Abstract
α-Functionalization of carbonyl compounds in organic synthesis has traditionally been accomplished via classical enolate chemistry. As α-functionalized carbonyl moieties are ubiquitous in biologically and pharmaceutically valuable molecules, catalytic α-alkylations have been extensively studied, yielding a plethora of practical and efficient methodologies. Moreover, stereoselective carbon–carbon bond formation at the α-position of achiral carbonyl compounds has been achieved by using various transition metal–chiral ligand complexes. This review describes recent advances—in the last 20 years and especially focusing on the last 10 years—in transition metal-catalyzed α-alkylations of carbonyl compounds, such as aldehydes, ketones, imines, esters, and amides and in efficient carbon–carbon bond formations. Active catalytic species and ligand design are discussed, and mechanistic insights are presented. In addition, recently developed photo-redox catalytic systems for α-alkylations are described as a versatile synthetic tool for the synthesis of chiral carbonyl-bearing molecules.
1. Introduction
To date, a myriad of studies on the effective α-functionalization of carbonyl compounds have been reported [1,2,3]. Among them, transformations employing enolates or their analogs are classically considered as major synthetic pathways applicable to diverse organic syntheses. The Tsuji–Trost reaction made significant contributions to the C–C bond formation by palladium-catalyzed allylic alkylation reactions [4,5]. Mechanistically, Pd(0) firstly coordinates the C–C double bond on allylic substrate, then oxidative addition is followed to form a key intermediate, cationic π-allyl–Pd complex. The nucleophile adds to the π-allyl–Pd complex to provide an allylated product and regenerated Pd(0) catalyst [6,7,8]. This strategy, however, has a number of drawbacks, such as limited enolate formation selectivity and functional group compatibility. In particular, methodologies involving silyl enol ethers often generate undesirable side products, such as silicate and lithium salts [9]. In light of this, the development of efficient synthetic procedures for the α-functionalization of carbonyls can be daunting.
Transition metals have their intrinsic disadvantages, such as high cost and toxicity [10]. In many cases, the additional cost and labor are required for the preparation of noncommercial ligands. Furthermore, transition metal catalysts could generally lose their selectivity by chelation with substrates (e.g., pyridine, pyridimine, quinoline, etc.), which have coordinating functional groups, such as amines and pyridines. In pharmaceutical uses and applications, there are strict threshold values of metal permissible in products [11]. In traditional transition metal-catalyzed α-alkylations of carbonyl compounds, it is not free from the generations of toxic wastes. Not only the remaining metal in the solution and products, but also halide waste is generated from the stoichiometric amount of alkyl halide as an alkylation partner. Lastly, the stoichiometric amount of base is additionally required for the generation of enolate-related nucleophile.
To overcome the possible disadvantages of the traditional reactions, such as the generations of toxic waste as well as reaction selectivity, the α-alkylation of carbonyl compounds catalyzed by transition metal complexes has received considerable attention as an alternative protocol for sustainable manners in recent years (Scheme 1) [12]. Transition metal-catalyzed α-alkylation of carbonyls has several advantages, such as mild reaction conditions and diverse scope of carbonyl derivatives. These desirable modifications occur via the formation of metal-enolate intermediates, followed by further C–C coupling via reductive elimination. In particular, palladium-based catalytic systems have been extensively reported for such carbonyl α-alkylations and arylations to date [13]. In addition to these advancements, the sustainable development and optimization of transition metal-catalyzed α-alkylation/α-arylations of carbonyls are crucial for the facile formation of new C–C bonds and diversification of substrate scopes (Scheme 1).
Scheme 1.
Transition metal- and photo-catalyzed α-alkylations of carbonyl compounds.
In this review, we focus on the recent developments (from 2000 to 2020, and mainly for the last 10 years) regarding transition metal-catalyzed α-alkylation of carbonyl compounds. Palladium catalysis has thus far provided the most significant advances in terms of chemo-, regio-, and enantioselective α-alkylation, expanding the utility of this synthetic transformation. Other transition metals and diverse alkylating reagents have also been involved in the α-alkylation of carbonyl compounds in order to overcome the limitations of traditional approaches. Visible-light-mediated photoredox catalysis, a rapidly progressing strategy for C–C bond formation, can be performed under very mild conditions and be directed toward effective pathways in terms of expanding the carbonyl substrate scope.
2. Aldehydes
2.1. Palladium-Catalyzed α-Alkylation of Aldehydes
Carbon–carbon bond formation with carbonyl compounds is traditionally achieved via enolate, silyl enol ether, and enamine chemistry, involving external bases. In the early 2000s, various transition metal-catalyzed C–C bond formations, at the α-position of aldehydes and ketones, were successfully developed. In 2001, the Tamura group reported efficient Pd-catalyzed α-alkylation via Lewis acid-based complexes generated from the combination of palladium and BEt3 [14]. This atom-economic reaction could be performed under milder conditions than those required for previous α-alkylations. In the same year, the Nomura group disclosed Pd-catalyzed selective α-arylations under basic conditions. This transformation is performed with palladium and bulky phosphine ligands to generate carbon–carbon bonds between carbonyl compounds and aryl halides. Most surprisingly, aldol condensation, which can occur under basic conditions, was completely suppressed and α-arylation was achieved selectively with the use bulky external ligands [15]. Competition reactions between carbonyl α-functionalization and aldol condensation of aldehydes or ketones were intensively studied with various combinations of transition metals and chelating ligands.
In 2007, Buchwald and coworkers proposed the palladium-catalyzed α-arylation of aldehydes with bulky, electron-rich phosphine ligands (Scheme 2) [16]. Although the reaction conditions were also favorable for aldol condensation, a trace amount of water promoted the equilibrium of the retro-aldol reaction to regenerate the aldehyde from the self-aldol product. The bulky and electron-rich phosphine ligand (L1) played a crucial role in aryl halide 2 activation by palladium in the 1st step of the catalytic cycle, namely, oxidative addition. Products 3 bearing a quaternary carbon were successfully generated via this method.
Scheme 2.
Palladium-catalyzed α-arylation of aldehydes with electron-rich phosphine ligands.
An asymmetric version of the palladium-catalyzed α-arylation of aldehydes has been developed (Scheme 3) [17]. Using chiral phosphanyloxazoline ligand L2, desired chiral quaternary aldehydes 5 could be obtained in high enantioselectivities and yields via an intramolecular pathway. This was the first example of the metal-catalyzed asymmetric aldehyde α-arylation.
Scheme 3.
Palladium-catalyzed intramolecular asymmetric α-arylations of aldehydes.
Cordova and coworkers conducted the α-allylation of aldehydes and ketones utilizing two different catalytic systems, palladium catalysis, and organocatalysis (Scheme 4). Specifically, the carbonyl reagents were converted to reactive enamine species by the addition of a secondary amine organocatalyst, and allyl acetate was converted to a π-allyl-Pd species. These two catalytic activation processes were successfully combined to enact α-allylic alkylations. Pyrrolidine A1 was used as the organocatalyst, and only 10 mol% was required for the generation of reactive enamine 1a-I from the corresponding aldehyde 1a (Scheme 4a). In the case of ketones, 30 mol% of pyrrolidine catalyst provided the desired product in high yield [18]. Enantioselective α-allylic alkylation was carried out by using chiral pyrrolidine catalyst A2 (Scheme 4b) [19]. This was the first direct catalytic intermolecular regiospecific, highly chemo- and enantioselective α-allylic alkylation of linear aldehydes, employing simple chiral amines and palladium catalysts. (R)-3-Methyl-N-(2-phenethyl)-pyrrolidine and (S)-arundic acid were synthesized by this enantioselective α-allylic alkylation as a key reaction.
Scheme 4.
