Abstract
In this study, the accumulation characteristics of As, Hg, Cd, Cr, and Pb in 63 soil samples from 28 organic farms in Beijing, China, were analyzed to investigate the risk of heavy metal pollution in organic agriculture, and the key related factors were evaluated. The results revealed that the As, Hg, Cd, Cr, and Pb concentrations in the soil samples were below the risk screening values and substantially lower than those in the soil under conventional agriculture. However, the coefficients of variation for Hg and Cd were 112.45% and 38.34%, respectively, indicating a notable anthropogenic impact. Notably, 35.92% of the sampling sites had medium to high potential ecological risk values for Cd, and the Cd concentration increased considerably as the number of planting years increased. Different crop types impacted the soil heavy metal concentrations. The concentrations of Cd and As in the soil of Brassica crops were 0.265 and 12.915 mg/kg, respectively, which were substantially higher than those in the soil of other crop types. The Random Forest model indicated that soil nutrients had the most significant impact on soil heavy metal accumulation, particularly phosphorus. In conclusion, compared with conventional agriculture, organic agricultural soils have lower heavy metal concentrations and exhibit lower ecological risks, with no significant heavy metal pollution detected. However, there is a risk of Cd accumulation, and preventive measures should be implemented, especially for soils under prolonged cultivation and with potential sources of heavy Cd inputs.
1. Introduction
Organic agriculture is an important alternative form of farming to conventional agriculture, and it strictly adheres to the principles of sustainable development in the production process. Furthermore, it refrains from the use of synthetic fertilizers, pesticides, growth regulators, livestock and poultry feed additives, etc., and uses organic fertilizers to meet the nutritional needs of crops [1,2]. Studies have shown that the continuous application of organic fertilizers substantially increases the concentration of organic matter, promotes the formation of anti-dispersive macroaggregates in the soil, and improves soil structure [3,4,5]. Animal and poultry dung is a known source of common organic fertilizer. However, due to the widespread use of feed additives, heavy metal concentrations in animal and poultry feces have increased, which may raise the risk of heavy metal pollution in organic agriculture and even pose a danger to the integrity and safety of organic food [6,7,8,9,10].
The planting area of organic crops in China reached 2.2 million ha in 2019, which was the largest in Asia [11]. Beijing was the earliest and fastest to develop organic agriculture, with a 158% growth rate, which exceeds the average level worldwide [12]. The planting area of organic agriculture in Beijing totaled 10,900 ha, accounting for 5.1% of Beijing’s planted land area [13]. At present, soil heavy metal pollution is an important factor that restricts the development of agriculture and is a big concern because of its high toxicity and bioaccumulation [14,15]. In 2014, the Ministry of Environmental Protection and the Ministry of Land and Resources of China published a Report on National Soil Pollution Investigation. This document reported that 19.4% of farmland soil exceeded the soil quality standards (GB 15168-2018) [16]. Among the polluted sites, 82.8% were contaminated with five heavy metals: cadmium (Cd), mercury (Hg), arsenic (As), lead (Pb), and chromium (Cr) [17].
Current research on heavy metals in agricultural soil primarily focuses on heavy metal pollution in conventional agriculture, its contributing factors, and methods for soil remediation [18]. In contrast, studies on organic agriculture mainly consider changes in microbial communities, carbon sequestration, and carbon storage, with only a few studies addressing the concern of heavy metal concentration in organic agricultural soils [19,20]. To date, a few studies have been conducted to determine the accumulation characteristics and influencing factors of heavy metals in organic agriculture soils. Therefore, this study analyzed the pollution characteristics of Cd, Hg, As, Pb, and Cr in the organic farm soil from 28 organic farms in Beijing and explored the effects of planting years, crop types, and soil nutrients on the distribution and accumulation of these heavy metals. This study has two main objectives: to clarify the distribution of heavy metal pollution in organic agricultural soils in Beijing and to identify the factors that influence changes in soil heavy metal concentration. Furthermore, these findings will provide scientific evidence for the production management of organic farms in Beijing and promote the development of healthy organic agriculture in China.
2. Materials and Methods
2.1. Study Area and Sampling
Beijing is the center of political, cultural, and international exchange in China. It is situated at the northern tip of the roughly triangular North China Plain, with its center located at 39.9 N and 116.4 E. Beijing has a monsoon-influenced climate that is characterized by hot, humid summers because of the East Asian monsoon and generally cold, windy, dry winters because of the vast Siberian anticyclone, with an annual average temperature of 11.5 °C and an average annual precipitation of 600 mm. The soil types in the study areas were brown soil, cinnamon soil, and fluvo-aquic soil with light and sandy loam textures. The field research and sampling of organic farmlands were performed in 2023 from 63 sampling sites in 28 typical organically certified farms in Beijing. In addition, a literature review was conducted to collect information on soil heavy metal pollution in nonorganic agriculture.
Based on the China National Food Safety Standard (GB 2762-2022) [21], the 63 sampling sites were categorized into 6 groups according to the crop types: cereals, fruits, root and tuber vegetables, Brassica vegetables, leafy vegetables, and other fresh vegetables, and the numbers of crop types involved in each category were 1, 8, 3, 2, 23, and 21, respectively. Among these, 57 soil samples were collected from greenhouses, and 6 were collected from open fields. Within a single sampling site, the surface soil (0–20 cm depth) at the central and four corner points was collected using a stainless-steel spade and thoroughly mixed to ensure a comprehensive and representative mix.
