Abstract
In this experimental study, diverse water-soluble Fe(III) complexes were synthesized and employed to catalyze the aquathermolysis of heavy oil. A ternary reaction system comprising heavy oil, water, and methanol was established to facilitate the process. Viscometry, thermogravimetric analysis, DSC, and elemental analysis were utilized to thoroughly investigate the treated heavy oil. The findings reveal that, under optimal conditions of water, catalyst, and methanol dosage, the viscosity of heavy oil can be significantly reduced by up to 88.22% after reacting at 250 °C for 12 h. Notably, apart from viscosity reduction, the catalytic aquathermolysis also effectively removes heteroatoms such as sulfur, nitrogen, and oxygen, enabling in situ modification and viscosity reduction of heavy oil. This study demonstrates the potential of water-soluble Fe(III) complexes in enhancing the efficiency of heavy oil extraction and processing.
1. Introduction
By 2025, global oil demand is forecast to undergo a steep surge of over 40%. Such a significant jump in demand poses a daunting challenge to the oil industry, particularly given the composition of the world’s oil reserves. A majority of these reserves, approximately 70%, consist of heavy oil, extra heavy oil, and bituminous heavy oil. These types of oil are rich in compounds with high boiling points and viscosity, leading to their poor fluidity and, therefore, posing immense difficulties in extraction and processing. The geological reserves of these heavy oils far outweigh those of conventional crude oil, highlighting the urgent need to develop efficient and effective extraction techniques. In response to these challenges, researchers have been actively exploring innovative technologies. Among them, a technique known as “aquathermolysis” has garnered significant attention as a potential solution. This method involves injecting hot water into the oil reservoir under carefully controlled temperature and pressure conditions. The process aims to enhance the fluidity of the heavy oil, making it easier to extract and process, thus addressing the industry’s pressing need for more efficient oil extraction techniques [1,2,3,4]. The application of hot water in aquathermolysis not only elevates the temperature of the heavy oil but also triggers a synergistic interaction with the minerals present in the reservoir. This interaction effectively breaks down the intricate chemical bonds within the oil molecules, resulting in a marked reduction in the content of heavy components like resins and asphaltenes. This process significantly lowers the viscosity of the heavy oil, making it more manageable and easier to extract. Although oil-soluble catalysts have shown promising results in reducing viscosity, their usage is often hindered by complex operational procedures, challenges associated with injection into the reservoir, and the associated high costs. Aquathermolysis, on the other hand, offers a more practical and cost-effective alternative, making it a viable solution for the oil industry to address the challenges posed by the extraction and processing of heavy oil [5]. In stark contrast to oil-soluble catalysts, water-soluble catalysts emerge as a highly appealing alternative. Their primary advantage lies in the absence of harmful organic solvents, thus eliminating any potential risk of secondary pollution that might compromise the quality of heavy oil. This characteristic alone makes them a safer and more environmentally friendly option. Moreover, the injection process of these water-soluble catalysts is relatively straightforward, offering operational simplicity and cost-efficiency. Given the pressing need to develop an effective and cost-efficient solution for heavy oil extraction and processing, the present study is focused on synthesizing a range of water-soluble complexes [6,7]. These complexes will be formulated using sodium lactate, sodium citrate, sodium tartrate, and ferric chloride, chosen for their known catalytic properties. The objective is to assess the viscosity-reducing effects of these complexes on heavy oil. The ultimate goal is to identify a catalyst that can significantly improve the fluidity of crude oil, thereby enhancing its extractability and processability. To ensure optimal performance, the synthesis of these water-soluble complexes will involve meticulous attention to reaction conditions and stoichiometric ratios [8]. This meticulous approach aims to maximize the catalytic activity of the complexes. Post-synthesis, the complexes will undergo rigorous characterization using a range of analytical techniques. These techniques will provide a comprehensive understanding of the chemical structure and properties of the complexes, enabling insights into the mechanisms that underlie their viscosity-reducing effects. In conclusion, this study represents a significant stride towards overcoming the challenges posed by heavy oil extraction and processing, potentially revolutionizing the industry’s approach to handling this valuable but challenging resource [9]. By harnessing the potential of water-soluble catalysts, we stand at the cusp of a technological revolution in the oil industry. These catalysts, with their unique ability to efficiently reduce the viscosity of heavy oil, promise to transform extraction processes, making them not only more efficient but also cost-effective. This advancement has the potential to unlock vast reserves of heavy oil, previously deemed too challenging to extract, and open new horizons for sustainable energy production.