(a) Racemic version of palladium- and pyrrolidine-catalyzed α-allylic alkylations of aldehydes, (b) enantioselective version of palladium- and pyrrolidine-catalyzed α-allylic alkylations of aldehydes, and (c) proposed mechanism.
List and coworkers reported the palladium-catalyzed enantioselective Tsuji–Trost-type α-allylation of aldehydes using chiral counter anion/anionic phosphoric acid ligands (Scheme 5) [20]. Although the traditional palladium system for the Tsuji–Trost allylation involved neutral ligands, here, an enamonium phosphate salt was first generated by the reaction among the secondary allylamine 7, aldehyde 1, and chiral phosphoric acid ligand (R)-L3 ((R)-TRIP, TRIP = 3,3′-bis(2,4,6-triisopropylphenyl)-2,2′-binaphtholate). The cationic π-allyl–Pd complex 1b-II was generated by palladium(0), followed by α-allylation to afford chiral iminium 1b-III in an enantioselective manner. Finally, the desired chiral aldehyde 8 was obtained by hydrolysis, with regeneration of chiral phosphoric acid (R)-L3 (Scheme 5b). Formal synthesis of (+)-cuparene was demonstrated by this asymmetric α-allylation.
Scheme 5.
(a) Palladium-catalyzed asymmetric α-allylation of aldehydes with allylic amines and (b) proposed mechanism.
Allylic alcohols were used as allylic partners in the palladium-catalyzed asymmetric α-allylation of aldehydes assisted by chiral phosphoric acid ligands (Scheme 6) [21]. Unlike the above-mentioned case, the reaction required 40 mol% of α-aminodiphenylmethane A3 as a cocatalyst for the generation of reactive enamine intermediate 1b-IV. Meanwhile, chiral phosphoric acid (S)-L3 readily activated allyl alcohols 9 to produce the cationic chiral π-allyl–Pd complex 1b-VIII. Then, the enamine intermediate 1b-V, generated from bulky enamine 1b-IV and Pd complex 1b-VIII, directed the enantioselective α-allylation to generate all-carbon quaternary stereogenic centers. Without the generation of an enamine, enol substrates could not provide a sufficiently strong binding site for the chiral π-allyl–Pd complex 1b-VIII, thus the product was obtained in low e.r.
Scheme 6.
(a) Palladium-catalyzed asymmetric α-allylation of aldehydes with allylic alcohols and (b) proposed mechanism.
In 2014, Gong and coworkers proposed the enantioselective α-allylation of aldehydes with terminal alkenes via palladium-catalyzed oxidative sp3 C–H/ sp3 C–H coupling with the assistance of a chiral ligand (Scheme 7) [22]. In this system, the palladium complexes 1b-IX were generated through C–H activation of olefin 11 with an external oxidant (i.e., 2,6-dimethylbenzoquinone), and chiral α-allylation was performed with aldehydes 1. This methodology demonstrated the successful utilization of inert C–H bonds for an enantioselective coupling reaction at the α-position of aldehydes.
Scheme 7.
(a) Palladium-catalyzed asymmetric α-allylation of aldehydes with terminal alkenes and (b) proposed mechanism.
Recently, alkynes were employed as alkylating reagents for the palladium-catalyzed asymmetric α-allylation of aldehydes (Scheme 8) [23]. A chiral hydridopalladium catalyst mediated the isomerization of alkynes 13 to the corresponding allenes, which in turn were converted to chiral π-allyl–Pd complexes via substantial hydropalladation. The reactive enamine intermediates, derived from aldehydes 1 and amino catalyst A4a, underwent asymmetric allylic substitution to afford coupling products 14 or 15.
Scheme 8.
Palladium-catalyzed asymmetric α-allylation of aldehydes with alkynes.
2.2. Other Metal-Catalyzed α-Alkylations of Aldehydes
In 2013, Carreira and coworkers reported the efficient α-allylation of aldehydes employing iridium species (Scheme 9) [24]. Both chiral amines (A5 and A6) and chiral ligands ((R)-L4 and (S)-L4) were indispensable for the enantioselectivity of the reaction. The iridium–chiral ligand species controlled the β-center, while the enamine from aldehyde 1 and amine (A5 or A6) gave rise to the α-center. Therefore, an outer sphere transition state was generated and the two stereocenters were perfectly simultaneously controlled during α-allylation.
Scheme 9.
Iridium-catalyzed stereoselective α-allylation with chiral ligands and chiral amines.
Dong and coworkers reported the Rh-catalyzed enantioselective α-allylation of aldehydes with alkynes (Scheme 10) [25]. In this system, the combination of rhodium and chiral phosphine (R)-L5 was employed as the principal catalyst, and chiral Jacobsen amines ((S,S)-A7 and (R,R)-A7) were incorporated. Harnessing the dual role of the chiral Rh catalyst and chiral amines, γ,δ-unsaturated aldehydes 22 and 23 were efficiently synthesized with high regio- and stereoselectivity.
Scheme 10.
Rhodium-catalyzed asymmetric α-allylation of aldehydes with internal alkynes.
2.3. Organocatalyst-Assisted Photoredox-Catalyzed α-Alkylation of Aldehydes
The MacMillan group reported a Ru-based photoredox approach with a chiral amine cocatalyst for the asymmetric α-functionalization of aldehydes (Scheme 11). Based on the proposed reaction mechanism (Scheme 12), aldehyde 1d was first converted to enamine 1d-I with a chiral amine cocatalyst (A8 or A9), which then reacted with a radical species from the photoredox cycle. Interestingly, enamine steric effects resulted in the exclusive Si-face attack by the radical species, and the active radical species 1d-II was converted to iminium 1d-III via a single-electron transfer (SET) process with the photoredox catalyst. The photoredox catalyst M was activated by irradiation with visible light and could be considered as either an oxidant or a reductant. The activated photo-catalyst could donate an electron to generate the radical species, or it could abstract an electron to generate iminium 1d-III via SET. In the initial study by the MacMillan group, alkyl bromides were employed as the coupling partners in the presence of a Ru(bpy)32+ photoredox catalyst [26]. The reaction scope was expanded with α-bromocyanoalkyl substrates for the α-cyanoalkylation of aldehydes [27]. Similarly, the α-alkylation of aldehydes has been successfully demonstrated by using Ir-based photoredox catalysts, trifluoromethyl iodide [28], and benzylic bromides [29]. Total synthesis of (-)-bursehernin was demonstrated by α-cyanoalkylation of aldehydes as a key reaction, and a bioactive drug candidate, angiogenesis inhibitor 12, was synthesized by enantioselective α-benzylation.
Scheme 11.
MacMillan’s photoredox catalysis for enantioselective α-alkylation of aldehydes.
Scheme 12.
Proposed reaction mechanism of the photoredox catalysis process for enantioselective α-alkylation of aldehydes.
Simple olefins have been enrolled for the α-functionalization of aldehydes through photoredox methodology (Scheme 13) [30]. In the proposed mechanism (Scheme 13b), the Ir photoredox catalyst generates enaminyl radical 1d-V from chiral enamine 1d-IV via SET, and the ensuing rapid enantioselective addition of terminal olefin 26 onto the radical 1d-V provides secondary alkyl radical 1d-VI. The subsequent thiol-mediated hydrogen-atom transfer (HAT) and hydrolysis deliver the desired α-alkylated aldehydes 27 in high ee.
Scheme 13.
(a) Photoredox catalysis for enantioselective α-alkylation of aldehydes with simple olefins and (b) proposed mechanism.
