Abstract
This study aimed to investigate the effects of planting density, irrigation volume, and nitrogen application on the resistance of rapeseed to lodging and yield and to provide technical support for achieving high yield and lodging resistance. We employed an L9 (34) orthogonal array, different planting densities, irrigation levels, and nitrogen applications to investigate their impact on rapeseed lodging and yield. The results showed the following: (1) Irrigation had the greatest effect on rapeseed lodging. This effect was most pronounced for the combination (A3B3C2), which exhibited the most severe lodging phenomenon (90%). Planting density had the greatest effect on yield, and the optimal combination was A2B2C3, which reached 3744 kg/hm2 in 2023 and 3420 kg/hm2 in 2024. (2) The agronomic practices increased the content of lignin, cellulose, hemicellulose, crude fiber, pectin, and soluble sugar fractions in the stalks by enhancing their flexural, puncture, and stress resistance. This led to the highest yield while reducing the rate of lodging. This emphasizes the importance of agricultural practices for rapeseed lodging and yield, providing critical insights into rapeseed cultivation in the Aksu region of Xinjiang.
1. Introduction
Rapeseed is an important oilseed crop globally because of its economic and nutritional value, owing to its high yield of edible oil [1]. It is also the largest oilseed crop in China, with a planting area of 7.253 million hectares [2]. Rapeseed lodging frequently occurs in daily production, significantly limiting the mechanization and production efficiency of the rapeseed industry. Consequently, much research has been carried out to elucidate the mechanisms of lodging in rapeseed exposed to various environmental factors and agronomic practices. There are two types of lodging in rapeseed: stem and root lodging (Figure 1D). Stem lodging refers to the bending or breaking of the basal internodes of rapeseed stalks, whereas root lodging is caused by plant tilting or lodging after the root system has been disturbed without affecting the integrity of the stalks [3]. Lodging resistance is mainly influenced by the genotype, mechanical factors (bending and puncture resistance), structural characteristics (vascular system), physiological traits (lignin, cellulose, crude fiber, hemicellulose, and pectin), non-structural carbohydrates (soluble sugars and starch) [4], and planting density, irrigation, and fertilizer applications; however, less attention has been paid to reducing lodging through agricultural practices [5]. Kale-type rapeseed (Brassica napus L.) is the most widely cultivated rapeseed variety in the world, owing to its excellent characteristics of high yield and strong resistance [6]. Nevertheless, implementing sound agronomic practices is also necessary to achieve high yields. Therefore, it is important to explore the influence of agronomic practices on agricultural production, particularly in terms of resistance to lodging and the yield composition of rapeseed.
Figure 1.
Introduction to the experimental background. (A): experimental site in Baicheng County, Aksu Region, Xinjiang Uygur Autonomous Region, China (In the diagram at the top right, we have marked the location of Xinjiang in China with pink, and the blue area is mean-ingless. The diagram in the center represents the topographical map of Xinjiang, where color indicates altitude, with red indicating high altitude and blue indicating low altitude); (B): irrigation-fertilizer integration setup at the experimental site; (C): experimental layout pattern (nine treatments according to the experimental design, with the colored shades representing the planting densities, the straight line representing the drip irrigation spreading, and the circle representing the nitrogen application tanks and the water meter); (D): two inverted rapeseed cases (lodging stem and lodging root).
Planting density is an important factor that affects the yield and economic benefits of rapeseed. Reasonably dense planting can effectively leverage the benefits of grouping and optimizing light energy utilization to achieve maximum production potential without affecting the plant size [7,8]. However, excessively high densities increase individual competition, cause serious lodging, reduce plant resistance, affect seed quality, and severely restrict the economic benefits [9,10]. The traditional irrigation methods cannot regulate the amount of irrigation water, which increases the risk of lodging [11]. Drip irrigation can achieve real-time water–fertilizer integration to ensure the accurate and quantitative transportation of water and fertilizer to the root zone. This method helps to reduce nutrient loss, enhances water and fertilizer use efficiency [12,13], and reduces the lodging rate. Nitrogen fertilizer is an essential element that determines crop growth and yield. However, excessive nitrogen fertilizer use causes the overgrowth of rapeseed and increases the lodging rate [14]. Improper cultivation practices can also increase the lodging rate of rapeseed. The main factors affecting rapeseed yield include the number of effective siliques per plant, the number of kernels per silique, and thousand-kernel weight [15]. The population density directly affects the yield of a single plant. As the planting density increases, rapeseed plants are affected, leading to a reduction in the photosynthetic area. This in turn affects the accumulation of dry matter [16] and ultimately affects the yield of individual plants. Production can be increased by applying nitrogen and irrigation. However, excessive nitrogen fertilizer and irrigation use can reduce the strength of the stalks, increase the lodging rate of rapeseed, and result in a reduced yield [17]. Few studies have investigated how planting density, water, and nitrogen reduction collectively affect rapeseed lodging. Therefore, this study focused on kale-type rapeseed as the experimental material to investigate the effects of different planting densities, nitrogen applications, and irrigation on lodging resistance and yield components of rapeseed. The effects of agronomic measures on rapeseed collapseability were analyzed in terms of appearance, microstructure, mechanical properties, and physiological properties. This study provides technical and theoretical support for improving the resistance of rapeseed in the Aksu region of Xinjiang.
2. Materials and Methods
2.1. Experimental Site and Plant Material
The experiment was conducted in a demonstration garden at the Baicheng Agricultural Experiment Station, Xinjiang Academy of Agricultural Sciences, Baicheng County, Aksu Region, Xinjiang, China (Figure 1A). The test site is located at 41°79′ N, 81°87′ E. It has a continental temperate arid climate, with a frost-free period of 133–163 days, and an average annual precipitation of 171.13 mm (Figure 2). The soil at the experimental site is brown desert soil [18], with 27.84 g/kg of organic matter, 55 mg/kg of alkaline nitrogen, 38.2 mg/kg of quick-acting phosphorus, 139 mg/kg of quick-acting potassium, a pH of 8.28, and an electrical conductivity of 329 us/cm. The previous crop grown was maize.
Figure 2.
Temperature and humidity records of the experimental site. Meteorological data were obtained from WheatA Little Malt-Agrometeorological Big Data System V1.5.7b.
‘Qingza–15’, a kale-type vernal Pollima cytoplasmic male sterile three-line hybrid, has a growth period of about 130 days in the spring rapeseed planting area. It has an average plant height of 158.7 cm and a uniform branching pattern. The variety has a field incidence of 2.6% for botrytis and a disease index of 1.0. It is highly resistant to botrytis and downy mildew infection. The erucic acid, sulfur glycosides, and average oil contents are 0.00%, 29.96 μmol/g, and 44.16%, respectively [19].