2. Results and Discussion
2.1. Characterization of the Catalyst
The UV absorption spectra of Fe(III) complexes and ligands are shown in Figure 1. In the spectrogram, the absorption peak of the complex was significantly enhanced compared with the blank, and the whole absorption peak was obviously shifted to the left. This is a typical π → π* transition between the lone pair of OH- and Fe(III) ion, indicating that the ligand forms a stable complex with metal ions [10]. The infrared spectra of the Fe(III) complex and ligand are shown in Figure 2. There is a weak absorption peak with a wide peak shape at 3300–3500 cm−1, which is the absorption band of O–H stretching vibration. The wide peak shape proves that there is O–H stretching vibration of the intermolecular hydrogen bond. There are multiple absorption peaks between 1350 and 1450 cm−1, which are O–H flexural vibration absorption bands. In the ligand, the absorption peak of 3300–3500 cm−1 and the strong absorption peak of 1420 cm−1 were weakened, indicating that the –OH of the ligand was coordinated with the metal, and the ligand forms a stable complex [11].
Figure 1.
UV absorption spectra of ligand sodium lactate and catalyst Fe−1.
Figure 2.
Infrared spectra of ligand sodium lactate and complex Fe−1.
2.2. The Effect of Water on the Aquathermolysis
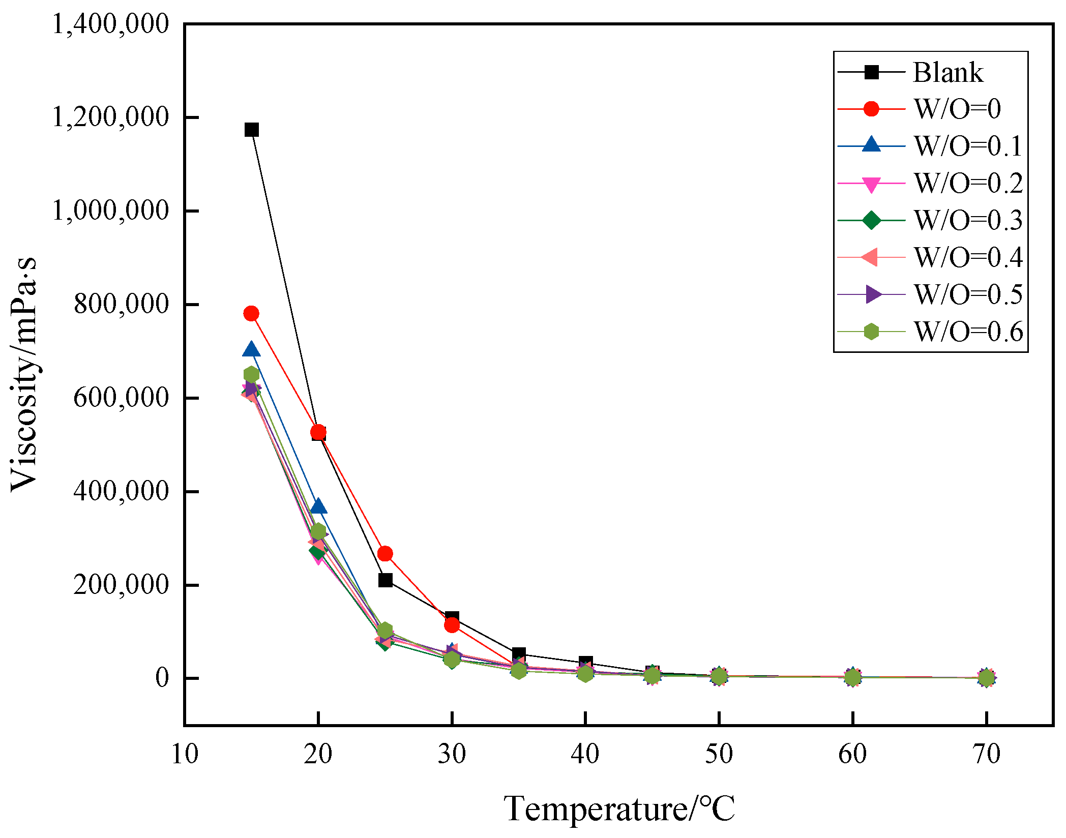
Figure 3 provides a clear visualization of how the mass ratio of water to oil significantly impacts the viscosity of heavy oil. The graph reveals a distinct trend in the relationship between water–oil ratio and viscosity, which holds key insights for optimizing the extraction process. Observing the graph, it becomes evident that the untreated oil sample, labeled as ‘Blank’, exhibits a certain baseline viscosity. However, as we introduce water into the system, the viscosity of heavy oil undergoes significant changes. Initially, when the water–oil ratio falls within the range of 0 to 0.3, the viscosity of heavy oil decreases steadily with the increase in the water–oil mass ratio. This decrease can be attributed to the water–oil interaction, which appears to facilitate the flow properties of the oil, making it less viscous. However, as the water–oil ratio increases beyond 0.3 and approaches 0.6, a different trend emerges. The viscosity of heavy oil starts to plateau or even increases slightly with further increments in the water-to-oil mass ratio. This reversal in trend can be explained by the water–gas shift reaction (WGSR) between heavy oil and water [12]. While this reaction may initially aid in viscosity reduction, excessive water can have a diluting effect on the free radicals generated during the pyrolysis process. These free radicals play a crucial role in the catalytic reactions, and their dilution can affect the overall efficiency of the process. Furthermore, the increase in water quantity also poses a challenge in subsequent catalytic reactions. As the amount of water increases, it effectively dilutes the catalyst, reducing its effectiveness. This dilution effect can significantly impact the overall viscosity-reducing capabilities of the system. Based on these observations, it becomes apparent that selecting the appropriate water–oil mass ratio is crucial for achieving optimal viscosity reduction. In subsequent experiments, a water–oil mass ratio of 0.3 was chosen as the reaction condition. This ratio offers a balance between effective viscosity reduction and maintaining the catalytic activity of the system. By carefully controlling the water–oil ratio, we can potentially enhance the efficiency and cost-effectiveness of heavy oil extraction, paving the way for more sustainable and efficient oil production practices [13].
