A New Perspective on Four Decades of Changes in Arctic Sea Ice from Satellite Observations
Abstract
:1. Introduction
2. Data and Methods
2.1. Data Sets
2.2. Methods
3. Results
3.1. Sea Ice Extent
3.2. Sea Ice Concentration
3.3. Sea Ice Thickness
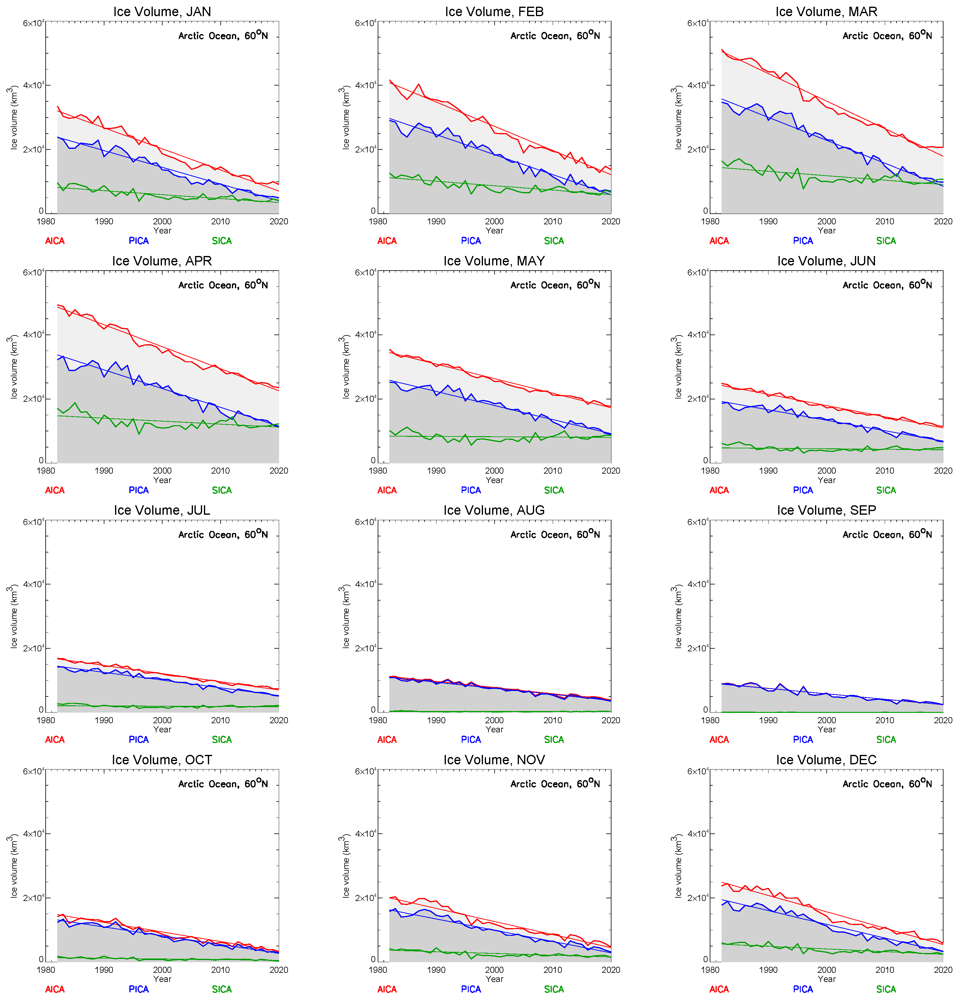
3.4. Sea Ice Volume
4. Summary and Conclusions
Author Contributions
Funding
Data Availability Statement
Acknowledgments
Conflicts of Interest
References
- Walsh, J.E.; Overland, J.E.; Groisman, P.Y.; Rudolf, B. Ongoing Climate Change in the Arctic. AMBIO 2012, 40, 6–16. [Google Scholar] [CrossRef] [Green Version]
- Jansen, E.; Christensen, J.H.; Dokken, T.; Nisancioglu, K.H.; Vinther, B.; Capron, E.; Guo, C.; Jensen, M.F.; Langen, P.L.; Pedersen, R.A.; et al. Past perspectives on the present era of abrupt Arctic climate change. Nat. Clim. Chang. 2020, 10, 714–721. [Google Scholar] [CrossRef]
- Lebrun, M.; Vancoppenolle, M.; Madec, G.; Massonnet, F. Arctic sea-ice-free season projected to extend into autumn. Cryosphere 2019, 13, 79–96. [Google Scholar] [CrossRef] [Green Version]
- Bliss, A.C.; Steele, M.; Peng, G.; Meier, W.N.; Dickson, S. Regional variability of Arctic sea ice seasonal change climate indicators from a passive microwave climate data record. Environ. Res. Lett. 2019, 14, 045003. [Google Scholar] [CrossRef]
- Smith, A.; Jahn, A.; Wang, M. Seasonal transition dates can reveal biases in Arctic sea ice simulations. Cryosphere 2020, 14, 2977–2997. [Google Scholar] [CrossRef]
- Box, J.E.; Colgan, W.T.; Christensen, T.R.; Schmidt, N.M.; Lund, M.; Parmentier, F.-J.W.; Brown, R.; Bhatt, U.S.; Euskirchen, E.S.; Romanovsky, V.E.; et al. Key indicators of Arctic climate change: 1971–2017. Environ. Res. Lett. 2019, 14, 045010. [Google Scholar] [CrossRef]
- Druckenmiller, M.L.; Moon, T.; Thoman, R. The Arctic [in “State of the Climate in 2020”]. Bull. Am. Meteorol. Soc. 2021, 102, S263–S315. [Google Scholar] [CrossRef]
- Perovich, D.; Meier, W.; Tschudi, M.; Hendricks, S.; Petty, A.A.; Divine, D.; Farrell, S.; Gerland, S.; Haas, C.; Kaleschke, L.; et al. Sea Ice; NOAA Arctic Report Card; NOAA: Washington, DC, USA, 2020; pp. 44–53. [CrossRef]
- Cavalieri, D.J.; Parkinson, C.L.; Vinnikov, K.Y. 30-Year satellite reveals contrasting Arctic and Antarctic decadal sea ice variability. Geophys. Res. Lett. 2003, 30, 1970. [Google Scholar] [CrossRef] [Green Version]
- Parkinson, C.L.; Comiso, J.C. 2013: On the 2012 record low Arctic sea ice cover: Combined impact of preconditioning and an August storm. Geophys. Res. Lett. 2013, 40, 1356–1361. [Google Scholar] [CrossRef]
