaining near the area above the injection point.
Figure 9.
Distribution of liquid CO2 at different time points over the long-term process. The plots represent liquid CO2 mass fraction profiles at (a) 30 years, (b) 100 years, and (c) 300 years. The color bar indicates the liquid CO2 mass fraction scale ranging from 0 to 0.15.
Figure 10 shows the temporal changes in the mass fraction of dissolved CO2 at 100, 1000, and 5000 years, reflecting the process by which CO2 diffuses into the surrounding medium, gradually dissolves, and eventually escapes to the seabed surface. Dissolved CO2, which cannot be converted into CO2 hydrate, is the main source of CO2 leakage. The findings indicate that after injection ceases, CO2 continues to dissolve and spread into larger areas over time. Influenced by gravity and the hydrodynamics of the formation of water, it ultimately leaks out entirely.
Figure 10.
Distribution of dissolved CO2 at different time points over the long-term process. The plots represent dissolved CO2 mass fraction profiles at (a) 100 years, (b) 1000 years, and (c) 5000 years. The color bar indicates the dissolved CO2 mass fraction scale ranging from 0 to 0.1.
Figure 11 shows the evolution of CO2 hydrate mass fraction at 50, 100, and 1000 years, reflecting the gradual conversion of CO2 into hydrate within the reservoir. Liquid CO2 is the sole source for CO2 hydrate formation. After injection stops, the distribution of CO2 hydrate expands significantly, with an upward migration trend becoming evident. As the most stable form of CO2 during the sequestration process, CO2 hydrate eventually reaches a dynamic equilibrium. An interesting phenomenon observed is the formation of a double-layer hydrate shell (CO2 hydrate high-saturation zones) under the condition of prior cold seawater injection. The mechanism behind this is as follows: When cold seawater is injected into the reservoir, the low temperature of the seawater rapidly lowers the temperature around the injection point. This temperature drop brings the local region close to or below the hydrate formation threshold, creating favorable conditions for the initial rapid formation of CO2 hydrate. In the early stages of sequestration, hydrate primarily forms near the injection point, creating a high-saturation inner hydrate shell. This initially formed hydrate zone acts as a barrier to further CO2 migration, as the formation of hydrate consumes available CO2 and reduces local permeability, slowing the diffusion rate of CO2 and promoting its accumulation. Over time, CO2 gradually diffuses outward beyond the inner hydrate shell. In the outer regions, closer to the seafloor, conditions remain favorable for hydrate formation due to appropriate temperature and pressure. As a result, CO2 continues to convert into hydrate, forming a second high-saturation zone, or outer hydrate shell. The formation of this double-layer hydrate shell resembles a self-reinforcing sequestration mechanism. The presence of the double-layer hydrate shell creates a natural barrier for CO2 storage. This means that the inner and outer shells mutually reinforce each other to some extent, further enhancing the stability of sequestration. This mechanism relies on the temperature variations induced by cold seawater injection and the self-reinforcing nature of CO2 hydrate formation.
Figure 11.
Distribution of CO2 hydrate at different time points over the long-term process. The plots represent CO2 hydrate mass fraction profiles at (a) 50 years, (b) 100 years, and (c) 1000 years. The color bar indicates the CO2 hydrate mass fraction scale ranging from 0 to 0.4.