3. Ketones
3.1. Palladium-Catalyzed Asymmetric Allylic Alkylation of Ketones
The generation of all-carbon quaternary chiral centers is a challenging task in organic synthesis due to the difficulty in forming sterically crowded C–C bonds. The palladium-catalyzed asymmetric allylic alkylation of prochiral nucleophiles is one of the most straightforward strategies for the synthesis of quaternary chiral centers. In 2002, Trost and coworkers developed a convenient synthetic method for the assembly of chiral α-all-carbon quaternary centers via palladium-catalyzed asymmetric allylic alkylation of α-aryl ketones (Scheme 14) [31]. α’-Unblocked enolates were prepared from α-aryl ketones 28 with a base, such as LDA (lithium diisopropylamide) or NaHMDS (sodium bis(trimethylsilyl)amide), and the subsequent asymmetric palladium-catalyzed allylation formed the quaternary chiral centers of cyclohexanones 29. A key feature of the reaction is the chiral π-allyl-Pd intermediate, which is generated from the palladium–chiral ligand complex (Figure 1). Enolate nucleophiles can be added to the chiral π-allyl-Pd intermediate enantioselectively to give α-aryl cyclohexanones 29 in high ees.
Scheme 14.
Pd-catalyzed asymmetric allylic alkylation of α-aryl ketones.
Figure 1.
Illustration of chiral recognition during nucleophilic enolate addition. Reprinted with permission from Reference [31].
In 2005, Hamada and coworkers conducted another palladium-catalyzed asymmetric allylic alkylation, forming chiral all-carbon quaternary centers (Scheme 15) [32]. Cyclic β-keto esters 30 were utilized as prochiral nucleophiles, and γ-acetoxy-α,β-unsaturated carbonyls 31 generated chiral π-allyl-Pd intermediates with a palladium catalyst and chiral ligand (S,Rp)-L7. Although the reaction scope was limited to cyclic β-keto esters 30, this was the first account of quaternary carbon center assembly using γ-acetoxy-α,β-unsaturated carbonyl compounds 31 in the palladium-catalyzed asymmetric allylic alkylation.
Scheme 15.
Pd-catalyzed asymmetric allylic alkylation of β-keto esters.
3.2. Palladium-Catalyzed Allylic Alkylation of Ketones with Unactived Allyl Sources
Palladium-catalyzed allylic alkylation is an effective synthetic tool in organic synthesis due to the versatility of substrates and products that can be generated. Generally, allyl acetates and allyl carbonates are used as allyl donors, generating the allylating species via cleavage of the C–O bond. Recently, the Zhang group has utilized common allylic substrates, allylic amines and allylic ethers, to form π-allyl-Pd intermediates via hydrogen bond activation, for the palladium-catalyzed allylic alkylation of carbonyl compounds.
Initially, the hydrogen-bond-promoted cleavage of the C–N bond of allylic amines was suggested (Scheme 16) [33]. The proposed reaction mechanism is described in Scheme 17. It was found that protic solvents, such as methanol, could promote a C–N bond cleavage by forming hydrogen bonds between the N of amine 34 and the H of methanol. In the presence of a palladium catalyst, the π-allyl-Pd intermediate 34-I is then generated. According to the mechanism (Scheme 17), pyrrolidine A1 is generated from the C–N bond cleavage of N-allylpyrrolidine 34; however, a stoichiometric amount of pyrrolidine was required to improve reaction efficiency and to provide reactive enamines 33-I from carbonyl compounds 33.
Scheme 16.
Pd-catalyzed allylic alkylation with allylic amines.
Scheme 17.
Plausible mechanism of Pd-catalyzed allylic alkylation with allylic amines via hydrogen bond activation.
Allylic alkyl ethers were also applied for the generation of Pd-allyl intermediates in protic solvents (Scheme 18) [34]. The hydrogen-bond-activated palladium-catalyzed allylic alkylation via allylic alkyl ethers 37 with carbonyl compounds 36 provides highly linear regioselective α-allylated products 38 under mild conditions.
Scheme 18.
Pd-catalyzed asymmetric allylic alkylation with allylic ethers.
Moreover, an asymmetric version of the reaction was successfully performed with chiral ligand L9 to give highly optically pure products 41 and 43 in excellent yields (Scheme 19). This asymmetric allylic alkylation successfully demonstrated the formal synthesis of the selective antimuscarinic agent 7.
Scheme 19.
Pd-catalyzed asymmetric allylic alkylation from unactivated allyl sources.
3.3. Metal-Catalyzed α-Alkylation of Ketones with Primary Alcohols
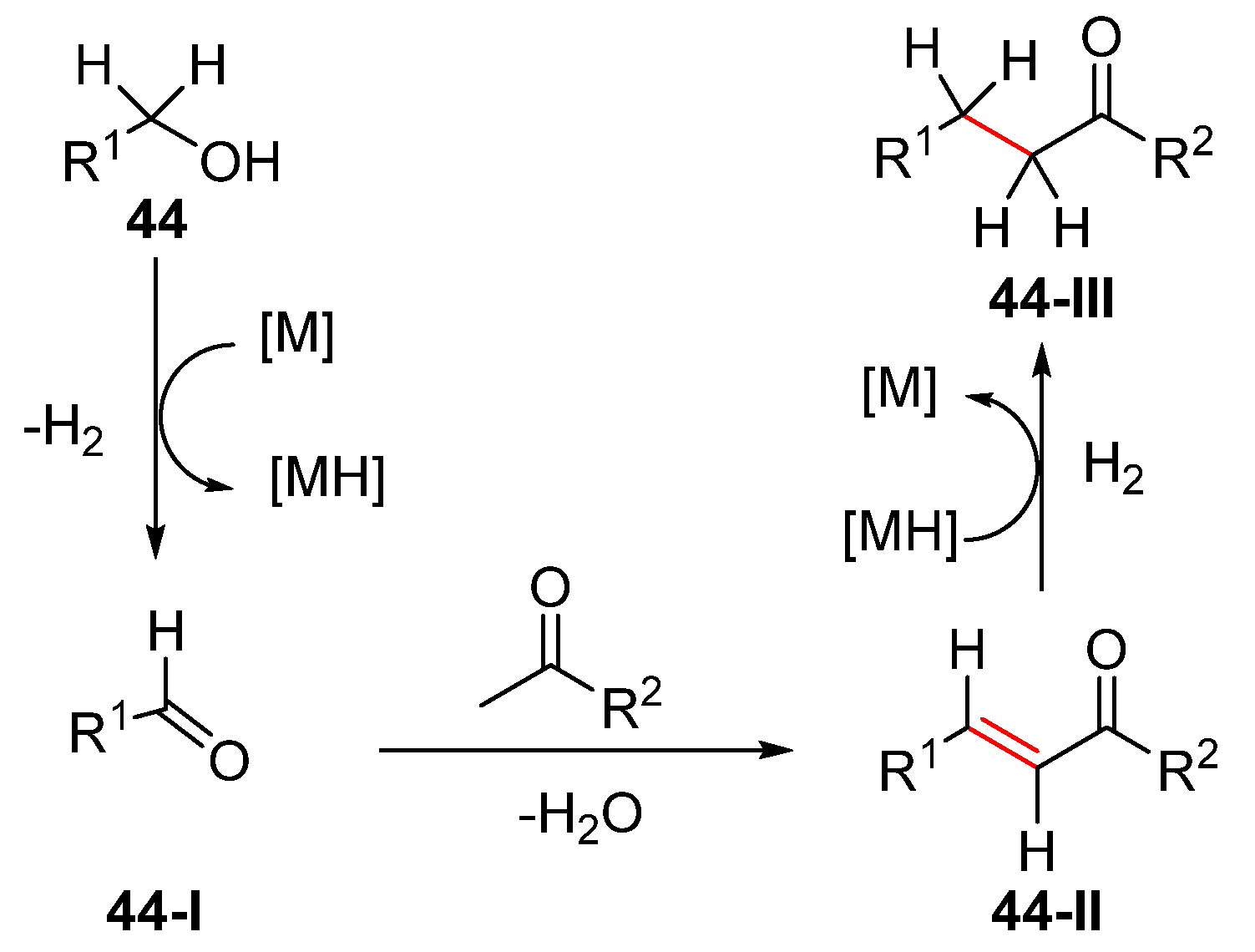
The α-alkylation of ketones is one of the most fundamental C–C bond formation reactions in organic chemistry. Achieving this transformation via substitution of alkyl halides requires stoichiometric amounts of base, hence generating stoichiometric amounts of waste. With the introduction of catalytic methodology, the corresponding alcohol equivalents emerged as alternative alkylation reagents, as they are more accessible and environmentally benign than alkyl halides. A metal-catalyzed hydrogen-borrowing strategy, hydrogen autotransfer, offers a greener pathway for the α-alkylation of ketones. The reaction pathway is described in Scheme 20. The alcohol 44 releases H2 gas to generate aldehyde 44-I; this is followed by in situ condensation to form α,β-unsaturated ketones 44-II. Finally, the generated unsaturated C–C bond is reduced by H2 to form the new C–C single bond of 44-III.
