Computer-Aided Identification and Design of Ligands for Multi-Targeting Inhibition of a Molecular Acute Myeloid Leukemia Network
Simple Summary
Abstract
1. Introduction
2. Materials and Methods
2.1. In Silico Reconstruction of the AML Network and İdentification of Druggable and Undruggable Hubs
2.2. Molecular Dynamics Simulations of DNMT3A in Procaine Environment
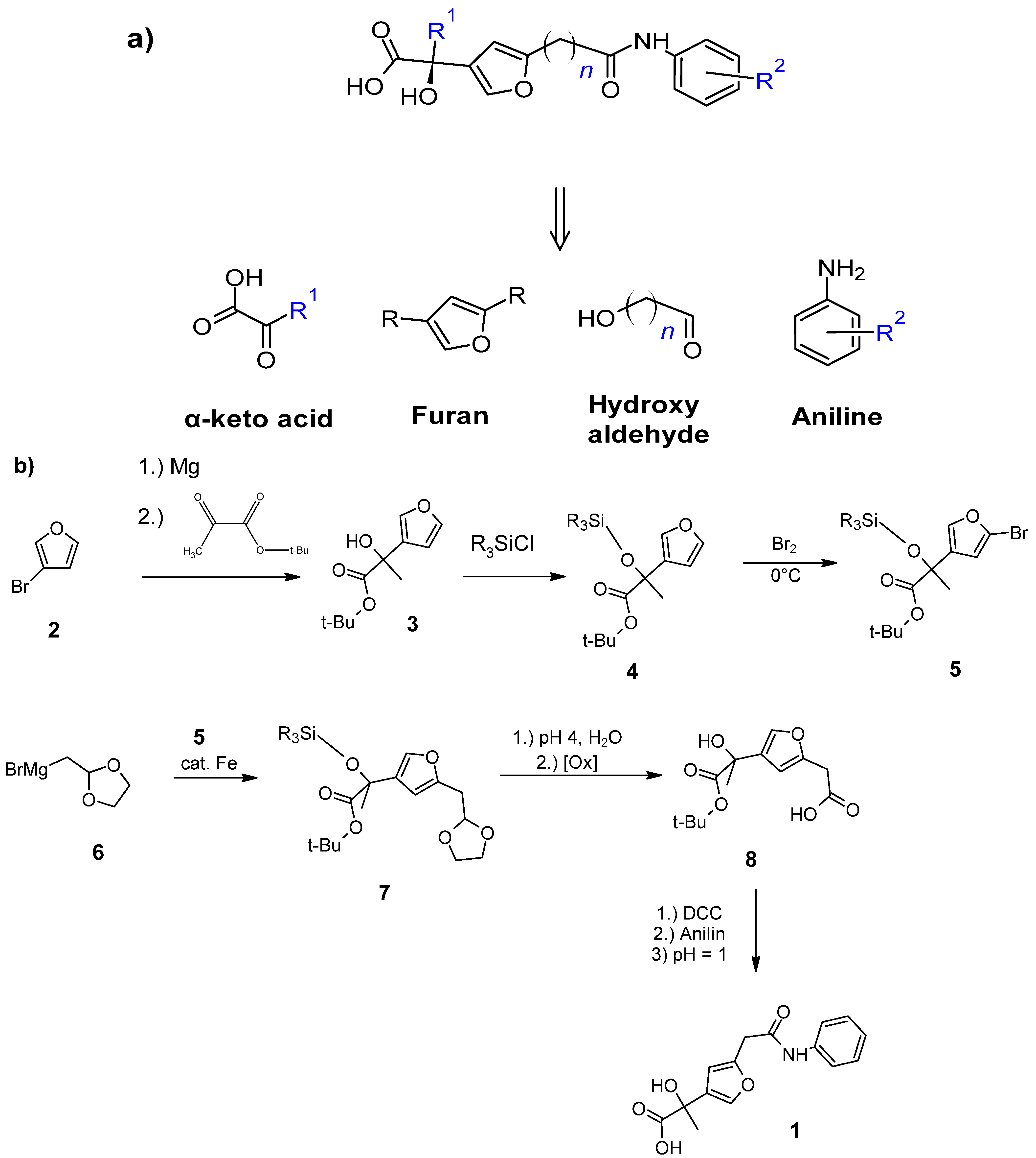
2.3. Structure-Based De Novo Design of a Triple-Targeting Agent
2.3.1. Acquisition of 3D Structures of the Cyclin Proteins
2.3.2. Multi-Targeting Ligand Building
2.3.3. Computation of Physicochemical, Pharmacokinetic, Drug-likeness, Synthesizability, and Toxicity Parameters
2.4. Identification of the Amino Acid Residues Mediating the Multi-Target Agent-Cyclin Protein İnteractions
2.4.1. Molecular Docking
2.4.2. Orthologs Search and Protein Sequence Alignments
2.4.3. Creation of Amino Acid Sequence Motifs
2.5. Molecular Visualization
3. Results
3.1. A Transcriptomics-Based Reconstruction of the AML Network Drives the Selection of Actionable Targets and Corresponding Multi-Targeting Strategies
3.2. A Greedy Algorithm Predicts Safe Combinations of Approved Drugs for Multi-Targeting of the Hubs in the AML Network
3.3. Molecular Dynamics Simulations Infer Inhibition of DNMT3A by Procaine via an Allosteric Mechanism of Pharmacological Action
3.4. De Novo Design of a Novel Multi-Targeting Agent against Undruggable Hubs of the AML Network
3.5. The Novel Ligand Exhibits Drug-like Features and Lacks Toxicity
3.6. Feasibility of Synthesis of the Novel Ligand
3.7. Molecular Docking Predicts Interaction of the Novel Ligand with Highly Conserved and Functionally Important Residues of the Cyclin Proteins
4. Discussion
5. Conclusions
Supplementary Materials
Author Contributions
Funding
Institutional Review Board Statement
Informed Consent Statement
Data Availability Statement
Acknowledgments
Conflicts of Interest
References
- Cucchi, D.G.J.; Polak, T.B.; Ossenkoppele, G.J.; Uyl-De Groot, C.A.; Cloos, J.; Zweegman, S.; Janssen, J. Two decades of targeted therapies in acute myeloid leukemia. Leukemia 2021, 35, 651–660. [Google Scholar] [CrossRef] [PubMed]
- Lang, T.J.L.; Damm, F.; Bullinger, L.; Frick, M. Mechanisms of resistance to small molecules in acute myeloid leukemia. Cancers 2023, 15, 4573. [Google Scholar] [CrossRef] [PubMed]
- Buchrits, S.; Wolach, O. Non-immunotherapy approaches for relapsed or refractory aml: An update for 2024. Acta Haematol. 2024, 147, 159–174. [Google Scholar] [CrossRef]
- Gottschlich, A.; Thomas, M.; Grunmeier, R.; Lesch, S.; Rohrbacher, L.; Igl, V.; Briukhovetska, D.; Benmebarek, M.R.; Vick, B.; Dede, S.; et al. Single-cell transcriptomic atlas-guided development of car-t cells for the treatment of acute myeloid leukemia. Nat. Biotechnol. 2023, 41, 1618–1632. [Google Scholar] [CrossRef]
- Sauerer, T.; Velazquez, G.F.; Schmid, C. Relapse of acute myeloid leukemia after allogeneic stem cell transplantation: Immune escape mechanisms and current implications for therapy. Mol. Cancer 2023, 22, 180. [Google Scholar] [CrossRef] [PubMed]
- Voso, M.T.; Ottone, T.; Lavorgna, S.; Venditti, A.; Maurillo, L.; Lo-Coco, F.; Buccisano, F. Mrd in aml: The role of new techniques. Front. Oncol. 2019, 9, 655. [Google Scholar] [CrossRef]
- Niu, J.; Peng, D.; Liu, L. Drug resistance mechanisms of acute myeloid leukemia stem cells. Front. Oncol. 2022, 12, 896426. [Google Scholar] [CrossRef]
- Yilmaz, H.; Toy, H.I.; Marquardt, S.; Karakulah, G.; Kucuk, C.; Kontou, P.I.; Logotheti, S.; Pavlopoulou, A. In silico methods for the identification of diagnostic and favorable prognostic markers in acute myeloid leukemia. Int. J. Mol. Sci. 2021, 22, 9601. [Google Scholar] [CrossRef]
- Zhang, J.; Gu, Y.; Chen, B. Mechanisms of drug resistance in acute myeloid leukemia. OncoTargets Ther. 2019, 12, 1937–1945. [Google Scholar] [CrossRef]
- Dhakal, P.; Lyden, E.; Muir, K.E.; Al-Kadhimi, Z.S.; Koll, T.; Maness, L.J.; Gundabolu, K.; Bhatt, V.R. Prevalence and effects of polypharmacy on overall survival in acute myeloid leukemia. Leuk. Lymphoma 2020, 61, 1702–1708. [Google Scholar] [CrossRef]
- Joshi, S.K.; Nechiporuk, T.; Bottomly, D.; Piehowski, P.D.; Reisz, J.A.; Pittsenbarger, J.; Kaempf, A.; Gosline, S.J.C.; Wang, Y.T.; Hansen, J.R.; et al. The aml microenvironment catalyzes a stepwise evolution to gilteritinib resistance. Cancer Cell 2021, 39, 999–1014.E8. [Google Scholar] [CrossRef] [PubMed]
- Holohan, C.; Van Schaeybroeck, S.; Longley, D.B.; Johnston, P.G. Cancer drug resistance: An evolving paradigm. Nat. Rev. Cancer 2013, 13, 714–726. [Google Scholar] [CrossRef]
- Choi, M.; Shi, J.; Zhu, Y.; Yang, R.; Cho, K.H. Network dynamics-based cancer panel stratification for systemic prediction of anticancer drug response. Nat. Commun. 2017, 8, 1940. [Google Scholar] [CrossRef] [PubMed]
- Cremers, C.G.; Nguyen, L.K. Network rewiring, adaptive resistance and combating strategies in breast cancer. Cancer Drug Resist. 2019, 2, 1106–1126. [Google Scholar] [CrossRef]