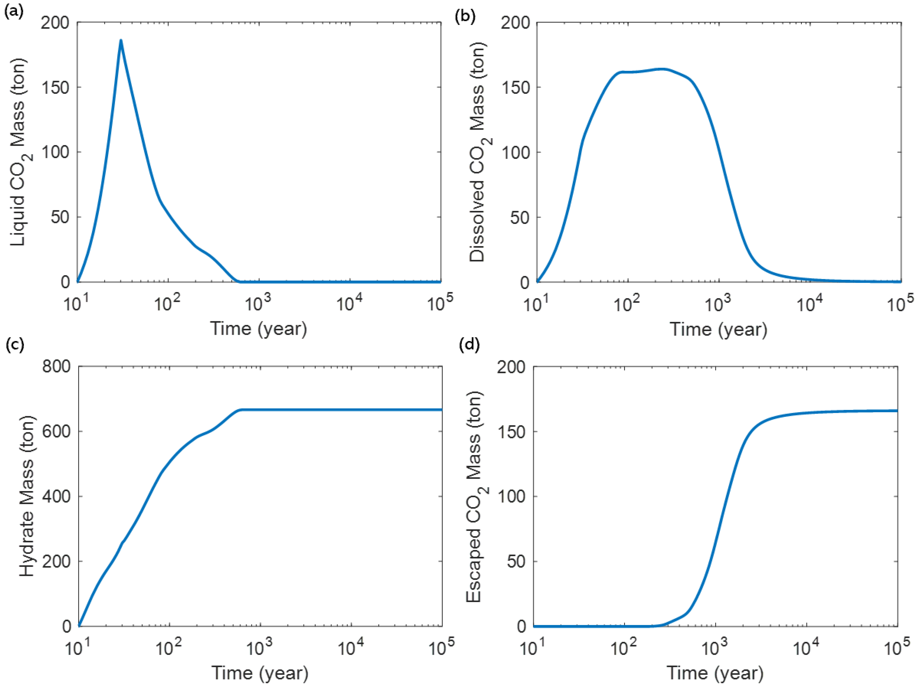
At year 30, CO2 injection ceased, resulting in a peak in the mass of liquid CO2, which reached nearly 200 tons (Figure 12a). After this peak, the mass of liquid CO2 rapidly declined, nearing zero around year 500. The rapid reduction in liquid CO2 can be attributed to two concurrent processes: the formation of CO2 hydrate and the dissolution of CO2 into the surrounding pore water. By year 500, almost all of the liquid CO2 had converted into either hydrate or dissolved form, indicating that the system had transitioned from a dynamic phase to a more stable state, with liquid CO2 no longer playing a significant role in the sequestration process.
Figure 12.
Long-term evolution curves of (a) liquid CO2, (b) dissolved CO2, (c) hydrate mass, and (d) leaked CO2 mass over time. The horizontal axis represents time on a logarithmic scale, and the units of the vertical axis are all in tons.
The mass of dissolved CO2 increased alongside the CO2 injection process, peaking at approximately 160 tons around year 70. The initial rise was due to the dissolution of injected liquid CO2 into the surrounding water. However, after reaching this peak, the mass of dissolved CO2 began to slowly decrease and approached zero by around year 10,000. This decline corresponds entirely to the process of CO2 escaping from the system, with all dissolved CO2 ultimately leaking out by year 10,000.
The formation of CO2 hydrate represents the most stable and ideal outcome for long-term storage. The mass of hydrate increased significantly during the first 600 years, eventually stabilizing above 600 tons. This indicates that a substantial portion of the injected CO2 had been converted into hydrate, a phase that remains highly stable under deep-sea conditions. The hydrate mass remained essentially unchanged after year 600, demonstrating that the strategy of pre-injecting cold seawater effectively facilitated the formation of stable hydrate. The long-term stability of the hydrate mass suggests that hydrate is the dominant mechanism for CO2 sequestration, with minimal leakage risk over extended periods.
During the first 300 years of simulation, no CO2 leakage was observed. However, after this period, the amount of leaked CO2 began to rise sharply, reaching over 150 tons by year 10,000. All of the leaked CO2 originated from dissolved CO2 escaping above the seabed surface. This trend highlights the need for careful risk assessment and monitoring of leakage throughout the long-term sequestration process.
The entire system demonstrated a transition from an initial dynamic state to a more stable state dominated by CO2 hydrate. Hydrate formation occurred rapidly during the first 100 years and remained stable for most of the observed period. Compared with other phases, hydrate exhibits a stronger capacity for long-term sequestration. This process underscores the effectiveness of the CO2 sequestration strategy, particularly with cold water injection, in promoting the stable formation of hydrate. However, the delayed onset of CO2 leakage suggests that the long-term geological evolution of the storage reservoir warrants further attention, with additional research needed into reservoir conditions and strategies to mitigate long-term leakage risks.
3.4. The Impact of Cold Seawater Injection Rate
This section focuses on the process of sequestering carbon dioxide in the form of hydrate within subsea sediments, with particular emphasis on the evolution of hydrate mass, the mass of leaked CO2, and the distance between the top of the hydrate layer and the seafloor under different rates of cold seawater injection. The injection rate of cold seawater, ranging from 0 to 3 tons/day/m, was used as the variable in this analysis.
