Next Article in Journal
Transition Metal-Promoted LDH-Derived CoCeMgAlO Mixed Oxides as Active Catalysts for Methane Total Oxidation
Next Article in Special Issue
Optimizing Algal Oil Extraction and Transesterification Parameters through RSM, PCA, and MRA for Sustainable Biodiesel Production
Previous Article in Journal / Special Issue
Investigation into the Fuel Characteristics of Biodiesel Synthesized through the Transesterification of Palm Oil Using a TiO2/CH3ONa Nanocatalyst
 
 
Font Type:
Arial Georgia Verdana
Font Size:
Aa Aa Aa
Line Spacing:
Column Width:
Background:
Article

Biomass-Derived Co/MPC Nanocomposites for Effective Sensing of Hydrogen Peroxide via Electrocatalysis Reduction

1
Key Laboratory of Modern Agricultural Equipment and Technology, Ministry of Education, Jiangsu University, Zhenjiang 212013, China
2
International Innovation Center for Forest Chemicals and Materials, Nanjing Forestry University, Nanjing 210037, China
*
Authors to whom correspondence should be addressed.
Catalysts 2024, 14(9), 624; https://doi.org/10.3390/catal14090624
Submission received: 13 August 2024 / Revised: 12 September 2024 / Accepted: 12 September 2024 / Published: 16 September 2024

Abstract

Utilizing the full potential of reproducible biomass resources is crucial for the sustainable development of humanity. In this study, biochar (MPC) was prepared through the microwave-assisted pyrolysis of sugarcane bagasse. Subsequently, Co nanoparticles were introduced by microwave-assisted hydrothermal treatment to form a highly dispersive Co/MPC material. Characterization results indicated that Co nanoparticles were wrapped by thin carbon layers and uniformly dispersed on a carbon-based skeleton via a microwave-assisted hydrothermal synthesis approach, providing high-activity space. Thus, the prepared material was limited to glassy carbon; on the electrode surface, a cobalt-based sensing platform (Co/MPC/GCE) was built. On the basis of this constructed sensing platform, a linear equation was fitted by the concentration change of current signal I and H2O2. The linear range was 0.55–100.05 mM; the detection limit was 1.38 μM (S/N = 3); and the sensitivity was 103.45 μA cm−2 mM−1. In addition, the effect this sensor had on H2O2 detection of actual water samples was conducted by using a standard addition recovery method; results disclosed that the recovery rate and RSD of H2O2 in tap water samples were 94.0–97.6% and 4.1–6.5%, respectively.

Graphical Abstract

1. Introduction

Hydrogen peroxide (H2O2) is extensively utilized as an oxidizing agent across various sectors, including the chemical and food industries, environmental waste management, and medical diagnostics [1,2]. However, residual or excessive concentrations of H2O2 can pose significant risks to both plant growth and human health [3,4,5]. Consequently, it is essential to develop an efficient and sensitive method for the quantitative detection of H2O2 levels in crops and their surrounding environments. Electrochemical sensors have demonstrated significant promise in this field, garnering widespread attention due to their time efficiency and sensitivity [6].
Cobalt has been widely applied in electrocatalysis due to its exceptional catalytic performance [7]. Additionally, cobalt-based materials have demonstrated promising applications in the detection of H2O2 [8,9]. For example, Dai et al. developed a dual-mode fluorescence and colorimetric sensor by co-doping carbon dots with Fe and Co, which was utilized for the detection of H2O2 [10]. The detection limits for H2O2 were found to be as low as 0.54 μM and 0.81 μM for fluorescence and colorimetric detection, respectively. Furthermore, Xia et al. fabricated a Co–MOF/TM composite nanosheet array by in situ growth of cobalt-based MOF on titanium mesh (TM), which was employed to detect H2O2 released from living cells [11]. The resulting sensor exhibited excellent H2O2 detection performance, achieving a low detection limit of 0.25 μM, a wide linear range of 1–13,000 μM, and a high sensitivity of 98.75 μAmM−1cm−2. Despite the efficacy of Co in H2O2 detection, issues such as agglomeration, poor conductivity, and deactivation of Co composites hinder their practical applications.
Carbon nanocomposites possess the advantage of high conductivity and can inhibit the agglomeration and deactivation of metal catalysts by promoting their dispersion and stabilizing active sites. The unique properties of carbon materials render them ideal supports in the realm of electrochemical sensors. The combination of cobalt and carbon composites demonstrates commendable performance in H2O2 detection via electrochemical sensors [12,13]. For instance, Wu et al. designed cobalt–chromium mixed spinel oxide nanodots anchored on nitrogen-doped carbon nanotubes, utilizing them as catalytic electrodes for H2O2 detection [14]. The carbon nanotubes significantly enhanced the dispersion and stabilization of the ZnCrCoO4 catalytic activity center. Consequently, the ZnCrCoO4/nitrogen-doped carbon nanotubes (NCNTs)-based sensor exhibited remarkable reproducibility and selectivity for H2O2 sensing, with a detection range spanning from 1 to 7330 μM and a detection limit of 1 μM.
Biomass is a plentiful renewable resource characterized by various heteroatoms and natural pore structures. Consequently, compared to synthetic carbon materials, biomass-derived carbon retains the unique natural porous architecture of biomass along with its in situ doped heteroatoms. This results in significant advantages, including low cost, scalability, and environmental friendliness [15,16]. The porous structure of biomass-derived carbon not only stabilizes catalytic active sites but also provides an ample confined reaction space, which is advantageous for electrochemical catalysis-based sensors [17,18]. Wang et al. prepared hierarchical meso-macroporous network aerogels from the cost-effective and readily available biomass of apples [19]. The resulting biocarbon exhibited a large specific surface area and a high density of edge-defective sites. Furthermore, the electron transfer efficiency between the resulting electrode and the target sample was significantly enhanced, leading to markedly improved detection performance. Therefore, biomass-derived carbon materials represent an ideal support for cobalt-based active sites.
Microwave heating offers several advantages over traditional heating methods in biomass conversion. These benefits include homogeneous volumetric heating, an instantaneous response to heating, reduced pyrolytic temperatures and activation energy, decreased coke formation on catalysts, and improved biochar quality with enhanced pore structure and adsorption capacity [20]. Microwave-assisted conversion of biomass has been extensively utilized across various fields, including catalysis, environmental remediation, and supercapacitor development [21,22]. Consequently, carbon produced through microwave-assisted methods is anticipated to exhibit exceptional performance in the realm of electrochemical sensors. However, the application of microwave-assisted carbon in the detection of H2O2 has been infrequently reported.
Therefore, in this work, biomass-based carbon nanocomposites (Co/MPC) utilized for the detection of H2O2 were synthesized by a combined microwave-assisted method. Firstly, biochar was prepared from microwave-assisted pyrolysis of sugarcane bagasse; then, the highly dispersed and active Co/MPC nanocomposites were obtained through the loading of Co metal particles by microwave hydrothermal treatment and then calcination at a high temperature. The characterization of the materials revealed that the prepared Co/MPC showed a high surface area, great graphitized structure, and superior electrochemical activity. Meanwhile, an expected effect has also been achieved in the actual sample detection of hydrogen peroxide.

