Abstract
Context: The intensification of land use changes in coastal cities has been a result of the ongoing development of the social economy. A decrease in the ecosystem service value (ESV) and terrestrial carbon storage (TCS) of coastal cities has been observed as a result of the intensification of urbanization and climate change. However, it is unclear whether the influence of land use change on ESV and TCS in coastal towns would be facilitated or hampered under various growth scenarios. Aim: This study simulated the impact of land use change on the ESV and TCS of coastal cities under various future development scenarios and provided scientific policy references for the preservation of their ecological functions. Approaches: The InVEST model and PLUS model were employed to predict the land use changes in coastal cities in Liaoning Province from 2030 to 2060 under various development scenarios, based on the land use change data of three periods from 2000 to 2010 to 2020. The changes in ESV and TCS in coastal cities were also calculated. Results: The distribution pattern of ESV and TCS and future development scenarios are significantly influenced by the area changes and chief influencing factors of various land types in coastal cities of Liaoning Province. The dynamic changes in construction land, cultivated land, grassland, and unused land play a significant role in various development scenarios, given the variations in development patterns across different cities. Two of the primary factors that influence the variations in various land types are GDP, NDVI, DEM, rainfall, and population distribution. Three provisioning services, regulating services, supporting services, and cultural services, also experienced a gradual decline in the ESV variations of coastal cities, while the ESV of cultivated land, forest land, rivers, and grasslands exhibited a downward development trend. The spatial distribution of carbon storage in coastal cities exhibited the characteristics of “low coastal, high eastern, western, and inland forest distribution areas, and medium carbon storage in the central grassland distribution area.” Four coastal cities can effectively mitigate the impact of urbanization development on ecosystem services under the ecological protection scenario. Conclusions: The present study demonstrates the spatiotemporal variations and propelling forces of ecosystem services in coastal communities during land use change under various simulation scenarios. Important references for sustainable development and land use control in coastal cities are provided through recommendations for non-construction land management that enhance ESV and TCS.
1. Introduction
Land resources provide a vital basis for human existence and development. The escalation of human social activities has led to significant alterations in the structure and function of land resources [1,2,3]. The mutual coupling of human social development and the ecological environment is the direct result of land use/cover change, which is closely associated with global economic development and ecological and environmental changes [4,5]. Global climate change [6], environmental pollution [7], ecological damage [8], resource depletion [9], and land use/cover change [10] have significantly affected the functionality of terrestrial ecosystems. Following the reform and opening up, China’s economy has experienced rapid growth, and the urbanization process has advanced at a rapid pace, leading to a series of environmental and terrestrial ecological issues [11,12]. China’s research in land development planning [13], land suitability evaluation [14], geo-economics [15], and environmental pollution control [16] has been bolstered by these issues. Therefore, simulating and analyzing the impact of coastal urban land use change on ESV and the impact of terrestrial carbon sinks is crucial for optimizing future land use and understanding the current state of land resource utilization.
As an important component of the ecological environment, ESV is an important way to promote the transformation of ecological assets [17]. However, there is no unified system for ESV accounting methods at home and abroad. After Costanza proposed the ESV estimation principle and method in 1997 [18,19], Xie et al. established the Chinese terrestrial ecosystem value equivalent table based on Costanza’s theoretical research [20] and revised it many times. At present, Chinese scholars’ research on ESV mainly focuses on ESV trade-offs/synergies [21], diagnosis and identification of driving factors [22], land use changes in urban agglomerations, and the spatiotemporal dynamic evolution of ESV, the supply and demand of typical ecosystem services due to urbanization, and grassland ecosystem services [23,24,25,26]. Fruitful results have been achieved in ESV accounting and land use change prediction [27,28,29]. At present, the InVEST model is the mainstream land carbon stock estimation model, which is widely used in research on land structure changes and the impact of economic development on terrestrial land carbon stock changes [30,31,32]. Land use change prediction is the basis of ESV prediction [33]. At present, the mainstream prediction models at home and abroad include the CA-Markov model [34], the Logistic model [35], the CLUS-S model [36], the FLUS model [37], and the SD model [38]. Among them, the PLUS model is an emerging land structure change prediction model that can accurately simulate land use patch-level changes and fully explore the driving factors of land use change [39] and is widely used [40,41,42,43].
In conclusion, the main focus of existing research is on the spatiotemporal changes in land use and the spatial characteristics of ESV and TCS, with a majority of the studies being founded on past land use changes and ESV and TCS accounting. Future time-scale research is lacking in the analysis of future land use scenarios for coastal communities and the development of ecosystems under corresponding scenarios. Thus, this paper employs the coastal cities of Liaoning Province as an illustration. This paper forecasts changes in land use and their driving factors, along with changes in terrestrial carbon storage and ESV, in the coastal cities of Liaoning Province in 2060. It does this by utilizing land use change data from the past 20 years, as well as data from DEM, NDVI, GDP, population, and precipitation, totaling 15 influencing factors. The predictions are derived from four distinct scenario models. We aim to gain a thorough comprehension of the land use change mechanism in coastal cities and the spatial distribution characteristics of ESV and TCS and to establish a theoretical foundation and scientific decision-making reference for the sustainable use of land resources; ecological, environmental protection; and coastal city development.
2. Regional Overview and Data Sources
2.1. Regional Overview
The coastal cities of Liaoning Province, situated in Liaodong Bay and the northern Yellow Sea, encompass Huludao City, Jinzhou City, Panjin City, Yingkou City, Dalian City, and Dandong City (Figure 1). This region spans over 57,000 km2, with a permanent population of 15.682 million as of 2020 and a GDP of 1228.11 billion yuan. The study area experiences a temperate monsoon climate, which is characterized by a high accumulated temperature, rainfall and humidity during the same season, and plenty of sunlight. The winter is prolonged and frigid, while the summer is brief and exceptionally balmy. Precipitation occurs mostly from July to September, ranging from 350 mm to 1100 mm, with an average temperature of 8.3 °C, a high temperature of 27.2 °C, and a minimum temperature of −9.9 °C.
Figure 1.
Location map of the coastal city of Liaoning Province.
2.2. Data Sources and Conceptual Methods
2.2.1. Data Sources
With frequent land type conversions, China’s coastal regions continue to see high-intensity socio-economic growth. Socio-economic growth is the primary element driving the frequent conversion of various land types and the alteration in the value of ecosystem services [44,45,46]. At the same time, pertinent research has shown that 73% of the soil carbon pool and over 86% of the global vegetation carbon pool remain intact because of the carbon deposited in forests. As seen in Figure 1, the primary carbon reservoir in the study region is forest land, as determined by the reclassification findings of land use and cover change data. Changes in the ecosystem’s soil and plant carbon pools have resulted from the mutual conversion of land use types, and this has a direct impact on changes in the overall regional carbon storage [47,48,49,50,51]. In order to more fully comprehend the effects of various future development scenarios on ESV and TCS, this research examined the spatiotemporal changes in land use. The Resources and Environmental Science Data Centre of the Chinese Academy of Sciences (http://www.resdc.cn) provided the three phases of land use and cover change data of 30 by 30 m in coastal cities of Liaoning Province in 2000, 2010, and 2020. The Geospatial Data Cloud website (http://www.gscloud.cn) provided the DEM elevation data. We obtained the slope and aspect from GIS using DEM data; driving factor data, such as socioeconomic data, population density data, and meteorological data, from the Resources and Environmental Science Data Centre of the Chinese Academy of Sciences (http://www.resdc.cn); relevant road data, such as railways, highways, and provincial roads, from (https://www.openstreetmap.org); soil classifications from the World Soil Database (HWSD) (https://www.fao.org/home/en/); and habitat quality data were obtained from the National Earth System Science Data Centre (https://loess.geodata.cn). The coordinate system and data row and column numbers were unified, the research area was cropped, the changes in the geographical and temporal distribution of various land types were mapped, and the land type regions were extracted and analyzed. All of the data used in this study were processed in ArcGIS. The TCS calculation was performed in the InVEST model 3.10.2, and PLUS software 1.3.5 was used to translate data formats, analyze driving factors, run simulations, and make maps of what would happen in four different future development scenarios.
2.2.2. Conceptual Process
This research mostly relies on the following phases (Figure 2). Using three phases of land use change data, we first examined the changes in coastal cities in Liaoning Province. Then, we looked at how the different types of land changed over time and combined the dynamics, sensitivity, and spatiotemporal conversion to show how LULC conversion changed over time. In the second step, the InVEST model, the updated ecosystem value equivalent table, and three phases of land use change data were used to figure out how ESV and TCS changed over space and time in coastal cities in Liaoning Province. We also examined the effects of LULC conversion on ESV and TCS. In the third step, based on the land use change data of the three phases, combined with the development characteristics of the coastal cities in the study area, we selected population density, night lights, GDP, distance to high-speed rail, distance to expressway, distance to provincial roads, distance to railways, distance to water system, precipitation, normalized difference vegetation index (NDVI), habitat quality, elevation (DEM), slope and aspect, and other 15 driving factors from the aspects of social economy, population density, meteorological indicators, soil type, habitat quality, slope, and aspect to explore the influencing factors; in the PLUS model, we first converted the format of the land use change data of the two phases and then mined various land use expansions and driving factors in the PLUS model through the random forest algorithm to obtain the development probability of various land uses and the contribution value of driving factors to the expansion of various land uses during this period. In order to identify and quantify the extent to which various variables impact land use change, this procedure analyzes historical data on land use and driving causes. This knowledge serves as the foundation for calculating the magnitude of the influencing factors. The PLUS model was then used to forecast the land use, ESV, and TCS temporal and spatial changes in coastal cities in Liaoning Province over the next 40 years, taking into account various future growth scenarios. In order to examine the land use changes, temporal changes, and geographical distribution of ESV and TCS in coastal cities in Liaoning Province during the course of the research period, we integrated the first and second phases in the fourth step. In order to assess the impact of changing LULC, we assessed the changes and spatial distribution of ESV and TCS in the past and future in relation to the current values of these metrics. In the fifth step, we analyzed and obtained the optimal development model of coastal cities in Liaoning Province under four different development scenarios based on the results of the fourth step. We also provided a theoretical basis and scientific decision-making reference for the sustainable development strategy of coastal cities in Liaoning Province.