Figure 13a shows the variation in hydrate mass over time under cold seawater injection rates of 0, 1, 2, and 3 tons/day. Hydrate formation is concentrated mainly in the first 600 years. The injection rate has a noticeable impact on the efficiency of hydrate formation, with cold seawater injection significantly enhancing the rate of hydrate formation in the early stages. As the injection rate increases, there is a corresponding increase in the final accumulated hydrate mass. By reducing sediment temperature, cold seawater injection promotes CO2 hydrate formation, thereby improving sequestration efficiency. This demonstrates that cold seawater injection can effectively enhance hydrate formation during CO2 sequestration. Particularly at higher injection rates, the formation of hydrate occurs more rapidly, which is crucial for the early accumulation of CO2 hydrate.
Figure 13.
Evolution of (a) hydrate mass, (b) leaked CO2 mass, and (c) safety distance between the top of the CO2 hydrate and the seafloor under different cold seawater injection rates. The variations in hydrate mass and leaked CO2 mass over time are presented using a logarithmic time scale. The injection rate of cold seawater is expressed in tons per day per meter of horizontal well. The safety distance refers to the distance between the top of the CO2 hydrate layer and the seafloor.
Figure 13b illustrates the trend of CO2 leakage mass over time. Compared with scenarios without cold seawater injection, the early-stage modification by injecting cold seawater has no significant impact on CO2 leakage. This is because, although the injection of cold seawater promotes the early formation of hydrate, the associated pressure increase also enhances CO2 solubility in water. As a result, the opposing effects of these two factors lead to negligible differences in the amount of CO2 leakage. Overall, there is little variation in total leaked CO2 mass across different cold seawater injection rates. This indicates that while cold seawater injection improves hydrate formation efficiency, it has a limited effect on suppressing long-term CO2 leakage. Over longer timescales, the leakage trend converges across different injection rates, although higher injection rates show a slight advantage in reducing long-term leakage volumes.
Figure 13c presents the evolution of the distance between the top of the hydrate layer and the seafloor as a function of the cold seawater injection rate. This value is indicative of the long-term safety of CO2 hydrate sequestration, as a greater distance between the hydrate and the seafloor reduces the impact of geological disturbances on the stability of sequestration, enhancing long-term security. As the injection rate increases, there is a significant increase in the distance between the top of the hydrate layer and the seafloor. Without cold seawater injection, hydrate formation is relatively slow, and the distance from the seafloor remains small, approximately 5 m. However, at an injection rate of 3 tons/day, the distance can reach approximately 22 m, greatly improving the safety of CO2 hydrate sequestration. This indicates that cold seawater injection not only promotes hydrate formation but also alters the distribution of hydrates. Higher injection rates increase the safety buffer, reducing the likelihood of hydrate forming near the seafloor, thereby lowering the risk of CO2 leakage due to hydrate dissociation.
Overall, the impact of the cold seawater injection rate on the CO2 sequestration process is primarily reflected in the efficiency and distribution of hydrate formation. Higher injection rates accelerate the early formation of hydrate and increase the safety distance between the hydrate and the seafloor. However, the trend of CO2 leakage persists in the long term. Over time, there is minimal difference in total leaked CO2 mass across different injection rates. While cold seawater injection improves sequestration efficiency and safety to some extent, future research should focus on strategies to mitigate the risk of leakage over extended timescales.
