Abstract
The Mt.Tomur glaciers, in the Tian Shan mountains of Western China, are usually debris-covered, and due to climate change, glacial hazards are becoming more frequent in this region. However, no changes in the long-time series of glacier surface velocities have been observed in this region. Conducting field measurements in high-altitude mountains is relatively difficult, and consequently, the dynamics and driving factors are less studied. Here, image-correlation offset tracking using Landsat images was exploited to estimate the glacier surface velocity of glaciers in the Mt.Tomur region from 2000 to 2020 and to assess glacier ice thickness. The results show that the glacier surface velocity in the Mt.Tomur region showed a significant slowdown during 2000–2020, from 6.71 ± 0.66 m a−1 to 3.95 ± 0.66 m a−1, an overall decrease of 41.13%. The maximum glacier ice thickness in the Mt.Tomur region was estimated based on the ice flow principle being 171.27 ± 17.10 m, and the glacier average thickness is 50.00 ± 5.0 m. Glacier thickness at first increases with increasing altitude, showing more than 100 ± 10 m ice thickness between 3400 m and 4300 m, and then decreases with further increases in altitude. The reliability of the surface velocity and ice thickness obtained from remote sensing was proved using the measured surface velocity and ice thickness of Qingbingtan glacier No. 72 stall (the correlation coefficient R2 > 0.85). The debris cover has an overall mitigating effect on the ablation and movement rate of Qingbingtan Glacier No. 72; however, it has an accelerating effect on the ablation and movement rate of glacier No. 74.
1. Introduction
Since the end of the 20th century, the global temperature has continued to rise, with the resulting sharp shrink, the rapid thinning of glaciers and the loss of large ice and snow reserves have attracted widespread global attention [1,2,3,4]. Glacier change reveals the contribution of glacial meltwater to river runoff, the decrease of which, to some extent, affects regional ecology and sustainable social development, most notably in arid northwest China [5,6,7]. The velocity of glacier movement is an important parameter for monitoring glacier changes. The glacier surface velocity is the displacement per unit time of the glacier surface mass relative to a surrounding bedrock reference point and reflects the combination of internal deformation, bottom moraine deformation, and superposition of bottom sliding (and glacial leap) of the glacier under gravity [8,9]. Glacier movement causes a redistribution of mass, changes the hydrothermal environment of the ice body, and maintains the dynamic equilibrium. It is a vital mechanism in glacier development and, as such, one of the main focuses of glaciological research [10,11,12]. Glacier floods, lake outbursts, mudflows, and leaps are caused by glacier mass loss, which is closely linked to the movement of glaciers.
The increasing spatial resolution of remote sensing imagery has provided critical research data for studying glacier ablation, ice thickness, and glacier flow dynamics on a regional scale. The capability of spaceborne Global Navigation Satellite System-Reflectometry (GNSS16 R) for Greenland ice sheet melt detection is investigated using the TechDemoSat-1 satel17 lite (TDS-1) data [13]. An application of L-band frequency Global Navigation Satellite System (GNSS) Interferometric Reflectometry (GNSS-IR) for the estimation of lake ice thickness [14]. A study of the Greenland ice sheet using data obtained by the GNSS-R instrument aboard the British TechDemoSat-1 (TDS-1) satellite mission [15]. The use of Global Navigation Satellite System Interferometric Reflectometry (GNSS-IR) for the study of lake ice with a particular focus on the estimation of ice thickness [16]. The increasing spatial resolution of remote sensing imagery has provided critical research data for studying glacier flow dynamics at the regional scale. The main methods for extracting glacier surface velocity from remote sensing data include differential interferometric synthetic aperture radar (DInSAR) and feature tracking [17]. Optical image correlation is suitable for glacier surface velocity extraction at annual scales [18,19]. To obtain glacier surface velocity at annual scales, various feature tracking methods are used to calculate glacier surface velocities, and although some errors are introduced using this approach, these errors are within manageable limits [20]. Critically, using offset tracking based on remote sensing images to extract glacier surface velocities at different time scales is a fast approach. Notwithstanding the remote sensing inversion can provide large-scale glacier flow monitoring, remote sensing technology suffers from the inadequacy of local resolutions in space and time, and the consequents are often insufficiently dense to disentangle and capture fine-scale glacier surface velocity signals
The Tian Shan region glacier mass balance shows a decreasing trend [21]. Mt.Tomur is in the westernmost part of the Chinese Tian Shan Mountains, which is the largest modern glacier action area in China and the main origin of the Tarim River [22]. The glaciers in the Mt.Tomur area are not only composite, but surface debris covers a large number of glacier ablation areas. Studies have shown that surface debris has a considerable impact on the mass balance changes of the glacier itself, and the degree of debris cover directly affects the glacier surface movement rate [23]. The Tian Shan Mt.Tomur region has traditionally been a hotspot for international glacier research [24,25,26], but the high altitude and difficulties in glacier observation in this region have led to a scarcity of glacier observations, with only some short-term expeditions and observations [27,28]. Mt.Tomur is the most heavily glacierized region in the Chinese Tian-shan Mountains. Based on remote sensing images, in situ glaciological mass balance, and meteorological and hydrological data, the Mt.Tomur glacier area has decreased at a rate of 0.81 km2 a−1 [23,29,30] over the past 30 years. The average glacier surface elevation change is—0.35 ± 0.29 m a−1, and region-wide glacier mass balance is estimated be to about—0.30 ± 0.25 m w.e. a−1, the corresponding water equivalent is 15.97 ± 13.31 × 108 m3 [31]. Consequently, glacial hazards increased significantly.
Generally, there is no way to overcome the error in remote sensing inversion results of glacier surface velocity due to the different resolutions of remote sensing images and sensors. The accuracy of remote sensing inversion results can only be verified with the help of actual measurement data. In 2008, the Tian Shan Observatory of the Chinese Academy of Sciences (CAS) observed Qingbingtan Glacier No. 72 and obtained a series of glaciological parameters (RTK-GPS and GPR), which can be used to verify the remote sensing inversion results of this glacier. In this paper, we have determined the continuous long-series surface velocity of debris-covered glaciers and their glacier ice thickness based on remote sensing images and evaluated the reliability of the inversion results using the CAS data.
2. Study Region
The Tian Shan is the most crucial glacier resource in China. The total number of glaciers in the Tian Shan is 7934, with an area of about 7179.78 km2, and an ice volume of about 756.48 km3 [32]. Mt.Tomur is in the central part of Tian Shan, at 7435.3 m a.s.l, and is the highest peak in Tian Shan. It forms part of the Tomur-Khan Tengri sink, the highest part of the Tian Shan that includes more than 40 peaks more than 6000 m a.s.l in height, and is on the China–Kyrgyzstan border (Figure 1). Mountains with peaks more than 4000 m in height account for 60% of the Mt.Tomur region. Large valley glaciers are mainly developed in the area and cover 86.4% of the total area [33,34]. According to the First Glacier Inventory of China (GIC), the Mt.Tomur region is the most concentrated area of glaciers in China, with 509 glaciers, an area of 2746 km2, and a volume of 350 km3.
