Abstract
A series of Mn0.15Fe0.05/fly-ash catalysts have been synthesized by the co-precipitation method using coal fly ash (FA) as the catalyst carrier. The catalyst showed high catalytic activity for low-temperature selective catalytic reduction (LTSCR) of NO with NH3. The catalytic reaction experiments were carried out using a lab-scale fixed-bed reactor. De-NOx experimental results showed the use of optimum weight ratio of Mn/FA and Fe/FA, resulted in high NH3-SCR (selective catalytic reduction) activity with a broad operating temperature range (130–300 °C) under 50000 h−1. Various characterization methods were used to understand the role of the physicochemical structure of the synthesized catalysts on their De-NOx capability. The scanning electron microscopy, physical adsorption-desorption, and X-ray photoelectron spectroscopy showed the interaction among the MnOx, FeOx, and the substrate increased the surface area, the amount of high valence metal state (Mn4+, Mn3+, and Fe3+), and the surface adsorbed oxygen. Hence, redox cycles (Fe3+ + Mn2+ ↔ Mn3+ + Fe2+; Fe2+ + Mn4+ ↔ Mn3+ + Fe3+) were co-promoted over the catalyst. The balance between the adsorption ability of the reactants and the redox ability can promote the excellent NOx conversion ability of the catalyst at low temperatures. Furthermore, NH3/NO temperature-programmed desorption, NH3/NO- thermo gravimetric-mass spectrometry (NH3/NO-TG-MS), and in-situ DRIFTs (Diffuse Reflectance Infrared Fourier Transform Spectroscopy) results showed the Mn0.15Fe0.05/FA has relatively high adsorption capacity and activation capability of reactants (NO, O2, and NH3) at low temperatures. These results also showed that the Langmuir–Hinshelwood (L–H) reaction mechanism is the main reaction mechanism through which NH3-SCR reactions took place. This work is important for synthesizing an efficient and environmentally-friendly catalyst and demonstrates a promising waste-utilization strategy.
    1. Introduction
Coal, as a fuel, has played a vital role in the development of the world’s economy. Coal fly ash production resulting from coal combustion is ecologically problematic, and every year millions of tons of fly ash are produced []. Also, the emission of environmentally harmful gases, e.g., NOx, has been a global concern, where coal combustion is responsible for most of the emissions. In 2017, the NOx emissions of China alone reached 12.59 million tons, with 67.6% from stationary sources (China Statistical Yearbook 2019). High concentrations of NOx gases in the atmosphere is environmentally problematic, which is directly responsible for photochemical smog, ozone deterioration, and acid rain [,]. With the implementation of strict environmental policies, the NOx emissions of coal-fired power plants have been limited to 100 mg·m−3 (GB13223-2011). Other factories like steel refineries (GB28662-2012) and cement plants (GB4915-2013) are limited to 300 mg·m−3, while glass factories get 700 mg·m−3 (GB26453-2011). 
Currently, selective catalytic reduction by NH3 (NH3-SCR) is a developed and effective technology studied for many years. Typically, NH3-SCR catalysts contain a mixture of metal ions, and V-W (Mo)/Ti catalyst is the most efficient commercial SCR catalyst []. The catalyst unit is usually placed upstream of the electrostatic precipitator (ESP) and desulfurization unit because of its high operating temperature (300–400 °C). This placement shortens the catalyst’s life due to poisoning by fly ash and sulfur dioxide present in the flue gas. This issue has been addressed by placing the catalyst downstream the ESP and desulphurization unit. While the temperatures in the downstream unit are significantly below the activation temperature of the commercial catalyst (V-W (Mo)/Ti), the way to mitigate this issue is either by pre-heating the flue gas or by changing the tail system, which is a significant financial burden []. Therefore, there is the necessity for an efficient and environmentally-friendly catalyst, which has a low-temperature activation (<200 °C) that can effectively be placed downstream of the ESP and desulfurization unit.
Until recent years, transition metals have gained considerable attention for their excellent catalytic property. Mn-based catalysts have attracted significant attention due to their great low-temperature De-NOx capability and the diversity of valence states [,]. However, the introduction of another transition metal could further increase the NH3-SCR ability at low temperatures, such as the combination of manganese and iron. Many studies have used the hydrothermal impregnation method to synthesize catalysts with special morphological structure, such as Fe-OMS-2 with a uniform nanowire morphology [], MnFe-MOF-74 [], MnOx-FeOx nanoneedles [], MnFe nanowire [], MnFeOx nanorod [], MnCeFeTiOx microsphere, and MnFeOx-MOFs []. Some other studies have coprecipitated Mn-Fe into different commercial carriers [,,,,], such as FeMnTiOx [], Mn-Fe/TiO2 [], Fe-Mn/SBA-15 [], and Mn-Fe@ceramics []. These catalysts can achieve a maximum NOx conversion of 86.8% at 210 °C. Furthermore, López-Hernández et al. [] prepared a series of Mn-Fe catalysts loaded on different carriers and found that the activity of the catalysts is highly dependent on the structure and acidity of the carriers. Therefore, the carrier selected is of high importance, influencing the performance of the catalyst. However, there are still some setbacks for SCR technology: They are expensive, time-consuming, and complex.
In recent years, the accumulation of large quantities of FA has caused significant ecological challenges; every year, 800 million tons of FA is produced worldwide []. In China, about 67% of FA is used in various industries. The remaining FA is mostly disposed of under the dams during construction, threatening living organisms []. Thus, a safe and cost-effective technique is vital to utilize excess FA. Value-added products are among the best strategies researchers have been employing to convert FA into high-value materials [], such as arsenic adsorbent [] and wastewater treatment agents []. Chen et al. [] synthesized a catalyst by loading Mn-Ce oxides on pretreated-FA, which had an operating temperature range of 200–300 °C. Li et al. [] used FA to produce a molecular sieve (SBA-15) and then used the impregnation method to synthesis Fe-Mn/SBA-15 catalyst, which possessed an excellent De-NOx activity in the temperature range of 180–300 °C []. In another study, the authors used the co-precipitation method to load Mn-Ce onto a carrier composed of a mixture of FA and Ca-based bentonite to synthesize a catalyst that could adsorb and reduce NO at 60% for 18 min. Cui et al. [] used sulfuric acid to activate fly ash as a silica-based sulfuric acid catalyst, which could achieve SO2 and NO removal by H2O2 gas. Although significant research efforts have been focused on the utilization of FA as De-NOx catalyst, the literature still lacks an intuitive, cost-effective, and environmentally-friendly catalyst with excellent catalytic performance.
From the economic point of view, and based on the previous studies, we present an intuitive one-step co-impregnation method to prepare a group of MnxFey/FA catalysts with excellent NH3-LTSCR efficiency. This catalyst could solve two of the most important setbacks of coal combustion, where the produced waste FA, after simple treatment, could be used to remove NOx from flue gas emissions through a straightforward, environmentally-friendly and cost-effective synthesis method. Also, the catalytic performance and reaction pathways were determined by various characterization methods.
2. Results and Discussion
2.1. The Morphology and Structure of Catalysts
The physical structure of the catalysts was studied by SEM technique and the N2 physisorption analysis. The results are given in Figures S1 and S2 (summarized in Table 1). These results correlate to a great extent. From the SEM images (Figure S1) of the various catalysts, a large number of debris or/and cracks can be observed on the surface. FA had a smooth surface with minimum irregularities resulting in low surface area (7.7 m2·g−1) and total pore volume (0.1 cm3·g−1). Fe0.10/FA had larger openings or holes on the surface. Its surface area and total pore volume reached 35.8 m2·g−1 and 0.1 cm3·g−1, respectively. The presence of micro-particles on Mn0.15/FA surface resulted in a high surface area value of 78.0 m2·g−1. For MnxFe0.10/FA, when the loading amount of Mn was lower than 0.15, more pores were observed. However, when Mn content was further increased to 0.20, dense and bonding pores were formed. For Mn0.15Fey/FA, when the loading amount of Fe/FA was lower than 0.1, less porous structures were formed. The increase of FeOx led to the formation of a highly porous structure. In comparison, the surface morphology of Mn0.15Fe0.05/FA varied significantly with the growth of numerous screw-like structures appearing on the surface, as shown in Figure S1g, resulting in a high surface area value of 91.6 m2·g−1 and a total pore volume of 0.15 cm3·g−1. The interaction between MnOx, FeOx, and the carrier changes the micro-morphology and the physical structure of the samples [,].
 
