Abstract
The mangrove wetland of the Dongzhai Harbour, located in northeastern Hainan, is of high ecological value. However, environmental pollution brought by the current rapid economic development, especially the pollution of heavy metals and reduced inorganic sulphur, puts the ecological environment of this region at risk. As the main carrier of these two kinds of pollution, sediments are deeply involved in their biogeochemical cycles. Therefore, in this study, surface sediments of mangrove wetlands in the Dongzhai Harbour were collected, and their concentration characteristics and sources of reductive inorganic sulphur (RIS) forms and heavy metals were investigated. The average RIS concentrations of the sediments in the study area were about 22.31 μmol/g, among which acid volatile sulphide (AVS) had the highest weight (ave. 10.01 μmol/g), followed by chromium (II)-reducible sulphur (CRS) with the average concentrations of 8.46 μmol/g, and elemental sulphur (ES) (3.84 μmol/g), which had the lowest concentration. The spatial distributions of different RIS forms were differentiated, reflecting the diversity of environments in the study area. Correlation analyses showed that the RIS forms, such as AVS and CRS, were mainly enriched in clay-sized sediments with p < 0.05. Compared to other areas of the world, the present study area was less contaminated by RIS. Ratio calculation revealed that the reducing environment in the study area limited the conversion of AVS to CRS in the sediments. Among the heavy metals, Cr (70.03 mg/kg) was the most abundant, followed by Zn, Pb, and Ni with an average of >20 mg/kg, while other elements such as As, Cd, Cu, Hg, and Co were found to be low (<18 mg/kg). Correlation analyses revealed that clay-sized sediments significantly constrained Ni, Zn, and Co and could effectively bind to AVS (p < 0.05). Based on cluster analysis, it was found that agricultural activities, mariculture, and transport mainly influenced heavy metals and RIS of sediments in the study area. The study helps understand the pollutant cycle in shelf wetland sediments and provides practical guidance for the sustainable development of ecosystems. In the future, it is recommended that reasonable control of pollution emissions be implemented in relevant areas.
1. Introduction
Mangrove wetlands are integrated ecosystems located in tropical and subtropical coastal areas that contain evergreen trees and shrubs subject to periodic tidal inundation and a wide variety of terrestrial and marine organisms, which constitute mangrove ecosystems together with abiotic factors [1,2]. As a transition zone for sea–land exchange and energy transfer, the mangrove ecosystems are often highly productive and are of great relevance for marine hazard prevention, carbon sequestration, land resource planning, and biodiversity conservation in coastal zones [3]. Mangroves, as an important buffer zone between land and sea, are a major source and sink for various pollutants, particularly heavy metals and sulphur compounds [4,5,6]. Numerous studies have demonstrated the accumulation of typical heavy metals (e.g., Pb, Cd, Cu, Zn) in mangrove sediments and their potential ecological risks [7]. Additionally, sulphur pollution, primarily manifested as sulphate reduction and sulphide accumulation, has been widely documented in mangrove ecosystems due to anaerobic sediment conditions [8]. Hainan Island, due to its unique climatic conditions, is one of the Chinese provinces with the most extensive mangrove wetlands. The Dongzhai Harbour mangrove wetland, located in its northeastern part, covers 1771 ha mangrove plants and is one of China’s largest coastal ecosystems. It features a rich ecological structure and a complex microbial community and is regarded as China’s mangrove plant gene pool [9,10].
In recent years, population growth, tourism development, expansion of mariculture areas, and industrial and agricultural discharges have led to increasing environmental pressure on the mangrove wetland in the Dongzhai Harbour [11,12]. This wetland is a typical reservoir of sulphur pollution due to its abundant accumulation of organic matter and its anaerobic environment [13]. Sulphur, of which the chemical form can be classified into organic and inorganic sulphurs, has a chemical valence ranging from +6 to −2 [14]. Elemental sulphur cycling plays an important role in biometabolism and the transformation of geochemical elements. Pore water in deep soils can be utilised by microorganisms through the degradation of organic sulphur [15]. Under microbial influence, the production of sulphate and methane exhibits both synergistic and antagonistic effects [9,16]. Iron and iron oxides promote sulphate reduction and microbial transformation of organic sulphur compounds [17]. Its chemical form can be classified into organic and inorganic sulphurs. Sediments are the main material base of the mangrove wetland in the Dongzhai Harbour, and, at the same time, as important carriers of nutrients and pollutants, they are widely involved in the biogeochemical cycling of sulphur from the coastal transition zone. Reduced inorganic sulphur (RIS) is the most active fraction of sediment sulphur form, including acid volatile sulphur (AVS), chromium (II)-reducible sulphur (CRS), and elemental sulphur (ES) [18]. Among them, the AVS is mainly composed of sulphate reduction products combined with Fe and contains amorphous FeS, machinolite, and sulphur complex pyrite. CRS is the thermodynamically stable state of sedimentary inorganic sulphur and is the most widely distributed authigenic mineral in marine sediments. Elemental sulphur is significantly less stable than CRS and is a transition product during the sulphur cycle [19,20]. The multiple forms of sulphur are interconverted by microbial action depending on different redox environments. In addition to the RIS, heavy metals are also major pollutants in the mangrove wetlands of the Dongzhai Harbour because of urbanization, changes in land use, and multi-source transport [21]. These metals, including As, Cd, Cr, Cu, Hg, Pb, Ni, Zn, and Co, are persistent, difficult to degrade, and highly toxic. Meanwhile, they accumulate through the food chain, causing reversible damage to both humans and nature [22]. Therefore, it is important to study the characteristics of RIS and heavy metal concentrations in the sediments for environmental guidance and pollution prevention of the mangrove wetland in Dongzhai Harbour.
Currently, the characteristics of RIS forms and heavy metal concentrations in coastal wetland sediments have been studied extensively [23,24,25,26]. However, the focus on the mangrove wetlands in the Dongzhai Harbour was relatively weak. Therefore, in this study, the distribution characteristics, relations, and sources of heavy metals and reduced inorganic sulphur concentrations were analysed in soil and marine sediments from the Dongzhai Harbour mangrove wetland in Hainan. The results of the study are intended to provide scientific guidance for local ecological protection and coordinated development of humans and land.