2.2. Soil Sample Analysis
The Pb and Cd in soil were determined using graphite furnace atomic absorption spectrometry (Agilent 240FS, Santa Clara, CA, USA) [22], As and Hg were determined with atomic fluorescence spectrometry (Agilent 240FS) [23], and Cr was determined by flame atomic absorption spectrometry (Agilent 240FS) [23]. The soil organic matter (SOM) concentrations were determined using the potassium dichromate oxidation volumetric method [24]; the total nitrogen (TN) was measured with the Kjeldahl distillation method (KDY-9820, Beijing, China) [25]; ammonium nitrogen (NH4+-N) and nitrate nitrogen (NO3−-N) were determined by a fully automated flow injection analyzer (JiTian ASC500, Beijing, China); available P (AP) was measured using the 0.5 mol·L−1 sodium bicarbonate extraction-spectrophotometric method (DR6000, Loveland, CO, USA) [26]; and available K (AK) was extracted with 1 mol·L−1 NH4OAc and measured by atomic absorption spectrometry [27]. The soil pH was measured with a pH meter (Mettler S220, Greifensee, Switzerland) using a 1:5 soil-to-water ratio [28]. Soil electrical conductivity (EC) was measured using the electrode method with a soil-to-water mass ratio of 1:5 [28].
2.3. Literature Date Collection
The As, Hg, Cd, Cr, and Pb concentrations data of nonorganic farmland soils were collected by screening peer-reviewed articles published between 2000 and 2024 from the Web of Science and China National Knowledge Infrastructure using keywords such as Beijing, heavy metals, and soil. The articles were further screened according to several criteria, including the sampling sites, conventional cropland, soil sampling depths less than 30 cm, and the statistical values of heavy metal concentrations. A total of 46 articles were identified that met our criteria, yielding 853 data samples. Among them, 6 studies provide data on heavy metals in greenhouse soils, while 40 studies provide data on heavy metals in open-field soils.
2.4. Ecological Risk Assessment
To assess the risk of heavy metal pollution in the soil, the Hakanson potential ecological risk (PER) assessment was used [29], which considers the ecological effects, environmental benefits, and toxicological effects of heavy metals using the following equation:
where RI is the sum of potential ecological risk index for all heavy metals; EI is the individual potential ecological risk index; Ci is heavy metal concentration in soil; Cn is the background concentration of the heavy metal in the soil in Beijing, China; Ti is the biological toxicity factor of an individual element (the Ti of As = 10, Hg = 40, Cd = 30, Cr = 5, and Pb = 5) [30]. The classification criteria are shown in Table 1.
Table 1.
Classification standards for potential ecological risk index [31].
2.5. Data Processing
Data organization was conducted using Excel 2021, while normality testing and homogeneity of variance testing were performed using R version 4.3.3. Depending on the characteristics of the data distribution, either a one-way ANOVA or the Kruskal–Wallis test was selected for analysis. The “Hmisc” (version 5.1.2) and “corrplot” (version 0.92) R packages were used to perform correlation analysis and create visualizations to analyze the correlation between soil physicochemical indicators and the various metals.
The Random Forest (RF) model was used to analyze the factors that have an impact on heavy metals. This is an ensemble machine learning algorithm based on classification and regression [32,33]. The increase in mean squared error (IncMSE) was selected as the metric to quantify the variable importance. IncMSE involves randomly shuffling the values of a feature in the dataset and measuring the increase in the mean squared error (MSE) of the model’s predictions. A larger increase in the MSE suggests that the shuffled feature was important for the model’s predictive performance, as shuffling significantly degraded the predictions.
All charts and graphs were generated using R version 4.3.3 and Origin 2022.
3. Results
3.1. Characteristics and Potential Ecological Risks of Heavy Metals in Soils from Organic Farms
The concentrations of As, Hg, Cd, Cr, and Pb in soil from 0 to 20 cm depths ranged from 2.02 to 19.5, 0.01 to 0.78, 0.08 to 0.35, 32 to 116, and 11.8 to 36.3 mg·kg−1, respectively, with mean values of 6.88, 0.09, 0.15, 58.73, and 20.35 mg·kg−1 (Table 2). These values were all below the risk screening values [16]. The order of the coefficients of variation (CV) was as follows: Hg (112.45%), Cd (38.34%), As (35.12%), Pb (27.13%), and Cr (22.36%), which indicates that Hg and Cd had high variability and As, Cr, and Pb had moderate variability [34]. The kurtosis values of Hg, As, and Cr exceeded 4, indicating steep normal distribution curves and the presence of extreme values. The skewness of As, Hg, Cd, and Cr were all above 1, indicating a right-skewed distribution and suggesting the presence of outliers. In conventional agriculture, the mean and median values of As, Hg, Cd, and Pb were higher than those in organic agriculture. Similar to organic agriculture, the heavy metals showed moderate variability, except for Hg and Cd, which exhibited high variability. The kurtosis values of Hg, Cr, and Cd exceeded 4, thus indicating steep normal distribution curves and the presence of extreme values. The skewness of Hg, Cd, and Pb were all greater than 1, suggesting a right-skewed distribution, which indicates the presence of outliers.
Table 2.
Statistics of heavy metal concentrations in the soil of organic agriculture and conventional agriculture. (The heavy metal concentrations in the soil presented in the table are all based on dry soil).
The order of the average EI of the five heavy metals was Cd > As > Hg > Pb > Cr (Figure 1), and these average values were below 40, which indicates that the five heavy metals belong to the low ecological risk category [31]. Notably, the EI range for Cd was from 22.68 to 88.23; approximately 34.38% of the sampling sites presented a moderate risk, and approximately 1.54% of the sampling sites presented a high risk. Comprehensively, the range of RI was from 36.81 to 131.79, with a mean value of 63.18, thus indicating that the potential ecological risk of heavy metals in organic agriculture in Beijing falls within the low ecological risk category. The average EI values of the heavy metals in farmland soil from conventional agriculture followed the same ranking order as those from organic agriculture. Moreover, the concentrations of As, Hg, Cd, and Pb in farmland soil from conventional agriculture were significantly higher than those from organic agriculture. Similarly, the RI for conventional agriculture was also significantly higher than that for organic agriculture (p < 0.05).

