Experimental Research on the Supply of Working Fluid for Fixed Diamond Wire Slicing Based on Ultrasonic Capillary Effect
Abstract
1. Introduction
2. Experimental Setup
3. Results and Discussion
3.1. Effects of the Parallel Plate Spacing d
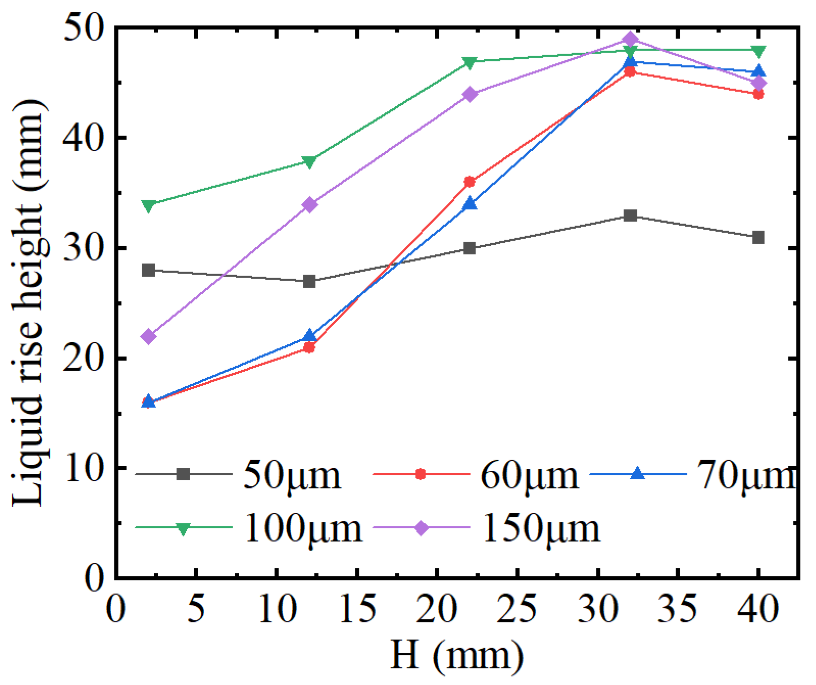
3.2. Effect of the H
3.3. Effect of Non-Parallelism between Two Plates
3.3.1. Front-Back Sides Not-Parallelism
3.3.2. Up-Down Sides Not-Parallelism
3.4. Effects of the Working Fluid
3.5. Effect of Working Fluid Temperature
3.6. Effect of Ultrasonic Vibration Time
4. Conclusions
- With the help of ultrasonic vibration, a higher liquid rise height can be achieved by properly selecting parameters, which is a new strategy that helps improve liquid supply in fixed diamond wire slicing.
- With the decrease in the spacing d (slitting width), the cavitation bubbles in the parallel plates decrease and the liquid rise height decreases. The liquid rise height reaches the maximum value with a spacing d of 100 μm.
- Within the range of 2~32 mm H, the liquid rise height increases with the increase in H. The liquid rising height reaches the maximum value when H is 32 mm. When the H is greater than 32 mm, the liquid rising height decreases.
- After adding surfactant, the liquid rise height increased greatly even without ultrasonic action. The liquid rise height using the cationic surfactant reaches the maximum value, the anionic and nonionic surfactants have approximately equal liquid rise height, and the amphoteric surfactant has a lower rise height.
- The liquid rising height increases with the temperature rise in the range of 25~30 °C and reaches the maximum value at 30 °C. The liquid rising height decreases with the rise in fluid temperature in the range of 45~55 °C.
- Under the ultrasonic vibration, the liquid rising rate is the largest in the first two minutes and reaches a lower rate from 2 to 10 min. After 10 to 14 min, the liquid rising rate approaches zero and maintains a stable rising height.