Figure 1.
Geographic location of the Tomur Peak glacier, Tian Shan, China, (a) the regional glacier distribution, (b) the location of the study area in the Tian Shan Mountains, and (c) (① Tomor Glacier, ② Duntelian Glacier, ③ Keqikar Glacier, ④ Keke Ulong Glacier, ⑤ Keker Glacier, ⑥ Qiong Kurm Glacier, ⑦ Bingtan Glacier, ⑧ Qingbingtan Glacier No. 72, ⑩ Ailangsu Glacier) the distribution of stakes and GPR surveys on the Qingbingtan glacier No. 72.
The glaciers of the Mt.Tomur region are the source of rivers such as the Muzart, the Great Kuzbayi, the Little Kuzbayi, the Great Tairan, the Little Tairan, the Taklak, and the Atoinak. These rivers are the primary water resources in their lower reaches [35]. The region receives more precipitation in the west than in the east, and it is the warmest and most precipitated area in the Tian Shan region [35].
3. Data and Methods
3.1. In-Situ Measurements
3.1.1. Glacier Surface Velocity Measurements
To verify the accuracy of the remote sensing analysis results of glacier surface velocity, this paper uses RTK-GPS and GPR data acquired on Qingbingtan Glacier No. 72 measured by CAS [35]. There are two GPS receivers, one installed at a fixed base point on a non-glaciated area to the southeast of the glacier margin and the other monitoring the ablation stakes on the glacier. The removal vectors could be estimated from two estimations made inside a specific period, which was used as the velocity of ice flow at the corresponding location point. In this case, the ice flow velocity is the surface velocity, which can be divided into two vectors, the horizontal and vertical velocity. The positions of the ablation stakes were recorded each summer from 2008 to 2009. The horizontal error of the GPS measurements was 0.02 m, the vertical error was 0.02–0.04 m [36], and the calculated glacier velocity error was within 8% of the input data.
3.1.2. Glacier Ice-Thickness Measurements
Four ice-thickness measurement profiles (Figure 1b) summing 97 measurement points were selected for the ice-thickness measurement of Qingbingtan glacier No. 72 using EKKO PRO 100A pulse-enhanced ground-penetrating radar in August 2008 (Figure 2). The results were then processed by EKKO_View Deluxe software, and the thickness was calculated using Equation (1). The relative error of the ice-thickness estimation was within 1.2% [37].
where h is the ice thickness of the glacier, v(m/ns) is the propagation speed of the radar signal in the glacier, t(ns) is the two-way propagation time of the radar wave, and x(m) is the distance between the GPR antennas.
Figure 2.
(a) Horizontal movement velocity of the GPS stakes and (b) GPR field measurements.
3.2. Remotely Sensed Displacement Measurements
3.2.1. Landsat Data
In this study, Landsat images were selected to acquire glacier surface velocities in the study area, with a 16-day repeat period and a time interval of 365 + 16,365–16 selected for image acquisition [38]. We used the Google Earth Engine (GEE) platform (a cloud-based geospatial processing platform) to acquire the Landsat series after pre-processing. Landsat7ETM+, a multispectral image with a resolution of 15 m, was chosen for the period 2006–2012, and Landsat8OLI, a multispectral image with a spatial resolution of 30 m, was selected for the period 2013–2020. Landsat8OLI has a spatial resolution of 15 m in the panchromatic band.
The Advanced Spaceborne Thermal Emission and Reflection Radiometer (ASTER) DEM analyses the factors affecting glacier surface velocity changes (surface elevation, slope, and breakout direction).
3.2.2. Extraction Glacier Surface Velocity
This study selected the COSI-Corr (Co-registration of optical sensing images and correlation) method to extract glacier surface velocity. Previous studies have used the same approach [39,40,41,42]. The COSI-Corr technique enables the automatic and accurate correction and correlation calculation of satellite images or aerial photographs. It is more convenient and accurate than traditional technical methods, which use the Fourier transform to estimate the relative displacement between remote sensing images, replacing traditional field control points with feature information provided by satellite imagery, and ultimately, estimating feature movement distances in terms of sub-image level changes [43].
To reduce the effect of cloudiness and shadows on local variations in glacier surface velocity, the 5 × 5 operator proposed by Dehecq et al. [9] was used. To achieve this, the 64 × 64–32 × 32 search window was iterated five times when Landsat images were correlated, and Landsat1–7 and Landsat8 correlations were examined. The COSI-Corr method adds horizontal displacements in the north–south and east–west directions, and the signal-to-noise ratio (SNR) indicates the quality of the velocity assessment. Poorly correlated image elements (SNR < 0.9) were removed from the data. The horizontal displacement Dxy = , on which all velocity image elements were normalized, was set to 365 days [44].
Errors and uncertainties in the glacier surface velocity assessment arise primarily from the quality of the remotely sensed imagery, such as cloudiness, surface debris, seasonal snow, and the alignment process. To reduce errors, images with the least amount of cloudiness and seasonal snow were used in the image selection process. Image alignment errors in Landsat imagery are computable in glaciological studies [43,45]. Orthorectification errors may cause minor horizontal displacements. However, these are negligible in estimating glacier velocities for images of the same path [45]. Finally, the velocity uncertainty was calculated using the root mean square error of displacement data from ice-free zones [46]. Assuming that the ice-free zones in the study area are stable, four areas in each region were selected, and the estimated uncertainties are shown in Table 1. Glacier flow velocity error is taken as the average value (0.66 m a−1).
Table 1.
The satellite data used in this study.
3.2.3. Glacier Thickness Estimation
According to Paul and Linsbauer’s research, the thickest ice is found along the streamlines [47]. In this study, the ice thickness of the glacier was estimated along the streamlines adopting ice-flow principles, which neglected any longitudinal stress gradients [45]. It can be assessed quantitatively using the laminar flow equation [8]:
where Us, Ud, and Ub are the surface velocity, ice deformation, and basal velocity, respectively. To date, no precise assessment of basal velocity for the Tomur Peak glacier has been obtainable, and basal sliding is small in winter. Therefore, the basal velocity was assumed to be 25% of the surface velocity [48]. Given that the basal temperature of high mountain glaciers is near the melting temperature in winter and that subglacial draining is predominantly frozen, the movement of glaciers is dominated by ice deformation.
where A is a creep parameter that is influenced by fabric properties, grain size, ice temperature, and content purity (for temperate glaciers, A has a value of 3.24 × 10−24s−1Pa−3), and H is the ice thickness.