- Wang, X.; Key, J.; Liu, Y.; Fowler, C.; Maslanik, J.; Tschudi, M. Arctic Climate Variability and Trends from Satellite Observations. Adv. Meteorol. 2012, 2012, 505613. [Google Scholar] [CrossRef] [Green Version]
- Liu, Y.; Key, J.R.; Wang, X.; Tschudi, M. Multidecadal Arctic sea ice thickness and volume derived from ice age. Cryosphere 2020, 14, 1325–1345. [Google Scholar] [CrossRef] [Green Version]
- Kwok, R.; Rothrock, D.A. Decline in Arctic sea ice thickness from submarine and ICESat. Geophys. Res. Lett. 2009, 36, L15501. [Google Scholar] [CrossRef] [Green Version]
- Zhang, J.; Lindsay, R.; Schweiger, A.; Rigor, I. Recent changes in the dynamic properties of declining Arctic sea ice: A model study. Geophys. Res. Lett. 2012, 39, L20503. [Google Scholar] [CrossRef] [Green Version]
- Meier, W.N.; Hovelsrud, G.K.; Van Oort, B.E.; Key, J.R.; Kovacs, K.M.; Michel, C.; Haas, C.; Granskog, M.; Gerland, S.; Perovich, D.K.; et al. 2014: Arctic sea ice in transformation: A review of recent observed changes and impacts on biology and human activity. Rev. Geophys. 2014, 52, 185–217. [Google Scholar] [CrossRef]
- Lindsay, R.; Schweiger, A. Arctic sea ice thickness loss determined using subsurface, aircraft, and satellite observations. Cryosphere 2015, 9, 269–283. [Google Scholar] [CrossRef] [Green Version]
- Hassol, S. Arctic Climate Impact Assessment; Cambridge University Press: New York, NY, USA, 2005; p. 1042. [Google Scholar]
- Serreze, M.C.; Holland, M.M.; Stroeve, J. Perspectives on the Arctic’s Shrinking Sea-ice Cover. Science 2007, 315, 1533–1536. [Google Scholar] [CrossRef] [Green Version]
- Zhang, J.; Lindsay, R.; Steele, M.; Schweiger, A. What drove the dramatic retreat of arctic sea ice during summer 2007. Geophys. Res. Lett. 2008, 35, L11505. [Google Scholar] [CrossRef] [Green Version]
- Wang, X.; Key, J.R. Recent Trends in Arctic Surface, Cloud, and Radiation Properties from Space. Science 2003, 299, 1725–1728. [Google Scholar] [CrossRef]
- Nghiem, S.V.; Rigor, I.G.; Perovich, D.K.; Clemente-Colón, P.; Weatherly, J.W.; Neumann, G. Rapid reduction of Arctic perennial sea ice. Cryosphere 2007, 34, L19504. [Google Scholar] [CrossRef] [Green Version]
- Kwok, R. Arctic sea ice thickness, volume, and multiyear ice coverage: Losses and coupled variability (1958–2018). Environ. Res. Lett. 2018, 13, 105005. [Google Scholar] [CrossRef]
- Maslanik, J.A.; Fowler, C.; Stroeve, J.; Drobot, S.; Zwally, J.; Yi, D.; Emery, W. A younger, thinner Arctic ice cover: Increased potential for rapid, extensive sea-ice loss. Geophys. Res. Lett. 2007, 34, L24501. [Google Scholar] [CrossRef] [Green Version]