2. Results and Discussion

2.1. Characterization of Biomass-Derived Nanocomposites (Co/MPC)

Figure 1 illustrates the morphology of the prepared materials as analyzed by SEM. From Figure 1a,b, it is evident that the particle size of the obtained MPC was uniformly dispersed for biochar treated using a ball mill, with particle diameters ranging from 2 to 5 nm. Figure 1c,d display the SEM results for Co/MPC, revealing that the nanocomposites produced via microwave-assisted hydrothermal treatment exhibited porous petal structures. This phenomenon can be attributed to preservation of the natural three-dimensional skeleton structure of the biomass carbon materials at low temperatures and within a short reaction time. Additionally, the specific surface area of the materials can be enhanced due to the high microwave density and system pressure during the microwave hydrothermal treatment. In contrast to materials synthesized through conventional heating, auto-focus coupling single-mode microwave heating technology, equipped with a Power Max system, effectively dissipates heat generated during the reaction process, thereby maximizing the microwave radiation power utilized for the reaction system. Consequently, carbon nanocomposites treated via microwave hydrothermal treatment demonstrate significant advantages, including effective prevention of metal nanoparticle agglomeration, which notably enhances the activity and longevity of the materials [23].
TEM was employed to examine the deposition of metal atoms on the surface of the material. Figure 1e,f present the TEM findings for the modified biomass-derived carbon material Co/MPC. The results clearly indicate that the cobalt nanoparticles, which were approximately 5 nm in size, were uniformly distributed across the biomass-derived carbon material. The measured atomic lattice spacing and the corresponding crystal plane were found to be 0.205 nm and (111), respectively. This comparison of the diffraction lattice fringe spacing with cobalt atom data from the existing literature confirmed the successful loading of cobalt onto the MPC surface. Additionally, the elemental mapping results shown in Figure 1g demonstrated that the loaded elements were uniformly distributed, exhibiting no significant aggregation.
XRD analysis was carried out for both MPC and Co/MPC as depicted in Figure 2a. The results indicated that the primary peaks of MPC appeared at 21° and 26.5°, which correspond to the peaks of C (PDF-06-0675) and SiO (PDF-46-1045) when compared to a standard card. The presence of SiO2 is likely associated with the silicon content in the biomass raw materials. During the pyrolysis process, the presence of silicon is advantageous as it helps prevent structural collapse, thereby maintaining the integrity of the material. In contrast, the peaks for Co/MPC were predominantly observed at 26.5°, 36.7°, 42.5°, and 50.2°. This suggests that Co was successfully loaded onto the carbon substrate as supported by the existing literature [24]. This phenomenon can be explained by the encapsulation of cobalt nanoparticles within a carbon shell during microwave hydrothermal treatment, which effectively prevents further oxidation of the Co nanoparticles.
Additionally, Raman spectroscopy analysis (Figure 2b) was conducted to investigate the defect structure and graphitization of the materials. Two peak centers were observed at 1330 cm−1 and 1590 cm−1, corresponding to the D and G bands of carbon material. The 2D band, observed in the range of 2641 to 2973 cm−1, provides a direct reflection of the degree of graphitization and disorder within the sample. Enhanced interactions between Co nanoparticles and graphite carbon can improve the electrochemical activity of nanohybrid materials. Furthermore, it has been reported that the electrochemical activity of nanocomposites significantly depends on the defect density of graphite carbon. Generally, the electron transfer rate for graphite carbon with a high degree of defects is slow. In this study, the intensity ratio IG/ID for MPC and Co/MPC was found to be 1.135 and 0.9518, respectively. The degree of graphitization of carbon materials modified by cobalt was observed to be disordered, with a reduced number of carbon hybrid sp2 bonds and an increased presence of lattice defects, which are beneficial for the catalysis and detection of hydrogen peroxide [25,26].
The FT-IR results presented in Figure 2c reveal a broad absorption band centered around 3409 cm−1, which is attributed to the presence of aromatic and aliphatic OH groups. Notably, after cobalt modification, there was a significant decrease in the intensity of this peak. This reduction can be explained by the formation of abundant porous structures within the composites following microwave hydrothermal treatment, which disrupted the cross-linking framework of -OH groups in the biomass carbon materials. Additionally, some moisture may have been eliminated during the calcination process due to high temperatures in the tubular furnace. The absorption bands observed at 2917 cm−1 and 2848 cm−1 are associated with the C–H vibration of -CH2 and -CH3 groups [27]. In the case of the MPC material, distinct stretching vibration peaks at 1635 cm−1 and 1427 cm−1 were identified, which can be attributed to the Si–O group. The emergence of numerous porous structures during the microwave hydrothermal treatment resulted in the cleavage of some Si–O bonds, leading to a noticeable decrease in peak intensity in the Co/MPC spectrum. However, the Co/MPC composite exhibited a characteristic peak at 1259 cm−1, attributed to the formation of Co–C bonds induced by the microwave-assisted synthesis of nanocomposites under the performance of auto-focus coupling microwave hydrothermal treatment. The vibrations observed at 1078 cm−1, 1041 cm−1, and 873 cm−1 correspond to C–C, C–O, and C=O stretching, respectively [28]. In summary, the FT-IR analysis indicates that Co/MPC composites are primarily composed of various carbon and cobalt groups, confirming the successful synthesis of the materials.
N2 adsorption–desorption isotherms were obtained to investigate the structural parameters of the prepared materials (Figure 2d). Notably, biochar (BC) exhibits only a limited number of porous structures, whereas MPC displays a type IV isotherm, indicating a significant presence of mesopores as observed from the adsorption–desorption isotherms within the P/P0 range of 0.4–0.9. The specific surface areas of BC and MPC are 10.41 and 184.16 m2 g−1, respectively (Table 1), demonstrating that MPC possesses a substantially larger specific surface area compared to BC. Additionally, the average pore size and pore volume further corroborate the porous structure of MPC (Table 1 and inset of Figure 2d). These findings suggest that microwave-assisted pyrolysis effectively preserves the porous structure of biomass materials.