The basal shear stress is calculated from:
where f is the scale parameter, defined as the ratio between the driving stress and basal stress along the glacier (for temperate glaciers, the range is usually [0.8, 1], we refer to other uses of 0.8 [48], ρ is the ice density (which usually takes 900 kg/m3 as the standard), g is the acceleration due to gravity (9.8 m s−2), and a is the surface slope angle, which is related to elevation [8,9].
Landsat OLI images were used to get winter velocities from 2013 to 2018, and ASTEER_DEM (2013) was used to estimate the glacier surface slope. The glacier ice thickness based on (1) and (2) can then be expressed as:
We calculated a depth for every region between successive 100 m contours, and a 3 × 3 kernel was utilized to smooth out the ice thickness to avoid any dramatic changes in subsequent ice layers [48].
Errors in the calculation of ice thickness arise from errors in the estimation of the velocity, US; creep parameter, A; shape factor, f; ice density, ρ; and slope angle, a. In terms of velocity estimates, orthorectification errors can be confirmed by calculating for location over the ice-free area (where the velocity may be assumed to be zero). If there are clouds, seasonal snow cover, mountain shadows, or landslides in the glacier area, this can also lead to errors. Based on this, we choose images with less than 10% clouds for analysis where possible.
To quantify the total uncertainty in volume using Equation (5), we fix the values for dUs, df, dρ, d(sina)/(sina), and dA. We excluded basal velocity variation as the variation magnitude of the ice-thickness estimate is very small [48].
The value of dUs was fixed as 0.66 m a−1, which is the average of the differences between the observed and modeled outputs, df was set to 0.2 [48], and dA was set to be the value difference between our estimates and 3.24 × 10−24 Pa−3 s−1. For assessing the uncertainty in slope angle, the vertical accuracy of the DEM is of great significance. The uncertainty in ASTER DEM for the Tomur Peak region is 20 m. Therefore, the d (sin a)/(sin a) has a value of 0.11. The density value chosen for the estimate of the uncertainty in ice thickness was 850 kg·m−3. Plugging the above values into Equation (5), it is found that the uncertainty of ice thickness in the volume estimation for Tomur Peak Glacier is 5 m, accounting for 10% of the average thickness.
4. Results
4.1. Spatial and Temporal Characteristics of Glacier Movement Velocities
Mt.Tomur area glacier is a surface debris-cover glacier. Its surface is covered with snow, and its accumulation area and surface debris cover area uncertainty are large, so there are a small number of data voids in the velocity field, but the impact on the velocity change trend is not significant, so it can be neglected. An analysis of the interannual variation of glacier surface velocity in this region (Figure 3a) shows that the overall trend of the glacier surface velocity in the Mt.Tomur region is toward a slowing of glacier movement. The glacier surface velocity shows a certain altitude gradient distribution (Figure 3b), and the glacier velocity at first increases with increasing elevation, reaching a maximum value of 5.30 ± 0.66 m a−1 at the equilibrium line altitude (ELA) (4000 m) [30]; then, after crossing the equilibrium line, decreases with the further increase in elevation, and shows a higher rate of fall. Glacier movement is concentrated between 3000 m and 4500 m a.s.l, with an average velocity of 3.77 ± 0.66 m a−1. Glacier movement between 4500 m a.s.l and 6800 m a.s.l is much slower, with an average velocity of only 0.39 m a−1.

Figure 3.
(a) interannual variation of glacier movement velocity in the Tomur Peak area, (b) distribution of the annual average velocity of glaciers in the altitude zone (3000 m–6800 m) from 2000 to 2020, (c) distribution of the annual average velocity of glaciers from 2000 to 2012, and (d) distribution of the annual average velocity of glaciers from 2013 to 2020.
For valley glaciers, the greater the slope of the glacier surface, the greater the movement velocity, and the width of the ice surface also cause the glacier surface velocity to change. As the width becomes narrower, the glacier surface velocity increases, and vice versa [49]. The southern section of the a.s.l glacier zone (Kochikar Glacier, Kokol Glacier, Qiongkuermu Glacier, Bingtan Glacier, and Qingbingtan No. 72 Glacier) are typical dendritic glaciers, and their surface velocity maxima occur in the area where the glacier narrows from wide to narrow and slows down from the equilibrium line to the end, in addition to being near the glacier equilibrium line.
Between 2000 and 2020, the glacier flow velocity in this area shows a clear trend of slowing down, and the glacier surface velocity decreased from 6.71 ± 0.66 m a−1 to 3.95 ± 0.66 m a−1, with an overall decrease of 41.13%. Compared with the period 2000–2012 (Figure 3c, d), the glacier surface movement velocity slowed down significantly from 2013 to 2020, with the maximum value decreasing from 122.00 ± 0.66 m a−1 to 70.70 m a−1 and the average value decreasing from 5.25 ± 0.66 m a−1 to 4.43 ± 0.66 m a−1.
4.2. Ice Thickness
The spatial distribution of glacier ice thickness in the Tomur region was estimated based on the principle of glacier surface velocity and ice flow (Figure 4). The maximum glacier thickness in the Tomur area was found to be 171.27 ±17.10 m, and the average thickness of a glacier was 50.00 ± 5.00 m. Compared to the methods by Hussand Farinotti (2012) [50], Paul and Linsbauer (2012) [47], and Su et al. (1984) [51] to estimate the thickness of Mt.Tomur region glacier as 81.97 m, 75.76 m and 102.04 m, respectively, our results are slightly lower. The average thickness near the glacier terminal is smaller, and the thickness of the glacier at first increases with the increase in altitude, showing an ice thickness of greater than 100 m ice between 3400 m and 4300 m, and then, decreases with a further increase in altitude. The average thickness of the Tomur Glacier, the largest glacier in the Tomur area, is 34.56 ± 3.46 m, followed by Ailangsu Glacier (33.40 m), and the smallest thickness is that of the Kokolong Glacier.
Figure 4.
Glacier ice thickness distribution in the Tomur region in 2013.
4.3. Validation
We verified the flow velocity of the Tomur Peak glacier using surface flow velocity data of Qingbingtan Glacier No. 72 collected in 2008 and 2009. We conducted field measurements of glacier flow velocity in the ablation area of Qingbingtan Glacier No. 72 glacier in the same period (Figure 5). Our working assumption is that the glacier flow velocity during the observation period is similar to the velocity of remote sensing inversion calculated for the same period. For Qingbingtan Glacier No. 72, we found that the remote-sensing-derived values are slightly higher than the field-study values. We compared the values of measured and remotely sensed inverse glacier flow velocities at each observation site in 2008 and 2009 and found the correlation coefficient (R2 > 0.85) (Figure 6). Therefore, we believe that the remote sensing inversion results are reliable
Figure 5.