Figure 1.
Potential ecological risk index of organic agriculture and conventional agriculture in Beijing. (The significance of differences is classified based on the value of p. Specifically, p > 0.05 indicates no significant difference, p < 0.05 indicates a significant difference, and p < 0.01 indicates an extremely significant difference).
3.2. Impact of Crop Types and Planting Years on the Soil Heavy Metals
The crop types had various effects on the heavy metal concentrations in the study (Figure 2). The organic farms cultivated with Brassica vegetables had significantly higher As or Cd soil concentrations than those of grain crops, fruit vegetables, root and tuber vegetables, leafy vegetables, and other fresh vegetable categories (p < 0.05). However, there were no differences among the crop types for soil Hg, Cr, and Pb (p > 0.05).
Figure 2.
Soil heavy metal concentrations of six crop types in organic agriculture. (Different letters indicate significant differences among crop types, p < 0.05. The heavy metal concentrations in the soil presented in the table are all based on dry soil).
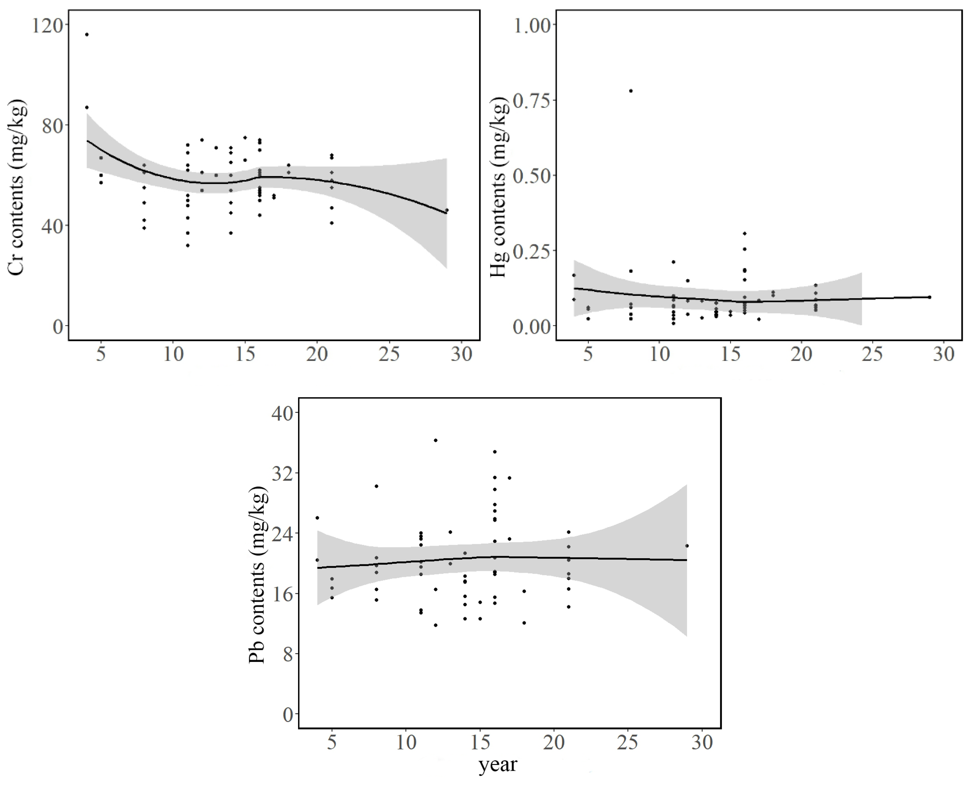
Among the five elements, distinct trends were observed with an increasing number of planting years (Figure 3). Variance analysis revealed that soil Cd and Cr concentrations were significantly influenced by planting years (p < 0.05). Cd concentration initially decreased slightly, followed by a continuous increase, with pronounced variations around the 10th planting year. Cr concentrations initially declined, then showed a slight increase, but ultimately continued to decrease, with marked fluctuations observed around the 13th and 16th planting years.

Figure 3.
Changes in soil heavy metal concentrations with planting years in organic agriculture in Beijing, China. (The significance of differences is classified based on the value of p. Specifically, p > 0.05 indicates no significant difference, p < 0.05 indicates a significant difference, and p < 0.01 indicates an extremely significant difference).
3.3. Impact of Soil Nutrient Concentrations on Heavy Metals
The concentrations of SOM, TN, and TP ranged from 13.1 to 72.6, 0.9 to 4.3, and 0.2 to 5.2 g·kg−1, respectively. Meanwhile, NH4+-N, NO3−-N, AP, and AK ranged from 1.3 to 39.72, 3.26 to 743.56, 13.8 to 283, and 119 to 2743 mg·kg−1, respectively (Table 3). According to the Beijing Soil Nutrient Index Scoring Rules, the average values of SOM, TN, AP, and AK in the sampling sites were all at extremely high levels.
Table 3.
Beijing Soil Nutrient Index Scoring Rules [35]. (The nutrient concentrations in the soil presented in the table are all based on dry soil).
Correlation analysis can reveal the relationships among different variables. Figure 4 illustrates the relationships between the heavy metals As, Hg, Cd, Cr, and Pb and the soil physicochemical indicators. As was significantly negatively correlated with AP, AK, and SOM (AP and AK p < 0.01; SOM, p < 0.05). Cd was significantly positively correlated with SOM, TN, EC, AP, AK, and NO3− (SOM, TN, and EC, p < 0.001; AP, p < 0.01; AK and NO3−, p < 0.05). Cd was also significantly negatively correlated with pH (p < 0.05). Pb was significantly negatively correlated with TP (p < 0.01) and positively correlated with EC (p < 0.05).
Figure 4.
Spearman correlation analysis of all elements. (The significance of the effect is indicated by * p < 0.05, ** p < 0.01, and *** p < 0.001).