- Medina-Franco, J.L.; Giulianotti, M.A.; Welmaker, G.S.; Houghten, R.A. Shifting from the single to the multitarget paradigm in drug discovery. Drug Discov. Today 2013, 18, 495–501. [Google Scholar] [CrossRef]
- Al-Lazikani, B.; Banerji, U.; Workman, P. Combinatorial drug therapy for cancer in the post-genomic era. Nat. Biotechnol. 2012, 30, 679–692. [Google Scholar] [CrossRef]
- Boshuizen, J.; Peeper, D.S. Rational cancer treatment combinations: An urgent clinical need. Mol. Cell 2020, 78, 1002–1018. [Google Scholar] [CrossRef] [PubMed]
- Raghavendra, N.M.; Pingili, D.; Kadasi, S.; Mettu, A.; Prasad, S. Dual or multi-targeting inhibitors: The next generation anticancer agents. Eur. J. Med. Chem. 2018, 143, 1277–1300. [Google Scholar] [CrossRef]
- DiNardo, C.D.; Schuh, A.C.; Stein, E.M.; Montesinos, P.; Wei, A.H.; de Botton, S.; Zeidan, A.M.; Fathi, A.T.; Kantarjian, H.M.; Bennett, J.M.; et al. Enasidenib plus azacitidine versus azacitidine alone in patients with newly diagnosed, mutant-idh2 acute myeloid leukaemia (ag221-aml-005): A single-arm, phase 1b and randomised, phase 2 trial. Lancet. Oncol. 2021, 22, 1597–1608. [Google Scholar] [CrossRef]
- Daver, N.; Garcia-Manero, G.; Basu, S.; Boddu, P.C.; Alfayez, M.; Cortes, J.E.; Konopleva, M.; Ravandi-Kashani, F.; Jabbour, E.; Kadia, T.; et al. Efficacy, safety, and biomarkers of response to azacitidine and nivolumab in relapsed/refractory acute myeloid leukemia: A nonrandomized, open-label, phase ii study. Cancer Discov. 2019, 9, 370–383. [Google Scholar] [CrossRef]
- van Gils, N.; Martianez Canales, T.; Vermue, E.; Rutten, A.; Denkers, F.; van der Deure, T.; Ossenkoppele, G.J.; Giles, F.; Smit, L. The novel oral bet-cbp/p300 dual inhibitor neo2734 is highly effective in eradicating acute myeloid leukemia blasts and stem/progenitor cells. HemaSphere 2021, 5, e610. [Google Scholar] [CrossRef] [PubMed]
- Wang, P.; Xiao, X.; Zhang, Y.; Zhang, B.; Li, D.; Liu, M.; Xie, X.; Liu, C.; Liu, P.; Ren, R. A dual inhibitor overcomes drug-resistant flt3-itd acute myeloid leukemia. J. Hematol. Oncol. 2021, 14, 105. [Google Scholar] [CrossRef] [PubMed]
- Wang, Z.; Wu, D.; Zhao, X.; Liu, C.; Jia, S.; He, Q.; Huang, F.; Cheng, Z.; Lu, T.; Chen, Y.; et al. Rational discovery of dual flt3/hdac inhibitors as a potential aml therapy. Eur. J. Med. Chem. 2023, 260, 115759. [Google Scholar] [CrossRef] [PubMed]
- Wu, Y.W.; Chao, M.W.; Tu, H.J.; Chen, L.C.; Hsu, K.C.; Liou, J.P.; Yang, C.R.; Yen, S.C.; HuangFu, W.C.; Pan, S.L. A novel dual hdac and hsp90 inhibitor, mpt0g449, downregulates oncogenic pathways in human acute leukemia in vitro and in vivo. Oncogenesis 2021, 10, 39. [Google Scholar] [CrossRef]
- Tariq, M.U.; Furqan, M.; Parveen, H.; Ullah, R.; Muddassar, M.; Saleem, R.S.Z.; Bavetsias, V.; Linardopoulos, S.; Faisal, A. Cct245718, a dual flt3/aurora a inhibitor overcomes d835y-mediated resistance to flt3 inhibitors in acute myeloid leukaemia cells. Br. J. Cancer 2021, 125, 966–974. [Google Scholar] [CrossRef] [PubMed]
- Dumas, P.Y.; Villacreces, A.; Guitart, A.V.; El-Habhab, A.; Massara, L.; Mansier, O.; Bidet, A.; Martineau, D.; Fernandez, S.; Leguay, T.; et al. Dual inhibition of flt3 and axl by gilteritinib overcomes hematopoietic niche-driven resistance mechanisms in flt3-itd acute myeloid leukemia. Clin. Cancer Res. Off. J. Am. Assoc. Cancer Res. 2021, 27, 6012–6025. [Google Scholar] [CrossRef]
- Bueschbell, B.; Caniceiro, A.B.; Suzano, P.M.S.; Machuqueiro, M.; Rosario-Ferreira, N.; Moreira, I.S. Network biology and artificial intelligence drive the understanding of the multidrug resistance phenotype in cancer. Drug Resist. Updates Rev. Comment. Antimicrob. Anticancer Chemother. 2022, 60, 100811. [Google Scholar] [CrossRef]
- Hopkins, A.L. Network pharmacology: The next paradigm in drug discovery. Nat. Chem. Biol. 2008, 4, 682–690. [Google Scholar] [CrossRef]
- Casas, A.I.; Hassan, A.A.; Larsen, S.J.; Gomez-Rangel, V.; Elbatreek, M.; Kleikers, P.W.M.; Guney, E.; Egea, J.; Lopez, M.G.; Baumbach, J.; et al. From single drug targets to synergistic network pharmacology in ischemic stroke. Proc. Natl. Acad. Sci. USA 2019, 116, 7129–7136. [Google Scholar] [CrossRef]
- Feng, Y.; Wang, Q.; Wang, T. Drug target protein-protein interaction networks: A systematic perspective. BioMed Res. Int. 2017, 2017, 1289259. [Google Scholar] [CrossRef]
- Noh, H.; Shoemaker, J.E.; Gunawan, R. Network perturbation analysis of gene transcriptional profiles reveals protein targets and mechanism of action of drugs and influenza a viral infection. Nucleic Acids Res. 2018, 46, e34. [Google Scholar] [CrossRef]
- Tabei, Y.; Kotera, M.; Sawada, R.; Yamanishi, Y. Network-based characterization of drug-protein interaction signatures with a space-efficient approach. BMC Syst. Biol. 2019, 13, 39. [Google Scholar] [CrossRef]
- Kong, W.; Midena, G.; Chen, Y.; Athanasiadis, P.; Wang, T.; Rousu, J.; He, L.; Aittokallio, T. Systematic review of computational methods for drug combination prediction. Comput. Struct. Biotechnol. J. 2022, 20, 2807–2814. [Google Scholar] [CrossRef] [PubMed]