- Perovich, D.K.; Light, B.; Eicken, H.; Jones, K.F.; Runciman, K.; Nghiem, S.V. Increasing solar heating of the Arctic Ocean and adjacent seas 1979–2005: Attribution and role in the ice-albedo feedback. Geophys. Res. Lett. 2007, 34, L9505. [Google Scholar] [CrossRef] [Green Version]
- Perovich, D.K.; Richter-Menge, J.A.; Jones, K.F.; Light, B. Sunlight, water, and ice: Extreme Arctic sea ice melt during the summer of 2007. Geophys. Res. Lett. 2008, 35, L11501. [Google Scholar] [CrossRef] [Green Version]
- Polyakov, I.V.; Timokhov, L.A.; Alexeev, V.A.; Bacon, S.; Dmitrenko, I.A.; Fortier, L.; Frolov, I.E.; Gascard, J.; Hansen, E.; Ivanov, V.V.; et al. Arctic Ocea n warming contributes to reduced polar ice cap. J. Phys. Oceanogr. 2010, 40, 2743–2756. [Google Scholar] [CrossRef]
- Kay, J.E.; Gettelman, A. Cloud influence on and response to seasonal Arctic sea ice loss. J. Geophys. Res. 2009, 114, D18204. [Google Scholar] [CrossRef]
- Liu, Y.; Key, J.R.; Liu, Z.; Wang, X.; Vavrus, S.J. A cloudier Arctic expected with diminishing sea ice. Geophys. Res. Lett. 2012, 39, L05705. [Google Scholar] [CrossRef]
- Taylor, P.C.; Kato, S.; Xu, K.-M.; Cai, M.C.J.D. Covariance between Arctic sea ice and clouds within atmospheric state regimes at the satellite footprint level. J. Geophys. Res. Atmos. 2015, 120, 12656–12678. [Google Scholar] [CrossRef] [Green Version]
- Stuecker, M.F.; Bitz, C.M.; Armour, K.C.; Proistosescu, C.; Kang, S.M.; Xie, S.-P.; Kim, D.; Mc Gregor, S.; Zhang, W.; Zhao, S.; et al. Polar amplification dominated by local forcing and feedbacks. Nat. Clim. Chang. 2018, 8, 1076–1081. [Google Scholar] [CrossRef]
- Dai, A.; Luo, D.; Song, M.; Liu, J. Arctic amplification is caused by sea-ice loss under increasing CO2. Nat. Commun. 2019, 10, 121. [Google Scholar] [CrossRef] [Green Version]
- Zhang, X. Sensitivity of arctic summer sea ice coverage to global warming forcing: Towards reducing uncertainty in arctic climate change projections. Tellus A Dyn. Meteorol. Oceanogr. 2010, 62, 220–227. [Google Scholar] [CrossRef]
- Notz, D.; Stroeve, J. Observed Arctic sea-ice loss directly follows anthropogenic CO2 emission. Science 2016, 354, 747–750. [Google Scholar] [CrossRef] [PubMed] [Green Version]
- Davy, R.; Outten, S. The arctic surface climate in CMIP6: Status and developments since CMIP5. J. Clim. 2020, 33, 8047–8068. [Google Scholar] [CrossRef]
- Notz, D.; Community, S. Arctic Sea Ice in CMIP6. Geophys. Res. Lett. 2020, 47, 47. [Google Scholar] [CrossRef]
- Lindsay, R.W.; Zhang, J.; Schweiger, A.; Steele, M.; Stern, H. Arctic Sea Ice Retreat in 2007 Follows Thinning Trend. J. Clim. 2009, 22, 165–176. [Google Scholar] [CrossRef]
- Schweiger, A.J.; Wood, K.R.; Zhang, J. Arctic Sea Ice Volume Variability over 1901-2010: A Model-Based Reconstruction. J. Clim. 2019, 32, 4731–4752. [Google Scholar] [CrossRef]