3.4. Prediction and Analysis of Important Key Factors
A higher rank indicates a greater contribution of the variable to the model development and a stronger correlation with the response variable. For the soil surface layer (0–20 cm depth), the overall model accuracies (correlation coefficients, r) for As, Hg, Cd, Cr, and Pb are 0.46, 0.01, 0.16, 0.13, and 0.21, respectively (Figure 5). The primary factors explaining As are AP (6.93%), TP (7.06%), and TN (6.01%). For Hg, the key factors are AP (7.25%), NO3− (5.25%), and TN (4.78%). Significant factors for Cd include TN (13.19%), SOM (11.57%), and AP (10.87%). In the case of Cr, prominent factors are year (13.17%), EC (8.85%), and NH4+ (7.21%). Lastly, the major factors for Pb are TP (11.87%), TN (11.46%), and Cd (8.12%).
Figure 5.
Ranking of variable importance on soil heavy metals in organic agriculture. (The significance of the effect is indicated by * p < 0.05, ** p < 0.01, and *** p < 0.001).
4. Discussion
The selected organic farms in this study were rigidly screened, fully met the requirements of organic production, and obtained organic product certification. Random sampling was performed on each farm according to the crop types. Because of the limited number of grain farms, there was only one grain soil sample in this study.
Data analysis indicated that the CVs for Cd and Hg in organic agriculture were relatively high; thus, they were categorized as highly variable, which suggests abnormally high concentrations of Cd and Hg in the soil at a few sampling points. However, the concentrations of the five heavy metals were lower than the risk screening value for agricultural land, indicating that soil pollutants pose a low risk to the quality and safety of agricultural products and crop growth, which is consistent with the results of Duan Xuchuan et al. [36]. Through differential analysis, it was found that the concentrations of As, Hg, Cd, and Pb in conventional agricultural soil were significantly higher than those in organic agricultural soil. Furthermore, there were no significant differences in heavy metal concentrations in the soil between greenhouse and open-field cultivation in organic agriculture. The PER calculated based on the soil background values in Beijing indicated that all organic farms in Beijing were slightly polluted, confirming the lower environmental risk in organic agricultural soils. Notably, the EI for soil Cd was relatively high; 34.38% of the sampling sites were at moderate risk, and 1.54% of the sampling sites were at high risk. This finding aligns with the research by Jiang Rong et al. [37], who collected and analyzed soil samples from multiple organic farms in the Shandong and Hebei provinces of China and discovered that the soils in the study area were also slightly polluted, with Cd pollution being comparatively higher. In addition, data analysis revealed that the EI and RI values for As, Hg, Cd, and Pb in conventional agriculture were significantly higher than those in organic agriculture. When the planting types were the same, the heavy metal concentration in conventional agricultural soils was generally higher than that in organic agriculture. For open-field farming, the concentrations of As, Cd, and Pb in conventional agricultural soils were significantly higher than those in organic agriculture. Furthermore, in greenhouse farming, the concentration of Cr in conventional agricultural soil was significantly higher than that in organic agriculture.
The crop type was found to be a significant factor that influences heavy metal accumulation. Soils from Brassica crops had significantly higher Cd and As concentrations than those from other crop types. Wang Yulei et al. [38] found that Brassica crops had the lowest enrichment and transport coefficients for As, which may explain the higher As concentration in the soil of Brassica crops relative to other crops. Moreover, the notably higher Cd concentration in the soil could be attributed to the 87% detection rate of Cd in commercial organic fertilizers in Beijing as well as the higher fertilization rate for Brassica crops compared with other crops [39]. Studies have shown that the demand for nitrogen (N) and potassium (K) in Brassica crops is three times that of grain crops, and the demand for phosphorus (P) is 3.5 times that of grain crops [40,41].
Among the surveyed sites, the planting years ranged from 4 to 29 years, and analysis indicated that planting duration significantly impacted the soil Cd concentration. The Cd concentration reached its lowest point in the 10th year of planting, but an overall increasing trend was observed [42,43,44,45]. Notably, Cd concentration and the ecological risk index were higher from the 15th to the 29th year, suggesting that Cd accumulation occurred on farms with longer planting durations [46]. Cr concentration was slightly decreased with the increasing number of planting years. In contrast, a report by Sun Lingling found that soil Cr concentration increased with the increasing number of planting years, which is inconsistent with the present study [47]. Further analysis revealed that Cr concentration at the sampling sites with fewer planting years was significantly higher than that at sites with a greater number of planting years. However, after removing these sites, there was no significant difference in Cr concentration among the sampling sites with different planting durations [48]. The concentrations of As, Hg, and Pb in the soil did not show significant changes with planting years. This could be because changes in As concentration were primarily influenced by parent material, while Hg and Pb concentrations were mainly affected by atmospheric deposition and traffic factors [49]. Some studies have shown that the variation in As concentration in Beijing soil is mainly affected by soil-forming parent materials [50], while the concentrations of Pb and Hg are mainly influenced by atmospheric deposition and traffic factors [49,51]. Because of strict site selection and production material requirements, organic farms are typically located in villages and do not use pesticides or chemical products, which minimizes the entry of pollutants into the soil [48].