Figure 2.
Article framework of coastal city of Liaoning Province.
2.3. Research Methods
2.3.1. Land Dynamics
The spatiotemporal dynamics of land use types and the intensity of changes in land use types are reflected in the singular land use dynamics, which is advantageous for a precise understanding of the changes in various land types. The formula for calculation is
where represents the dynamic degree of a specific land use type throughout the research period, and represent the areas of a certain land use type at the start and conclusion of the study, respectively, and represents the study period.
The rate of change in overall land use within a specific time frame is referred to as comprehensive land use dynamics, which is indicative of the extent to which economic development influences land use change. The formula for calculation is
In the formula, denotes the dynamic degree of comprehensive land use over a specific period of time, is the area of land use type at the beginning of the monitoring period, is the absolute value of the area of land use type that was converted to non-land use type J during the monitoring period, and is the duration of the monitoring period. When the period of is set to years, the annual change rate of land use in the study area is represented by the value of .
2.3.2. Land Use Transfer Matrix
The land use transfer matrix quantitatively depicts the conversion of land use transfer status and reflects the transfer status of various land use types during the study period. We use the following formula to calculate the transfer matrix:
In the formula, corresponds to the area, to the number of land types, and i and j to the numerous land types at the beginning and conclusion of the study area, respectively.
2.3.3. Sensitivity Analysis Formula
The sensitivity model is employed to adjust CS by 50% in order to verify the accuracy of the ESV coefficient. Next, the response of ESV to the change in VC is found. Finally, the degree to which ESV depends on the better VC is found [52]. When CS > 1, ESV is elastic to VC, and the credibility of the ESV calculation result is low. Conversely, when CS < 1, ESV is inelastic to VC, indicating that the ESV calculation result is reliable. The sensitivity coefficient can be calculated using the following formula:
In the formula, is the sensitivity coefficient, and ESV is the estimated total ecosystem service value; VC is the ecological value coefficient; i and j are the initial total value and the total value after the adjustment of the ecological value coefficient, respectively; k is for each land use type.
2.3.4. Terrestrial Carbon Storage
The carbon storage module of the InVEST model primarily utilizes the current land use classification to calculate TCS and temporal and spatial distribution characteristics. This is achieved through four carbon pools: aboveground, underground root system, soil, and decaying organic matter for carbon storage. The carbon density parameters (Table 1) employed in this paper are derived from the findings of prior research [47] to determine the TCS of the study area. The formula for calculation is
Table 1.
Terrestrial carbon density in Liaoning Province.
In the formula, represents the total regional carbon storage, represents the aboveground carbon storage, represents the underground root carbon storage, represents the soil carbon storage, and represents the deceased organic matter carbon storage.
2.3.5. Equivalent Factor Method
The table of ecological service equivalents per unit area of Chinese ecosystems [53] was used to fix the economic value of cereal output per unit area in the study area. The calculation formula can be found below:
where is the value of the food production function provided by the unit farmland ecosystem (yuan/km2), is the average price of i types of grain crops (yuan/t), is the yield per unit area of i types of grain crops (t/km2), i is the crop type, M is the total area of grain crops, and is the area of i types of grain crops (km2).
2.3.6. Land Use Change Simulation and Prediction
The PLUS model is a grid-based CA model that can be used for patch-scale LUCC simulation. It has a rule-mining framework based on a land expansion analysis strategy and the CA of different types of random patch seeds built in. Using the random forest classification approach to mine driving variables, the proper probability of expansion of different kinds of LUCC may be obtained [39]. The primary steps are
(1) LEAS module: The expansion probability map of each land use type is generated by calculating the change probability and inertia probability of various land use types in two periods and utilizing random forest classification (RFC) to analyze the impact of various driving factors on land use type conversion. The calculation formula is as follows:
where is the development probability of land type in unit ; the value of is 0 or 1, a value of 1 indicates that there are other land use types changed to land use type , and 0 indicates other transitions; is a vector composed of multiple driving factors; is the indicator function of the decision tree; is the prediction type of the decision tree in the vector; is the total number of decision trees.
(2) CARS module: This is a CA model that includes a variety of random patch parameters. The future distribution of land use patterns is predicted and simulated by utilizing adaptive coefficients to influence the generation of land use regions under the constraint of development probability, which is achieved by combining random seed generation and threshold reduction mechanisms. The formula for calculation is as follows: the overall conversion probability formula is
In the formula, represents the impact of future type land use demand, which is an adaptive driving coefficient that depends on the gap between the current land quantity at iteration and the target demand for land use; represents the neighborhood effect of the unit, which is the coverage ratio of the type land use component in the next neighborhood. The land expansion capacity is proportional to the neighborhood factor, and the neighborhood factor parameter is between (0,1). The neighborhood factor parameters of various types of land use in coastal cities in Liaoning Province are shown in Table 2.
Table 2.
Field weights.
2.3.7. PLUS Model Accuracy Verification
The PLUS model’s accuracy is verified in this paper through the use of the Kappa coefficient. An indicator of consistency testing, the Kappa coefficient [54] can quantify the classification effect. The Kappa coefficient is typically greater than 0 and is derived from the confusion matrix, with a value range of −1 to 1. The formula for calculation is
where is the overall accuracy of the comparison between prediction and reality; is the probability of consistency of prediction results due to chance, that is, random consistency. The calculation results are shown in Table 3.
Table 3.
Kappa coefficient.
2.3.8. Land Use Scenario Setting
Land use scenarios are shown in Table 4. To simulate the actual demand for land resources under various potential development models of coastal cities in Liaoning Province, this paper establishes four land use scenarios in accordance with pertinent studies [55,56,57]. (1) Trend development scenario: Establish the water area as a restricted conversion area and maintain the development trends of various categories of land use in the study area from 2000 to 2020. The land transfer matrix and neighborhood weights are sensibly established in order to fulfill the requirements of the “stock era.” (2) Cultivated land protection scenario: This development scenario is focused on cultivated land protection and must carefully adhere to the cultivated land preservation red line. The conversion of cultivated land to other land types is strictly prohibited, and the water area is designated as a restricted conversion area. All land uses, with the exception of construction land, are capable of being converted into cultivated land in this scenario. (3) Urban development scenario: This scenario focuses on urban building and development, prioritizing economic advancement. The conversion of construction land into other land categories is strictly prohibited, and the water area is designated as a restricted conversion area. In this context, all land uses, except aquatic categories, may be transformed into building land. Fourth scenario: This development scenario is designed to ensure ecological protection and must rigorously adhere to the Ecological Protection Red Line. The alteration of natural land into developed land is forbidden. Water bodies and national natural protection zones are designated as regions of prohibited conversion.
Table 4.
Scenario simulation matrix.
3. Results
3.1. Single Dynamics of Land Use Change
The singular dynamic degree of coastal cities in Liaoning Province throughout four growth scenarios can be seen in Figure 3A–D. The trend development scenario envisions Dalian City’s future, Panjin City’s forestry and grassland, and Dandong City’s cultivated land, aquatic areas, and construction land. While adjustments in other areas were relatively minor, significant changes occurred in all areas of use. Small areas of forestland and grassland in Panjin City, waters, construction land, and cultivated land in Dandong City, and unused land in Dalian City, despite their limited area proportions, have a significant impact on the overall change as a result of the large percentage base of a single dynamic degree change. The areas of significant change in the farmland protection scenario are distinct. However, the forestland and grassland in Panjin City, the water area, construction land, cultivated land in Dandong City, and the unused land in Dalian City all exhibit the same percentage base change as a result of their single dynamic degree. Large changes significantly impact the overall transformation. Under the urban development scenario, the cultivated land in Dandong City, the forestland and grassland in Panjin City, and the unused land in Dalian City underwent substantial changes, while some other areas experienced minor changes. In particular, it is noted that the overall change is significantly influenced by the small areas of forestland and grassland in Panjin City, as well as water areas, construction land, cultivated land in Dandong City, and unused land in Dalian City, despite their limited area and proportions. The ecological protection scenario is distinct from the urban development scenario, as it involves different areas that have experienced significant changes. However, the forestland and grassland in Panjin City, the waters, the construction and cultivated land in Dandong City, and the unused land in Dalian City also play a significant role in the overall ecological change.
Figure 3.
