Abstract
A protocol for the coupling of potassium xanthogenates with α-(trifluoromethyl)styrenes in the presence of triethyl phosphite is reported. The reaction is carried out under blue light irradiation in the presence of organic photocatalyst 3DPAFIPN. The reaction proceeds via formation of alkyl radicals from readily available xanthogenate salts via oxidative desulfurization and cleavage of the carbon–oxygen bond assisted by triethyl phosphite.
1. Introduction
Radical reactions constitute a rapidly developing branch of synthetic organic chemistry [1]. The advent of photocatalysis has offered novel opportunities in radical chemistry, primarily associated with methods for the generation of radical intermediates [2,3,4]. Recently, we described an approach for the direct generation of free radicals from aliphatic thiols via their in situ conversion into zinc thiolates with subsequent abstraction of the sulfur by triphenylphosphine [5] (Scheme 1) The key idea of this method is that a combination of a thiolate and a phosphorus (III) reagent upon photoredox oxidation leads to a free radical and the strong phosphorus–sulfur double bond. This reaction may proceed via initial oxidation of either the thiolate anion or the phosphorus atom. Herein, we report the extension of this principle to alcohols, which are far more abundant than thiols. We proposed that potassium xanthogenates, which can be easily obtained from alcohols, could be involved in reaction with phosphorus (III) reagents under photocatalytic conditions. Indeed, after abstraction of the sulfur by the phosphorus reagent, the thiocarbonyl radical is formed, which is prone to expel carbonyl sulfide (COS) with the generation of alkyl radical [6,7]. As coupling partners, we employed α-(trifluoromethyl)styrenes, since they are known to be effective radical acceptors leading, after redox cycle, to gem-difluorinated styrenes [8,9]. During the preparation of this manuscript we became aware of a similar concept, with the alkyl radicals being trapped by acrylates [10].
Scheme 1.
Generation of radicals from sulfur derivatives.
2. Results
Potassium xanthogenate 1a derived from phenethyl alcohol was used as a model reagent and its coupling with styrene 2a under blue light irradiation was carried out. We performed extensive variation of the phosphorus (III) reagent, photocatalyst, solvent, and the reaction time (Table 1). Using triphenylphosphine as a reagent and a typical iridium catalyst, the best result was achieved in dichloromethane as solvent within 1.5 h (entry 3). The switch to an organic photocatalyst 3DPAFIPN (0.6 mol%) [11] led to further improvement. Rewardingly, triethyl phosphite also proved to be a suitable reagent. With this phosphite, the complete conversion of styrene 2a was achieved in 3 h, and gave product 3a in a 68% isolated yield (entry 16).
Table 1.
Optimization studies.
Under the optimized conditions, potassium xanthogenates 1 were combined with α-(trifluoromethyl)styrenes 2 (Scheme 2). The reaction involving generation of primary radicals worked well, while xanthogenates generating secondary radicals required five equivalents of triethyl phosphite. In this way, cyclopentyl, cyclohexyl, isopropyl, and tert-butyl radicals were successfully intercepted by styrene 1a.
Scheme 2.
Synthesis of compounds 3. Isolated yields are shown. 1 Yield determined by 19F NMR using 4-fluorotoluene as internal standard; 2 5 equiv of P(OEt)3 were used.