Author Contributions
Funding
Data Availability Statement
Conflicts of Interest
References
- Liu, J.J.; Yao, Y.; Xiao, S.Q.; Gu, X.F. Review of status developments of high efficiency crystalline silicon solar cells. J. Phys. D Appl. Phys. 2018, 51, 123001. [Google Scholar] [CrossRef]
- Behm, T.; Fütterer, W.; Funke, C.; Möller, H.J.; Rietzschel, R.; Wagner, T. Challenges of the wire saw wafering process. Photovolt. Int. 2011, 11, 36–47. [Google Scholar]
- Joseph, W.; Kirsten, S.; Oliver, A.; Brooker, R.P.; Hubert, S. Challenges associated with diamond wire sawing when generating reduced thickness mono-crystalline silicon wafers. In Proceedings of the 2016 IEEE 43rd Photovoltaic Specialists Conference (PVSC), Portland, OR, USA, 5–10 June 2016; pp. 0724–0728. [Google Scholar]
- Shetty, K.; Kaushal, Y.; Chikkan, N.; Murthy, D.S.; Kumar, C.M. Challenges in Processing Diamond Wire Cut and Black Silicon Wafers in Large-Scale Manufacturing of High Efficiency Solar Cells. J. Power Energy Eng. 2020, 8, 65–77. [Google Scholar] [CrossRef]
- Li, A.S.; Hu, S.C.; Zhou, Y.; Wang, H.Y.; Zhang, Z.; Ming, W.Y. Recent Advances in Precision Diamond Wire Sawing Monocrystalline Silicon. Micromachines 2023, 14, 1512. [Google Scholar] [CrossRef] [PubMed]
- Liang, L.; Li, S.J.; Lan, K.H.; Wang, J.B.; Yu, R.J. Fixed-diamond abrasive wire-saw cutting force modeling based on changes in contact arc lengths. Micromachines 2023, 14, 1275. [Google Scholar] [CrossRef] [PubMed]
- Dong, Z.K.; Zhang, C.P.; Liu, Z.L.; Zhao, Y.H.; Xing, K.; Guo, W.M. A Wire Bow Model of Diamond Wire Sawing with Asymmetric Arc Hypothesis. Micromachines 2023, 14, 1004. [Google Scholar] [CrossRef] [PubMed]
- Costa, E.C.; Weingaertner, W.L.; Xavier, F.A. Influence of single diamond wire sawing of photovoltaic monocrystalline silicon on the feed force, surface roughness and micro-crack depth. Mater. Sci. Semicond. Process. 2022, 143, 106525. [Google Scholar] [CrossRef]
- Zhang, S.Y.; Gao, Y.F.; Zhang, X.C.; Guo, Y.F. Influence of Diamond Wire Saw Processing Parameters on the Sawn Surface Characteristics of Silicon Nitride Ceramics Micromachines. Micromachines 2023, 14, 1660. [Google Scholar] [CrossRef] [PubMed]
- Corsin, B.; Andres, C.; Stefaan, D.W. High-efficiency crystalline silicon solar cells: Status and perspectives. Energy Environ. Sci. 2016, 9, 1552–1576. [Google Scholar]
- Shusei, T.; Yasuhiro, O.; Akira, O.; Haruya, K. Fundamental study of machining fluid flow formed by high-speed wire running in multi-wire electrical discharge slicing. In Proceedings of the International Conference on Leading Edge Manufacturing in 21st Century: LEM21, Tokyo, Japan, 14–18 November 2021; The Japan Society of Mechanical Engineers: Tokyo, Japan, 2021; pp. 330–333. [Google Scholar]
- Okada, A.; Uno, Y.; Onoda, S.; Habi, S. Computational fluid dynamics analysis of working fluid flow and debris movement in wire EDMed kerf. CIRP Ann. 2009, 58, 209–212. [Google Scholar] [CrossRef]
- Takuro, K.; Akira, O.; Yasuhiro, O.; Haruki, K. Effect of Jet flushing with tilting nozzle in wire electrical discharge machining. In Proceedings of the 14th International Conference of the European Society for Precision Engineering and Nanotechnology, Dubrovnik, Croatia, 2–6 June 2014; pp. 149–152. [Google Scholar]
- Qiu, J.; Li, X.F.; Zhang, S.B. Research on an improved bath cooling and lubrication method for diamond wire sawing. J. Adv. Manuf. Technol. 2021, 112, 2123–2132. [Google Scholar] [CrossRef]
- Yao, C.Y.; Xu, K.X.; Chen, D.D.; Wang, H.B.; Liu, Y.F. Research on the capillary penetration mechanism of cutting fluid supplied by electrostatic spraying in diamond wire sawing. J. Manuf. Process. 2021, 71, 212–223. [Google Scholar] [CrossRef]
- Yao, C.Y.; Chen, D.D.; Xu, K.X.; Zheng, Z.L.; Wang, Q.S.; Liu, Y.F. Study on nano silicon carbide water-based cutting fluid in polysilicon cutting. Mater. Sci. Semicond. Process. 2021, 123, 105512. [Google Scholar] [CrossRef]
- Wang, H.B.; Yao, C.Y.; Chen, D.D.; Xu, K.X.; Sheng, T.W. A Study on the Lubrication and Cooling Mechanism of Nano–Silicon Carbide Cutting Fluids for Diamond-Wire Sawing. Tribol. Trans. 2022, 65, 789–800. [Google Scholar] [CrossRef]
- Cheng, M.; Lee, P.; Feng, L. Cooling Device for Diamond-Wire Cutting System. U.S. Patent US20120167733A1, 5 July 2012. [Google Scholar]
- Zhao, J.Y. Ultrasonic Wire Cutting Method and Special Device. Patent CN 201110372103, 11 June 2011. Available online: https://patents.google.com/patent/CN103085179A/zh (accessed on 11 July 2024).
