The Relationship Between Energy and Climate Action in the Context of Sustainable Development Goals: An Empirical Analysis of BRICS–T Economies
Abstract
1. Introduction
2. Theoretical Framework and Literature Review
2.1. Nexus Between Environmental Policy Stringency and Climate Action
2.2. Nexus Between Energy and Climate Action
2.3. Nexus Between Green Technology and Climate Action
2.4. Literature Gap
3. Materials and Methods
3.1. Materials
3.2. Methods
4. Econometric Results
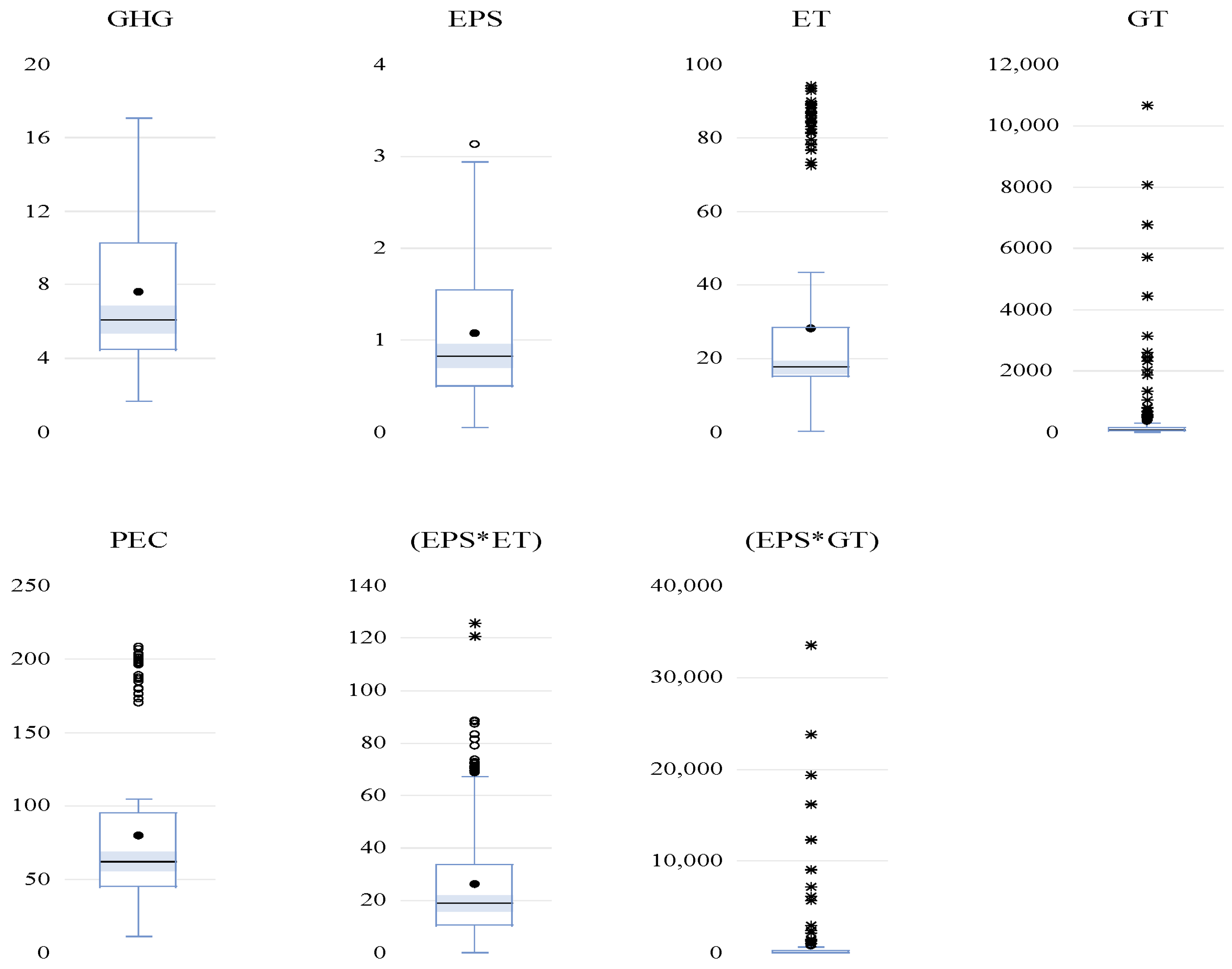
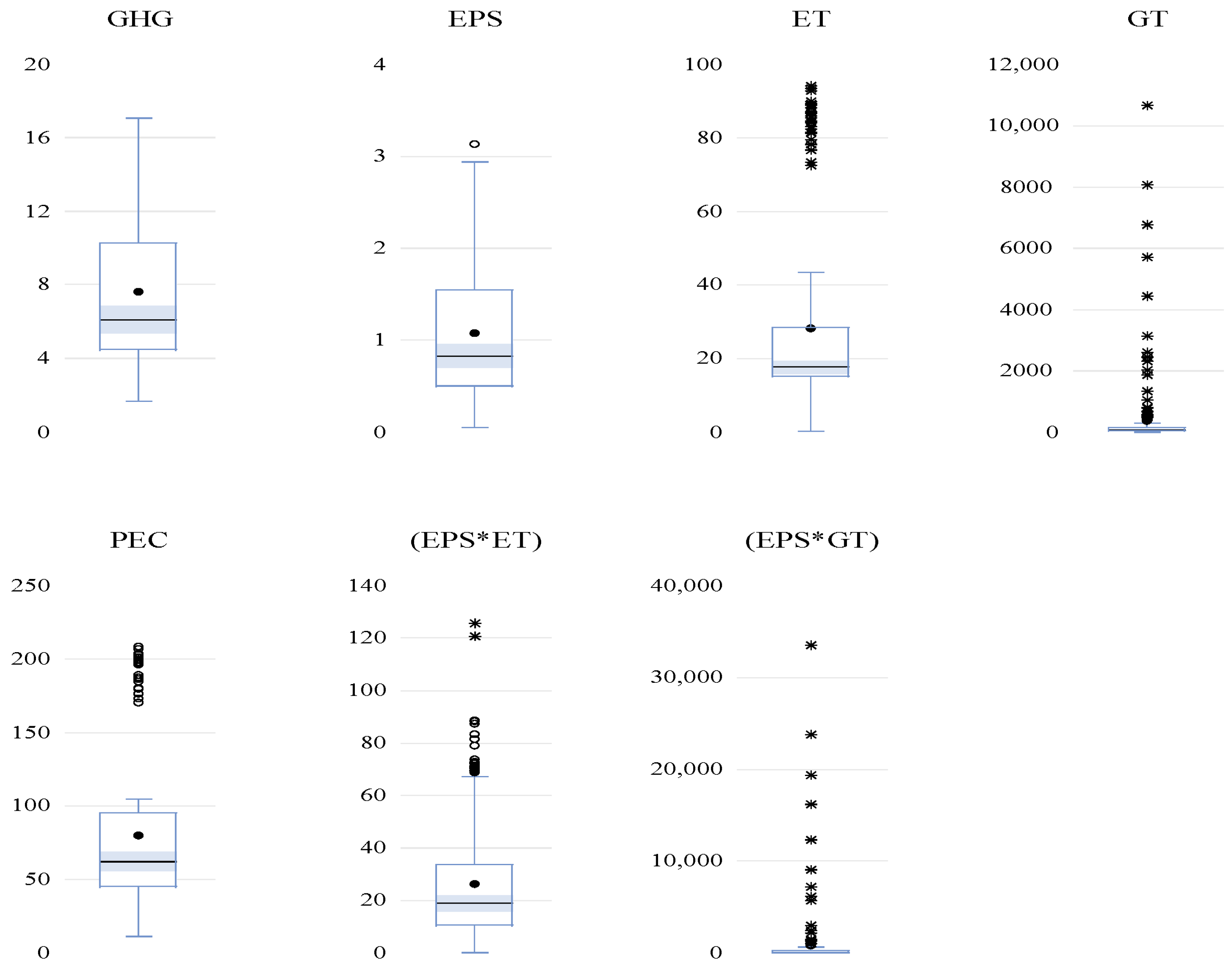
4.1. Preliminary Tests
4.2. Cross–Sectional Dependence, Slope Homogeneity and Unit Root Tests
4.3. Long-Run Relationship
4.4. Robustness Checks
4.5. Granger Causality Test
5. Discussion
Limitations
6. Conclusions
Author Contributions
Funding
Institutional Review Board Statement
Informed Consent Statement
Data Availability Statement
Conflicts of Interest
Abbreviations
| SDGs | Sustainable Development Goals | 
| EPS | Environmental Policy Stringency | 
| CO2 | Carbon Dioxide | 
| GT | Green Technology | 
| GDP | Gross Domestic Product | 
| PQR | Panel Quantile Regression | 
| ARDL | Autoregressive Distributed Lag | 
| OLS | Ordinary Least Squares | 
| GHG | Greenhouse Gas | 
| MMQR | Method of Moments Quantile Regression | 
| ET | Energy Transition | 
| PEC | Primary Energy Consumption | 
| VIF | Variance Inflation Factor | 
| CD | Cross-sectional Dependence | 
| LM | Lagrange Multiplier | 
| MADF | Multivariate Augmented Dickey–Fuller | 
| CADF | Cross-sectional Augmented Dickey–Fuller | 
| CIPS | Cross-sectional Im–Pesaran–Shin | 
References
- Aydın, H.İ.; Nasıroğlu, M.M. Ekonomi; PA Paradigma Akademi: Çanakkale, Türkiye, 2020. [Google Scholar]
- Horton, P.; Horton, B.P. Re-defining sustainability: Living in harmony with life on Earth. One Earth 2019, 1, 86–94. [Google Scholar] [CrossRef]
- Kluza, K.; Ziolo, M.; Postula, M. Climate policy development and implementation from the Sustainable Development Goals perspective. Evidence from the European Union countries. Energy Strategy Rev. 2024, 52, 101321. [Google Scholar] [CrossRef]