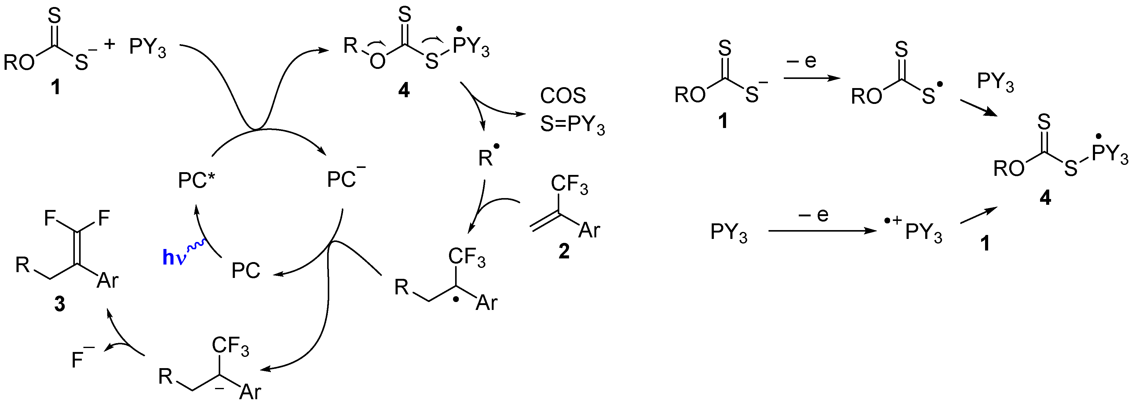
The proposed mechanistic concept is presented in Scheme 3. The photoexcited catalyst converts xanthogenate anion and the phosphorus (III) reagent into phosphoranyl radical 4, which then undergoes fragmentation with the formation of carbonyl sulfide (COS) and phosphorus (V) product bearing a strong P=S bond. Then, the radical adds across the C=C bond of styrene 2 followed by reduction with the aid of the reduced form of the photocatalyst. At the final step the carbanionic species eliminates fluoride anion, leading to product 3. Concerning the formation of intermediate 4, two pathways can be considered depending on the matching of redox potentials of xanthogenate anion and the phosphorus reagent. Thus, the single-electron oxidation of xanthogenate leads to the sulfur-centered radical, which can interact with the phosphorus reagent [12,13]. Alternatively, the phosphorus atom can first be oxidized to give the phosphinyl radical cation [14,15,16], which can combine with the xanthogenate anion.
Scheme 3.
Proposed mechanism.
3. Materials and Methods
3.1. General Information
Dichloromethane was distilled from calcium hydride and stored over 3 Å molecular sieves. Column chromatography was carried out using silica gel (230–400 mesh). For TLC, precoated plates F-254 were used. NMR spectra were recorded on a Bruker Avance II 300 instrument (see Supplementary Materials for copies of NMR spectra). HRMS spectra were measured using electrospray ionization and time-of-flight analyzer. The measurements were performed in positive (4500 V) or negative (3200 V) ion modes; m/z mass range from 50 to 3000.
Starting compounds were prepared according to literature procedures: α-(trifluoromethyl)styrenes [17]; potassium phenethyl xanthogenate [18]; potassium n-hexyl xanthogenate [19]; potassium isoamyl xanthogenate [20]; cyclopentyl xanthogenate [20]; potassium cyclohexyl xanthogenate [20]; potassium isopropyl xanthogenate [21]; potassium tert-butyl xanthogenate [22]; 2,4,6-tris(diphenylamino)-5-fluoroisophthalonitrile (3DPAFIPN) [11].
3.2. Reaction of Potassium Xanthagenates with α-(Trifluoromethyl)styrenes (General Procedure)
Potassium xanthagenate 1 (0.75 mmol, 1.5 equiv), and 3DPAFIPN (2.0 mg, 0.6 mol%) were placed in a test tube (Duran # 261351155, Roth # K248.1, outside diameter 12 mm). The tube was evacuated and filled with argon. Dichloromethane (2.0 mL), triethyl phosphite (for 3a–d,h,i, 128 µL, 0.75 mmol, 1.5 equiv; for 3e–g,j 431 µL, 2. 5 mmol, 5.0 equiv), and α-(trifluoromethyl)styrene 2 (0.5 mmol, 1.0 equiv) were added. The tube was tightly closed with a screw cap and irradiated for 3 h by blue light. For the irradiation, a 450 nm LED chip (Hontiey royal blue 100 W, operated at 40 W) was employed. The distance between the LED chip and the test tube was 1 cm. During irradiation, the tube was immersed into a water bath (15–20 °C). For the work-up, saturated K2CO3 (1 mL) was added, the mixture was stirred for 15 min, then water (10 mL) was added, and the mixture was extracted with hexanes (3 × 4 mL). The combined organic layers were dried over sodium sulfate, filtered, concentrated. The crude material was purified by column chromatography on silica gel.