- Stroeve, J.; Barrett, A.; Serreze, M.; Schweiger, A. Using records from submarine, aircraft and satellites to evaluate climate model simulations of Arctic sea ice thickness. Cryosphere 2014, 8, 1839–1854. [Google Scholar] [CrossRef] [Green Version]
- Bi, H.; Zhang, J.; Wang, Y.; Zhang, Z.; Zhang, Y.; Fu, M.; Huang, H.; Xu, X. Arctic Sea Ice Volume Changes in Terms of Age as Revealed From Satellite Observations. IEEE J. Sel. Top. Appl. Earth Obs. Remote Sens. 2018, 11, 2223–2237. [Google Scholar] [CrossRef]
- Key, J.R.; Wang, X.; Liu, Y.; Dworak, R.; Letterly, A. The AVHRR Polar Pathfinder Climate Data Records. Remote Sens. 2016, 8, 167. [Google Scholar] [CrossRef] [Green Version]
- Wang, X.; Key, J.R.; Liu, Y. A thermodynamic model for estimating sea and lake ice thickness with optical satellite data. J. Geophys. Res. Ocean. 2010, 115, 115. [Google Scholar] [CrossRef] [Green Version]
- Key, J.R.; Wang, X.; Stroeve, J.; Fowler, C. Estimating the cloudy-sky albedo of sea ice and snow from space. J. Geophys. Res. 2001, 106, 12489–12497. [Google Scholar] [CrossRef] [Green Version]
- Key, J.R.; Yang, P.; Baum, B.A.; Nasin, S.L. Parameterization of shortwave ice cloud optical properties for various particle habits. J. Geophys. Res. 2002, 107, 4181. [Google Scholar] [CrossRef]
- Key, J.R.; Schweiger, A.J. Tools for atmospheric radiative transfer: Streamer and FluxNet. Comput. Geosci. 1998, 24, 443–451. [Google Scholar] [CrossRef] [Green Version]
- Maslanik, J.A.; Key, J.R.; Fowler, C.W.; Nguyen, T.; Wang, X. Spatial and Temporal Variability of Satellite-derived Cloud and Surface Characteristics During FIRE-ACE. J. Geophys. Res. 2001, 106, 15233–15249. [Google Scholar] [CrossRef]
- Stroeve, J.; Box, J.; Fowler, C.; Haran, T.; Key, J. Intercomparison Between in situ and AVHRR Polar Pathfinder-derived Surface Albedo over Greenland. Remote Sens. Environ. 2001, 75, 360–374. [Google Scholar] [CrossRef] [Green Version]
- Key, J.; Intrieri, J. Cloud particle phase determination with the AVHRR. J. Appl. Metorol. 2000, 36, 1797–1805. [Google Scholar] [CrossRef]
- Pavolonis, M.J.; Key, J.R.; Wang, X. Antarctic cloud radiative forcing at the surface estimated from the ISCCP D2 and AVHRR Polar Pathfinder data sets, 1985–1993. IEEE Int. Geosci. Remote Sens. Symp. 2002, 6, 3237–3239. [Google Scholar] [CrossRef]
- Wang, X.; Key, J.R. Arctic Surface, Cloud, and Radiation Properties Based on the AVHRR Polar Pathfinder Data Set. Part I: Spatial and Temporal Characteristics. J. Clim. 2005, 18, 2558–2574. [Google Scholar] [CrossRef] [Green Version]