Figure 14 clearly illustrates the significant impact of different cold seawater injection rates on CO2 hydrate formation, specifically reflected in the morphological differences of high-saturation hydrate zones. Without cold seawater injection, hydrate formation is primarily concentrated in the upper, shallower regions. This occurs because the temperature in these areas is lower, allowing CO2 to more readily react with the surrounding water to form hydrate. The high-saturation zone exhibits a spontaneous formation characteristic, indicating that hydrate generation at this stage is driven by the local natural temperature gradient. Due to the absence of an external cooling source, the high-saturation region is confined to areas near the surface, resulting in a relatively shallow safety distance for the hydrate layer. The distance between the top of the hydrate layer and the seafloor is short, almost touching the top of the model. Since the hydrate formation zone is close to the seafloor, any potential dissociation of hydrate could lead to the direct release of CO2 into the seawater, significantly increasing environmental risks and safety hazards. Therefore, the CO2 sequestration safety under a 0 ton/day injection rate is relatively low. When cold seawater is injected at a rate of 1 ton/day, the hydrate distribution changes noticeably. The injection of cold seawater causes a significant drop in temperature near the injection area, making it the primary location for initial hydrate formation. This indicates that cold seawater injection promotes the reaction between CO2 and surrounding water, enhancing hydrate formation in the lower regions. The safety distance from the top of the hydrate layer to the seafloor also increases significantly. As the cold seawater injection rate is further increased, the morphology and distribution of the hydrate shell are further optimized. The high-saturation zone becomes more continuous and uniform in shape, and the overall hydrate formation range expands significantly. This suggests that the cold seawater effectively diffuses, lowering the temperature over a broader area and promoting hydrate formation at deeper levels. The hydrate shell takes on a more regular shape, and the distance between the top of the hydrate layer and the seafloor gradually increases. This not only enhances the storage capacity of the hydrate but also provides a longer migration path for any CO2 released during hydrate dissociation, thereby greatly reducing the risk of leakage. At a cold seawater injection rate of 3 tons/day, the bottom boundary of the high-saturation hydrate zone extends closer to the wellbore area. Compared with other injection rates, the 3 ton/day injection results in more uniform and regular hydrate formation, significantly increasing the continuity of the high-saturation hydrate zone. At this injection rate, the height of the hydrate shell’s top further decreases, providing a higher safety factor for CO2 sequestration. These results indicate that higher cold seawater injection rates effectively promote the CO2 hydrate formation reaction, enhancing the long-term stability of the storage reservoir. The distance between the top of the hydrate layer and the seafloor increases progressively with higher injection rates, representing an improvement in the safety factor of the CO2 sequestration system. Increasing the cold seawater injection rate can effectively enhance the safety distance, thereby reducing the leakage risk of the sequestration system.
Figure 14.
Final distribution of hydrate saturation under different cold water injection rates: (a) 0 ton/day, (b) 1 ton/day, (c) 2 ton/day, (d) 3 ton/day. The color bar indicates the CO2 hydrate mass fraction scale ranging from 0 to 0.4.
4. Discussion
In this study, several assumptions were made to simplify the complex processes involved in CO2 sequestration via hydrate formation. While these assumptions facilitate the development of the model, they also introduce certain limitations that should be addressed.
First, we assumed a fixed geothermal gradient of 44.3 K/km, which is indeed relatively high compared with sites such as Sleipner, where the gradient is approximately 31.7 K/km. This assumption was based on regional geothermal data specific to the study area, but it limits the broader applicability of the findings to other regions with lower geothermal gradients. A higher geothermal gradient accelerates the dissipation of heat in the reservoir, which may enhance or inhibit hydrate formation depending on local conditions. Future studies could evaluate the impact of a range of geothermal gradients to assess the sensitivity of the model to this parameter and extend its applicability to more varied geological settings.
Another key assumption concerns cap rock properties, particularly porosity and permeability. In this study, we used representative values from methane-hydrate-rich regions, but these properties vary significantly across different formations. Cap rock permeability is particularly critical, as it governs the upward migration of CO2 and the effectiveness of the cap rock in trapping CO2 and preventing leakage. A sensitivity analysis of cap rock porosity and permeability could provide deeper insights into the risks associated with CO2 leakage and the long-term stability of the hydrate layers.
Additionally, the model focused primarily on the injection rate of cold seawater as the main variable influencing hydrate formation. While we demonstrated that higher injection rates can enhance hydrate formation and increase the safety distance between hydrate layers and the seafloor, other parameters—such as the injection temperature—also play a significant role. A higher injection temperature could reduce the efficiency of hydrate formation by raising local reservoir temperatures. Conversely, lower injection temperatures may enhance cooling but could lead to operational challenges such as freezing of equipment. Comparing the effects of various injection temperatures would thus provide a more comprehensive understanding of how different operational conditions influence the sequestration process.
Finally, while the model assumes an idealized scenario with homogeneous sediment composition, in reality, variations in sediment structure—such as the presence of layers with different thermal conductivities or permeability—could significantly affect the spatial distribution of hydrate formation. Further refinement of the model to account for heterogeneous formations would improve its accuracy in predicting real-world CO2 sequestration performance.