The results from the RF model indicate that soil fertility characteristics such as SOM, N, P, and K are significant factors that influence the accumulation of As, Hg, Cd, and Pb. In organic agriculture, changes in soil fertility are primarily attributed to the use of organic fertilizers; because of the widespread use of heavy metal compounds as feed additives in animal husbandry, these compounds, after being metabolized by animals, are excreted in manure. When this manure is applied as organic fertilizer in agriculture, these heavy metals are introduced into the soil. As soil fertility increases, so does the heavy metal concentration [52,53]. However, As exhibits unique behavior. When introduced into soil via organic fertilizers, As can convert stable forms of As already present in the soil into unstable forms. This may be due to As competing with P for binding sites in the soil, making As more readily absorbable by plants [54,55]. This could explain the highly significant negative correlation between available phosphorus and As, indicating a pronounced antagonistic effect. Phosphates can reduce the bioavailability and mobility of these heavy metals in the soil by immobilizing them in their solid phases, which inhibits leaching and causes accumulation in the topsoil [56]. Apart from P, SOM and N can also reduce the mobility of heavy metals in soil. The carboxyl, hydroxyl, and other functional groups within the structure of SOM bind with the heavy metals to form insoluble complexes, thereby decreasing the mobility of heavy metals in the soil [57]. N facilitates the conversion of soil heavy metals from water-soluble, exchangeable, and carbonate-bound forms to organic-bound forms, thereby reducing their bioavailability [58]. Furthermore, correlation analysis indicates a significant positive correlation between SOM, TN, and AP with Cd, which suggests a common source [52]. Interestingly, the primary factor influencing Cr accumulation is the planting duration, which is in contrast with the findings of Huang He et al. [59]. Additionally, the significant impact of the other four heavy metals on Cr levels suggests that they may share the same sources.
5. Conclusions
Organic agriculture represents one of the future directions for agricultural development. This study analyzes and discusses the characteristics and factors that influence the accumulation of heavy metals in the soil of organic farms in Beijing, China. The following results were obtained:
- (a)
- The PER index of the soil from organic farms in Beijing was below 40, indicating that the soil environment posed a low risk to the quality and safety of agricultural products, crop growth, or soil ecological environments. Compared with conventional agriculture, the EI for As, Hg, Cd, and Pb was also significantly lower in organic agriculture. Moreover, the soil concentrations of As, Hg, Cd, Cr, and Pb were significantly lower than those in conventional agricultural soils. However, moderate Cd risks were observed in 34.38% of the soil samples across all sampling sites, with 1.54% of sites exhibiting a high risk, which suggests Cd accumulation occurred at multiple sampling sites, thereby necessitating continued Cd accumulation risk management in the future.
- (b)
- The concentrations of As and Cd in the soil of Brassica crops were significantly higher than those of other crop types. The soil Cd and Cr concentration increased and decreased, respectively, with the increasing number of planting years. This was due to the presence of outlier data points; however, after screening out these outliers, the Cr concentration, similar to As, Hg, and Pb, did not change significantly with the increase in planting years.
- (c)
- Rather than using principal component analysis or cluster analysis as in other studies, this study employed an RF model to determine the extent to which factors influenced the soil’s heavy metal concentration. The RF model indicated that N and P had significant effects on the accumulation of As, Cd, Hg, and Pb, with P being an important and prominent factor. In summary, Beijing’s organic agriculture has an overall low ecological risk value, but there is a risk of Cd accumulation in soils with a greater number of planting years, and Cd is closely related to soil nutrients and crop types.
The prevention and control of heavy metal pollution should be addressed at the source. Future research can delve deeper into changes in soil heavy metal concentration, explore additional differences compared with conventional agriculture, and investigate the impact of the different production processes in conventional versus organic agriculture on soil heavy metal concentrations within the same region.
Supplementary Materials
The following supporting information can be downloaded at: https://www.mdpi.com/article/10.3390/su17030899/s1.
Author Contributions
Conceptualization, data curation, formal analysis, and writing—original draft, Z.S.; Investigation, Z.S., J.L., L.D., L.K., M.Z. and M.M.; Writing—review and editing, J.L., F.L. and L.D.; Funding acquisition, L.D., J.L. and M.M. All authors have read and agreed to the published version of the manuscript.
Funding
This research was funded by the Beijing Innovation Team of the Modern Agricultural Research System of the Beijing Municipal Agriculture and Rural Affairs Bureau (Project No.: BAIC08-2024-YJ01), as well as two projects from the Beijing Academy of Agricultural and Forestry Sciences: the Project for Science and Technology Innovation Capacity Building (Project No.: KJCX20240320) and the Demonstration of Soil Quality Restoration and Improvement Technology for Farmland Destroyed by Waterlogging (Project No.: JJP2024-014).
Institutional Review Board Statement
Not applicable.
Informed Consent Statement
Not applicable.
Data Availability Statement
All data analyzed during this study are included in this article. The relevant literature on conventional farmland can be found in the Supplementary File.
Conflicts of Interest
The authors declare no conflicts of interest.