2.2. Electrochemical Properties and Electrocatalysis of the Co/MPC Electrode Toward H2O2

To investigate the electrochemical properties of Co/MPC materials, we conducted analyses using cyclic voltammetry (CV) and electrochemical impedance spectroscopy (EIS) as illustrated in Figure 3. Figure 3a presents the voltammograms of a bare glassy carbon electrode and a Co/MPC-modified glassy carbon electrode (Co/MPC/GCE) in a 0.1 mol/L PBS solution and a 10 mmol/L H2O2 solution, respectively. The results indicate that the bare electrode exhibits a low response signal to hydrogen peroxide, with an excessively negative potential observed during the electrochemical response. In contrast, the Co/MPC electrode demonstrates a distinct pair of redox peaks at 0.2 V and 0.5 V. Furthermore, the presence of hydrogen peroxide significantly enhances the electrical signal, confirming that the composite exhibits an electrochemical response to hydrogen peroxide. The mechanism underlying the reduction of hydrogen peroxide by Co/MPC can be succinctly described by the following equation [29]:
2 CoII/MPC + H2O2 → 2 CoIII/MPC + 2 OH
Figure 3b illustrates the EIS results of GCE, MPC, pure cobalt, and Co/MPC electrode materials. This data can be utilized to investigate the reasons behind the high electrochemical reaction efficiency observed in Co/MPC materials. The upper left inset displays the equivalent fitted circuit diagram, where Rs represents the solution resistance; Cdl denotes the electric double layer capacitance; Zw indicates the diffusion resistance; and Rct signifies the electron transfer resistance. The inset in the upper right corner provides an enlarged view of the high-frequency region of the EIS. In general, the diameter of the semicircle in the high-frequency region of the spectrum is proportional to the electron transfer resistance (Ret) [29]. The estimated Ret values were 350, 415, 400, and 375 Ω, respectively, as determined through Ziew software (Ziew 3.1) fitting. These results indicate that both MPC and pure Co materials impede electron movement during the electrocatalysis process, whereas Co/MPC nanocomposites enhance the electron transmission rate, thereby facilitating the detection of hydrogen peroxide.
The cyclic voltammograms of MPC, pure Co, and Co/MPC at varying hydrogen peroxide concentrations (0 mmol/L, 1 mmol/L, and 10 mmol/L) are presented in Figure 4. The results indicate that the response of MPC and pure Co to the electrochemical signal of hydrogen peroxide was pronounced, with the changes in peak values being irregular and lacking a linear trend. In Figure 4d, cyclic voltammograms of different materials at a concentration of 10 mmol/L H2O2 reveal that the Co/MPC nanocomposite exhibited significantly stronger electrochemical signals in response to hydrogen peroxide.
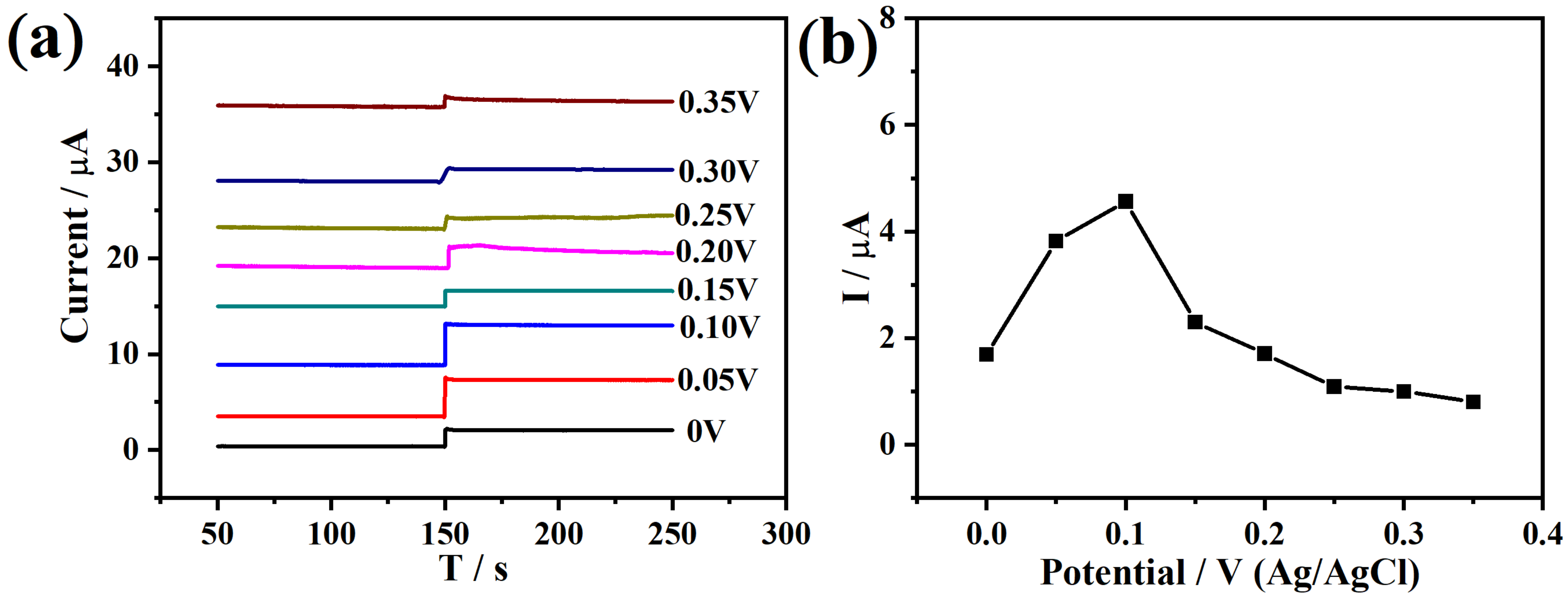
Moreover, the current time (i-t) test of Co/MPC/GCE in 1 mmol/L H2O2 was performed at various potentials as illustrated in Figure 5a. An increasing trend in the current signal was observed at lower potentials, with the maximum current value recorded at 0.1 V (Figure 5b). Beyond this point, the current signal began to decrease with rising potential. This decline may be attributed to the oxidation of certain active interfering substances at higher potentials, which could hinder the detection of hydrogen peroxide. Consequently, this study identified 0.1 V as the optimal voltage for H2O2 detection.
Figure 6a illustrates the i-t linearity test conducted using Co/MPC/GCE at a potential of 0.1 V. The current response signal was observed to increase rapidly, reaching a stable value upon the addition of varying concentrations of hydrogen peroxide. The linear fitting curve correlating concentration with the corresponding current values elucidates this phenomenon; results indicated that for hydrogen peroxide concentrations ranging from 0.55 to 100.05 mmol/L, the linear regression equation was expressed as I(µA) = 13.10708 + 2.31182 C (mmol/L) (R2 = 0.9899). At concentrations below 100.05 mmol/L, hydrogen peroxide was rapidly reduced by Co/MPC/GCE, generating a strong current signal. However, as the concentration approached 100.05 mmol/L, accumulation of hydrogen peroxide on the surface of the nanocomposites prolonged the reduction process, potentially diminishing the material’s sensitivity [30]. Furthermore, the assembled Co/MPC/GCE sensor demonstrated a low detection limit of 1.38 µmol/L, (S/N = 3) and a high sensitivity of 103.45 µA cm−2 mM−1.

