Abstract
A synthetic strategy to access asymmetric dinuclear bis(ansa-metallocene) pre-catalysts is described. As a key step, the Pd-catalyzed Suzuki cross-coupling of 9,9-bis(trimethylsilyl)-fluoren-2-yl-boronic acid with a substituted 2-bromo-9H-fluorene generates an asymmetric 2,2′-bifluorene platform, which can be individually functionalized at the two differentiated 9-positions. Herein, as a first demonstration of this strategy, we report the asymmetric dinuclear bis(ansa-zirconocene) complex 2,2′-[{Me2C(Flu)(Cp)}ZrCl2][{Me2C(7-tBuFlu)(Cp)}ZrCl2], which has been characterized with NMR spectroscopy and high-resolution mass spectrometry. The performance of this bimetallic pre-catalyst when combined with MAO has been evaluated in ethylene, propylene, and ethylene/1-hexene (co-)polymerization. This pre-catalyst is revealed to be less productive than the mononuclear reference pre-catalyst {Me2C(2,7-tBuFlu)(Cp)}ZrCl2, likely because of higher steric hindrance induced by the linkage at the difluorenyl platform. The resulting (co-)polymers featured only slight differences in terms of molecular weights, tacticity, and comonomer incorporation. No bimodal molecular weight distribution was achieved at any produced polymer; this might have originated from the close similarity of the connected Cp/Flu moieties or a rapid chain-transfer phenomenon between the different active sites which were quite close to each other.
    1. Introduction
In order to discover unique/more efficient catalytic performances in olefin polymerization processes, a variety of dinuclear group 4 metallocene compounds that contain two covalently linked metallocene units have recently been prepared and reported [,,]. In some ideal cases, such dinuclear systems may generate, in a one-step process, bimodal distributions made of two inherently different macromolecule populations, differing either in molecular weight, comonomer incorporation, or microstructure (tacticity, branching, etc.). Moreover, in some other cases, ‘synergistic/cooperative’ effects may arise when the two active metal centers are located at a distance that facilitates effective chemical interactions, eventually resulting in better performance than the mononuclear analogues (higher molecular weights, higher comonomer incorporation, etc.) [,,,]. The most commonly reported bi- or multinuclear group 4 metal pre-catalysts for olefin polymerization are metallocene-type complexes with hydrocarbyl- [,,,,,,,,,,] or silyl/silyloxy- [,,,] bridges between their cyclopentadienyl-type (Cp) moieties (Chart 1). Such catalysts usually produce atactic poly(α-olefins) (e.g., polypropylene) because of the lack of a stereoselective coordination site. In contrast, it is well known that stereoselectivity via controlled pre-coordination and insertion of the monomer can be achieved with group 4 ansa-metallocenes, i.e., complexes that feature one- or two-carbon or silylene-bridged Cp/Ind/Flu (Ind = indenyl; Flu = fluorenyl) moieties. However, dinuclear bis(ansa-metallocene)s are rare and are limited to those linked at the Cp moieties [] or at the one-C/Si-bridge, [,,] respectively. To our knowledge, [CpZrCl2(9,9′-FluCH2CH=CHCH2Flu)CpZrCl2], prepared via Grubbs’ Ru-catalyzed metathesis reaction from the parent CpZrCl2(9-FluCH2CH=CH2), is one of the two fluorenyl-linked group 4 bis(metallocene) complexes reported so far []. In addition, our group prepared trinuclear tris(ansa-metallocene) complexes, Ph[{Me2C(2-FluR)(Cp)}MCl2]3 (M = Zr, Hf) from an original 1,3,5-tris(fluoren-2-yl-R)benzene platform (R = H, 6- or 7-tBu) (Chart 2) []. In this work, we probed another synthetic strategy for novel 2,2′-fluorenyl-linked bis(ansa-zirconocene)s, enabling access to asymmetric complexes, and report the synthesis, characterization, and performance in olefin (co-)polymerization of a first prototypical example.
 
      
    
    Chart 1.
      Examples of common dinuclear platforms encountered in group 4 metallocene-type pre-catalysts.
  
 
      
    
    Chart 2.
      Group 4 tris(ansa-metallocene) pre-catalysts reported in previous studies [].
  
2. Results and Discussion
2.1. Synthesis of the Asymmetric Bis(Cp/Flu) Proligand and Corresponding Bis(ansa-Zirconocene)
With the aim to generate an asymmetric 2,2′-bifluorene platform, 9,9-bis(trimethylsilyl)-(fluoren-2-yl)boronic acid 2 was prepared from 2-bromo-fluorene in a two-step synthesis according to the procedure in the literature (Scheme 1, i and ii) []. As a counterpart to the palladium-catalyzed coupling reaction, 2-bromo-7-tert-butyl-fluorene (4) was synthesized from 2-acetyl-fluorene (Scheme 1, iii and iv) [,]. Subsequent Suzuki coupling of 2 and 4 delivered the desired 2,2′-bifluorene 5 in good yield (61%, Scheme 1, v) [,]. Product 5 was fully characterized using 1D and 2D NMR spectroscopy (Figures S7–S9). Single crystals suitable for X-ray diffraction analysis were grown at room temperature from a hot saturated heptane solution, and the molecular structure is shown in Figure 1.
 
      
    
    Scheme 1.
      Synthesis of the asymmetric 2,2′-bifluorene platform 5.
  
 
      
    
    Figure 1.
      Molecular structure of the asymmetric 2,2′-bifluorene 5. Atomic displacement parameters are set at the 50% probability level. Hydrogen atoms are omitted for clarity.
  
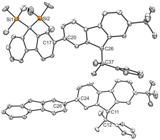
The one-sided trimethylsilyl-protection at bifluorene 5 enabled the selective deprotonation of the other (i.e., the tert-butyl-functionalized) fluorenyl moiety, which was then reacted with 6,6-dimethylfulvene to give the mono-(Cp/Flu) compound 6 (Scheme 2, vi) [,]. Subsequent desilylation of the protected fluorenyl moiety was achieved using potassium hydroxide at elevated temperature (vii) []. Both mono-(Cp/Flu) bifluorene compounds 6 and 7 were fully characterized using NMR and X-ray diffraction. In particular, the NMR spectra recorded in CDCl3 (Figures S10–S17) show the presence of two tautomers, as indicated by the presence of two signals for the methylene hydrogens of the cyclopentadienyl fragment (δ1H = 3.15–3.30 ppm) and for the hydrogen bonded at the sp3-carbon of the fluorenyl moiety (δ1H = 4.20–4.32 ppm). Single crystals suitable for X-ray diffraction analysis of 6 and 7 were obtained from hot saturated heptane solutions at room temperature (Figure 2).
 