Figure 3.
Effects of different water additions on aquathermolysis.
2.3. Influence of Water-Soluble Iron Complexes on Aquathermolysis of Heavy Oil
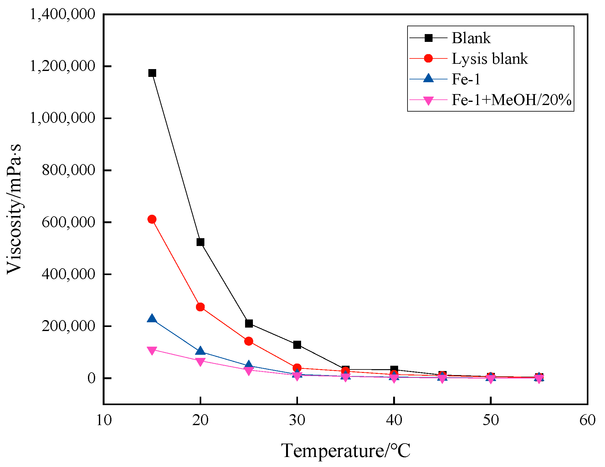
The meticulous investigation conducted into the catalytic effects of three synthesized water-soluble catalysts on the aquathermolysis of crude oil has yielded fascinating insights. Figure 4, a graphic representation of our findings, showcases the remarkable changes in viscosity brought about by these catalysts. The blank sample, representing the untreated oil, serves as a baseline for comparison. The lysis blank, on the other hand, represents the oil that has undergone cracking but without the addition of any catalyst, thus providing a control group for our study. The introduction of the Fe−1, Fe−2, and Fe−3 catalysts during the aquathermolysis process at 50 °C marked a significant turning point in our research. Each catalyst exhibited a unique ability to reduce the viscosity of the crude oil, but the extent of this reduction varied significantly. Among the three catalysts, Fe−1 stood out as the most effective. Its catalyzed aquathermolysis led to an astonishing 81.92% decrease in viscosity compared to the blank sample. This figure is not only impressive but also suggests that Fe−1 holds immense potential for industrial applications. When compared to the lysis blank, the Fe−1 catalyst still performed exceptionally well, reducing viscosity by 77.44%. The Fe−2 and Fe−3 catalysts, while not as effective as Fe−1, still managed to reduce viscosity by 70.68% and 42.33% respectively, compared to the blank sample. However, when compared to the lysis blank, their performance was slightly less impressive, with viscosity reductions of 63.41% and 28.03% for Fe−2 and Fe−3, respectively. These findings clearly demonstrate that the catalyst Fe−1 exhibits the most effective catalytic performance among the three tested catalysts [14,15]. Its ability to significantly reduce the viscosity of crude oil during aquathermolysis suggests that it could play a pivotal role in improving the efficiency and cost-effectiveness of this process. Given its promising performance, further research into the optimization and industrial application of Fe−1 is warranted.
Figure 4.
Effects of different water-soluble iron complexes on the viscosity of heavy oil.
2.4. The Effect of Methanol on Hydroaquathermolysis of Heavy Oil
The investigation into the influence of methanol addition on the hydrothermal decomposition process revealed intriguing outcomes, as presented in Figure 5. A notable trend was observed when the ratio of methanol to oil was gradually increased; the viscosity of the heavy oil decreased significantly [16]. This decrease in viscosity is attributed to the catalytic effect of methanol, which facilitates the breakdown of larger hydrocarbon molecules into smaller ones, thus enhancing the fluidity of the oil. Given the promising results obtained from the initial experiments, subsequent investigations employed a methanol-to-oil mass ratio of 0.2 as the standard reaction condition. As shown in Figure 6, the inclusion of methanol had a profound impact on reducing the viscosity of heavy oil. When 20% methanol was introduced into the system, the viscosity reduction rate of Fe−1 aquathermolysis pyrolysis of crude oil at 50 °C increased significantly, from 77.44% to 85.30%. This significant enhancement demonstrates the effectiveness of methanol in promoting the decomposition of heavy oil components and improving its overall flowability. These findings not only provide valuable insights into the role of methanol in hydrothermal decomposition but also offer potential applications in the oil industry [17,18,19]. By utilizing methanol as a catalyst, the viscosity of heavy oil can be effectively reduced, making it more suitable for transportation and processing. Furthermore, the optimized reaction conditions identified in this study can contribute to the development of more efficient and environmentally friendly oil processing techniques.