Single dynamic degree (Note: (A) is 2010, (B) is 2020, (C) is 2030, (D) is 2040, (E) is 2050 lands, (F) is 2060).
The singular dynamic degree of coastal cities in Liaoning Province throughout four growth scenarios can be seen in Figure 3A–D. The trend development scenario envisions Dalian City’s future, Panjin City’s forestry and grassland, and Dandong City’s cultivated land, aquatic areas, and construction land. While adjustments in other areas were relatively minor, significant changes occurred in all areas of use. Small areas of forestland and grassland in Panjin City; waters, construction land, and cultivated land in Dandong City; and unused land in Dalian City, despite their limited area proportions, have a significant impact on the overall change as a result of the large percentage base of a single dynamic degree change. The areas of significant change in the farmland protection scenario are distinct. However, the forestland and grassland in Panjin City, the water area, construction land, cultivated land in Dandong City, and the unused land in Dalian City all exhibit the same percentage base change as a result of their single dynamic degree. Large changes significantly impact the overall transformation. Under the urban development scenario, the cultivated land in Dandong City, the forestland and grassland in Panjin City, and the unused land in Dalian City underwent substantial changes, while some other areas experienced minor changes. In particular, it is noted that the overall change is significantly influenced by the small areas of forestland and grassland in Panjin City, as well as water areas, construction land, cultivated land in Dandong City, and unused land in Dalian City, despite their limited area and proportions. The ecological protection scenario is distinct from the urban development scenario, as it involves different areas that have experienced significant changes. However, the forestland and grassland in Panjin City; the waters, the construction and cultivated land in Dandong City; and the unused land in Dalian City also play a significant role in the overall ecological change.
3.2. Comprehensive Dynamics of Land Use Change
The singular dynamic degree of coastal cities in Liaoning Province throughout four growth scenarios can be seen in Figure 4A–D. The trend development scenario envisions Dalian City’s future, Panjin City’s forestry and grassland, and Dandong City’s cultivated land, aquatic areas, and construction land. While adjustments in other areas were relatively minor, significant changes occurred in all areas of use. Small areas of forestland and grassland in Panjin City; waters, construction land, and cultivated land in Dandong City; and unused land in Dalian City, despite their limited area proportions, have a significant impact on the overall change as a result of the large percentage base of a single dynamic degree change. The areas of significant change in the farmland protection scenario are distinct. However, the forestland and grassland in Panjin City; the water area, construction land, and cultivated land in Dandong City; and the unused land in Dalian City all exhibit the same percentage base change as a result of their single dynamic degree. Large changes significantly impact the overall transformation. Under the urban development scenario, the cultivated land in Dandong City, the forestland and grassland in Panjin City, and the unused land in Dalian City underwent substantial changes, while some other areas experienced minor changes. In particular, it is noted that the overall change is significantly influenced by the small areas of forestland and grassland in Panjin City; as well as water areas, construction land, cultivated land in Dandong City; and unused land in Dalian City, despite their limited area and proportions. The ecological protection scenario is distinct from the urban development scenario, as it involves different areas that have experienced significant changes. However, the forestland and grassland in Panjin City; the waters, the construction and cultivated land in Dandong City; and the unused land in Dalian City also play a significant role in the overall ecological change.
Figure 4.
Comprehensive dynamics of land use change (Note: (A) is trend development scenario, (B) is urban development scenario, (C) is farmland protection scenario, (D) is ecological protection scenario).
From 2000 to 2060, the comprehensive dynamics of land use change in each city demonstrated a downward trend. From 2000 to 2010, the most substantial changes in Panjin City occurred under the urban development scenario, while the changes in other cities occurred under the trend development scenario. Each city will experience a marginal change in the comprehensive dynamic degree of land use change by 2060. The comprehensive dynamics of land use change in Jinzhou, Yingkou, and Dalian are relatively extensive. The conversion rate between various land types has been significantly accelerated in the aforementioned three cities as a result of the changes in land use change coverage.
3.3. Changes in Land Use Area
From 2000 to 2020, Figure 5 illustrates the spatial distribution variations in land use areas in coastal cities in Liaoning Province. The aggregate area is 56,959.90 km2. In 2000, the percentages of cultivated land, forest land, grassland, water area, construction land, and unused land were 42.31%, 41.90%, 2.0%, 6.23%, 6.00%, and 0.66%, respectively; in 2020, the percentages of each land type were 39.72%, 41.28%, 1.82%, 6.62%, 10.10%, and 0.46%, respectively. From 2000 to 2020, the area of construction land experienced the most significant change, which was 25.87%. The cultivated land, grassland, forest land, unused land, and water area all experienced a decrease of 12.84%, 5.35%, 4.12%, 2.98%, and 0.58%, respectively. This clearly indicates that the excessive conversion of ecological land, agricultural land, and other land types, such as forest land, cultivated land, grassland, and water area, into urban construction land, has exacerbated the changes in the spatial distribution pattern of land resources.
Figure 5.
Land use change from 2000 to 2020.
Under four development scenarios, Figure 6 illustrates the modifications in the area of various land types in coastal cities in Liaoning Province. The total area of coastal cities in Liaoning Province is 56,959.90 km2, and the proportions of various land use categories in 2000 are well-defined. Through four scenario simulations of trend development, agricultural protection, urban development, and ecological protection, the land use structure of coastal cities in Liaoning Province will have undergone substantial transformations by 2060. Among them, the area of cultivated land, forestland, and grassland generally exhibits a downward trend. The decline of cultivated land varies greatly under different scenarios, ranging from 2.91% in the minimum cultivated land protection scenario to 33.16% in the maximum ecological protection scenario. The forestland area also declined, but the decline was less precipitous. Under the ecological protection scenario, the amplitude is relatively modest, remaining nearly unchanged at −0.17%. The decline in grasslands was relatively stable during the study period. In most scenarios, the water area increased marginally, while the construction land increased significantly. The growth rate varied from 21.51% in the trend development scenario to 38.92% across various scenarios. Percentage (ecological conservation scenario). The area of unused land also demonstrated a downward trend, with a relatively consistent decline. The land use structure, ESV, and TCS of coastal cities in Liaoning Province are influenced by a variety of development strategies, as evidenced by the fluctuations in the area of these land categories.
Figure 6.
Land use changes in different scenarios from 2030 to 2060 (Note: (A) is 2030, (B) is 2040, (C) is 2050, (D) is 2060).
3.4. Sensitivity Analysis
Under four development scenarios, Table 5 illustrates the sensitivity coefficients of coastal cities in Liaoning Province. The sensitivity coefficients were all less than 1, suggesting that the calculated ecosystem service value was reliable during the study period. The sensitivity coefficients of each land use type exhibit distinct tendencies in response to varying development scenarios. Under the trend development scenario, the sensitivity coefficients of cultivated land, water areas, and woodlands gradually decrease, while the sensitivity coefficients of grassland and unused land gradually increase. Under the cultivated land protection scenario, the sensitivity coefficients of cultivated land and water areas gradually decrease, while the sensitivity coefficients of woodland, grassland, and unused land increase. The urban development scenario is comparable to the cultivated land protection scenario in that the sensitivity coefficients of cultivated land and water areas decrease while the sensitivity coefficients of woodland, grassland, and unused land increase. While the sensitivity coefficients of cultivated land, grassland, and unused land increased, the sensitivity coefficients of forestland and water areas decreased gradually under the ecological protection scenario. In conclusion, the sensitivity coefficient of grassland was the highest during the study period, increasing from 0.686 in 2000 to 0.903 in 2060. This indicates that grassland had the most significant impact on the total value of ecosystem services, followed by cultivated land and unused land. Gradually, its influence expands. The sensitivity coefficients of woodlands and waters are relatively low, and their influence on the overall value of ecosystem services is restricted.
Table 5.
Land sensitivity of different scenarios from 2000 to 2060.
3.5. Contribution Rate of Driving Factors of Land Use Change
Figure 7A–F show the different types of factors that lead to different changes in land use in coastal communities in Liaoning Province under different development scenarios. Specifically, natural factors, including GDP (gross domestic product), population, and DEM (digital elevation model or terrain factors), influence the changes in a variety of land types, including cultivated land, forest land, grassland, water areas, construction land, and unused land. Natural factors share a common influence with socioeconomic factors, although the contributions of each factor vary. GDP, population, and DEM are the primary factors that significantly influence changes in cultivated land and forestland. Precipitation and DEM are the primary factors that drive changes in grassland. Population and GDP are highly correlated with changes in water areas. The impact of nighttime lighting and GDP is the most significant factor in changing construction land. The primary factors in the change in unused land are the distance from the road and the digital elevation model (DEM). Both natural and socioeconomic factors drive changes in various land types in coastal communities in Liaoning Province. This is evident in a thorough examination of the driving factors. The ongoing development of the social economy has led human beings to intensify the development and utilization of natural resources. At the same time, social and economic growth sectors have grown. This phenomenon is indicative of the significant influence of human activities on land use change, as well as the interaction between natural and socioeconomic factors.
Figure 7.
Contribution rate of driving factors by region (Note: Sub-signature (A–F) is mentioned in the title, which respectively represents the changes of driving factors of terrestrial carbon storage and ecosystem service value changes in six coastal cities in Liaoning Province under different development scenario models).