2.2. Experimental Design
The L9 (34) orthogonal experimental design was used in this study. The test plot area was 18 m2 (6 m × 3 m). Three replicates were used for each treatment (Figure 1C). The seeds were sown on 12 April 2023, and 15 April 2024. Using artificial strip sowing, and the density was determined between three and five seedling leaves harvested on 20 August 2023, and 20 August 2024. The spacing between rows in this experiment was set at 20 cm, with three different densities of oilseed rape plants tested, including three hundred thousand plants/hm2, six hundred thousand plants/hm2, and nine hundred thousand plants/hm2. Irrigation was performed four times during the whole growth period, at 40 days after seedling emergence, during the bolting period, during the flowering period, and the ripening period. Three different water treatments were tested, with the amount of water applied for the entire growing period being 1200 m3/hm2, 1500 m3/hm2, and 1800 m3/hm2. Fertilizer was applied using a drip irrigation system, with each experimental plot connected to an independent fertilizer tank (Figure 1B). The following three fertilizer treatments were tested: 75 kg/hm2 urea + 270 kg/hm2 slow-release fertilizer; 150 kg/hm2 urea + 270 kg/hm2 slow-release fertilizer; and 225 kg/hm2 urea + 270 kg/hm2 slow-release fertilizer. The treatments were A1B1C1, A1B2C2, A1B3C3, A2B1C2, A2B2C3, A2B3C1, A3B1C3, A3B2C1, and A3B3C2, according to the orthogonal experimental design of L9 (34) (Table 1).
Table 1.
Factor levels in the experimental design.
2.3. Measurement Methods
2.3.1. Sample Collection
Rapeseed plants were randomly selected with consistent growth in each plot approximately 20 days after flowering. The second elongated internode at the base of the stalk was intercepted and a segment of approximately 2 cm was removed from the middle. One part of this segment was placed in FAA fixative (63% anhydrous ethanol, 6% acetic acid, and 5% formaldehyde) for paraffin sectioning. The remaining part was stored in an ultra-low-temperature refrigerator after passing through liquid nitrogen to determine the physiological indices.
2.3.2. Determination of Yield and Constitutive Factors
Ten representative rapeseed plants at the maturity stage were selected to measure the following: plant height, plant type, branching pattern, number of effective branches for the first time, number of effective branches at two different times, effective length of the main stem, number of effective siliques on the main stem, total number of effective siliques on the entire plant, length of the silique, number of kernels, thousand-kernel weight, and individual plant yield. These parameters were used to calculate the total yield and constituent factors [20].
2.3.3. Measurement of Field Lodging Rate
The lodging rate in the field was determined based on the actual lodging of the rape plants. When the angle between the rape plant and the field surface was <45°, the plant was classified as lodged [21].
2.3.4. Determination of Stem Mechanical Indices
Approximately 20 days after flowering, ten main stems with uniform growth were randomly selected from each plot. The plant height, internode length, and center of gravity were measured. A YYD–1 stem strength measuring instrument (Zhejiang Top Instrument Co., Ltd., Hangzhou, China) was used to determine the flexural force (F) of the second basal internode when it was broken. The specific measurement method involved placing the internode on two pivot points 10 cm apart, and then placing the flexural force instrument in the middle of the two pivot points and moving slowly downwards. The force was exerted until the stem broke, and the value of F (N) was recorded using a flexural force meter. Vernier calipers were used to measure the stem thickness of the second internode at the base, the thickness of the stem wall, and the inner and outer diameters of the long and short axes. The mechanical indices related to lodging were calculated as follows [22]:
where SL (cm) is the length from the breaking part to the top of the spike and FW (g) is the fresh weight from the breaking part to the top of the spike.
where F (kg) is the bending force exerted when the internode is broken and L (cm) is the distance between the two branching points.
where a1 and a2 denote the outer and inner diameters of the short axis, respectively; b1 and b2 denote the outer and inner diameters of the long axis, respectively; and section modulus denotes the size of the hollow cross-sectional surface of the stalks.
Bending moment (WP, g·cm) = SL × FW
Bending moment of breakage (M, g·cm) = L × F/4 × 103
Section modulus (SM, mm3) = Π/32 × (a13b1 − a23b2)/a1
Bending stress (BS, g·mm−2) = M/SM
Bending stress indicates the strength of the stalk material.
Lodging index (LI, %) = WP/M
The lodging index indicates the size of the risk of lodging, showing that, the higher the lodging index, the higher the risk of lodging.
2.3.5. Stalk Slicing Production
Internode segments, approximately 2 cm long, were obtained from the middle position of the second elongated internode at the base of the rapeseed stalks. These segments were then placed in FAA fixative (63% anhydrous ethanol, 6% acetic acid, and 5% formaldehyde) for >48 h, vacuum-pumped for 2 h, and stored for future use. The stem tissue was stained using the Senna solid green staining method [23]. It was sequentially dehydrated with varying concentrations of ethanol and then transferred to a transparent solution of ethanol and n-butanol. Subsequently, it was dipped in a mixture of n-butanol and paraffin wax, embedded in a wax-embedding box, cooled, and sliced continuously. The section thickness was 10 μm, and the temporary slides were placed under a microscope for observation and photographed for documentation.
2.3.6. Stem Structural Carbohydrate Content
This test mainly determines non-structural carbohydrates (NSC) and structural carbohydrates (SC) [24]. Lignin, cellulose, crude fiber, hemicellulose, pectin, pectinase, cellulase, soluble sugars, and soluble proteins were detected at Shanghai Enzyme-linked Biologicals using ELISA kits, following the manufacturer’s instructions.
2.4. Analysis of Experimental Data
The experimental data were sorted and calculated using WPS 2021. Main effect ANOVA, principal component analysis, and path analysis were performed using SPSS 27 statistical software. Graphical and correlation analyses were performed using WPS 2021 and Origin 2021. The section images were analyzed using CaseViewer 2.3 and ImageJ 1.54k software.
3. Results
3.1. Effects of Agronomic Practices on Rapeseed Morphology
The results of this experiment indicated that the rapeseed exhibited varying degrees of lodging under different agronomic practices treatments. It is worth noting that there was a significant pattern (Figure 3), indicating that the lodging phenomenon of rapeseed intensified with the increasing irrigation volume. The lodging phenomenon became more evident under a high planting density and nitrogen application. The most severe treatments were A1B3C3, A2B3C1, and A3B3C2, with lodging rates of up to 90%. Meanwhile, the growth period of the rapeseed was significantly extended under the cultivation factor treatments (Table 2). The growth period of the A3B3C2 treatment was 130 days, which was 13 and 8 days longer than those of A1B1C1 and A2B1C2, respectively. After evaluating the quality of the seeds (Table 3) at low density, the yield of the rapeseed significantly increased with increasing irrigation and nitrogen application, reaching a maximum of 3108 kg/hm2. At medium density, the yield increased with irrigation, peaked at 3744 kg/hm2 under the A2B2C3 treatment, and then decreased. At high density, in contrast to low density, lodging intensified and the yield decreased continuously. This also indicated that the inversion phenomenon significantly reduced the yield of the rapeseed, such as with A3B3C2, compared to the A3B1C3 treatment. Under the same density, the inversion phenomenon resulted in a 28.5% reduction in yield. This indicates that agronomic practices can influence the occurrence of lodging and, therefore, affect yield.