References
- Scialabba, N.; Hattam, C. Organic Agriculture, Environment and Food Security; Food & Agriculture Organization: Rome, Italy, 2002. [Google Scholar]
- Saffeullah, P.; Nabi, N.; Liaqat, S.; Anjum, N.A.; Siddiqi, T.O.; Umar, S. Organic Agriculture: Principles, Current Status, and Significance. In Microbiota and Biofertilizers: A Sustainable Continuum for Plant and Soil Health; Hakeem, K.R., Dar, G.H., Mehmood, M.A., Bhat, R.A., Eds.; Springer International Publishing: Cham, Switzerland, 2021; pp. 17–37. ISBN 978-3-030-48771-3. [Google Scholar]
- Hanesch, M.; Scholger, R. Mapping of Heavy Metal Loadings in Soils by Means of Magnetic Susceptibility Measurements. Environ. Geol. 2002, 42, 857–870. [Google Scholar] [CrossRef]
- Li, Y.; Wang, G. Organic Agriculture and Sustainable Development. J. Appl. Ecol. 2004, 15, 2377–2382. [Google Scholar]
- Liu, Y.-T. Study on the Fixed Position of Applying Organic Fertilizer on Maize Fields of Dry Land. J. Maize Sci. 2003, 11, 86–88. [Google Scholar]
- Lu, D.; Zong, L.; Xiao, X.; Yang, Y.; Zhou, Z.; Xi, Y. A comparison of heavy metals concentration in soils of organic and conventional farming in typical regions of eastern China. J. Agro-Environ. Sci. 2005, 24, 143–147. (In Chinese) [Google Scholar]
- Rashmi, I.; Roy, T.; Kartika, K.S.; Pal, R.; Coumar, V.; Kala, S.; Shinoji, K.C. Organic and Inorganic Fertilizer Contaminants in Agriculture: Impact on Soil and Water Resources. In Contaminants in Agriculture; Springer: Cham, Switzerland, 2020; pp. 3–41. ISBN 978-3-030-41551-8. [Google Scholar]
- Margenat, A.; You, R.; Cañameras, N.; Carazo, N.; Díez, S.; Bayona, J.M.; Matamoros, V. Occurrence and Human Health Risk Assessment of Antibiotics and Trace Elements in Lactuca Sativa Amended with Different Organic Fertilizers. Environ. Res. 2020, 190, 109946. [Google Scholar] [CrossRef]
- Cooper, J.; Sanderson, R.; Cakmak, I.; Ozturk, L.; Shotton, P.; Carmichael, A.; Haghighi, R.S.; Tetard-Jones, C.; Volakakis, N.; Eyre, M.; et al. Effect of Organic and Conventional Crop Rotation, Fertilization, and Crop Protection Practices on Metal Concentrations in Wheat (Triticum aestivum). J. Agric. Food Chem. 2011, 59, 4715–4724. [Google Scholar] [CrossRef] [PubMed]
- Rong, L.; Li, S.T.; Wang, X.B.; Wang, M. Concentrations of Heavy Metal in Commercial Organic Fertilizers and Organic Wastes. J. Agro-Environ. Sci. 2005, 24, 392–397. [Google Scholar]
- Willer, H.; Yussefi, M.; Sahota, A.; Huber, B. The World of Organic Agriculture: Statistics and Emerging Trends; Research Institute of Organic Agriculture FiBL: Frick, Switzerland; IFOAM—Organics International: Frick and Bonn, Germany, 2007. [Google Scholar]
- Willer, H.; Trávníček, J.; Meier, C.; Schlatter, B. The World of Organic Agriculture. Statistics and Emerging Trends 2022; Willer, H., Trávníček, J., Meier, C., Schlatter, B., Eds.; Research Institute of Organic Agriculture FiBL: Frick, Switzerland; IFOAM—Organics International: Bonn, Germany, 2022; pp. 1–342. ISBN 978-3-03736-394-2. [Google Scholar]
- Hua, Y.; Huang, G. Evaluation of Ecosystem Services from Peri-Urban Organic Farms: A Case Study of Beijing. Acta Ecol. Sin. 2022, 41, 9076–9083. [Google Scholar] [CrossRef]
- Wang, L.; Cui, X.; Cheng, H.; Chen, F.; Wang, J.; Zhao, X.; Lin, C.; Pu, X. A Review of Soil Cadmium Contamination in China Including a Health Risk Assessment. Environ. Sci. Pollut. Res. 2015, 22, 16441–16452. [Google Scholar] [CrossRef]
- Li, Z.; Ma, Z.; van der Kuijp, T.J.; Yuan, Z.; Huang, L. A Review of Soil Heavy Metal Pollution from Mines in China: Pollution and Health Risk Assessment. Sci. Total Environ. 2014, 468, 843–853. [Google Scholar] [CrossRef]
- GB 15618-2018; State Environmental Protection Administration; State Bureau of Technology Supervision. Chinese Environmental Quality Standard for Soils. China Environmental Science Press: Beijing, China, 2018.
- Bulletin on the National Soil Pollution Survey Released by the Ministry of Environmental Protection and Ministry of Land and Resources_Ministry of Ecology and Environment of the People’s Republic of China. Available online: https://www.mee.gov.cn/gkml/sthjbgw/qt/201404/t20140417_270670.htm (accessed on 10 September 2024).
- Hu, W.; Cheng, W.-C.; Wang, Y.; Wen, S. Feasibility Study of Applying a Graphene Oxide-Alginate Composite Hydrogel to Electrokinetic Remediation of Cu(II)-Contaminated Loess as Electrodes. Sep. Purif. Technol. 2023, 322, 124361. [Google Scholar] [CrossRef]
- Meier, M.S.; Stoessel, F.; Jungbluth, N.; Juraske, R.; Schader, C.; Stolze, M. Environmental Impacts of Organic and Conventional Agricultural Products—Are the Differences Captured by Life Cycle Assessment? J. Environ. Manag. 2015, 149, 193–208. [Google Scholar] [CrossRef] [PubMed]
- Lori, M.; Hartmann, M.; Kundel, D.; Mayer, J.; Mueller, R.C.; Mäder, P.; Krause, H.-M. Soil Microbial Communities Are Sensitive to Differences in Fertilization Intensity in Organic and Conventional Farming Systems. FEMS Microbiol. Ecol. 2023, 99, fiad046. [Google Scholar] [CrossRef]
- GB2762-2022; National Food Safety Standard-Maximum Levels of Contaminants in Foods—Food Standards. Health Commission of Inner Mongolia Autonomous Region, Chinese: Inner Mongolia, China, 2022.
- GB/T17141-1997; Ministry of Ecology and Environment of the People’s Republic of China. Soil Quality-Determination of Lead, Cadmium-Graphite Furnace Atomic Absorption Spectrophotometry. Ministry of Ecology and Environment: Beijing, China, 1997.
- HJ491-2019; Ministry of Agriculture and Rural Affairs of the People’s Republic of China. Soil and Sediment—Determination of Copper, Zinc, Lead, Nickel and Chromium—Flame Atomic Absorption Spectrophotometry. Ministry of Ecology and Environment: Beijing, China, 2019.