- Kibble, M.; Saarinen, N.; Tang, J.; Wennerberg, K.; Makela, S.; Aittokallio, T. Network pharmacology applications to map the unexplored target space and therapeutic potential of natural products. Nat. Prod. Rep. 2015, 32, 1249–1266. [Google Scholar] [CrossRef] [PubMed]
- Pathmanathan, S.; Grozavu, I.; Lyakisheva, A.; Stagljar, I. Drugging the undruggable proteins in cancer: A systems biology approach. Curr. Opin. Chem. Biol. 2022, 66, 102079. [Google Scholar] [CrossRef] [PubMed]
- He, L.; Bulanova, D.; Oikkonen, J.; Hakkinen, A.; Zhang, K.; Zheng, S.; Wang, W.; Erkan, E.P.; Carpen, O.; Joutsiniemi, T.; et al. Network-guided identification of cancer-selective combinatorial therapies in ovarian cancer. Brief. Bioinform. 2021, 22, bbab272. [Google Scholar] [CrossRef]
- Seal, R.L.; Braschi, B.; Gray, K.; Jones, T.E.M.; Tweedie, S.; Haim-Vilmovsky, L.; Bruford, E.A. Genenames.Org: The hgnc resources in 2023. Nucleic Acids Res. 2023, 51, D1003–D1009. [Google Scholar] [CrossRef]
- Szklarczyk, D.; Kirsch, R.; Koutrouli, M.; Nastou, K.; Mehryary, F.; Hachilif, R.; Gable, A.L.; Fang, T.; Doncheva, N.T.; Pyysalo, S.; et al. The string database in 2023: Protein-protein association networks and functional enrichment analyses for any sequenced genome of interest. Nucleic Acids Res. 2023, 51, D638–D646. [Google Scholar] [CrossRef]
- Shannon, P.; Markiel, A.; Ozier, O.; Baliga, N.S.; Wang, J.T.; Ramage, D.; Amin, N.; Schwikowski, B.; Ideker, T. Cytoscape: A software environment for integrated models of biomolecular interaction networks. Genome Res. 2003, 13, 2498–2504. [Google Scholar] [CrossRef]
- The UniProt Consortium. UniProt: The universal protein knowledgebase in 2023. Nucleic Acids Res. 2023, 51, D523–D531. [Google Scholar] [CrossRef]
- Subramanian, A.; Tamayo, P.; Mootha, V.K.; Mukherjee, S.; Ebert, B.L.; Gillette, M.A.; Paulovich, A.; Pomeroy, S.L.; Golub, T.R.; Lander, E.S.; et al. Gene set enrichment analysis: A knowledge-based approach for interpreting genome-wide expression profiles. Proc. Natl. Acad. Sci. USA 2005, 102, 15545–15550. [Google Scholar] [CrossRef] [PubMed]
- Rudenko, A.Y.; Mariasina, S.S.; Sergiev, P.V.; Polshakov, V.I. Analogs of s-adenosyl-l-methionine in studies of methyltransferases. Mol. Biol. 2022, 56, 229–250. [Google Scholar] [CrossRef] [PubMed]
- Zhang, Z.M.; Lu, R.; Wang, P.; Yu, Y.; Chen, D.; Gao, L.; Liu, S.; Ji, D.; Rothbart, S.B.; Wang, Y.; et al. Structural basis for dnmt3a-mediated de novo DNA methylation. Nature 2018, 554, 387–391. [Google Scholar] [CrossRef]
- Vanommeslaeghe, K.; Hatcher, E.; Acharya, C.; Kundu, S.; Zhong, S.; Shim, J.; Darian, E.; Guvench, O.; Lopes, P.; Vorobyov, I.; et al. Charmm general force field: A force field for drug-like molecules compatible with the charmm all-atom additive biological force fields. J. Comput. Chem. 2010, 31, 671–690. [Google Scholar] [CrossRef] [PubMed]
- Best, R.B.; Zhu, X.; Shim, J.; Lopes, P.E.; Mittal, J.; Feig, M.; Mackerell, A.D., Jr. Optimization of the additive charmm all-atom protein force field targeting improved sampling of the backbone phi, psi and side-chain chi(1) and chi(2) dihedral angles. J. Chem. Theory Comput. 2012, 8, 3257–3273. [Google Scholar] [CrossRef]
- Huang, J.; Rauscher, S.; Nawrocki, G.; Ran, T.; Feig, M.; de Groot, B.L.; Grubmuller, H.; MacKerell, A.D., Jr. Charmm36m: An improved force field for folded and intrinsically disordered proteins. Nat. Methods 2017, 14, 71–73. [Google Scholar] [CrossRef]
- Izadi, S.; Anandakrishnan, R.; Onufriev, A.V. Building water models: A different approach. J. Phys. Chem. Lett. 2014, 5, 3863–3871. [Google Scholar] [CrossRef]
- Luo, Y.; Roux, B. Simulation of osmotic pressure in concentrated aqueous salt solutions. J. Phys. Chem. Lett. 2010, 1, 183–189. [Google Scholar] [CrossRef]
- Yoo, J.; Aksimentiev, A. New tricks for old dogs: Improving the accuracy of biomolecular force fields by pair-specific corrections to non-bonded interactions. Phys. Chem. Chem. Phys. 2018, 20, 8432–8449. [Google Scholar] [CrossRef]
- Van Der Spoel, D.; Lindahl, E.; Hess, B.; Groenhof, G.; Mark, A.E.; Berendsen, H.J. Gromacs: Fast, flexible, and free. J. Comput. Chem. 2005, 26, 1701–1718. [Google Scholar] [CrossRef]
- Bussi, G.; Donadio, D.; Parrinello, M. Canonical sampling through velocity rescaling. J. Chem. Phys. 2007, 126, 014101. [Google Scholar] [CrossRef] [PubMed]
- Parrinello, M.; Rahman, A. Polymorphic transitions in single crystals: A new molecular dynamics method. J. Appl. Phys. 1981, 52, 7182–7190. [Google Scholar] [CrossRef]
- Humphrey, W.; Dalke, A.; Schulten, K. Vmd: Visual molecular dynamics. J. Mol. Graph. 1996, 14, 33–38. [Google Scholar] [CrossRef]
- Berman, H.M.; Westbrook, J.; Feng, Z.; Gilliland, G.; Bhat, T.N.; Weissig, H.; Shindyalov, I.N.; Bourne, P.E. The protein data bank. Nucleic Acids Res. 2000, 28, 235–242. [Google Scholar] [CrossRef]
- Mirdita, M.; Schutze, K.; Moriwaki, Y.; Heo, L.; Ovchinnikov, S.; Steinegger, M. Colabfold: Making protein folding accessible to all. Nat. Methods 2022, 19, 679–682. [Google Scholar] [CrossRef]
- Yuan, Y.; Pei, J.; Lai, L. Ligbuilder v3: A multi-target de novo drug design approach. Front. Chem. 2020, 8, 142. [Google Scholar] [CrossRef]