- Munasinghe, M.; Swart, R. Primer on Climate Change and Sustainable Development: Facts, Policy Analysis, and Applications; Cambridge University Press: Cambridge, MA, USA, 2005; Volume 3. [Google Scholar]
- Mou, H.; Tang, X.; Gao, H.; Liu, Y. Application of decision tree and relative proximity to evaluation of sustainable development capacities of listed electric power companies. J. Bus. Econ. Manag. 2022, 23, 1016–1036. [Google Scholar] [CrossRef]
- Botta, E.; Koźluk, T. Measuring Environmental Policy Stringency in OECD Countries: A Composite Index Approach; OECD Economics Department Working Papers No. 1177; OECD: Paris, France, 2014. [Google Scholar]
- Durgun, B. Türkiye’de karbon nötr hedefine ulaşmada çevre politikasının etkisi: Fourier yaklaşımından yeni kanıtlar. J. Financ. Politic Econ. Rev. Finans Polit. Ekon. Yorumlar 2025, 62, 211–242. [Google Scholar]
- Frohm, E.; D’Arcangelo, F.M.; Kruse, T.; Pisu, M.; Sila, U. Environmental Policy Stringency and CO2 Emissions: Evidence from Cross-Country Sector-Level Data; OECD Economics Department Working Papers No. 1773; OECD: Paris, France, 2023. [Google Scholar]
- Honma, S.; Hu, J.-L. How does environmental eolicy stringency affect inefficiency of firms? New evidence from international firm-level data. Circ. Econ. Sustain. 2024, 4, 1539–1558. [Google Scholar] [CrossRef]
- Olasehinde-Williams, G.; Akadiri, S.S. Environmental policy stringency and carbon leakages: A case for carbon border adjustment mechanism in the European Union. Environ. Dev. Sustain. 2024, 1–22. [Google Scholar] [CrossRef]
- Ahmed, K. Environmental policy stringency, related technological change and emissions inventory in 20 OECD countries. J. Environ. Manag. 2020, 274, 111209. [Google Scholar] [CrossRef]
- Ahmed, K.; Ahmed, S. A predictive analysis of CO2 emissions, environmental policy stringency, and economic growth in China. Environ. Sci. Pollut. Res. 2018, 25, 16091–16100. [Google Scholar] [CrossRef]
- Anwar, A.; Sharif, A. Can effective environmental policies reduce the burden of natural resources exploitation in emerging economies? Evidence from quantile regression. Gondwana Res. 2025, 140, 181–193. [Google Scholar] [CrossRef]