      
    
    Scheme 2.
      Synthesis of the bisfluorene-based asymmetric bis(Cp/Flu) proligand 8.
  
 
      
    
    Figure 2.
      Molecular structures of the protected (6, top) and desilylated (7, bottom) Me2C(C5H5) functionalized 2,2′-bifluorenes. Atomic displacement parameters are set at the 50% probability level. Hydrogen atoms are omitted for clarity.
  
Further deprotonation of compound 7 with two equivalents of nBuLi and reaction with 6,6-dimethylfulvene gave bis(proligand) 8 in 68% yield (viii) []. Compound 8 was characterized using NMR spectroscopy, and a complete signal assignment of the recorded 1H and 13C NMR spectra was enabled with additional 1H–13C HSQC and HMBC NMR experiments. The observation of three signals for the 9-H Flu hydrogens (δH 4.32–4.20) and four signals for the Cp methylene hydrogens at δH 3.28 and 3.15 ppm in the 1H NMR spectrum likely accounts for the presence of stereogenic C9 centers (hence two diastereomers) and/or the presence of four possible tautomers of the C = C double bonds in the two different Cp rings.
Regular salt metathesis reaction between the ligand tetra-anion, generated in situ from 8 in diethyl ether, and ZrCl4 returned the dinuclear bis(ansa-zirconocene dichloride) 2,2′-[{Me2C(Flu)(Cp)}ZrCl2][{Me2C(7-tBuFlu)(Cp)}ZrCl2] (9) (Scheme 3). After extraction with dichloromethane and removal of lithium chloride, the zirconium complex was isolated in good yield as a characteristically pink, microcrystalline material. Yet, all attempts to grow single crystals suitable for X-ray diffraction analysis remained unsuccessful. Alternatively, high-resolution mass spectrometry unequivocally evidenced the formation of the bimetallic complex (ASAP–MS and MALDI–ToF-MS, Figures S28 and S29). In addition, the complex was analyzed comprehensively using NMR spectroscopy. Notably, once all solvents had evaporated to complete the dryness of complex 9, its solubility decreased dramatically; thus, small amounts of diethyl ether and hexane were detected in both the 1H and 13C NMR data in CD2Cl2, yet without hampering full signal assignment (Figures S22–S27). The signals of the cyclopentadienyl moieties are the most informative, with four sharp apparent quartets in the region of δ1H = 5.72–5.84 ppm (4H), which correlate with four carbon peaks at δ13C = 101.7–102.8 ppm, and which with the other signals at δ1H = 6.28–6.36 ppm (4H) account for the eight individual hydrogens in the 2–5-positions at Cp and Cp′. Along with the sum of 44 detected carbon signals, this also means that either only one of the two possible isomers was formed (Scheme 3) or their presence could not be determined with NMR spectroscopy.
 
      
    
    Scheme 3.
      Synthesis of the asymmetric 2,2′-bisfluorene-linked dinuclear bis(ansa-zirconocene) 9 (possible mixture of two diastereomers, “syn”- and “anti”-like).
  
DFT computations were conducted to assess the possible geometries of the two C1-symmetric, “syn”- and “anti”-like diastereomers of 9 (Figure 3) and their relative energies. These calculations returned only 0.9 kcal·mol−1 of energy difference between the two diastereomers, which corresponds to a theoretical “syn”/“anti” ratio of ca. 5:1 at room temperature. Note, however, that this minimal energy difference falls within the usually accepted range of accuracy of DFT computations (2–3 kcal·mol−1). The two metal centers are located within the same distance (8.726 Å) in both computed diastereomers.
 
      
    
    Figure 3.
      DFT-optimized structures of the two diastereomers of 9 (most stable conformations; top: “syn”-like diastereomer; bottom: “anti”-like diastereomer). Computed Zr…Zr distances: 8.726 Å for the “syn”-like diastereomer; 8.727 Å for the “anti”-like diastereomer.
  
2.2. Olefin (Co-)Polymerization
The dinuclear bis(ansa-zirconocene) complex 9, in combination with MAO, was evaluated in the homogeneous (co-)polymerization of ethylene, propylene, and ethylene/1-hexene (toluene, 4 barg of constant pressure, 20 and 60 °C). Each polymerization experiment was repeated independently two times under the same conditions, revealing good reproducibility in terms of activity (gas uptake) and productivity (polymer yield). For comparison purposes, the catalytic performance of the structurally related mononuclear reference metallocene pre-catalysts {Me2C(2,7-tBuFlu)(Cp)}ZrCl2 (M) and {Me2C(Flu)(Cp)}ZrCl2 (M′) was determined as well under the same conditions. The productivities of the catalyst are estimated from the polymer yield of the reaction for a short period (15 min) in order to avoid the mass transfer effect.
Selected ethylene polymerization results are summarized in Table 1. For complex 9, a decrease from 5000 to 2000 equivalents of MAO per metal center had no effect on the catalytic performance, and the recovered polymers exhibited similar physicochemical properties (Table 1, entries 1 and 2). The productivities and the molecular weight distributions were slightly lower or comparable to those of the benchmark mononuclear metallocene complexes M and M′ (entries 4 and 6, respectively). Expectedly, both pre-catalysts 9 and M showed lower polymerization productivity at 20 °C (entries 3 and 5), whereby only the polymer formed by the reference metallocene could be analyzed, showing a 3-fold increased molecular weight and slightly broader molecular weight distribution compared to the polymer produced at 60 °C (entries 4 and 5). 
 
       
    
    Table 1.
    Ethylene Polymerization a.
  