       
    
    Table 1.
    Surface species and physical properties of MnxFey/FA samples.
  
The N2 physisorption analysis was used to understand the change of the physical structure of the catalysts caused by metal oxides. The N2 adsorption/desorption isotherms of different samples are given in Figure S2. Notably, the curves of all samples are following the type IV isotherms with type H3 hysteresis loops, which corresponds to the micro- and mesoporous structure [,]. The presence of micro- and mesoporous structure is evident in Figure S2, indicating that the majority of the pores have an opening pore diameter of 6 nm. The main factor contributing to the formation of these micro- and mesoporous structures is the diffusion of iron oxides and manganese oxide into the lattice of the carrier during the calcination process []. These mesoporous materials provide abundant active sites for the adsorption of reactants, which facilitates the mass transfer process at the gas-solid phase boundary []. Efficient mass transfer plays a vital role during the bulk reaction and lowering the energy required for the NH3-SCR reaction. The N2 desorption capacity of all samples followed the order of Mn0.15Fe0.05/FA > Mn0.15/FA > Fe0.10/FA > FA. It is evident that, with the doping of metal oxide, the internal structure of samples became more copious than that of the FA, and the larger specific surface area of Mn0.15Fe0.05/FA provides more active sites than others.
2.2. Catalytic Reactivity during Low-Temperature SCR Reactions
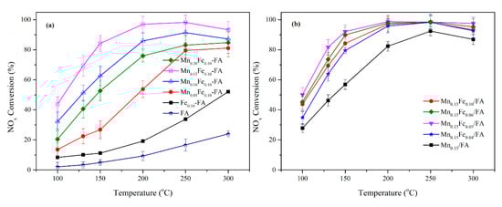
Figure 1 shows the catalytic activities of MnxFey/FA catalysts at different temperatures. Where x is the weight ratio of Mn to FA, and y is the weight ratio of Fe to FA. The activity of Fe0.10/FA by Mn doping with “x” ranging from 0.05 to 0.2 at a GHSV of 50,000 h−1 is shown in Figure 1a. The as-obtained FA showed a weak De-NOx activity at the designed experimental temperatures, with the highest De-NOx efficiency of ∼23.95% recorded at 300 °C. This is due to the natural structure and surface property of FA [], which will be demonstrated in the following sections. After the addition of Fe (weight ratio of 0.10), slightly higher De-NOx activity was recorded. These results indicate that the introduction of Fe did not contribute much to the De-NOx activity of Fe0.10/FA. However, the introduction of Mn into Fe0.10/FA notably improved its SCR activity, and the graphed NOx conversion data of all the samples show a “volcanic” shape (Figure 1a). As the ratio of Mn was increased to 0.15, De-NOx activity increased, and further addition of Mn led to a decrease in conversion efficiency. De-NOx efficiency of different samples increased as follows: FA < Fe0.10/FA < Mn0.05Fe0.10/FA < Mn0.20Fe0.10/FA < Mn0.10Fe0.10/FA < Mn0.15Fe0.10/FA. The temperature range in which the NOx conversion efficiency reaches 80% (T80) was considered as a primary indicator, and when conversion efficiency has reached 50% (T50), that temperature is considered as the activation temperature of NH3-SCR activity. Among these samples, the catalytic activity of Mn0.15Fe0.10/FA shows high conversion efficiency, with the lowest T50 at 108 °C and the broadest T80 at 145–300 °C. Indicating that Mn0.15Fe0.10/FA exhibits great potential as an LTSCR catalyst (100–250 °C), and the mass ratio of Mn/FA was fixed at 0.15.

 
      
    
    Figure 1.
      NOx Conversion during the NH3-SCR process over MnxFe0.10/FA with different Mn content (x = 0, 0.05, 0.10, 0.15, and 0.20) (a) and Mn0.15Fey/FA with different Fe content (y = 0, 0.04, 0.05, 0.06, and 0.10) (b); and the stability of the Mn0.15Fe0.05/FA catalyst at 200 °C (c). Experimental conditions: 1000ppm of NO, 1000pp of NH3, 5 vol.% O2 and N2 as the balance gas, GHSV of 50,000 h−1.
  
Then, the ratio of FeOx in the Mn0.15Fey/FA catalyst was varied and optimized to improve its efficiency and obtain the most efficient LTSCR catalyst. The De-NOx activity of Mn0.15Fey/FA is given in Figure 1b. Compared with Mn0.15/FA, the NOx efficiency of all catalysts was further improved at the desired temperatures (100–300 °C). The conversion efficiency improved as the Fe content increased to 0.05, and then declined with a further increase in the ratio of Fe. The best activity was obtained from the Mn0.15Fe0.05/FA during the whole operating temperature range, which has the lowest T50 (100 °C) and the broadest T80 (130–300 °C). Moreover, over 90% of NOx conversion was obtained between 147 and 300 °C. The final weight ratio of FeOx (0.05) and MnOx (0.15) achieved a high catalytic activity. In comparison (Table 2), the Mn0.15Fe0.05/FA has been successfully synthesized by a straightforward method. The stability results of the catalyst are shown in Figure 1c. It can be seen that after 4 hours and three cycles, the Mn0.15Fe0.05/FA catalyst exhibited excellent stability with long stable catalytic activity and good regenerability.
 
       
    
    Table 2.
    Summary of typical MnFeOx oxide catalysts used for the NH3-SCR process.
  
2.3. Reaction Mechanism Analysis
2.3.1. Surface Chemical States
The XRD (X-ray Diffraction) results of the MnxFey/FA catalysts are shown in Figure S3. For FA, only the diffraction peaks of SiO2 and weaker Fe2O3 were observed. As different ratios of Mn and Fe oxide were doped, no additional peaks besides those of FA were detected. However, ICP-OES (Inductively Coupled Plasma Optical Emission spectroscopy) results (Table 1) show that the mass content of Fe and Mn within all samples is approximately equal to the calculated values, which indicates that the added metal oxide is present in the catalyst. XRD results also showed that the intensity of peaks and the average crystal size assigned to SiO2 decreased with Mn and Fe doping, and the peak of SiO2 slightly shifted towards lower 2θ values. The average crystal size of SiO2 was calculated based on the diffraction peak (1,0,0) according to the Scherrer formula (Table 1). These results indicated that the presence of defective lattice and a decrease in the crystalline size of SiO2, which were caused by the introduction of Mn and Fe oxide. This result also shows the strong interaction between FeOx/MnOx and the carrier. The defective lattice and the interaction between metal oxides and the carrier led to a more unbalance charge state and oxygen vacancy, providing abundant active sites during the SCR process and contributing to the higher NO conversion ability of the catalyst [].
The valence state of the added metals is of significant importance in the SCR reaction. To further examine the surface chemical states and the types of ion species over catalysts, XPS (X-ray photoelectron spectroscopy) measurement of Fe 2p, Mn 2p, and O 1s in fresh catalysts were conducted (Table 1). The results indicate that the surface concentration of Mn is slightly higher than that in bulk catalysts (from the ICP-OES results), while the concentration of Fe shows the opposite phenomenon. This indicates that Fe could promote the enrichment of Mn on the surface, providing more active sites during low-temperature De-NOx by NH3. The recorded spectra of different elements were fitted into multiple sub-bands according to the multivalent oxide species on the surface by Gaussian-Lorentz fitting of XPS Peak 4.1, and examples of a peak-fitted graph are given in Figure S4. The relative atomic ratios of different elemental states are listed in Table 3.
 
       
    
    Table 3.
    The surface elemental concentration of catalysts by XPS analysis.
  