3.6. Terrestrial Carbon Storage and Spatial Distribution
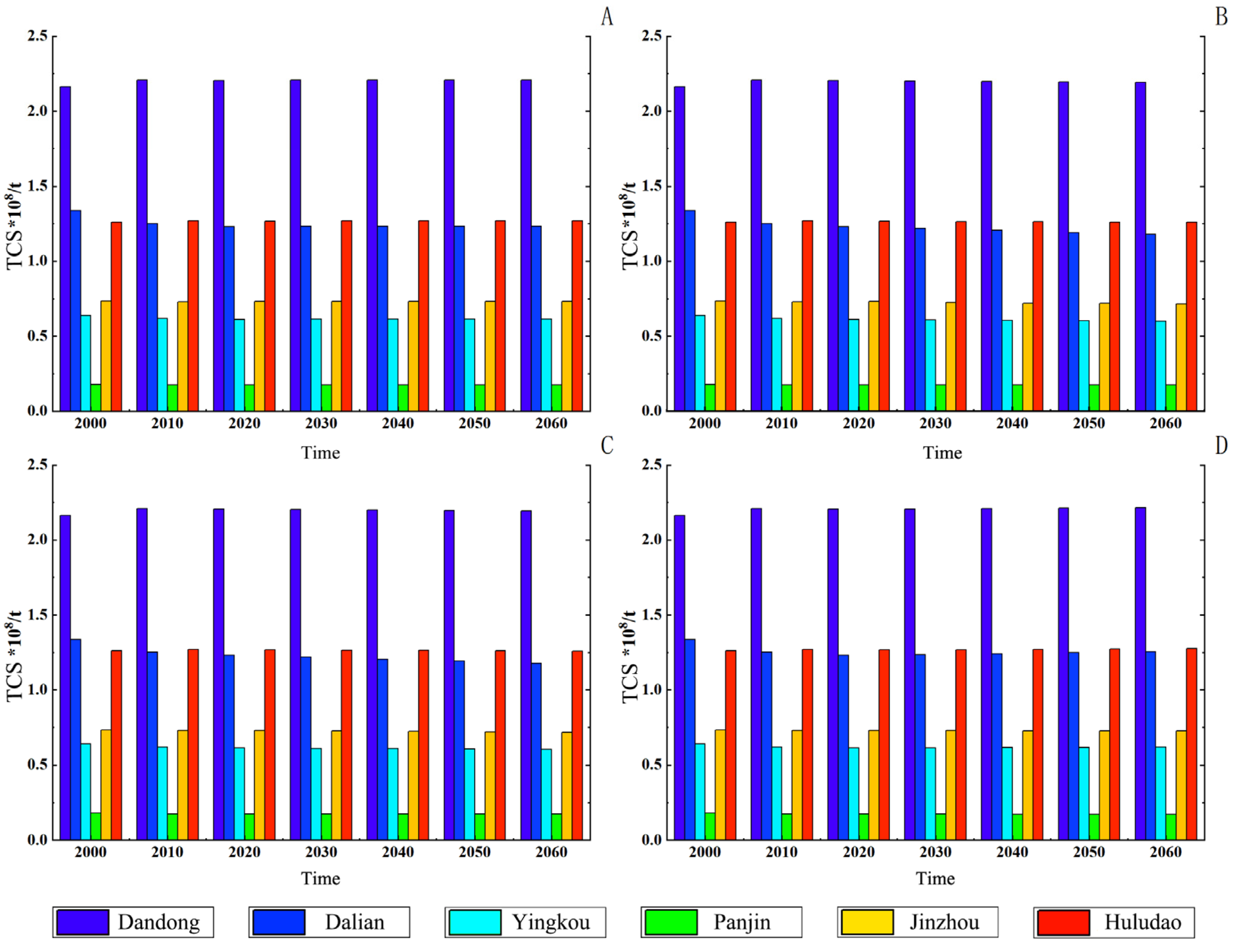
The terrestrial carbon storage of littoral communities in Liaoning Province is illustrated in Figure 8A–D under four development scenarios. Total terrestrial carbon storage from 2000 to 2060 is 4.357 billion tons, with a total annual storage of 622 million tons. The TCS proportions for Dandong, Dalian, Yingkou, Panjin, Jinzhou, and Huludao are 35.47%, 19.77%, 9.87%, 2.81%, 11.70%, and 20.39%, respectively. The terrestrial carbon storage fluctuates under many conditions. In the trend development scenario 8A, the overall quantity declined by 0.18%, equating to a reduction of 7.8 million tons. Among them, Dalian experienced a 1.18% decrease, resulting in a loss of 10.3 million tons, and Dandong experienced a 0.30% increase, resulting in a gain of 4.56 million tons. Moreover, 0.44% of the total quantity, or 18.9 million tons, decreased under the urban development scenario 8B. Dalian City experienced a 1.81% decrease, resulting in a loss of 15.6 million tons, while Dandong City experienced a 0.20% increase, resulting in an increase of 3 million tons. Moreover, 0.41% of the total quantity, or 18 million tons, decreased under the 8C scenario of cultivated land protection. Of these, Dalian City experienced a 1.82% decrease, resulting in a loss of 15.7 million tons, and Dandong City experienced a 0.21% increase, resulting in a gain of 3.19 million tons. Under the 8D scenario of ecological protection, the total quantity decreased by 0.11%, which equates to a loss of 5 million tons. Of these, Dalian City experienced a 0.93% decrease, resulting in a loss of 8.2 million tons, and Dandong City experienced a 0.34% increase, resulting in a gain of 5.3 million tons.
Figure 8.
Terrestrial carbon storage in coastal cities of Liaoning Province (Note: (A) is trend development scenario, (B) is urban development scenario, (C) is farmland protection scenario, (D) is ecological protection scenario).
From 2000 to 2060, the total terrestrial carbon storage in coastal cities in Liaoning Province averaged 622 million tons per year, with a total reserve of 4.357 billion tons. Terrestrial carbon storage varies significantly among Dandong City, Dalian City, Yingkou City, Panjin City, Jinzhou City, and Huludao City, which may be attributed to urban land use types, vegetation coverage, and other factors. Terrestrial carbon storage undergoes modifications under various scenarios. The total volume decreased by 0.18%, which equates to 7.8 million tons, under the trend development scenario 8A. In the context of ongoing trends, this implies a minor decrease in carbon storage. In the urban growth scenario 8B, the overall volume decreased by 0.44%, equating to a reduction of 18.9 million tons. This may suggest that carbon storage has been impacted to a certain extent as urbanization continues to grow. Both the cultivated land protection scenario 8C and the ecological protection scenario 8D exhibit a similar downward trend; however, the ecological protection scenario experiences a slightly slower decline. The carbon storage change tendencies in the two cities of Dalian and Dandong are distinct. Carbon storage in Dalian City decreased in response to a variety of scenarios, whereas Dandong City demonstrated an upward trend. This may be associated with the extent of vegetation coverage and variations in land use in the two cities.