Scheme 20.
Metal-catalyzed α-alkylation of ketones with alcohols.
In 2015, Darcel and coworkers successfully demonstrated the iron-catalyzed α-alkylation of ketones with primary alcohols with the use of a catalytic amount of Cs2CO3 (Scheme 21a) [35]. A stable and convenient Knölker-type complex facilitated the iron-catalyzed hydrogen autotransfer reaction to provide corresponding alkylated products 47.
Scheme 21.
(a) Fe-catalyzed α-alkylation of ketones with primary alcohols, (b) Mn- catalyzed α-alkylation of ketones with primary alcohols, (c) Co- catalyzed α-alkylation of ketones with primary alcohols, and (d) Mn-PN3P-catalyzed α-alkylation of ketones with primary alcohols
Following the remarkable iron-catalyzed α-alkylation of ketones with primary alcohols, several metal–pincer complexes were introduced for the process. Stable manganese–PNP (Scheme 21b) [36] and cobalt–PNP complexes (Scheme 21c) [37] provide α-alkylated ketones with the use of benzylic alcohol derivatives. Recently, Sortais and coworkers demonstrated the metal-catalyzed hydrogen-borrowing α-alkylation of ketones with methanol in the presence of their manganese–PN3P complex (Scheme 21d) [38].
3.4. Rhodium-Catalyzed Regioselective α-Alkylation of Ketones with Olefins
Common α-alkylations of carbonyl compounds, involving enolate generation followed by addition or substitution of alkylating reagents, have certain limitations, such as a lack of regioselectivity, overalkylation, and the stoichiometric use of strong bases and expensive alkyl halides. In 2014, Dong and coworkers developed a novel method for the regioselective mono-α-alkylation of ketones with terminal olefins as alkyl donors via a directing group-assisted rhodium-catalyzed reaction (Scheme 22) [39].
Scheme 22.
Rh-catalyzed regioselective α-alkylation of unsymmetrical ketones with olefins.
With the use of a secondary amine directing group, such as 2,3-dihydro-7-azaindole 50, ketone starting material 48a is converted to an active enamine. The catalyst then binds the enamine and approaches its sp2 C–H bond, as represented by 52-II (Scheme 23). The metal-hydride 52-III is generated by oxidative addition, and subsequent migratory insertion of hydride into the coordinated olefin and reductive elimination provide the α-alkylated ketones 51a regioselectively, completing the directing group-assisted rhodium-catalyzed pathway.
Scheme 23.
Proposed mechanism of Rh-catalyzed regioselective α-alkylation of unsymmetrical ketones with olefins.
3.5. Photoredox-Catalyzed α-Trifluoromethylation of Ketones
The incorporation of fluorinated alkyl groups into organic frameworks is an important objective, especially in pharmaceutical chemistry, as they often impart favorable biological characteristics, such as metabolic stability, bioavailability, and lipophilicity. Due to the high electronegativity of fluorine, the negative polarization of the trifluoromethyl moiety discourages substitution reactions toward trifluoromethylation by common alkylation methods. In 2011, MacMillan and coworkers conducted the photoredox catalytic α-trifluoromethylation of ketones (Scheme 24) [40]. The reaction occurred in the presence of Ru(bpy)3Cl2 catalyst under a 26 W household fluorescent lamp.
Scheme 24.
α-Trifluoromethylation of ketones via photoredox catalysis.
The proposed reaction mechanism is described in Scheme 25. The reaction is initiated by the formation of enolsilane 54 from ketone 53, promoted by trialkylsilyl chloride and an amine base. The electrophilic trifluoromethyl radical, generated in the photocatalytic cycle, combines with enolsilane 54 to provide α-silyloxy radical 54-I. In the photoredox cycle, the [Ru(bpy)3]2+ photocatalyst is excited by light to generate the excited photocatalyst *[Ru(bpy)3]2+. The excited photocatalyst is rapidly reduced to [Ru(bpy)3]+ by single-electron reduction, and the α-silyloxy radical 54-I is simultaneously oxidized to silyl oxocarbenium 54-II, which is easily hydrolyzed to the desired α-trifluoromethylated ketone 55. The reduced photocatalyst [Ru(bpy)3]+ reacts with CF3I to generate the trifluoromethyl radical via SET, and the [Ru(bpy)3]2+ photocatalyst is regenerated. The utility of this one-pot α-trifluoromethylation protocol was well-demonstrated with a broad range of carbonyl derivatives, such as amides and esters.
Scheme 25.
Proposed mechanism for α-trifluoromethylation of ketones.
4. Imines
4.1. Chemo- and Regioselective Palladium-Catalyzed Allylic Alkylation of Imines
Since the development of the Tsuji–Trost reaction, palladium-catalyzed allylic alkylation reactions have become one of the most intensely-studied and useful reactions in organic synthesis. In the majority of cases entailing carbon nucleophiles, the reactions provide thermodynamically stable linear products. The development of synthetic pathways for branched allylic products is challenging, and only a few examples have been reported. In 2011, Wu and coworkers devised the palladium-catalyzed allylic alkylation of α-carbanions derived from imines (Scheme 26) [41], and this is a unique example of the generation of the branched allylic product. The ratio of branched and linear products could be excellently controlled by the choice of reaction conditions; branched products were dominant in the presence of P(p-MeOC6H4)3 ligand and KOtBu, while linear product selectivity occurred in the presence of PPh3 ligand and LDA.
Scheme 26.
Chemo- and regioselective palladium-catalyzed allylic alkylation of imines.
With the use of LDA, the imine substrate 60 produces a Li+-captured enamide anion intermediate and the ensuing well-known C-alkylation-delivered linear product 62 (Scheme 27a). With a softer base, such as KOtBu, on the other hand, N-alkylation affords the N-alkyl-N-allyl enamine 64 to produce the branched product 65 via [3,3′]-rearrangement (Scheme 27b).
Scheme 27.
Plausible mechanism and mechanism predicted by DFT (Density-Functional Theory) calculation for branched product formation; (a) C-alkylation and hydrolysis, (b) N-alkylation, [3,3′]-rearrangement, and hydrolysis, and (c) transmetalation and [3,3′]-reductive elimination.
To validate the [3,3′]-rearrangement pathway hypothesis (Scheme 27b), the authors attempted to generate branched product 70 from N-alkyl-N-allyl enamine 69. However, the desired [3,3′]-rearrangement product was not observed (Scheme 28). On the basis of DFT (Density-Functional Theory) calculations, the soft acid K+-bonded enamide anion readily generates intermediate 66 by transmetalation with the π-allyl–Pd complex. [3,3′]-Reductive elimination followed to give the branched product 68 (Scheme 27c).
Scheme 28.
Examination of the [3,3′]-rearrangement path for the branched product.