The overlapped Mn 2p peaks were deconvoluted into three pairs of peaks. The fitted peaks are assigned to Mn4+ (643.58 and 654.71 eV), Mn3+ (642.26 and 653.6 eV), and Mn2+ (641.21 and 652.5 eV). Figure S4a shows that three valence states of Mn species within the series of MnxFey/FA vary significantly with different ratios of MnOx and FeOx. It was found that the ratio of Mn4+/Mnn+ first increased and then decreased, and the ratio of Mn3+/Mnn+ slightly increased as the ratios of MnOx and FeOx increased. Mn0.15Fe0.05/FA has the highest ratio of Mn4+/Mnn+ value (39.59%) and a high ratio of Mn3+/Mnn+ (48.38%) within all samples. Among the catalysts, most of the Mn exists at high valence states (Mn3+, Mn4+), which is caused by the oxidation of lower valence state (Mn2+) contemporary leading to an electronic transfer, such as Mn4+ ↔ Mn3+ ↔ Mn2+. The order of the LTSCR activity from high to low is as follows: MnO2 > Mn5O8 > Mn2O3 > Mn3O4 > MnO []. Furthermore, Mn has a high self-redox tendency leading to the formation of a large amount of higher valence state MnOx []. Many studies have indicated that Mn4+ is the main factor in promoting the oxidation of NO to NO2 during LTSCR. The co-existence of NO2 and NH3 in one circle can promote the LTSCR process through “fast reaction” []:
		  
      
      
      
    
        4NH3 + 2NO2 + O2 → 3N2 + 6H2O.
      
      The Fe 2p spectra were deconvoluted into different valence states of Fe: Fe3+ (~725.1 and ~711.8 eV), Fe2+ (~723.5 and 710.1), and the satellite peak located at 718.5 eV []. Table 3 shows that most Fe species exist in the valence state of Fe3+. With the addition of MnOx into Fe0.10/FA, the ratio of Fe3+/Fe increased first and then decreased when the value of Mn/FA was higher than 0.15. However, when FeOx was added to Mn0.15/FA, the ratio of Fe3+/Fe also increased. This phenomenon indicates that the ratio of Mn/Fe is a critical factor in determining the catalytic capability of a catalyst during LTSCR reactions, and the optimum ratio of Mn/Fe could promote the cycle of redox as follows:
      
      
      
    
      
      
      
    
        Fe3+ + Mn2+ ↔ Mn3+ + Fe2+
      
      
        Fe2+ + Mn4+ ↔ Mn3+ +Fe3+.
      
      The transfer of electrons creates an unbalanced charge and underfilled chemical bonds, making it easier to produce oxygen vacancies and highly mobile oxygen. Highly mobile oxygen that is chemically adsorbed on the surface is one of the critical active species during the NH3-SCR reaction [].
The O 1s spectra were fitted with three sub-peaks []. The peak at ~529.9 eV represents the lattice oxygen (named as ). Defective metal-oxide (~531.4 eV) and chemisorbed water (~532.7 eV (OH− or H2O)) [,] are assigned to the chemically absorbed oxygen species on the surface (). Table 3 shows that the chemically absorbed oxygen is the main form of oxygen species and is more reactive due to higher mobility, lower bonding energy to the surface, and a higher tendency to form NO2 by oxidizing NO; which could promote “fast reaction” []. Furthermore, chemically adsorbed oxygen can activate oxygen gas [], providing sufficient active oxygen species, ensuring fast recovery from low-state metal ion: Mn3+ + 0.5O2 →Mn4+ + O2−, Fe2+ + 0.5 O2→ Fe3+ + O2− [], which facilitate the excellent LTSCR.
Among all the synthesized catalysts, the active components within Mn0.15Fe0.05/FA possess the lowest energy value (Table S1), caused by high electron cloud density. This phenomenon may have been caused by two factors: (i) The interaction between Mn and Fe could increase the redox cycle ability, which is significantly vital to activate the reactant; (ii) the co-existence of active metal species with a different state could provide unsaturated and unbalanced chemical bonds, which enhances NOx removal []. Mn0.15Fe0.05/FA also has a high ratio of Oα/Ot, acting as an active site for NH3 adsorption to form. The high valence state metal (Mn4+, Mn3+ and Fe3+) provides active sites for the reactant adsorption and activation and promotes the redox cycle combined with active oxygen species explains the excellent NH3-SCR activity of Mn0.15Fe0.05/FA.
2.3.2. Reducibility for the Low-Temperature Activity
The existence of active species with different valence states within catalyst promotes the oxidation/reduction cycle proven by XPS results (Table 3). Thus, the redox property is an important index to evaluate the De-NOx ability of the catalyst. The H2-TPR experiments were performed to examine the reducibility of different catalysts (Figure 2a,b). The H2-TPR curve of FA had a broad peak at around 400–650 °C, attributed to the reduction of FeOx inherently present in FA []. When metal oxides were added, the intensity of this peak increased gradually and shifted to a higher temperature. This result is caused by electronic transfer and healthy interaction between metal oxides and carrier, as indicated by XRD results that the metal oxide was doped into the SiO2 crystal structure. Fe0.10/FA produced two main peaks at around 419 and 572 °C that were associated with the reduction of Fe2O3 to Fe3O4, and Fe3O4 to FeO [], respectively. Three peaks ((α) 332, (β) 429, and (δ) 488 °C) appeared in Mn0.15/FA curve (Figure 2b), responsible for the reduction of the manganese oxide species []. All bimetal oxides containing catalysts produced peaks in three zones and were denoted as α, β, and δ, respectively. Based on a previous study [], these zones were assigned to MnO2 → Mn2O3 (α), Mn2O3 → Mn3O4, Fe2O3 → Fe3O4 (β), Mn3O4 → MnO, and Fe3O4 → FeO (δ).
 
      
    
    Figure 2.
      Profiles of H2-TPR (a), NH3-TPD (c), and NO-TPD (e) of MnxFe0.10/FA (x = 0, 0.05, 0.15 and 0.20); and H2-TPR (b), NH3-TPD (d), and NO-TPD profiles (f) of Mn0.15Fey/FA (y = 0, 0.05 and 0.10).
  
The primary objective of this work is to understand the reducibility of NOx by the catalysts at lower temperatures. Therefore, the first two zones were considered (Figure 2a,b). Furthermore, semi-quantitative H2-TPR analysis was conducted by calculating the peak area, and the results are given in Figure 3. For MnxFey/FA, the onset of reduction shifts to lower temperatures increasing the peak area of all peaks with the addition of MnOx or FeOx. This phenomenon is caused by the interaction of MnOx, FeOx, and the carrier within the catalysts. Figure 3 shows that with the increase in MnOx or FeOx concentration, the peak area responsible for low-temperature reducibility (α) gradually increased. Mn0.15Fe0.10/FA and Mn0.15Fe0.05/FA have the best De-NOx activity within the series of the MnxFe0.10/FA and the Mn0.15Fey/FA, respectively. These two catalysts have medium reducibility. Therefore, the medium reducibility of Mn0.15Fe0.05/FA is an essential factor contributing to its outstanding De-NOx activity.
 
      
    
    Figure 3.
      The peak area of NO/NH3-TPD and H2-TPR on different catalysts.
  