(5,5-Difluoropent-4-ene-1,4-diyl)dibenzene (3a) [5]. Yield 88 mg (68%). Colorless oil. Chromatography: hexanes. Rf 0.28 (hexanes). 1H NMR (300 MHz, CDCl3) δ: 7.48–7.16 (m, 10H), 2.70 (t, J = 7.8, 2H), 2.57–2.50 (m, 2H), 1.85–1.74 (m, 2H). 13C{1H} NMR (75 MHz, CDCl3) δ: 153.8 (t, J = 288.6 Hz), 142.0, 133.8, 128.6, 128.5, 128.4, 128.4 (t, J = 3.3 Hz), 127.4, 126.0, 92.4 (t, J = 17.4 Hz), 35.4, 29.5 (t, J = 2.5 Hz), 27.5 (t, J = 1.3 Hz). 19F NMR (282 MHz, CDCl3) δ: −92.1–92.5 (m, 2F).
(1,1-Difluoronon-1-en-2-yl)benzene (3b). Yield 77 mg (65%). Colorless oil. Chromatography: hexanes. Rf 0.55 (hexanes). 1H NMR (300 MHz, CDCl3) δ: 7.46–7.28 (m, 5H), 2.50–2.40 (m, 2H), 1.51–1.21 (m, 10H), 0.93 (t, J = 7.0 Hz, 3H). 13C{1H} NMR (75 MHz, CDCl3) δ: 153.7 (dd, J = 288.4, 287.4 Hz), 134.1 (d, J = 1.7 Hz), 128.5, 128.4 (t, J = 3.3 Hz), 127.3, 92.7 (dd, J = 18.3, 15.9 Hz), 32.0, 29.16, 29.12, 27.9 (t, J = 2.5 Hz), 27.8 (t, J = 1.2 Hz), 22.8, 14.2. 19F NMR (282 MHz, CDCl3) δ: −92.9 (s, 2F). HRMS (ESI): calcd for C15H20F2Ag (M + Ag) 345.0579, found 345.0566.
(1,1-Difluoro-6-methylhept-1-en-2-yl)benzene (3c). Yield 72 mg (64%). Colorless oil. Chromatography: hexanes. Rf 0.55 (hexanes). 1H NMR (300 MHz, CDCl3) δ: 7.46–7.28 (m, 5H), 2.48–2.39 (m, 2H), 1.64–1.48 (m, 1H), 1.48–1.36 (m, 2H), 1.30–1.20 (m, 2H), 0.89 (d, J = 6.6 Hz, 6H). 13C{1H} NMR (75 MHz, CDCl3) δ: 153.8 (dd, J = 288.8, 287.5 Hz), 134.1 (d, J = 1.9 Hz), 128.5, 128.4 (t, J = 3.2 Hz), 127.3, 92.7 (dd, J = 18.6, 15.9 Hz), 38.5, 28.1 (t, J = 1.2 Hz), 27.9, 25.7 (t, J = 2.5 Hz), 22.7. 19F NMR (282 MHz, CDCl3) δ: −92.9 (s, 2F). HRMS (ESI): calcd for C14H18F2Ag (M + Ag) 331.0422, found 331.0412.
(1,1-Difluoropent-1-en-2-yl)benzene (3d) [23]. Yield 40 mg (44%). Colorless oil. Chromatography: hexanes. Rf 0.50 (hexanes). 1H NMR (300 MHz, CDCl3) δ: 7.44–7.28 (m, 5H), 2.43 (tt, J = 7.5, 2.4 Hz, 2H), 1.44 (sept, J = 7.5 Hz, 1H), 0.95 (t, J = 7.4 Hz, 3H). 13C{1H} NMR (75 MHz, CDCl3) δ: 153.9 (dd, J = 288.9, 286.6 Hz), 134.1 (dd, J = 3.3, 1.7 Hz), 128.5, 128.5 (t, J = 3.3 Hz), 127.3, 92.4 (dd, J = 20.4, 14.3 Hz), 29.8, 21.1 (t, J = 2.6 Hz), 13.5. 19F NMR (282 MHz, CDCl3) δ: −92.8 (d, J = 45.1 Hz, 1F), −92.9 (d, J = 45.1 Hz, 1F).