- Bhowmik, R.; Sharif, A.; Anwar, A.; Syed, Q.R.; Cong, P.T.; Ha, N.N. Does environmental policy stringency alter the natural resources-emissions nexus? Evidence from G-7 countries. Geosci. Front. 2024, 15, 101874. [Google Scholar] [CrossRef]
- Liu, L.; Pang, L.; Wu, H.; Hafeez, M.; Salahodjaev, R. Does environmental policy stringency influence CO2 emissions in the Asia Pacific region? A nonlinear perspective. Air Qual. Atmos. Health 2023, 16, 2499–2508. [Google Scholar] [CrossRef]
- Ahmed, N.; Khan, A.A.; Aslam, M.; Sanjrani, R.D. The nexus between environmental policy stringency, climate change, and economic growth: A case study of Pakistan. Indian J. Econ. Bus. 2022, 21, 593–608. [Google Scholar]
- Chen, M.; Sohail, S.; Majeed, M.T. Revealing the effectiveness of environmental policy stringency and environmental law on environmental performance: Does asymmetry matter? Environ. Sci. Pollut. Res. 2022, 29, 91190–91200. [Google Scholar] [CrossRef] [PubMed]
- Kartal, M.T.; Ayhan, F.; Ulussever, T. Impact of environmental policy stringency on sectoral GHG emissions: Evidence from Finland and Sweden by nonlinear quantile-based methods. Int. J. Sustain. Dev. World Ecol. 2024, 31, 848–860. [Google Scholar] [CrossRef]
- Godawska, J. Environmental policy stringency and its impact on air pollution in Poland. Econ. Environ. 2021, 76, 16. [Google Scholar]
- Luo, H.; Sun, Y.; Zhang, L. Effects of macroprudential policies on ecological footprint: The moderating role of environmental policy stringency in the top 11 largest countries. Sci. Rep. 2024, 14, 7423. [Google Scholar] [CrossRef]
- Sohag, K.; Husain, S.; Soytas, U. Environmental policy stringency and ecological footprint linkage: Mitigation measures of renewable energy and innovation. Energy Econ. 2024, 136, 107721. [Google Scholar] [CrossRef]
- Wang, K.; Yan, M.; Wang, Y.; Chang, C.-P. The impact of environmental policy stringency on air quality. Atmos. Environ. 2020, 231, 117522. [Google Scholar] [CrossRef]