- Nelson, D.W.; Sommers, L.E. Total Carbon, Organic Carbon, and Organic Matter. In Methods of Soil Analysis: Part 2 Chemical and Microbiological Properties; American Society of Agronomy, Soil Science Society of America: Madison, WI, USA, 2015; pp. 539–579. [Google Scholar] [CrossRef]
- Bremner, J.M. Determination of Nitrogen in Soil by the Kjeldahl Method. J. Agric. Sci. 1960, 55, 11–33. [Google Scholar] [CrossRef]
- Olsen, S.R.; Sommers, L.E. Phosphorus. In Methods of Soil Analysis; Agronomy Monographs; American Society of Agronomy, Soil Science Society of America: Madison, WI, USA, 1982; pp. 403–430. ISBN 978-0-89118-977-0. [Google Scholar]
- Bao, S.D. Soil and Agricultural Chemistry Analysis; China Agriculture Press: Beijing, China, 2000; pp. 355–356. [Google Scholar]
- Rayment, G.; Higginson, F. Australian Laboratory Handbook of Soil and Water Chemical Methods; Inkata Press Pty Ltd.: Melbourne, Australia, 1992. [Google Scholar]
- Hakanson, L. An Ecological Risk Index for Aquatic Pollution Control. A Sedimentological Approach. Water Res. 1980, 14, 975–1001. [Google Scholar] [CrossRef]
- Xu, Z.Q.; Ni, S.; Tuo, X.G.; Zhang, C.J. Calculation of Heavy Metal’s Toxicity Coefficient in the Evaluation of Potential Ecological Risk Index. Environ. Sci. Technol. 2008, 31, 112–115. [Google Scholar]
- Zhang, Z.; Li, J.; Mamat, Z.; Ye, Q. Sources Identification and Pollution Evaluation of Heavy Metals in the Surface Sediments of Bortala River, Northwest China. Ecotoxicol. Environ. Saf. 2016, 126, 94–101. [Google Scholar] [CrossRef]
- Genuer, R.; Poggi, J.-M.; Tuleau-Malot, C. Variable Selection Using Random Forests. Pattern Recognit. Lett. 2010, 31, 2225–2236. [Google Scholar] [CrossRef]
- Stojić, A.; Stojić, S.S.; Reljin, I.; Čabarkapa, M.; Šoštarić, A.; Perišić, M.; Mijić, Z. Comprehensive Analysis of PM10 in Belgrade Urban Area on the Basis of Long-Term Measurements. Environ. Sci. Pollut. Res. Int. 2016, 23, 10722–10732. [Google Scholar] [CrossRef]
- Wilding, L. Spatial Variability: Its Documentation, Accommodation and Implication to Soil Surveys. In Proceedings of the Soil Spatial Variability, Las Vegas, NV, USA, 2 February 1985. [Google Scholar]
- 2020 Beijing Long-Term Positioning Monitoring Report on Cultivated Land Quality. Available online: https://nyncj.beijing.gov.cn/nyj/zwgk/tzgg/11194881/index.html (accessed on 5 August 2024).
- Duan, X.C.; Li, P.; Huang, Y.; Lin, Y.; Yuan, G.L. Geochemical Characteristics and Risk Assessment of Heavy Metals in Agricultural Soils in Miyun District of Beijing. Geoscience 2018, 32, 95–104. (In Chinese) [Google Scholar]
- Jiang, R.; Lyu, Y.Z.; Shen, S.Y. Assessment of heavy metal concentration and pollution in organic and conventional farming soils in North China. Chin. J. Eco-Agric. 2015, 23, 877–885. (In Chinese) [Google Scholar]
- Wang, Y.L.; Ji, T.W.; Yu, D.H.; Xiao, M. Investigation and analysis of heavy metal concentration in soil and vegetables in part of vegetable bases in Zhejiang. Zhejiang Nongye Kexue 2020, 61, 1310–1312. (In Chinese) [Google Scholar]
- Gao, F. Analysis of quality and heavy metal concentration of organic fertilizer in Beijing. J. Beijing Univ. Agric. 2022, 37, 19–24. (In Chinese) [Google Scholar]
- Fan, Y.; Li, H.; Xue, Z.; Zhang, Q.; Cheng, F. Accumulation Characteristics and Potential Risk of Heavy Metals in Soil-Vegetable System under Greenhouse Cultivation Condition in Northern China. Ecol. Eng. 2017, 102, 367–373. [Google Scholar] [CrossRef]
- Huang, L.; Wang, Q.; Zhou, Q.; Ma, L.; Wu, Y.; Liu, Q.; Wang, S.; Feng, Y. Cadmium Uptake from Soil and Transport by Leafy Vegetables: A Meta-Analysis. Environ. Pollut. Barking Essex 1987 2020, 264, 114677. [Google Scholar] [CrossRef] [PubMed]
- An, Y.L.; Li, S.J.; Zhang, Y.W.; Wang, Y.; Cui, Y.T.; Li, H.R.; Chen, X.P.; Zhang, W. The Effect of Long-Term Application of Organic Fertilizer on the Accumulation and Migration of Heavy Metals in Vegetable Soil. J. Southwest Univ. (Nat. Sci. Ed.) 2022, 44, 41–51. (In Chinese) [Google Scholar]
- Guo, T.; Lou, C.; Zhai, W.; Tang, X.; Hashmi, M.Z.; Murtaza, R.; Li, Y.; Liu, X.; Xu, J. Increased Occurrence of Heavy Metals, Antibiotics and Resistance Genes in Surface Soil after Long-Term Application of Manure. Sci. Total Environ. 2018, 635, 995–1003. [Google Scholar] [CrossRef] [PubMed]
- Leclerc, A.; Laurent, A. Framework for Estimating Toxic Releases from the Application of Manure on Agricultural Soil: National Release Inventories for Heavy Metals in 2000–2014. Sci. Total Environ. 2017, 590, 452–460. [Google Scholar] [CrossRef]