- Daina, A.; Michielin, O.; Zoete, V. Swissadme: A free web tool to evaluate pharmacokinetics, drug-likeness and medicinal chemistry friendliness of small molecules. Sci. Rep. 2017, 7, 42717. [Google Scholar] [CrossRef] [PubMed]
- Pires, D.E.; Blundell, T.L.; Ascher, D.B. Pkcsm: Predicting small-molecule pharmacokinetic and toxicity properties using graph-based signatures. J. Med. Chem. 2015, 58, 4066–4072. [Google Scholar] [CrossRef]
- Trott, O.; Olson, A.J. Autodock vina: Improving the speed and accuracy of docking with a new scoring function, efficient optimization, and multithreading. J. Comput. Chem. 2010, 31, 455–461. [Google Scholar] [CrossRef]
- O’Leary, N.A.; Wright, M.W.; Brister, J.R.; Ciufo, S.; Haddad, D.; McVeigh, R.; Rajput, B.; Robbertse, B.; Smith-White, B.; Ako-Adjei, D.; et al. Reference sequence (refseq) database at ncbi: Current status, taxonomic expansion, and functional annotation. Nucleic Acids Res. 2016, 44, D733–D745. [Google Scholar] [CrossRef]
- Bawono, P.; Heringa, J. Praline: A versatile multiple sequence alignment toolkit. Methods Mol. Biol. 2014, 1079, 245–262. [Google Scholar]
- Waterhouse, A.M.; Procter, J.B.; Martin, D.M.; Clamp, M.; Barton, G.J. Jalview version 2—A multiple sequence alignment editor and analysis workbench. Bioinformatics 2009, 25, 1189–1191. [Google Scholar] [CrossRef] [PubMed]
- Wang, J.; Chitsaz, F.; Derbyshire, M.K.; Gonzales, N.R.; Gwadz, M.; Lu, S.; Marchler, G.H.; Song, J.S.; Thanki, N.; Yamashita, R.A.; et al. The conserved domain database in 2023. Nucleic Acids Res. 2023, 51, D384–D388. [Google Scholar] [CrossRef]
- Crooks, G.E.; Hon, G.; Chandonia, J.M.; Brenner, S.E. Weblogo: A sequence logo generator. Genome Res. 2004, 14, 1188–1190. [Google Scholar] [CrossRef]
- Stierand, K.; Maass, P.C.; Rarey, M. Molecular complexes at a glance: Automated generation of two-dimensional complex diagrams. Bioinformatics 2006, 22, 1710–1716. [Google Scholar] [CrossRef] [PubMed]
- Schnerch, D.; Yalcintepe, J.; Schmidts, A.; Becker, H.; Follo, M.; Engelhardt, M.; Wasch, R. Cell cycle control in acute myeloid leukemia. Am. J. Cancer Res. 2012, 2, 508–528. [Google Scholar] [PubMed]
- Ling, V.Y.; Straube, J.; Godfrey, W.; Haldar, R.; Janardhanan, Y.; Cooper, L.; Bruedigam, C.; Cooper, E.; Tavakoli Shirazi, P.; Jacquelin, S.; et al. Targeting cell cycle and apoptosis to overcome chemotherapy resistance in acute myeloid leukemia. Leukemia 2023, 37, 143–153. [Google Scholar] [CrossRef] [PubMed]
- Barabasi, A.L.; Gulbahce, N.; Loscalzo, J. Network medicine: A network-based approach to human disease. Nat. Rev. Genet. 2011, 12, 56–68. [Google Scholar] [CrossRef]
- Kontou, P.I.; Pavlopoulou, A.; Dimou, N.L.; Pavlopoulos, G.A.; Bagos, P.G. Network analysis of genes and their association with diseases. Gene 2016, 590, 68–78. [Google Scholar] [CrossRef]
- Kontou, P.; Pavlopoulou, A.; Dimou, N.; Theodoropoulou, M.; Braliou, G.; Tsaousis, G. The human gpcr signal transduction network. Netw. Model. Anal. Health Inform. Bioinform. 2021, 10, 3. [Google Scholar] [CrossRef]
- Li, Y.C.; Wang, Y.; Li, D.D.; Zhang, Y.; Zhao, T.C.; Li, C.F. Procaine is a specific DNA methylation inhibitor with anti-tumor effect for human gastric cancer. J. Cell. Biochem. 2018, 119, 2440–2449. [Google Scholar] [CrossRef] [PubMed]
- Von Hoff, D.D.; LoRusso, P.M.; Rudin, C.M.; Reddy, J.C.; Yauch, R.L.; Tibes, R.; Weiss, G.J.; Borad, M.J.; Hann, C.L.; Brahmer, J.R.; et al. Inhibition of the hedgehog pathway in advanced basal-cell carcinoma. N. Engl. J. Med. 2009, 361, 1164–1172. [Google Scholar] [CrossRef] [PubMed]
- Ketchem, C.J.; Kucera, C.; Barve, A.; Beverly, L.J. The antiarrhythmic drug, amiodarone, decreases akt activity and sensitizes human acute myeloid leukemia cells to apoptosis by abt-263. Am. J. Med. Sci. 2018, 355, 488–496. [Google Scholar] [CrossRef] [PubMed]
- Rima, M.; Daghsni, M.; Lopez, A.; Fajloun, Z.; Lefrancois, L.; Dunach, M.; Mori, Y.; Merle, P.; Bruses, J.L.; De Waard, M.; et al. Down-regulation of the wnt/beta-catenin signaling pathway by cacnb4. Mol. Biol. Cell 2017, 28, 3699–3708. [Google Scholar] [CrossRef] [PubMed]
- Pepe, F.; Bill, M.; Papaioannou, D.; Karunasiri, M.; Walker, A.; Naumann, E.; Snyder, K.; Ranganathan, P.; Dorrance, A.; Garzon, R. Targeting wnt signaling in acute myeloid leukemia stem cells. Haematologica 2022, 107, 307–311. [Google Scholar] [CrossRef] [PubMed]
- Zhou, H.; Jiang, Y.; Huang, Y.; Zhong, M.; Qin, D.; Xie, C.; Pan, G.; Tan, J.; Deng, M.; Zhao, H.; et al. Therapeutic inhibition of pparalpha-hif1alpha-pgk1 signaling targets leukemia stem and progenitor cells in acute myeloid leukemia. Cancer Lett. 2023, 554, 215997. [Google Scholar] [CrossRef]
- Nguyen, L.X.T.; Chan, S.M.; Ngo, T.D.; Raval, A.; Kim, K.K.; Majeti, R.; Mitchell, B.S. Interaction of tif-90 and filamin a in the regulation of rrna synthesis in leukemic cells. Blood 2014, 124, 579–589. [Google Scholar] [CrossRef]
- Matveeva, E.; Kazakova, A.; Olshanskaya, Y.; Tsaur, G.; Shelikhova, L.; Meyer, C.; Marschalek, R.; Novichkova, G.; Maschan, M.; Maschan, A. A new variant of kmt2a(mll)-flna fusion transcript in acute myeloid leukemia with ins(x;11)(q28;q23q23). Cancer Genet. 2015, 208, 148–151. [Google Scholar] [CrossRef]