The performance of pre-catalysts 9, M, and M′ in propylene polymerization is summarized in Table 2. A decrease in the [MAO]/[Zr] ratio from 5000 to 2000 did not affect the productivity of pre-catalyst 9 but led to a significant increase in the molecular weight of the resulting PP (9.9 vs. 14 kg mol−1, entries 7 and 8), while its dispersity stayed constant. A possible explanation for the observed increase in molecular weight at the low [MAO]/[Zr] ratio is the lower amount of AlMe3 present in the used MAO solution, which is known to act as a chain-transfer reagent. At the polymerization temperature of 60 °C, the dinuclear 9 featured inferior productivity compared to the mononuclear M (5690 vs. 25,870 kg(PP) mol(Zr)−1 h−1, entries 7 and 10, respectively), though being comparable to that of M′ (4550 kg(PP) mol(Zr)−1 h−1, entry 12). Yet, both metallocenes 9 and M featured nearly the same productivity at a polymerization temperature of 20 °C (8300 vs. 7800 kg(PP) mol(Zr)−1 h−1, entries 11 and 9). As expected, the dinuclear complex 9 produces highly syndiotactic polypropylene similar to the well-investigated benchmark pre-catalyst M; however, its stereoregulation is slightly lower at both polymerization temperatures ([r] at 60 °C: 90.4 vs. 92.2%; at 20 °C: 92.9 vs. 96.8%). 
 
       
    
    Table 2.
    Propylene Polymerization a.
  
Table 3 summarizes the performance observed in ethylene/1-hexene copolymerization. The productivity of the catalytic system based on dinuclear metallocene 9 and the molecular weights of the produced copolymers were affected by the [MAO]/[Zr] ratio (entries 13 and 14); this is comparable to the observations made regarding propylene polymerization. Again, this finding might be due to the variable amount of AlMe3 acting as a chain-transfer reagent. The productivity of the dinuclear system decreased drastically when copolymerization was carried out at 20 °C, similar to the observations made during ethylene homopolymerization. The copolymerization productivity of the mononuclear catalytic system based on M was less affected by temperature, and this tendency conforms more with the observations made during the propylene polymerization. The copolymer produced with 9/MAO at 20 °C had about the same C6 content as that obtained from the M system (4.3 and 4.7 mol-%, respectively); yet, the former material had a much broader dispersity than any other copolymer (Mw/Mn = 3.7 vs. 2.6, respectively), and two distinct melting transitions were observed in the DSC trace (see Figure S45). Although the molecular weight distribution of this material remained apparently monomodal, as indicated by the SEC trace (see Figure S35), these observations suggest the presence of two types of macromolecules and, possibly, that the two centers in the catalyst derived from 9 operated in a differentiated manner. 
 
       
    
    Table 3.
    Ethylene/1-Hexene Copolymerization a.
  