4.2. Stereoselective Palladium-Catalyzed Allylic Alkylation of Imines
The development of stereoselective C–C bond formation methods is a fundamental objective in organic synthesis. Numerous methodologies for the synthesis of α-chiral ketones essentially require expensive chiral ligands to introduce chirality. Chiral auxiliaries are relatively cheap and recyclable, however, only a small number are available for the assembly of α-chiral ketones from ketones. In 2016, Yang and coworkers reported the first diastereoselective palladium-catalyzed α-allylation of chiral sulfinimines (Scheme 29) [42]. Chiral sulfinimines 71 are commonly used in the synthesis of chiral amines as essential precursors with synthetic advantages, such as being air- and moisture-stable. Allyl carbonates 72 were used as the allyl source, and a Pd2(dba)3 catalyst/ P(nBu)3 ligand system provided highly diastereoselective C-alkylated products 73 in the presence of DBU or DIPEA. The chiral ketone 74 is obtained via simple hydrolysis of the chiral α-allylated imine 73 without racemization. The same group extended their strategy to include various allyl carbonate precursors, and the linear mono-allylated products were obtainable from a range of cyclic chiral sulfinimines [43].
Scheme 29.
Palladium-catalyzed diastereoselective α-allylation of sulfinimines.
The construction of chiral quaternary carbons at the α-position of chiral sulfinimines was proposed by Yang and coworkers in 2018 (Scheme 30) [44]. In the initial step, chiral sulfinimines 71 and allyl chloroformate give β-amino enoates 75 in the presence of NaHMDS. Facilitated by the electron-withdrawing effects of the ester, β-amino enoates 75 undergo NaHMDS-promoted alkylation at the α-position of chiral sulfinimines 71 in a diastereoselective manner.
Scheme 30.
Construction of chiral quaternary centers from chiral sulfinimines and palladium-catalyzed diastereoselective decarboxylation toward chiral α-alkylated sulfinimines.
The ester moiety plays a dual role, guiding of the regioselectivity of the alkylation to form the quaternary carbon center, as well as being the directing group (DG) for the diastereoselective outcome. The detailed mechanism is shown in Scheme 31. NaHMDS deprotonates the N–H and the sodium cation then coordinates to the N and O of sulfinyl amide 75. The stereoselectivity of the reaction arises from the steric repulsion between the tert-butyl group and the approaching alkyl halide, and the major product 75-II is obtained via transition state 75-I. Because the allyloxycarbonyl (Alloc) group is readily removable in the presence of a catalytic amount of Pd(PPh3)4, the chiral mono-α-alkylated sulfinimines 77 were obtained by Pd-catalyzed decarboxylation without epmiermization from sulfinimines 76.
Scheme 31.
Proposed mechanism of NaHMDS-promoted asymmetric alkylation generating quaternary carbon centers.
4.3. Photoredox-Catalyzed α-Alkylation of Imines
In recent years, photoredox chemistry has taken center stage in organic synthesis; this versatile activation approach includes catalytic carbon–carbon bond formations. α-Halocarbonyl compounds 80 provide excellent coupling partners for the α-alkylation of carbonyl derivatives, such as aldehydes and ketones, under light irradiation in the presence of a photoredox catalyst. In 2017, Dixon and coworkers reported the α-alkylation of ketimines 79 via photoredox catalysis under visible light (Scheme 32) [45]. The reactions were performed under 1 W blue LED light with [Ru(bpy)3]Cl2·6H2O photoredox catalyst and NiCl2(PPh3)2 cocatalyst, to give γ-imino esters 81 in moderate yields.
Scheme 32.
Photoredox-catalyzed α-alkylation of ketimine with Ru and Ni.
The proposed reaction mechanism is shown in Scheme 33. Enamine 79-I is generated from imine 79 via tautomerization, and the ensuing addition of the electron-poor α-carbonyl radical 80-I to electron-rich enamine 79-I generates α-amino radical 79-II. In the photoredox catalytic cycle, [Ru(bpy)3]2+ is excited by blue LED light to provide the excited photocatalyst *[Ru(bpy)3]2+. The excited photocatalyst oxidizes α-amino radical 79-II to iminium 79-III via SET (Single Electron Transfer), and the alkylated product 81 is subsequently obtained by deprotonation. The reduced ruthenium catalyst [Ru(bpy)3]+ assists the generation of the α-carbonyl radical 80-I from α-bromo carbonyl 80 via SET to regenerate the [Ru(bpy)3]2+ photocatalyst.
Scheme 33.
Proposed mechanism for the photoredox-catalyzed α-alkylation.
5. Other Carbonyl Derivatives
5.1. Palladium-Catalyzed α-Alkylation of Amides
Asymmetric allylic alkylation is an effective synthetic tool for the assembly of chiral quaternary carbon centers and allows the structural tunability of organic molecules. Although a plethora of transition metal-catalyzed asymmetric allylic alkylations have been reported (see the allylation references in Table 1), controlling the stereoselectivity of the generated quaternary center is challenging, and the substrate scope is largely limited to the amide moiety. In 2007, a chiral aryl allyl glutarimide was synthesized by the direct alkylation of glutarimide enolates (Scheme 34) [46]. The chemo-, regio-, and stereoselective reaction employed a catalytic amount of nHex4NBr and a highly reactive C-nucleophile to deliver the chiral quaternary carbon center with no N-allylation being observed. As a result, product 83 was isolated in 95% yield and 80% ee with the use of chiral Trost-ligand (S,S)-L6 in the palladium-catalyzed allylation. 3-Aryl-2-piperidinones were also successfully utilized in this method to provide all-carbon-substituted chiral quaternary stereocenters [47].
Table 1.
Various catalytic systems for the α-alkylation of carbonyl compounds.
Scheme 34.
Palladium-catalyzed asymmetric allylic alkylation of amides to generate a quaternary carbon center.
Allylic alkylation and enantioselective α-acylation of γ-butyrolactams has been investigated for syntheses requiring 5-membered N-heterocyclic building blocks. The value of this approach is that γ-butyrolactam, a cyclic amide moiety, is a key framework of various pharmaceutically and agrochemically active molecules. In earlier studies, this methodology was only applicable to α-unsubstituted piperidinones, which necessitate basicity-controlled zinc–enolate formation, and to oxindole derivatives, which do not require strong bases or high temperature conditions. In 2019, the transition metal-catalyzed enantioselective α-arylation of γ-lactams was reported by the Stoltz group (Scheme 35) [48]. Interestingly, the ligand of choice, dialkyl bisphosphine L11, formed a highly stable palladium–ligand complex, capable of withstanding high reaction temperatures and basic conditions. This crucial chiral palladium species allowed the enantioselective α-arylation of γ-lactam 84 with aryl halides 2.
Scheme 35.
Palladium-catalyzed asymmetric α-arylation of γ-lactam derivatives.
5.2. Other Metal-Catalyzed α-Alkylations of Amides and Esters
The ruthenium-PNN pincer-type ligand complexes (Ru-PNN) have also been utilized to direct the α-alkylation of unactivated amides (Scheme 36) [49]. Interestingly, alcohol reagent 86 was adopted as an alkylation reagent in conjunction with Ru-PNN catalyst under dehydrative conditions. These dehydrogenation–condensation–hydrogenation processes were achieved with the employ of a tridentate pincer ligand with a high turnover number (TON). This ruthenium-based reaction was successful for indolinone-type substrates, as well as acyclic tert-amides. This method could be applied to the synthesis of C3-alkylated 3-hydroxyindolin-2-ones via α-alkylation.
Scheme 36.
Ru-PNN-catalyzed α-alkylations of amides with primary alcohols.