Figure 5.
Effect of methanol addition on the aquathermolysis.
Figure 6.
Influence of heavy oil on hydrothermal decomposition after adding catalyst and methanol.
2.5. Elemental Analysis
The elemental analysis of heavy oil prior to and after the aquathermolysis reaction offers profound insights into the transformation undergone by the oil (as shown in Table 1). Prior to the reaction, the oil sample exhibits a specific elemental composition, which provides a baseline for comparison. When water alone was introduced to the reaction mixture, the elemental composition of the oil shows minimal changes, indicating that the addition of water alone did not significantly alter the oil’s chemistry. However, the introduction of the catalyst Fe−1 into the reaction mixture marked a significant turning point. The elemental analysis content underwent remarkable alterations upon the addition of Fe−1. The carbon content of the oil increases significantly, rising from 79.83 to 84.72. Similarly, the hydrogen content also increases, from 11.10 to 11.70. These increases in carbon and hydrogen contents are indicative of the breakdown of larger hydrocarbon chains into smaller ones, a process that is crucial for reducing the viscosity of the oil. Moreover, the reaction resulted in a substantial decrease in the content of other elements, from 4.82 to 0.73. This decrease is particularly noteworthy, as it suggests that a significant number of heteroatom-containing bonds within the heavy oil resin and asphaltenes were successfully broken during the process. Heteroatoms such as sulfur, oxygen, and nitrogen can have a negative impact on the quality and usability of the oil. Therefore, their elimination during the aquathermolysis reaction is crucial for enhancing the oil’s quality. The observed changes in the elemental composition of the oil demonstrate the effectiveness of the aquathermolysis reaction in modifying the oil’s chemistry [20,21,22]. By breaking down larger hydrocarbon chains and eliminating heteroatoms, the reaction improves the fluidity and overall quality of the oil, making it more suitable for various industrial applications. These findings underscore the significance of the aquathermolysis process, particularly when combined with the catalyst Fe−1, in the field of oil processing.
Table 1.
Element content of oil sample before and after reaction.
2.6. Thermogravimetric Analysis
Thermogravimetric analysis provides a profound understanding of the compositional changes that occur in oil samples during a reaction. The weight loss curves depicted in Figure 7 offer a clear comparison of the oil’s behavior before and after the reaction. At temperatures ranging from 30 to 200 °C, the weight loss rate of the oil sample undergoes a notable increase, rising from 33.94% to 38.60%. This significant enhancement suggests that the reaction has led to the formation of lighter components, which are more volatile and thus contribute to a higher rate of weight loss. Contrastingly, within the temperature range of 200 to 350 °C, the weight loss rate of the oil sample experiences a slight decrease, dropping from 33.71% to 33.63%. This reduction might be attributed to the stabilization of some intermediate components that are formed during the reaction and are less volatile at these temperatures. Furthermore, at temperatures between 350 and 500 °C, the weight loss rate decreases significantly, from 32.35% to 27.77%. This decrease indicates that the heavier components that remain in the oil after the reaction are more thermally stable and hence less prone to decomposition at higher temperatures. Taken together, these findings suggest that the addition of methanol during the reaction effectively converts a significant portion of the heavy components into lighter ones. This conversion not only affects the weight loss behavior of the oil but also alters its overall composition, potentially leading to improved performance and stability. The observed changes in the weight loss rates provide valuable insights into the mechanisms underlying the reaction and its impact on the oil’s physicochemical properties.
Figure 7.
Thermogravimetric curves of heavy oil before (a) and after (b) aquathermolysis.
2.7. Differential Scanning Calorimeter Analysis
Upon examination of Figure 8, it becomes evident that the DSC curve of the oil sample undergoes a remarkable shift to the left upon the addition of methanol, in contrast to the DSC curve observed when only Fe−1 is introduced. This shift is indicative of a significant change in the thermal behavior of the oil sample. Specifically, the wax extraction point, which marks the temperature at which wax crystals begin to precipitate out of the oil, is reduced from 5.9 °C to 4.8 °C. The DSC results provide valuable insights into the chemical transformations that occur within the oil sample during this process. It appears that, as a result of the reaction, a portion of the heavier components within the oil undergo decomposition, breaking down into lighter components. This decomposition not only alters the chemical composition of the oil but also affects its physical properties. The lighter components, in turn, dissolve some of the heavier components, effectively modifying the solubility characteristics of the oil. The combined effects of these chemical changes result in a slowdown of wax crystal precipitation. As the lighter components interact with the heavier ones, they interfere with the nucleation and growth of wax crystals, thereby delaying their formation. This, in turn, leads to a reduction in the wax extraction point of the oil sample, as reflected in the shifted DSC curve. In summary, the addition of methanol to the oil sample appears to facilitate the decomposition of heavy components and the dissolution of these components by lighter ones, resulting in a lower wax extraction point and an altered thermal behavior of the oil. These findings have important implications for the optimization of oil processing and refining processes, as they suggest that the use of methanol may be a viable approach to mitigate wax deposition and improve the flow properties of oil.