3. Materials and Methods
3.1. General Considerations
All manipulations (except polymerizations) were performed under a purified argon atmosphere using standard Schlenk techniques or in a glovebox. Solvents were distilled from Na/benzophenone (THF, Et2O) and Na/K alloy (toluene, pentane) under nitrogen, degassed thoroughly, and stored under nitrogen prior to use. C6D6 (>99.5% D, Euroisotop) was vacuum-transferred from Na/K alloy into a storage tube. CDCl3 and CD2Cl2 were kept over CaH2 and vacuum-transferred before use. MAO (30 wt-% solution in toluene, Albermale; contains ca. 10 wt-% of free AlMe3) was used as received. Other starting materials were purchased from Alfa, Strem, Acros, and Aldrich and used as received.
3.2. Instruments and Measurements
NMR spectra of the organic compounds and complex 9 were recorded, respectively, in regular and Teflon-valved NMR tubes on Bruker AM-300 and AM-400 spectrometers (Bruker AXS Handheld Inc., Kennewick, WA, USA) at 25 °C. Chemical shifts are reported in ppm. Assignment of the resonances was made from 2D 1H−1H COSY, 1H−13C HSQC, and HMBC NMR experiments. Coupling constants are given in Hertz. Elemental analyses (C, H, N) were performed using a Flash EA1112 CHNS Thermo Electron apparatus (Thermo Finnigan Italia S.p.A., Rodano, Italy). DSC measurements were performed on a SETARAM Instrumentation DSC131 differential scanning calorimeter at heating rate of 10 °C·min−1; first and second runs were recorded after cooling to 30 °C; the reported melting temperatures correspond to the second run. SEC analyses of polymer samples were carried out in 1,2,4-trichlorobenzene at 135 °C at the TotalEnergies research center in Feluy (Belgium) using polystyrene standards for universal calibration. 13C NMR analyses of polypropylene and poly(ethylene-co-1-hexene) samples were run on a Bruker AM-500 spectrometer (TotalEnergies, Feluy, Belgium) as follows: solutions of ca. 200 mg of polymer in trichlorobenzene/C6D6 mixture at 135 °C in 10 mm tubes, inverse-gated experiment, pulse angle = 90 °, delay = 11 s, acquisition time = 1.25 s, number of scans = 6000.
3.3. Computational Studies
The calculations were performed using the Gaussian 09 [] program employing B3PW91 [,] functional and using a standard split-valence basis set def2-SVP []. The solvent effects, in our case for diethyl ether, were taken into account during all the calculations using the SMD model []. All stationary points were fully characterized via analytical frequency calculations as true minima (all positive eigenvalues). Zero-point vibrational energy corrections (ZPVEs) were estimated with a frequency calculation at the same level of theory, to be considered for the calculation of the total energy values at T = 298 K.
2-Bromo-9,9-bis(trimethylsilyl)-fluorene (1). As described in the literature [], 2-bromofluorene (4.90 g, 20 mmol, 1.0 equiv) in dry THF (50 mL) was deprotonated using a freshly prepared LDA solution in THF (1.2 eq.) and subsequently reacted with Me3SiCl (2.72 g, 3.17 mL, 25 mmol, 1.25 equiv) at 0 °C; the deprotonation/silylation sequence was repeated a second time. The reaction mixture was allowed to warm to room temperature overnight, quenched with excess saturated NH4Cl solution, and extracted with diethyl ether (3 × 50 mL). The organic layers were combined and washed with 0.1 M HCl, saturated sodium bicarbonate, and brine. The diethyl ether solution was dried over sodium sulfate. After removal of solvent, the crude material was recrystallized from refluxing ethanol. After filtration, product 1 was isolated as a colorless powder (5.5 g, 71%). 1H NMR (400 MHz, CDCl3, 25 °C): δ 7.95–7.86 (m, 1H), 7.80 (d, J = 8.2 Hz, 1H), 7.73 (d, J = 1.7 Hz, 1H), 7.64–7.55 (m, 1H), 7.50 (dd, J = 8.2, 1.8 Hz, 1H), 7.42–7.33 (m, 2H), −0.05 (s, 18H), −0.06 (s, 1H). 13C NMR (100 MHz, CDCl3, 25 °C): δ 149.7, 147.4, 139.2, 139.2, 127.4, 127.3, 126.1, 124.5, 124.4, 121.0, 119.9, 119.5, 44.6, −0.9. Elem. anal. calcd (%) for C19H25BrSi2: C 58.59, H 6.47; found: C 59.05, H 6.88.
(9,9-Bis(trimethylsilyl)-fluoren-2-yl)boronic acid (2). As described in the literature [], 2-bromo-9H-fluorene-9,9-diyl)bis(trimethylsilane) (1) (1.95 g, 5.0 mmol) in dry THF (30 mL) was deprotonated using nBuLi (2.6 mL of a 2.50 M solution in hexane, 6.5 mmol, 1.2 equiv) and subsequently reacted with triisopropylborate (2.3 mL, 10.0 mmol, 2.0 equiv) at −78 °C. After workup and recrystallization from refluxing hexane, compound 2 was obtained as a white powder (1.15 g, 65%). 1H NMR (300 MHz, C6D6, 25 °C): δ 7.95 (dd, J = 1.7, 0.5 Hz, 1H), 7.72–7.68 (m, 1H), 7.55–7.42 (m, 3H), 7.41 (dd, J = 8.2, 1.7 Hz, 2H), 7.24–7.19 (m, 2H), −0.17 (s, 18H). 13C NMR (75 MHz, C6D6, 25 °C): δ 148.3, 146.9, 142.5, 140.2, 130.1, 129.6, 126.1, 124.6, 124.3, 120.2, 119.4, 119.1, 44.1, −0.9. Elemental analysis calcd (%) for C19H27BO2Si2: C 64.39, H 7.68; found: C 64.80, H 7.81.