Although the ester group is generally less stable than amide, esters can be prepared through simple Williamson esterification and represent a versatile functionality in organic synthesis, industrial chemistry, polymer synthesis, etc. Generally, α-alkylation of esters can be achieved via a Lewis-acid-catalyzed reaction between silyl ketene acetals and alkyl halides. However, this traditional approach generates more than one equivalent of lithium salt byproducts. The Ishii group reported the first example of an iridium-catalyzed α-alkylation using primary alcohols 86 and tert-butyl acetate 89 (Scheme 37) [50]. This method provides a highly efficient means for the preparation of various alkyl tert-butyl esters 90 on a large scale. Moreover, all catalysts and reagents required for the iridium-catalyzed reaction are commercially available from numerous suppliers. Therefore, this methodology was successfully applied to the preparation of ethylene brassylate, an industrial musk odor chemical utilized in perfume production.
Scheme 37.
Ir-catalyzed α-alkylations of esters with primary alcohols.
Stoltz and coworkers conducted the nickel-catalyzed enantioselective α-acylation of γ-lactams (Scheme 38) [51]. The reaction entails a three-component coupling of lactam enolates, benzonitriles, and aryl halides to provide α-quaternary-substituted lactams. The nickel/ Mandyphos-type ligand L12 complex induces enantioselectivity during ligand substitution and the insertion of benzonitrile 91 in the reaction with lactam enolate, derived from the corresponding lactam 84.
Scheme 38.
Nickel-catalyzed asymmetric α-acylation of γ-lactam derivatives.
First-low transition metals have also been studied for the efficient α-alkylation of amides and esters. A metal-catalyzed hydrogen-borrowing strategy, the hydrogen autotransfer strategy, is described in Scheme 20, and this approach has also been applied to aldehydes, as well as amides and esters. The cobalt-catalyzed α-alkylation of unactivated amides and esters with alcohols was reported by Kempe and coworkers in 2016 (Scheme 39a) [52]. The α-position of the acetyl group in amides and esters 93 was successfully activated by a Co-PN5P-type catalyst and KtBuO. Primary alcohols 86 were employed as coupling partners for α-alkylation, and this methodology was performed under milder conditions, compared to those of previous transition metal-catalyzed α-functionalizations of unactivated amides or esters, and it exhibited good functional group tolerance. In addition, Ni-catalyzed α-alkylation of unactivated amides and esters 93 has been proposed (Scheme 39b) [53]. Tridentate NNN-pincer-type ligands displayed optimal catalytic activities with Ni in this transformation, and water was produced as the only byproduct of the reaction.
Scheme 39.
(a) Co -catalyzed α-alkylations of amides and esters with primary alcohols, (b) Ni-catalyzed α-alkylations of amides and esters with primary alcohols.
6. Conclusions and Outlooks
This review summarizes recent transition metal-catalyzed α-alkylation reactions of various carbonyl derivatives. Since the Tsuji–Trost reaction, palladium-catalyzed allylic alkylation reactions have been extensively studied, and various regio- and stereo-controlled reactions have been conducted for selective synthesis. Green and economical reactions have been invented to circumvent drawbacks of traditional alkylation methods, such as the stoichiometric use of strong bases for the generation of reactive enolates, toxic and expensive alkyl halides, the need for novel metal catalysts, and the generation of halide waste.
Consequently, various catalytic systems have been successfully utilized in α-alkylation of carbonyl derivatives, and Pd, Ir, Co, Mn, Ni, Ru, and Rh were employed with chelating ligands. A broad range of substrate scopes, such as aldehydes, amides, esters, imines, and ketones were efficiently functionalized with this transition metal catalysis. Not only the carbonyl derivatives, but also the α-functionalization of amine compounds and peptide-based molecules have been intensively studied under the same concepts—green and economical processes with transition metal catalysts for greater efficiency [54,55].
In spite of the considerable breakthroughs in recent α-alkylation of carbonyl derivatives, this field still requires significant improvements, such as increasing selectivity for branched or linear allylation, use of cheap metal catalysts for stereo-controlled alkylations, and environment-friendly reaction conditions. Several metal-free α-alkylation of carbonyl derivatives were investigated with this context [56], and a transient directing group (TDG) strategy could be considered for expanding the substrate scopes to relative unstable functionalities [57,58]. Especially, advances in stereo-controlled reactions of imines may expand synthetic utilities toward synthesis of biologically active amine-containing products with combinations of well-known diastereo-selective reactions. We hope that this review will inspire the development of novel α-alkylations of carbonyl derivatives and other related methodologies, as well as the discovery of applications in diverse organic syntheses.
Author Contributions
H.-E.L., D.K., and A.Y. contributed equally to this work. M.K. and C.K. designed and conceptualized the main story line for α-alkylations. H.-E.L., D.K., and A.Y. summarized and categorized target reactions. M.H.P. and M.K. summarized photo-redox chemistry for α-alkylations. All authors prepared and wrote the manuscript together. All authors have read and agreed to the published version of the manuscript.
Funding
This project was supported by the Basic Science Research Program (2019R1A2C4070584 for H.-E.L., D.K., A.Y., and M.K.) and (2020R1F1A1067981 for C.K.) through the National Research Foundation of Korea (NRF) funded by the Ministry of Science and ICT.
Acknowledgments
Sung Min Kang is gratefully acknowledged for discussion to prepare the manuscript.
Conflicts of Interest
The authors declare no conflict of interest.
References
- Cano, R.; Zakarian, A.; McGlacken, G.P. Direct Asymmetric Alkylation of Ketones: Still Unconquered. Angew. Chem. Int. Ed. 2017, 56, 9278–9290. [Google Scholar] [CrossRef] [PubMed]