2. Material and Methods
2.1. Study Area and Sample Collection
The Dongzhai Harbour (19°51′ N–20°01′ N, 110°32′ E–110°37′ E), located between Wenchang and Haikou in the northeastern part of Hainan Island, is the first national nature reserve established in China with mangrove forests as the main object of protection (Figure 1). It has a gentle terrain, with a length of about 84 km and an area of about 54 km2 [10]. The area is located in a tropical maritime climate zone, with an average temperature of about 23.5 °C, an average precipitation of about 1676.4 mm, an average sunshine duration of about 2200 h, and a seawater salinity ranging from 0% to 20% annually [27]. The special land structure makes the tidal wave of the study area irregular and semi-diurnal, with a mean tidal range of about 0.89 m. From the 1960s to the present, the mangrove area in the Dongzhai Harbour has shrunk by nearly 50% under the multiple impacts of shrimp aquaculture, tourism, and urbanization construction [28]. In addition, the rapid development of industry and agriculture around the study area from the 1990s has resulted in wastewater being discharged directly into the wetland through rivers [10]. Therefore, the current environmental pressure on the mangrove wetlands in the Dongzhai Harbour should not be underestimated. To ensure the even spatial distribution of sampling points and to maintain the representativeness of the data and the objectivity of the results, the sampling points were laid out as shown in Figure 1. There were 26 samples in total. The top 20 cm of soil and marine sediments were collected for analysis. The sampling points for marine sediments were reached through a boat. Samples were collected with minimal disturbance, sealed in Polyethylene (PE) bags, and transported to the laboratory at low temperatures.
Figure 1.
Map showing the sampling sites in the Dongzhai Harbour mangrove wetland.
2.2. Sample Analysis
2.2.1. Determinations of Soil Properties and Heavy Metal Concentrations
All samples were dried, and the grain size was determined using a Mastersizer 3000 (Malvern Panalytical, Malvern, Egham, Surrey, UK). Before determination, the samples’ organic matter and secondary carbonates were removed with enough 6% H2O2 and 0.25 mol/L HCl. Then, the samples were washed and dispersed with 0.5% (NaPO3)6. Finally, the samples were tested on a machine with an accuracy of better than 3%. The AVS, CRS, and ES of the samples were extracted by cold diffusion, and their concentrations were detected by iodine titration with an accuracy of better than 5% (Agilent Technologies., Santa Clara, CA, USA) Heavy metals (As, Cd, Cr, Cu, Hg, Pb, Ni, Zn, and Co) were determined by iCAP RQ ICP-MS (Thermo Fisher Scientific Inc., Waltham, MA, USA) with the accuracy of better than 4% before the samples were digested using HF, HNO3, HClO4, and HCl. The pH of the samples was measured using a Delta 320 pH meter (Mettler-Toledo Inc., Greifensee, Switzerland).
2.2.2. AVS CRS and ES Extraction Process Using the Cold Diffusion Method
Take an appropriate amount of sediment sample (usually 1.00 g) and place it into the reaction apparatus. Add an appropriate amount of dilute hydrochloric acid (usually 6 mol/L) to the reaction apparatus, allowing the metal sulphides (such as CuS, ZnS, etc.) in the sediment to react with the hydrochloric acid to produce hydrogen sulphide (H2S) gas. Under nitrogen protection (with a nitrogen flow rate of approximately 20 mL/min), place the reaction apparatus into the cold diffusion device, enabling the generated H2S gas to diffuse into the absorption solution through the cold diffusion device. The absorption solution is typically a sodium hydroxide solution, with which H2S gas reacts to form sodium sulphide (Na2S), which is then oxidised to sulphate ions (SO42−) using hydrogen peroxide [29]. After the AVS extraction is completed, there is no need to replace the sample; add an appropriate amount of CrCl2 solution to the reaction apparatus. Under nitrogen protection, place the reaction apparatus into the cold diffusion device, allowing the FeS2 in the sediment to react with CrCl2 to produce sulphides. The generated sulphides diffuse into the absorption solution through the cold diffusion device, which is also a sodium hydroxide solution. After the CRS extraction is completed, there is no need to replace the sample; add an appropriate amount of N, N-dimethylformamide (DMF) to the reaction apparatus, followed by an appropriate amount of CrCl2 solution and concentrated hydrochloric acid. Under nitrogen protection, place the reaction apparatus into the cold diffusion device, allowing the elemental sulphur in the sediment to react with the reagents to produce sulphides. The generated sulphides diffuse into the absorption solution through the cold diffusion device [30].
2.2.3. QA/QC
QA/QC measures are essential during sampling, processing, and analysis to ensure the validity, reproducibility, and comparability of the methods and research findings [31]. The experimental data are strictly reviewed to ensure their integrity and accuracy. Through the aforementioned QA/QC measures, the accuracy and reliability of the analysis results for AVS, CRS, and ES can be effectively guaranteed.
3. Results and Discussion
3.1. pH Values, Grain Sizes, and Inorganic Sulphur Forms
The pH of mangrove wetland sediments in the Dongzhai Harbour ranged from 4.8 to 8.3, with a mean value of about 7.0 and a coefficient of variation of about 0.16 (Figure 2). Among them, 40.7% were acidic (pH < 7.0). The pH of terrestrial sediments ranged from 4.8 to 7.9, with a mean value of about 6.1. In contrast, marine sediments had a narrower range of pH values from 5.3 to 8.3, with a higher mean value (7.3), which may be due to the influence of alkaline seawater [32].
Figure 2.
pH and grain size compositions of sediments in the Dongzhai Harbour mangrove wetland. * and ** denote p value < 0.05 and 0.01, respectively. (a) Distribution of sediment pH values. (b) Distribution of clay content in sediments. (c) Distribution of silt content in sediments. (d) Distribution of sand content in sediments.