2.3. Reproducibility, Anti-Interference, and Stability Test of Co/MPC/GCE for Hydrogen Peroxide

To investigate the reproducibility of the synthesized materials for hydrogen peroxide detection, 0.5 mmol/L hydrogen peroxide was added ten times at 50 s intervals under a voltage of 0.1 V. As shown in Figure 6b, the current responded rapidly, and the current increase was nearly consistent with each addition. The RSD over the ten trials was 1.6%, indicating that the sensor exhibits excellent reproducibility.
To further evaluate the applicability of Co/MPC/GCE, several common active interfering substances, including urea, glucose, ascorbic acid, dopamine, and sodium chloride, were tested. Figure 6c presents the current time response curve for 0.1 mmol/L H2O2, 1 mmol/L Urea, 1 mmol/L Glu, 1 mmol/L AA, 1 mmol/L DA, 1 mmol/L NaCl, and 0.1 mmol/L H2O2 consecutively added every 50 s. The results indicated that these active substances had a minimal impact on hydrogen peroxide detection, demonstrating that Co/MPC/GCE possesses strong anti-interference capabilities.
Additionally, the stability of the sensor was assessed (Figure 6d). The Co/MPC/GCE electrode was stored in a 0.1 mol/L PBS solution at 4 °C. The long-term sensing stability of the electrode was evaluated by measuring 0.1 mmol/L H2O2 daily for two consecutive weeks [31]. The RSD over this two-week period was 15.2%, suggesting that the hydrogen peroxide sensor has considerable stability, likely due to the uniform distribution of metal atoms and the stability of the composite structure.
The prepared sensor demonstrated high detection performance without the use of any noble metals. The abundant biomass-derived carbon materials contribute to the sensor’s cost-effectiveness. Furthermore, the sensor exhibits a lower limit of detection and a wide linear range. The detection performance of Co/MPC is comparable to that of previously reported materials (see Table 2). However, it is important to emphasize that the information provided in Table 2 regarding the measurement conditions (quiescent or forced convection) is insufficient for establishing a direct comparison among the various materials.
To verify the feasibility of the Co/MPC/GCE electrode in real samples, a spiked recovery method was employed to evaluate and analyze actual water samples (Table 3) [41]. Tap water was sourced from the laboratory, and the results revealed that the recovery and standard deviation of H2O2 in the tap water samples were 94.0–97.6% and 4.1–6.5%, respectively. These findings indicate that the prepared sensor electrode demonstrates exceptional activity and effectiveness in the reduction detection of H2O2.

3. Materials and Methods

3.1. Materials

The agricultural waste sugarcane bagasse was purchased from Liaotang Science and Technology Co., Ltd. (Shenyang, China). Urea, ascorbic acid, and dopamine were obtained from Sigma-Aldrich (St. Louis, MO, USA). NaCl, H2O2, glucose, Na2HPO4·12H2O, NaH2PO4·2H2O, K3 [Fe(CN) 6], KCl, Co(NO3)2·6H2O, and anhydrous CH3CH2OH were supplied by Sinopharm Chemical Reagent Co., Ltd. (Shanghai, China).

3.2. Preparation of Biochar (MPC) via Microwave Pyrolysis

Biochar was obtained from agricultural waste sugarcane bagasse using a self-assembled microwave pyrolysis system as reported in our previous work [42]. In this process, 30 g of cleaned sugarcane bagasse was introduced into a quartz reactor. Subsequently, activated carbon (AC) as a microwave absorber was introduced into the reactor. Prior to the reaction, the reactor was purged with nitrogen for 15 min with a flow rate of 50 mL/min to eliminate O2 in the system. Pyrolysis was performed at 550 °C for 15 min with the microwave power setting at 750 W. Then, the product was separated from the AC with a sieve. Thereafter, the resulting biochar was placed in a ball mill and crushed for 30 min in zirconia beads. Subsequently, the obtained crushed biochar was vigorously stirred in 5 mol/L HCl for 24 h to wipe off impurities. Finally, the biochar was collected by vacuum filtration, washed with deionized water until neutral, and vacuum dried at 60 °C for 24 h. The resulting biochar from this process was designated as MPC. Moreover, biochar (BC) prepared by direct pyrolysis of sugarcane bagasse at 550 °C for 4 h with a heating rate of 5 °C per minute was utilized as a control.

3.3. Preparation of Co/MPC Composite

A total of 0.04 g of MPC and 0.02 g of Co(NO3)2·6H2O were added into a 30 mL quartz tube, which was then placed in a microwave hydrothermal reactor (CEM Discover, SP, Matthews, NC, USA). Subsequently, the quartz tube was filled with a mixture of 5 mL anhydrous ethanol and deionized water. The reaction was carried out at 180 °C for 1 h with a microwave power of 200 W. Upon completion, the reactor was cooled to below 50 °C using a vacuum cooling pump. The solvent in the resulting mixture was eliminated using a rotary evaporator, and then the resulting solid was dried in an oven overnight. Subsequently, the product was calcined at 600 °C for 2 h in a tubular furnace under a N2 atmosphere. The obtained black solid was denoted as Co/MPC.