Figure 3.
Lodging of rapeseed under different cultivation factor treatments. Photographs were taken on 6 August 2023, before the rapeseed matured for harvest. A1B1C1, A1B2C2, A1B3C3, A2B1C2, A2B2C3, A2B3C1, A3B1C3, A3B2C1, and A3B3C2 correspond to the experimental treatments listed in Table 1.
Table 2.
Critical fertility records of rapeseed under different agronomic practices.
Table 3.
Yield components and ANOVA of rapeseed under different agronomic practices.
The results of the polar analysis of variance (Table 4) showed that, with yield as the focus of the study, R (density, 62.3) > R (fertilizer, 40.4) > R (irrigation, 19.2), indicating that planting density had the most significant effect on the rapeseed yield, with the highest yield combination of A2B2C3. Conversely, when examining the lodging rate, R (irrigation, 74.7) > R (density, 19.8) > R (fertilizer, 9.8), suggesting that the irrigation volume had the greatest effect on the lodging of rapeseed, with the combination A2B1C3 resulting in the lowest lodging rate. Finally, based on the sample yield measurements (Table 3), A2B2C3 had the highest yield of 249.6 kg. Therefore, the optimal treatment for high yield and lodging resistance in rapeseed planted in this region is A2B2C3.
Table 4.
Extreme range analysis of rapeseed yield and lodging under different agronomic practices.
3.2. Effect of Agronomic Practices on the Mechanical Properties of Rapeseed Stalks
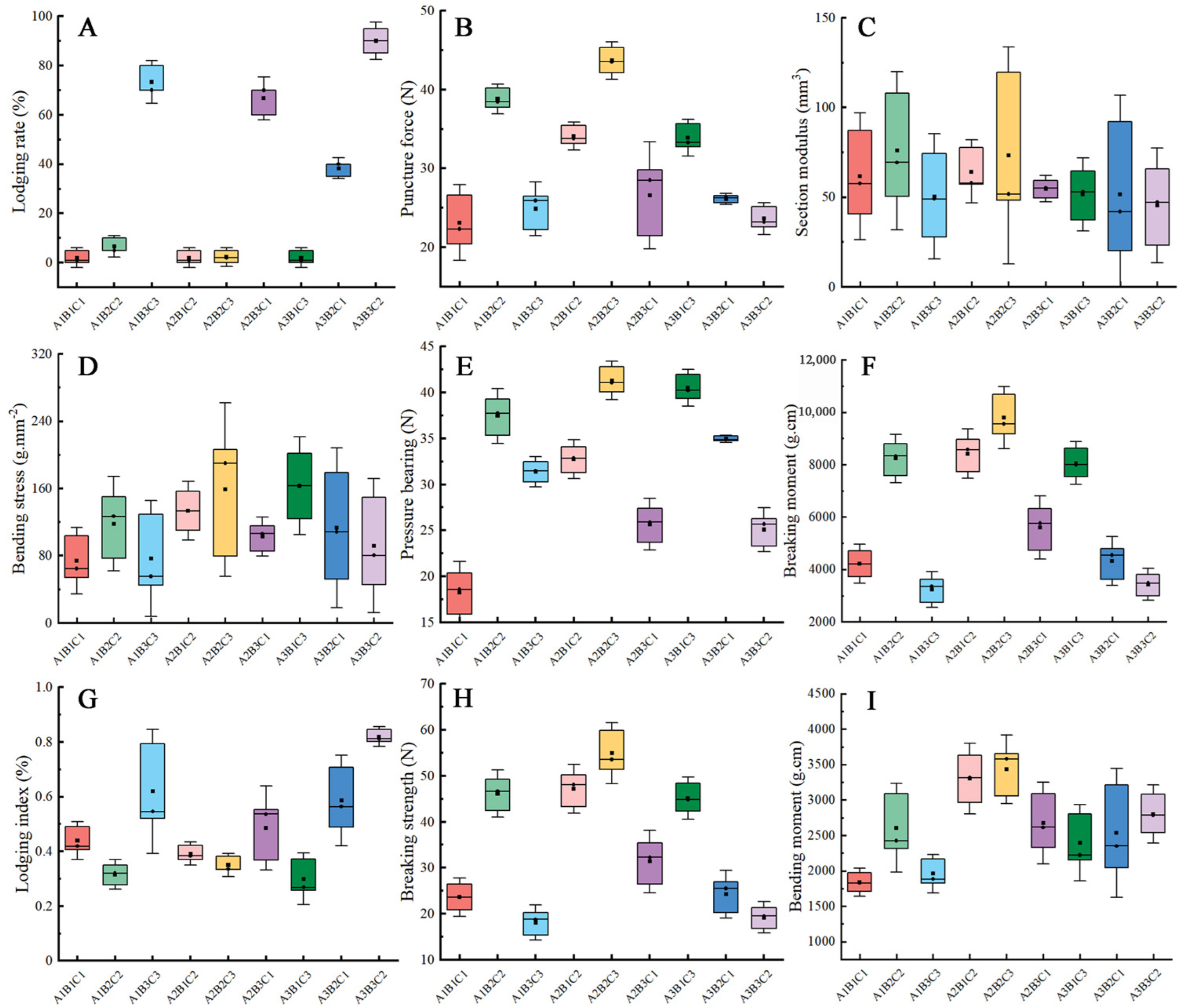
The mechanical properties of the rapeseed stalks were determined for each treatment by assessing the lodging in each plot under various cultivation factor treatments (Figure 3). The results showed that the treatments with the most severe occurrence of field lodging in rapeseed were A1B3C3, A2B3C1, and A3B3C2, with lodging rates of 73%, 67%, and 90%, respectively (Figure 4A). The three treatments that also received the most watering showed significantly lower bending resistance values of 18.1 N, 31.38 N, and 19.19 N, respectively (Figure 4H), and had puncture resistance values of 24.87 N, 26.59 N, and 23.65 N, respectively (Figure 4B). At low and medium densities, the increase in water infusion improved the bending and puncture resistance of the rapeseed. This enhancement was reflected in the bending moment, breaking moment, and bending stress. Although the increase in section modulus was not significant (Figure 4C), it still increased the resistance of the rapeseed to felling. However, beyond a certain level of water infusion, this ability decreases. The bending resistance reached 54.94 N (Figure 4D), the puncture force reached 43.69 N, and the stress resistance reached 43.69 N (Figure 4E), all reaching their highest values. Consequently, the bending moment was 3431.96 g·cm (Figure 4I), and the breaking bending moment was 9806.19 g·cm (Figure 4F), both of which exhibited the highest values. Under high-density planting, the lodging rate of the rapeseed increased with increasing irrigation volumes. There was a positive correlation between the lodging index and the rapeseed lodging rate owing to the high breaking bending moment (Figure 4A,G). However, the bending did not exhibit a significant relationship. Planting density, irrigation water quantity, and nitrogen application had the main effects on the rapeseed lodging rate, bending force, puncture force, stress resistance, and bending moment of fracture (Table 5).