Distribution of glacier movement velocity in 2008 and 2009.
Figure 6.
Comparison of RTK−GPS observed data and calculated remote sensing inversion data for the Qingbingtan No. 72 glacier.
We likewise compared the field observations of Qingbingtan Glacier No. 72 with the estimated ice thickness results in this paper with the working assumption that the thickness in the observation period is similar to the current glacier thickness. We selected the glacier median GPR glacier thickness data to compare the calculated and measured glacier thickness values. They proved to be comparable. A comparison of the glacier thicknesses from the 2008 field observations and the 2013 remote sensing inversions returned correlation coefficients (R2 > 0.85) (Figure 7).
Figure 7.
Comparison between the estimated and in situ measured ice thickness of the central axis of the Qingbingtan glacier No. 72.
5. Discussion
5.1. Effect of Glacier Surface Velocity
The principle of ice flow states that surface velocity is mainly affected by ice deformation and basal sliding. The basal shear stress depends on two factors, the first of which is the slope of the glacier surface. It is hypothesized that glaciers with too large slope values will have strong basal stress, and ice flow will be accelerated if the ice thickness is kept constant. The second factor is the difference triggered by unequal snow and ice accumulation and ablation. Thus, assuming a stable surface slope, a big ice volume will result in significant basal forces. This is due to the higher the elevation from the place of initial ice movement to the velocity terminus of the movement, the greater and thicker the total volume of the glacier. In addition, because large glaciers have thicker ice masses, the large gravitational potential energy is subject to relatively less resistance, making their surface velocities higher than those of small glaciers. Glacier meltwater can reduce ice firmness and lubricate smooth beds or form basal hydraulic jacks, enhancing shear sliding and basal sliding of the ice. In our study, the surface velocity of large glaciers such as the Tomur, Qiongkuermu, and Kochkar Glaciers is much higher than that of small glaciers, with values of 34.50 m, 34.90 m, and 31.50 m, respectively (2013–2020). Typical glacier surface velocities of small glaciers such as the Kekewulong, Bingtan, and Ayilangsuare Glaciers are 27.80 m, 27.20 m, and 30.90 m, respectively (2013–2020). This is consistent with the theoretical basis described previously.
5.1.1. Effects of Aspect and Slope on Glacier Surface Velocity
Glacier movement velocity is a basic parameter and is a combination of ice creep, glacier basal sliding, and glacier basal deformation. It is influenced by factors such as glacier topography and surface debris cover. The effect of elevation on glacier surface velocity can be seen in Figure 3b, which shows the average glacier surface velocity within each 100 m elevation rise. The higher glacier surface velocities observed between 3500–4500 m a.s.l may be because the glacier surface velocity in the upper mass transport of the accumulation zone is more variable due to the ice volume in the accumulation zone. It has been shown that regional ice accumulation tends to increase significantly after 1900 [55], which leads to an increase in the rate of transport from the accumulation zone to the ablation zone, and further may be one of the reasons for the higher glacier rates between 3500–4500 m a.s.l. The glacier ablation zone rate increased after 1990, and the rate of glacier ablation increased [52], which would lead to insufficient glacier recharge and consequently to a decrease in glacier rate below 3500 m a.s.l.
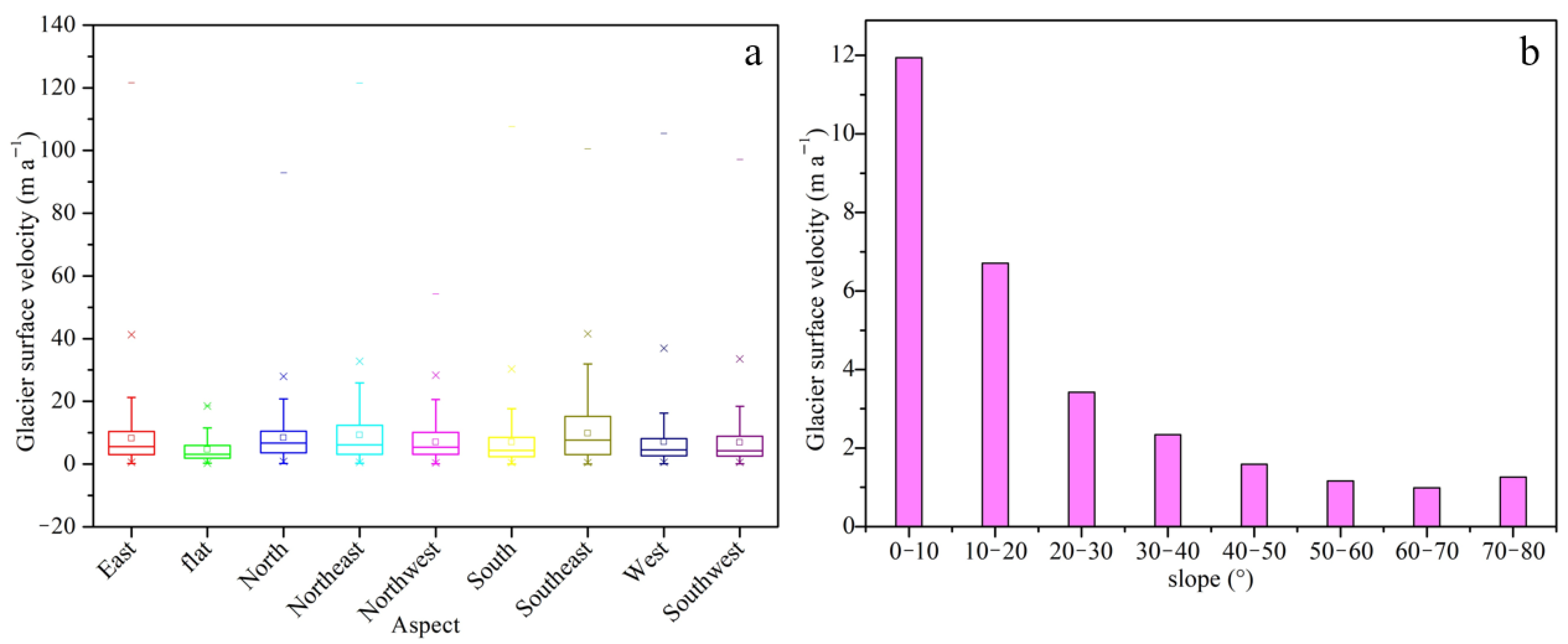
To further analyze the distribution characteristics of glacier surface velocity in the Tomur Peak region, the average glacier surface velocity in each aspect from 2000 to 2020 was selected for analysis (Figure 8). The maximum variation values of glacier surface velocity in Southeast, East, and Northeast, and the average annual glacier flow velocity, were 9.83 m a−1, 8.2 m a−1, and 9.25 m a−1, respectively, because the glaciers are mainly concentrated in the east of the region, and the study showed that the surface movement velocity of large glaciers is greater under similar geographical location and climatic conditions [20]. Thus, glacier movement velocity is the fastest on the eastern aspect of the glacier, followed by the southern aspect, where the average velocity is 2.00 m a−1. From the statistics of the grid data points of glacier flow velocity changes from 2016 to 2020, it is found that the points on the southern aspect account for 50% of the entire grid, and the southern aspect receives more solar radiation, resulting in faster glacier flow velocity.