3.7. Ecosystem Service Value
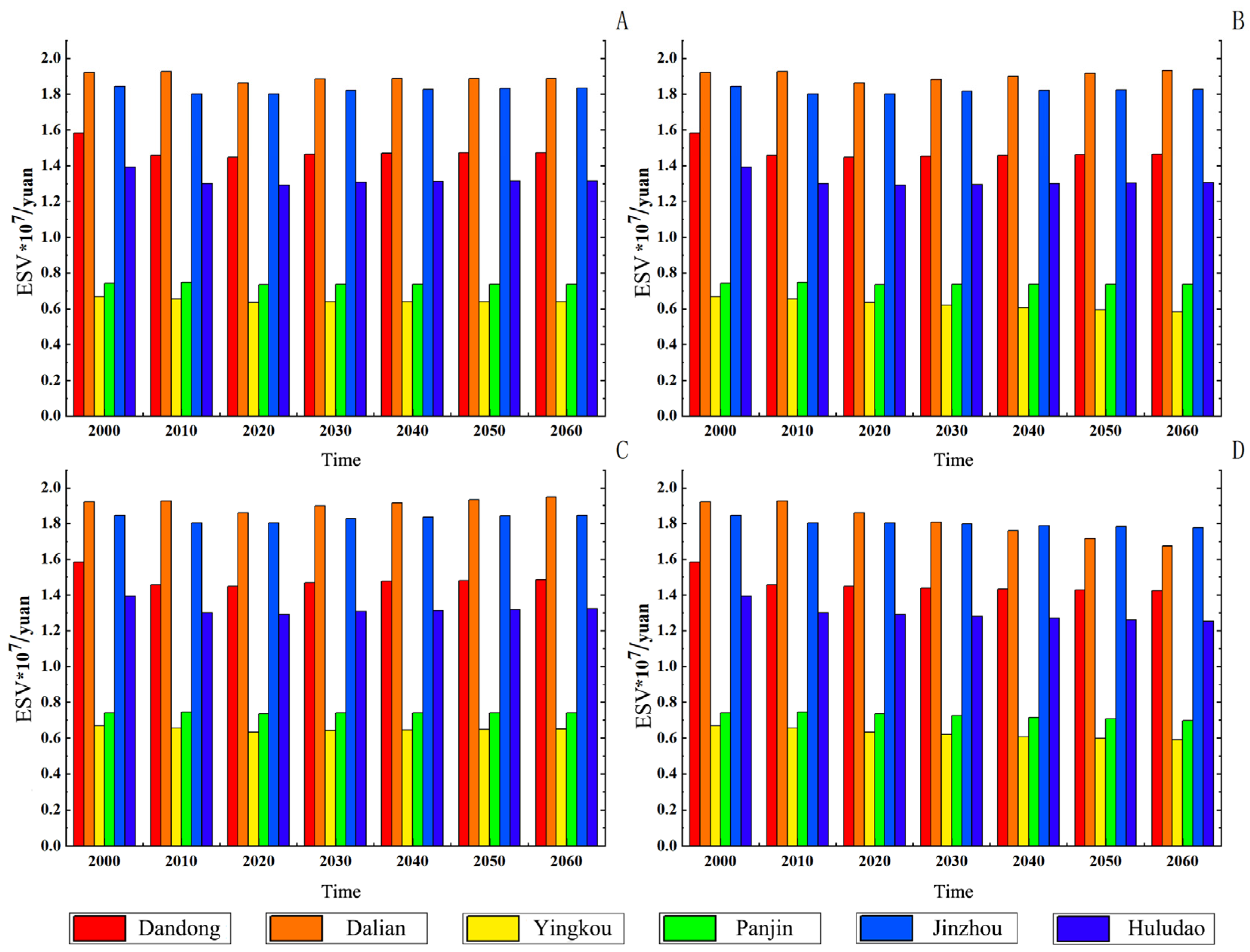
Figure 9A–D illustrate the fluctuations in the total ESV of coastal cities in Liaoning Province. In 2000, the total value of ESV was 81.4622 million yuan. From 2000 to 2060, various circumstances led to a decrease in the total amount of ESV. Among these, the trend development scenario 9A led to a 2.61 million yuan decrease in ESV, a 0.03% decrease in supply services, a 0.37% decrease in regulation services, a 0.64% decrease in support services, and a 0.03% increase in cultural services. ESV decreased by 7.34 million yuan under the urban development scenario 9B, while supply services, regulation services, support services, and cultural services decreased by 1.67%, 1.88%, 0.29%, and 0.09%, respectively. ESV decreased by 3.02 million yuan under the cultivated land protection scenario 9C, while supply services, regulation services, support services, and cultural services decreased by 0.03%, 0.64%, 0.65%, and 0.02%, respectively. The ecological protection scenario 9D resulted in a 1.51 million yuan decrease in ESV, a 0.81% decrease in supply services, a 0.04% decrease in regulation services, and a 0.76% decrease in support services. Cultural services did not experience any significant changes.
Figure 9.
Ecosystem service value of coastal cities in Liaoning Province. (Note: (A) is trend development scenario, (B) is urban development scenario, (C) is farmland protection scenario, (D) is ecological protection scenario).
The total ESV of coastal localities in Liaoning Province has undergone a substantial transformation from 2000 to 2060. Under the four scenarios of trend development, urban development, cultivated land protection, and ecological protection, the total ESV decreased by 2.61 million yuan, 7.34 million yuan, 3.02 million yuan, and 1.51 million yuan, respectively. Over time, this implies that the value of ecosystem services in these cities has decreased. Supply services, regulatory services, support services, and cultural services have also been altered in the aforementioned four scenarios. The value of supply services and support services generally decreased, while the value of regulatory services and cultural services increased or decreased. The diversity and complexity of urban ecosystem services are demonstrated by the potential impact of various factors and pressures on various service categories. Dandong, Dalian, Yingkou, Panjin, Jinzhou, and Huludao also had a decrease in ESV. Dandong City experienced the most significant decline among the four scenarios, with a cumulative decrease of 4.7358 million yuan.
4. Discussion
4.1. Land Use Change and Driving Factors
A complex process, land use change is influenced by natural, social, and economic factors. Social and economic development is the primary factor fueling the expansion of construction land. The clear spatial agglomeration effects of population economic growth and construction land expansion make it even harder for different types of land to be found in different places [58,59]. In this chapter, we examine the significance of natural, social, and economic factors to elucidate the driving mechanisms of future land use changes [60]. Our results indicate that from 2000 to 2060, cultivated land and forestland in coastal cities of Liaoning Province are mostly influenced by GDP, population, and DEM; grassland is primarily driven by precipitation and DEM; water areas are chiefly impacted by population and GDP. The primary factors that influence land use are GDP and night lighting, while the primary factors that influence unused land are distance from roads and distance from DEM. The findings of this study align with previous research findings, suggesting that land use changes primarily stem from human activities. Additionally, the impacts of ESV changes and TCS changes are on the rise [61,62,63]. Cao et al. [64] discovered that land intensification and economic concentration are effective strategies for China’s urbanization to increase GDP per unit area. The primary factor fueling the expansion of construction land in China, according to Zhou et al. [58], is social and economic development. This aligns with our research on coastal cities. The results indicate a uniform increase in urban building land. In the Yangtze and Yellow River watersheds, Fang et al. [65] discovered that the LULC is more greatly influenced by precipitation, slope, forest land area ratio, GDP, human activity intensity, and construction land area ratio. The Pan-Pearl River Basin is the driving force behind LULC, as discovered by Zhang et al. [66]. The factors are associated with GDP, the total output value of industry, forestry, and animal husbandry; retail sales of social consumption products; and fiscal revenue, among others. This suggests that LULC at the basin scale is a significant factor in GDP and human and industrial development. LULC in the Republic of Rwanda is, according to Qiu et al. [67], influenced by the added value of the three main industries: GDP, total population, and population density. Wan et al. [68] identified the primary drivers of human activities, such as population pressure, economic development, and policy execution, as the principal factors contributing to the ten main causes of interannual changes in land use and cover in the mid- and low-latitude coastal zones of Eurasia. In summation, the influence of human activities on land use changes, ESV changes, and TCS has eventually strengthened in the context of ongoing socio-economic development.
4.2. Land Use Change and Terrestrial Carbon Storage
Cultivated land and afforestation are the primary factors contributing to the rise in TCS at the national level in China [69]. In the coastal cities of Liaoning Province, the rapid expansion of construction land due to urbanization has resulted in a continuous reduction in forest and grassland areas, which is the primary cause of the decline in TCS. This decrease is observed under various development scenarios from 2000 to 2020 and 2030 to 2060. In contrast to research conducted in other regions of China, there are certain similarities and differences. In northwest China, grassland degradation is the primary cause of the reduction in carbon storage [50]. The primary factor influencing the dynamic variations in regional carbon sequestration in coastal areas of China is urbanization. The carbon sequestration capacity of ecosystems is diminished by rapid LULC change [70]. The storage of carbon in the Loess Plateau is positively correlated with precipitation and temperature. The ecological priority scenario has the potential to enhance carbon storage, while ecological restoration has the potential to increase carbon sequestration [49]. Alongside foreign studies, there are also certain similarities and differences. The reduction of terrestrial carbon storage in the UK is primarily due to the expansion of cultivated land. The total benefits of terrestrial carbon storage in the UK are positively impacted by afforestation and grassland restoration [71]. Sigit D et al. [72] conducted a study in West Badibuya Province and discovered that the TCS of undisturbed mangrove ecosystems was identical to that of the original mangroves. The gains and losses of mangrove carbon storage are influenced by variations in land use. The land cover variations in Taita Hills, Kenya, from 1987 to 2011, were assessed by PKE et al. [73], who discovered that the area of forest land decreased as a result of socio-economic factors. Before 2003, TCS exhibited a downward trend; however, it gradually increased in response to government legislation. In Laguna Province, Dina et al. [74] conducted an analysis of the variations in carbon storage in the Silang-Santa Rosa and Pagsanjan-Lumban basins. They discovered that the reduction in forest areas in the basin resulted in a decrease in total carbon storage. The continuous expansion of agricultural and construction land in the land use scenario simulation further reduced carbon storage. A review of both domestic and international research shows that the ability of ecosystems to store carbon can be increased by putting in place policies and strategies for protecting the environment, as well as by keeping a closer eye on and better managing changes in land use.
4.3. Land Use Change and Ecosystem Service Value
The supply benefits of ecosystem services will be substantially altered by changes in land use, which will have a significant impact on ESV [75,76]. The ESV of coastal cities in Liaoning Province from 2000 to 2060 decreased by 2.61 million yuan, 7.34 million yuan, 3.02 million yuan, and 1.51 million yuan, respectively, under trend development, urban development, cultivated land conservation, and ecological protection. The ESV underwent significant alterations throughout many development situations. According to Wang et al. [77], the area of shrubs and grasslands in Derong County decreased during the study period; agricultural economic development and urban expansion growth had a negative effect on ESV, while the implemented ecological projects played a positive role in improving ESV. From 2000 to 2018, the urban construction land in the Dongting Lake area increased from 140.43 km2 to 264.76 km2, as discovered by Ouyang et al. [78]. Intensified urbanization has expedited the decline of ESV. Zeng et al. [79] discovered that Chengde City experienced growth from 2003 to 2018. ESV increased from 38.825 billion yuan to 38.918 billion yuan in 2008, a trend that is associated with resource protection policies. Li et al. [75] conducted a study of the Sichuan–Yunnan ecological barrier and discovered that land use transfer primarily occurred between various ecological land types. Consequently, the ESV increased by 1.275 billion yuan; however, construction continued. Land use in ESV encroaches on farmland, resulting in reduced food production, hydrological regulation, and soil fertility maintenance. The situation is comparable to what has been observed in foreign studies. During the study period, the encroachment of construction land into agricultural land, aquatic bodies, and forest land resulted in a decrease of 59.55 ESV. M. M. R. et al. [80] discovered that the area of construction land in Dhaka City increased by 188.35% in the past 30 years. In their investigation of the Autonomous Province of South Tyrol in Italy, Schirpke et al. [81] discovered that socioeconomic changes are the primary factor driving ESV changes and that agricultural utilization supervision and maintenance have a substantial impact on cultural services. The rapid decline in ESV increased the area of farmland and construction land at the expense of forests, grasslands, and shrubs in the Guna Mountains in northwest Ethiopia and the African high mountains, as discovered by Belay et al. [29]. LULC was the result of socioeconomic activities and land use policies. Urbanization is the primary factor contributing to the substantial decrease in ESV that has resulted from changes in land use [82,83].