(3-Cyclopentyl-1,1-difluoroprop-1-en-2-yl)benzene (3e) [5]. Yield 84 mg (76%). Colorless oil. Chromatography: hexanes. Rf 0.55 (hexanes). 1H NMR (300 MHz, CDCl3) δ: 7.45–7.27 (m, 5H), 2.47 (dt, J = 7.4, 2.5 Hz, 2H), 1.97–1.79 (m, 1H), 1.76–0.62 (m, 4H), 1.60–1.47 (m, 2H), 1.29–1.19 (m, 2H). 13C{1H} NMR (75 MHz, CDCl3) δ: 154.1 (dd, J = 289.5, 286.3 Hz), 134.3 (dd, J = 3.7, 2.3 Hz), 128.6 (t, J = 3.1 Hz), 128.5, 127.3, 92.5 (dd, J = 21.2, 13.5 Hz), 38.4 (t, J = 2.4 Hz), 33.8 (d, J = 1.2 Hz), 32.3, 25.2. 19F NMR (282 MHz, CDCl3) δ: −93.0 (d, J = 45.3 Hz, 1F), −93.3 (d, J = 45.3 Hz, 1F).
(3-Cyclohexyl-1,1-difluoroprop-1-en-2-yl)benzene (3f) [5]. Yield 88 mg (75%). Colorless oil. Chromatography: hexanes. Rf 0.55 (hexanes). 1H NMR (300 MHz, CDCl3) δ: 7.45–7.28 (m, 5H), 2.35 (dt, J = 7.2, 2.4 Hz, 2H), 1.80–1.64 (m, 5H), 1.41–1.26 (m, 1H), 1.26–1.11 (m, 3H), 1.06–0.91 (m, 2H). 13C{1H} NMR (75 MHz, CDCl3) δ: 154.2 (dd, J = 290.3, 285.9 Hz), 134.4 (dd, J = 4.5, 2.8 Hz), 128.51, 128.47 (t, J = 3.2 Hz), 127.2, 91.3 (dd, J = 21.8, 12.9 Hz), 35.9 (t, J = 2.4 Hz), 35.4 (d, J = 1.3 Hz), 33.1, 26.6, 26.2. 19F NMR (282 MHz, CDCl3) δ: −91.2 (d, J = 44.4 Hz, 1F), −92.6 (d, J = 44.4 Hz, 1F).
(1,1-Difluoro-4-methylpent-1-en-2-yl)benzene (3g). [24] Yield 66 mg (67%). Colorless oil. Chromatography: hexanes. Rf 0.55 (hexanes). 1H NMR (300 MHz, CDCl3) δ: 7.45–7.27 (m, 5H), 2.38–2.29 (m, 2H), 1.73–1.56 (m, 1H), 0.95 (d, J = 6.7 Hz, 6H). 13C{1H} NMR (75 MHz, CDCl3) δ: 154.3 (dd, J = 289.8, 286.2 Hz), 134.3 (dd, J = 4.2, 2.7 Hz), 128.5, 128.5 (t, J = 3.1 Hz), 127.3, 91.9 (dd, J = 21.6, 13.2 Hz), 36.8 (d, J = 1.2 Hz), 26.6 (t, J = 2.5 Hz), 22.2. 19F NMR (282 MHz, CDCl3) δ: −92.5 (d, J = 44.2 Hz, 1F), −92.9 (d, J = 44.2 Hz, 1F).