Figure 8.
Influence of aspect and slope on glacier flow rate in the Tomur peak region, 2000–2020 (a,b).
We also explored the surface velocity distribution of the glacier surface slope (Figure 8b). The glacier surface velocity decreases (<70°) with the increase in slope, and then increases (70°–80°), and the glacier surface velocity concentrates on the slope of <40 °. Generally speaking, the glacier surface velocity increases with the increase in slope, but the opposite phenomenon appears in this region. It may be caused by the following reasons: (1) Within the slope range of <40°, the glacier area accounts for 65.8%, and it is concentrated in the glacier tongue, where the thickness of the glacier is large, the ice volume are large, the downward component of the glacier is large, and the glacier surface velocity is large (Figure 4 and Figure 5). (2) The slope range of 40°–80° is concentrated on the upper part of the glacier. The thickness of the glacier is small, the longitudinal stress of the glacier is smaller, and the surface velocity is smaller. (3) It may be related to the sliding of the glacier’s bottom. According to field observation, in 2009, several ice fissures in the glacier’s tongue region closed rapidly, indicating that the glacier may have bottom sliding.
5.1.2. Effects of Debris Cover on Glacier Surface Velocity
The rock debris material within the glacier ice moves from the upper part of the glacier with the glacier’s downward movement to the ablation zone. In the ablation zone, due to melting, the ice surface rock debris, and other materials form a surface moraine. In addition, in the process of glacier movement, events such as freeze–thaw action, ice/avalanche, and gravity slide collapse can lead to the glacier around the slope of the rock debris material crumbling, bringing material to the glacier surface or dropping it into the glacier interior. The general rule is that the further downstream the glacier, the thicker the surface moraine cover and the larger the moraine area. Moraines cover many valley glaciers in the western region of China in the tongue or end area. Typically the ablation area is partially or entirely covered with a layer of the moraine of varying thickness [53]. The moraine and the glacier move together, and as the glacier movement slows down, the moraine accumulates at different elevations, especially at the end of the glacier. The physical properties (particle size, color, etc.), thermal processes, and albedo of the surface moraine layer are different from those of bare ice or snow, resulting in different ablation processes of the overlying glacier underneath the surface moraine [54]. The influence of the surface moraine on the ablation of the overlying glacier depends mainly on its thickness. When the surface moraine layer is thin, the existence of the surface moraine accelerates glacial ablation, and the ablation rate of its lower overlying ice layer is greater than the ablation rate of the bare ice area. As the moraine layer thickens, the existence of the surface moraine inhibits glacial ablation, and the ablation rate of the lower overlying ice layer is lower than the ablation rate of the bare ice area [54].
A 2008 study on the debris of Qingbingtan Glaciers Nos. 72 and 74 in the Tomur Peak region found that the total area of debris cover of Qingbingtan Glacier No. 72 is 0.87 km2, the average thickness of debris is 11.5 cm, and the glacier area covered by debris on the west side is larger than that on the east side. While surface debris covers the whole ice tongue of Qingbingtan Glacier No. 74. The total area of surface debris cover of the latter glacier is 2.94 km2, and the thickness of debris generally shows the law of decreasing from both sides to the middle. The study also shows that, while the critical value of glacier debris cover thickness in the Tomur area is about 4 cm [23], the debris cover thickness of Qingbingtan Glacier No. 72 is more than 4 cm, covering an area of 0.66 km2. The debris cover coverage area is about 76%, and the debris cover has an overall mitigating effect on the ablation and movement rate of Qingbingtan Glacier No. 72. For Qingbingtan Glacier No. 74, the glacier debris cover thickness of more than 4 cm, covers an area of 2.12 km2, accounting for 22.2% of the whole glacier, while the area of debris cover less than 4 cm is 0.82 km2, accounting for 77.8% of the whole glacier. In general, the debris cover has an accelerating effect on the ablation and movement rate of glacier No. 74.
5.2. Thickness Evaluation Based on Glacier Velocity
Assuming that glacial ice is fully plastic, because of the generalized flow law of ice, the relatively flat lower section of a river valley glacier should be much thicker than the steeper upper glacier section [8]. Our results indicate that about 78.3% of the glacier volume in the Tomor Peak region is stored in the ablation zone with an ice thickness of about 56 m on average, while about 21.7% of the glacier volume is stored in the accretion zone with an ice thickness of about 45 m on average. About 38% of the glacier area is in the accretion zone. It should be noted that the low image contrast in the ablation zone leads to uncertainty in the glacier velocity [29].
Ice thickness prediction based on ice flow principles necessitates precise modeling of the physical processes involved and relies on numerous, only loosely known, processes [50]. In a previous study, an ensemble of up to five models was used to provide a consensus assessment for the ice thickness distribution of all about 215,000 glaciers outside the Greenland and Antarctic ice sheets [55]. We compared our estimated glacier volumes based on an empirical formula with the glacier volume estimation dataset from the Farinotti et al. study [55] and found that our results are 8.5% higher than the dataset average. The reason for the analysis error is that the glacier thickness calculated by the empirical formula used in this study is estimated using the glacier surface velocity as the input data, and it is difficult to find sufficient measured data for constructing the model for simulation, as the model simulation requires many parameters. Considering an acceptable uncertainty of ±10%, our results are suitable for glacier volume estimation.
5.3. Effect of the Surge-Type Glacier on Glacier Flow Velocity and Surface Elevation
Glacier surge is a phenomenon in which glaciers periodically undergo rapid movement within a relatively short period of time, and is a concentrated expression of the complexity of glacier dynamics, with large differences in the speed of movement and the ablation status of the tongue area before and after the glacier surge [56,57]. Landsat TM/ETM+/OLI remote sensing images were used to identify glaciers in the Tien Shan region from 1990 to 2019 and found that Qingbingtan Glacier No. 72 and Kekeer Glacier are surge-type glaciers, the terminus is advanced by 537 m (Qingbingtan Glacier No. 72, 1993 to 1999) and 870 m (Kekeer Glacier, 1998 to 2007), respectively [58]. Although Kekeer Glacier was in a leap-forward state in 2006–2007, the small size of this glacier and the lack of field monitoring have negligible impact on the overall regional glacier surface velocity study. Therefore, the effect of surging glaciers on glacier surface velocity and ice thickness in this remote sensing study can be excluded. However, glacier surging has an important influence on the surface velocity and surface elevation changes of glaciers, so the next step should be to strengthen the field observation of regional surging glaciers (end changes, hydrological changes, surface elevation, surface velocity, glacier internal temperature, and glacier bottom debris distribution, etc.) based on remote sensing monitoring to provide data support for the study of glacier surging mechanism.