- Abbasi, K.R.; Zhang, Q.; Alotaibi, B.S.; Abuhussain, M.A.; Alvarado, R. Toward sustainable development goals 7 and 13: A comprehensive policy framework to combat climate change. Environ. Impact Assess. Rev. 2024, 105, 107415. [Google Scholar] [CrossRef]
- Friedlingstein, P.; O’Sullivan, M.; Jones, M.W.; Andrew, R.M.; Bakker, D.C.; Hauck, J.; Landschützer, P.; Le Quéré, C.; Luijkx, I.T.; Peters, G.P. Global Carbon Budget 2023. Earth Syst. Sci. Data 2023, 15, 5301–5369. [Google Scholar] [CrossRef]
- Li, S.; Samour, A.; Irfan, M.; Ali, M. Role of renewable energy and fiscal policy on trade adjusted carbon emissions: Evaluating the role of environmental policy stringency. Renew. Energy 2023, 205, 156–165. [Google Scholar] [CrossRef]
- Wolde-Rufael, Y.; Weldemeskel, E.M. Environmental policy stringency, renewable energy consumption and CO2 emissions: Panel cointegration analysis for BRIICTS countries. Int. J. Green Energy 2020, 17, 568–582. [Google Scholar] [CrossRef]
- Davidsson, S. Global Energy Transitions: Renewable Energy Technology and Non-Renewable Resources. Bachelor’s Thesis, Uppsala University, Uppsala, Sweden, 2015. [Google Scholar]
- Tian, J.; Yu, L.; Xue, R.; Zhuang, S.; Shan, Y. Global low-carbon energy transition in the post-COVID-19 era. Appl. Energy 2022, 307, 118205. [Google Scholar] [CrossRef] [PubMed]
- Albulescu, C.T.; Boatca-Barabas, M.-E.; Diaconescu, A. The asymmetric effect of environmental policy stringency on CO2 emissions in OECD countries. Environ. Sci. Pollut. Res. 2022, 29, 27311–27327. [Google Scholar] [CrossRef]
- Güler, C.; Özarslan Doğan, B. Do environmental policy stringency and innovation reduce carbon emissions: Empirical evidence from G-7 countries. Kafkas Üniversitesi İktisadi ve İdari Bilim. Fakültesi Derg. 2023, 14, 847–870. [Google Scholar] [CrossRef]
- Wang, Z.; Yen-Ku, K.; Li, Z.; An, N.B.; Abdul-Samad, Z. The transition of renewable energy and ecological sustainability through environmental policy stringency: Estimations from advance panel estimators. Renew. Energy 2022, 188, 70–80. [Google Scholar] [CrossRef]