1-Bromo-4-(1,1-difluoro-5-phenylpent-1-en-2-yl)benzene (3h). Yield 106 mg (63%). Colorless oil. Chromatography: from hexanes to hexanes/EtOAc 50/1. Rf 0.50 (hexanes/EtOAc, 50/1). 1H NMR (300 MHz, CDCl3) δ: 7.53 (d, J = 8.5 Hz, 2H), 7.37–7.15 (m, 7H), 2.67 (t, J = 7.7, 2H), 2.34 (tt, J = 7.7, 2.3, 2H), 1.81–1.69 (m, 2H). 13C{1H} NMR (75 MHz, CDCl3) δ: 153.6 (tt, J = 290.7, 288.3 Hz), 141.7, 132.7 (dd, J = 3.4, 1.9 Hz), 131.8, 130.0 (t, J = 3.3 Hz), 128.48, 128.46, 126.0, 121.4, 91.7 (dd, J = 21.0, 14.1 Hz), 35.3, 29.4 (t, J = 2.4 Hz), 27.2 (t, J = 1.1 Hz). 19F NMR (282 MHz, CDCl3) δ: −91.2 (d, J = 42.1 Hz, 1F), −91.4 (d, J = 42.1 Hz, 1F). HRMS (ESI): calcd for C17H15BrF2Ag (M + Ag) 442.9371, found 442.9363.
2-(1,1-Difluoropent-1-en-2-yl)naphthalene (3i). Yield 64 mg (55%). Colorless oil. Chromatography: hexanes. Rf 0.34 (hexanes). 1H NMR (300 MHz, CDCl3) δ: 7.90–7.80 (m, 4H), 7.55–7.45 (m, 3H), 2.53 (tt, J = 7.4, 2.3 Hz, 2H), 1.48 (sept, J = 7.4 Hz, 2H), 0.97 (t, J = 7.4 Hz). 13C{1H} NMR (75 MHz, CDCl3) δ: 154.1 (dd, J = 289.4, 287.7 Hz), 133.5 (dd, J = 3.4, 1.7 Hz), 132.6, 131.5 (dd, J = 2.9, 1.4 Hz), 128.12, 128.05, 127.7, 127.5 (t, J = 3.4 Hz), 126.4, 126.4 (t, J = 3.2 Hz), 126.2, 92.5 (dd, J = 20.2, 14.3 Hz), 29.9, 21.1 (t, J = 2.5 Hz), 13.6. 19F NMR (282 MHz, CDCl3) δ: −92.2 (d, J = 44.1 Hz, 1F), −92.4 (d, J = 44.1 Hz, 1F). HRMS (ESI): calcd for C15H14F2Ag (M + Ag) 339.0109, found 339.0105.
(1,1-Difluoro-4,4-dimethylpent-1-en-2-yl)benzene (3j) [25]. Yield 61 mg (58%). Colorless oil. Chromatography: hexanes. Rf 0.44 (hexanes). 1H NMR (300 MHz, CDCl3) δ: 7.42–7.25 (m, 5H), 2.40 (dd, J = 3.0, 2.1 Hz, 2H), 0.86 (s, 9H). 13C{1H} NMR (75 MHz, CDCl3) δ: 154.6 (dd, J = 290.5, 287.5 Hz), 135.8 (dd, J = 4.8, 2.8 Hz), 128.7 (t, J = 2.8 Hz), 128.4, 127.1, 91.3 (t, J = 21.6, 13.1 Hz), 41.4 (d, J = 1.1 Hz), 32.9 (dd, J = 3.1, 2.2 Hz), 29,9. 19F NMR (282 MHz, CDCl3) δ: −90.7 (d, J = 41.1 Hz, 1F), −93.3 (d, J = 41.1 Hz, 1F).
4. Conclusions
In summary, we established that potassium xanthogenates can be used for alkylation of α-(trifluoromethyl)styrenes leading to gem-difluorinated styrenes under photoredox conditions. Since xanthogenates can be made in one step from alcohols and inexpensive reagents, this reaction provides a convenient method for the generation of alkyl radicals starting from alcohols.
Supplementary Materials
The following are available online at https://www.mdpi.com/article/10.3390/catal11121555/s1: Copies of NMR spectra.