6. Conclusions
In this study, image correlation offset tracking using Landsat series images was used to assess the surface velocity of the glaciers in the Tomur Peak region from 2000 to 2020, and to assess the ice thickness of the glaciers in the Tomur Peak region in 2013 based on the ice flow principle. The glacier flow velocity showed a significant downward trend during 2000–2020, with the glacier surface velocity decreasing from 6.71 ± 0.66 m a−1 to 3.95 ± 0.66 m a−1, an overall decrease of 41.13%. In addition, compared with the 2000–2012 period, the rate of decrease in glacier surface motion velocity was significantly higher during 2013–2020.
The maximum value of ice thickness in the Tomur Peak region was estimated to be 171.27 m based on the ice flow principle, and the average thickness of the glacier was 50 m. The thickness of the glacier first increased with the increase in altitude, presenting more than 100 m of ice thickness between 3400 m and 4300 m, and then decreased with the further increase in altitude.
In a comparison of the 2008–2009 field measurements of Qingbingtan Glacier No. 72 with the remote sensing inversion results, the correlation coefficient (R) between the glacier flow velocity and thickness of the remote sensing inversion, and the measured data was found to be >0.85, which is within the confidence level, indicating the feasibility of the method in the calculation of glacier surface velocity.
Remote sensing data-based glacier surface velocity extraction methods have enabled the study of this to expand in the temporal and spatial domains, and gradually become an important means of obtaining glacier surface velocity information, but the accuracy of glacier surface velocity extraction based on remote sensing data needs to be improved. The current research on glacier surface velocity focuses on methods and velocity mapping on a large scale, while the dynamics behind the changes in velocity need to be analyzed in detail in a small-scale glacier system, combining long time series of glacier length, area, and surface elevation variation parameters.
Author Contributions
Conceptualization, C.B. and F.W.; methodology, C.B., F.W. and H.W.; software, C.B., Y.B. and S.Y.; validation, F.W.; formal analysis, C.B. and L.W.; investigation, F.W.; resource, P.W., C.X. and X.Y.; data curation, C.B. and F.W.; writing original draft preparation, C.B. and F.W.; funding acquisition F.W., P.W., C.X. and X.Y. All authors have read and agreed to the published version of the manuscript.
Funding
We thank the Third Comprehensive Scientific Expedition of Xinjiang Uyghur Autonmous Region (2022xjkk0802), the National Natural Science Foundation of China (42001066,42001067), the State Key Laboratory of Cryospheric Science (SKLCS-ZZ-2022), and the Open-end Foundation for National Cryosphere Desert Data Center (20D05), the Youth Innovation Promotion Association of Chinese Academy of Sciences (Y2021110), the Third Xinjiang Scientific Expedition (TXSE) program (2021xjkk14001 and 2022xjkk0701).
Data Availability Statement
Not applicable.
Acknowledgments
We thank the NASA, NIMA, and CIAT for providing the version 4.1 SRTM data.
Conflicts of Interest
The authors declare no conflict of interest.
References
- Fansheng, H.; Taibao, Y.; Qin, J.; Congqiang, W.; Aiwen, X. Relationship between the glacier and climate change in the Altun Mountain in recent four decades. Arid Land Geogr. 2017, 40, 581–588. [Google Scholar]
- Sun, M.; Liu, S.; Yao, X.; Guo, W.; Xu, J. Glacier changes in the Qinlian Mountains in the past half century: Based on the revised First and Second Chinese Glacier Inventory. Acta Geogr. Sin. 2015, 70, 1402–1414. [Google Scholar]
- Xing, W.; Li, Z.Q.; Zhang, H.; Zhang, M.; Liang, P.; Mu, J. Spatial-temporal variation of glacier resources in Chinese Tianshan Mountains since 1959. Acta Geogr. Sin. 2017, 72, 1594–1605. [Google Scholar]
- Yao, T.; Thompson, L.; Yang, W.; Yu, W.; Gao, Y.; Guo, X.; Yang, X.; Duan, K.; Zhao, H.; Xu, B.; et al. Different glacier status with atmospheric circulations in Tibetan Plateau and surroundings. Nat. Clim. Chang. 2012, 2, 663–667. [Google Scholar] [CrossRef]
- Ma, L.; Wu, J.; Abuduwaili, J. Variation in aeolian environments recorded by the particle size distribution of lacustrine sediments in Ebinur Lake, northwest China. SpringerPlus 2016, 5, 1–8. [Google Scholar] [CrossRef]
- Ma, L.; Wu, J.; Liu, W.; Abuduwaili, J. Distinguishing between anthropogenic and climatic impacts on lake size: A modeling approach using data from Ebinur Lake in arid northwest China. J. Limnol. 2014, 73, 350–357. [Google Scholar] [CrossRef]
- Wu, J.; Yu, Z.; Zeng, H.A.; Wang, N. Possible solar forcing of 400-year wet–dry climate cycles in northwestern China. Clim. Chang. 2009, 96, 473–482. [Google Scholar] [CrossRef]
- Cuffey, K.M.; Paterson, W.S.B. The Physics of Glaciers, 4th ed.; Academic Press: Cambridge, MA, USA, 2010. [Google Scholar]
- Dehecq, A.; Gourmelen, N.; Gardner, A.S.; Brun, F.; Goldberg, D.; Nienow, P.W.; Berthier, E.; Vincent, C.; Wagnon, P.; Trouvé, E. Twenty-first century glacier slowdown driven by mass loss in High Mountain Asia. Nat. Geosci. 2019, 12, 22–27. [Google Scholar] [CrossRef]
- Paterson, W.S.B. The Physics of Glaciers; Science Press: Beijing, China, 1987. [Google Scholar]
- Shi, Y.; Huang, M.; Yao, T. Glaciers and Their Environments in China; Science Press: Beijing, China, 2000. [Google Scholar]