5. Conclusions
This study proposes a novel method to enhance the sequestration of carbon dioxide in subsea sediments by injecting cold seawater in advance to promote CO2 hydrate formation. The research is based on simulations conducted using a self-developed model to analyze the entire sequestration process. The focus of the study includes temperature regulation in subsea sediments following cold seawater injection, the evolution of multiphysical fields during CO2 injection and long-term sequestration, and the impact of varying cold seawater injection volumes on the sequestration process. The following conclusions were drawn:
- The injection of cold seawater significantly improves the temperature and pressure conditions of the subsea sediments, creating a favorable environment for early hydrate formation and greatly enhancing the initial rate of CO2 hydrate formation.
- Cold seawater injection alters the distribution pattern of hydrate saturation, resulting in the formation of a double-layer hydrate shell.
- In the long term, early cold seawater injection does not significantly reduce the amount of CO2 leakage. However, it increases the safety distance between the top of the hydrate layer and the seafloor, thus improving the safety factor for long-term CO2 hydrate sequestration.
Author Contributions
Z.Z., conceptualization, formal analysis, methodology, software, validation, writing—original draft, writing—review and editing. Y.L., investigation, methodology, software, visualization, writing—original draft. S.L., formal analysis, investigation, project administration, supervision. J.H., formal analysis, investigation. Z.X., investigation, visualization. X.L., project administration, supervision. C.L., project administration, supervision. X.Q., project administration, supervision. All authors have read and agreed to the published version of the manuscript.
Funding
This research is supported by the Joint Geological Funds of the National Natural Science Foundation of China (U2244223), the Guangdong Major Project of Basic and Applied Basic Research (2020B0301030003).
Institutional Review Board Statement
Not applicable.
Informed Consent Statement
Not applicable.
Data Availability Statement
The data presented in this study are available in the result sections in this article.
Conflicts of Interest
The authors declare no conflicts of interest.
References
- Cantore, N.; Padilla, E. Equality and CO2 Emissions Distribution in Climate Change Integrated Assessment Modelling. Energy 2010, 35, 298–313. [Google Scholar] [CrossRef]
- Chu, S.; Cui, Y.; Liu, N. The Path towards Sustainable Energy. Nat. Mater. 2017, 16, 16–22. [Google Scholar] [CrossRef]
- Chen, Y.; Liu, C.; Guo, S.; Mu, T.; Wei, L.; Lu, Y. CO2 Capture and Conversion to Value-Added Products Promoted by MXene-Based Materials. Green Energy Environ. 2022, 7, 394–410. [Google Scholar] [CrossRef]
- Inkong, K.; Rangsunvigit, P.; Chaisuwan, T.; Kulprathipanja, S. CO2 Adsorption on Polybenzoxazine Grafted Activated Carbon: Effects of Amine Precusor. Chem. Eng. Trans. 2016, 52, 103–108. [Google Scholar] [CrossRef]
- Golledge, N.R.; Kowalewski, D.E.; Naish, T.R.; Levy, R.H.; Fogwill, C.J.; Gasson, E.G. The Multi-Millennial Antarctic Commitment to Future Sea-Level Rise. Nature 2015, 526, 421–425. [Google Scholar] [CrossRef]
- Bui, M.; Adjiman, C.S.; Bardow, A.; Anthony, E.J.; Boston, A.; Brown, S.; Fennell, P.S.; Fuss, S.; Galindo, A.; Hackett, L.A.; et al. Carbon Capture and Storage (CCS): The Way Forward. Energy Environ. Sci. 2018, 11, 1062–1176. [Google Scholar] [CrossRef]