The clay fraction of sediments in the study area ranged from 2.6% to 20.3%, with a mean value of about 11.93% and a coefficient of variation of about 0.43 (Figure 2). In contrast, the silt fraction had a significantly wider range of values, with a higher average value of about 57.0%. The sand fraction of the sediments in this area had the widest range, with an average value of about 31.1%, which was between the values of the first two fractions. The average concentrations of the clay, silt, and sand fractions of the terrestrial sediments in this area were about 11.1%, 58.9%, and 30.0%, respectively. In comparison, the concentrations of the clay and sand fractions of the marine sediments were slightly lower, and the silt fraction was a little higher. Overall, the grain size of the mangrove wetland sediments in the Dongzhai Harbour was coarser than the values of the Bohai Sea and Yellow Sea sediments [29,33], which reflected the stronger hydrodynamic influence in the study area.
The total RIS (TRIS) concentrations of mangrove wetland sediments in the Dongzhai Harbour ranged from 17.16 μmol/g to 27.00 μmol/g, with an average value of about 22.31 μmol/g and a coefficient of variation of about 0.12 (Figure 3). Among them, the AVS concentration accounted for the highest percentage, which ranged from 7.92 to 13.15 μmol/g, with an average value of about 10.01 μmol/g. Compared with AVS, the range of CRS concentration was wider (2.32 μmol/g–12.46 μmol/g), and the average value was lower (8.46 μmol/g) (Figure 3). The range and the average value of ES concentration were the widest and the lowest. The average concentrations of TRIS, AVS, CRS, and ES in the terrestrial soil from this region were about 22.16 μmol/g, 9.84 μmol/g, 8.74 μmol/g, and 3.58 μmol/g, respectively. The average concentrations of TRIS, AVS, and ES of marine sediments were higher than the values of terrestrial soil, which implied the marine-reducing environment in the study area driving the RIS generation. It was worth noting that based on the One-way ANOVA, the p values of the pH values, grain sizes, and concentrations of inorganic sulphurs between the terrestrial and the marine sediments were below 0.05, verifying the significant differences between the two regions.
Figure 3.
Reductive inorganic sulphur species concentrations of sediments in the Dongzhai Harbour mangrove wetland. (a) distribution of concentrations of ES, CRS, and AS in terrestrial sediments. (b) distribution of con-centrations of ES, CRS, and AS in marine sediments.
Spatially, the high RIS areas were distributed in the central, western, and southern parts of the mangrove wetlands of the Dongzhai Harbour, while the low RIS areas were located in the southwestern and northern parts (Figure 4). The high and low AVS areas were mainly located in the eastern and western parts of the study areas, respectively (Figure 4). The high CRS areas were mainly located in the central and southern parts of the study areas, while low CRS areas were mainly distributed in the northern part (Figure 4). The distribution of ES in the Dongzhai Harbour was different from those of other forms, with high ES values located mainly in the east-central and west-central parts and low ES values widely distributed in the northern and southern parts (Figure 4). The diversity in the spatial distributions of different RIS forms reflected the various environments of the mangrove wetlands in Dongzhai Harbour.
Figure 4.
Spatial distributions of reductive inorganic sulphur species concentrations in sediments from the Dongzhai Harbour mangrove wetland. (a) Spatial distribution of reduced inorganic sulphur (RIS). (b) Spatial distribution of acid-volatile sulphur (AVS). (c) Spatial distribution of chromium-reducible sulphur (CRS). (d) Spatial distribution of elemental sulphur (ES).
It is generally accepted that organic matter concentration and redox environment are important factors influencing sediment RIS because the regional eutrophication accelerates the accumulation of organic matter, which contributes to benthic mineralization and oxygen depletion, leading to reducing environments and RIS generation [29,34]. In addition, grain size is also one of the factors affecting the RIS concentration of sediments, and usually, coarse-grained sediments have higher dissolved oxygen concentration and lower organic matter concentration, which hinders RIS production [35,36]. TRIS, AVS, and CRS concentrations of the sediment in this study showed significant positive and negative correlations with clay and sand fractions, reflecting the constraints of grain size on them (Figure 5). Compared to grain size, the correlations of pH with concentrations of different RIS forms in this study were low, which indicated its weak effect. As can be seen from Table 1, the concentrations of various RIS forms in the sediments of this study were significantly lower than the values of the Shijing River and mangrove forest in southeast Queensland, which was due to the finer grain size of the sediments, the higher concentrations of organic matter and the reducing environment in these two areas. Meanwhile, it can be found that the RIS concentrations of sediments in this study area were similar to those of the North Yellow Sea and Lakes in Antarctica, but the AVS concentration was much lower than that of Pike Lake sediments (Table 1), which was due to the more serious sulphur contamination of Pike Lake compared with other areas. According to the summary of previous studies, the range of AVS concentrations in sediments of low-contaminated water bodies tended to be between 4.0 and 13.0 μmol/g [37,38]. Therefore, it was considered that the study area showed a low level of contamination, similar to the North Yellow Sea and Lakes in Antarctica.
Figure 5.
Correlation analyses for the pH, clay size fractions and concentrations of RIS, and heavy metal elements in sediments from the Dongzhai Harbour mangrove wetland. * and ** denote p value < 0.05 and 0.01, respectively.
Table 1.
Comparison of RIS (μmol/g) in sediments from the Dongzhai Harbour mangrove wetland with other areas.
AVS is the most dominant form of RIS in the sediments of this study, followed by CRS. Gagnon et al. (1995) established a link between these two forms and concluded that AVS cannot be effectively converted to CRS when the value of CRS/AVS is less than 3 [42,43]. The calculated CRS/AVS values for the mangrove wetland sediments in the Dongzhai Harbour ranged from 0.23 to 1.27, with an average of about 0.85 (Table 1). Among them, the values were slightly higher for terrestrial sediments (0.89) and lower for marine sediments (0.83), which were significantly lower than those for the North Yellow Sea, Zhanzhou Bay in Hainan, and mangrove forests in the southeast of Queensland [15,29,44], reflecting the limitation of conversion from AVS to CRS by the strong reducing environment in the study area [36].