Generally, the adsorption of gas reactants is the first step for a gas-solid reaction. Furthermore, SCR reactions are well established to be involved in both redox and adsorption active sites. To examine the NH3 and NO adsorption and activation ability of the catalyst, temperature program desorption, in-situ DRIFTs, and TG-MS techniques were used.
2.3.3. The Adsorption and Desorption Behavior of NH3/NO
The surface acid property of the catalyst is highly essential for NH3 adsorption on acidic sites. This is the first step of the NH3-SCR reaction. Thus, the strength and number of acidic sites were calculated by NH3-TPD technology. Figure 2c,d shows that all the NH3 desorption profiles showed one broad peak, including two desorption processes []: (1) NH3 desorption by weak acid sites (100–200 °C) and (2) NH3 desorption peak (200–400 °C) attributed to medium acid sites. The peak area allows for a semi-quantitative understanding of acid sites, and the results are shown in Figure 3. The carrier can provide a small number of acid sites because FeOx is inherently present in FA. For all catalysts, the total acidic sites of Fe0.10/FA is the lowest but is the highest for Mn0.15/FA. However, bimetal-containing catalysts have similar total acidic sites. Mn0.15Fe0.05/FA has a slightly lower number of weak acidic sites, but it has the highest de-NOx activity. It can be concluded from this result that mediocre surface acid property is just one of the factors influencing De-NOx activity because excess and heavy adsorption of NH3 could have an inhibitory effect for De-NOx efficiency [].
Figure 2e,f shows the temperature-programmed desorption of NOx to test the adsorption capacity of NO. All samples present a broad desorption peak at the temperature range of 50–400 °C. This temperature range can be divided into two segments: (1) At temperatures lower than 250 °C which is the desorption of physisorbed NO and disintegration of unstable nitrite species occurs, and (2) temperatures higher than 250 °C represents NO2 desorption due to the decomposition of stable thermal nitrates, such as bridged nitrate or bidentate bitrate that have high thermal stability []. The area of desorption peak could represent the semi-quantitative amount of NOx species, and the results are shown in Figure 3. For all catalysts, the desorption amount of NO and NO2 increased with MnOx addition. In contrast, the desorption amount of NO increased and then decreased as the concentration of FeOx increased; the desorption amount of NO2 increased continuously. Therefore, it can be concluded that the balance between the adsorption of reactants (NH3 and NOx) and the redox ability of metal oxide plays a significant role in LTSCR.
To further investigate the decomposition characteristics of surface adsorbed species over Mn0.15Fe0.05/FA, the pre-adsorbed catalyst with NH3 was studied with TG-MS (Figure S5). TG thermograms (Figure S5a) show a slight weight loss caused merely by the desorption of gas because the sample was calcinated at 500 °C for 3 h. Mn0.15Fe0.05/FA can readily adsorb NH3 at 50 °C, and then release NH3 species during the entire heating process, including NH3, NH2, NH4+, and N2O. When the temperature increased, the NH3 was released. Because some of the NH3 was physically adsorbed and/or weakly chemically adsorbed on the Lewis acid sites, nevertheless, some ammonia species are chemically adsorbed on the active sites of Mn0.15Fe0.05/FA and can be activated by surface oxygen, such as surface oxygen, which can dehydrogenate NH3 and form intermediate surface species (−NH2) []. The activated amide (−NH2) groups have been a critical intermediate species because they can react with activated NO to form NH2NO, which further decomposes to form N2 and H2O, favoring the conversion of NOx []. NH4+ was formed by chemically adsorbed NH3 on the Brønsted acid sites. The results also showed that the formation of N2O due to the side reaction (4NH3 + 4O2 → 2N2O + 6H2O). The formation of a large amount of N2O at 250 °C is the most important factor limiting the De-NOx capability of Mn0.15Fe0.05/FA at this temperature. All of the activated ammonia species act as an excellent intermediate during the SCR process [].
Figure S6a shows the result of a mass change of pre-adsorbed NO on Mn0.15Fe0.05/FA, and the desorbed species were recorded by TG-MS (Figure S6b–d), such as H2O, NO, and NO2. The TG thermogram (Figure S6a) shows two weight loss stages. The first stage at around 100 °C was assigned to dehydration and was recorded by MS (Figure S6b). The NO was released during all the weight loss stages, which the weakly adsorbed NO was released on the catalyst surface (Figure S6c). NO2 was disrobed in the second stage (Figure S6d), which was caused by gaseous NO reacting with the surface chemical oxygen to produce NO2 over Fen+ and Mnn+ sites at a lower temperature [,], and promotes the De-NOx activity by “fast reaction”. This reaction pathway is one of the reasons Mn0.15Fe0.05/FA has an excellent low-temperature activity.
2.3.4. In-Situ DRIFT Analysis
SCR catalytic performance is highly dependent on the adsorption capability of the catalyst. Gases such as O2, NO, and NH3 are primary participants during SCR reaction. The adsorption capability of the catalyst was discussed in detail in the previous section. However, it is essential to understand the reactions occurring on the surface of the catalyst after the adsorption of primary participants. To understand the mechanism of the reactions on the surface of Mn0.15Fe0.05/FA catalyst by adsorption and reaction of reactants at active sites, the intermediates, and adsorbed species, four different experiments were conducted using the in-situ DRIFT at 150 °C: (1) NH3 adsorption; (2) NO + O2 adsorption; (3) the reaction of NO + O2 with pre-adsorbed NH3; and (4) the reaction of NH3 with pre-adsorbed NO + O2.
The NH3 adsorption spectra are given in Figure 4a. Several peaks appeared immediately when the NH3 was introduced into the reaction cell after 1 min, such as 1621, 1405, 1349, 1229, 966, and 929 cm−1. This phenomenon shows that Mn0.15Fe0.05/FA catalyst has a strong surface acidity, which can make NH3 readily adsorbed and then facilitate the De-NOx reaction. During the 30 min adsorption of NH3, many adsorption peaks gradually increased in intensity. Studies show that these peaks can be divided into four groups: (1) The strong bands centered at 1621, 1270, 1227, and 1086 cm−1 were assigned to symmetric-asymmetric bending vibrations of the N–H bonds within NH3 coordinately associated with Lewis acid sites []; (2) the 1694 and 1405 cm−1 weak bands were attributed to the N-H bending vibration of NH4+ species on Brønsted acid sites []; (3) the two bands at 1530 and 1349 cm−1 can represent −NH2 species [], which were formed by the intermediate oxidation of adsorbed ammonia species. From the results of Figure S5, the formation of the activated amide (−NH2) groups from dehydrogenation of NH3 is evident []; (4) the groups centered at 966 and 929 cm−1 were assigned to loosely adsorbed NH3 [], indicating that NH3 can be readily adsorbed and activated on Mn0.15Fe0.05/FA.
 
      
    
    Figure 4.
      In-situ DRIFT spectra of NH3 adsorption over the Mn0.15Fe0.05/FA exposed to (a) 1000 ppm NH3/N2 and (b) 1000 ppm NO + 5% O2 at 150 °C.
  
Figure 4b shows the in-situ DRIFT spectra of NO + O2 adsorption on Mn0.15Fe0.05/FA. A series of adsorption peaks (1627, 1438, 1379, 1337, and 1274 cm−1) appeared in the first minute when the mixed gas was added into the reaction cell. The reactant (NO + O2) can be readily adsorbed on the catalyst surface and then facilitate the De-NOx reaction. The intensity of the adsorption peaks increased with time, indicating that the catalyst has a high adsorption ability of reactant. The high adsorption ability of the catalyst allows for an efficient SCR reaction, explaining the excellent catalytic performance of Mn0.15Fe0.05/FA. The asymmetric stretching vibration of loosely adsorbed NO2 was shown at 1627 cm−1 [], formed as a result of NO reacting with O2 and/or the reaction of NO and chemisorbed oxygen []. The bands at 1438, 1337, and 1274 cm−1 were assigned to bridged nitrate, monodentate nitrate, and bidentate nitrate []. The bands at 1379 and 1048 cm−1 are responsible for trans- and cis-N2O2 []. When the pre-adsorbed (NO + O2) catalyst was purged by nitrogen, most of the peaks appeared weaker than before, indicating that the adsorbed NOx species are easily formed and decomposed, facilitating the cycle of nitro compounds, making a good foundation on the reaction.
The in-situ DRIFT spectra of the reaction between NO + O2 and pre-adsorbed NH3 at different time intervals are shown in Figure 5a. As mentioned above in (Figure 4a), after the adsorption of NH3, the catalyst exhibits Lewis (L) acid sites related bands (1621, 1269, 1227, and 1086 cm−1), Brønsted (B) acid sites (1694 and 1405 cm−1), loosely adsorbed NH3 (966 and 929 cm−1) and -NH2 (1530 and 1349 cm−1). When NO + O2 mixture was introduced, both the acid sites (L and B) and active intermediate bands decreased immediately, and many new nitrate species bands appeared and increased gradually during the reaction process. These changes indicated that almost all of the adsorbed NH3 species could react with NO + O2 to form new species, such as bridged nitrate (1616 cm−1), bidentate nitrate (1696, 1568, 1270, and 1102 cm−1) [], monodentate nitrate (1355 cm−1), trans- and cis-N2O22− (1403 and 1031 cm−1), unstable nitrate species (1227 cm−1) []. Over time, these peaks became more pronounced. However, the intensity of loosely adsorbed NH3 (967 and 929 cm−1) slightly decreased, which indicates that it reacted with NOx species and formed a small number of nitrate species. 
 
      
    
    Figure 5.
      In-situ DRIFT spectra of (a) NO + O2 reacted with pre-adsorbed NH3, and (b) NH3 reacted with pre-adsorbed NO + O2 over the Mn0.15Fe0.05/FA at 150 °C.
  