- Lackner, K.S. A Guide to CO2 Sequestration. Science 2003, 300, 1677–1678. [Google Scholar] [CrossRef]
- Lackner, K.S. Carbonate Chemistry for Sequestering Fossil Carbon. Annu. Rev. Energy 2002, 27, 193–232. [Google Scholar] [CrossRef]
- Niwa, K.; Kosugi, S.; Saito, T.; Kajishima, T.; Hamaogi, K. Correlations among the Design Factors of the CO2 Ocean Sequestration System, GLAD. Energy 2005, 30, 2308–2317. [Google Scholar] [CrossRef]
- Englezos, P. Extraction of Methane Hydrate Energy by Carbon Dioxide Injection-Key Challenges and a Paradigm Shift. Chin. J. Chem. Eng. 2019, 27, 2044–2048. [Google Scholar] [CrossRef]
- Zheng, J.; Chong, Z.R.; Qureshi, M.F.; Linga, P. Carbon Dioxide Sequestration via Gas Hydrates: A Potential Pathway toward Decarbonization. Energy Fuels 2020, 34, 10529–10546. [Google Scholar] [CrossRef]
- Koide, H.; Takahashi, M.; Shindo, Y.; Tazaki, Y.; Iijima, M.; Ito, K.; Kimura, N.; Omata, K. Hydrate Formation in Sediments in the Sub-Seabed Disposal of CO2. Energy 1997, 22, 279–283. [Google Scholar] [CrossRef]
- Teng, Y.; Zhang, D. Long-Term Viability of Carbon Sequestration in Deep-Sea Sediments. Sci. Adv. 2018, 4, eaao6588. [Google Scholar] [CrossRef]
- Qanbari, F.; Pooladi-Darvish, M.; Tabatabaie, S.H.; Gerami, S. CO2 Disposal as Hydrate in Ocean Sediments. J. Nat. Gas Sci. Eng. 2012, 8, 139–149. [Google Scholar] [CrossRef]
- Kim, H.-S.; Cho, G.-C. Experimental Simulation of the Self-Trapping Mechanism for CO2 Sequestration into Marine Sediments. Minerals 2019, 9, 579. [Google Scholar] [CrossRef]
- Yu, T.; Sato, T.; Nakashima, T.; Inui, M.; Oyama, H. An Integrated Model for CO2 Hydrate Formation in Sand Sediments for Sub-Seabed CO2 Storage. Int. J. Greenh. Gas Control 2016, 52, 250–269. [Google Scholar] [CrossRef]
- Qureshi, M.F.; Zheng, J.; Khandelwal, H.; Venkataraman, P.; Usadi, A.; Barckholtz, T.A.; Mhadeshwar, A.B.; Linga, P. Laboratory Demonstration of the Stability of CO2 Hydrates in Deep-Oceanic Sediments. Chem. Eng. J. 2022, 432, 134290. [Google Scholar] [CrossRef]
- Li, Q.; Wu, Z.; Li, X. Prediction of CO2 Leakage during Sequestration into Marine Sedimentary Strata. Energy Convers. Manag. 2009, 50, 503–509. [Google Scholar] [CrossRef]
- Zhang, Z.; Xu, T.; Li, S.; Li, X.; Montilla, M.J.B.; Lu, C. Comprehensive Effects of Heat and Flow on the Methane Hydrate Dissociation in Porous Media. Energy 2023, 265, 126425. [Google Scholar] [CrossRef]
- Zhang, Z.; Li, Y.; Li, S.; He, J.; Li, X.; Xu, T.; Lu, C.; Qin, X. Optimization of the Natural Gas Hydrate Hot Water Injection Production Method: Insights from Numerical and Phase Equilibrium Analysis. Appl. Energy 2023, 361, 122963. [Google Scholar] [CrossRef]
- Li, Y.; Zhang, Z.; Li, S.; Li, X.; Lu, C. Numerical Investigation of the Depressurization Exploitation Scheme of Offshore Natural Gas Hydrate: Enlightenments for the Depressurization Amplitude and Horizontal Well Location. Energy Fuels 2023, 37, 10706–10720. [Google Scholar] [CrossRef]
- Masuda, Y. Modeling and Experimental Studies on Dissociation of Methane Gas Hydrates in Berea Sandstone Cores. In Proceedings of the Third International Gas Hydrate Conference, Salt Lake City, UT, USA, 18–22 July 1999. [Google Scholar]
- Larson, S.D. Phase Studies of the Two-Component Carbon-Dioxide—Water System Involving the Carbon-Dioxide Hydrate. Ph.D. Thesis, University of Illinois, Champaign, IL, USA, 1955. [Google Scholar]