- Zhou, Z.M.; Li, Z.Q.; Li, H.L.; Jing, Z.F. The flow velocity features and dynamic simulation of the Glacier No. 1 at the headwaters of Urumqi River, Tianshan Mountains. J. Glaciol. Geocryol. 2009, 31, 42–69. [Google Scholar]
- Li, W.; Cardellach, E.; Fabra, E.; Ribó, S.; Rius, A. Measuring Greenland ice sheet melt using spaceborne GNSS reflectometry from TechDemoSat-1. Geophys. Res. Lett. 2020, 47, e2019GL086477. [Google Scholar] [CrossRef]
- Ghiasi, Y.; Duguay, C.R.; Murfitt, J.; van der Sanden, J.J.; Thompson, A.; Drouin, H.; Prévost, C. Application of GNSS interferometric reflectometry for the estimation of lake ice thickness. Remote Sens. 2020, 12, 2721. [Google Scholar] [CrossRef]
- Rius, A.; Cardellach, E.; Fabra, F.; Li, W.; Ribó, S.; HernándezPajares, M. Feasibility of GNSS-R ice sheet altimetry in Greenland using TDS-1. Remote Sens. 2017, 9, 742. [Google Scholar] [CrossRef]
- Ghiasi, S.Y. Application of GNSS Interferometric Reflectometry for Lake Ice Studies. Master’s Thesis, University of Waterloo, Waterloo, ON, Canada, 2020. [Google Scholar]
- Guan, W.; Cao, B.; Pan, B. Research of glacierflowvelocity: Currentsituationandprospects. J. Glaciol. Geocryol. 2020, 42, 1101–1114. [Google Scholar]
- Berthier, E.; Vadon, H.; Baratoux, D.; Arnaud, Y.; Vincent, C.; Feigl, K.L.; Remy, F.; Legresy, B. Surface motion of mountain glaciers derived from satellite optical imagery. Remote Sens. Environ. 2005, 95, 14–28. [Google Scholar] [CrossRef]
- Ruiz, L.; Berthier, E.; Masiokas, M.; Pitte, P.; Villalba, R. First surface velocity maps for glaciers of Monte Tronador, North Patagonian Andes, derived from sequential Pléiades satellite images. J. Glaciol. 2015, 61, 908–922. [Google Scholar] [CrossRef]
- Wu, K.; Liu, S.; Zhu, Y.; Liu, Q.; Jiang, Z. Dynamics of glacier surface velocity and ice thickness for maritime glaciers in the southeastern Tibetan Plateau. J. Hydrol. 2020, 590, 125527. [Google Scholar] [CrossRef]
- Farinotti, D.; Longuevergne, L.; Moholdt, G.; Duethmann, D.; Mölg, T.; Bolch, T.; Vorogushyn, S.; Güntner, A. Substantial glacier mass loss in the Tien Shan over the past 50 years. Nat. Geosci. 2015, 8, 716–722. [Google Scholar] [CrossRef]
- Huai, B.; Li, Z.; Sun, M.; Wang, W.; Jin, S.; Li, K. Change in glacier area and thickness in the Tomur Peak, western Chinese Tien Shan over the past four decades. J. Earth Syst. Sci. 2015, 124, 353–363. [Google Scholar]
- Wang, L.; Li, Z.; Wang, F. Spatial distribution of the debris layer on glaciers of the Tuomuer Peak, western Tian Shan. J. Earth Sci. 2011, 22, 528–538. [Google Scholar] [CrossRef]
- Aizen, V.B.; Aizen, E.M.; Dozier, J.; Melack, J.M.; Sexton, D.D.; Nesterov, V.N. Glacial regime of the highest Tien Shan Mountain, Pobeda-Khan Tengry massif. J. Glaciol. 1997, 43, 503–512. [Google Scholar] [CrossRef][Green Version]
- Aizen, V.B.; Aizen, E.M.; Melack, J.M. Precipitation, melt and runoff in the northern Tien Shan. J. Hydrol. 1996, 186, 229–251. [Google Scholar] [CrossRef]
- Aizen, V.B.; Kuzmichenok, V.A.; Surazakov, A.B.; Aizen, E.M. Glacier changes in the Tien Shan as determined from topographic and remotely sensed data. Glob. Planet. Chang. 2007, 56, 328–340. [Google Scholar] [CrossRef]
- Ding, G.; Chen, C.; Xie, C.; Jian, W. Study of the ice tongue ablation features of a large glacier in the south slopes of the Mt. Tuomuer in the Tianshan Mountains. J. Glaciol. Geocryol. 2014, 36, 20–29. [Google Scholar]
- Lu, H.; Han, H.; Xu, J. Analysis of the flow features in the ablation zone of the Koxkar Glacier on south slopes of the Tianshan Mountains. J. Glaciol. Geocryol. 2014, 36, 248–258. [Google Scholar]
- Pieczonka, T.; Bolch, T.; Kröhnert, M.; Peters, J.; Liu, S. Glacier branch lines and glacier ice thickness estimation for debris-covered glaciers in the Central Tien Shan. J. Glaciol. 2018, 64, 835–849. [Google Scholar] [CrossRef]
- Wang, P.Y.; Li, Z.Q.; Wang, W.B.; Li, H.L.; Zhou, P.; Jin, S. Changes of six selected glaciers in the Tomor region, Tian Shan, Central Asia, over the past w50 years, using high-resolution remote sensing images and field surveying. Quat. Int. 2013, 311, 123–131. [Google Scholar]
- Cai, X.; Xu, C.; Li, Z. Glacier changes and its effect on water resources in the upper reaches of Aksu River, Tien Shan, China, from 1989 to 2016. Arab. J. Geosci. 2022, 15, 565. [Google Scholar] [CrossRef]
- Liu, S.Y.; Yao, X.J.; Guo, W.Q.; Xu, J.; Shangguan, D.; Wei, J.; Bao, W.; Wu, L. The contemporary glaciers in China based on the Second Chinese Glacier Inventory. Acta Geogr. Sin. 2015, 70, 3–16. [Google Scholar]
- Gao, J.; Liu, Y. Applications of remote sensing, GIS and GPS in glaciology: A review. Prog. Phys. Geogr. 2001, 25, 520–540. [Google Scholar] [CrossRef]
- Vaughan, D.G.; Anderson, P.S.; King, J.C.; Mann, G.W.; Mobbs, S.D.; Ladkin, R.S. Imaging of firn isochrones across an Antarctic ice rise and implications for patterns of snow accumulation rate. J. Glaciol. 2004, 50, 413–418. [Google Scholar] [CrossRef]
- Wang, P.; Li, Z.; Li, H.; Wang, W.; Zhou, P.; Wang, L. Characteristics of a partially debris-covered glacier and its response to atmospheric warming in Mt. Tomor, Tien Shan, China. Glob. Planet. Chang. 2017, 159, 11–24. [Google Scholar] [CrossRef]
- Tamura, Y. A proposal of simultaneous monitoring responses of tall buildings in an urban area during strong winds and earthquakes using GPS-Construction of a new disaster prevention system. Res. Archit. 2000, 139, 1–7. [Google Scholar]