- Grignano, E.; Cantero-Aguilar, L.; Tuerdi, Z.; Chabane, T.; Vazquez, R.; Johnson, N.; Zerbit, J.; Decroocq, J.; Birsen, R.; Fontenay, M.; et al. Dihydroartemisinin-induced ferroptosis in acute myeloid leukemia: Links to iron metabolism and metallothionein. Cell Death Discov. 2023, 9, 97. [Google Scholar] [CrossRef]
- Drenberg, C.D.; Buaboonnam, J.; Orwick, S.J.; Hu, S.; Li, L.; Fan, Y.; Shelat, A.A.; Guy, R.K.; Rubnitz, J.; Baker, S.D. Evaluation of artemisinins for the treatment of acute myeloid leukemia. Cancer Chemother. Pharmacol. 2016, 77, 1231–1243. [Google Scholar] [CrossRef]
- Moses, B.S.; McCullough, S.; Fox, J.M.; Mott, B.T.; Bentzen, S.M.; Kim, M.; Tyner, J.W.; Lapidus, R.G.; Emadi, A.; Rudek, M.A.; et al. Antileukemic efficacy of a potent artemisinin combined with sorafenib and venetoclax. Blood Adv. 2021, 5, 711–724. [Google Scholar] [CrossRef] [PubMed]
- Petersen, M.A.; Rosenberg, C.A.; Bill, M.; Enemark, M.B.; Rahbek, O.; Roug, A.S.; Hasle, H.; Honore, B.; Ludvigsen, M. Proteomic profiling identifies specific leukemic stem cell-associated protein expression patterns in pediatric aml patients. Cancers 2022, 14, 3567. [Google Scholar] [CrossRef] [PubMed]
- Doepfner, K.T.; Spertini, O.; Arcaro, A. Autocrine insulin-like growth factor-i signaling promotes growth and survival of human acute myeloid leukemia cells via the phosphoinositide 3-kinase/akt pathway. Leukemia 2007, 21, 1921–1930. [Google Scholar] [CrossRef] [PubMed]
- Stratmann, S.; Yones, S.A.; Garbulowski, M.; Sun, J.; Skaftason, A.; Mayrhofer, M.; Norgren, N.; Herlin, M.K.; Sundstrom, C.; Eriksson, A.; et al. Transcriptomic analysis reveals proinflammatory signatures associated with acute myeloid leukemia progression. Blood Adv. 2022, 6, 152–164. [Google Scholar] [CrossRef]
- Brattas, M.K.; Hemsing, A.L.; Rye, K.P.; Hatfield, K.J.; Reikvam, H. Heterogeneity of patient-derived acute myeloid leukemia cells subjected to syk in vitro inhibition. Int. J. Mol. Sci. 2022, 23, 14706. [Google Scholar] [CrossRef]
- Polak, A.; Bialopiotrowicz, E.; Krzymieniewska, B.; Wozniak, J.; Stojak, M.; Cybulska, M.; Kaniuga, E.; Mikula, M.; Jablonska, E.; Gorniak, P.; et al. Syk inhibition targets acute myeloid leukemia stem cells by blocking their oxidative metabolism. Cell Death Dis. 2020, 11, 956. [Google Scholar] [CrossRef]
- Schnittger, S.; Kohl, T.M.; Haferlach, T.; Kern, W.; Hiddemann, W.; Spiekermann, K.; Schoch, C. Kit-d816 mutations in aml1-eto-positive aml are associated with impaired event-free and overall survival. Blood 2006, 107, 1791–1799. [Google Scholar] [CrossRef] [PubMed]
- Wang, N.N.; Li, Z.H.; Zhao, H.; Tao, Y.F.; Xu, L.X.; Lu, J.; Cao, L.; Du, X.J.; Sun, L.C.; Zhao, W.L.; et al. Molecular targeting of the oncoprotein plk1 in pediatric acute myeloid leukemia: Ro3280, a novel plk1 inhibitor, induces apoptosis in leukemia cells. Int. J. Mol. Sci. 2015, 16, 1266–1292. [Google Scholar] [CrossRef]
- Zeidan, A.M.; Ridinger, M.; Lin, T.L.; Becker, P.S.; Schiller, G.J.; Patel, P.A.; Spira, A.I.; Tsai, M.L.; Samuelsz, E.; Silberman, S.L.; et al. A phase ib study of onvansertib, a novel oral plk1 inhibitor, in combination therapy for patients with relapsed or refractory acute myeloid leukemia. Clin. Cancer Res. Off. J. Am. Assoc. Cancer Res. 2020, 26, 6132–6140. [Google Scholar] [CrossRef]
- Moison, C.; Lavallee, V.P.; Thiollier, C.; Lehnertz, B.; Boivin, I.; Mayotte, N.; Gareau, Y.; Frechette, M.; Blouin-Chagnon, V.; Corneau, S.; et al. Complex karyotype aml displays g2/m signature and hypersensitivity to plk1 inhibition. Blood Adv. 2019, 3, 552–563. [Google Scholar] [CrossRef]
- Ayoub, E.; Heinz Montoya, R.; Mohanty, V.; Walter, W.; Patsilevas, T.; Issa, G.C.; Borthakur, G.; Chen, K.; Konopleva, M.; Navin, N.; et al. Targeting polo-like kinase 4 triggers polyploidy and apoptotic cell death in tp53-mutant acute myeloid leukemia. Blood 2021, 138 (Suppl. S1), 1167. [Google Scholar] [CrossRef]
- Chen, S.; Zhong, L.; Chu, X.; Wan, P.; Liu, Z.; Lu, Y.; Zhang, Z.; Wang, X.; Zhou, Z.; Shao, X.; et al. Downregulation of polo-like kinase 4 induces cell apoptosis and g2/m arrest in acute myeloid leukemia. Pathol. Res. Pract. 2023, 243, 154376. [Google Scholar] [CrossRef] [PubMed]
- Porter, C.C.; Kim, J.; Fosmire, S.; Gearheart, C.M.; van Linden, A.; Baturin, D.; Zaberezhnyy, V.; Patel, P.R.; Gao, D.; Tan, A.C.; et al. Integrated genomic analyses identify wee1 as a critical mediator of cell fate and a novel therapeutic target in acute myeloid leukemia. Leukemia 2012, 26, 1266–1276. [Google Scholar] [CrossRef] [PubMed]
- Chaudhuri, L.; Vincelette, N.D.; Koh, B.D.; Naylor, R.M.; Flatten, K.S.; Peterson, K.L.; McNally, A.; Gojo, I.; Karp, J.E.; Mesa, R.A.; et al. Chk1 and wee1 inhibition combine synergistically to enhance therapeutic efficacy in acute myeloid leukemia ex vivo. Haematologica 2014, 99, 688–696. [Google Scholar] [CrossRef]