The other transient reaction experiment was also carried out. In this reaction, NO + O2 was co-adsorbed at first, and then NH3 was added. The results are given in Figure 5b. As observed, before the addition of NH3, the bands of NOx species (NO2 (1627 cm−1), bridged nitrate (1438 cm−1), monodentate nitrate (1337 cm−1), bidentate nitrate (1274 cm−1), trans- and cis-N2O22− (1379 and 1048 cm−1) were identical to the previous experiment shown in Figure 5b. After the addition of NH3, the following phenomena were observed: (1) the intensity of the peak assigned to the adsorbed NO2 (NO oxidation by active oxygen-species) and nitrate species decreased immediately; (2) some of the NH3 species (NH3 coordinate to Lewis acid sites (1085 cm−1), trans-N2O22− (1379 cm−1) and loosely adsorbed NH3 (967 and 929 cm−1)) appeared, and the intensity increased with time; (3) formation of new nitrate species such as bridged nitrate (1617, 1458 cm−1), bidentate nitrate (1568 and 1538 cm−1), monodentate nitrate (1337 cm−1), unstable nitrate species (1242 cm−1) and trans-N2O22− (1379 cm−1). Among these, the bands of monodentate nitrates (1337 cm−1) were always present and increased with time, suggesting that the monodentate nitrates did not react with ammonia species, and the other NOx species (bidentate nitrate and trans-N2O22−) reacted with NH3 to form monodentate nitrates. However, the bands of weakly adsorbed NO2 (1627 cm−1), bidentate nitrate (1274 cm−1) and cis-N2O22−(1048 cm−1) quickly vanished, indicating that they reacted with the introduced NH3.
2.3.5. Mechanisms and Reaction Pathways
NH3/NO-TPD and pre-adsorbed NH3/NO-TG-MS results showed that Mn0.15Fe0.05/FA could quickly adsorb and activate the reactants at 150 °C, which is promoted by the addition of a proper amount of metal ion providing the optimum amount of acid and active sites. The primary function of active sites is to adsorb and activate the reactants (NH3, NOx, and O2) to produce the NH3 species and nitrates. Moreover, in-situ DRIFTs analysis showed that NH3 could be easily oxidized to NH2 as an active intermediate were adsorbed on Lewis and Brønsted acid sites. With the introduction of NO + O2, most of the absorbed ammonia species decreased, and new species were formed (Figure 5a). The highly reactive NH2 species reacted with NOx (NO, NO2) to form NH2NO or NH2NO2, which rapidly discomposed into N2 and H2O []. As given in Figure 5b, the adsorbed NO2 or nitrates species reacts with adsorbed ammonia species when the NH3 was confirmed to follow the Langmuir–Hishelwood (L–H) mechanism.
According to several previous studies [] combined with our findings, the L–H reaction pathway mainly occurs during the reaction as follows: (M denotes Fe and/or elemental Mn)
          
      
        
      
      
      
      
    
      
        
      
      
      
      
    
      
        
      
      
      
      
    
      
        
      
      
      
      
    
      
        
      
      
      
      
    
      
        
      
      
      
      
    
      
        
      
      
      
      
    
      
        
      
      
      
      
    
      
        
      
      
      
      
    
      
        
      
      
      
      
    
3. Materials and Methodology
3.1. Preparation of Catalysts
The catalyst samples were obtained by a co-impregnation technique using FA as the catalyst carrier. The FA used in this study was obtained from Fushun Zhong Ji Thermal Power Plant, Fushun, China. The elemental composition of FA consists of SiO2 (47.42%), Al2O3 (24.25 wt.%), Fe2O3 (7.91 wt.%), CaO (3.44 wt.%), TiO2 (1.89 wt.%), K2O (1.74 wt.%), MgO (1.12 wt.%), and others (measured by X-ray fluorescence analysis). The FA was dried at 105 °C for 12 h before all experiments. Fe(NO3)3·9H2O (99.99%, AR) and Mn(NO3)3·4H2O (99.99%, AR) were used as precursors, and they were obtained from Sinopharm Chemical Reagent Co. Ltd, (Shanghai, China).
The catalysts were prepared in the following order: Firstly, a different concentration of manganese nitrate and iron nitrate was dissolved in de-ionized water. Secondly, 4 g of FA was added to the solution with the ultrasonication of the slurry for 1 h at 80 °C. Thirdly, aqueous ammonia solution (75%) (Sinopharm Chemical Reagent Co. Ltd, (Shanghai, China)) was added drop by drop until a basic mixture was obtained (pH ~ 10). Then, the mixture was dried at 105 °C for 10 h prior to the calcination process. The catalyst sample was calcined in an electric oven at 500 °C at 10 °C/min for three hours. After that, the dried product with a particle size range of 250–400 µm was used for further analysis. The obtained samples were named MnxFey/FA, in which the value of ‘x’ ranges from 0 to 0.2, and the value of ‘y’ ranges from 0 to 0.10, representing the weight ratios of manganese/FA and iron/FA, respectively. For comparison purposes, fly ash was treated via the same preparation method, named FA.
3.2. Low-Temperature SCR Experiments
The NH3-SCR activity was conducted in a fixed-bed quartz reactor (20 mm i.d.). The experimental setup (Figure 6) consists of three parts: the flue gas simulation system, reaction system, and tail gas test system. The reaction was conducted under a mixture of gases (with (NO) and (NH3) of 0.1 vol.%, and (O2) of 5 vol.%), and N2 (1200 mL·min−1) was used as a balance gas, equivalent to a GHSV of 50,000 h−1. Activity tests were carried out each 50 °C in the range of 100 to 300 °C, which was heated using a tubular furnace. The concentration of NOx (NO and NO2) was measured by a flue gas analyzer (MRU 5, Germany) and were recorded at each test temperature after stabilization for half an hour.
 
      
    
    Figure 6.
      The schematic diagram of the experimental setup for De-NOx experiments.
  
NOx conversion is calculated by Equation (14).
        
      
        
      
      
      
      