3.2. The Relationships Between Inorganic Sulphur Forms and Heavy Metals in Surface Sediments
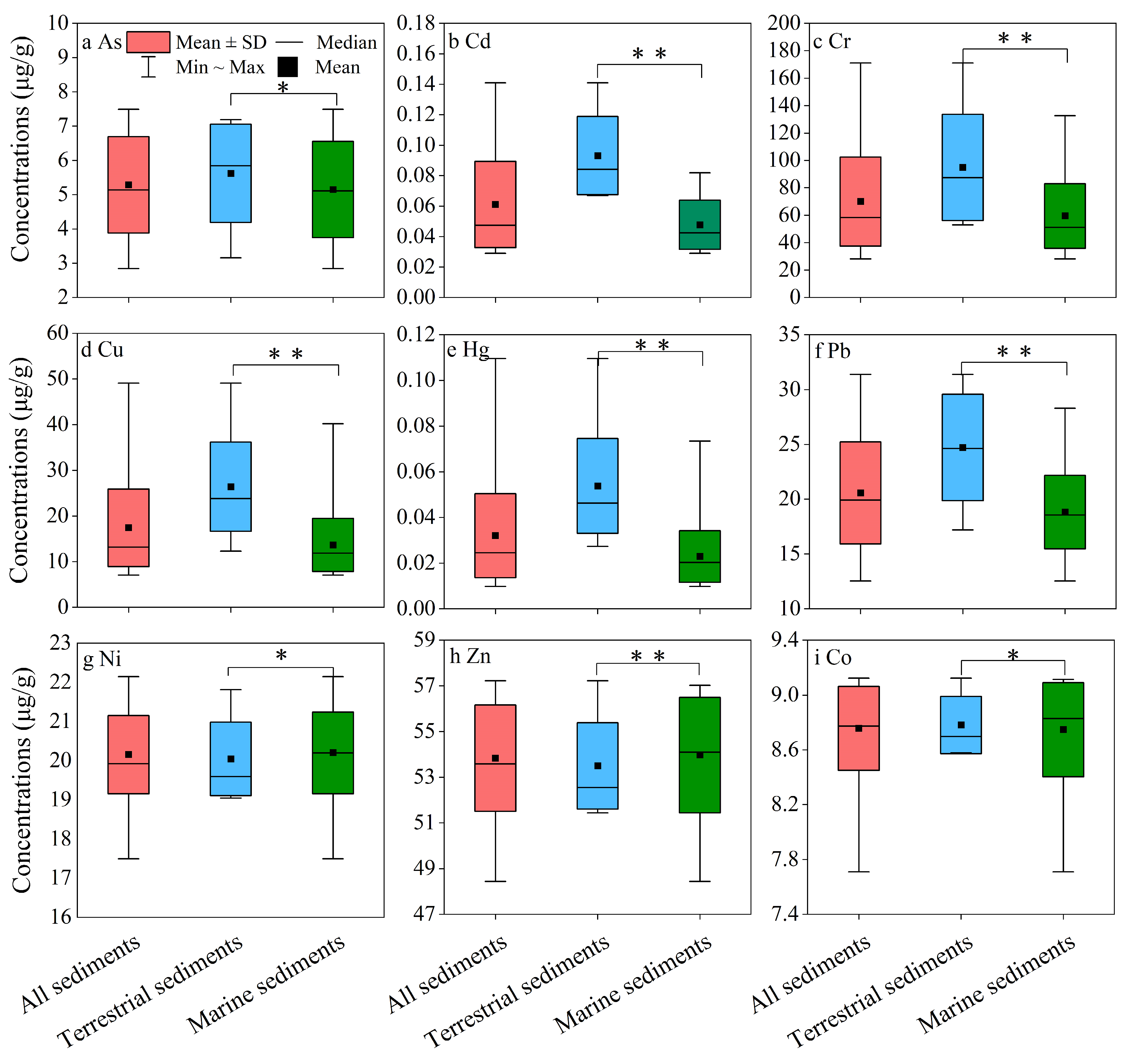
The Cr concentration of the mangrove wetland sediments of the Dongzhai Harbour, ranging from 28.34 mg/kg to 171.16 mg/kg with an average value of 70.03 mg/kg, was the highest among the heavy metals (Figure 6). Zn, Pb, and Ni had ranges of 48.44 mg/kg to 57.22 mg/kg, 12.53 mg/kg to 31.41 mg/kg, and 17.50 mg/kg to 22.14 mg/kg, respectively. The concentrations of As, Cd, Cu, Hg, and Co, with average values less than 18.00 mg/kg, were significantly lower than the other heavy metals (Figure 6). Among these elements, As, Ni, Zn, and Co were found in both terrestrial and marine sediments, and the average values of these elements were less than 18.00 mg/kg (Figure 6). It can be seen from Figure 6 that the average concentrations of As, Ni, Zn, and Co in terrestrial and marine sediments were similar, while the average concentrations of other elements in the terrestrial sediments were significantly higher than those in the marine sediments (p values < 0.05, One-way ANOVA), which reflected the distinctions of geochemical properties of different elements.
Figure 6.
Heavy metal concentrations of sediments in the Dongzhai Harbour mangrove wetland. * and ** denote p value < 0.05 and 0.01, respectively. ((a) Distribution of chromium (Cr) concentrations. (b) Distribution of zinc (Zn) concentrations. (c) Distribution of lead (Pb) concentrations. (d) Distribution of nickel (Ni) concentrations. (e) Distribution of arsenic (As) concentrations. (f) Distribution of cadmium (Cd) concentrations. (g) Distribution of copper (Cu) concentrations. (h) Distribution of mercury (Hg) concentrations. (i) Distribution of cobalt (Co) concentrations).