- Ağan, B. Climate change mitigation dynamics in EU countries: An empirical analysis of environmental and macroeconomic factors. Gazi İktisat İşletme Derg. 2024, 10, 401–415. [Google Scholar]
- Kurt, M. Yeşil çevre politikaları ve yeşil vergilerin karbon emisyonu üzerindeki etkisi: Panel eşik regresyon analizi. Sosyoekonomi 2024, 32, 455–477. [Google Scholar] [CrossRef]
- Li, Z.; Kuo, Y.-K.; Mahmud, A.R.; Nassani, A.A.; Haffar, M.; Muda, I. Integration of renewable energy, environmental policy stringency, and climate technologies in realizing environmental sustainability: Evidence from OECD countries. Renew. Energy 2022, 196, 1376–1384. [Google Scholar] [CrossRef]
- Ouni, M.; Mrad, S.; Mraihi, R. Pathways to sustainable transportation in G-20 countries: Unveiling the role of green technology, green energy, green finance and digital economy using panel data and machine learning analyses. Res. Transp. Bus. Manag. 2025, 60, 101355. [Google Scholar] [CrossRef]
- Udeagha, M.C.; Ngepah, N. Striving towards carbon neutrality target in BRICS economies: Assessing the implications of composite risk index, green innovation, and environmental policy stringency. Sustain. Environ. 2023, 9, 2210950. [Google Scholar] [CrossRef]
- Xie, P.; Xu, Y.; Tan, X.; Tan, Q. How does environmental policy stringency influence green innovation for environmental managements? J. Environ. Manag. 2023, 338, 117766. [Google Scholar] [CrossRef]
- Fatima, N.; Xuhua, H.; Alnafisah, H.; Zeast, S.; Akhtar, M.R. Enhancing climate action in OECD countries: The role of environmental policy stringency for energy transitioning to a sustainable environment. Environ. Sci. Eur. 2024, 36, 157. [Google Scholar] [CrossRef]
- Ghazouani, A.; Jebli, M.B.; Shahzad, U. Impacts of environmental taxes and technologies on greenhouse gas emissions: Contextual evidence from leading emitter European countries. Environ. Sci. Pollut. Res. 2021, 28, 22758–22767. [Google Scholar] [CrossRef] [PubMed]
- WorldBank World Development Indicators. Available online: https://databank.worldbank.org/source/world-development-indicators# (accessed on 18 April 2025).