    
        where  and  are the NOx concentration at the reactor inlet and outlet, respectively.
3.3. Characterization of Catalyst Samples
The morphology of the materials was analyzed by scanning electron microscopy (SEM, Zeiss SIGMA HD, (Oberkochen, Germany)). The physical properties of the catalysts were checked by an N2-physisorption analyzer using Kubo X1000 (Beijing Builder Electronic Technology Co. LTD, (Beijing, China)). The X-ray diffraction patterns were determined (Ultima IV, Rigaku, (Tokyo, Japan)) using a Cu Kα radiation to obtain the crystal phase structure. The composition of Fe and Mn within the catalysts were determined by the inductively coupled plasma atomic emission spectroscopy (ICP-AES) technique, using Horiba Ultima 2 (Horiba, LTD, (Kyoto, Japan)). A high-performance electron spectrometer (ESCALAB 250, Thermo Fisher Scientific, Inc., (Waltham, MA, USA)) was used to carry out the X-ray photoelectron spectroscopy (XPS) experiments with monochromatic Al Kα radiation (1486.8 eV, 150 w) and the C 1s (284.8 eV) as a reference to calculate the binding energies to investigate the elemental state of catalyst surfaces. The XPS peak 4.1 software was used for curve fitting (Shirley background, Gaussian-Lorentzian ratio fixed to 80/20). 
The temperature-programmed desorption (NH3/NO-TPD) and the temperature program reduction (H2-TPR) experiments were conducted on the chemisorption analyzer with a TCD (PCA-1200, Beijing Builder Electronic Technology Co. LTD (Beijing, China)). Before each TPD experiment, all the samples were de-gassed in He (30 mL·min−1) at 300 °C for 1 h. The absorption segment was carried out in 10 vol.% NH3/He (or 10 vol.% NO/He) at 50 °C for 1 h, and then the samples were purged by He for half an hour to reach a stable baseline. Finally, the temperature of the catalyst was increased to 400 °C (10 °C·min−1). However, the H2-TPR experiment started with a stable baseline by TCD under H2 flow (10 vol.% H2/Ar). Then, the TCD test was carried out during the heating of the catalyst to 800 °C (10 °C·min−1). Desorption and decomposition properties of the surface species of the catalyst were tested by a simultaneous thermal analyzer (STA 8000, PerkinElmer, Inc., (Waltham, MA, USA)) attached with a Hiden HPR20 mass spectrometer (MS) (Hiden Analytical, Inc., (Peterborough, NH, USA)). Before each run, the sample was first adsorbed with NO or NH3, similar to the TPD process. Then, the temperature was ramped at a similar heating rate (10 °C·min−1) under helium. The in-situ DRIFT spectroscopy was conducted on FTIR spectrometer (Nicolet IS50, Thermo Fisher Scientific, Inc., (Waltham, MA, USA)) equipped with a ZnSe reaction cell. The sample was first de-gassed at 300 °C for 1 h under nitrogen gas (100 mL·min−1) to remove any adsorbed species (e.g., air or vapor). During the experiment, the background spectrum was obtained at the corresponding temperature, and then the reactant gas ([NH3] = 1000 ppm or [NO] = 1000ppm combine with [O2] = 5 vol.%) was introduced.
4. Conclusions
The Mn0.15Fe0.05/FA catalysts supported on coal fly ash had an excellent LTSCR catalytic performance in the temperature window between 130 °C and 300 °C. The optimum SCR activity in this study was obtained in the catalyst containing 0.05 and 0.15 weight ratios of Mn/FA and Fe/FA, respectively.
The great De-NOx activity of Mn0.15Fe0.05/FA was attributed to the following favorable properties: (1) The doped FeOx can promote the production of more high valence states of Mn that enriched these Mn4+ species on the surface; (2) the interaction between the doped species (MnOx, FeOx) and FA provides an abundant amount of active sites, promoting adsorption and activation of reactants; (3) the proper amount of acid property, reactant adsorption, and redox ability together are the primary factors contributing to the excellent LTSCR efficiency for Mn0.15Fe0.05/FA; (4) the synthesis of Mn0.15Fe0.05/FA provides a potential high value-added application of coal fly ash, not only to decrease NOx emissions but also to promote the development of cost-effective low-temperature NH3-SCR catalysts.
The presence of SO2 (even in a small amount) may strongly impact the performance of low-temperature SCR systems. Future research should be focused on improving the SO2 poisoning resistance of the catalysts by introducing additives and changing the structure of catalysts.
Supplementary Materials
The following are available online at https://www.mdpi.com/2073-4344/10/12/1399/s1, Figure S1: The SEM images of (a) FA, (b) Fe0.10/FA, (c) Mn0.05Fe0.10/FA, (d) Mn0.15Fe0.10/FA, (e) Mn0.20Fe0.10/FA, (f) Mn0.15/FA and (g) Mn0.15Fe0.05/FA; Figure S2: N2 adsorption-desorption isotherms and pore size distribution plots of different catalyst samples; Figure S3: XRD patterns of different catalysts samples: (a) MnxFe0.10/FA (x=0, 0.05, 0.15, and 0.20) and (b) Mn0.15Fey/FA (y=0, 0.05, and 0.10); Figure S4: The XPS spectra of (a) Mn 2p spectra, (b) Fe 3p spectra, (c) O 1s over different catalysts, respectively; Figure S5: TG and DTG curves (a) and mass spectra of nitrogen-containing species (b)–(e) during the heating of the Mn0.15Fe0.05/FA catalyst that pre-adsorbed NH3; Figure S6: TG and DTG curves (a) and mass spectra of nitrogen-containing species (b)–(e) during the heating of the Mn0.15Fe0.05/FA catalyst that pre-adsorbed NO; Table S1: The results of XPS analyses of the catalysts.
Author Contributions
Data curation, X.D., J.D., and Y.Z.; writing-original draft, X.D.; investigation, X.D. and J.D.; Formal analysis, J.D. and Y.Z.; methodology, X.D. and S.K.R.; writing-review and editing, S.K.R.; project administration, J.Y.; supervision, J.Y. All authors have read and agreed to the published version of the manuscript.
Funding
The work was carried out within a bilateral collaboration between the University of Science and Technology Liaoning and the University of Newcastle, which is financially supported by Key R&D Funding Scheme of Liaoning Province, China, grant no. 2017308008, Liaoning High-level Innovation Team Overseas Training Project, China, grant no. 2018LNGXGJWPY-YB010, and ARC Linkage Project, Australia, grant no. LP160100540.
Acknowledgments
The authors gratefully acknowledge the financial support of the Key R&D Funding Scheme of Liaoning Province (2017308008), Liaoning High-level Innovation Team Overseas Training Project (2018LNGXGJWPY-YB010), and ARC Linkage Project (LP160100540). The Talents Training Program of the University of Science and Technology Liaoning (2019RC12) is also acknowledged. The authors are grateful to Joy Omoriyekomwan and Joseph Appiah for assisting with manuscript writing.
Conflicts of Interest
The authors declare no conflict of interest.
References
- Yao, Z.T.; Xia, M.S.; Sarker, P.K.; Chen, T. A review of the alumina recovery from coal fly ash, with a focus in China. Fuel 2014, 120, 74–85. [Google Scholar] [CrossRef]
- Gao, E.; Sun, G.; Zhang, W.; Bernards, M.T.; He, Y.; Pan, H.; Shi, Y. Surface lattice oxygen activation via Zr4+ cations substituting on A2+ sites of MnCr2O4 forming ZrxMn1−xCr2O4 catalysts for enhanced NH3-SCR performance. Chem. Eng. J. 2020, 380. [Google Scholar] [CrossRef]