- Xue, Y.F.; Shi, Z.Q. Characteristics of Soil Nutrient and Heavy Metal Concentration with the Different Years of Cultivation. J. Soil Water Conserv. 2011, 4, 125–130. [Google Scholar]
- Sun, L.L.; Zhang, H.L.; Chen, L.L.; Chen, Y.Y.; Liu, X.Y.; Ma, G.F. Distribution, Accumulation Characteristics, and Risk Assessment of Heavy Metals in Vegetable Soils of Varying Planting Years. Environ. Sci. 2024, 1–13. (In Chinese) [Google Scholar] [CrossRef]
- Ren, Q.; Sun, R.-L.; Zheng, K.-X.; Liu, Y.-D.; Ruan, X.; Wang, Y. Soil Properties, Heavy Metal Accumulation, and Ecological Risk in Vegetable Greenhouses of Different Planting Years. Huan Jing Ke Xue Huanjing Kexue Bian Ji Zhongguo Ke Xue Yuan Huan Jing Ke Xue Wei Yuan Hui Huan Jing Ke Xue Bian Ji Wei Yuan Hui 2022, 43, 995–1003. [Google Scholar] [CrossRef]
- Chen, Y.; Hu, W.; Huang, B.; Weindorf, D.C.; Rajan, N.; Liu, X.; Niedermann, S. Accumulation and Health Risk of Heavy Metals in Vegetables from Harmless and Organic Vegetable Production Systems of China. Ecotoxicol. Environ. Saf. 2013, 98, 324–330. [Google Scholar] [CrossRef]
- Zheng, Y.-L.; Wen, H.-H.; Cai, L.; Luo, J.; Tang, D.-Y.; Wu, M.; Li, H.; Li, D. Source Analysis and Risk Assessment of Heavy Metals in Soil of County Scale Based on PMF Model. Huan Jing Ke Xue Huanjing Kexue Bian Ji Zhongguo Ke Xue Yuan Huan Jing Ke Xue Wei Yuan Hui Huan Jing Ke Xue Bian Ji Wei Yuan Hui 2023, 44, 5242–5252. [Google Scholar] [CrossRef]
- Qi, J.; Wang, M.E.; Wu, Z.Q.L.; OuYang, Z.Y. Accumulation Characteristics of Arsenic in Suburban Soils of Beijing. Environ. Sci. 2012, 33, 2849–2854. (In Chinese) [Google Scholar]
- Dao, L.; Morrison, L.; Zhang, H.; Zhang, C. Influences of Traffic on Pb, Cu and Zn Concentrations in Roadside Soils of an Urban Park in Dublin, Ireland. Environ. Geochem. Health 2014, 36, 333–343. [Google Scholar] [CrossRef]
- Xi, Z. The Status and Changes of Organic Matter, Nitrogen, Phosphorus and Potassium under Different Soil Using Styles of Shouguang of Shangdong Province. Acta Ecol. Sin. 2009, 29, 3737–3746. [Google Scholar]
- An, L.H.; Liu, M.C.; Zhang, J.Q.; Huang, L.; Chen, Z.L. Sources of Arsenic in Soil and Affecting Factors of Migration and Release: A Review. Soil 2020, 52, 234–246. [Google Scholar]
- Knox, A.S.; Kaplan, D.I.; Paller, M.H. Phosphate Sources and Their Suitability for Remediation of Contaminated Soils. Sci. Total Environ. 2006, 357, 271–279. [Google Scholar] [CrossRef]
- Hou, Q.-H.; Ma, A.-Z.; Lv, D.; Bai, Z.-H.; Zhuang, X.-L.; Zhuang, G.-Q. The Impacts of Different Long-Term Fertilization Regimes on the Bioavailability of Arsenic in Soil: Integrating Chemical Approach with Escherichia Coli arsRp: Luc-Based Biosensor. Appl. Microbiol. Biotechnol. 2014, 98, 6137–6146. [Google Scholar] [CrossRef] [PubMed]
- Jiao, W.; Chen, W.; Chang, A.C.; Page, A.L. Environmental Risks of Trace Elements Associated with Long-Term Phosphate Fertilizers Applications: A Review. Environ. Pollut. 2012, 168, 44–53. [Google Scholar] [CrossRef] [PubMed]
- Wan, Y.; Huang, Q.; Wang, Q.; Yu, Y.; Su, D.; Qiao, Y.; Li, H. Accumulation and Bioavailability of Heavy Metals in an Acid Soil and Their Uptake by Paddy Rice under Continuous Application of Chicken and Swine Manure. J. Hazard. Mater. 2020, 384, 121293. [Google Scholar] [CrossRef]
- Li, R.; Tan, W.; Wang, G.; Zhao, X.; Dang, Q.; Yu, H.; Xi, B. Nitrogen Addition Promotes the Transformation of Heavy Metal Speciation from Bioavailable to Organic Bound by Increasing the Turnover Time of Organic Matter: An Analysis on Soil Aggregate Level. Environ. Pollut. 2019, 255, 113170. [Google Scholar] [CrossRef]
- Huang, H.; Zhou, Y.; Liu, Y.; Xiao, L.; Li, K.; Duan, J.; Wei, H. Source analysis of heavy metals in farmland based on environmental variables and random forest approach: District of Xiangzhou District in Xiangyang City. Acta Sci. Circumstantiae 2020, 40, 4548–4558. (In Chinese) [Google Scholar]
Disclaimer/Publisher’s Note: The statements, opinions and data contained in all publications are solely those of the individual author(s) and contributor(s) and not of MDPI and/or the editor(s). MDPI and/or the editor(s) disclaim responsibility for any injury to people or property resulting from any ideas, methods, instructions or products referred to in the content. |
© 2025 by the authors. Licensee MDPI, Basel, Switzerland. This article is an open access article distributed under the terms and conditions of the Creative Commons Attribution (CC BY) license (https://creativecommons.org/licenses/by/4.0/).