- Ferragamo, M. What Is BRICS Group and Why Is It Expanding? Available online: https://www.cfr.org/backgrounder/what-brics-group-and-why-it-expanding (accessed on 27 August 2025).
- Karakurt, B. Küresel krizin etkilerini azaltmada mali yönetişimin rolü: BRICS ülkeleri örneği. Ekon. Sos. Araştırmalar Derg. 2016, 12, 185–212. [Google Scholar]
- OECD. Available online: https://stats.oecd.org/Index.aspx?DataSetCode=EPS (accessed on 18 April 2025).
- BritishPetroleum. Available online: https://www.bp.com/en/global/corporate/energy-economics/webcast-and-on-demand.html#tab_eo-2023 (accessed on 18 April 2025).
- Westerlund, J. Testing for error correction in panel data. Oxf. Bull. Econ. Stat. 2007, 69, 709–748. [Google Scholar] [CrossRef]
- Driscoll, J.C.; Kraay, A.C. Consistent covariance matrix estimation with spatially dependent panel data. Rev. Econ. Stat. 1998, 80, 549–560. [Google Scholar] [CrossRef]
- Dumitrescu, E.-I.; Hurlin, C. Testing for Granger non-causality in heterogeneous panels. Econ. Model. 2012, 29, 1450–1460. [Google Scholar] [CrossRef]
- Breusch, T.S.; Pagan, A.R. The Lagrange Multiplier Test and its Applications to Model Specification in Econometrics. Rev. Econ. Stud. 1980, 47, 239–253. [Google Scholar] [CrossRef]
- Şahin, G. Kömür ihraç eden ülkelerde STIRPAT modeline dayalı çevresel etki analizi. Dumlupınar Üniv. Sos. Bilim. Derg. 2022, 196–216. [Google Scholar] [CrossRef]
- Şahin, G. Yüksek hava kirliliği yaşanan ülkelerde doğumda yaşam beklentisi ve çevresel bozulma bağlantısı. Ekon. Polit. Finans Araştırmaları Derg. 2022, 7, 758–783. [Google Scholar] [CrossRef]
- Samour, A.; Adebayo, T.S.; Agyekum, E.B.; Khan, B.; Kamel, S. Insights from BRICS-T economies on the impact of human capital and renewable electricity consumption on environmental quality. Sci. Rep. 2023, 13, 5245. [Google Scholar] [CrossRef]
- World Bank Country and Lending Groups. Available online: https://datahelpdesk.worldbank.org/knowledgebase/articles/906519%E2%80%93world%E2%80%93bank%E2%80%93country%E2%80%93and%E2%80%93lending%E2%80%93groups (accessed on 25 April 2025).
- Altıner, A.; Şimşek, E. BRICS-T ülkelerinde ekonomik büyüme üzerinde yenilenebilir enerji tüketiminin etkisi. Ordu Üniv. Sos. Bilim. Enst. Sos. Bilim. Araştırmaları Derg. 2022, 12, 1651–1668. [Google Scholar]



| Variable | VIF | 1/VIF | 
|---|---|---|
| EPS | 1.45 | 0.691685 | 
| ET | 1.11 | 0.899032 | 
| GT | 1.37 | 0.731374 | 
| PEC | 1.10 | 0.907216 | 
| Mean VIF | 1.26 | 
| Skewness/Kurtosis | Pr (Skewness) | Pr (Kurtosis) | Adj chi2(2) | Prob > chi2 | 
| 0.0001 | 0.7196 | 12.80 | 0.0017 ** | |
| Shapiro–Wilk | W | V | z | Prob > z | 
| 0.90896 | 10.956 | 5.438 | 0.0000 * | |
| Shapiro–Francia | W′ | V′ | z | Prob > z | 