Figure 8.
The DSC curves of the heavy oil before and after aquathermolysis.
2.8. Paraffin Crystals
In the realm of industrial operations, paraffin crystal deposition is a significant concern, as it often leads to the blockage of flow pipes and filters, causing operational disruptions and reduced efficiency. The paraffin crystals naturally present in crude oil, as depicted in Figure 9, are observed to possess larger sizes and higher densities, which greatly enhances their propensity for aggregation and deposition. However, it has been discovered that the aquathermolysis reaction can effectively alter the characteristics of these paraffin crystals [23,24]. During the aquathermolysis process, longer alkane chains undergo decomposition, resulting in a notable reduction in the size and density of paraffin crystals. This decomposition not only alters the physical properties of the crystals but also decreases their aggregation tendency, thereby minimizing the risk of deposition and blockage in flow systems. The application of the aquathermolysis reaction in industrial settings is, therefore, a promising approach for managing paraffin crystal deposition. By mitigating the deposition of these crystals, it becomes possible to maintain the smooth operation of flow pipes and filters, ensuring the continuous and efficient flow of fluids. This not only enhances the overall operational efficiency but also reduces the need for frequent maintenance and repairs, further contributing to cost savings. In conclusion, the aquathermolysis reaction offers a viable solution for addressing the challenges posed by paraffin crystal deposition in various industrial applications. Its ability to decompose longer alkane chains and reduce the aggregation tendency of paraffin crystals makes it an effective tool for maintaining the integrity and functionality of flow systems [25,26].
Figure 9.
Photographs of paraffin crystals in heavy oil-saturated hydrocarbons. (a): Crude oil, (b): Fe−1 added, (c): Fe−1 + methanol added.
2.9. Mechanistic Analysis
The catalytic mechanism is shown schematically in Figure 10. The catalyst structure consists of a metal ion and a hydrophilic (alcoholophilic) group. The hydroxyl and carboxyl groups on the anions are able to form hydrogen bonds with other molecules. This allows this type of catalyst to fully bind to water molecules as well as to penetrate and disperse into gums and asphaltenes to bind to their polar groups. The distance between water molecules and C−S bonds is narrowed, forming active sites and reducing the activation energy of the reaction. At the same time, to a certain extent, it also destroys the network structure of colloid and asphaltene. Thus, the viscosity of heavy oil is reduced.
Figure 10.
Schematic diagram of catalytic mechanism.
3. Experimental
3.1. Materials
Methanol, sodium tartrate, sodium lactate, sodium citrate, and ferric chloride used in the experiment are all analytical reagents and can be used directly. The high-temperature and high-pressure reactor (WCGF-200ML) used was purchased from Xi’an Taikang Biological Co., Ltd. (Xi’an, China). The crude oil samples used in this study were obtained from the Tahe Oilfield in Xinjiang, China. Its properties are shown in Table 2.
Table 2.
Basic properties of the Tahe crude oil.
3.2. Synthesis of the Complexes
Taking the preparation of ferric lactate (Fe−1) as an example, ferric chloride and sodium citrate were added to the flask in a molar ratio of 1:3, dissolved in an appropriate amount of water, and stirred at 60 °C for 2 h. The prepared complex solution was diluted to a certain concentration for later use. The preparation of Fe−1, Fe−2, and Fe−3 is shown in Figure 11, Figure 12, and Figure 13, respectively. The catalyst formed by iron, trisodium citrate dihydrate, and sodium tartrate were named Fe−2, Fe−3, respectively.
Figure 11.
Synthesis and structures of ferric lactate (Fe−1).
Figure 12.
Synthesis and structure of iron citrate (Fe−2).
Figure 13.
Synthesis and structure of iron tartrate (Fe−3).
3.3. Characterization of the Complex
On a UV spectrophotometer, record the electron spectrum in the range of 200–800 nm. The Fourier transform infrared spectrometer selects the pressed-disk technique, and the spectral range of the measurement process is 500–4000 cm−1.
3.4. Catalysis of Complexes for Hydrothermal Decomposition of Heavy Oil
The experiment is carried out by introducing a predetermined mass ratio of water to crude oil, methanol, and crude oil into a high-pressure reactor, where the catalyst dosage is 0.05% of the oil sample dosage. Add all the mixture to the reactor and react at 250 °C for 12 h. The reactor is cooled to about 30 °C, and then the reacting oil sample is poured into a beaker for transport performance and composition testing.