- Lee, J.; Chun, M.-K.; Lee, K.-M.; Kim, Y.-J.; Lee, H. Phase Equilibria and Kinetic Behavior of CO2 Hydrate in Electrolyte and Porous Media Solutions: Application to Ocean Sequestration of CO2. Korean J. Chem. Eng. 2002, 19, 673–678. [Google Scholar] [CrossRef]
- Wang, X.; Hutchinson, D.R.; Wu, S.; Yang, S.; Guo, Y. Elevated Gas Hydrate Saturation within Silt and Silty Clay Sediments in the Shenhu Area, South China Sea. J. Geophys. Res. Solid Earth 2011, 116, JB007944. [Google Scholar] [CrossRef]
- Carroll, J.J.; Slupsky, J.D.; Mather, A.E. The Solubility of Carbon Dioxide in Water at Low Pressure. J. Phys. Chem. Ref. Data 1991, 20, 1201–1209. [Google Scholar] [CrossRef]
- Dodds, W.S.; Stutzman, L.F.; Sollami, B.J. Carbon Dioxide Solubility in Water. Ind. Eng. Chem. Chem. Eng. Data Ser. 1956, 1, 92–95. [Google Scholar] [CrossRef]
- Boswell, R.; Myshakin, E.; Moridis, G.; Konno, Y.; Collett, T.S.; Reagan, M.; Ajayi, T.; Seol, Y. India National Gas Hydrate Program Expedition O2 Summary of Scientific Results: Numerical Simulation of Reservoir Response to Depressurization. Mar. Pet. Geol. 2019, 108, 154–166. [Google Scholar] [CrossRef]
- Fang, Y.; Flemings, P.B.; Daigle, H.; Phillips, S.C.; O’Connell, J. Permeability of Methane Hydrate-Bearing Sandy Silts in the Deep-Water Gulf of Mexico (Green Canyon Block 955). AAPG Bull. 2022, 106, 1071–1100. [Google Scholar] [CrossRef]
- Lee, J.; Kim, G.-Y.; Kang, N.; Yi, B.-Y.; Jung, J.; Im, J.-H.; Son, B.-K.; Bahk, J.-J.; Chun, J.-H.; Ryu, B.-J.; et al. Physical Properties of Sediments from the Ulleung Basin, East Sea: Results from Second Ulleung Basin Gas Hydrate Drilling Expedition, East Sea (Korea). Mar. Pet. Geol. 2013, 47, 43–55. [Google Scholar] [CrossRef]
- Moridis, G.J.; Collett, T.S.; Dallimore, S.R.; Satoh, T.; Hancock, S.; Weatherill, B. Numerical Studies of Gas Production from Several CH4 Hydrate Zones at the Mallik Site, Mackenzie Delta, Canada. J. Pet. Sci. Eng. 2004, 43, 219–238. [Google Scholar] [CrossRef]
- Muraoka, M.; Ohtake, M.; Susuki, N.; Yamamoto, Y.; Suzuki, K.; Tsuji, T. Thermal Properties of Methane Hydrate-bearing Sediments and Surrounding Mud Recovered from Nankai Trough Wells. J. Geophys. Res. 2014, 119, 8021–8033. [Google Scholar] [CrossRef]
- Moridis, G.J.; Kowalsky, M.B.; Pruess, K. TOUGH+HYDRATE v1. 1 User’s Manual: A Code for the Simulation of System Behavior in Hydrate-Bearing Geologic. MediaLawrence Berkeley National Laboratory, University of California: Berkeley, CA, USA, 2009. [Google Scholar]
- National Institute of Standards and Technology. Welcome to the NIST WebBook. Available online: https://webbook.nist.gov/ (accessed on 2 September 2024).
- Qian, J.; Wang, X.; Collett, T.S.; Guo, Y.; Kang, D.; Jin, J. Downhole Log Evidence for the Coexistence of Structure II Gas Hydrate and Free Gas below the Bottom Simulating Reflector in the South China Sea. Mar. Pet. Geol. 2018, 98, 662–674. [Google Scholar] [CrossRef]
Disclaimer/Publisher’s Note: The statements, opinions and data contained in all publications are solely those of the individual author(s) and contributor(s) and not of MDPI and/or the editor(s). MDPI and/or the editor(s) disclaim responsibility for any injury to people or property resulting from any ideas, methods, instructions or products referred to in the content. |
© 2024 by the authors. Licensee MDPI, Basel, Switzerland. This article is an open access article distributed under the terms and conditions of the Creative Commons Attribution (CC BY) license (https://creativecommons.org/licenses/by/4.0/).