| 0.91313 | 11.454 | 4.961 | 0.0000 * | 
| Variables | CDLM | Slope Homogeneity | ||
|---|---|---|---|---|
| LM–Test | p-Value | chi2(5) | Prob > chi2 | |
| GHG | 217.4651 | 0.0000 * | 6820.13 | 0.0000 * | 
| EPS | 53.07 | 0.0000 * | 101.51 | 0.0000 * | 
| ET | 114.3 | 0.0000 * | 6179.15 | 0.0000 * | 
| GT | 36.71 | 0.0000 * | 116.47 | 0.0000 * | 
| PEC | 43.73 | 0.0000 * | 7236.30 | 0.0000 * | 
| (EPS*ET) | 86.62 | 0.0000 * | 345.63 | 0.0000 * | 
| (EPS*GT) | 102.8 | 0.0000 * | 69.93 | 0.0000 * | 
| Variables | MADF | CADF | CIPS | Stationarity | |||
|---|---|---|---|---|---|---|---|
| Level | Δ | Level | Δ | Level | Δ | ||
| GHG | 11.381 | 83.757 ** | 2.419 ** (0.048) | 2.971 * (0.001) | −2.120 | −3.208 * | I(1) | 
| EPS | 15.230 | 156.948 ** | 3.171 * (0.000) | 3.351 * (0.000) | −2.316 *** | −4.265 * | I(0) | 
| ET | 23.519 | 193.230 ** | 0.668 (0.997) | 3.206 * (0.000) | −1.276 | −5.126 * | I(1) | 
| GT | 196.577 | 199.471 ** | 0.840 (0.990) | 3.589 * (0.000) | −1.102 | −4.680 * | I(1) | 
| PEC | 20.248 | 129.056 ** | 2.020 (0.256) | 2.727 ** (0.007) | −2.454 ** | −3.800 * | I(1) | 
| (EPS*ET) | 24.127 | 148.230 ** | 2.345 *** (0.070) | 3.219 * (0.000) | −1.886 | −4.193 * | I(1) | 
| Statistic | Value | z-Value | p-Value | Robust p-Value | 
|---|---|---|---|---|
| Gt | −6.990 | −12.630 | 0.000 * | 0.000 * | 
| Ga | −11.377 | −1.398 | 0.081 ** | 0.010 * | 
| Pt | −12.750 | −7.267 | 0.000 * | 0.000 * | 
| Pa | −14.908 | −4.126 | 0.000 * | 0.000 * | 
| Variables | Lower Quantile | Middle Quantile | Higher Quantile | ||||||
|---|---|---|---|---|---|---|---|---|---|
| q–10 | q–20 | q–30 | q–40 | q–50 | q–60 | q–70 | q–80 | q–90 | |
| EPS | −0.4775 * | −0.3428 ** | −0.3556 * | −0.2774 | −0.4573 * | −0.4974 * | −0.5427 | −0.2548 | −0.4468 | 
| ET | −0.0002 | 0.0046 | 0.0044 *** | 0.0042 | −0.0013 | −0.0032 | −0.0085 | −0.0037 | −0.0064 | 
| GT | 0.0018 * | 0.0017 * | 0.0017 * | 0.0015 * | 0.0013 * | 0.0012 ** | 0.0005 | 0.0001 | −0.0003 | 
| PEC | 0.0729 * | 0.0736 * | 0.0739 * | 0.0738 * | 0.0723 * | 0.0719 * | 0.0832 * | 0.0975 * | 0.0990 * | 
| (EPS*ET) | 0.0112 ** | 0.0055 | 0.0070 ** | 0.0053 | 0.0077 ** | 0.0093 ** | 0.0019 | −0.0078 | −0.0070 | 
| (EPS*GT) | −0.0005 * | −0.0005 * | −0.0005 ** | −0.0004 * | −0.0003 * | −0.0003 *** | −0.0001 | 0.0000 | 0.0002 | 
| C | 1.0457 * | 0.9401 * | 0.9603 * | 1.0728 * | 1.649 * | 1.8297 * | 2.0545 *** | 1.2749 | 1.7141 | 
| Pseudo R2 | 0.87 | 0.86 | 0.85 | 0.84 | 0.83 | 0.83 | 0.81 | 0.82 | 0.83 | 
| Variables | Driscoll–Kraay Model | Ridge Regression Model | ||
|---|---|---|---|---|
| Coef. | p > |t| | Coef. | p > |t| | |
| EPS | −0.1257298 *** | 0.091 | −0.5144 * | 0.010 | 
| ET | 0.0071383 *** | 0.051 | −0.0112 ** | 0.013 | 