2-(tert-Butyl)-9H-fluorene (3). Under argon, AlMe3 (25 mL, 50 mmol) was syringed into a solution of 2-acetyl-fluorene (4.16 g, 20 mmol) in toluene (40 mL). The mixture was refluxed for 14 h and quenched with dilute aqueous HCl. The organic layer was isolated and dried over MgSO4. Removal of the solvent gave product 3 as a pale yellow solid (4.16 g, 93%). 1H NMR (400 MHz, CDCl3, 25 °C): δ 7.77 (ddd, J = 16.5, 7.8, 2.5 Hz, 2H), 7.62 (dt, J = 2.7, 1.4 Hz, 1H), 7.58–7.53 (m, 1H), 7.46 (dq, J = 8.2, 1.9 Hz, 1H), 7.38 (td, J = 7.5, 2.4 Hz, 1H), 7.31 (dq, J = 7.5, 1.4 Hz, 1H), 3.92 (s, 2H), 1.43 (s, 9H). Elemental analysis calcd (%) for C17H18 (222.32): C 91.84, H 8.16; found: C 91.74, H 8.14.
2-Bromo-7-(tert-butyl)-9H-fluorene (4). A solution of 7-(tert-butyl)-9H-fluorene (3) (3.00 g, 13.2 mmol) and NBS (2.30 g, 13.2 mmol) in propylene carbonate (50 mL) was heated at 140 °C for 2 h. The reaction mixture was then poured into water (100 mL). After filtration and washing with water, the precipitate was dried under vacuum and further purified with silica gel column chromatography using hexanes as eluent. Removal of solvent gave compound 4 as a colorless crystalline powder (2.95 g, 74%). 1H NMR (400 MHz, CDCl3, 25 °C): δ 7.70 (d, J = 8.1 Hz, 1H), 7.69 (s, 1H), 7.63 (d, J = 8.2 Hz, 1H), 7.61 (s, 1H), 7.51 (d, J = 8.1 Hz, 1H), 7.46 (d, J = 8.1 Hz, 1H), 3.89 (s, 2H), 1.43 (s, 9H). 13C NMR (100 MHz, CDCl3, 25 °C): δ 150.6, 145.3, 142.9, 140.8, 138.1, 129.8, 128.2, 124.2, 122.0, 120.9, 119.5, 36.9, 34.9, 31.6. Elemental analysis calcd (%) for C17H17Br (300.05): C 67.78, H 5.69; found: C 68.01, H 5.72.
2,2′-(Flu{TMS}2)(7-tBuFluH2)2 (5). 2-Bromo-7-(tert-butyl)-9H-fluorene (4) (0.82 g, 2.7 mmol), (9,9-bis(trimethylsilyl)-9H-fluoren-2-yl)boronic acid (2) (1.00 g, 2.8 mmol), toluene (30 mL), and aqueous K2CO3 solution (10 mL, 2 M) were combined. After degassing of the reaction mixture for 30 min with bubbling argon, Pd(PPh3)4 (120 mg, 0.10 mmol) was added. The reaction mixture was further degassed for 10 min and then heated to 120 °C for 16 h. After cooling to room temperature, the organic phase was separated, diluted with diethyl ether, and washed with brine. After removal of the solvent, purification with silica column (petroleum ether/CH2Cl2 95:5 v/v) yielded compound 5 as a white solid (873 mg, 61%). 1H NMR (400 MHz, C6D6, 25 °C): δ 8.19 (s, 1H), 7.96 (s, 1H), 7.91 (d, J = 5.7 Hz, 1H), 7.91–7.88 (m, 1H), 7.85 (s, 1H), 7.75 (d, J = 8.3 Hz, 1H), 7.73 (s, 1H), 7.70 (s, 1H), 7.64 (s, 1H), 7.49 (s, 1H), 7.40 (s, 1H), 7.30 (s, 2H), 3.69 (s, 2H), 1.33 (s, 9H), −0.01 (s, 18H). 13C NMR (100 MHz, C6D6, 25 °C): δ 149.8, 148.3, 147.9, 144.3, 143.6, 141.1, 140.5, 140.3, 139.6, 139.1, 127.8, 127.6, 126.3, 125.8, 124.6, 124.4, 124.3, 124.1, 124.0, 123.2, 121.9, 120.3, 120.1, 119.6, 44.2, 36.9, 34.6, 31.4, −1.1. Elemental analysis calcd (%) for C36H42Si2: C 81.45, H 7.97; found: C 81.29, H 7.77. ASAP–MS (200 °C) m/z calcd for [M + H]+: 531.2903, found: 531.2897; calcd for [M]+ 530.2825, found: 530.2826. 
2,2′-(Flu{TMS}2){Me2C(7-tBuFluH)(C5H5)} (6). To a solution of 2,2′-(Flu{TMS}2)(7-tBuFluH2)2 (5) (1.00 g, 1.88 mmol) in dry diethyl ether (25 mL), nBuLi (1.0 mL of a 2.3 M solution in hexane, 2.3 mmol) was added dropwise and the mixture stirred at 60 °C for 4 h. Then, 6,6′-dimethylfulvene (260 mg, 2.5 mmol) was added slowly at room temperature, and the resulting red mixture was stirred at room temperature for 16 h. The reaction was quenched with saturated NH4Cl solution (40 mL) and extracted with diethyl ether, and the combined organic phase was dried over Na2SO4/Na2CO3. The solvent and the excess of fulvene were removed in vacuum, and the solid residue was washed with petroleum ether to give compound 6 as a white powder (356 mg, 29%). 1H NMR (500 MHz, CD2Cl2, 25 °C): δ 8.05 (s, 1H), 8.02 (s, 1H), 7.92 (s, 1H), 7.83 (s, 1H), 7.74 (s, 1H), 7.72 (s, 1H), 7.70 (s, 1H), 7.68 (s, 1H), 7.66 (s, 1H), 7.45 (s, 3H), 7.23 (s, 1H), 7.09 (s, 1H), 6.57 (d, J = 37.4 Hz, 1H), 6.12 (d, J = 105.7 Hz, 1H), 4.28 (s, 1H), 3.30 (s, 1H), 3.15 (s, 1H), 1.37 (s, 3H), 1.35 (d, J = 5.6 Hz, 9H), 0.99 (s, 3H), 0.02 (d, J = 7.9 Hz, 18H). 13C NMR (126 MHz, CD2Cl2, 25 °C): δ 157.9, 155.6, 149.3, 149.2, 148.2, 148.2, 147.9, 147.9, 146.3, 146.2, 145.5, 145.5, 141.2, 141.1, 140.0, 139.3, 139.3, 139.3, 139.2, 139.2, 139.1, 138.9, 138.9, 134.3, 133.2, 132.2, 131.1, 126.6, 126.1, 126.1, 125.7, 125.2, 125.0, 124.8, 124.6, 124.4, 124.0, 124.0, 123.7, 123.6, 123.5, 123.3, 123.0, 119.9, 119.8, 119.8, 119.4, 119.4, 118.6, 118.6, 58.0, 55.7, 44.3, 41.1, 40.8, 40.6, 39.5, 34.7, 34.6, 31.3, 27.1, 25.9, 23.9, 23.0, −1.1, −1.1. Elemental analysis calcd (%) for C44H52Si2: C 82.96, H 8.23; found: C 82.44, H 7.91. ASAP–MS (200 °C) m/z calcd for [M]+: 636.3607, found: 636.3606; calcd for [M – {Me2C}C5H5]+: 529.2747, found: 529.2739.