Figure 4.
Mechanical properties of rapeseed stalks under various agronomic practices. (A): lodging rate; (B): puncture strength; (C): section modulus; (D): bending stress; (E): compressive strength; (F): bending moment; (G): lodging index; (H): folding force; (I): bending moment.
Table 5.
Main effect analysis of mechanical properties of rapeseed stalks.
3.3. Effects of Agronomic Practices on Anatomical Structure of Rapeseed Stalks
The analysis of the anatomical structure of the rapeseed stalks (Figure 5) revealed that they mainly consisted of an external sclerenchyma section, a central parenchyma section, and an internal medullary section. Additionally, a large number of regularly arranged vascular bundles were observed in parenchyma sections. Differences in parenchyma fractions of the culm were observed under various treatments. The proportion of the parenchyma fraction in the long and short axes of the culm was determined using CaseViewer 20.3 software, and the parenchyma area fraction was measured using ImageJ 1.54k software. The results showed that the ratio of thin-walled to sclerenchyma sections in the long axis of the A2B2C3 treatment was not significantly different. However, the ratio in the short axis was significantly lower than that observed in the A1B2C2 and A3B1C3 treatments. The area occupied by the parenchyma sections was 0.29%—2261.83 μm2 (Table 6), which was significantly higher than that observed in the other treatments. This correlated with the lodging rate (Figure 4A). The parenchymas were arranged closely. The percentage of parenchyma sections in the rapeseed stalks was significantly lower in the high-density treatment than in the medium- and low-density treatments. After conducting ANOVA, it was found that the planting density and irrigation volume had a significant effect on the percentage of parenchymas in rapeseed. This, in turn, influences the strength of the rapeseed stalks by affecting the percentage area of the parenchymas.
Figure 5.
Anatomical structure of rapeseed stalks under different agronomic practices (cross-section). a: sclerenchyma section; b: parenchyma section; c: medullary section; d: vascular bundles; scale bar, 100 μm.
Table 6.
Percentage of parenchyma area and main effect analysis of parenchyma in stalk sections of rapeseed under different agronomic practices.
3.4. Effects of Agronomic Practices on Physiological Characteristics of Rapeseed Stalks
The analysis of structural and non-structural carbohydrates in rapeseed stalks indicated a correlation between lodging and these carbohydrates. Lignin and cellulose, the primary biochemical components of rapeseed stalks, were found to be correlated with stalk strength. At low and medium densities, lignin, cellulose, and crude fibers (Figure 6A,B,F) showed a pattern of initially increasing and then decreasing with increasing irrigation volume. However, pectin showed a decreasing trend (Figure 6G). High lignin, cellulose, and crude fiber contents enhanced the lodging resistance of the rapeseed in the A2B1C2 treatments. The cellulose content was 105.46 mg/g, the lignin content was 133.43 mg/g, and the crude fiber content was 286.9 mg/g, all reaching their highest levels. Hemicellulose (Figure 6C) exhibited a similar pattern of change to that of lignin and cellulose. However, under the A1B2C2 treatment, it peaked at 183.03 mg/g. Under high-density conditions, lignin and cellulose exhibited significant negative correlations with the amount of irrigation water. Cellulase (Figure 6H), pectinase (Figure 6I), soluble sugars (Figure 6E), and soluble proteins (Figure 6, D), did not exhibit any significant regularity (Table 7). However, it is noteworthy that structural and nonstructural carbohydrates were significantly lower at high densities than at low and medium densities. Moreover, there was a significant effect of irrigation volume on lignin, cellulose, crude fiber, and hemicellulose, which affected the rapeseed stalk strength by influencing their contents.
Figure 6.
Physiological properties of rapeseed stalks under different agronomic practices. (A): lignin; (B): cellulose; (C): hemicellulose; (D): soluble protein; (E): soluble sugar; (F): crude fiber; (G): pectin; (H): cellulase; (I): pectinase. Superscripts in the same column without the same lowercase letters indicate significant differences (p < 0.05).
Table 7.
Main effect analysis of physiological characteristics of rapeseed stalks.
The structural and non-structural carbohydrate contents of rapeseed stalks varied significantly. The results indicated that the content of each component followed the following order: crude fiber > hemicellulose > lignin > cellulose > soluble sugar > pectin (Figure 7), with percentages of 35.5%, 20.8%, 17.2%, 13%, 11.5%, and 2%, respectively. The crude fiber and hemicellulose contents were more susceptible to agronomic practices. The total content also varied among the treatments, increasing and decreasing under low and medium densities, respectively, whereas, under high densities, it exhibited a decreasing trend, consistent with the lodging rate pattern (Figure 4A). The total contents of A1B3C3, A2B3C1, and A3B3C2, which experienced severe lodging, were also the lowest. This indicates that the resistance of rapeseed stalks to lodging is not determined by a single component but is the result of the joint action of structural and non-structural carbohydrates.
Figure 7.
Total structural and non−structural carbohydrates of rapeseed stalk species under different agronomic practices.
3.5. Correlation of Yield Composition of Rapeseed Under the Influence of Agronomic Practices
The composition of rapeseed yield affects the yield per plant and ultimately determines the acre yield. A correlation analysis of yield composition was conducted for rapeseed (Figure 8). The results showed that the rapeseed yield per plant exhibited a highly significant positive correlation (p < 0.01) with the number of kernels, number of siliques per plant, and thousand-kernel weight, as well as a significant negative correlation (p < 0.05) with branch height, plant height, fruiting density, and silique length. There was also a highly significant positive correlation (p < 0.01) between the number of kernels and the thousand-grain weight. However, the total yield of rapeseed did not correlate with the yield composition of the individual plants. We speculate that this discrepancy might be due to variations caused by agronomic practices, but more significantly due to the occurrence of the lodging phenomenon, which resulted in a decreased yield.
Figure 8.
Correlation analysis of rapeseed yield components under different agronomic practices. “*” and “**” indicate significant differences at (p < 0.05) and (p < 0.01) levels, respectively, and ns indicates no significant difference.