- Wang, X.; Key, J.R.; Kwok, R.; Zhang, J. Comparison of Arctic sea ice thickness from satellites, aircraft, and PIOMAS data. Remote Sens. 2016, 8, 713. [Google Scholar] [CrossRef] [Green Version]
- Tschudi, M.A.; Meier, W.N.; Stewart, J.S. An enhancement to sea ice motion and age products at the National Snow and Ice Data Center (NSIDC). Cryosphere 2020, 14, 1519–1536. [Google Scholar] [CrossRef]
- Mann, H.B. Non-parametric tests against trend. Econometrica 1945, 13, 163–171. [Google Scholar] [CrossRef]
- Kendall, M.G. Rank Correlation Methods, 4th ed.; Charles Griffin: London, UK, 1970. [Google Scholar]
- Gilbert, R.O. Statistical Methods for Environmental Pollution Monitoring; John Wiley & Sons: New York, NY, USA, 1987. [Google Scholar]
- Sen, P.K. Estimates of the Regression Coefficient Based on Kendall’s Tau. J. Am. Stat. Assoc. 1968, 63, 1379–1389. [Google Scholar] [CrossRef]
- Yu, P.S.; Yang, T.C.; Wu, C.K. 2002: Impact of Climate Change on Water Resources in Southern Taiwan. J. Hydrol. 2002, 260, 161–175. [Google Scholar] [CrossRef]
- Lettenmaier, D.P.; Wood, E.F.; Wallis, J.R. Hydroclimatological Trends in the Continental United States 1948-1988. J. Clim. 1994, 7, 586–607. [Google Scholar] [CrossRef] [Green Version]
- Burn, H.S.; Elnur, M.A.H. Detection of Hydrologic Trends and Variability. J. Hydrol. 2002, 255, 107–122. [Google Scholar] [CrossRef]
- Cohen, J.; Zhang, X.; Francis, J.; Jung, T.; Kwok, R.; Overland, J.; Ballinger, T.J.; Bhatt, U.S.; Chen, H.W.; Coumou, D.; et al. Divergent consensuses on Arctic amplification influence on midlatitude severe winter weather. Nat. Clim. Chang. 2020, 10, 20–29. [Google Scholar] [CrossRef]

















| Month | AICA | PICA | SICA | ||||||
|---|---|---|---|---|---|---|---|---|---|
| b | Ub | α | b | Ub | α | b | Ub | α | |
| 1 | −6.567 × 104 | 6696 | <0.001 | −1.106 × 105 | 8867 | <0.001 | 3.818 × 104 | 8514 | <0.001 |
| 2 | −5.985 × 104 | 4998 | <0.001 | −1.106 × 105 | 8867 | <0.001 | 3.875 × 104 | 8531 | <0.001 |
| 3 | −5.947 × 104 | 4420 | <0.001 | −1.106 × 105 | 8866 | <0.001 | 4.189 × 104 | 8983 | <0.001 |
| 4 | −6.391 × 104 | 3972 | <0.001 | −1.102 × 105 | 8852 | <0.001 | 4.283 × 104 | 8965 | <0.001 |
| 5 | −5.965 × 104 | 4190 | <0.001 | −1.106 × 105 | 8860 | <0.001 | 4.730 × 104 | 8828 | <0.001 |
| 6 | −6.903 × 104 | 4116 | <0.001 | −1.106 × 105 | 8842 | <0.001 | 3.676 × 104 | 7925 | <0.001 |
| 7 | −8.266 × 104 | 5088 | <0.001 | −1.099 × 105 | 8676 | <0.001 | 1.995 × 104 | 6258 | 0.010 |
| 8 | −1.011 × 105 | 7237 | <0.001 | −1.076 × 105 | 8465 | <0.001 | 7415 | 3035 | 0.015 |
| 9 | −9.719 × 104 | 9126 | <0.001 | −1.085 × 105 | 9074 | <0.001 | 2030 | 3973 | 0.514 |