3.4. Characterization of the Synthesized Materials

X-ray diffraction (XRD) was obtained using a Smart Lab Rigaku (Tokyo, Japan). Material testing was conducted under 40 kV, with a current of 200 µA and a resolution of RS = 0.3 mm. The test was performed in the range of 5–90° with a scanning speed of 2° per minute. Scanning electron microscopy (SEM) was carried out using a SU5000 from Hitachi (Tokyo, Japan). A thermionic gun, comprising a U-shaped tungsten filament, emitted an electron beam with a spot diameter of 3 nm, achieving a magnification range of 20 to 20,000 times. Transmission electron microscopy (TEM) analysis was conducted using a Tecnai G2S-Twin F20 (FEI, Hillsboro, OR, USA), with a resolution ranging from 0.2 to 0.1 nm. Fourier-transform infrared (FT-IR) analysis was performed using a Nexus 670 infrared spectrometer (Nicolet, Green Bay, WI, USA), with a resolution of 4 cm−1, 32 scans. The scan ranged from 400 to 4000 cm−1. Raman spectroscopy was conducted with a Thermo Fischer DXR (Waltham, MA, USA), utilizing a laser wavelength of 532 nm and a test wave number range of 50–4000 cm−1. The elemental oxidation state and binding energies of the materials were obtained on a Thermo Kalpha instrument (Waltham, MA, USA).

3.5. Preparation of Co/MPC-Modified Electrodes

A total of 5 mg of Co/MPC was uniformly dispersed in a solution comprising 665 µL of ultra-pure water, 335 µL of anhydrous ethanol, and 24 µL of 5% Nafion. This mixture was subjected to ultrasound treatment for 1 h to ensure it was evenly mixed. Subsequently, a pipette gun was employed to transfer 5 µL of the suspension onto a ground white glassy carbon electrode, which was then allowed to dry in air for further application. The MPC/GCE and Co/GCE electrodes were prepared using similar methods. Electrochemical tests were performed using a CHI 660E electrochemical workstation. All the electrochemical tests were carried out at room temperature.

4. Conclusions

This study developed bio-based carbon materials (MPC) through microwave-assisted pyrolysis of biomass, followed by the application of auto-focus coupling single-mode microwave hydrothermal treatment to synthesize Co/MPC biomass nanocomposite materials. Co/MPC demonstrated excellent graphitized structures, significantly enhancing ion transport within the composite during electrochemical processes. The breakdown of unstable structures such as O–H and Si–O functional groups in the materials resulted in a porous structure Co/MPC, facilitating the embedding of Co nanoparticles within the carbon matrix. The unique architecture of the biomass-derived carbon framework promoted high dispersion and uniformity of the metals, providing a substantial number of active sites. Consequently, the prepared Co/MPC material exhibited exceptional electrochemical characteristics. Additionally, the Co/MPC/GCE electrode displayed impressive sensor performance, with a linear range of 0.55–100.05 mM, a detection limit of 1.38 μM (S/N = 3), and a sensitivity of 103.45 μA cm−2 mM−1. Furthermore, it demonstrated excellent reproducibility in the analysis of actual water samples.

Author Contributions

Methodology, M.W., L.J. and Q.B.; Resources, Q.B.; Data curation, J.C.; Writing—review & editing, M.W. and Q.B. All authors have read and agreed to the published version of the manuscript.

Funding

This study was partially supported by Jiangsu Agricultural Science and Technology Innovation Fund (No. CX(22)3129), Jiangsu Province and Education Ministry Co-sponsored Synergistic Innovation Center of Modern Agricultural Equipment (No. XTCX2012), and the Priority Academic Program Development of Jiangsu Higher Education Institutions (PAPD).

Data Availability Statement

Data are contained within the article.

Conflicts of Interest

The authors declare no conflict of interest.