Based on the correlation analysis, it could be seen that the concentrations of heavy metals, such as Ni, Zn, and Co, had obvious correlations with the clay fraction and weak correlations with the other two fractions. This may be because these elements were mostly adsorbed by the clay-sized sediments or are present in the lattice of clay minerals. Unlike these elements, the concentrations of other heavy metals, such as As, Cd, Cr, Cu, Hg, and Pb, did not show a significant correlation with the concentrations of the three size fractions, which may be because these elements are present in both coarse-grained heavy minerals and fine-grained clay minerals [45]. It has been suggested that under specific redox conditions, relative to organic carbon and Fe-Mn oxides, sulphides were preferential for the binding of heavy metals. Therefore, the associations between heavy metals and RIS forms have been studied by many previous studies. AVS is primarily formed by the combination of sulphide produced by sulphate reduction in sediments (such as H2S) with iron (Fe), including amorphous FeS, mackinawite, and greigite. These sulphides can chemically react with heavy metal ions (such as Co2+, Ni2+, Zn2+, etc.) to form insoluble metal sulphide precipitates [43]. This process can significantly reduce the bioavailability of heavy metals in sediments, thereby decreasing their mobility and toxicity in the environment. In strongly reducing environments (such as anaerobic sediments), sulphate-reducing bacteria (SRB) are active and reduce sulphate ions (SO42−) to hydrogen sulphide (H2S) [20]. This reducing environment is conducive to the formation of AVS and, consequently, promotes the binding of AVS with heavy metals. In more oxidative environments, H2S is oxidised to sulphate ions or other oxidised forms of sulphur, which reduces the formation of AVS and diminishes its ability to bind with heavy metals. The ratio of AVS to simultaneously extracted metals (SEM) is widely used to assess the ecological risk of heavy metals in sediments. When the AVS/SEM ratio is greater than 1, heavy metals in sediments mostly exist in insoluble forms, posing lower ecological risks. Conversely, when the AVS/SEM ratio is less than 1, the bioavailability of heavy metals increases, leading to higher ecological risks [40].
As can be seen in Figure 5, there were strong correlations between Ni, Zn, and Co and AVS concentrations. Therefore, it was believed that the free state of these three elements could effectively bind to S2− [40]. In contrast, the concentrations of the remaining heavy metals showed an insignificant correlation with AVS concentrations, reflecting the fact that these elements mainly existed in other forms of bound states [29].
3.3. Preliminary Source Assessment of Inorganic Sulphur Forms and Heavy Metals in Surface Sediments
Cluster analysis can simplify the connections between various heavy metals and reduced inorganic sulphur forms, making the results visualizable, which helps to identify the sources of different elements or sulphur forms. Based on the cluster diagram (Figure 7), it can be seen that all elements were divided into three major categories. The first category included Hg, Cr, Cu, Cd, and Pb, which were generally considered to be the main components of disinfectants in aquaculture areas [46]. In conjunction with the developed marine aquaculture industry in the Dongzhai Harbour mangrove wetland, it was believed that these two elements mainly reflected aquaculture activities. Liu et al. (2024) [21] classified the concentrations of heavy metals and bioelements in the sediments of the northern part of Hainan and found that Cd, Cu, TOC, and TN clustered together, drawing similar conclusions to this study. Previous studies have suggested that elements such as Pb, Hg, and Cr were mostly from atmospheric deposition caused by emissions from public transportation [47,48]. Jiang et al. (2014) calculated the annual average intake of heavy metals in agricultural soils in the northeastern part of Hainan and found that under the mode of atmospheric deposition, the total amount of Pb entering the soil of the study area was three to five times the total amount entering other areas, which supported the conclusions of this study. Therefore, the first category mainly represented marine aquaculture and transportation. The second category included As and Es, with some studies suggesting that sedimentary ES entered the sediment mainly through the weathering and dissolution of rocks [49]. At the same time, the As concentration in this study was lower than the background value of the coastal area in the northern part of Hainan (10.7 mg/kg) [50], so the second category reflected the weathering products of the source rocks in the study area. The third category included CRS, AVS, Zn, Ni, and Co, where the three heavy metal elements often originated from agricultural activities such as pesticides, fertilizers, and irrigation wastewater [48], and these two reduced inorganic sulphur forms were more common in agricultural soils [51,52], so the third category showed terrestrial agricultural activities. In the future, with the continuous construction of the economy, the coordinated development of human–land relations and environment-sustainable development will increasingly concern people. In this context, it is necessary to reasonably control agricultural pollution and exhaust emissions around the Dongzhai Harbour mangrove wetland and its surroundings in Hainan.
Figure 7.
Cluster analysis for the concentrations of RIS and heavy metal elements in sediments from the Dongzhai Harbour mangrove wetland.
4. Conclusions
In this study, the characteristics and sources of reduced inorganic sulphur (RIS) forms and heavy metal concentrations in surface sediments of the mangrove wetland in Dongzhai Harbour, northeastern Hainan, were revealed for the first time. The range of RIS in the sediments of the Dongzhai Harbour mangrove wetland was between 17.16 μmol/g and 27.00 μmol/g, with the highest concentration of acid volatile sulphur (AVS), followed by chromium reducible sulphur (CRS), and the lowest concentration of elemental sulphur (ES). Spatially, the high RIS areas were mainly distributed in the central, western, and southern parts of the study area, the high AVS areas were mainly in the eastern and western parts, the high CRS areas were mainly in the central and southern parts, and the high ES areas were mainly in the central-eastern and central-western parts. Correlation analysis showed that the AVS, CRS, and RIS in the sediments of the study area were mainly constrained by the concentrations of clay components, and the influence of pH on them was not significant. Through ratio calculations, it was found that compared to other studies, the conversion of AVS to CRS in the sediments of this study area was more limited, which may be due to the redox environment. In the heavy metal elements of the Dongzhai Harbour mangrove wetland sediments, the concentration of Chromium (Cr) was the highest, followed by Zinc (Zn), then Lead (Pb) and Nickel (Ni), and other heavy metal elements such as Arsenic (As), Cadmium (Cd), Copper (Cu), Mercury (Hg), and Cobalt (Co) showed lower concentrations. Based on correlation analyses, compared to other elements, elements such as Ni, Zn, and Co were mainly enriched in clay-grade sediments and can effectively combine with S2−. Cluster analysis showed that the heavy metals and reduced inorganic sulphur forms in the sediments of the study area mainly originated from marine aquaculture, transportation, source rock weathering, and terrestrial agricultural discharge. Therefore, it is necessary to reasonably control the pollution emissions of related industries in the future for the balance between economic development and ecology. In the future, the organic matter concentrations of the sediments will be determined and analysed with the existing parameters to discuss the sources of the RIS and heavy metals.