4.4. Innovation and Limitations
Rather than predicting future land use, our primary objective is to investigate the impact of land use change in relation to a predetermined baseline. For sustainable socio-economic and ecological growth, decision-makers must thus perform economic evaluations of ecological and environmental repercussions. This paper limits the transformation of land types with higher ESV and carbon storage coefficients to land types with lower ESV and carbon storage coefficients. The model is modified to compensate for its insufficient prediction of spatial heterogeneity, and four development scenario models are constructed to investigate the most appropriate scenario for coastal city development. This is also a long-term challenge for land use change simulation, as the influence of natural factors and human activities on land use change is uncontrollable and indeterminate.
5. Conclusions
The coastal cities of Liaoning Province are used as an example in this paper to examine land use changes, driving factors, ESV, terrestrial carbon storage, and prospective development trends. Based on changes in land use from 2000 to 2020, we can simulate how land use will change in coastal cities over time and space from 2020 to 2060. We can also look at how ESV and terrestrial carbon storage will differ over time. The findings are as follows:
1. The dynamics of cultivated land, grassland, construction land, and unused land in coastal communities undergo significant changes, with the conversion of construction land being the most prevalent. However, there is no significant change in the forest land or water area. The comprehensive dynamics of EPS, CPS, UDS, and TDS scenarios underwent significant changes from 2020 to 2060, while the comprehensive dynamics of littoral cities continued to decline from 2000 to 2020.
2. The spatial distribution characteristics of “low coastal, inland, high eastern and western forests, and medium grassland in the middle” are demonstrated in the TCS of coastal cities. The TCS of forest land, cultivated land, grassland, and other similar land types is relatively high, while the TCS of the central part of coastal cities and coastal high-intensity development areas is relatively low. The TCS of forest land, cultivated land, grassland, and other similar land types is relatively high in the northwest of Huludao City, the northern part of Jinzhou City, the wetland of Panjin City, the southeast of Yingkou City, the northern part of Dalian City, and the inland area of Dandong City.
3. GDP, NDVI, DEM, precipitation, population, distance from the water system, and distance from provincial highways are the primary factors influencing land use change in coastal cities. The primary factors that drive land use change in each city are DEM, GDP, population, precipitation, habitat quality, distance to water system, distance to highway, high-speed rail, and railway. The influence of soil type, slope, and slope aspect is relatively minor.
4. The simulation results for coastal cities show a decrease in ESV and land carbon storage under both the ecological protection scenario and the cultivated land protection scenario. The ecological protection scenario is the most suitable for development. The ESV and land carbon storage of coastal cities are expected to continue to increase under the urban development scenario and the trend development scenario.
Author Contributions
Conceptualization, Y.W.; methodology, Y.L. (Yuan Li); software, Y.L. (Yuan Li); validation, Y.W., B.X. and Y.L. (Yan Li); formal analysis, B.X.; investigation, Y.L. (Yuan Li); resources, B.X.; data curation, Y.L. (Yan Li); writing—original draft preparation, Y.L. (Yuan Li); writing—review and editing, Y.L. (Yuan Li); visualization, Y.L. (Yuan Li); supervision, B.X.; project administration, Y.W.; funding acquisition, B.X. All authors have read and agreed to the published version of the manuscript.
Funding
Central-level Public Welfare Basic Research Operating Expenses Special Funding (No. CAFYBB2021ZB003).
Institutional Review Board Statement
Not applicable.
Informed Consent Statement
Not applicable.
Data Availability Statement
The data are contained within the article.
Conflicts of Interest
The authors declare no conflicts of interest.
References
- Stürck, J.; Levers, C.; van der Zanden, E.H.; Schulp, C.J.E.; Verkerk, P.J.; Kuemmerle, T.; Helming, J.; Lotze-Campen, H.; Tabeau, A.; Popp, A.; et al. Simulating and Delineating Future Land Change Trajectories. Reg. Environ. Chang. 2015, 18, 733–749. [Google Scholar] [CrossRef]
- Lilburne, L.; Eger, A.; Beare, M. The Land Resource Circle: Supporting Land-Use Decision Making with an Ecosystem-Service-Based Framework of Soil Functions. Geoderma 2020, 363, 114134. [Google Scholar] [CrossRef]
- Zhang, Q.; Yue, D.; Wang, Y. Study on Sustainability of Land Resources in Dengkou County Based on Emergy Analysis. J. Clean. Prod. 2018, 171, 580–591. [Google Scholar] [CrossRef]
- Erik, N.; Heather, S.; Peter, H.; Marc, C.; Driss, E.; Stacie, W.; Steven, M.; Stephen, P.; Maya, M.A. Projecting Global Land-Use Change and Its Effect on Ecosystem Service Provision and Biodiversity with Simple Models. PLoS ONE 2010, 5, e14327. [Google Scholar]
- Niu, S.L.; Chen, W.N. Current status and prospects of global change and ecosystem research. Chin. J. Plant Ecol. 2020, 44, 449–460. [Google Scholar] [CrossRef]
- Boone, R.B.; Conant, R.T.; Sircely, J.; Thornton, P.K.; Herrero, M. Climate Change Impacts on Selected Global Rangeland Ecosystem Services. Wiley 2017, 24, 1382–1393. [Google Scholar] [CrossRef]
- Zandalinas, S.I.; Fritschi, F.B.; Mittler, R. Global Warming, Climate Change, and Environmental Pollution: Recipe for a Multifactorial Stress Combination Disaster. Trends Plant Sci. 2021, 26, 588–599. [Google Scholar] [CrossRef]
- Damania, R.; Russ, J.; Wheeler, D.; Barra, A.F. The Road to Growth: Measuring the Tradeoffs between Economic Growth and Ecological Destruction. World Dev. 2018, 101, 351–376. [Google Scholar] [CrossRef]
- Aisdl. Economic Growth of Southeast Asian Countries: The Role of Corruption, Natural Resources and Asean Community. 2016. Available online: https://ideas.repec.org/p/osf/osfxxx/bn7wh.html (accessed on 1 December 2024).