References

  1. Zhang, W.; Yan, D.; Liang, B.; Shi, F.; Yan, Y.; Wang, S.; Xue, F. Boosting electrochemical fenton process Via Cu, S-doped FeOOH sheet for hydrogen peroxide detection. Electrochim. Acta 2024, 486, 144122. [Google Scholar] [CrossRef]
  2. Ullah, I.; Yaqub, A.; Haq, M.Z.U.; Ajab, H.; Jafry, A.T.; Khan, M.K. Sensitive and cost-effective colorimetric sensor based on enzyme mimic MoS2@CoTiO3 nanocomposite for detection of hydrogen peroxide in milk and tap water. J. Food Compos. Anal. 2023, 124, 105689. [Google Scholar] [CrossRef]
  3. Buzdar, M.; Yaqub, A.; Hayat, A.; Ul Haq, M.Z.; Khan, A.; Ajab, H. Paper based colorimetric sensor using novel green magnetized nanocomposite of pinus for hydrogen peroxide detection in water and milk. Food Biosci. 2023, 55, 103014. [Google Scholar] [CrossRef]
  4. Chen, P.-C.; Kirankumar, R.; Lin, P.-Y.; Chuang, Z.-W.; Hsieh, S. Perovskite nanowire-based electrochemical sensing for selective and rapid detection of hydrogen peroxide. J. Alloys Compd. 2024, 1002, 175320. [Google Scholar] [CrossRef]
  5. da Silva, W.; Guedes, E.A.B.; Faustino, L.C.; Goulart, M.O.F.; Gerôncio, E.T.S. Tailored electrochemical biosensor with poly-diallydimethylammonium chloride-functionalised multiwalled carbon nanotubes/gold nanoparticles/manganese dioxide, and haemoglobin for sensitive hydrogen peroxide detection. Talanta 2024, 276, 126290. [Google Scholar] [CrossRef]
  6. Zhu, Y.; Kang, K.; Jia, Y.; Guo, W.; Wang, J. General and fast synthesis of graphene frameworks using sugars for high-performance hydrogen peroxide nonenzymatic electrochemical sensor. Microchim. Acta. 2020, 18, 669. [Google Scholar] [CrossRef]
  7. Wang, H.; Gao, X.; Xie, Y.; Guo, E.; Bai, H.; Jiang, F.; Li, Q.; Yue, H. Design and Fabrication of Island-Like CoNi2S4@NiCo-LDH/Biomass Carbon Heterostructure as Advanced Electrodes for High-Performance Hybrid Supercapacitors. Adv. Energy Mater. 2024, 14, 2400493. [Google Scholar] [CrossRef]
  8. Chang, Y.-S.; Li, J.-H.; Chen, Y.-C.; Ho, W.H.; Song, Y.-D.; Kung, C.-W. Electrodeposition of pore-confined cobalt in metal–organic framework thin films toward electrochemical H2O2 detection. Electrochim. Acta 2020, 347, 136276. [Google Scholar] [CrossRef]
  9. Liang, Y.; Liu, Y.; Zhao, P.; Chen, Y.; Lei, J.; Hou, J.; Hou, C.; Huo, D. An electrochemical sensor based on FeCo bimetallic single-atom nanozyme for sensitive detection of H2O2. Anal. Chim. Acta 2023, 1281, 341867. [Google Scholar] [CrossRef]
  10. Dai, Y.; Wen, X.; Fan, H.; Hong, J.; Huang, L.; Zhang, Q.; Xu, J.; Zhang, J.; Zhang, H.; Zhu, W.; et al. Carbon Dots Dually Doped with Fe and Co for Visual Detection of H2O2 and Glutathione. ACS Appl. Nano Mater. 2024, 7, 17795–17803. [Google Scholar] [CrossRef]
  11. Xia, L.; Luan, X.; Qu, F.; Lu, L. Co-MOF/titanium nanosheet array: An excellent electrocatalyst for non-enzymatic detection of H2O2 released from living cells. J. Electroanal. Chem. 2020, 878, 114553. [Google Scholar] [CrossRef]
  12. Qin, Y.; Sun, Y.; Li, Y.; Li, C.; Wang, L.; Shaojun, G. MOF derived Co,O4/N-doped carbon nanotubes hybrids as efficient catalysts for sensitive detection of HzOz and glucose. Chin. Chem. Lett. 2020, 31, 774–778. [Google Scholar] [CrossRef]
  13. Long, L.; Liu, H.; Liu, X.; Chen, L.; Wang, S.; Liu, C.; Dong, S.; Jia, J. Co-embedded N-doped hierarchical carbon arrays with boosting electrocatalytic activity for in situ electrochemical detection of H2O2. Sens. Actuators B 2020, 318, 128242. [Google Scholar] [CrossRef]
  14. Wu, H.; Xiao, K.; Ouyang, T.; Wang, Z.; Chen, Y.; Li, N.; Liu, Z.-Q. Co-Cr mixed spinel oxide nanodots anchored on nitrogen-doped carbon nanotubes as catalytic electrode for hydrogen peroxide sensing. J. Colloid Interface Sci. 2021, 585, 605–613. [Google Scholar] [CrossRef]
  15. Du, H.; Ai, M.; Lyu, S.-S.; Zhang, P.-P.; Chen, X.-G.; Jin, A.; Ye, Y. Systematic fabrication and electromagnetic performance of porous biomass carbon/ferrite nanocomposites. J. Alloys Compd. 2022, 896, 163048. [Google Scholar] [CrossRef]
  16. Samanth, A.; Selvaraj, R.; Murugesan, G.; Varadavenkatesan, T.; Vinayagam, R. Efficient adsorptive removal of 2,4-dichlorophenoxyacetic acid (2,4-D) using biomass derived magnetic activated carbon nanocomposite in synthetic and simulated agricultural runoff water. Chemosphere 2024, 361, 142513. [Google Scholar] [CrossRef]
  17. Ahmed, J.; Faisal, M.; Algethami, J.S.; Alkorbi, A.S.; Harraz, F.A. Facile synthesis of CeO2·CuO-decorated biomass-derived carbon nanocomposite for sensitive detection of catechol by electrochemical technique. Mater. Sci. Semicond. Process. 2024, 172, 108098. [Google Scholar] [CrossRef]
  18. Bi, Y.; Hei, Y.; Wang, N.; Liu, J.; Ma, C.-B. Synthesis of a clustered carbon aerogel interconnected by carbon balls from the biomass of taros for construction of a multi-functional electrochemical sensor. Anal. Chim. Acta 2021, 1164, 338514. [Google Scholar] [CrossRef]
  19. Wang, N.; Hei, Y.; Liu, J.; Sun, M.; Sha, T.; Hassan, M.; Bo, X.; Guo, Y.; Zhou, M. Low-cost and environment-friendly synthesis of carbon nanorods assembled hierarchical meso-macroporous carbons networks aerogels from natural apples for the electrochemical determination of ascorbic acid and hydrogen peroxide. Anal. Chim. Acta 2019, 1047, 36–44. [Google Scholar] [CrossRef]
  20. Ren, X.; Shanb Ghazani, M.; Zhu, H.; Ao, W.; Zhang, H.; Moreside, E.; Zhu, J.; Yang, P.; Zhong, N.; Bi, X. Challenges and opportunities in microwave-assisted catalytic pyrolysis of biomass: A review. Appl. Energy 2022, 315, 118970. [Google Scholar] [CrossRef]
  21. Gianola, G.; Garino, N.; Bartoli, M.; Sacco, A.; Pirri, C.F.; Zeng, J. Microwave-assisted synthesis of N/S-doped CNC/SnO2 nanocomposite as a promising catalyst for oxygen reduction in alkaline media. Mater. Chem. Phys. 2023, 308, 128205. [Google Scholar] [CrossRef]
  22. Bai, L.; Huang, A.; Feng, J.; Su, X.; Mo, W.; Ma, S.; Lin, H. One-step microwave pyrolysis synthesis of bagasse biochar/ferrites nanocomposite and synergistic effect on As (V) adsorption in water. Mater. Chem. Phys. 2022, 283, 126035. [Google Scholar] [CrossRef]
  23. Cai, J.; Vasudevan, S.V.; Wang, M.; Mao, H.; Bu, Q. Microwave-assisted synthesized renewable carbon nanofiber/nickel oxide for high-sensitivity detection of H2O2. J. Electroanal. Chem. 2022, 924, 116876. [Google Scholar] [CrossRef]
  24. Arief, I.; Bhattacharjee, Y.; Prakash, O.; Sahu, M.; Suwas, S.; Bose, S. Tunable CoNi microstructures in flexible multilayered polymer films can shield electromagnetic radiation. Compos. Part B 2019, 177, 107283. [Google Scholar] [CrossRef]
  25. Yang, H.; Wu, Y.; Lin, Q.; Fan, L.; Chai, X.; Zhang, Q.; Liu, J.; He, C.; Lin, Z. Composition tailoring via N and S co-doping and structure tuning by constructing hierarchical pores: Metal-free catalysts for high-performance electrochemical reduction of CO2. Angew. Chem. Int. Ed. 2018, 57, 15476–15480. [Google Scholar] [CrossRef]
  26. Hu, Y.; Hojamberdiev, M.; Geng, D. Recent advances in enzyme-free electrochemical hydrogen peroxide sensors based on carbon hybrid nanocomposites. J. Mater. Chem. C 2021, 9, 6970–6990. [Google Scholar] [CrossRef]
  27. Abdullah, A.H.D.; Chalimah, S.; Primadona, I.; Hanantyo, M.H.G. Physical and chemical properties of corn, cassava, and potato starchs. IOP Conf. Ser. Earth Environ. Sci. 2018, 160, 012003. [Google Scholar] [CrossRef]
  28. Fasheun, D.O.; de Oliveira, R.A.; Bon, E.P.S.; Silva, A.S.A.d.; Teixeira, R.S.S.; Ferreira-Leitão, V.S. Dry extrusion pretreatment of cassava starch aided by sugarcane bagasse for improved starch saccharification. Carbohydr. Polym. 2022, 285, 119256. [Google Scholar] [CrossRef]
  29. Dong, Y.; Zheng, J. Environmentally friendly synthesis of Co-based zeolitic imidazolate framework and its application as H2O2 sensor. Chem. Eng. J. 2020, 392, 123690. [Google Scholar] [CrossRef]