3.6. Correlation Between Lodging and Yield Components of Rapeseed Under Agronomic Practices
The correlation analysis of lodging mechanics, lodging physiology, and yield component indices (Figure 9) showed a positive correlation between lodging mechanical properties, lodging physiological properties, and yield. The morphological indices of the lodging mechanics, as external manifestations, interact with the intrinsic properties of the lodging physiological indices. Lignin, cellulose, crude fiber, and hemicellulose were all positively correlated with stem folding resistance, puncture force, bending moment, and breakage bending moment, showing highly significant positive correlations (p < 0.01). Additionally, they were significantly negatively correlated (p < 0.01) with the lodging index and the lodging rate. The yield was positively correlated (p < 0.05) with flexural force, puncture force, bending moment, and breaking moment in the mechanical characteristics of lodging, and with cellulose, crude fiber, and soluble sugar in the physiological characteristics of lodging. It was negatively correlated (p < 0.05) with the lodging index. This suggests that the yield of rapeseed is closely related to its inversion characteristics, and external factors can influence the yield by altering these traits.
Figure 9.
Correlation analysis of lodging mechanics, lodging physiology, and yield components of rapeseed under different agronomic practices. “*” and “**” denote (p < 0.05) and (p < 0.01) levels of significant differences, respectively.
3.7. Principal Component Analysis of Lodging and Yield Composition of Rapeseed Under Agronomic Practices
Through principal component analysis, composite indicators were obtained by downscaling to represent the overall data (Figure 10). The results showed that the differences among the treatments were small. PC1 responded to the information on the physiological characteristics of lodging (43.7%), whereas PC2 responded to the information on the mechanical characteristics of lodging and yield composition (19.9%). Yield was found to be more closely related to the mechanical characteristics of lodging in PC1. Although the yield composition was more significantly related to the physiological characteristics of inversion and positively correlated with the mechanical characteristics of inversion, all three were negatively correlated with the inversion index and the inversion rate. The inversion index was more significantly negatively correlated with the mechanical characteristics of the inversion of PC1.
Figure 10.
Principal component analysis of lodging mechanics, lodging physiology, and yield components in rapeseed under different agronomic practices.
3.8. Path Analysis of Lodging and Yield Components of Rapeseed Under Agronomic Practices
We conducted a thorough trial analysis to investigate the direct effects or indirect relationships between each trait and the yield (Figure 11). The decision coefficients reflected the effects of causal traits on the yield. Among the effects of each trait on the yield (Table 8) in rapeseed, the planting density and nitrogen application had significant direct negative (−0.435) and positive (0.422) effects on the yield, respectivley, and yield per plant had a significant direct negative effect on the yield (−1.179), whereas the rate of lodging had a direct negative effect on the yield (−0.021). Planting density, irrigation, and nitrogen application indirectly negatively affected the yield in terms of the lodging rate. Planting density had a significant indirect positive effect on yield per plant (0.929). Notably, the irrigation volume also had a significant indirect positive effect on hemicellulose (0.794). Lignin, cellulose, and hemicellulose had indirect positive effects on stem bending resistance but indirect negative effects on puncture force. The number of siliques per plant (−0.828), number of kernels per silique (−0.67), and thousand-seed weight (0.914) had significant negative effects on the yield.
Figure 11.
Path analysis of lodging mechanics, lodging physiology, and yield components of rapeseed under different agronomic practices. Den, planting density; Irr, irrigation volume; Fer, nitrogen application; BRS: breaking strength; RPS: puncture force; SCS: pressure bearing; WP: bending moment; SM: section modulus; BS: bending stress; Lig, lignin; Cel, cellulose; CF, crude fiber; Hem, hemicellulose; Pec, pectin; SS, soluble sugars; Pn: number of kernels per silique; Sn: silique number; TKW: thousand-kernel weight; PY: yield per plant; MP: yield. “***” denote significant differences at (p < 0.0001).
Table 8.
Path analysis of lodging mechanics, lodging physiology, and yield components of rapeseed under different agronomic practices.
4. Discussion
4.1. Agronomic Practices Affect the Rate of Lodging of Rapeseed and Limit Yield
Lodging reduces yield and affects the quality of rapeseed [25]. In this study, at low and medium densities, a moderate increase in irrigation and nitrogen application reduced the lodging rates and increased yields. The highest yield was achieved with the A2B2C3 treatment (Table 3, Figure 3 and Figure 4A). However, further increases in irrigation and nitrogen application did not increase the yield. Instead, they increased the risk of lodging and prolonged the growth period (Table 2). According to the results of the extreme variance and main effect analyses, irrigation volume had a significant effect on the lodging traits (Table 5). This could significantly decrease the yield by affecting the lodging of rapeseed. The effect of planting density on rapeseed lodging has been previously confirmed [26]. Similarly, an increased risk of lodging caused by the elongation of grain stalk internodes, owing to high nitrogen application, has been reported [27]. Regarding the irrigation rate, the main focus was on controlling water during the late growth stage in order to avoid root lodging in rapeseed [28]. In this study, drip irrigation was used to manage water throughout the life cycle of rapeseed, based on the local customary irrigation amount. This approach effectively minimized the occurrence of root lodging.
4.2. Stem Mechanical Properties Affected by Agronomic Practices
The lodging index is a crucial measure for evaluating crop resistance to lodging. The higher the lodging index, the greater the likelihood of lodging [29,30]. In this study, the irrigation volume (Table 5) significantly increased the bending and puncture forces of the rapeseed stalks (Figure 4), which resulted in higher bending and breaking moments of the rapeseed stalks and improved their resistance to lodging. The results of the thorough path analysis (Figure 11 and Table 8) also showed that the breaking bending moment had an indirect positive effect on the lodging index (0.263), which was greater than the indirect negative effect of the bending moment on the lodging index (−0.009). This effect influenced the yield, indicating that the effect of the breaking bending moment on the lodging index was more significant. These findings were consistent with those of a previous study [24]. The lodging rate was indirectly negatively affected by bending stress, which (−0.084, −0.175) had an impact on the lodging rate. In addition, the section modulus can increase the bending stress [13]; however, the difference in section modulus was not significant in this study. This is likely because the fracture bending moment compensated for this difference. The combined effect of each index determines the resistance of rapeseed plants to failure [31]. Therefore, the control of irrigation volume throughout the growth period should also be considered as an important factor affecting lodging.