3.5. Catalyst Evaluation
The viscosity of heavy oils was assessed in accordance with the ASTM D97-96 Standard [27]. The viscosity reduction rate of the oil, Δη%, was determined as the ratio:
where η0 and η (mPa∙s) are the viscosities of the oil before and after the process [28,29,30]. Moreover, the components of the heavy oil were analyzed in accordance with the China Petroleum Industry Standard SY/T 5119-2016 [31]. The elemental compositions (C, H, N, and S) of the initial and upgraded oils were measured using an elemental vario EL cube. Thermogravimetric analysis was employed to evaluate the distribution of carbon numbers in crude oil across different temperature ranges. The oil samples were heated from 30 to 500 °C under nitrogen atmosphere at a heating rate of 10 °C/min [32]. The wax precipitation point of the heavy oil was determined in accordance with the SY/T 0545-2012 Standard [33]. The various scanning calorimetry (DSC) analyses of the heavy oil were all conducted using the instrument Mettler-Toledo DSC822e DSC (Mettler Toledo Limited, Shanghai, China) under a nitrogen atmosphere with a flow rate of 20 mL/min and a temperature range of −30 to 80 °C. The microstructural analysis of wax crystals was performed using saturated hydrocarbons isolated from crude oil [34,35] and observed at 15 °C (±0.2 °C) using a polarizing microscope (BX41-OLYMPUS, Chongqing Aote Optical Instrument Co., Ltd, Chongqing, China). All analytical operations were preceded by the separation of water and methanol, which was carried out by taking a certain sample of oil in a round-bottomed flask, adding an appropriate amount of petroleum ether, and heating it at 75 °C.
((η0 − η)/η0) × 100,
4. Conclusions
The comprehensive experimental findings presented in our study underscore the exceptional performance of Fe−1 as the most effective catalyst for viscosity reduction among the tested variants. Its superiority is not just a mere statistic but a practical demonstration of its catalytic prowess. When a blend containing 0.05% of Fe−1 catalyst and 20% methanol was introduced to heavy oil and reacted at 250 °C for 12 h, the results were nothing short of remarkable. The reaction mixture underwent profound transformations, resulting in a stark decrease in the viscosity of the heavy oil. Specifically, the viscosity measurement at 50 °C revealed a substantial drop from 6570 to 774 mPa·s. This translates to an impressive viscosity reduction rate of 85.3%, a figure that speaks volumes about the catalytic efficiency of Fe−1. What is more, catalytic aquathermolysis with Fe−1 not only addresses the viscosity issue but also targets the presence of heteroatoms within the oil. Sulfur (S), oxygen (O), and nitrogen (N) are often present in crude oil and can affect its quality and usability. However, the catalytic process effectively eliminates these heteroatoms from the oil composition, further enhancing its quality. The removal of these heteroatoms not only improves the fluidity of the oil but also makes it more suitable for transportation and subsequent processing steps. This enhanced fluidity opens up new possibilities for the utilization of heavy oil in various industrial applications, ranging from power generation to chemical feedstocks. Therefore, the catalytic aquathermolysis process, particularly with the utilization of Fe−1, represents a significant advancement in the field of oil processing. It offers a more efficient and environmentally friendly approach to oil utilization, holding promise for a sustainable future in the energy sector.
Author Contributions
Conceptualization, G.C.; Methodology, J.F.; Software, S.C. and J.F.; Validation, T.H.; Formal analysis, S.C.; Investigation, S.Z.; Resources, X.L.; Writing—original draft, S.Z.; Writing—review & editing, G.C.; Visualization, X.L.; Supervision, S.C.; Project administration, T.H.; Funding acquisition, G.C. All authors have read and agreed to the published version of the manuscript.
Funding
This work was supported financially by the National Science Foundation of China (50874092) and the Youth Innovation Team of Shaanxi University. The authors also thank the work of the Modern Analysis and Testing Center of Xi’an Shiyou University.
Data Availability Statement
Data are contained within the article.
Conflicts of Interest
Author Xiaolong Long was employed by the company Yumen Oilfield, Tianbao Hu was employed by the company Changqing Oilfield Company. The remaining authors declare that the research was conducted in the absence of any commercial or financial relationships that could be construed as a potential conflict of interest.