| GT | 0.0004587 *** | 0.052 | 0.0007 *** | 0.067 | 
| PEC | 0.0818708 * | 0.000 | 0.0732 * | 0.000 | 
| (EPS*ET) | −0.0029816 | 0.235 | 0.0034 | 0.600 | 
| (EPS*GT) | −0.0001412 ** | 0.038 | −0.0002 | 0.247 | 
| C | 0.7676726 ** | 0.037 | 2.3925 * | 0.000 | 
| R2 | 0.96 | 0.96 | ||
| Hausman Test | chi2(6) = 26.18 Prob > chi2 = 0.0002 | |||
| H0 Hypothesis | Wald Stat. | z-Val. | p-Val. | H0 Hypothesis | Wald Stat. | z-Val. | p-Val. | 
|---|---|---|---|---|---|---|---|
| GHG ≠ EPS | 9.8218 | 2.7024 | 0.0069 * | GHG ≠ PEC | 2.8474 | 3.1998 | 0.0014 * | 
| EPS ≠ GHG | 10.9953 | 4.6440 | 0.0000 * | PEC ≠ GHG | 3.6275 | 1.9933 | 0.0462 ** | 
| GHG ≠ ET | 2.2616 | 2.1851 | 0.0289 ** | GHG ≠ (EPS*ET) | 4.4070 | 5.9010 | 0.0000 * | 
| ET ≠ GHG | 15.9898 | 7.0639 | 0.0000 * | (EPS*ET) ≠ GHG | 10.3513 | 3.0769 | 0.0021 * | 
| GHG ≠ GT | 10.5627 | 3.2263 | 0.0013 * | GHG ≠ (EPS*GT) | 6.3159 | 5.2859 | 0.0000 * | 
| GT ≠ GHG | 9.8287 | 2.7073 | 0.0068 * | (EPS*GT) ≠ GHG | 18.7109 | 8.9879 | 0.0000 * | 
| Disclaimer/Publisher’s Note: The statements, opinions and data contained in all publications are solely those of the individual author(s) and contributor(s) and not of MDPI and/or the editor(s). MDPI and/or the editor(s) disclaim responsibility for any injury to people or property resulting from any ideas, methods, instructions or products referred to in the content. | 
© 2025 by the authors. Licensee MDPI, Basel, Switzerland. This article is an open access article distributed under the terms and conditions of the Creative Commons Attribution (CC BY) license (https://creativecommons.org/licenses/by/4.0/).
Share and Cite
Sahin, G.; Aydin, H.I.; Ozdemir, A. The Relationship Between Energy and Climate Action in the Context of Sustainable Development Goals: An Empirical Analysis of BRICS–T Economies. Sustainability 2025, 17, 8271. https://doi.org/10.3390/su17188271
Sahin G, Aydin HI, Ozdemir A. The Relationship Between Energy and Climate Action in the Context of Sustainable Development Goals: An Empirical Analysis of BRICS–T Economies. Sustainability. 2025; 17(18):8271. https://doi.org/10.3390/su17188271
Chicago/Turabian StyleSahin, Guller, Halil Ibrahim Aydin, and Adnan Ozdemir. 2025. "The Relationship Between Energy and Climate Action in the Context of Sustainable Development Goals: An Empirical Analysis of BRICS–T Economies" Sustainability 17, no. 18: 8271. https://doi.org/10.3390/su17188271
APA StyleSahin, G., Aydin, H. I., & Ozdemir, A. (2025). The Relationship Between Energy and Climate Action in the Context of Sustainable Development Goals: An Empirical Analysis of BRICS–T Economies. Sustainability, 17(18), 8271. https://doi.org/10.3390/su17188271
 
        

 
       