| 10 | −1.042 × 105 | 1.237 × 104 | <0.001 | −1.111 × 105 | 8829 | <0.001 | −457.0 | 8698 | 0.933 |
| 11 | −9.620 × 104 | 7156 | <0.001 | −1.106 × 105 | 8863 | <0.001 | 1.022 × 104 | 8159 | 0.250 |
| 12 | −7.481 × 104 | 5849 | <0.001 | −1.106 × 105 | 8863 | <0.001 | 3.314 × 104 | 8096 | 0.002 |
| Annual | −7.871 × 104 | 4800 | <0.001 | −1.105 × 105 | 8739 | <0.001 | 2.640 × 104 | 6365 | <0.001 |
| Month | AOIF | PICA | SICA | ||||||
|---|---|---|---|---|---|---|---|---|---|
| b | Ub | α | b | Ub | α | b | Ub | α | |
| 1 | −0.224 | 0.0155 | <0.001 | 0.025 | 0.0086 | <0.001 | 0.092 | 0.0430 | 0.062 |
| 2 | −0.209 | 0.0175 | <0.001 | 0.026 | 0.0053 | <0.001 | 0.075 | 0.0309 | 0.025 |
| 3 | −0.181 | 0.0135 | <0.001 | 0.030 | 0.0039 | <0.001 | 0.088 | 0.0260 | <0.001 |
| 4 | −0.189 | 0.0142 | <0.001 | 0.030 | 0.0055 | <0.001 | 0.097 | 0.0292 | 0.003 |
| 5 | −0.226 | 0.0174 | <0.001 | 0.035 | 0.0097 | <0.001 | 0.022 | 0.0444 | 0.699 |
| 6 | −0.308 | 0.0182 | <0.001 | 0.060 | 0.0174 | 0.003 | −0.030 | 0.0660 | 0.735 |
| 7 | −0.385 | 0.0223 | <0.001 | 0.099 | 0.0279 | 0.006 | −0.020 | 0.0683 | 0.799 |
| 8 | −0.482 | 0.0333 | <0.001 | −0.099 | 0.0458 | 0.095 | −0.096 | 0.0903 | 0.545 |
| 9 | −0.516 | 0.0443 | <0.001 | −0.122 | 0.0574 | 0.014 | −0.583 | 0.1162 | <0.001 |
| 10 | −0.443 | 0.0374 | <0.001 | −0.001 | 0.0313 | 0.952 | −0.014 | 0.1097 | 0.828 |
| 11 | −0.327 | 0.0241 | <0.001 | 0.036 | 0.0131 | <0.001 | 0.204 | 0.0840 | <0.001 |
| 12 | −0.237 | 0.0248 | <0.001 | 0.029 | 0.0118 | <0.001 | 0.181 | 0.0568 | <0.001 |
| Annual | −0.313 | 0.0159 | <0.001 | 0.019 | 0.0158 | 03454 | 0.031 | 0.0489 | 0.809 |
| Month | AICA | PICA | SICA | ||||||
|---|---|---|---|---|---|---|---|---|---|
| b | Ub | α | b | Ub | α | b | Ub | α | |
| 1 | −0.046 | 0.0012 | <0.001 | −0.050 | 0.0016 | <0.001 | −0.034 | 0.0012 | <0.001 |
| 2 | −0.051 | 0.0012 | <0.001 | −0.055 | 0.0015 | <0.001 | −0.038 | 0.0011 | <0.001 |
| 3 | −0.058 | 0.0008 | <0.001 | −0.061 | 0.0012 | <0.001 | −0.045 | 0.0011 | <0.001 |
| 4 | −0.043 | 0.0006 | <0.001 | −0.028 | 0.0006 | <0.001 | −0.042 | 0.0010 | <0.001 |
| 5 | −0.027 | 0.0003 | <0.001 | −0.027 | 0.0006 | <0.001 | −0.021 | 0.0005 | <0.001 |
| 6 | −0.022 | 0.0002 | <0.001 | −0.021 | 0.0004 | <0.001 | −0.018 | 0.0003 | <0.001 |
| 7 | −0.017 | 0.0001 | <0.001 | −0.017 | 0.0002 | <0.001 | −0.014 | 0.0002 | <0.001 |
| 8 | −0.014 | 0.0003 | <0.001 | −0.014 | 0.0003 | <0.001 | −0.010 | 0.0003 | <0.001 |
| 9 | −0.016 | 0.0012 | <0.001 | −0.016 | 0.0013 | <0.001 | 0.001 | 0.0015 | 0.496 |
| 10 | −0.024 | 0.0008 | <0.001 | −0.025 | 0.0009 | <0.001 | −0.016 | 0.0009 | <0.001 |
| 11 | −0.031 | 0.0010 | <0.001 | −0.033 | 0.0013 | <0.001 | −0.021 | 0.0011 | <0.001 |