  30. Dong, X.-x.; Li, M.-y.; Feng, N.-n.; Sun, Y.-m.; Yang, C.; Xu, Z.-l. A nanoporous MgO based nonenzymatic electrochemical sensor for rapid screening of hydrogen peroxide in milk. RSC Adv. 2015, 5, 86485–86489. [Google Scholar] [CrossRef]
  31. Lu, Z.; Wu, L.; Dai, X.; Wang, Y.; Sun, M.; Zhou, C.; Du, H.; Rao, H. Novel flexible bifunctional amperometric biosensor based on laser engraved porous graphene array electrodes: Highly sensitive electrochemical determination of hydrogen peroxide and glucose. J. Hazard. Mater. 2021, 402, 123774. [Google Scholar] [CrossRef] [PubMed]
  32. Bracamonte, M.V.; Melchionna, M.; Giuliani, A.; Nasi, L.; Tavagnacco, C.; Prato, M.; Fornasiero, P. H2O2 sensing enhancement by mutual integration of single walled carbon nanohorns with metal oxide catalysts: The CeO2 case. Sens. Actuators B 2017, 239, 923–932. [Google Scholar] [CrossRef]
  33. Han, Q.; Wang, H.; Wu, D.; Wei, Q. Preparation of PbS NPs/RGO/NiO nanosheet arrays heterostructure: Function-switchable self-powered photoelectrochemical biosensor for H2O2 and glucose monitoring. Biosens. Bioelectron. 2021, 173, 112803. [Google Scholar] [CrossRef] [PubMed]
  34. Zhao, X.; Li, Z.; Chen, C.; Wu, Y.; Zhu, Z.; Zhao, H.; Lan, M. A Novel Biomimetic Hydrogen Peroxide Biosensor Based on Pt Flowers-decorated Fe3O4/Graphene Nanocomposite. Electroanalysis 2017, 29, 1518–1523. [Google Scholar] [CrossRef]
  35. Lu, D.; Zhang, Y.; Lin, S.; Wang, L.; Wang, C. Synthesis of PtAu bimetallic nanoparticles on graphene–carbon nanotube hybrid nanomaterials for nonenzymatic hydrogen peroxide sensor. Talanta 2013, 112, 111–116. [Google Scholar] [CrossRef]
  36. Garate, O.; Veiga, L.S.; Tancredi, P.; Medrano, A.V.; Monsalve, L.N.; Ybarra, G. High-performance non-enzymatic hydrogen peroxide electrochemical sensor prepared with a magnetite-loaded carbon nanotube waterborne ink. J. Electroanal. Chem. 2022, 915, 116372. [Google Scholar] [CrossRef]
  37. Liu, M.; An, M.; Xu, J.; Liu, T.; Wang, L.; Liu, Y.; Zhang, J. Three-dimensional carbon foam supported NiO nanosheets as non-enzymatic electrochemical H2O2 sensors. Appl. Surf. Sci. 2021, 542, 148699. [Google Scholar] [CrossRef]
  38. Ramachandran, R.; Zhao, C.; Rajkumar, M.; Rajavel, K.; Zhu, P.; Xuan, W.; Xu, Z.-X.; Wang, F. Porous nickel oxide microsphere and Ti3C2Tx hybrid derived from metal-organic framework for battery-type supercapacitor electrode and non-enzymatic H2O2 sensor. Electrochim. Acta 2019, 322, 134771. [Google Scholar] [CrossRef]
  39. Qiao, R.; Lei, Y.; Liu, Q.; Tang, L.; Xiao, X.; Zhang, G.; He, T.; Zhang, Y.; Liang, C.; Chen, S. Ruthenium, nitrogencodoped carbon aerogels for real-time electrochemical monitoring of cellular hydrogen peroxide release. J. Electroanal. Chem. 2024, 952, 117997. [Google Scholar] [CrossRef]
  40. Achari, D.S.; Santhosh, C.; Deivasegamani, R.; Nivetha, R.; Bhatnagar, A.; Jeong, S.K.; Grace, A.N. A non-enzymatic sensor for hydrogen peroxide based on the use of α-Fe2O3 nanoparticles deposited on the surface of NiO nanosheets. Microchim. Acta 2017, 184, 3223–3229. [Google Scholar] [CrossRef]
  41. Akyilmaz, E.; Oyman, G.; Cınar, E.; Odabas, G. A new polyaniline–catalase–glutaraldehyde-modified biosensor for hydrogen peroxide detection. Prep. Biochem. Biotechnol. 2016, 47, 86–93. [Google Scholar] [CrossRef]
  42. Bu, Q.; Yu, F.; Cai, J.; Bai, J.; Xu, J.; Wang, H.; Lin, H.; Long, H. Preparation of sugarcane bagasse-derived Co/Ni/N/MPC nanocomposites and its application in H2O2 detection. Ind. Crops Prod. 2024, 211, 118218. [Google Scholar] [CrossRef]
Figure 1. (a,b) SEM images of MPC; (c,d) SEM images of Co/MPC; (e,f) TEM images of Co/MPC; (g) elemental mapping of Co/MPC.
Figure 1. (a,b) SEM images of MPC; (c,d) SEM images of Co/MPC; (e,f) TEM images of Co/MPC; (g) elemental mapping of Co/MPC.
Catalysts 14 00624 g001
Figure 2. (ac) XRD patterns, Raman patterns, and FT-IR patterns of MPC and Co/MPC; (d) N2 adsorption–desorption isotherms and pore size distribution (inset) of BC and MPC.
Figure 2. (ac) XRD patterns, Raman patterns, and FT-IR patterns of MPC and Co/MPC; (d) N2 adsorption–desorption isotherms and pore size distribution (inset) of BC and MPC.
Catalysts 14 00624 g002
Figure 3. (a) Cyclic voltammograms of GCE and Co/MPC/GCE in 0.1 M PBS (pH 7.0) and 10 mM H2O2, with a scan rate of 100 mV s−1; (b) EIS spectra of GCE, MPC/GCE, pure Co/GCE, and Co/MPC/GCE. EIS were performed in 5 mM [Fe(CN)6]3−/4−; amplitude: 5 mV, frequency: 0.1 Hz to 1 × 106 Hz.
Figure 3. (a) Cyclic voltammograms of GCE and Co/MPC/GCE in 0.1 M PBS (pH 7.0) and 10 mM H2O2, with a scan rate of 100 mV s−1; (b) EIS spectra of GCE, MPC/GCE, pure Co/GCE, and Co/MPC/GCE. EIS were performed in 5 mM [Fe(CN)6]3−/4−; amplitude: 5 mV, frequency: 0.1 Hz to 1 × 106 Hz.
Catalysts 14 00624 g003
Figure 4. Cyclic voltammograms of (a) MPC, (b) pure Co, and (c) Co/MPC in 0.1 M PBS solution with different concentrations of hydrogen peroxide; (d) CV curves of MPC, pure Co, and Co/MPC in 10 mM H2O2.
Figure 4. Cyclic voltammograms of (a) MPC, (b) pure Co, and (c) Co/MPC in 0.1 M PBS solution with different concentrations of hydrogen peroxide; (d) CV curves of MPC, pure Co, and Co/MPC in 10 mM H2O2.
Catalysts 14 00624 g004
Figure 5. (a) i-t curves of Co/MPC at different potentials by adding 1 mM H2O2; (b) curves of the effect of different potentials on current fluctuations.
Figure 5. (a) i-t curves of Co/MPC at different potentials by adding 1 mM H2O2; (b) curves of the effect of different potentials on current fluctuations.
Catalysts 14 00624 g005
Figure 6. (a) i-t curve of Co/MPC with different contents of hydrogen peroxide added continuously (the inset is the fitting curve of H2O2 concentration and corresponding current); (b) i-t curve of Co/MPC after ten consecutive additions of 0.5 mM H2O2; (c) i-t curve of Co/MPC after continuous addition of urea, Glu, AA, DA, and NaCl; (d) current fluctuation diagram of Co/MPC detecting 0.1 mM H2O2 every day for two consecutive weeks.
Figure 6. (a) i-t curve of Co/MPC with different contents of hydrogen peroxide added continuously (the inset is the fitting curve of H2O2 concentration and corresponding current); (b) i-t curve of Co/MPC after ten consecutive additions of 0.5 mM H2O2; (c) i-t curve of Co/MPC after continuous addition of urea, Glu, AA, DA, and NaCl; (d) current fluctuation diagram of Co/MPC detecting 0.1 mM H2O2 every day for two consecutive weeks.
Catalysts 14 00624 g006
Table 1. Structural parameters of the prepared materials.
Table 1. Structural parameters of the prepared materials.
MaterialsSBET (m2 g−1)Average Pore Size (nm)Pore Volume (cm3 g−1)
BC10.41-0.01
MPC184.163.390.09
Table 2. The H2O2 detection performance of various carbon-based electrochemical sensors.
Table 2. The H2O2 detection performance of various carbon-based electrochemical sensors.
Electrode MaterialsSensitivityLinear Detection RangeDetection LimitRef.
ox-SWCNH@CeO2160 µAcm−2 mM−110 μM–1.4 mM2.7 μM[32]
PbS NPS/RGO/NiO-0–100 mM18 μM[33]
Pt/Fe3O4/rGO 100–2400 μM1.58 μM[34]
PtAu/G-CNTs/GCE-2 μM–8.56 mM0.6 μM[35]
Fe3O4/CNT1040 µAcm−2 mM−10.001–2 mM0.5 μM[36]
NiO-NSs/CF-1801/GCE23.30 µAcm−2 mM−10.20–3.75 mM0.01 μM[37]
NiO/Ti3C2Tx-0.01–4.54 mM0.35 μM[38]
Ru-NCAG-0.1–1000 μM0.01 μM[39]
NiO/α-Fe203146.98 µAcm−2 mM−1500–3000 μM50 μM[40]
Co/MPC103.45 µAcm−2 mM−10.55–100.05 mM1.38 μMThis work
Table 3. Detection of hydrogen peroxide in actual samples.
Table 3. Detection of hydrogen peroxide in actual samples.
SampleDosage (μmol/L)Average Measured Value (μmol/L)Recovery Rate (%)Standard Derivation (%)
Tap water3028.294.06.5
5048.697.25.4
10097.697.64.1
Disclaimer/Publisher’s Note: The statements, opinions and data contained in all publications are solely those of the individual author(s) and contributor(s) and not of MDPI and/or the editor(s). MDPI and/or the editor(s) disclaim responsibility for any injury to people or property resulting from any ideas, methods, instructions or products referred to in the content.