4.3. Stem Anatomy as Influenced by Agronomic Practices
Plant lodging is closely related to the anatomical structure of the stalks, including the vascular bundles, stem thickness, and stem wall thickness [32,33]. Rapeseed culms are mainly composed of sclerenchyma, parenchyma, and medulla [34,35]. In this study, a significant correlation was found between the percentage of parenchymas in rapeseed stalks and resistance to lodging (Figure 5 and Table 6). The A2B2C3 treatment did not result in a significant percentage of parenchymas in the long and short axes of the stalks. However, the percentage of the total area was significantly higher than that of the other treatments, and the parenchyma arrangement was more tightly packed. This is consistent with the results of the impact of bending and puncture resistance on the mechanical properties of stem lodging (Figure 4). This indicated that the proportion of parenchymas in rapeseed stalks influences their strength and plays a role in determining plant lodging resistance [35].
4.4. Stem Physiological Characteristics Are Influenced by Agronomic Practices
Structural and non-structural carbohydrates determine the resistance of plants to stunting [36]. In this study, the highest contents of structural carbohydrates, such as cellulose, lignin, and crude fiber, and non-structural carbohydrates, such as soluble sugar, were observed in the A2B1C2 treatment (Figure 6A,B,E,F). This finding was consistent with the lodging rate (Figure 4A), suggesting that a high content of both structural and non-structural carbohydrates could improve the stem strength of the plants. This aligns with previously reported results [37]. Regarding the total content of structural and non-structural carbohydrates (Figure 7), it was found that the total content was also closely related to stem strength [38]. Crude fiber and hemicellulose are more crucial for plant stem strength than the other components. The rate of stem lodging showed a highly significant negative correlation (p < 0.01) with the structural carbohydrates lignin, cellulose, crude fiber, hemicellulose, and pectin, as well as with the non-structural carbohydrate-soluble sugar (Figure 8). The higher the lignin content in the stem, the greater the resistance to lodging [39]. A significant positive correlation was observed with the cellulose content [40], which was positively correlated with the resistance to bending and puncture force of the stalks (p < 0.01), consistent with previous findings. The A3B3C2 treatment had a higher cellulose content than the A1B3C3 treatment but had a significantly lower rate of lodging (Figure 3 and Figure 6B). The A1B3C3 treatment had a significantly higher crude fiber content than the A2B1C2 treatment (Figure 3 and Figure 6F) but experienced more severe lodging. This indicates that the strength of stalks, in relation to cellulose, lignin, hemicellulose, pectin, and non-structural carbohydrates, is influenced by their degree of arrangement and cross-linking [41]. Therefore, stem strength is not determined by one component alone but is a joint result of the interactions between multiple components.
4.5. Agronomic Practices Affecting Yield Components of Rapeseed
The high crop yield mainly stems from plant density and increased productivity of individual plants [42,43]. A well-organized group structure ensures efficient space utilization, whereas proper irrigation and nitrogen application are crucial measures to further improve crop yield [44,45]. This finding is consistent with the results of the present study. At low and medium densities, an increase in irrigation and nitrogen application could increase the yield (without lodging) (Table 3). However, at high densities, an increase in irrigation and nitrogen application reduces the yield, owing to the intensification of the lodging phenomenon. In the main effect analysis of the impacts of planting density, irrigation water, and nitrogen application on the yield components of rapeseed (Table 3), it was found that planting density had a significant effect on the number of kernels per silique, the thousand-kernel weight, and the yield per plant in the yield components of rapeseed, whereas neither irrigation water nor nitrogen application had a significant effect on the yield components. In this study, planting density affected yield through lodging and the yield components of rapeseed. In contrast, irrigation and nitrogen application primarily affected the lodging of rapeseed stalks, consequently affecting the final yield. This finding is consistent with the results of a previous study [46]. However, we should next analyze the interaction effects of these agricultural practices on rapeseed.
5. Conclusions
In this study, it was found that planting density, irrigation, and nitrogen application could affect yield by influencing rapeseed lodging. In the Aksu region of Xinjiang, a planting density of 600,000 plants/hm2, irrigation of 1500 m3/hm2, and 225 kg/hm2 of nitrogen application could ensure high lodging resistance and a high yield of rapeseed. Therefore, it is more important to ensure refined agricultural practices for the crop in future growth periods.
Author Contributions
Conceptualization, W.G., H.L., and G.L.; methodology, Y.W. (Yunmeng Wen), Y.F., S.S., and Q.B.; software, Z.L., J.Z., and H.S.; formal analysis, W.G. and H.L.; investigation, S.S., J.Z., and H.S.; resources, Y.F., Q.B., and Y.W. (Yanhong Wei); data curation, W.G., H.L., and Y.W. (Yunmeng Wen); writing—original draft preparation, W.G.; writing—review and editing, G.L. and Y.F. All authors have read and agreed to the published version of the manuscript.
Funding
This research was funded by the Major Science and Technology Special Project of Xinjiang Uygur Autonomous Region (Research on Green and Efficient Planting Technology of High-Yield and High-Oil Oilseed Rape Varieties in Xinjiang) (Grant No. 2022A02008–6).
Data Availability Statement
The original contributions presented in the study are included in the article, further inquiries can be directed to the corresponding author.
Acknowledgments
The authors thank Baicheng Agricultural Experiment Station, Xinjiang Academy of Agricultural Sciences for its assistance.
Conflicts of Interest
The authors declare no conflicts of interest.