- Van Linden, A.A.; Baturin, D.; Ford, J.B.; Fosmire, S.P.; Gardner, L.; Korch, C.; Reigan, P.; Porter, C.C. Inhibition of wee1 sensitizes cancer cells to antimetabolite chemotherapeutics in vitro and in vivo, independent of p53 functionality. Mol. Cancer Ther. 2013, 12, 2675–2684. [Google Scholar] [CrossRef] [PubMed]
- Piedimonte, M.; Ottone, T.; Alfonso, V.; Ferrari, A.; Conte, E.; Divona, M.; Bianchi, M.P.; Ricciardi, M.R.; Mirabilii, S.; Licchetta, R.; et al. A rare bcr-abl1 transcript in philadelphia-positive acute myeloid leukemia: Case report and literature review. BMC Cancer 2019, 19, 50. [Google Scholar] [CrossRef]
- Orsmark-Pietras, C.; Landberg, N.; Lorenz, F.; Uggla, B.; Hoglund, M.; Lehmann, S.; Derolf, A.; Deneberg, S.; Antunovic, P.; Cammenga, J.; et al. Clinical and genomic characterization of patients diagnosed with the provisional entity acute myeloid leukemia with bcr-abl1, a swedish population-based study. Genes Chromosomes Cancer 2021, 60, 426–433. [Google Scholar] [CrossRef]
- La Starza, R.; Trubia, M.; Testoni, N.; Ottaviani, E.; Belloni, E.; Crescenzi, B.; Martelli, M.; Flandrin, G.; Pelicci, P.G.; Mecucci, C. Clonal eosinophils are a morphologic hallmark of etv6/abl1 positive acute myeloid leukemia. Haematologica 2002, 87, 789–794. [Google Scholar]
- Wang, H.P.; He, J.J.; Zhu, Q.Y.; Wang, L.; Li, J.H.; Huang, J.S.; Xie, W.Z.; Zhu, H.H.; Jin, J. Case report: The first report of nup214-abl1 fusion gene in acute myeloid leukemia patient detected by next-generation sequencing. Front. Oncol. 2021, 11, 706798. [Google Scholar] [CrossRef]
- Shah, N.P.; Talpaz, M.; Deininger, M.W.; Mauro, M.J.; Flinn, I.W.; Bixby, D.; Lustgarten, S.; Gozgit, J.M.; Clackson, T.; Turner, C.D.; et al. Ponatinib in patients with refractory acute myeloid leukaemia: Findings from a phase 1 study. Br. J. Haematol. 2013, 162, 548–552. [Google Scholar] [CrossRef]
- Rudat, S.; Pfaus, A.; Cheng, Y.Y.; Holtmann, J.; Ellegast, J.M.; Buhler, C.; Marcantonio, D.D.; Martinez, E.; Gollner, S.; Wickenhauser, C.; et al. Ret-mediated autophagy suppression as targetable co-dependence in acute myeloid leukemia. Leukemia 2018, 32, 2189–2202. [Google Scholar] [CrossRef] [PubMed]
- Barabe, F.; Gil, L.; Celton, M.; Bergeron, A.; Lamontagne, V.; Roques, E.; Lagace, K.; Forest, A.; Johnson, R.; Pecheux, L.; et al. Modeling human mll-af9 translocated acute myeloid leukemia from single donors reveals ret as a potential therapeutic target. Leukemia 2017, 31, 1166–1176. [Google Scholar] [CrossRef] [PubMed]
- Mizuno, S.; Chijiwa, T.; Okamura, T.; Akashi, K.; Fukumaki, Y.; Niho, Y.; Sasaki, H. Expression of DNA methyltransferases dnmt1, 3a, and 3b in normal hematopoiesis and in acute and chronic myelogenous leukemia. Blood 2001, 97, 1172–1179. [Google Scholar] [CrossRef]
- Pappalardi, M.B.; Keenan, K.; Cockerill, M.; Kellner, W.A.; Stowell, A.; Sherk, C.; Wong, K.; Pathuri, S.; Briand, J.; Steidel, M.; et al. Discovery of a first-in-class reversible dnmt1-selective inhibitor with improved tolerability and efficacy in acute myeloid leukemia. Nat. Cancer 2021, 2, 1002–1017. [Google Scholar] [CrossRef] [PubMed]
- Borutinskaite, V.; Bauraite-Akatova, J.; Navakauskiene, R. Anti-leukemic activity of DNA methyltransferase inhibitor procaine targeted on human leukaemia cells. Open Life Sci. 2016, 11, 322–330. [Google Scholar] [CrossRef]
- Ley, T.J.; Ding, L.; Walter, M.J.; McLellan, M.D.; Lamprecht, T.; Larson, D.E.; Kandoth, C.; Payton, J.E.; Baty, J.; Welch, J.; et al. Dnmt3a mutations in acute myeloid leukemia. N. Engl. J. Med. 2010, 363, 2424–2433. [Google Scholar] [CrossRef]
- Russler-Germain, D.A.; Spencer, D.H.; Young, M.A.; Lamprecht, T.L.; Miller, C.A.; Fulton, R.; Meyer, M.R.; Erdmann-Gilmore, P.; Townsend, R.R.; Wilson, R.K.; et al. The r882h dnmt3a mutation associated with aml dominantly inhibits wild-type dnmt3a by blocking its ability to form active tetramers. Cancer Cell 2014, 25, 442–454. [Google Scholar] [CrossRef]
- Spencer, D.H.; Russler-Germain, D.A.; Ketkar, S.; Helton, N.M.; Lamprecht, T.L.; Fulton, R.S.; Fronick, C.C.; O’Laughlin, M.; Heath, S.E.; Shinawi, M.; et al. Cpg island hypermethylation mediated by dnmt3a is a consequence of aml progression. Cell 2017, 168, 801–816.e13. [Google Scholar] [CrossRef]
- Chaudhry, P.; Singh, M.; Triche, T.J.; Guzman, M.; Merchant, A.A. Gli3 repressor determines hedgehog pathway activation and is required for response to smo antagonist glasdegib in aml. Blood 2017, 129, 3465–3475. [Google Scholar] [CrossRef]
- Jamieson, C.; Martinelli, G.; Papayannidis, C.; Cortes, J.E. Hedgehog pathway inhibitors: A new therapeutic class for the treatment of acute myeloid leukemia. Blood Cancer Discov. 2020, 1, 134–145. [Google Scholar] [CrossRef]
- Bixby, D.; Noppeney, R.; Lin, T.L.; Cortes, J.; Krauter, J.; Yee, K.; Medeiros, B.C.; Kramer, A.; Assouline, S.; Fiedler, W.; et al. Safety and efficacy of vismodegib in relapsed/refractory acute myeloid leukaemia: Results of a phase ib trial. Br. J. Haematol. 2019, 185, 595–598. [Google Scholar] [CrossRef] [PubMed]
- Fennell, K.A.; Bell, C.C.; Dawson, M.A. Epigenetic therapies in acute myeloid leukemia: Where to from here? Blood 2019, 134, 1891–1901. [Google Scholar] [CrossRef] [PubMed]