- Tong, Y.; Li, Y.; Li, Z.; Wang, P.; Zhang, Z.; Zhao, X.; Yuan, F.; Zhu, Y. Influence of Sm on the low temperature NH3-SCR of NO activity and H2O/SO2 resistance over the SmaMnNi2Ti7Ox (a = 0.1, 0.2, 0.3, 0.4) catalysts. Appl. Catal. A Gen. 2020, 590, 117333. [Google Scholar] [CrossRef]
- Chen, P.J.; Yang, R.T. Role of WO3 in mixed V2O5-WO3/TiO2 catalysts for selective catalytic reduction of nitric oxide with ammonia. Appl. Catal. A Gen. 1992, 80, 135–148. [Google Scholar] [CrossRef]
- Zhang, W.; Shi, X.; Shan, Y.; Liu, J.; Xu, G.; Du, J.; Yan, Z.; Yun, Y.; He, H. Promotion effect of cerium doping on iron–titanium composite oxide catalysts for selective catalytic reduction of NOx with NH3. Catal. Sci. Technol. 2020, 10, 648–657. [Google Scholar] [CrossRef]
- Wu, S.; Zhang, L.; Wang, X.; Zou, W.; Cao, Y.; Sun, J.; Tang, C.; Gao, F.; Deng, Y.; Dong, L. Synthesis, characterization and catalytic performance of FeMnTiOx mixed oxides catalyst prepared by a CTAB-assisted process for mid-low temperature NH3-SCR. Appl. Catal. A Gen. 2015, 505, 235–242. [Google Scholar] [CrossRef]
- Zha, K.; Zha, K.; Feng, C.; Han, L.; Li, H.; Yan, T.; Kuboon, S.; Shi, L.; Zhang, D. Promotional effects of Fe on manganese oxide octahedral molecular sieves for alkali-resistant catalytic reduction of NOx: XAFS and in situ DRIFTs study. Chem. Eng. J. 2020, 381, 122764. [Google Scholar] [CrossRef]
- Yao, H.; Yao, H.; Cai, S.; Yang, B.; Han, L.; Wang, P.; Li, H.; Yan, T.; Shi, L.; Zhang, D. In-situ decorated MOFs-derived Mn-Fe oxides on Fe mesh as novel monolith catalysts for NOx reduction. New J. Chem. 2020, 44, 2357–2366. [Google Scholar] [CrossRef]
- Yang, J.; Ren, S.; Zhang, T.; Su, Z.; Long, H.; Kong, M.; Yao, L. Iron doped effects on active sites formation over activated carbon supported Mn-Ce oxide catalysts for low-temperature SCR of NO. Chem. Eng. J. 2020, 379, 122398. [Google Scholar] [CrossRef]
- Gao, C.; Xiao, B.; Shi, J.; He, C.; Wang, B.; Ma, D.; Cheng, Y.; Niu, C. Comprehensive understanding the promoting effect of Dy-doping on MnFeOx nanowires for the low-temperature NH3-SCR of NOx: An experimental and theoretical study. J. Catal. 2019, 380, 55–67. [Google Scholar] [CrossRef]
- Li, Y.; Li, Y.; Wang, P.; Hu, W.; Zhang, S.; Shi, Q.; Zhan, S. Low-temperature Selective Catalytic Reduction of NOx with NH3 over MnFeOx nanorods. Chem. Eng. J. 2017, 330, 213–222. [Google Scholar] [CrossRef]
- Choi, S.K.; Choi, S.W. Low-Temperature Selective Catalytic Reduction of N2 with NH3 over Mn-V2O5/TiO2. J. Phys. Chem. C 2006, 112, 6002–6012. [Google Scholar]
- Putluru, S.S.R.; Schill, L.; Jensen, D.A.; Siret, B.; Tabaries, F.; Fehrmann, R. Mn/TiO2 and Mn–Fe/TiO2 catalysts synthesized by deposition precipitation—Promising for selective catalytic reduction of NO with NH3 at low temperatures. Appl. Catal. B Environ. 2015, 165, 628–635. [Google Scholar] [CrossRef]
- Li, G.; Wang, B.; Wang, H.; Ma, J.; Xu, W.Q.; Li, Y.; Han, Y.; Sun, Q. Fe and/or Mn oxides supported on fly ash-derived SBA-15 for low-temperature NH3-SCR. Catal. Commun. 2018, 108, 82–87. [Google Scholar] [CrossRef]
- López-Hernández, I.; Mengual, J.; Palomares, A.E. The Influence of the Support on the Activity of Mn–Fe Catalysts Used for the Selective Catalytic Reduction of NOx with Ammonia. Catalysts 2020, 10, 63. [Google Scholar] [CrossRef]
- Shi, Y.; Jiang, K.; Zhang, T.; Guo, J.; Zhao, A. Clean production of porous-Al(OH)3 from fly ash. J. Hazard. Mater. 2020, 393, 122371. [Google Scholar] [CrossRef] [PubMed]
- Shi, Y.; Jiang, K.; Zhang, T.; Lv, G. Cleaner alumina production from coal fly ash: Membrane electrolysis designed for sulfuric acid leachate. J. Clean. Prod. 2020, 243, 118470. [Google Scholar] [CrossRef]
- Li, S.; Gong, H.; Hu, H.; Liu, H.; Huang, Y.; Fu, B.; Wang, L.; Yao, H. Re-using of coal-fired fly ash for arsenic vapors in-situ retention before SCR catalyst: Experiments and mechanisms. Chemosphere 2020, 254, 126700. [Google Scholar] [CrossRef]
- Mushtaq, F.; Zahid, M.; Bhatti, I.A.; Nasir, S.; Hussain, T. Possible applications of coal fly ash in wastewater treatment. J. Environ. Manag. 2019, 240, 27–46. [Google Scholar] [CrossRef]
- Liu, Z.; Sun, G.; Chen, C.; Sun, K.; Zeng, L.; Yang, L.; Chen, Y.; Wang, W.; Liu, B.; Liu, B.; et al. Fe-doped Mn3O4 spinel nanoparticles with highly exposed Feoct− O− Mntet sites for efficient selective catalytic reduction (SCR) of NO with ammonia at low temperatures. ACS Catal. 2020, 10, 6803–6809. [Google Scholar] [CrossRef]
- Lei, Z.; Hao, S.; Yang, J.; Zhang, L.; Fang, B.; Wei, K.; Lingbo, Q.; Jin, S.; Wei, C. Study on Denitration and Sulfur Removal Performance of Mn-Ce Supported Fly Ash Catalyst. Chemosphere 2020, 128646. [Google Scholar] [CrossRef] [PubMed]
- Cui, R.; Ma, S.; Yang, B.; Li, S.; Pei, T.; Li, J.; Wang, J.; Sun, S.; Mi, C. Simultaneous removal of NOx and SO2 with H2O2 over silica sulfuric acid catalyst synthesized from fly ash. Waste Manag. 2020, 109, 65–74. [Google Scholar] [CrossRef] [PubMed]
- Liu, J.; Wei, Y.; Li, P.; Zhang, P.; Su, W.; Sun, Y.; Zou, R.; Zhao, Y. Experimental and Theoretical Investigation of Mesoporous MnO2 Nanosheets with Oxygen Vacancy for High-Efficiency Catalytic DeNOx. ACS Catal. 2018, 8. [Google Scholar] [CrossRef]
- Tao, W.; Wang, T.; Wan, Z.; Yang, X.; Zhang, X.; Niu, X.; Sun, B. Promotional effect of iron modification on the catalytic properties of Mn-Fe/ZSM-5 catalysts in the Fast SCR reaction. Fuel Process. Technol. 2018, 169, 112–121. [Google Scholar]
- Liu, F.; He, H. Structure-Activity Relationship of Iron Titanate Catalysts in the selective Catalytic Reduction of NOx with NH3. J. Phys. Chem. C 2010, 114, 16929–16936. [Google Scholar] [CrossRef]
- Wang, R.; Hao, Z.; Li, Y.; Liu, G.; Zhang, H.; Wang, H.; Xia, Y.; Zhan, S. Relationship between structure and performance of a novel highly dispersed MnOx on Co-Al layered double oxide for low temperature NH3-SCR. Appl. Catal. B Environ. 2019, 258, 117983. [Google Scholar] [CrossRef]
- Wang, F.; Xie, Z.; Liang, J.; Fang, B.; Piao, Y.; Hao, M.; Wang, Z. Tourmaline-Modified FeMnTiOx Catalysts for Improved Low-Temperature NH3-SCR Performance. Environ. Sci. Technol. 2019, 53, 6989–6996. [Google Scholar] [CrossRef]
- Zhang, C.; Chen, T.; Liu, H.; Chen, D.; Xu, B.; Qing, C. Low temperature SCR reaction over Nano-Structured Fe-Mn Oxides: Characterization, performance, and kinetic study. Appl. Surf. Sci. 2018, 457, 1116–1125. [Google Scholar] [CrossRef]
- Tian, J.; Zhang, K.; Wang, W.; Wang, F.; Dan, J.; Yang, S.; Zhang, J.; Dai, B.; Yu, F. Enhanced selective catalytic reduction of NO with NH3 via porous microspherical aggregates of Mn–Ce–Fe–Ti mixed oxide nanoparticles. Green Energy Environ. 2019, 4, 311–321. [Google Scholar] [CrossRef]
- Kapteijn, F.; Singoredjo, L.; Andreini, A.; Moulijin, J.A. Activity and Selectivity of Pure Manganese Oxides in the Selective Catalytic Reduction of Nitric Oxide with Ammonia. Appl. Catal. B Environ. 1994, 3, 173–189. [Google Scholar] [CrossRef]
- Wang, G.; Zhang, J.; Liu, L.; Zhou, J.L.; Liu, Q.; Qian, G.; Xu, Z.; Richards, R.M. Novel multi-metal containing MnCr catalyst made from manganese slag and chromium wastewater for effective selective catalytic reduction of nitric oxide at low temperature. J. Clean. Prod. 2018, 183, 917–924. [Google Scholar] [CrossRef]