2,2′-(FluH2){Me2C(7-tBuFluH)(C5H5)} (7). A Schlenk flask was charged with a mixture of THF (15 mL), methanol (7 mL), and 2,2′-(Flu{TMS}2){Me2C(7-tBuFluH)(C5H5)} (6) (220 mg, 0.41 mmol) and degassed for 15 min with bubbling argon. Then, KOH flakes (10 mg, 0.18 mmol) were added, and the reaction mixture was heated to reflux for 2 h under argon. The solution was cooled and filtered to isolate compound 7 as white crystals (148 mg, 73%). 1H NMR (500 MHz, CDCl3, 25 °C): δ 7.85 (s, 2H), 7.77 (s, 2H), 7.63 (d, J = 44.5 Hz, 4H), 7.57–7.38 (m, 3H), 7.35 (s, 1H), 7.19 (d, J = 62.5 Hz, 1H), 7.04 (dq, J = 5.1, 1.6 Hz, 1H), 6.74–6.51 (m, 1H), 6.11 (d, J = 109.6 Hz, 1H), 4.22 (d, J = 23.6 Hz, 1H), 4.00 (s, 2H), 3.21 (d, J = 63.5 Hz, 2H), 1.34 (d, J = 4.8 Hz, 9H), 1.24 (d, J = 4.7 Hz, 3H), 1.08 (d, J = 11.9 Hz, 3H). 13C NMR (126 MHz, CDCl3, 25 °C): δ 158.1, 155.7, 149.3, 149.1, 146.1, 145.5, 143.9, 143.5, 143.4, 141.5, 141.3, 141.2, 140.6, 140.5, 140.3, 139.0, 138.7, 138.6, 134.3, 133.4, 132.3, 131.1, 126.8, 126.7, 126.6, 126.1, 126.0, 125.9, 125.8, 125.1, 125.0, 124.9, 124.8, 124.0, 124.0, 123.7, 123.6, 123.4, 123.2, 120.1, 119.9, 119.4, 119.3, 118.8, 118.7, 58.1, 55.7, 41.1, 40.8, 40.7, 39.6, 37.0, 34.8, 34.8, 31.5, 31.5, 23.9. Elemental analysis calcd (%) for C38H36: C 92.64, H 7.36; found: C 92.74, H 7.14. ASAP–MS (230 °C) m/z calcd for [M]+: 492.2817, found: 429.2813; calcd for [M – {Me2C}C5H5]+: 385.1956, found: 385.1956.
2,2′-{Me2C(FluH)(C5H5)}{Me2C(7-tBuFluH)(C5H5)} (8). To a solution of 2,2′-{FluH2}{Me2C(7-tBuFluH)(C5H5)} (7) (150 mg, 0.30 mmol) in dry diethyl ether (10 mL), nBuLi (0.27 mL of a 2.5 M solution in hexane, 0.67 mmol, 2.1 eq.) was added dropwise and the mixture stirred at 60 °C for 3 h. A solution of 6,6′-dimethylfulvene (35.5 mg, 0.33 mmol) in diethyl ether (1 mL) was added slowly at room temperature, and the resulting red mixture was stirred at 60 °C for 2 h. The reaction was quenched with saturated NH4Cl solution (40 mL) and extracted with diethyl ether, and the combined organic phase was dried over Na2SO4/Na2CO3. After removal of the solvent and excess of fulvene in vacuum, the solid residue was washed with petroleum ether to give proligand 8 as a white powder (140 mg, 78%). 1H NMR (400 MHz, CD2Cl2, 25 °C): δ 7.79 (s, 3H), 7.69 (s, 1H), 7.60 (s, 3H), 7.41 (s, 3H), 7.24 (s, 3H), 7.05 (s, 1H), 6.72 (s, 1H), 6.61 (s, 1H), 6.53 (s, 1H), 6.22 (s, 1H), 6.00 (s, 1H), 4.32–4.20 (m, 2H), 3.28 (d, J = 6.9 Hz, 2H), 3.15 (d, J = 9.5 Hz, 2H), 1.34 (d, J = 4.4 Hz, 9H), 1.25 (d, J = 23.2 Hz, 6H), 1.10 (d, J = 20.9 Hz, 3H), 1.02 (s, 3H). 13C NMR (101 MHz, CD2Cl2, 25 °C): δ 158.0, 157.8, 155.6, 155.4, 149.3, 149.2, 146.1, 146.0, 145.7, 145.5, 141.7, 141.1, 140.9, 138.9, 134.3, 133.3, 132.2, 131.1, 127.1, 126.6, 126.1, 125.9, 125.0, 124.8, 124.0, 123.3, 119.5, 119.3, 119.3, 118.6, 58.0, 55.7, 41.0, 40.8, 40.5, 39.5, 34.6, 31.2, 26.7, 26.1, 25.5, 24.9, 24.3, 23.3. Elemental analysis calcd (%) for C46H46: C 92.26, H 7.74; found: C 92.66, H 7.31. ASAP–MS (230 °C) m/z calcd for [M]+: 598.3599, found: 598.3599; calcd for [M + H]+: 599.3677, found: 599.3677; calcd for [M – {Me2C}C5H5]+): 491.2739, found: 491.2732.
[2,2′-{Me2C(Flu)(C5H4)}ZrCl2][{Me2C(7-tBuFlu)(C5H4)}ZrCl2] (9). In a Schlenk flask, 2,2′-{Me2C(FluH)(C5H5)}{Me2C(7-tBuFluH)(C5H5)} (8) (80 mg, 133 µmol) was suspended in dry diethyl ether (10 mL), nBuLi (0.23 mL of a 2.5 M solution in hexane, 0.588 mmol, 4.4 equiv) was added dropwise, and the mixture was stirred at room temperature overnight. Then, zirconium tetrachloride (62 mg, 266 µmol, 2.0 equiv) was added, and the resulting purple/red mixture was stirred at 50 °C for 24 h. Diethyl ether was removed in vacuum, and the solid residue was suspended in CH2Cl2 (30 mL). The suspension was filtered over celite© under argon. Removal of the solvent in vacuum gave the desired dimeric ansa-metallocene complex 9 as a pink powder (82 mg, 67%). 1H NMR (400 MHz, CD2Cl2, 25 °C): δ 8.30–8.21 (m, 2H), 8.21–8.17 (m, 1H), 8.12 (s, 1H), 7.96 (s, 1H), 7.84 (s, 3H), 7.73 (s, 4H), 7.63 (s, 1H), 7.35 (s, 1H), 6.38–6.26 (m, 4H), 5.84 (d, J = 2.3 Hz, 1H), 5.81 (d, J = 2.4 Hz, 1H), 5.79 (d, J = 2.4 Hz, 1H), 5.72 (d, J = 2.4 Hz, 1H), 2.46 (d, J = 4.2 Hz, 6H), 2.41 (s, 6H), 1.41 (s, 9H). 13C NMR (101 MHz, CD2Cl2, 25 °C) (some may superimpose): δ 152.8, 143.7, 143.1, 129.5, 125.7, 125.5, 125.4, 125.3, 125.2, 125.1, 124.4, 124.2, 124.1, 123.7, 123.5, 123.5, 123.4, 122.3, 122.2, 121.9, 121.9, 121.8, 119.6, 119.6, 119.4, 119.2, 115.0, 114.6, 103.3, 102.7, 102.7, 102.2, 79.9, 79.4, 41.0, 40.9, 35.8, 31.1, 29.3, 29.1, 29.1, 28.9 (66.1, 15.5: residual Et2O; 32.2, 23.3, 14.4: residual n-hexane). Elem. anal. calcd (%) for C46H42Cl4Zr2: C 60.11, H 4.61; found: C 58.99, H 4.42. ASAP–MS (300 °C) m/z calcd for [MH]+: 919.0187, found: 919.0189. MALDI–ToF-MS (DCTB) m/z calcd for [M – Cl]+: 883.041, found: 883.041.
4. Conclusions
We have developed an effective synthetic strategy to access asymmetric difluorenyl-linked dinuclear bis(ansa-metallocene)s. As a first prototypical example, a di-ansa-{Cp/Flu-Cp/Flu′} dizirconocene complex has been synthesized. Preliminary investigations on the performance of this bimetallic pre-catalyst in ethylene, propylene, and ethylene/1-hexene (co-)polymerization revealed, in most cases, lower productivity in comparison with a mononuclear reference pre-catalyst {Me2C(2,7-tBuFlu)(Cp)}ZrCl2; this might have resulted from a higher steric hindrance in the dinuclear bis(ansa-metallocene) due to the direct linkage in the difluorenyl platform []. On the other hand, only slight differences were noticed between the two pre-catalyst systems in terms of molecular weights, tacticity, and comonomer incorporation in the resulting (co-)polymers. No bimodal molecular weight distribution was achieved at any produced polymer. This might have originated from the too-close similarity of the connected Cp/Flu moieties or a rapid chain-transfer phenomenon between the two different active sites which were at a quite close distance from each other. To gain further insights, the synthesis of proligands and the corresponding dinuclear bis(ansa-metallocene)s with more differentiated catalytically active metal centers are the subject of current investigations.