- Afewerki, S.; Córdova, A. Enamine/Transition Metal Combined Catalysis: Catalytic Transformations Involving Organometallic Electrophilic Intermediates. Top. Curr. Chem. 2019, 377, 38. [Google Scholar] [CrossRef] [PubMed]
- Hethcox, J.C.; Shockley, S.E.; Stoltz, B.M. Iridium-Catalyzed Diastereo-, Enantio-, and Regioselective Allylic Alkylation with Prochiral Enolates. ACS Catal. 2016, 6, 6207–6213. [Google Scholar] [CrossRef] [PubMed]
- Tsuji, J. Transition Metal Reagents and Catalysts; Wiley: Chichester, UK, 2000; ISBN 9780471634980. [Google Scholar]
- Trost, B.M.; Lee, C. Asymmetric Carbon–Carbon Bond-Forming Reactions: Asymmetric Allylic Alkylation Reactions. In Catalytic Asymmetric Synthesis; Ojima, I., Ed.; Wiley-VCH: New York, NY, USA, 2000; Chapter 8E; ISBN 9780471298052. [Google Scholar]
- Kimura, M.; Mukai, R.; Tamaki, T.; Horino, Y.; Tamaru, Y. Pd (0)-Catalyzed Amphiphilic Allylation of Aldehydes with Vinyl Epoxide. J. Am. Chem. Soc. 2007, 129, 4122–4123. [Google Scholar] [CrossRef] [PubMed]
- Lang, S.B.; Locascio, T.M.; Tunge, J.A. Activation of Alcohols with Carbon Dioxide: Intermolecular Allylation of Weakly Acidic Pronucleophiles. Org. Lett. 2014, 16, 4308–4311. [Google Scholar] [CrossRef] [PubMed]
- Chen, L.; Luo, M.-J.; Zhu, F.; Wen, W.; Guo, Q.-X. Combining Chiral Aldehyde Catalysis and Transition-Metal Catalysis for Enantioselective α-Allylic Alkylation of Amino Acid Esters. J. Am. Chem. Soc. 2019, 141, 5159–5163. [Google Scholar] [CrossRef]
- Modern Carbonyl Chemistry; Otera, J., Ed.; Wiley-VCH: Weinheim, Germany, 2000; ISBN 9783527298716. [Google Scholar]
- Oliveira, V.D.G.; Cardoso, M.F.D.C.; Forezi, L.D.S.M. Organocatalysis: A Brief Overview on Its Evolution and Applications. Catalysts 2018, 8, 605. [Google Scholar] [CrossRef]
- Committee for Medicinal Products for Human Use (CHMP). Guidelines on the Specification Limits for Residues of Metal Catalysts or Metal Reagents; Doc. Ref. EMEA/CHMP/SWP/4446/2000; European Medicines Agency: London, UK, 2008; pp. 1–34. [Google Scholar]
- Johansson, C.C.C.; Colacot, T.J. Metal-Catalyzed α-Arylation of Carbonyl and Related Molecules: Novel Trends in C-C Bond Formation by C-H Bond Functionalization. Angew. Chem. Int. Ed. 2010, 49, 676–707. [Google Scholar] [CrossRef]
- Culkin, D.A.; Hartwig, J.F. Palladium-Catalyzed α-Arylation of Carbonyl Compounds and Nitriles. Acc. Chem. Res. 2003, 36, 234–245. [Google Scholar] [CrossRef]
- Kimura, M.; Horino, Y.; Mukai, R.; Tanaka, S.; Tamaru, Y. Strikingly Simple Direct α-Allylation of Aldehydes with Allyl Alcohols: Remarkable Advance in the Tsuji−Trost Reaction. J. Am. Chem. Soc. 2001, 123, 10401–10402. [Google Scholar] [CrossRef]
- Terao, Y.; Fukuoka, Y.; Satoh, T.; Miura, M.; Nomura, M. Palladium-catalyzed α-arylation of aldehydes with aryl bromides. Tetrahedron Lett. 2002, 43, 101–104. [Google Scholar] [CrossRef]
- Martín, R.; Buchwald, S.L. A General Method for the Direct α-Arylation of Aldehydes with Aryl Bromides and Chlorides. Angew. Chem. Int. Ed. 2007, 46, 7236–7239. [Google Scholar] [CrossRef] [PubMed]
- García-Fortanet, J.; Buchwald, S.L. Asymmetric Palladium-Catalyzed Intramolecular α-Arylation of Aldehydes. Angew. Chem. Int. Ed. 2008, 47, 8108–8111. [Google Scholar] [CrossRef] [PubMed]
- Ibrahem, I.; Córdova, A. Direct Catalytic Intermolecular α-Allylic Alkylation of Aldehydes by Combination of Transition metal and Organocatalysis. Angew. Chem. Int. Ed. 2006, 45, 1952–1956. [Google Scholar] [CrossRef] [PubMed]
- Afewerki, S.; Ibrahem, I.; Rydfjord, J.; Breistein, P.; Córdova, A. Direct Regiospecific and Highly Enantioselective Intermolecular α-Allylic Alkylation of Aldehydes by a Combination of Transition metal and Chiral Amine Catalysts. Chem. Eur. J. 2012, 18, 2972–2977. [Google Scholar] [CrossRef]
- Mukherjee, S.; List, B. Chiral Counteranions in Asymmetric Transition metal Catalysis: Highly Enantioselective Pd/Brønsted Acid-Catalyzed Direct α-Allylation of Aldehydes. J. Am. Chem. Soc. 2007, 129, 11336–11337. [Google Scholar] [CrossRef]
- Jiang, G.; List, B. Direct Asymmetric α-Allylation of Aldehydes with Simple Allylic Alcohols Enabled by the Concerted Action of Three Different Catalysts. Angew. Chem. Int. Ed. 2011, 50, 9471–9474. [Google Scholar] [CrossRef]
- Wang, P.-S.; Lin, H.-C.; Zhai, Y.-J.; Han, Z.-Y.; Gong, L.-Z. Chiral Counteranion Strategy for Asymmetric Oxidative C(sp3)-H/C(sp3)-H Coupling: Enantioselective α-Allylation of Aldehydes with Terminal Alkenes. Angew. Chem. Int. Ed. 2014, 53, 12218–12221. [Google Scholar] [CrossRef]
- Su, Y.-L.; Li, L.-L.; Zhou, X.-L.; Dai, Z.-Y.; Wang, P.-S.; Gong, L.-Z. Asymmetric α-Allylation of Aldehydes with Alkynes by Integrating Chiral Hydridopalladium and Enamine Catalysis. Org. Lett. 2018, 20, 2403–2406. [Google Scholar] [CrossRef]
- Krautwald, S.; Sarlah, D.; Schafroth, M.A.; Carreira, E.M. Enantio- and Diastereodivergent Dual Catalysis: α-Allylation of Branched Aldehydes. Science 2013, 340, 1065–1068. [Google Scholar] [CrossRef]
- Cruz, F.A.; Dong, V.M. Stereodivergent Coupling of Aldehydes and Alkynes via Synergistic Catalysis Using Rh and Jacobsen’s Amine. J. Am. Chem. Soc. 2017, 139, 1029–1032. [Google Scholar] [CrossRef] [PubMed]
- Nicewicz, D.A.; MacMillan, D.W.C. Merging Photoredox Catalysis with Organocatalysis: The Direct Asymmetric Alkylation of Aldehydes. Science 2008, 322, 77–80. [Google Scholar] [CrossRef] [PubMed]
- Welin, E.R.; Warkentin, A.A.; Conrad, J.C.; MacMillan, D.W.C. Enantioselective α-Alkylation of Aldehydes by Photoredox Organocatalysis: Rapid Access to Pharmacophore Fragments from β-Cyanoaldehydes. Angew. Chem. Int. Ed. 2015, 54, 9668–9672. [Google Scholar] [CrossRef] [PubMed]
- Nagib, D.A.; Scott, M.E.; MacMillan, D.W.C. Enantioselective α-Trifluoromethylation of Aldehydes via Photoredox Organocatalysis. J. Am. Chem. Soc. 2009, 131, 10875–10877. [Google Scholar] [CrossRef]
- Shih, H.-W.; Vander Wal, M.N.; Grange, R.L.; MacMillan, D.W.C. Enantioselective α-Benzylation of Aldehydes via Photoredox Organocatalysis. J. Am. Chem. Soc. 2010, 132, 13600–13603. [Google Scholar] [CrossRef]
- Capacci, A.G.; Malinowski, J.T.; McAlpine, N.J.; Kuhne, J.; MacMillan, D.W.C. Direct, enantioselective α-alkylation of aldehydes using simple olefins. Nat. Chem. 2017, 9, 1073–1077. [Google Scholar] [CrossRef]
- Trost, B.M.; Schroeder, G.M.; Kristensen, J. Palladium-Catalyzed Asymmetric Allylic Alkylation of α-Aryl Ketones. Angew. Chem. Int. Ed. 2002, 41, 3492–3495. [Google Scholar] [CrossRef]