References
- Wang, X.; El-Badri, A.M.; Li, M.; Batool, M.; Wang, C.; Shao, D.; Kuai, J.; Wang, B.; Wang, J.; Xu, Z.; et al. Micro-ridge-furrow soil moisture regulation technology improves seedling quality and yield of winter rapeseed. Soil Tillage Res. 2024, 237, 105960. [Google Scholar] [CrossRef]
- National Bureau of Statistics of the People’s Republic of China. China Statistical Yearbook; National Bureau of Statistics of the People’s Republic of China: Beijing, China, 2022; p. 261. (In Chinese) [Google Scholar]
- Wu, W.; Shah, F.; Ma, B.L. Understanding of crop lodging and agronomic strategies to improve the resilience of rapeseed production to climate change. Crop Environ. 2022, 1, 133–144. [Google Scholar] [CrossRef]
- Zhang, G.X.; Zhao, D.H.; Fan, H.Z.; Liu, S.J.; Liao, Y.C.; Juan, H.A.N. Combining controlled-release urea and normal urea with appropriate nitrogen application rate to reduce wheat stem lodging risk and increase grain yield and yield stability. J. Integr. Agric. 2023, 22, 3006–3021. [Google Scholar] [CrossRef]
- Luo, J.; Huang, S.; Wang, M.; Zhang, R.; Zhao, D.; Yang, Y.; Wang, F.; Wang, Z.; Tang, R.; Wang, L.; et al. Characterization of the Transcriptome and Proteome of Brassica napus Reveals the Close Relation between DW871 Dwarfing Phenotype and Stalk Tissue. Plants 2022, 11, 413. [Google Scholar] [CrossRef] [PubMed]
- Chen, W.J.; Liu, J.D.; Jiang, K.X.; Wang, Y.P.; Jiang, J.J. Identification and analysis of BnKNOX gene family in Brassica napus. Acta Agron. Sin. 2023, 49, 2991–3006. [Google Scholar] [CrossRef]
- Pinthus, M.J. Lodging in wheat, barley and oats: The phenomenon, its causes and preventative measures. Adv. Agron. 1973, 25, 210–263. [Google Scholar] [CrossRef]
- Bengough, B.M.; McKenzie, P.D.; Hallett, T.A. Valentine. Root elongation, water stress, and mechanical impedance: A review of limiting stresses and beneficial root tip traits. Exp. Bot. 2011, 62, 59–68. [Google Scholar] [CrossRef]
- Wang, C.-Y.; Dai, X.-L.; Shi, Y.-H.; Wang, Z.-L.; Chen, X.-G.; He, M.-R. Effects of nitrogen application rate and plant density on lodging resistance in winter wheat. Acta Agron. Sin. 2012, 38, 121–128. [Google Scholar] [CrossRef]
- Gong, R.L.; Song, B.; Yang, Z.Y.; Lu, L.J.; Dong, J.G. Effects of sowing date and density on lodging resistance and yield of different rapeseed cultivars. Acta Agron. Sin. 2023, 49, 2777–2792. [Google Scholar] [CrossRef]
- Kuai, J.; Sun, Y.Y.; Zuo, Q.S.; Liao, Q.X.; Leng, S.H.; Cheng, Y.G.; Cao, S.; Wu, J.S.; Zhou, G.S. Optimization of plant density and row spacing for mechanical harvest in winter rapeseed (Brassica napus L.). Acta Agron. Sin. 2016, 42, 898–908, (In Chinese with English abstract). [Google Scholar] [CrossRef]
- Wang, X.; Gu, S.B.; Lin, X.; Wang, W.Y.; Zhang, B.J.; Zhu, J.K.; Wang, D. Effects of supplemental irrigation with micro-sprinkling hoses and water and fertilizer integration on yield and water and nitrogen use efficiency in winter wheat. Acta Agron. Sin. 2022, 49, 784–794. [Google Scholar] [CrossRef]
- Yang, M.D.; Guan, X.K.; Liu, Y.; Cui, J.Y.; Ding, C.M.; Wang, J.L.; Han, J.L.; Wang, H.P.; Kang, H.P.; Wang, T.C. Effects of drip irrigation pattern and water regulation on the accumulation and allocation of dry matter and nitrogen, and water use efficiency in summer maize. Acta Agron. Sin. 2019, 45, 443–459. [Google Scholar] [CrossRef]
- Li, Z.; Liu, F.; Wu, W. Optimising nitrogen management strategies to minimise lodging risk while sustaining high seed yield in rapeseed. Eur. J. Agron. 2023, 142, 126671. [Google Scholar] [CrossRef]
- Khan, S.; Anwar, S.; Kuai, J.; Ullah, S.; Fahad, S.; Zhou, G. Optimization of Nitrogen Rate and Planting Density for Improving Yield, Nitrogen Use Efficiency, and Lodging Resistance in Oilseed Rape. Front. Plant Sci. 2017, 8, 532. [Google Scholar] [CrossRef] [PubMed]
- Li, W.Q.; Han, M.M.; Pang, D.W.; Jin, C.H.E.N.; Wang, Y.Y.; Dong, H.H.; Chang, Y.L.; Min, J.I.N.; Luo, Y.L.; Yong, L.I.; et al. Characteristics of lodging resistance of high-yield winter wheat as affected by nitrogen rate and irrigation managements. J. Integr. Agric. 2022, 21, 1290–1309. [Google Scholar] [CrossRef]
- Kuai, J.; Li, X.; Ji, J.; Li, Z.; Xie, Y.; Wang, B.; Zhou, G. Response of leaf carbon metabolism and dry matter accumulation to density and row spacing in two rapeseed (Brassica napus L.) genotypes with differing plant architectures. Crop J. 2022, 10, 680–691. [Google Scholar] [CrossRef]
- Yang, Z.; Li, S. Dictionary of Geography; Anhui People’s Publishing House: Hefei, China, 1992; 564p. [Google Scholar]
- Yuekui, S. New variety of kale-type spring oilseed rape Qingzai-15 and its productive cultivation technology. China Seed Ind. 2019, 12, 83–85, (In Chinese with English abstract). [Google Scholar] [CrossRef]
- Yuan, Y.; Wang, B.; Zhou, G.S.; Liu, F.; Huang, J.S.; Kuai, J. Effects of different sowing dates and planting densities on the yield and stem lodging resistance of rapeseed. Sci. Agric. Sin. 2021, 54, 1613–1626, (In Chinese with English abstract). [Google Scholar] [CrossRef]
- Dong, X.F.; Tian, B.M.; Yao, Y.F.; Zhang, Y.; Zhang, J.T.; Sun, Y.Y.; Liu, Y.X.; Shen, L.; Su, Y.H. Effects of the density on the characteristics of the mechanization harvest in Brassica napus L. Chin. Agric. Sci. Bull. 2012, 28, 71–74, (In Chinese with English abstract). [Google Scholar] [CrossRef]
- Ookawa, T.; Ishihara, K. Varietal difference of physical characteristics of the culm related to lodging resistence in paddy rice. Jpn. J. Crop Sci. 1992, 61, 419–425. (In Japanese) [Google Scholar] [CrossRef]
- Willemse, M.T.M.; Outer, R.W.D. Stem anatomy and cell wall autofluorescence during growth of three maize (Zea mays L.) cultivars. Plant Biol. 1988, 37, 39–47. [Google Scholar] [CrossRef]
- Fukushima, R.S.; Kerley, M.S.; Ramos, M.H.; Porter, J.H.; Kallenbach, R.L. Comparison of acetyl bromide lignin with acid detergent lignin and Klason lignin and correlation with in vitro forage degradability. Anim. Feed Sci. Technol. 2015, 201, 25–37. [Google Scholar] [CrossRef]