- Huang, N.Y.; Chan, C.H.; Chen, C.H. Wire Saw Apparatus, a Method of Sawing an Object, and a Method of Producing Etched Wafers. European Patent Office Patent EP3292 968A1, 14 March 2017. [Google Scholar]












| Technical Parameters | Value | 
|---|---|
| Stroke | 800 mm × 500 mm × 300 mm | 
| Positioning accuracy | 5 μm | 
| Repeat positioning accuracy | 3 μm | 
| Maximum feed speed | 800 mm/s | 
| Parameter | Value | 
|---|---|
| Overall dimensions/mm | 325 × 265 × 280 | 
| Water tank size/mm | 300 × 240 × 150 | 
| Power supply | AC220–240 V 50 Hz | 
| Ultrasonic power/W | 240 | 
| Heating power/W | 200 | 
| Ultrasonic frequency/kHz | 40 | 
| Maximum capacity/L | 10 | 
| Parameters | Value | 
|---|---|
| H | 2, 4, 6, 8, 10, 12, 22, 32, 40 | 
| Fluid temperature/°C | 25, 30, 35, 40, 45, 50, 55 | 
| Ultrasonic vibration time/min | 2, 4, 6, 8, 10, 12 | 
| Liquid pigment vol% | 1% | 
| Working fluid | Water | 
| Spacing d/μm | 50, 60, 70, 100, 150 | 
| Group | 1 | 2 | 3 | 4 | 5 | |
|---|---|---|---|---|---|---|
| Spacing (μm) | Front | 1000 | 750 | 500 | 300 | 100 | 
| Back | 100 | 100 | 100 | 100 | 100 | |
| Unit (μm) | ||||
|---|---|---|---|---|
| Group 1 | 100 | 100 | 100 | 100 | 
| Group 2 | 200 | 100 | 100 | 200 | 
| Group 3 | 300 | 100 | 100 | 300 | 
| Group 4 | 400 | 100 | 100 | 400 | 
| Group 5 | 500 | 100 | 100 | 500 | 
| Group 1 | Group 2 | Group 3 | Group 4 | Group 5 | |
|---|---|---|---|---|---|
| Surfactant | Anion | Cationic | Nonionic | Amphoteric | / | 
| Disclaimer/Publisher’s Note: The statements, opinions and data contained in all publications are solely those of the individual author(s) and contributor(s) and not of MDPI and/or the editor(s). MDPI and/or the editor(s) disclaim responsibility for any injury to people or property resulting from any ideas, methods, instructions or products referred to in the content. | 
© 2024 by the authors. Licensee MDPI, Basel, Switzerland. This article is an open access article distributed under the terms and conditions of the Creative Commons Attribution (CC BY) license (https://creativecommons.org/licenses/by/4.0/).
Share and Cite
Zhao, J.; Shen, L.; Zhang, C.; Wang, Y. Experimental Research on the Supply of Working Fluid for Fixed Diamond Wire Slicing Based on Ultrasonic Capillary Effect. Micromachines 2024, 15, 910. https://doi.org/10.3390/mi15070910
Zhao J, Shen L, Zhang C, Wang Y. Experimental Research on the Supply of Working Fluid for Fixed Diamond Wire Slicing Based on Ultrasonic Capillary Effect. Micromachines. 2024; 15(7):910. https://doi.org/10.3390/mi15070910
Chicago/Turabian StyleZhao, Junying, Luqi Shen, Chunwei Zhang, and Yanqing Wang. 2024. "Experimental Research on the Supply of Working Fluid for Fixed Diamond Wire Slicing Based on Ultrasonic Capillary Effect" Micromachines 15, no. 7: 910. https://doi.org/10.3390/mi15070910
APA StyleZhao, J., Shen, L., Zhang, C., & Wang, Y. (2024). Experimental Research on the Supply of Working Fluid for Fixed Diamond Wire Slicing Based on Ultrasonic Capillary Effect. Micromachines, 15(7), 910. https://doi.org/10.3390/mi15070910
 
         
                                                
 
       