Author Contributions
V.I.S. experiment; A.D.D. writing. All authors have read and agreed to the published version of the manuscript.
Funding
This work was supported by the Russian Science Foundation (project 20-13-00112).
Data Availability Statement
The data presented in this study are available in this article.
Conflicts of Interest
The authors declare no conflict of interest.
References
- Yan, M.; Lo, J.C.; Edwards, J.T.; Baran, P.S. Radicals: Reactive Intermediates with Translational Potential. J. Am. Chem. Soc. 2016, 138, 12692–12714. [Google Scholar] [CrossRef]
- Prier, C.K.; Rankic, D.A.; MacMillan, D.W.C. Visible Light Photoredox Catalysis with Transition Metal Complexes: Applications in Organic Synthesis. Chem. Rev. 2013, 113, 5322–5363. [Google Scholar] [CrossRef] [PubMed] [Green Version]
- Neumann, M.; Füldner, S.; König, B.; Zeitler, K. Metal-Free, Cooperative Asymmetric Organophotoredox Catalysis with Visible Light. Angew. Chem. Int. Ed. 2011, 50, 951–954. [Google Scholar] [CrossRef] [PubMed]
- Bell, J.D.; Murphy, J.A. Recent advances in visible light-activated radical coupling reactions triggered by (i) ruthenium, (ii) iridium and (iii) organic photoredox agents. Chem. Soc. Rev. 2021, 50, 9540–9685. [Google Scholar] [CrossRef]
- Supranovich, V.I.; Levin, V.V.; Kokorekin, V.A.; Dilman, A.D. Generation of Alkyl Radicals from Thiols via Zinc Thiolates: Application for the Synthesis of gem-Difluorostyrenes. Adv. Synth. Catal. 2021, 363, 2888–2892. [Google Scholar] [CrossRef]
- Zard, S.Z. On the Trail of Xanthates: Some New Chemistry from an Old Functional Group. Angew. Chem. Int. Ed. 1997, 36, 672–685. [Google Scholar] [CrossRef]
- Crich, D.; Quintero, L. Radical chemistry associated with the thiocarbonyl group. Chem. Rev. 1989, 89, 1413–1432. [Google Scholar] [CrossRef]
- Tian, F.; Yan, G.; Yu, J. Recent advances in the synthesis and applications of a-(trifluoromethyl)styrenes in organic synthesis. Chem. Commun. 2019, 55, 13486–13505. [Google Scholar] [CrossRef]
- Yan, G.; Qiu, K.; Guo, M. Recent advance in the C–F bond functionalization of trifluoromethyl-containing compounds. Org. Chem. Front. 2021, 8, 3915–3942. [Google Scholar] [CrossRef]
- Guo, H.-M.; Wu, X. Selective deoxygenative alkylation of alcohols via photocatalytic domino radical fragmentations. Nat. Commun. 2021, 12, 5365. [Google Scholar] [CrossRef] [PubMed]
- Speckmeier, E.; Fischer, T.G.; Zeitler, K. A Toolbox Approach to Construct Broadly Applicable Metal-Free Catalysts for Photoredox Chemistry: Deliberate Tuning of Redox Potentials and Importance of Halogens in Donor-Acceptor Cyanoarenes. J. Am. Chem. Soc. 2018, 140, 15353–15365. [Google Scholar] [CrossRef]
- Bentrude, W.G. Phosphoranyl radicals—Their structure, formation, and reactions. Acc. Chem. Res. 1982, 15, 117–125. [Google Scholar] [CrossRef]
- Bentrude, W.G.; Hansen, E.R.; Khan, W.A.; Min, T.B.; Rogers, P.E. Free-radical chemistry of organophosphorus compounds. III. α vs. β Scission in reactions of alkoxy and thiyl radicals with trivalent organophosphorus derivatives. J. Am. Chem. Soc. 1973, 95, 2286–2293. [Google Scholar] [CrossRef]