- Li, X.Y.; Zhou, M.; Wang, T.; Zhang, L.; Zhou, G.S.; Kuai, J. Effects of planting density on the mechanical harvesting characteristics of semi-winter rapeseed. Acta Agron. Sin. 2018, 44, 278–287, (In Chinese with English abstract). [Google Scholar] [CrossRef]
- Kuai, J.; Li, X.; Ji, J.; Li, Z.; Xie, Y.; Wang, B.; Zhou, G. The physiological and proteomic characteristics of oilseed rape stem affect seed yield and lodging resistance under different planting densities and row spacing. Agron. Crop Sci. 2021, 207, 840–856. [Google Scholar] [CrossRef]
- Wu, W.; Ma, B.L. Erect-leaf posture promotes lodging resistance in oat plants under high plant population. Eur. J. Agron. 2019, 103, 175–187. [Google Scholar] [CrossRef]
- Jing, B.; Shah, F.; Xiao, E.; Coulter, J.A.; Wu, W. Sprinkler irrigation increases grain yield of sunflower without enhancing the risk of root lodging in a dry semi-humid region. Agric. Water Manag. 2020, 239, 106270. [Google Scholar] [CrossRef]
- Van Delden, S.H.; Vos, J.; Ennos, A.R.; Stomph, T.J. Analyzing lodging of the panicle bearing cereal teff (Eragrostis tef). N. Phytol. 2010, 186, 696–707. [Google Scholar] [CrossRef]
- Li, C.; Li, C.; Ma, B.; Wu, W. The role of ridge-furrow with plastic film mulching system on stem lodging resistance of winter wheat in a dry semi-humid region. Agron. J. 2020, 112, 885–898. [Google Scholar] [CrossRef]
- Yang, L.; Liu, J.; Li, N.; Pei, Y.F.; Peng, J.; Wang, Z. An integrated strategy coordinating endogenous and exogenous approaches to alleviate crop lodging. Plant Stress 2023, 9, 100197. [Google Scholar] [CrossRef]
- Li, G.H.; Zhong, X.H.; Tian, K.; Huang, N.R.; Pan, J.F.; He, T.H. Effect of nitrogen application on stem lodging resistance of rice and its morphological and mechanical mechanisms. Sci. Agric. Sin. 2013, 46, 1323–1334, (In Chinese with English abstract). [Google Scholar] [CrossRef]
- Liu, Q.; Yin, C.; Li, X.; He, C.; Ding, Z.; Du, X. Lodging resistance of rice plants studied from the perspective of culm mechanical properties, carbon framework, free volume, and chemical composition. Sci. Rep. 2022, 12, 20026. [Google Scholar] [CrossRef]
- Pan, J.; Zhao, J.; Liu, Y.; Huang, N.; Tian, K.; Shah, F.; Liang, K.; Zhong, X.; Liu, B. Optimized nitrogen management enhances lodging resistance of rice and its morpho-anatomical, mechanical, and molecular mechanisms. Sci Rep. 2019, 9, 20274. [Google Scholar] [CrossRef]
- Zhang, F.Z.; Jin, Z.X.; Shang, W.N.; Liu, H.Y.; Xu, M.L.; Yan, L. Relationship between lodging resistance and chemical. contents in culms and sheaths of japonica rice during grain filling. Rice Sci. 2010, 17, 311–318. [Google Scholar] [CrossRef]
- Zhang, F.Z.; Jin, Z.X.; Shang, W.N.; Liu, H.Y.; Xu, M.L.; Yan, L. Lodging resistance characteristics of high-yielding rice populations. Field Crop. Res. 2014, 161, 64–74. [Google Scholar] [CrossRef]
- Kuai, J.; Sun, Y.; Guo, C.; Zhao, L.; Zuo, Q.; Wu, J.; Zhou, G. Root-applied silicon in the early bud stage. increases the rapeseed yield and optimizes the mechanical harvesting characteristics. Field Crop. Res. 2017, 200, 8897. [Google Scholar] [CrossRef]
- Hu, Y.; Javed, H.H.; Asghar, M.A.; Peng, X.; Brestic, M.; Skalický, M.; Ghafoor, A.Z.; Cheema, H.N.; Zhang, F.F.; Wu, Y.C. Enhancement of lodging resistance and lignin content by application of organic carbon and silicon fertilization in Brassica napus L. Front. Plant Sci. 2022, 13, 7048. [Google Scholar] [CrossRef]
- Baucher, M.; Monties, B.; Van Montagu, M.; Boerjan, W. Biosynthesis and genetic engineer in lignin. Crit. Rev. Plant Sci. 1998, 17, 125–197. [Google Scholar] [CrossRef]
- Zhou, H.Y.; Jiang, Y.F.; Yang, M.C.; Cheng, W.D.; Qin, L.Q.; Xie, X.D.; Xie, H.X.; Qin, B.X.; Wang, L.Q. Relationship and evaluation of stalk strength, vascular bundle and fiber content in maize. Plant Genet. Resour. 2022, 23, 1636–1643, (In Chinese with English abstract). [Google Scholar] [CrossRef]
- Terashima, N.; Kitano, K.; Kojima, M.; Yoshida, M.; Yamamoto, H.; Westermark, U. Nanostructural assembly of cellulose, hemicellulose, and lignin in the middle layer of secondary wall of ginkgo tracheid. J. Wood Sci. 2009, 55, 409–416. [Google Scholar] [CrossRef]
- Wei, T.B.; Chai, Q.; Wang, W.M.; Wang, J.Q. Effects of coupling of irrigation and nitrogen application as well as planting density on photosynthesis and dry matter accumulation characteristics of maize in oasis irrigated areas. Sci. Agric. Sin. 2019, 52, 428–444, (In Chinese with English abstract). [Google Scholar] [CrossRef]
- Han, K.; Zhou, C.; Sheng, H.; Yang, Y.; Zhang, L.; Wang, L. Improvements in corn yield, N uptake, and water use efficiency by alternating N rate and irrigation to various plant densities. Agron. J. 2014, 107, 93–103. [Google Scholar] [CrossRef]
- Tokatlidis, I.S.; Koutroubas, S.D. A review of maize hybrids’ dependence on high plant populations and its implications for crop yield stability. Field Crop. Res. 2004, 88, 103–114. [Google Scholar] [CrossRef]
- Wu, X.R.; Li, Z.M.; Li, W.J.; Xue, X.K.; Yang, L.C.; Xu, J. Reducing fertilization with high planting density increases maize yield stability and nitrogen use efficiency in semi-arid areas. Eur. J. Agron. 2024, 159, 127223. [Google Scholar] [CrossRef]
- Khan, S.; Anwar, S.; Kuai, J.; Noman, A.; Shahid, M.; Din, M.; Ali, A.; Zhou, G. Alteration in yield and oil quality traits of winter rapeseed by lodging at different planting density and nitrogen rates. Sci. Rep. 2018, 8, 18734. [Google Scholar] [CrossRef] [PubMed]
Disclaimer/Publisher’s Note: The statements, opinions and data contained in all publications are solely those of the individual author(s) and contributor(s) and not of MDPI and/or the editor(s). MDPI and/or the editor(s) disclaim responsibility for any injury to people or property resulting from any ideas, methods, instructions or products referred to in the content. |
© 2024 by the authors. Licensee MDPI, Basel, Switzerland. This article is an open access article distributed under the terms and conditions of the Creative Commons Attribution (CC BY) license (https://creativecommons.org/licenses/by/4.0/).