References
- Shaban, S.; Dessouky, S.; Badawi, A.E.F.; Sabagh, A.E.; Zahran, A.; Mousa, M. Upgrading and viscosity reduction of heavy oil by catalytic ionic liquid. Energy Fuels 2014, 28, 6545–6553. [Google Scholar] [CrossRef]
- Lv, S.Y.; Peng, S.; Zhang, R.J.; Guo, Z.; Du, W.C.; Zhang, J.; Chen, G. Viscosity reduction of heavy oil by ultrasonic. Pet. Chem. 2020, 60, 998–1002. [Google Scholar] [CrossRef]
- Eke, W.I.; Kyei, S.K.; Ajienka, J.; Akaranta, O. Effect of bio-based flow improver on the microscopic low-temperature flow properties of waxy crude oil. J. Pet. Explor. Prod. Technol. 2021, 11, 711–724. [Google Scholar] [CrossRef]
- Du, Y.N.; Huang, C.; Jiang, W.; Yan, Q.W.; Li, Y.F.; Chen, G. Preparation of surface modified nano-hydrotalcite and its applicaiton as a flow improver for crude oil. Fuel 2024, 357, 130005. [Google Scholar] [CrossRef]
- Muraza, O.; Galadima, A. Aquathermolysis of heavy oil: A review and perspective on catalyst development. Fuel 2015, 157, 219–231. [Google Scholar] [CrossRef]
- Ma, L.W.; Guo, R.; Dong, S.B.; Li, Y.F.; Slaný, M.; Chen, G. Study on synergistic catalysis of exogenous catalyst and in-situ clay in coupling aquathermolysis of water-heavy oil-ethanol at low temperature. Chem. Eng. J. 2023, 453, 139872. [Google Scholar] [CrossRef]
- Huang, S.; Cao, M.; Huang, Q.; Liu, B.; Jiang, J. Study on reaction equations of heavy oil aquathermolysis with superheated steam. Int. J. Environ. Sci. Technol. 2019, 16, 5023–5032. [Google Scholar] [CrossRef]
- Chen, G.; Li, Y.F.; Zhao, W.; Qu, K.; Ning, Y.; Zhang, J. Investigation of cyclohexanone pentaerythritol ketal as a clean flow improver for crude oil. Fuel Process. Technol. 2015, 133, 64–68. [Google Scholar] [CrossRef]
- Glagoleva, O.F.; Kapustin, V.M.; Piskunov, I.V.; Usmanov, M.R. Controlling the aggregative stability of feedstock blends and petroleum products. Pet. Chem. 2020, 60, 971–978. [Google Scholar] [CrossRef]
- Zang, Y.L.; Liu, G.B.; Ji, W.Y.; Dong, S.B.; Li, Y.F.; Chen, G. Resource utilization of waste progesterone medicines as flow improver for crude oil. J. Environ. Manag. 2024, 349, 119524. [Google Scholar] [CrossRef]
- Li, Y.R.; Li, Q.Y.; Wang, X.D.; Yu, L.G.; Yang, J.J. Aquathermolysis of heavy crude oil with ferric oleate catalyst. Pet. Sci. 2018, 15, 613–624. [Google Scholar] [CrossRef]
- Silva, A.M.; Kong, X.; Parkin, M.C.; Cammack, R.; Hider, R.C. Iron (III) citrate speciation in aqueous solution. Dalton Trans. 2009, 40, 8616–8625. [Google Scholar] [CrossRef] [PubMed]
- Zhang, X.; Yue, L.; Wan, M.; Zheng, Y. Synthesis of porous manganese oxides bars via a hydrothermal-decomposition method. Mater. Chem. Phys. 2010, 124, 831–834. [Google Scholar] [CrossRef]
- Reddy, C.R.; Bhat, Y.S.; Nagendrappa, G.; Prakash, B.J. Bronsted and Lewis acidity of modified montmorillonite clay catalysts determined by FT-IR spectroscopy. Catal. Today 2009, 141, 157–160. [Google Scholar] [CrossRef]
- Bakore, G.V.; Bhardwaj, S.D. Spectrophotometric Study of Iron (III)-Lactate Complex and its Photo-reduction. Z. Phys. Chem. 1964, 227, 26–32. [Google Scholar] [CrossRef]
- Zhao, F.J.; Liu, Y.J.; Lu, N.; Xu, T.X.; Zhu, G.M.; Wang, K. A review on upgrading and viscosity reduction of heavy oil and bitumen by underground catalytic cracking. Energy Rep. 2021, 7, 4249–4272. [Google Scholar] [CrossRef]
- Ovalles, C.; Filgueiras, E.; Morales, A.; Scott, C.E.; Gonzalez-Gimenez, F.; Embaid, B.P. Use of a dispersed iron catalyst for upgrading extra-heavy crude oil using methane as source of hydrogen. Fuel 2003, 82, 887–892. [Google Scholar] [CrossRef]
- Zhou, Z.C.; Dong, S.B.; Zhang, X.L.; Zhang, J.; Chen, G. Synthesis of multi-alkylpolyamine and performance in crude oil as flow improver. Tenside Surfactants Deterg. 2022, 59, 104–110. [Google Scholar] [CrossRef]
- Li, J.; Chen, Y.L.; Liu, H.C.; Wang, P.J.; Liu, F. Influences on the aquathermolysis of heavy oil catalyzed by two different catalytic ions: Cu2+ and Fe3+. Energy Fuels 2013, 27, 2555–2562. [Google Scholar] [CrossRef]