- Zhang, Y.S.; Wu, D.T.; Lü, X. Impacts of land use/cover change on ecosystem services: A review of studies from a spatial scale perspective. J. Nat. Resour. 2020, 35, 1172–1189. [Google Scholar]
- Rahman, M.M.; Alam, K. Clean Energy, Population Density, Urbanization and Environmental Pollution Nexus: Evidence from Bangladesh. Renew. Energy 2021, 172, 1063–1072. [Google Scholar] [CrossRef]
- Jin, J.; Chen, D.; Chen, M.H. Research on the Impact of the County-to-District Reform on Environmental Pollution in China. Sustainability 2022, 14, 6406. [Google Scholar] [CrossRef]
- Tang, X.; Zhou, X.; Management, S.O.; University, G. Innovation Based on Land Use Planning and Development Pattern of Big Data. Sci. Technol. Dev. 2018, 14, 951–957. [Google Scholar] [CrossRef]
- Haile; Mamo, M.; Abebe; Kassahun, A. Gis and Fuzzy 1ogic Integration in 1and Suitabi1ity Assessment for Surface Irrigation the Case of Guder Watershed Upper B1ue Ni1e Basin Ethiopia. Appl. Water Sci. 2022, 12, 240. [Google Scholar] [CrossRef]
- Deng, W.; Cheng, Y.F.; Huan, Y.U.; Peng, L.; Kong, B.; Hou, Y.T. Spatio-Temporal Characteristics of Population and Economy in Transitional Geographic Space at the Southern End of “Hu Huan-Yong Line”. J. Mt. Sci. Engl. Ed. 2022, 19, 15. [Google Scholar] [CrossRef]
- Luo, L.H.; Zhang, X.D.; Cao, C. The 40-year historical evolution of China’s environmental policy and its implications. Environ. Prot. Sci. 2022, 48, 34–38. [Google Scholar]
- Li, S.Y.; Ni, H.; Feng, H. Spatiotemporal evolution of land use and ecosystem service value in the Fujian Triangle Urban Agglomeration and future multi-scenario simulation. Geogr. Geo-Inf. Sci. 2024, 40, 28–34+41. [Google Scholar]
- Esquivel, J.; Echeverria, C.; Saldana, A.; Fuentes, R. High Functional Diversity of Forest Ecosystems Is Linked to High Provision of Water Flow Regulation Ecosystem Service. Ecol. Indic. Integr. Monit. Assess. Manag. 2020, 115, 106433. [Google Scholar] [CrossRef]
- Assefa, W.W.; Eneyew, B.G.; Wondie, A. The Impacts of Land-Use and Land-Cover Change on Wetland Ecosystem Service Values in Peri-Urban and Urban Area of Bahir Dar City, Upper Blue Nile Basin, Northwestern Ethiopia. Ecol. Process. 2021, 10, 18. [Google Scholar] [CrossRef]
- Xie, G.D.; Zhen, L.; Chen, C. An approach to ecosystem service valuation based on expert knowledge. J. Nat. Resour. 2008, 23, 911–919. [Google Scholar] [CrossRef]
- Chen, X.B.; Ding, W.R. Spatiotemporal evolution and trade-off relationship of ecosystem services in Shilin karst area. J. Soil Water Conserv. 2022, 30, 285–293. [Google Scholar]
- Wang, G.; Zhang, F.R. Spatial-temporal evolution of ecosystem service value and influencing factors in Liaohe Delta over the past 30 years. Environ. Sci. 2023, 16, 228–238. [Google Scholar]
- Chen, X.B.; Ding, W.R.; Li, X.C. Cross-sensitivity analysis of land use transformation and ecosystem service value in the central Yunnan urban agglomeration. J. Soil Water Conserv. 2022, 1–9. [Google Scholar] [CrossRef]
- Xiao, B.; Zhao, L.; Zheng, L.; Tan, L.; Zheng, F.; Like, S.M. Review of the Impact of Grassland Degradation on Ecosystem Service Value. Appl. Sci. 2022, 12, 15. [Google Scholar] [CrossRef]
- Liu, T.; Li, Z.; Yu, L.; Chen, X.; Cao, B.; Li, X.; Du, Z.; Peng, D.; Hou, L. Global Relative Ecosystem Service Budget Mapping Using the Google Earth Engine and Land Cover Datasets; IOP Publishing Ltd.: Bristol, UK, 2022. [Google Scholar]
- Yang, Y.N.; Li, J.; Wang, Y. Impact of urbanization on the supply and demand of typical ecosystem services in the Yangtze River Delta. J. Nat. Resour. 2022, 37, 1555–1571. [Google Scholar] [CrossRef]
- Wang, Y.; Zhang, Z.; Chen, X. Spatiotemporal Change in Ecosystem Service Value in Response to Land Use Change in Guizhou Province, Southwest China. Ecol. Indic. 2022, 144, 109514. [Google Scholar] [CrossRef]
- Duan, X.; Chen, Y.; Wang, L.; Zheng, G.; Liang, T. The Impact of Land Use and Land Cover Changes on the Landscape Pattern and Ecosystem Service Value in Sanjiangyuan Region of the Qinghai-Tibet Plateau. J. Environ. Manag. 2023, 325, 116539. [Google Scholar] [CrossRef]
- Belay, T.; Melese, T.; Senamaw, A. Impacts of Land Use and Land Cover Change on Ecosystem Service Values in the Afroalpine Area of Guna Mountain, Northwest Ethiopia. Heliyon 2022, 8, e12246. [Google Scholar] [CrossRef]
- Benez-Secanho, F.J.; Dwivedi, P. Analyzing the Impacts of Land Use Policies on Selected Ecosystem Services in the Upper Chattahoochee Watershed, Georgia, United States. Environ. Res. Commun. 2021, 3, 115001. [Google Scholar] [CrossRef]
- Islam, I.; Cui, S.; Hoque, M.Z.; Abdullah, H.M.; Tonny, K.F.; Ahmed, M.; Ferdush, J.; Xu, L.; Ding, S.; Tian, M.H. Dynamics of Tree Outside Forest Land Cover Development and Ecosystem Carbon Storage Change in Eastern Coastal Zone, Bangladesh. Land 2022, 11, 76. [Google Scholar] [CrossRef]
- Liu, Y.; Zhang, J.; Zhu, X.Y. Study on spatiotemporal variation of carbon storage in Shule River Basin based on InVEST model. Acta Ecol. Sin. 2021, 41, 4052–4065. [Google Scholar]
- Xing, W.; Qian, Y.; Wu, H. A Novel Cellular Automata Model Integrated with Deep Learning for Dynamic Spatio-Temporal Land Use Change Simulation. Comput. Geosci. 2020, 137, 104430. [Google Scholar] [CrossRef]
- Li, Y.N.; Duo, L.H.; Zhang, M. Spatiotemporal evolution and prediction of land use pattern and habitat quality based on CA-Markov and InVEST models: A case study of Nanchang, Jiangxi Province. J. Soil Water Conserv. 2021, 29, 345–354. [Google Scholar]
- Cai, D.L. Study on land use change and driving mechanism based on GIS-Logistic regression model. Resour. Inf. Eng. 2021, 36, 156–158. [Google Scholar]
- Li, B.J.; Gu, H.H.; Ji, Y.Z. Scenario simulation of land use change in mining areas based on CLUE_S model: A case study of Jiawang mining area in Xuzhou. Trop. Geogr. 2018, 38, 274–281. [Google Scholar]
- Zhang, K.Q.; Chen, J.J.; Han, X.W. Study on sustainable development of carbon storage in Guilin by coupling InVEST and GeoSOS-FLUS model. China Environ. Sci. 2022, 42, 2799–2809. [Google Scholar]
- Yi, A.L.; Sun, Q.; Wang, J. Study on the changing process and scenario of wetland ecosystem services in Shanghai based on SD model. Acta Ecol. Sin. 2020, 40, 5513–5524. [Google Scholar]
- Liang, X.; Guan, Q.; Yao, Y. Understanding the Drivers of Sustainable Land Expansion Using a Patch-Generating Land Use Simulation (PLUS) Model: A Case Study in Wuhan, China. Comput. Environ. Urban Syst. 2021, 85, 101569. [Google Scholar] [CrossRef]
- Xu, L.; Guo, W.; Jia, J. Simulation and Analysis of Land Use Change in Jianghuai Hilly Area Based on PLUS Model. Pol. J. Environ. Stud. 2023, 33, 1899–1914. [Google Scholar] [CrossRef]
- Liu, Y.; Jing, Y.; Han, S. Multi-Scenario Simulation of Land Use/Land Cover Change and Water Yield Evaluation Coupled with the GMOP-PLUS-InVEST Model: A Case Study of the Nansi Lake Basin in China. Ecol. Indic. 2023, 155, 110926. [Google Scholar] [CrossRef]
- Thottolil, R.; Kumar, U.; Mundayatt, A.; Prakhya, S.S. Predicting Urban Land Use Changes Using a Cellular Automata-Based Patch-Generating Land Use Simulation (CA-PLUS) Model: A Case Study of Bangalore City, India. Authorea 2024, Preprints. [Google Scholar]
- Wang, X.; Liu, B.; Chen, J.; Arash, M.; Zhang, B.; Chang, Q.; Liu, J.; You, W. Multi-scenario Simulation Analysis of the Impact of Land Use Change on Habitat Quality in Zhongwei Based on the PLUS Model Coupled with the InVEST Model. Res. Sq. 2024. [Google Scholar] [CrossRef]
- Long, X.R.; Lin, H.; An, X.X. Evaluation and Analysis of Ecosystem Service Value Based on Land Use/Cover Change in Dongting Lake Wetland. Ecol. Indic. 2022, 136, 108619. [Google Scholar] [CrossRef]
- Qiu, H.; Hu, B.; Zhang, Z. Impacts of Land Use Change on Ecosystem Service Value Based on SDGs Report--Taking Guangxi as an Example. Ecol. Indic. 2021, 133, 108366. [Google Scholar] [CrossRef]
- Su, H.; Du, M.X.; Liu, Q.Y. Assessment of Regional Ecosystem Service Bundles Coupling Climate and Land Use Changes. Ecol. Indic. 2024, 169, 112844. [Google Scholar] [CrossRef]
- Zhu, L.Y.; Hu, K.; Sun, S. Study on the spatiotemporal variation of carbon storage in the coastal zone of Liaoning Province based on the InVEST model. Mod. Geol. 2021, 36, 96–104. [Google Scholar]