- Mehdipour, P.; Chen, R.; De Carvalho, D.D. The next generation of dnmt inhibitors. Nat. Cancer 2021, 2, 1000–1001. [Google Scholar] [CrossRef] [PubMed]
- Sandoval, J.E.; Ramabadran, R.; Stillson, N.; Sarah, L.; Fujimori, D.G.; Goodell, M.A.; Reich, N. First-in-class allosteric inhibitors of dnmt3a disrupt protein-protein interactions and induce acute myeloid leukemia cell differentiation. J. Med. Chem. 2022, 65, 10554–10566. [Google Scholar] [CrossRef]
- Lyko, F. The DNA methyltransferase family: A versatile toolkit for epigenetic regulation. Nat. Rev. Genet. 2018, 19, 81–92. [Google Scholar] [CrossRef]
- Hollingsworth, S.A.; Dror, R.O. Molecular dynamics simulation for all. Neuron 2018, 99, 1129–1143. [Google Scholar] [CrossRef]
- Grosdidier, A.; Zoete, V.; Michielin, O. Swissdock, a protein-small molecule docking web service based on eadock dss. Nucleic Acids Res. 2011, 39, W270–W277. [Google Scholar] [CrossRef]
- Leung, W.K.; Workineh, A.; Mukhi, S.; Tzannou, I.; Brenner, D.; Watanabe, N.; Leen, A.M.; Lulla, P. Evaluation of cyclin a1-specific t cells as a potential treatment for acute myeloid leukemia. Blood Adv. 2020, 4, 387–397. [Google Scholar] [CrossRef]
- Wilson, S.; McTigue, D.J. Survey of conscious sedation practices in pediatric dentistry advanced residency programs. J. Dent. Educ. 1989, 53, 595–597. [Google Scholar] [CrossRef]
- Aleem, E.; Arceci, R.J. Targeting cell cycle regulators in hematologic malignancies. Front. Cell Dev. Biol. 2015, 3, 16. [Google Scholar] [CrossRef]
- He, H.; Kondo, Y.; Ishiyama, K.; Alatrash, G.; Lu, S.; Cox, K.; Qiao, N.; Clise-Dwyer, K.; St John, L.; Sukhumalchandra, P.; et al. Two unique hla-a*0201 restricted peptides derived from cyclin e as immunotherapeutic targets in leukemia. Leukemia 2020, 34, 1626–1636. [Google Scholar] [CrossRef] [PubMed]
- Martinez-Soria, N.; McKenzie, L.; Draper, J.; Ptasinska, A.; Issa, H.; Potluri, S.; Blair, H.J.; Pickin, A.; Isa, A.; Chin, P.S.; et al. The oncogenic transcription factor runx1/eto corrupts cell cycle regulation to drive leukemic transformation. Cancer Cell 2018, 34, 626–642.e8. [Google Scholar] [CrossRef]
- Yuan, Y.; Pei, J.; Lai, L. Ligbuilder 2: A practical de novo drug design approach. J. Chem. Inf. Model. 2011, 51, 1083–1091. [Google Scholar] [CrossRef]
- Chagas, C.M.; Moss, S.; Alisaraie, L. Drug metabolites and their effects on the development of adverse reactions: Revisiting lipinski’s rule of five. Int. J. Pharm. 2018, 549, 133–149. [Google Scholar] [CrossRef] [PubMed]
- Fürstner, A.; Leitner, A.; Seidel, G. 4-nonylbenzoic acid. Org. Synth. 2005, 81, 33. [Google Scholar]
- Yu, H.; Ru, S.; Dai, G.; Zhai, Y.; Lin, H.; Han, S.; Wei, Y. An efficient iron(iii)-catalyzed aerobic oxidation of aldehydes in water for the green preparation of carboxylic acids. Angew. Chem. Int. Ed. 2017, 56, 3867–3871. [Google Scholar] [CrossRef]
- Dai, P.-F.; Qu, J.-P.; Kang, Y.-B. Organocatalyzed aerobic oxidation of aldehydes to acids. Org. Lett. 2019, 21, 1393–1396. [Google Scholar] [CrossRef] [PubMed]
- Saisaha, P.; Buettner, L.; van der Meer, M.; Hage, R.; Feringa, B.L.; Browne, W.R.; de Boer, J.W. Selective catalytic oxidation of alcohols, aldehydes, alkanes and alkenes employing manganese catalysts and hydrogen peroxide. Adv. Synth. Catal. 2013, 355, 2591–2603. [Google Scholar] [CrossRef]
- Kar, S.; Milstein, D. Oxidation of organic compounds using water as the oxidant with H2 liberation catalyzed by molecular metal complexes. Acc. Chem. Res. 2022, 55, 2304–2315. [Google Scholar] [CrossRef]
- Neises, B.; Steglich, W. Simple method for the esterification of carboxylic acids. Angew. Chem. Int. Ed. Engl. 1978, 17, 522–524. [Google Scholar] [CrossRef]
- Han, S.-Y.; Kim, Y.-A. Recent development of peptide coupling reagents in organic synthesis. Tetrahedron 2004, 60, 2447–2467. [Google Scholar] [CrossRef]
- Valeur, E.; Bradley, M. Amide bond formation: Beyond the myth of coupling reagents. Chem. Soc. Rev. 2009, 38, 606–631. [Google Scholar] [CrossRef] [PubMed]
- Tatum, N.J.; Endicott, J.A. Chatterboxes: The structural and functional diversity of cyclins. Semin. Cell Dev. Biol. 2020, 107, 4–20. [Google Scholar] [CrossRef] [PubMed]
- Fagundes, R.; Teixeira, L.K. Cyclin e/cdk2: DNA replication, replication stress and genomic instability. Front. Cell Dev. Biol. 2021, 9, 774845. [Google Scholar] [CrossRef]
- Petrelli, A.; Valabrega, G. Multitarget drugs: The present and the future of cancer therapy. Expert Opin. Pharmacother. 2009, 10, 589–600. [Google Scholar] [CrossRef]
- Tang, J.; Aittokallio, T. Network pharmacology strategies toward multi-target anticancer therapies: From computational models to experimental design principles. Curr. Pharm. Des. 2014, 20, 23–36. [Google Scholar] [CrossRef]
- Short, N.J.; Konopleva, M.; Kadia, T.M.; Borthakur, G.; Ravandi, F.; DiNardo, C.D.; Daver, N. Advances in the treatment of acute myeloid leukemia: New drugs and new challenges. Cancer Discov. 2020, 10, 506–525. [Google Scholar] [CrossRef] [PubMed]