| 12 | −0.038 | 0.0011 | <0.001 | −0.041 | 0.0014 | <0.001 | −0.027 | 0.0011 | <0.001 |
| Annual | −0.032 | 0.0004 | <0.001 | −0.033 | 0.0005 | <0.001 | −0.024 | 0.0005 | <0.001 |
| Month | AICA | PICA | SICA | ||||||
|---|---|---|---|---|---|---|---|---|---|
| b | Ub | α | b | Ub | α | b | Ub | α | |
| 1 | −658.1 | 19.77 | <0.001 | −521.5 | 18.78 | <0.001 | −122.7 | 13.89 | <0.001 |
| 2 | −754.3 | 21.67 | <0.001 | −625.3 | 22.43 | <0.001 | −138.4 | 16.86 | <0.001 |
| 3 | −859.2 | 21.63 | <0.001 | −715.0 | 24.20 | <0.001 | −138.2 | 23.48 | <0.001 |
| 4 | −686.0 | 17.37 | <0.001 | −584.7 | 24.13 | <0.001 | −92.06 | 24.61 | 0.001 |
| 5 | −454.5 | 9.546 | <0.001 | −437.8 | 16.68 | <0.001 | −9.914 | 17.39 | 0.578 |
| 6 | −348.2 | 7.826 | <0.001 | −324.5 | 12.23 | <0.001 | −15.29 | 10.87 | 0.321 |
| 7 | −254.5 | 5.692 | <0.001 | −240.2 | 8.530 | <0.001 | −8.392 | 5.557 | 0.147 |
| 8 | −192.7 | 6.567 | <0.001 | −189.7 | 7.191 | <0.001 | −0.792 | 1.313 | 0.578 |
| 9 | −170.2 | 10.05 | <0.001 | −168.6 | 9.944 | <0.001 | −0.919 | 0.431 | 0.035 |
| 10 | −299.6 | 11.30 | <0.001 | −273.6 | 10.68 | <0.001 | −21.69 | 3.781 | <0.001 |
| 11 | −408.3 | 16.07 | <0.001 | −351.9 | 13.37 | <0.001 | −55.33 | 8.346 | <0.001 |
| 12 | −510.9 | 17.92 | <0.001 | −426.9 | 16.52 | <0.001 | −83.01 | 9.906 | <0.001 |
| Annual | −467.7 | 10.59 | <0.001 | −404.2 | 13.39 | <0.001 | −60.34 | 10.56 | <0.001 |
Publisher’s Note: MDPI stays neutral with regard to jurisdictional claims in published maps and institutional affiliations. |
© 2022 by the authors. Licensee MDPI, Basel, Switzerland. This article is an open access article distributed under the terms and conditions of the Creative Commons Attribution (CC BY) license (https://creativecommons.org/licenses/by/4.0/).
Share and Cite
Wang, X.; Liu, Y.; Key, J.R.; Dworak, R. A New Perspective on Four Decades of Changes in Arctic Sea Ice from Satellite Observations. Remote Sens. 2022, 14, 1846. https://doi.org/10.3390/rs14081846
Wang X, Liu Y, Key JR, Dworak R. A New Perspective on Four Decades of Changes in Arctic Sea Ice from Satellite Observations. Remote Sensing. 2022; 14(8):1846. https://doi.org/10.3390/rs14081846
Chicago/Turabian StyleWang, Xuanji, Yinghui Liu, Jeffrey R. Key, and Richard Dworak. 2022. "A New Perspective on Four Decades of Changes in Arctic Sea Ice from Satellite Observations" Remote Sensing 14, no. 8: 1846. https://doi.org/10.3390/rs14081846
APA StyleWang, X., Liu, Y., Key, J. R., & Dworak, R. (2022). A New Perspective on Four Decades of Changes in Arctic Sea Ice from Satellite Observations. Remote Sensing, 14(8), 1846. https://doi.org/10.3390/rs14081846