- Nemoto, T.; Fukuda, T.; Matsumoto, T.; Hitomi, T.; Hamada, Y. Enantioselective Construction of All-Carbon Quaternary Stereocenters Using Palladium-Catalyzed Asymmetric Allylic Alkylation of γ-Acetoxy-α,β-unsaturated Carbonyl Compounds. Adv. Synth. Catal. 2005, 347, 1504–1506. [Google Scholar] [CrossRef]
- Zhao, X.; Liu, D.; Guo, H.; Liu, Y.; Zhang, W. C–N Bond Cleavage of Allylic Amines via Hydrogen Bond Activation with Alcohol Solvents in Pd-Catalyzed Allylic Alkylation of Carbonyl Compounds. J. Am. Chem. Soc. 2011, 133, 19354–19357. [Google Scholar] [CrossRef]
- Huo, X.; Quan, M.; Yang, G.; Zhao, X.; Liu, D.; Liu, Y.; Zhang, W. Hydrogen-Bond-Activated Palladium-Catalyzed Allylic Alkylation via Allylic Alkyl Ethers: Challenging Leaving Groups. Org. Lett. 2014, 16, 1570–1573. [Google Scholar] [CrossRef]
- Elangovan, S.; Sortais, J.-B.; Beller, M.; Darcel, C. Iron-Catalyzed α-Alkylation of Ketones with Alcohols. Angew. Chem. Int. Ed. 2015, 54, 14483–14486. [Google Scholar] [CrossRef] [PubMed]
- Peña-López, M.; Piehl, P.; Elangovan, S.; Neumann, H.; Beller, M. Manganese-Catalyzed Hydrogen-Autotransfer C−C Bond Formation: α-Alkylation of Ketones with Primary Alcohols. Angew. Chem. Int. Ed. 2016, 55, 14967–14971. [Google Scholar] [CrossRef] [PubMed]
- Zhang, G.; Wu, J.; Zeng, H.; Zhang, S.; Yin, Z.; Zheng, S. Cobalt-Catalyzed α-Alkylation of Ketones with Primary Alcohols. Org. Lett. 2017, 19, 1080–1083. [Google Scholar] [CrossRef] [PubMed]
- Bruneau-Voisine, A.; Pallova, L.; Bastin, S.; César, V.; Sortais, J.-B. Manganese catalyzed α-methylation of ketones with methanol as a C1 source. Chem. Commun. 2019, 55, 314–317. [Google Scholar] [CrossRef] [PubMed]
- Mo, F.; Dong, G. Regioselective ketone α-alkylation with simple olefins via dual activation. Science 2014, 345, 68–72. [Google Scholar] [CrossRef]
- Pham, P.V.; Nagib, D.A.; MacMillan, D.W.C. Photoredox Catalysis: A Mild, Operationally Simple Approach to the Synthesis of α-Trifluoromethyl Carbonyl Compounds. Angew. Chem. Int. Ed. 2011, 50, 6119–6122. [Google Scholar] [CrossRef]
- Chen, J.-P.; Peng, Q.; Lei, B.-L.; Hou, X.-L.; Wu, Y.-D. Chemo- and Regioselectivity-Tunable Pd-Catalyzed Allylic Alkylation of Imines. J. Am. Chem. Soc. 2011, 133, 14180–14183. [Google Scholar] [CrossRef]
- Li, J.; Jiang, S.; Procopiou, G.; Stockman, R.A.; Yang, G. Palladium-Catalyzed Diastereoselective α-Allylation of Chiral Sulfinimines. Eur. J. Org. Chem. 2016, 2016, 3500–3504. [Google Scholar] [CrossRef]
- Li, J.; Dawood, R.S.; Qin, S.; Liu, T.; Liu, S.; Stockman, R.A.; Jiang, S.; Yang, G. Palladium-catalysed α-allylation of chiral sulfinimines derived from symmetric cyclic ketones. Tetrahedron Lett. 2017, 58, 1146–1150. [Google Scholar] [CrossRef]
- Qin, S.; Liu, S.; Cao, Y.; Li, J.; Chong, C.; Liu, T.; Luo, Y.; Hu, J.; Jiang, S.; Zhou, H.; et al. α-Alkylation of Chiral Sulfinimines for Constructing Quaternary Chiral Carbons by Introducing Removable Directing Groups. Org. Lett. 2018, 20, 1350–1354. [Google Scholar] [CrossRef]
- Franchino, A.; Rinaldi, A.; Dixon, D.J. α-Alkylation of ketimines using visible light photoredox catalysis. RSC Adv. 2017, 7, 43655–43659. [Google Scholar] [CrossRef][Green Version]
- Nowicki, A.; Keldenich, J.; Agbossou-Niedercorn, F. Highly Selective Preparation of a Chiral Quaternary Allyl Aryl Piperidinedione by Palladium-Catalyzed Asymmetric Allylation Under Solid–Liquid Phase-Transfer Catalysis. Eur. J. Org. Chem. 2007, 2007, 6124–6127. [Google Scholar] [CrossRef]
- Michon, C.; Béthegnies, A.; Capet, F.; Roussel, P.; de Filippis, A.; Gomez-Pardo, D.; Cossy, J.; Agbossou-Niedercorn, F. Catalytic Asymmetric Allylic Alkylation of 3-Arylated Piperidin-2-ones. Eur. J. Org. Chem. 2013, 2013, 4979–4985. [Google Scholar] [CrossRef]
- Jette, C.I.; Geibel, I.; Bachman, S.; Hayashi, M.; Sakurai, S.; Shimizu, H.; Morgan, J.B.; Stoltz, B.M. Palladium-Catalyzed Construction of Quaternary Stereocenters by Enantioselective Arylation of γ-Lactams with Aryl Chlorides and Bromides. Angew. Chem. Int. Ed. 2019, 58, 4297–4301. [Google Scholar] [CrossRef] [PubMed]
- Chaudhari, M.B.; Bisht, G.S.; Kumari, P.; Gnanaprakasam, B. Ruthenium-catalyzed direct α-alkylation of amides using alcohols. Org. Biomol. Chem. 2016, 14, 9215–9220. [Google Scholar] [CrossRef] [PubMed]
- Iuchi, Y.; Obora, Y.; Ishii, Y. Iridium-Catalyzed α-Alkylation of Acetates with Primary Alcohols and Diols. J. Am. Chem. Soc. 2010, 132, 2536–2537. [Google Scholar] [CrossRef]
- Hayashi, M.; Bachman, S.; Hashimoto, S.; Eichman, C.C.; Stoltz, B.M. Ni-Catalyzed Enantioselective C-Acylation of α-Substituted Lactams. J. Am. Chem. Soc. 2016, 138, 8997–9000. [Google Scholar] [CrossRef]
- Deibl, N.; Kempe, R. General and Mild Cobalt-Catalyzed C-Alkylation of Unactivated Amides and Esters with Alcohols. J. Am. Chem. Soc. 2016, 138, 10786–10789. [Google Scholar] [CrossRef]
- Midya, S.P.; Rana, J.; Pitchaimani, J.; Nandakumar, A.; Madhu, V.; Balaraman, E. Ni-Catalyzed α-Alkylation of Unactivated Amides and Esters with Alcohols by Hydrogen Auto-Transfer Strategy. ChemSusChem 2018, 11, 3911–3916. [Google Scholar] [CrossRef]
- Gonnard, L.; Guerinot, A.; Cossy, J. Transition Metal-Catalyzed α-Alkylation of Amines by C(sp3)-H-Bond Activation. Tetrahedron 2019, 75, 145–163. [Google Scholar] [CrossRef]
- Brandhofer, T.; Mancheno, O.G. Site-Selective C-H Bond Activation/Functionalization of Alpha-Amino Acids and Peptide-Like Derivatives. Eur. J. Org. Chem. 2018, 2018, 6050–6067. [Google Scholar] [CrossRef]
- Merritt, E.A.; Olofsson, B. α-Functionalization of Carbonyl Compounds Using Hypervalent Iodide Reagents. Synthesis 2011, 517–538. [Google Scholar] [CrossRef]
- Ha, H.; Lee, J.; Park, M.H.; Jung, B.; Kim, M. Transient Directing Group-assisted C-H Bond Functionalization of Aliphatic Amines: Strategies for Efficiency and Site-selectivity. Bull. Korean Chem. Soc. 2020, 41, 582–587. [Google Scholar] [CrossRef]
- Gandeepan, P.; Ackermann, L. Transient Directing Groups for Transformative C–H Activation by Synergistic Metal Catalysis. Chem 2018, 4, 199–222. [Google Scholar] [CrossRef]
© 2020 by the authors. Licensee MDPI, Basel, Switzerland. This article is an open access article distributed under the terms and conditions of the Creative Commons Attribution (CC BY) license (http://creativecommons.org/licenses/by/4.0/).







