Author Contributions
Conceptualisation: T.L. and W.R.; methodology: X.L. and T.L.; data curation: X.L. and C.M.; writing—original draft: X.L. and T.L.; writing—review and editing: T.L. and W.R.; funding acquisition: T.L. All authors have read and agreed to the published version of the manuscript.
Funding
The study is supported by the Hainan Key Laboratory of Marine Geological Resources and Environment (Grant No. HNHYDZZYHJKF018) and the Natural Science Foundation of Jiangsu Province (Grant No. BK20191304). This research did not take any specific grant from funding agencies in the commercial, public, or not-for-profit sectors.
Institutional Review Board Statement
Not applicable.
Informed Consent Statement
Not applicable.
Data Availability Statement
The authors confirm the data supporting the findings are available within this paper. The raw data may be obtained from the corresponding author upon reasonable request.
Acknowledgments
We would like to thank Suming Du for their field and experiment work. The editors and reviewers are greatly appreciated for their useful comments and support.
Conflicts of Interest
The authors declare that they have no conflicts of interest.
References
- Dahdouh-Guebas, F.; Hugé, J.; Abuchahla, G.M.; Cannicci, S.; Jayatissa, L.P.; Kairo, J.G.; Arachchilage, S.K.; Koedam, N.; Nijamdeen, T.W.M.; Mukherjee, N.; et al. Reconciling nature, people and policy in the mangrove social-ecological system through the adaptive cycle heuristic. Estuar. Coast. Shelf Sci. 2021, 248, 106942. [Google Scholar] [CrossRef]
- Gnansounou, S.C.; Salako, K.V.; Visée, C.; Dahdouh-Guebas, F.; Kakai, R.G.; Kestemont, P.; Henry, S. The role of local deities and traditional beliefs in promoting the sustainable use of mangrove ecosystems. For. Policy Econ. 2024, 160, 103145. [Google Scholar] [CrossRef]
- zu Ermgassen, P.S.; Mukherjee, N.; Worthington, T.A.; Acosta, A.; Araujo, A.R.d.R.; Beitl, C.M.; Castellanos-Galindo, G.A.; Cunha-Lignon, M.; Dahdouh-Guebas, F.; Diele, K.; et al. Fishers who rely on mangroves: Modeling and mapping the global intensity of mangrove-associated fisheries. Estuar. Coast. Shelf Sci. 2021, 248, 107159. [Google Scholar] [CrossRef]
- Alongi, D.M. Carbon cycling and storage in mangrove forests. Annu. Rev. Mar. Sci. 2014, 6, 195–219. [Google Scholar] [CrossRef]
- Bayen, S. Occurrence, bioavailability and toxic effects of trace metals and organic contaminants in mangrove ecosystems: A review. Environ. Int. 2012, 48, 84–101. [Google Scholar] [CrossRef]
- Zhang, J.; Liu, C.L.; Deng, H.Z.; Wang, Y. Heavy metal contamination, sources, and pollution assessment of surface water in the Tianshan Mountains of China. Environ. Monit. Assess. 2014, 186, 4969–4980. [Google Scholar] [CrossRef]
- Marchand, C.; Allenbach, M.; Lallier-Vergès, E. Heavy metals distribution in mangrove sediments along the mobile coastline of French Guiana. Mar. Chem. 2016, 182, 1–8. [Google Scholar] [CrossRef]
- Alongi, D.M.; Sasekumar, A.; Tirendi, F.; Dixon, P. Sediment accumulation and organic material flux in a managed mangrove ecosystem: Estimates of land-ocean-atmosphere exchange in peninsular Malaysia. Mar. Geol. 2004, 208, 383–402. [Google Scholar] [CrossRef]
- Zhu, B.; Liao, J.; Shen, G. Spatio-temporal simulation of mangrove forests under different scenarios: A case study of mangrove protected areas, Hainan Island, China. Remote Sens. 2021, 13, 4059. [Google Scholar] [CrossRef]
- Wang, T.-T.; Shao, S.; Fan, S.-D.; Tang, W.-Q.; Miao, J.-W.; Wang, S.; Cao, X.-C.; Liu, C.; Ying, G.-G.; Chen, Z.-B.; et al. Occurrence, distribution, and risk assessment of antibiotics in a typical aquaculture area around the Dongzhai Harbor mangrove forest on Hainan Island. Sci. Total Environ. 2024, 920, 170558. [Google Scholar] [CrossRef]
- Herbeck, L.S.; Krumme, U.; Andersen, T.J.; Jennerjahn, T.C. Decadal trends in mangrove and pond aquaculture cover on Hainan (China) since 1966: Mangrove loss, fragmentation, and associated biogeochemical changes. Estuar. Coast. Shelf Sci. 2020, 233, 106531. [Google Scholar] [CrossRef]
- Xia, D.; Vaye, O.; Yang, Y.N.; Zhang, H.T.; Sun, Y.F. Spatial distributions, source apportionment and ecological risks of C9-C17 chlorinated paraffins in mangrove sediments from Dongzhai Harbor, Hainan Island. Environ. Pollut. 2021, 270, 116076. [Google Scholar] [CrossRef] [PubMed]
- Qiu, Y.W.; Yu, K.F. Accumulation of heavy metals in sediment of mangrove wetland from Hainan Island. J. Trop. Oceanogr. 2011, 30, 102–108. [Google Scholar]
- Morgan, B.; Burton, E.D.; Rate, A.W. Iron monosulfide enrichment and the presence of organosulfur in eutrophic estuarine sediments. Chem. Geol. 2012, 296, 119–130. [Google Scholar] [CrossRef]