- Challapalli, V.; Tremont-Lukats, I.W.; McNicol, E.D.; Lau, J.; Carr, D.B. Systemic administration of local anesthetic agents to relieve neuropathic pain. Cochrane Database Syst. Rev. 2005, 2005, CD003345. [Google Scholar]
- Wilson, N.R.; Pemmaraju, N. How to treat adult acute myeloid leukemia: An evolving paradigm. JACC. CardioOncol. 2021, 3, 747–751. [Google Scholar] [CrossRef]
- Riber, L.P.; Christensen, T.D.; Jensen, H.K.; Hoejsgaard, A.; Pilegaard, H.K. Amiodarone significantly decreases atrial fibrillation in patients undergoing surgery for lung cancer. Ann. Thorac. Surg. 2012, 94, 339–344; discussion 345–346. [Google Scholar] [CrossRef]
- Begley, C.G.; Ashton, M.; Baell, J.; Bettess, M.; Brown, M.P.; Carter, B.; Charman, W.N.; Davis, C.; Fisher, S.; Frazer, I.; et al. Drug repurposing: Misconceptions, challenges, and opportunities for academic researchers. Sci. Transl. Med. 2021, 13, eabd5524. [Google Scholar] [CrossRef] [PubMed]
- Schneider, P.; Walters, W.P.; Plowright, A.T.; Sieroka, N.; Listgarten, J.; Goodnow, R.A., Jr.; Fisher, J.; Jansen, J.M.; Duca, J.S.; Rush, T.S.; et al. Rethinking drug design in the artificial intelligence era. Nat. Rev. Drug Discov. 2020, 19, 353–364. [Google Scholar] [CrossRef] [PubMed]
- Sadybekov, A.V.; Katritch, V. Computational approaches streamlining drug discovery. Nature 2023, 616, 673–685. [Google Scholar] [CrossRef] [PubMed]








| Drug | Description-Initial İndication | Protein Target | Effect of Protein Target in IN AML | Drug Repurposing Potential for AML (Type of Data) |
| Amiodarone | a class III antiarrhythmic for the treatment of recurrent hemodynamically unstable ventricular tachycardia and recurrent ventricular fibrillation. | CACNB2 | ND | YES (in vitro) [73]. |
| CACNB4 | ||||
| PPARA |
| |||
| Artenimol | active metabolite of artemisinin and antimalarial agent for the treatment of uncomplicated Plasmodium falciparum infections | FLNA | YES (in vitro) [79,80,81]. | |
| RPS8 | ||||
| Fostamatinib | tyrosine kinase inhibitor, for the treatment of chronic immune thrombocytopenia after attempting one other treatment. | INSR | YES (in vitro, in patient) [85,86]. | |
| KIT | KIT-D816 mutations are associated with poor prognosis for AML1-ETO-positive AML patients [87]. | |||
| PLK1 |
| |||
| PLK4 | ||||
| WEE1 | ||||
| Ponatinib | kinase inhibitor, for the treatment of various types of CML and Philadelphia chromosome–positive acute lymphoblastic leukaemia | ABL1 |
| YES (clinical trial) Ponatinib showed clinical activity in AML patients with FLT3-ITD in a small phase I study. Regimen optimization and testing in larger cohorts is required [100]. |
| RET |
| |||
| Procaine | local anesthetic, used for peripheral and spinal nerve block | DNMT1 | YES (in vitro) [105] | |
| DNMT3A |
| |||
| Vismodegib | hedgehog pathway inhibitor, for treatment of locally advanced or metastatic basal cell carcinoma | SMO | Equivocal (In a phase Ib clinical trial, vismodegib monotherapy was well-tolerated but had minimal clinical efficacy as a monotherapy in patients who had received prior treatments [111]. |
Disclaimer/Publisher’s Note: The statements, opinions and data contained in all publications are solely those of the individual author(s) and contributor(s) and not of MDPI and/or the editor(s). MDPI and/or the editor(s) disclaim responsibility for any injury to people or property resulting from any ideas, methods, instructions or products referred to in the content. |
© 2024 by the authors. Licensee MDPI, Basel, Switzerland. This article is an open access article distributed under the terms and conditions of the Creative Commons Attribution (CC BY) license (https://creativecommons.org/licenses/by/4.0/).
Share and Cite
Asfa, S.S.; Arshinchi Bonab, R.; Önder, O.; Uça Apaydın, M.; Döşeme, H.; Küçük, C.; Georgakilas, A.G.; Stadler, B.M.; Logotheti, S.; Kale, S.; et al. Computer-Aided Identification and Design of Ligands for Multi-Targeting Inhibition of a Molecular Acute Myeloid Leukemia Network. Cancers 2024, 16, 3607. https://doi.org/10.3390/cancers16213607
Asfa SS, Arshinchi Bonab R, Önder O, Uça Apaydın M, Döşeme H, Küçük C, Georgakilas AG, Stadler BM, Logotheti S, Kale S, et al. Computer-Aided Identification and Design of Ligands for Multi-Targeting Inhibition of a Molecular Acute Myeloid Leukemia Network. Cancers. 2024; 16(21):3607. https://doi.org/10.3390/cancers16213607
Chicago/Turabian StyleAsfa, Seyedeh Sadaf, Reza Arshinchi Bonab, Onur Önder, Merve Uça Apaydın, Hatice Döşeme, Can Küçük, Alexandros G. Georgakilas, Bernhard M. Stadler, Stella Logotheti, Seyit Kale, and et al. 2024. "Computer-Aided Identification and Design of Ligands for Multi-Targeting Inhibition of a Molecular Acute Myeloid Leukemia Network" Cancers 16, no. 21: 3607. https://doi.org/10.3390/cancers16213607
APA StyleAsfa, S. S., Arshinchi Bonab, R., Önder, O., Uça Apaydın, M., Döşeme, H., Küçük, C., Georgakilas, A. G., Stadler, B. M., Logotheti, S., Kale, S., & Pavlopoulou, A. (2024). Computer-Aided Identification and Design of Ligands for Multi-Targeting Inhibition of a Molecular Acute Myeloid Leukemia Network. Cancers, 16(21), 3607. https://doi.org/10.3390/cancers16213607