- Sun, B.; Zhang, P.; Jiao, K.; Deng, X.; Wen, J. Determination of ice thickness, subice topography and ice vol-ume at Glacier No. 1 in Tien Shan, China by ground penetrating radar. Chin. J. Polar Sci. 2003, 14, 90–98. [Google Scholar]
- Dehecq, A.; Gourmelen, N.; Trouvé, E. Deriving large-scale glacier velocities from a complete satellite archive: Application to the Pamir–Karakoram–Himalaya. Remote Sens. Environ. 2015, 162, 55–66. [Google Scholar] [CrossRef]
- Brun, F.; Berthier, E.; Wagnon, P.; Kaab, A.; Treichler, D. A spatially resolved estimate of High Mountain Asia glacier mass balances, 2000–2016. Nat. Geosci. 2017, 10, 668–673. [Google Scholar] [CrossRef] [PubMed]
- Leprince, S.; Ayoub, F.; Klinger, Y.; Avouac, J.P. Co-registration of optically sensed images and correlation (COSI-Corr): An operational methodology for ground deformation measurements. In Proceedings of the 2007 IEEE International Geoscience and Remote Sensing Symposium, Barcelona, Spain, 23–28 July 2007. [Google Scholar]
- Scherler, D.; Bookhagen, B.; Strecker, M.R. Spatially variable response of Himalayan glaciers to climate change affected by debris cover. Nat. Geosci. 2011, 4, 156–159. [Google Scholar] [CrossRef]
- Shukla, A.; Garg, P.K. Spatio-temporal trends in the surface ice velocities of the central Himalayan glaciers, India. Glob. Planet. Chang. 2020, 190, 103187. [Google Scholar] [CrossRef]
- Scherler, D.; Leprince, S.; Strecker, M.R. Glacier-surface velocities in alpine terrain from optical satellite imagery—Accuracy improvement and quality assessment. Remote Sens. Environ. 2008, 112, 3806–3819. [Google Scholar] [CrossRef]
- Quincey, D.J.; Glasser, N.F.; Cook, S.J.; Luckman, A. Heterogeneity in Karakoram glacier surges. J. Geophys. Res. Earth Surf. 2015, 120, 1288–1300. [Google Scholar] [CrossRef]
- Heid, T.; Kääb, A. Repeat optical satellite images reveal widespread and long term decrease in land-terminating glacier speeds. Cryosphere 2012, 6, 467–478. [Google Scholar] [CrossRef]
- Sattar, A.; Goswami, A.; Kulkarni, A.V.; Das, P. Glacier-surface velocity derived ice volume and retreat assessment in the dhauliganga basin, central himalaya–A remote sensing and modeling based approach. Front. Earth Sci. 2019, 7, 105. [Google Scholar] [CrossRef]
- Paul, F.; Linsbauer, A. Modeling of glacier bed topography from glacier outlines, central branch lines, and a DEM. Int. J. Geogr. Inf. Sci. 2012, 26, 1173–1190. [Google Scholar] [CrossRef]
- Gantayat, P.; Kulkarni, A.V.; Srinivasan, J. Estimation of ice thickness using surface velocities and slope: Case study at Gangotri Glacier, India. J. Glaciol. 2014, 60, 277–282. [Google Scholar] [CrossRef]
- Benn, D.I.; Evans, D.J. Glaciers and glaciation. London: Hodder Arnold Publication. Asia glacier mass balances from 2000 to 2016. Nat. Geosci. 1998, 10, 668–673. [Google Scholar]
- Huss, M.; Farinotti, D. Distributed ice thickness and volume of all glaciers around the globe. J. Geophys. Res. 2012, 117, F04010. [Google Scholar] [CrossRef]
- Su, Z.; Ding, L.; Liu, C. Glacier thickness and its reserves calculation on Tianshan Mountains. Xinjiang Geogr. 1984, 7, 37–44. [Google Scholar]
- Shen, Y.P.; Liu, S.Y.; Ding, Y.J.; Wang, S. Glacier mass balance change in Tailanhe River watersheds on the south slope of the Tianshan Mountains and its impact on water resources. J. Glaciol. Geocryol. 2003, 25, 124–129. [Google Scholar]
- Nagai, H.; Fujita, K.; Nuimura, T.; Sakai, A. Southwest-facing slopes control the formation of debris-covered glaciers in the Bhutan Himalaya. Cryosphere 2013, 7, 1303–1314. [Google Scholar] [CrossRef]
- Nicholson, L.; Benn, D.I. Calculating ice melt beneath a debris layer using meteorological data. J. Glaciol. 2006, 52, 463–470. [Google Scholar] [CrossRef]
- Farinotti, D.; Huss, M.; Fürst, J.J.; Landmann, J.; Machguth, H.; Maussion, F.; Pandit, A. A consensus estimate for the ice thickness distribution of all glaciers on Earth. Nat. Geosci. 2019, 12, 168–173. [Google Scholar] [CrossRef]
- Guillet, G.; King, O.; Lv, M.; Ghuffar, S.; Benn, D.; Quincey, D.; Bolch, T. A regionally resolved inventory of High Mountain Asia surge-type glaciers, derived from a multi-factor remote sensing approach. Cryosphere 2022, 16, 603–623. [Google Scholar] [CrossRef]
- Mingyang, L.; Huadong, G.; Shiyong, Y.; Guanyu, L.; Di, J.; Haolei, Z.; Ziyan, Z. A Dataset of Surge-Type Glaciers in the High Mountain Asia Based on Elevation Change and Satellite Imagery. 2021. Available online: https://www.scidb.cn/en/detail?dataSetId=caa0dbd38d03457ab9c9646f3a9e7683 (accessed on 1 January 2022).
- Zhou, S.; Yao, X.; Zhang, D.; Zhang, Y.; Liu, S.; Min, Y. Remote Sensing Monitoring of Advancing and Surging Glaciers in the Tien Shan, 1990–2019. Remote Sens. 2021, 13, 1973. [Google Scholar] [CrossRef]
Disclaimer/Publisher’s Note: The statements, opinions and data contained in all publications are solely those of the individual author(s) and contributor(s) and not of MDPI and/or the editor(s). MDPI and/or the editor(s) disclaim responsibility for any injury to people or property resulting from any ideas, methods, instructions or products referred to in the content. |
© 2022 by the authors. Licensee MDPI, Basel, Switzerland. This article is an open access article distributed under the terms and conditions of the Creative Commons Attribution (CC BY) license (https://creativecommons.org/licenses/by/4.0/).