- Zang, Y.l.; Liu, H.Z.; Chen, D.; Zhang, S.; Li, S.J.; Chen, G. Synergistic catalysis of reservoir minerals and exogenous catalysts on aquathermolysis of heavy oil. Processes 2023, 11, 2635. [Google Scholar] [CrossRef]
- Boulet, P.; Greenwell, H.C.; Stackhouse, S.; Coveney, P.V. Recent advances in understanding the structure and reactivity of clays using electronic structure calculations. J. Mol. Struct. THEOCHEM 2005, 762, 33–48. [Google Scholar] [CrossRef]
- Zhou, Z.C.; Zhang, W.Y.; Yu, T.; Li, Y.F.; Struhárová, A.; Matejdes, M.; Slaný, M.; Chen, G. The effect of sodium bentonite in the thermo-catalytic reduction of viscosity of heavy oils. Molecules 2023, 28, 2651. [Google Scholar] [CrossRef] [PubMed]
- Chen, Y.L.; He, J.; Wang, Y.Q.; Li, P. GC-MS used in study on the mechanism of the viscosity reduction of heavy oil through aquathermolysis catalyzed by aromatic sulfonic H3PMo12O40. Energy 2010, 35, 3454–3460. [Google Scholar] [CrossRef]
- Chen, G.; Yuan, W.H.; Wu, Y.; Zhang, J.; Song, H.; Jeje, A.; Song, S.F.; Qu, C.T. Catalytic aquathermolysis of heavy oil by coordination complex at relatively low temperature. Pet. Chem. 2017, 57, 881–884. [Google Scholar] [CrossRef]
- Zhang, F.; Ouyang, J.; Feng, X.; Zhang, H.; Xu, L. Paraffin deposition mechanism and paraffin inhibition technology for high-carbon paraffin crude oil from the Kazakhstan PK Oilfield. Pet. Sci. Technol. 2014, 32, 488–496. [Google Scholar] [CrossRef]
- Ma, L.W.; Zhang, S.; Zhang, X.L.; Dong, S.B.; Yu, T.; Slaný, M.; Chen, G. Enhanced aquathermolysis of heavy oil catalyzed by bentonite supported Fe(III) complex in the present of ethanol. J. Chem. Technol. Biotechnol. 2022, 97, 1128–1137. [Google Scholar] [CrossRef]
- ASTM D97-2012; Standard Test Method for Pour Point of Petroleum Products. ASTM: West Conshohocken, PA, USA, 2012.
- Semikhina, L.P.; Nelyubov, D.V.; Vazhenin, D.A. Effect of the structure of pour-point depressant additives on the deposition of solid petroleum hydrocarbons. Pet. Chem. 2015, 55, 575–577. [Google Scholar] [CrossRef]
- Zhou, Z.C.; Slaný, M.; Kuzielová, E.; Zhang, W.Y.; Ma, L.W.; Dong, S.B.; Zhang, J.; Chen, G. Influence of reservoir minerals and ethanol on catalytic aquathermolysis of heavy oil. Fuel 2022, 307, 121871. [Google Scholar] [CrossRef]
- Maity, S.K.; Ancheyta, J.; Marroquín, G. Catalytic aquathermolysis used for viscosity reduction of heavy crude oils: A Review. Energy Fuels 2010, 24, 2809–2816. [Google Scholar] [CrossRef]
- SY/T 5119-2016; Ananlysis Mothed for Family Composition of Rock Extracts and Crude Oil. China National Petroleum Corporation: Beijing, China, 2016.
- Hazrati, N.; Abdouss, M.; Miran-Beigi, A.A.; Pasban, A.A. Long chain alkylated ionic liquids as pour point depressant and rheology improver for crude oil. Pet. Chem. 2021, 61, 206–213. [Google Scholar] [CrossRef]
- SY/T 0545-2012; Determination of Thermal Property Parameters of the Wax Precipitation in Crude Oil. Test Method by Differential Scanning Calorimetry. China National Petroleum Corporation: Beijing, China, 2012.
- Behbahani, T.J.; Miranbeigi, A.A.; Sharifi, K. A new experimental investigation on upgrading of waxy crude oils by methacrylate polymers. Pet. Chem. 2017, 57, 874–880. [Google Scholar] [CrossRef]
- Hu, J.Q.; Gan, J.H.; Li, J.P.; Luo, Y.; Wang, G.K.; Wu, L.; Gong, Y.M. Extraction of crude oil from petrochemical sludge: Characterization of products using thermogravimetric analysis. Fuel 2017, 188, 166–172. [Google Scholar] [CrossRef]
Disclaimer/Publisher’s Note: The statements, opinions and data contained in all publications are solely those of the individual author(s) and contributor(s) and not of MDPI and/or the editor(s). MDPI and/or the editor(s) disclaim responsibility for any injury to people or property resulting from any ideas, methods, instructions or products referred to in the content. |
© 2024 by the authors. Licensee MDPI, Basel, Switzerland. This article is an open access article distributed under the terms and conditions of the Creative Commons Attribution (CC BY) license (https://creativecommons.org/licenses/by/4.0/).