- Burton, E.D.; Bush, R.T.; Sullivan, L.A. Fractionation and extractability of sulfur, iron and trace elements in sulfidic sediments. Chemosphere 2006, 64, 1421–1428. [Google Scholar] [CrossRef]
- Pester, M.; Knorr, K.-H.; Fuchs, S.; Wagner, M.; Amann, R. Multicellular bacteria challenge the concept of microbial individuality. ISME J. 2012, 6, 1015–1022. [Google Scholar]
- Poulton, S.W.; Canfield, D.E. Development of a sequential extraction procedure for iron: Implications for the study of iron biogeochemistry in low-oxygen environments. Geochim. Cosmochim. Acta 2005, 69, 387–400. [Google Scholar]
- Sheng, Y.; Sun, Q.; Shi, W.; Bottrell, S.; Mortimer, R. Geochemistry of reduced inorganic sulfur, reactive iron, and organic carbon in fluvial and marine surface sediment in the Laizhou Bay region, China. Environ. Earth Sci. 2015, 74, 1151–1160. [Google Scholar] [CrossRef]
- Wijsman, J.W.M.; Middelburg, J.J.; Herman, P.M.J.; Böttcher, M.E.; Heip, C.H.R. Sulfur and iron speciation in surface sediments along the northwestern margin of the Black Sea. Mar. Chem. 2001, 74, 261–278. [Google Scholar] [CrossRef]
- Poulton, S.W.; Krom, M.D.; Raiswell, R. A revised scheme for the reactivity of iron (oxyhydr) oxide minerals towards dissolved sulfide. Geochim. Cosmochim. Acta 2004, 68, 3703–3715. [Google Scholar] [CrossRef]
- Liu, B.S.; Xia, P.; Du, J.; Luo, X.N.; Zhai, R.X.; Lin, J.J. Sedimentary records of environmental evolution in Dongzhai Port mangrove swamps (South China) over the last hundred years: Insights from corrections of grain-size effects. Environ. Pollut. 2024, 343, 123179. [Google Scholar] [CrossRef] [PubMed]
- Boyd, R.S. Heavy metal pollutants and chemical ecology: Exploring new frontiers. J. Chem. Ecol. 2010, 36, 46–58. [Google Scholar] [CrossRef] [PubMed]
- Yang, J.; Paytan, A.; Yang, Y.Q.; Wei, S.P.; Liu, B.L.; Cui, H.P.; Chen, Y.X.; Zhan, Y.Q. Organic carbon and reduced inorganic sulfur accumulation in subtropical salt marsh sediments along a dynamic coast, Yancheng, China. J. Mar. Syst. 2020, 211, 103415. [Google Scholar] [CrossRef]
- Yin, X.J.; Lin, Y.P.; Li, Y.H.; Wang, L.; Sun, Z.L.; Li, G.G. Inorganic sulfur cycles in sediments of the Pearl River Estuary: Processes, mechanisms, and isotopic indicators. Estuar. Coast. Shelf Sci. 2023, 280, 108185. [Google Scholar] [CrossRef]
- Alnasser, A.S.; Halawani, R.F.; Quicksall, A.N. Assessment of heavy metal distribution, risk, and sourcing in mangrove sediments from three Saudi Arabian Red Sea locations. Mar. Pollut. Bull. 2023, 198, 115821. [Google Scholar] [CrossRef]
- Trung, N.N.; Nam, B.V.; Duc-Anh, L.; Thuy, H.T.T.; Thanh-Duong, N.; Tung, D.X.; Hoai-Nam, T.; Pham, N.S.; Mohamed, S.M.; Van-Hao, D. Characteristics of heavy metals in surface sediments of the Van Don-Tra Co coast, northeast Vietnam. Reg. Stud. Mar. Sci. 2024, 73, 103459. [Google Scholar] [CrossRef]
- Zhang, Y.; Xin, K.; Sheng, N.; Xie, Z.L.; Liao, B.W. The regenerative capacity of eight mangrove species based on propagule traits in Dongzhai Harbor, Hainan Province, China. Glob. Ecol. Conserv. 2021, 30, 101788. [Google Scholar] [CrossRef]
- Xin, K.; Huang, X.; Hu, J.; Li, C.; Yang, X.; Arndt, S.K. Land use change impacts on heavy metal sedimentation in mangrove wetlands-A case study in Dongzhai Harbor of Hainan, China. Wetlands 2014, 34, 1–8. [Google Scholar] [CrossRef]
- Li, Z.R.; Ma, T.; Sheng, Y.Q. Ecological risks assessment of sulfur and heavy metals in sediments in a historic mariculture environment, North Yellow Sea. Mar. Pollut. Bull. 2022, 183, 114083. [Google Scholar] [CrossRef]
- Li, X.; Zhao, X.R.; Zhou, F.Q.; Chen, Y.Q.; Huang, T.; Sun, Q.Y. Distribution characteristics of sulfur species and isotopes in sediments of rivers around Zhongshan tailing at Lujiang County, Anhui Province. Environ. Chem. 2021, 40, 1787–1794. [Google Scholar]
- Provencher, J.F.; Covernton, G.A.; Moore, R.C.; Horn, D.A.; Conkle, J.L.; Lusher, A.L. Proceed with caution: The need to raise the publication bar for microplastic research. Sci. Total Environ. 2020, 748, 141426. [Google Scholar] [CrossRef] [PubMed]
- Bolden, I.W.; Satkoski, A.; Lassiter, J.C.; Sachs, J.P.; Gagnon, A.C. Temporal variability in seawater Sr/Ca ratios within a coral atoll as an indicator of marine calcifier community diversity. Geochim. Cosmochim. Acta 2023, 357, 92–104. [Google Scholar] [CrossRef]
- Zhu, A.M.; Liu, J.H.; Qiao, S.Q. Quantitative source apportionment of heavy metals in sediments from the Bohai Sea, China. Mar. Pollut. Bull. 2023, 196, 115620. [Google Scholar] [CrossRef] [PubMed]