- Zhou, T.; Shi, P.J. Indirect effects of land use change on soil carbon storage in China. Prog. Earth Sci. 2006, 21, 138–143. [Google Scholar]
- Kong, J.Q.; Du, Z.Y.; Yang, R. Prediction of land use/cover change and its impact on carbon storage in the middle reaches of the Heihe River. Chin. J. Deserts 2019, 39, 87–97. [Google Scholar]
- Liang, Y.J.; Hashimoto, S.Z.K.; Liu, L.J. Integrated Assessment of Land-Use/Land-Cover Dynamics on Carbon Storage Services in the Loess Plateau of China from 1995 to 2050. Ecol. Indic. 2021, 120, 106939. [Google Scholar] [CrossRef]
- Zhu, G.F.; Qiu, D.Q.; Zhang, Z.X. Land-Use Changes Lead to a Decrease in Carbon Storage in Arid Region, China. Ecol. Indic. 2021, 127, 107770. [Google Scholar] [CrossRef]
- Li, W.F.; Ren, X.D.; Xiao, J. Impact of land use change on ecosystem service value in karst mountainous areas. Chin. J. Environ. Eng. Technol. 2022, 13, 368–376. [Google Scholar]
- Xie, G.D.; Zhang, C.X.; Li, S.M. Improvement of ecosystem service valuation method based on unit area value equivalent factor. J. Nat. Resour. 2015, 30, 1243–1254. [Google Scholar]
- Xu, W.N.; Wang, P.X.I.; Zhang, S.Y. Application of Kappa coefficient in the accuracy evaluation of drought prediction model: A case study of drought prediction in Guanzhong Plain. J. Nat. Disasters 2011, 20, 81–86. [Google Scholar]
- Liu, Y.Y.; Li, X.X.; Huang, Z.J. Scenario simulation and carbon effect analysis of land use change in Chengdu based on CA-Markov model. Manag. Land Resour. Sci. Technol. 2024, 38–49. [Google Scholar] [CrossRef]
- Zhu, W.B.; Zhang, J.J.; Zhu, L.Q. Assessment of ecosystem carbon storage based on land use change scenarios: A case study of the Qihe River Basin in Taihang Mountains. Acta Geogr. Sin. 2019, 74, 446–459. [Google Scholar]
- Qing, M.; Zhao, J.; Huang, Z.H. Response of ecosystem carbon storage services to land use change in Shiyang River Basin from 1980 to 2030. Acta Ecol. Sin. 2022, 42, 9525–9536. [Google Scholar]
- Zhou, Y.; Li, X.; Liu, Y. Land Use Change and Driving Factors in Rural China during the Period 1995–2015. Land Use Policy 2020, 99, 105048. [Google Scholar] [CrossRef]
- Hailu, A.; Mammo, S.; Kidane, M. Dynamics of Land Use, Land Cover Change Trend and Its Drivers in Jimma Geneti District, Western Ethiopia. Land Use Policy 2020, 99, 105011. [Google Scholar] [CrossRef]
- Liu, C.; Li, W.; Zhu, G.; Zhou, H.; Yan, H.; Xue, P. Land Use/Land Cover Changes and Their Driving Factors in the Northeastern Tibetan Plateau Based on Geographical Detectors and Google Earth Engine: A Case Study in Gannan Prefecture. Remote Sens. 2020, 12, 3139. [Google Scholar] [CrossRef]
- Gashaw, T.; Tulu, T.; Argaw, M.; Worqlul, A.W. Evaluation and Prediction of Land Use/Land Cover Changes in the Andassa Watershed, Blue Nile Basin, Ethiopia. Environ. Syst. Res. 2017, 6, 1–15. [Google Scholar] [CrossRef]
- Authority; Stastical, C. Population and Housing Census of Ethiopia; Central Statistics Authority: Addis Ababa, Ethiopia, 2007. [Google Scholar]
- Hagos, H.; Sewnet, A.; Birhane, E. Land Use/Land Cover Change Detection and Its Driving Factors in Suluh River Basin, Northern Highland Part of Ethiopia. Int. J. Environ. Prot. Policy 2023, 11, 10–20. [Google Scholar] [CrossRef]
- Cao, Y.; Kong, L.; Zhang, L.; Ouyang, Z. The Balance between Economic Development and Ecosystem Service Value in the Process of Land Urbanization: A Case Study of China’s Land Urbanization from 2000 to 2015. Land Use Policy 2021, 108, 105536. [Google Scholar] [CrossRef]
- Fang, L.; Wang, L.; Chen, W.; Sun, J.; Cao, Q.; Wang, S.; Wang, L. Identifying the Impacts of Natural and Human Factors on Ecosystem Service in the Yangtze and Yellow River Basins. J. Clean. Prod. 2021, 314, 127995. [Google Scholar] [CrossRef]
- Zhang, S.X.; Zhang, J.M.; Zang, C.F. Temporal and spatial variation characteristics and driving factors of land use in the Pan-Pearl River Basin. Chin. J. Appl. Ecol. 2019, 31, 573–580. [Google Scholar]
- Qiu, G.F.; Ma, P. Land use change characteristics and driving factors in the Republic of Rwanda. Soil Water Conserv. Bull. 2022, 42, 263–273. [Google Scholar]
- Hou, W.; Hou, X.Y.; Sun, M.; Song, B.Y. Land Use/Land Cover Change along Low-Middle Latitude Coastal Areas of Eurasia and Their Driving Forces from 2000 to 2010. World Reg. Stud. 2021, 30, 813. [Google Scholar]
- Chang, X.; Xing, Y.; Wang, J.; Yang, H.; Gong, W. Effects of Land Use and Cover Change (LUCC) on Terrestrial Carbon Stocks in China between 2000 and 2018. Resour. Conserv. Recycl. 2022, 182, 106333. [Google Scholar] [CrossRef]
- Zhu, L.; Song, R.; Sun, S.; Li, Y.; Hu, K. Land Use/Land Cover Change and Its Impact on Ecosystem Carbon Storage in Coastal Areas of China from 1980 to 2050. Ecol. Indic. 2022, 142, 109178. [Google Scholar] [CrossRef]
- Yumashev, D.; Janes-Bassett, V.; Redhead, J.W.; Rowe, E.C.; Davies, J. Terrestrial Carbon Sequestration under Future Climate, Nutrient and Land Use Change and Management Scenarios: A National-Scale UK Case Study. Environ. Res. Lett. 2022, 17, 114054. [Google Scholar] [CrossRef]
- Sasmito, S.D.; Sillanpää, M.; Hayes, M.A.; Bachri, S.; Saragi-Sasmito, M.F.; Sidik, F.; Hanggara, B.B.; Mofu, W.Y.; Rumbiak, V.I.; Taberima, S. Mangrove Blue Carbon Stocks and Dynamics Are Controlled by Hydrogeomorphic Settings and Land-use Change. Glob. Chang. Biol. 2020, 26, 3028–3039. [Google Scholar] [CrossRef]
- Pellikka, P.; Heikinheimo, V.; Hietanen, J.; Schäfer, E.; Siljander, M.; Heiskanen, J. Impact of Land Cover Change on Aboveground Carbon Stocks in Afromontane Landscape in Kenya. Appl. Geogr. 2018, 94, 178–189. [Google Scholar] [CrossRef]
- Dida, J.J.V.; Tiburan, C.L., Jr.; Tsutsumida, N.; Saizen, I. Carbon Stock Estimation of Selected Watersheds in Laguna, Philippines Using InVEST. Philipp. J. Sci. 2021, 150, 501–513. [Google Scholar] [CrossRef]
- Li, C.; Wu, Y.; Gao, B.; Zheng, K.; Wu, Y.; Li, C. Multi-Scenario Simulation of Ecosystem Service Value for Optimization of Land Use in the Sichuan-Yunnan Ecological Barrier, China. Ecol. Indic. 2021, 132, 108328. [Google Scholar] [CrossRef]
- Pereira, P. Ecosystem Services in a Changing Environment. Sci. Total Env. 2020, 702, 135008. [Google Scholar] [CrossRef] [PubMed]
- Wang, Y.; Zhang, X.; Peng, P. Spatio-Temporal Changes of Land-Use/Land Cover Change and the Effects on Ecosystem Service Values in Derong County, China, from 1992–2018. Sustainability 2021, 13, 827. [Google Scholar] [CrossRef]
- Ouyang, X.; Wang, K.; Wei, X. Research on the impact of urban and rural construction land association on ecosystem services: A case study of Dongting Lake area. Acta Ecol. Sin. 2022. [Google Scholar] [CrossRef]
- Zeng, W.; Meichen, F. Effects of land use change on ecosystem service value of Chengde City. In Proceedings of the 2010 International Conference on Mechanic Automation and Control Engineering, Wuhan, China, 1 June 2010. [Google Scholar]
- Rahman, M.; Szabó, G. Impact of Land Use and Land Cover Changes on Urban Ecosystem Service Value in Dhaka, Bangladesh. Land 2021, 10, 793. [Google Scholar] [CrossRef]
- Schirpke, U.; Tscholl, S.; Tasser, E. Spatio-Temporal Changes in Ecosystem Service Values: Effects of Land-Use Changes from Past to Future (1860–2100). J. Environ. Manag. 2020, 272, 111068. [Google Scholar] [CrossRef]
- Wu, C.; Chen, B.; Huang, X.; Wei, Y.D. Effect of Land-Use Change and Optimization on the Ecosystem Service Values of Jiangsu Province, China. Ecol. Indic. 2020, 117, 106507. [Google Scholar] [CrossRef]
- Hasan, S.; Shi, W.; Zhu, X. Impact of Land Use Land Cover Changes on Ecosystem Service Value–A Case Study of Guangdong, Hong Kong, and Macao in South China. PLoS ONE 2020, 15, e0231259. [Google Scholar] [CrossRef]
Disclaimer/Publisher’s Note: The statements, opinions and data contained in all publications are solely those of the individual author(s) and contributor(s) and not of MDPI and/or the editor(s). MDPI and/or the editor(s) disclaim responsibility for any injury to people or property resulting from any ideas, methods, instructions or products referred to in the content. |
© 2025 by the authors. Licensee MDPI, Basel, Switzerland. This article is an open access article distributed under the terms and conditions of the Creative Commons Attribution (CC BY) license (https://creativecommons.org/licenses/by/4.0/).