- Rossi-Ashton, J.A.; Clarke, A.K.; Unsworth, W.P.; Taylor, R.J.K. Phosphoranyl Radical Fragmentation Reactions Driven by Photoredox Catalysis. ACS Catal. 2020, 10, 7250–7261. [Google Scholar] [CrossRef]
- Hu, X.-Q.; Hou, Y.-X.; Liu, Z.-K.; Gao, Y. Recent advances in phosphoranyl radical-mediated deoxygenative functionalisation. Org. Chem. Front. 2020, 7, 2319–2324. [Google Scholar] [CrossRef]
- Maddigan-Wyatt, J.; Hooper, J.F. Phosphorus Compounds as Precursors and Catalysts for Radical C–C Bond-Forming Reactions. Adv. Synth. Cat. 2021, 363, 924–936. [Google Scholar] [CrossRef]
- Levin, V.V.; Dilman, A.D. One-pot synthesis of a-trifluoromethylstyrenes from aryl ketones and the Rupper–Prakash reagent. Mendeleev Commun. 2021, 31, 684–685. [Google Scholar] [CrossRef]
- He, W.; Ding, Y.; Tu, J.; Que, C.; Yang, Z.; Xu, J. Thermal conversion of primary alcohols to disulfides via xanthate intermediates: An extension to the Chugaev elimination. Org. Biomol. Chem. 2018, 16, 1659–1666. [Google Scholar] [CrossRef]
- Akram, R.; Khan, M.D.; Zequine, C.; Zhao, C.; Gupta, R.K.; Akhtar, M.; Akhtar, J.; Malik, M.A.; Revaprasadu, N.; Bhatti, M.H. Cobalt sulfide nanoparticles: Synthesis, water splitting and supercapacitance studies. Mater. Sci. Semicond. Process. 2020, 109, 104925. [Google Scholar] [CrossRef]
- Carta, F.; Akdemir, A.; Scozzafava, A.; Masini, E.; Supuran, C.T. Xanthates and Trithiocarbonates Strongly Inhibit Carbonic Anhydrases and Show Antiglaucoma Effects In Vivo. J. Med. Chem. 2013, 56, 4691–4700. [Google Scholar] [CrossRef]
- Allwright, E.; Silber, G.; Crain, J.; Matsushita, M.M.; Awaga, K.; Robertson, N. Electrochemical deposition of highly-conducting metal dithiolene films. Dalton Trans. 2016, 45, 9363–9368. [Google Scholar] [CrossRef] [Green Version]
- Dumur, F.; Mayer, C.R. Unexpected Ritter Reaction During Acid-Promoted 1,3-Dithiol-2-one Formation. Helv. Chim. Acta 2013, 96, 889–896. [Google Scholar] [CrossRef]
- Hu, M.; Ni, C.; Li, L.; Han, Y.; Hu, J. gem-Difluoroolefination of Diazo Compounds with TMSCF3 or TMSCF2Br: Transition-Metal-Free Cross-Coupling of Two Carbene Precursors. J. Am. Chem. Soc. 2015, 137, 14496–14501. [Google Scholar] [CrossRef] [Green Version]
- Ichikawa, J.; Sakoda, K.; Wada, Y. The 5-endo-trig Cyclization of gem-Difluoroolefins with sp3 Carbon Nucleophiles: Synthesis of 1-Fluorocyclopentenes. Chem. Lett. 2002, 31, 282–283. [Google Scholar] [CrossRef]
- Dai, W.; Lin, Y.; Wan, Y.; Cao, S. Cu-Catalyzed tertiary alkylation of α-(trifluoromethyl)styrenes with tertiary alkylmagnesium reagents. Org. Chem. Front. 2018, 5, 55–58. [Google Scholar] [CrossRef]
Publisher’s Note: MDPI stays neutral with regard to jurisdictional claims in published maps and institutional affiliations. |
© 2021 by the authors. Licensee MDPI, Basel, Switzerland. This article is an open access article distributed under the terms and conditions of the Creative Commons Attribution (CC BY) license (https://creativecommons.org/licenses/by/4.0/).