- Chen, Z.; Wang, F.; Li, H.; Yang, Q.; Wang, L.; Li, X. Low-Temperature Selective Catalytic Reduction of NOx with NH3 over Fe–Mn Mixed-Oxide Catalysts Containing Fe3Mn3O8 Phase. Ind. Eng. Chem. Res. 2012, 51, 202–212. [Google Scholar] [CrossRef]
- Ma, S.; Tan, H.; Li, Y.; Wang, P.; Zhao, C.; Niu, X.; Zhu, Y. Excellent low-temperature NH3-SCR NO removal performance and enhanced H2O resistance by Ce addition over the Cu0.02Fe0.2CeyTi1-yOx (y = 0.1, 0.2, 0.3) catalysts. Chemosphere 2020, 243, 125309. [Google Scholar] [CrossRef] [PubMed]
- Yang, Y.; Wang, M.; Tao, Z.; Liu, Q.; Fei, Z.; Chen, X.; Zhang, Z.; Tang, J.; Cui, M.; Qiao, X. Mesoporous Mn–Ti amorphous oxides: A robust low-temperature NH3-SCR catalyst. Catal. Sci. Technol. 2018, 8, 6396. [Google Scholar] [CrossRef]
- Wu, Z.; Jin, R.; Liu, Y.; Wang, H. Ceria modified MnO/TiO as a superior catalyst for NO reduction with NH at low-temperature. Catal. Commun. 2008, 9, 2217–2220. [Google Scholar] [CrossRef]
- Wu, Z.; Jiang, B.; Liu, Y. Effect of transition metals addition on the catalyst of manganese/titania for low-temperature selective catalytic reduction of nitric oxide with ammonia. Appl. Catal. B Environ. 2008, 79, 347–355. [Google Scholar] [CrossRef]
- Wang, G.; Zhang, J.; Qiang, G. Production of an effective catalyst with increased oxygen vacancies from manganese slag for selective catalytic reduction of nitric oxide. J. Environ. Manag. 2019, 239, 6. [Google Scholar] [CrossRef] [PubMed]
- Liu, Z.; Su, H.; Chen, B.; Li, J.; Woo, S. Activity enhancement of WO3 modified Fe2O3 catalyst for the selective catalytic reduction of NOx by NH3. Catal. Today 2019, 299, 255–262. [Google Scholar]
- Yan, L.; Liu, Y.; Zha, K.; Li, H.; Shi, L.; Zhang, D. Scale−Activity Relationship of MnOx-FeOy Nanocage Catalysts Derived from Prussian Blue Analogues for Low-Temperature NO Reduction: Experimental and DFT Studies. ACS Appl. Mater. Interfaces 2017, 9, 2581–2593. [Google Scholar] [CrossRef]
- Zhang, G.; Huang, X.; Tang, Z. Enhancing Water Resistance of a Mn-Based Catalyst for Low Temperature Selective Catalytic Reduction Reaction by Modifying Super Hydrophobic Layers. ACS Appl. Mater. Interfaces 2019, 11, 36598–36606. [Google Scholar] [CrossRef]
- Fan, Z.; Shi, J.; Gao, C.; Gao, G.; Wang, B.; Niu, C. Rationally Designed Porous MnOx–FeOx Nanoneedles for Low-Temperature Selective Catalytic Reduction of NOx by NH3. ACS Appl. Mater. Interfaces 2017, 9, 16117. [Google Scholar] [CrossRef] [PubMed]
- Guo, M.; Zhao, P.; Liu, Q.; Liu, C.; Han, J.; Ji, N.; Song, C.; Ma, D.; Lu, X.; Liang, X.; et al. Improved low-temperature activity and H2O resistance of Fe-doped Mn-Eu catalysts for NO removal by NH3-SCR. ChemCatChem 2019, 11, 4954–4965. [Google Scholar] [CrossRef]
- Fang, N.; Guo, J.; Shu, S.; Luo, H.; Chu, Y.; Li, J. Enhancement of low–temperature activity and sulfur resistance of Fe0.3Mn0.5Zr0.2 catalyst for NO removal by NH3–SCR. Chem. Eng. J. 2017, 325, 114–123. [Google Scholar] [CrossRef]
- Sun, C.; Liu, H.; Chen, W.; Chen, D.; Yu, S.; Liu, A.; Dong, L.; Feng, S. Insights into the Sm/Zr co-doping effects on N2 selectivity and SO2 resistance of a MnOx-TiO2 catalyst for the NH3-SCR reaction. Chem. Eng. J. 2018, 347, 27–40. [Google Scholar] [CrossRef]
- Grossale, A.; Nova, I.; Tronconi, E.; Chatterjee, D.; Weibel, M. NH3–NO/NO2 SCR for Diesel Exhausts Aftertreatment: Reactivity, Mechanism and Kinetic Modelling of Commercial Fe- and Cu-Promoted Zeolite Catalysts. Catalysis 2009, 52, 1837–1841. [Google Scholar] [CrossRef]
- Gao, Y.; Luan, T.; Zhang, S.; Jiang, W.; Feng, W.; Jiang, H. Comprehensive Comparison between Nanocatalysts of Mn−Co/TiO2 and Mn−Fe/TiO2 for NO Catalytic Conversion: An Insight from Nanostructure, Performance, Kinetics, and Thermodynamics. Catalysts 2019, 9, 175. [Google Scholar] [CrossRef]
- Zhang, Q.; Zhang, Y.; Zhang, T.; Wang, H.; Ma, Y.; Wang, J.; Ning, P. Influence of preparation methods on iron-tungsten composite catalyst for NH3-SCR of NO:the active sites and reaction mechanism. Appl. Surf. Sci. 2020, 503, 144190. [Google Scholar] [CrossRef]
- Lin, M.; An, B.; Niimi, N.; Jikihara, Y.; Nakayama, T.; Honma, T.; Takei, T.; Shishido, T.; Ishida, T.; Haruta, M.; et al. Role of the Acid Site for Selective Catalytic Oxidation of NH3 over Au/Nb2O5. ACS Catal. 2019, 9. [Google Scholar] [CrossRef]
- Shu, Y.; An, B.; Niimi, N.; Jikihara, Y.; Nakayama, T.; Honma, T.; Takei, T.; Shishido, T.; Ishida, T.; Haruta, M.; et al. Enhancement of Catalytic Activity Over the Iron-Modified Ce/TiO2 Catalyst for Selective Catalytic Reduction of NOx with Ammonia. J. Phys. Chem. C 2012, 116, 25319–25327. [Google Scholar] [CrossRef]
- Kang, L.; Han, L.; He, J.; Li, H.; Yan, T.; Chen, G.; Zhang, J.; Shi, L.; Zhang, D. Improved NOx Reduction in the Presence of SO2 by Using Fe2O3 Promoted Halloysite-supported CeO2-WO3 Catalysts. Environ. Sci. Technol. 2019, 53, 938–945. [Google Scholar] [CrossRef]
- Liu, H.; You, C.; Wang, H. Time-resolved in-situ IR and DFT study: NH3 adsorption and redox cycle of acid site on vanadium-based catalysts for NO abatement via selective catalytic reduction. Chem. Eng. J. 2020, 382, 122756. [Google Scholar] [CrossRef]
- Fu, S.L.; Song, Q.; Yao, Q. Mechanism study on the adsorption and reactions of NH3, NO, and O2 on the CaO surface in the SNCR deNOx process. Chem. Eng. J. 2016, 285, 137–143. [Google Scholar] [CrossRef]
- Chen, X.; Liu, Y.; Yang, Y.; Ren, T.; Pan, L.; Fang, P.; Chen, D.; Cen, C. Modified fly ash from municipal solid waste incineration as catalyst support for Mn-Ce composite oxides. IOP Conf. 2017, 81, 012146. [Google Scholar] [CrossRef]
- Ren, D.; Gui, K.; Gu, S.; Wei, Y. Study of the nitric oxide reduction of SCR-NH3 on γFe2O3 catalyst surface with quantum chemistry. Appl. Surf. Sci. 2020, 509, 144659. [Google Scholar] [CrossRef]
- Xie, S.; Li, L.; Jin, L.; Wu, Y.; Liu, H.; Qin, Q.; Wei, X.; Liu, J.; Dong, L.; Li, B. Low temperature high activity of M (M = Ce, Fe, Co, Ni) doped M-Mn/TiO2 catalysts for NH3-SCR and in situ DRIFTS for investigating the reaction mechanism. Appl. Surf. Sci. 2020, 515, 146014. [Google Scholar] [CrossRef]
- Zhoua, X.; Yu, F.; Sun, R.; Tian, J.; Wang, Q.; Dai, B.; Dan, J.; Pfeirrer, H. Two-dimensional MnFeCo layered double oxide as catalyst for enhanced selective catalytic reduction of NOx with NH3 at low temperature (25–150 °C). Appl. Catal. A Gen. 2020, 592, 117432. [Google Scholar] [CrossRef]
- Gao, E.; Huang, B.; Zhao, Z.; Pan, H.; Zhang, W.; Li, Y.; Bernards, M.T.; He, Y.; Shi, Y. Understanding the co-effects of manganese and cobalt on the enhanced SCR performance for MnxCo1−xCr2O4 spinel-type catalysts. Catal. Sci. Technol. 2020, 10, 4752–4765. [Google Scholar] [CrossRef]
- Gu, J.; Zhu, B.; Duan, R.; Chen, Y.; Wang, S.; Liu, L.; Wang, X. Highly dispersed MnOx–FeOx supported by silicalite-1 for the selective catalytic reduction of NOx with NH3 at low temperatures. Catal. Sci. Technol. 2020, 10, 5525–5534. [Google Scholar] [CrossRef]
| Publisher’s Note: MDPI stays neutral with regard to jurisdictional claims in published maps and institutional affiliations. | 
© 2020 by the authors. Licensee MDPI, Basel, Switzerland. This article is an open access article distributed under the terms and conditions of the Creative Commons Attribution (CC BY) license (http://creativecommons.org/licenses/by/4.0/).