Supplementary Materials
The following supporting information can be downloaded at: https://www.mdpi.com/article/10.3390/catal13071108/s1. 1H, 13C, and 2D NMR spectra of organic compounds and complex 9, mass spectra of complex 9, crystallographic data for compounds 5, 6, and 7 (CCDC 2268879, 2268880, 2268881, respectively), representative SEC, DSC traces, and 13C NMR spectra of homo- and copolymers.
Author Contributions
L.N.J. designed and performed the experimental work and wrote the preliminary draft. T.R. conducted the crystallographic studies. V.C. and A.W. co-supervised the work and contributed to the evolution of the initial project. E.K. conducted the DFT studies. J.-F.C. edited the initial draft. E.K. and J.-F.C. directed the research and finalized the manuscript. All authors contributed to various sections of the manuscript. All authors have read and agreed to the published version of the manuscript.
Funding
This research was funded by TotalEnergies (postdoctoral fellowship to LNJ).
Data Availability Statement
All available data have been made available through the Supplementary Material.
Acknowledgments
We thank Philippe Jehan for the MS analyses. Part of this work has been performed using mass and NMR spectrometers belonging to the CRMPO (UAR ScanMAT, CNRS-Université de Rennes) core facility.
Conflicts of Interest
The authors declare no conflict of interest in the present work.
References
- Ainooson, M.; Meyer, F. Bimetallic Approaches in Olefin Polymerization and Metathesis. In Comprehensive Inorganic Chemistry II, 2nd ed.; Elsevier: Amsterdam, The Netherlands, 2013; pp. 433–458. [Google Scholar]
- Delferro, M.; Marks, T.J. Multinuclear olefin polymerization catalysts. Chem. Rev. 2011, 111, 2450–2485. [Google Scholar] [CrossRef] [PubMed]
- McInnis, J.P.; Delferro, M.; Marks, T.J. Multinuclear Group 4 catalysis: Olefin polymerization pathways modified by strong metal–metal cooperative effects. Acc. Chem. Res. 2014, 47, 2545–2557. [Google Scholar] [CrossRef] [PubMed]
- Jüngling, S.; Müllhaupt, R.; Plenio, H. Cooperative effects in binuclear zirconocenes: Their synthesis and use as catalyst in propene polymerization. J. Organomet. Chem. 1993, 460, 191–195. [Google Scholar] [CrossRef]
- Yan, X.; Chernega, A.; Green, M.L.H.; Sanders, J.; Souter, J.; Ushioda, T. Proximity and cooperativity effects in binuclear d0 olefin polymerization catalysis. Theoretical analysis of structure and reaction mechanism. J. Mol. Catal. A Chem. 1998, 128, 119–141. [Google Scholar] [CrossRef]
- Noh, S.K.; Kim, J.; Jung, J.; Ra, C.S.; Lee, D.-h.; Lee, H.B.; Lee, S.W.; Huh, W.S. Syntheses of polymethylene bridged dinuclear zirconocenes and investigation of their polymerisation activities. J. Organomet. Chem. 1999, 580, 90–97. [Google Scholar] [CrossRef]
- Lee, H.-W.; Park, Y.-H. Polymerization characteristics of in situ supported pentamethylene bridged dinuclear zirconocenes. Catal. Today 2002, 74, 309–320. [Google Scholar] [CrossRef]
- Noh, S.K.; Kim, S.; Yang, Y.; Lyoo, W.S.; Lee, D.-h. Preparation of syndiotactic polystyrene using the doubly bridged dinuclear titanocenes. Eur. Polym. J. 2004, 40, 227–235. [Google Scholar] [CrossRef]
- Kuwabara, J.; Takeuchi, D.; Osakada, K. Zr/Zr and Zr/Fe dinuclear complexes with flexible bridging ligands. Preparation by olefin metathesis reaction of the mononuclear precursors and properties as polymerization catalysts. Organometallics 2005, 24, 2705–2712. [Google Scholar] [CrossRef]
- Lee, M.H.; Kim, S.K.; Do, Y. Biphenylene-bridged dinuclear group 4 metal complexes: Enhanced polymerization properties in olefin polymerization. Organometallics 2005, 24, 3618–3620. [Google Scholar] [CrossRef]
- Liu, X.; Sun, J.; Zhang, H.; Xiao, X.; Lin, F. Ethylene polymerization by novel phenylenedimethylene-bridged homobinuclear titanocene/MAO systems. Eur. Polym. J. 2005, 41, 1519–1524. [Google Scholar] [CrossRef]
- Noh, S.K.; Jung, W.; Oh, H.; Lee, Y.R.; Lyoo, W.S. Synthesis and styrene polymerization properties of dinuclear half-titanocene complexes with xylene linkage. J. Organomet. Chem. 2006, 691, 5000–5006. [Google Scholar] [CrossRef]
- Xiao, X.; Sun, J.; Li, X.; Li, H.; Wang, Y. Binuclear titanocenes linked by the bridge combination of rigid and flexible segment: Synthesis and their use as catalysts for ethylene polymerization. J. Mol. Catal. A Chem. 2007, 267, 86–91. [Google Scholar] [CrossRef]
- Linh, N.T.B.; Huyen, N.T.D.; Noh, S.K.; Lyoo, W.S.; Lee, D.-H.; Kim, Y. Preparation of new dinuclear half-titanocene complexes with ortho- and meta-xylene linkages and investigation of styrene polymerization. J. Organomet. Chem. 2009, 694, 3438–3443. [Google Scholar] [CrossRef]