- Dahlbäck, B.; Gunnarsson, L.Å.H. Sedimentation and sulfate reduction under a mussel culture. Mar. Biol. 1981, 63, 269–275. [Google Scholar] [CrossRef]
- Howard, D.E.; Evans, R.D. Acid-volatile sulfide in a seasonally anoxic mesotrophic lake. Environ. Toxicol. Chem. 1993, 12, 1051–1057. [Google Scholar] [CrossRef]
- Sheng, Y.Q.; Fu, G.Y.; Chen, F.Z.; Chen, J. Geochemical characteristics of inorganic sulfur in Shijing River, South China. J. Environ. Monit. 2011, 13, 807–812. [Google Scholar] [CrossRef]
- Smith, R.L.; Klug, M.J. Reduction of sulfur compounds in the sediments of a eutrophic lake basin. Appl. Environ. Microbiol. 1981, 41, 1230–1237. [Google Scholar] [CrossRef]
- Leonard, E.N.; Mattson, V.R.; Benoit, D.A.; Hoke, R.A.; Ankley, G.T. Seasonal variation of acid volatile sulfide concentration in sediment cores from three northeastern Minnesota lakes. Hydrobiologia 1993, 271, 87–95. [Google Scholar] [CrossRef]
- Painuly, A.S.; Shrestha, S.; Hackney, P. Bioavailability of heavy metals using simultaneously extracted metal/acid volatile sulfide in the sediments of Lake Burragorang, NSW, Australia. J. Environ. Pollut. Hum. Health 2015, 3, 12–17. [Google Scholar]
- Chen, Y.Q. Transformation of Sulfur Species and Its Effects on the Trace Heavy Metals Bioavailability in Antarctic Lake Sediments; Anhui University: Hefei, China, 2020. [Google Scholar]
- Mao, C.P.; Du, S.M.; Jia, Z.M.; Yu, G.; Wang, Y.; Rao, W.B. Experimental Method and Application of Rapid and Continuous Extraction of Reduced Inorganic Sulfur from Sediments. Rock Miner. Anal. 2023, 42, 576–586. [Google Scholar]
- Nriagu, J.Q.; Soon, Y.K. Distribution and isotopic composition of sulfur in lake sediments of northern Ontario. Geochim. Cosmochim. Acta 1985, 49, 823–834. [Google Scholar] [CrossRef]
- Gagnon, C.; Mucci, A.; Pelletier, É. Anomalous accumulation of acid-volatile sulfides (AVS) in coastal marine sediment, Saguenay Fjord, Canada. Geochim. Cosmochim. Acta 1995, 59, 2663–2675. [Google Scholar] [CrossRef]
- Wen, J.S. Research on Characteristics of Reduced Inorganic Sulfur Species and Its Influence on the Ecological Risk of Heavy Metals in Sediments of Coastal Waters of Hainan Province; South China University of Technology: Guangzhou, China, 2017. [Google Scholar]
- Li, T.N.; Rao, W.B.; Wang, S.; Mao, C.P. Identifying the clay-size sediment provenance of the radial sand ridges in the southwestern Yellow Sea using geochemical and Sr-Nd isotopic tracers. Mar. Geol. 2022, 455, 106957. [Google Scholar] [CrossRef]
- Liu, J.; Myat, T. Contaminants and heavy metals along the mangrove area of Dongzhai Harbor, China: Distribution and assessment. SN Appl. Sci. 2021, 3, 823. [Google Scholar] [CrossRef]
- Fei, X.; Lou, Z.; Xiao, R.; Ren, Z.; Lv, X. Contamination assessment and source apportionment of heavy metals in agricultural soil through the synthesis of PMF and GeogDetector models. Sci. Total Environ. 2020, 747, 141293. [Google Scholar] [CrossRef]
- Sun, Y.L.; Yang, J.Z.; Gong, J.J.; Duan, Z. Contamination and source of metals in surface sediments from the Nandu River of Hainan Island, China. Mar. Pollut. Bull. 2022, 182, 114037. [Google Scholar] [CrossRef]
- Jiang, W.; Hou, Q.Y.; Yang, Z.F.; Yu, T.; Zhong, C.; Yang, Y.; Fu, Y.R. Annual input fluxes of heavy metals in agricultural soil of Hainan Island, China. Environ. Sci. Pollut. Res. 2014, 21, 7876–7885. [Google Scholar] [CrossRef]
- Fu, X.D.; Qiu, N.S.; Qin, J.Z.; Wenhui, L.; Wang, X.F. Content distribution and isotopic composition characteristics of sulfur in marine source rocks in Middle-Upper Yangtze region. Pet. Geol. Exp. 2013, 35, 545–551. [Google Scholar] [CrossRef]
- Zhang, J.Y.; Xing, Z.F.; Ren, G.D.; Cen, R.; Wang, C. Distribution and ecological hazard of heavy metals in sediments of Haikou Bay. Environ. Sci. Manag. 2023, 48, 126–131. [Google Scholar]
- Zhang, Y. Effects of Biochar Amendment on the Risk of Methylmercury in Hg-Contaminated Soils; Nanjing University: Nanjing, China, 2018. [Google Scholar]
Disclaimer/Publisher’s Note: The statements, opinions and data contained in all publications are solely those of the individual author(s) and contributor(s) and not of MDPI and/or the editor(s). MDPI and/or the editor(s) disclaim responsibility for any injury to people or property resulting from any ideas, methods, instructions or products referred to in the content. |
© 2025 by the authors. Licensee MDPI, Basel, Switzerland. This article is an open access article distributed under the terms and conditions of the Creative Commons Attribution (CC BY) license (https://creativecommons.org/licenses/by/4.0/).