Share and Cite

MDPI and ACS Style

Wang, M.; Cai, J.; Jiao, L.; Bu, Q. Biomass-Derived Co/MPC Nanocomposites for Effective Sensing of Hydrogen Peroxide via Electrocatalysis Reduction. Catalysts 2024, 14, 624. https://doi.org/10.3390/catal14090624

AMA Style

Wang M, Cai J, Jiao L, Bu Q. Biomass-Derived Co/MPC Nanocomposites for Effective Sensing of Hydrogen Peroxide via Electrocatalysis Reduction. Catalysts. 2024; 14(9):624. https://doi.org/10.3390/catal14090624

Chicago/Turabian Style

Wang, Mei, Jin Cai, Lihua Jiao, and Quan Bu. 2024. "Biomass-Derived Co/MPC Nanocomposites for Effective Sensing of Hydrogen Peroxide via Electrocatalysis Reduction" Catalysts 14, no. 9: 624. https://doi.org/10.3390/catal14090624

APA Style

Wang, M., Cai, J., Jiao, L., & Bu, Q. (2024). Biomass-Derived Co/MPC Nanocomposites for Effective Sensing of Hydrogen Peroxide via Electrocatalysis Reduction. Catalysts, 14(9), 624. https://doi.org/10.3390/catal14090624

Note that from the first issue of 2016, this journal uses article numbers instead of page numbers. See further details here.

Article Metrics

Back to TopTop