- Reddy, K.P.; Petersen, J.L. Synthesis and characterization of binuclear zirconocene complexes linked by a bridge bis(cyclopentadienyl) ligand. Organometallics 1989, 8, 2107–2113. [Google Scholar] [CrossRef]
- Noh, S.K.; Byun, G.-g.; Lee, C.-s.; Lee, D.; Yoon, K.-b.; Kang, K.S. Synthesis, characterization, and reactivities of the polysiloxane-bridged binuclear metallocenes tetramethyldisiloxanediylbis(cyclopentadienyltitanium trichloride) and hexamethyltrisiloxanediylbis(cyclopentadienyltitanium trichloride). J. Organomet. Chem. 1996, 518, 1–6. [Google Scholar] [CrossRef]
- Xu, S.; Huang, J. Asymmetric binuclear metallocene complexes and their application for olefin polymerization. J. Appl. Polym. Sci. 2013, 130, 2891–2900. [Google Scholar] [CrossRef]
- Murray, R.E.; Jayaratne, K.C.; Yang, Q.; Martin, J.L. To Chevron Phillips Chemical Company. WO Pat. 2009/085129, 2009. [Google Scholar]
- Soga, K.; Ban, H.T.; Uozumi, T. Synthesis of a dinuclear ansa-zirconocene catalyst having a biphenyl bridge and application to ethene polymerization. J. Mol. Catal. A Chem. 1998, 128, 273–278. [Google Scholar] [CrossRef]
- Spaleck, W.; Küber, F.; Bachmann, B.; Fritze, C.; Winter, A. New bridged zirconocenes for olefin polymerization: Binuclear and hybrid structures. J. Mol. Catal. A Chem. 1998, 128, 279–287. [Google Scholar] [CrossRef]
- Alt, H.G.; Ernst, R.; Böhmer, I.K. Dinuclear ansa-zirconocene complexes containing a sandwich and a half-sandwich moiety as catalysts for the polymerization of ethylene. J. Organomet. Chem. 2002, 658, 259–265. [Google Scholar] [CrossRef]
- Jende, L.N.; Vantomme, A.; Welle, A.; Brusson, J.-M.; Carpentier, J.-F.; Kirillov, E. Trinuclear tris(ansa-metallocene) complexes of zirconium and hafnium for olefin polymerization. J. Organomet. Chem. 2018, 878, 19–29. [Google Scholar] [CrossRef]
- Dane, E.L.; Swager, T.M. Carbanionic route to electroactive carbon-centered anion and radical oligomers. Org. Lett. 2010, 12, 4324–4327. [Google Scholar] [CrossRef] [PubMed]
- Chai, J.; Abboud, K.A.; Miller, S.A. Sterically expanded CGC catalysts: Substituent effects on ethylene and α-olefin polymerization. Dalton Trans. 2013, 42, 9139–9147. [Google Scholar] [CrossRef]
- Tang, W.; Singh, S.P.; Ong, K.H.; Chen, Z.-K. Synthesis of thieno[3,2-b]thiophene derived conjugated oligomers for field-effect transistors applications. J. Mat. Chem. 2010, 20, 1497–1505. [Google Scholar] [CrossRef]
- Wolfe, J.P.; Singer, R.A.; Yang, B.H.; Buchwald, S.L. Highly active palladium catalysts for Suzuki coupling reactions. J. Am. Chem. Soc. 1999, 121, 9550–9561. [Google Scholar] [CrossRef]
- Ewen, J.A.; Jones, R.L.; Razavi, A.; Ferrara, J.D. Syndiospecific propylene polymerizations with Group IVB metallocenes. J. Am. Chem. Soc. 1988, 110, 6255–6256. [Google Scholar] [CrossRef]
- Razavi, A.; Ferrara, J. Preparation and crystal structures of the complexes (η5-C5H4CMe2η5-C13H8)MCl2 (M = Zr, Hf) and their role in the catalytic formation of syndiotactic polypropylene. J. Organomet. Chem. 1992, 435, 299–310. [Google Scholar] [CrossRef]
- Kirillov, E.; Marquet, N.; Razavi, A.; Belia, V.; Hampel, F.; Roisnel, T.; Gladysz, J.A.; Carpentier, J.-F. New C1-symmetric Ph2C-bridged multisubstituted ansa-zirconocenes for highly isospecific propylene polymerization: Synthetic approach via activated fulvenes. Organometallics 2010, 29, 5073–5082. [Google Scholar] [CrossRef]
- Frisch, M.J.; Trucks, G.W.; Schlegel, H.B.; Scuseria, G.E.; Robb, M.A.; Cheeseman, J.R.; Scalmani, G.; Barone, V.; Mennucci, B.; Petersson, G.A.; et al. Gaussian 09, Revision, D.01; Gaussian Inc.: Pittsburgh, PA, USA, 2009. [Google Scholar]
- Becke, A.D. Density-functional exchange-energy approximation with correct asymptotic behavior. Phys. Rev. A 1988, 38, 3098–3100. [Google Scholar] [CrossRef] [PubMed]
- Becke, A.D. Density-functional thermochemistry. III. The role of exact exchange. J. Chem. Phys. 1993, 98, 5648–5652. [Google Scholar] [CrossRef]
- Weigend, F.; Ahlrichs, R. Balanced basis sets of split valence, triple zeta valence and quadruple zeta valence quality for H to Rn: Design and assessment of accuracy. Phys. Chem. Chem. Phys. 2005, 7, 3297–3305. [Google Scholar] [CrossRef]
- Marenich, A.V.; Cramer, C.J.; Truhlar, D.G. Universal solvation model based on solute electron density and on a continuum model of the solvent defined by the bulk dielectric constant and atomic surface tensions. J. Phys. Chem. B 2009, 113, 6378–6396. [Google Scholar] [CrossRef] [PubMed]
| Disclaimer/Publisher’s Note: The statements, opinions and data contained in all publications are solely those of the individual author(s) and contributor(s) and not of MDPI and/or the editor(s). MDPI and/or the editor(s) disclaim responsibility for any injury to people or property resulting from any ideas, methods, instructions or products referred to in the content. | 
© 2023 by the authors. Licensee MDPI, Basel, Switzerland. This article is an open access article distributed under the terms and conditions of the Creative Commons Attribution (CC BY) license (https://creativecommons.org/licenses/by/4.0/).
